Process Temperature Control for Low Dishing in CMP
Abstract
1. Introduction
2. Materials and Methods
2.1. Experimental Setup and Polishing Conditions
2.2. Control of Process Temperature
3. Results and Discussion
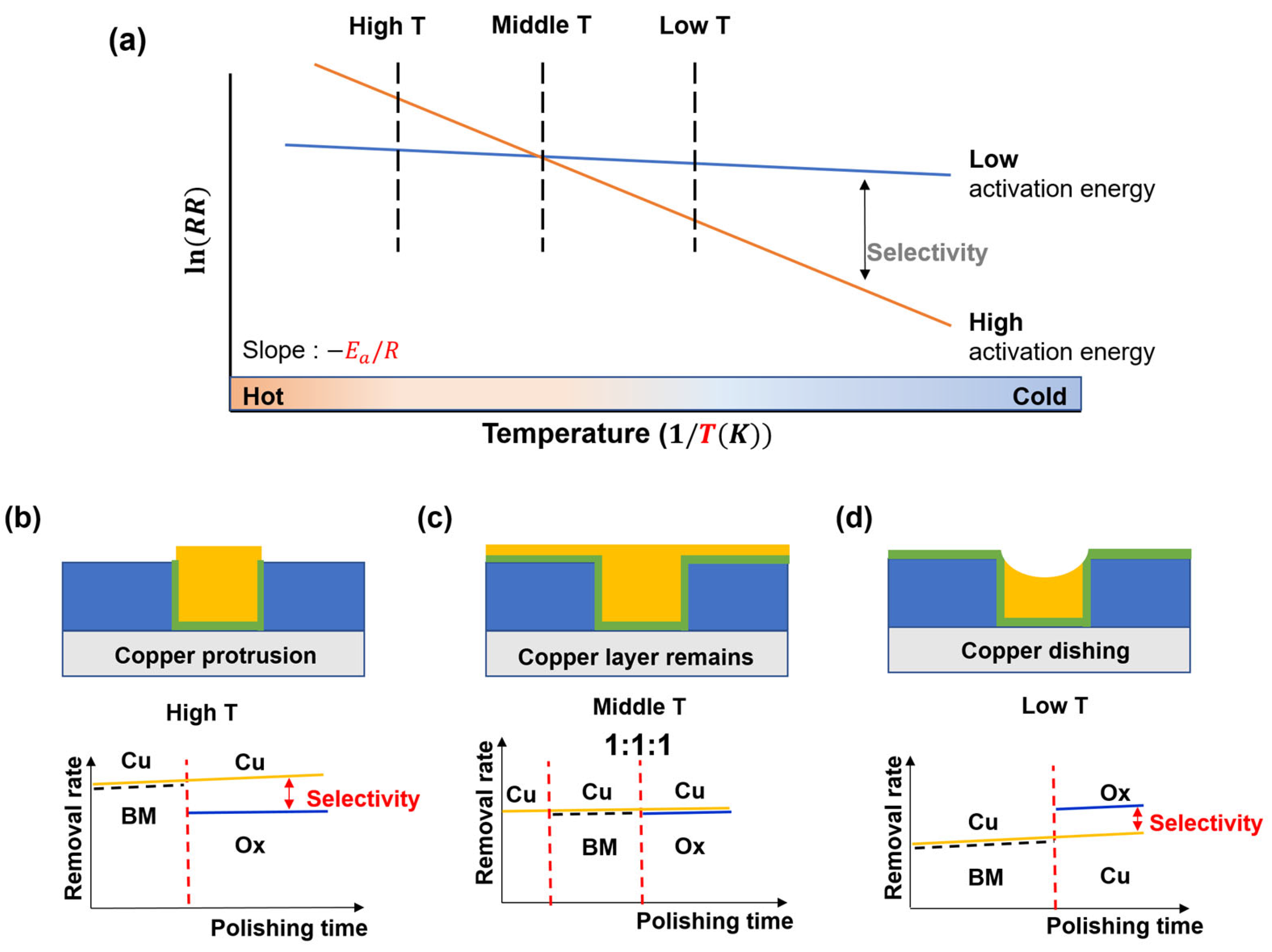
3.1. Integrated Role of Temperature in CMP
3.2. Temperature-Removal Rate Relationship
3.3. Temperature Control for Low Dishing
4. Conclusions
Author Contributions
Funding
Data Availability Statement
Conflicts of Interest
Abbreviations
| CMP | Chemical mechanical planarization |
| RR | Removal rate |
| BM | Barrier metal |
| Ox | SiO2 |
References
- Lee, C.Y.; Won, C.H.; Jung, S.; Jung, E.S.; Choi, T.M.; Lee, H.R.; Yoo, J.; Yoon, S.; Pyo, S.G. 3D Integrated Process and Hybrid Bonding of High Bandwidth Memory. Electron. Mater. Lett. 2025, 21, 395–419. [Google Scholar] [CrossRef]
- Jeong, J.; Geum, D.-M.; Kim, S. Heterogeneous and Monolithic 3D Integration Technology for Mixed-Signal ICs. Electronics 2022, 11, 3013. [Google Scholar] [CrossRef]
- Khurana, G.; Panchenko, I. Improvement in Wafer-to-Wafer Hybrid Bonding Using Optimized Chemical Mechanical Planarization Process for Cu Dishing. In Proceedings of the 2023 IEEE 25th Electronics Packaging Technology Conference (EPTC), Singapore, 5–8 December 2023. [Google Scholar]
- Wang, C.; Liu, Y.; Tian, J.; Gao, B.; Niu, X. A study on the comparison of CMP performance between a novel alkaline slurry and a commercial slurry for barrier removal. Microelectron. Eng. 2012, 98, 29–33. [Google Scholar] [CrossRef]
- Zeng, N.; Wang, C.; Luo, C.; Zhao, H.; Liu, Y.; Wang, W.; Ma, T. An optimized passivation mechanism at the copper film recess for achieving efficient planarization of copper chemical mechanical polishing. Mater. Sci. Semicond. Process. 2022, 139, 106321. [Google Scholar] [CrossRef]
- Shin, Y.; Jeong, S.; Jeong, H. Temperature Control for High Removal Rate and Low Dishing in TGV CMP. Int. J. Precis. Eng. Manuf. 2024, 25, 1899–1907. [Google Scholar] [CrossRef]
- Wu, L.; Yan, C. Effects of Polishing Parameters on Evolution of Different Wafer Patterns During Cu CMP. IEEE Trans. Semicond. Manuf. 2015, 28, 106–116. [Google Scholar] [CrossRef]
- Ji, H.; Chui, K.-J. Cu CMP Dishing in High Density Cu Pad for Fine Pitch Wafer-to-Wafer (W2W) Hybrid Bonding. In Proceedings of the 2021 IEEE 23rd Electronics Packaging Technology Conference (EPTC), Singapore, 7–9 December 2021; pp. 28–32. [Google Scholar]
- Park, S.; Kang, S.; Kim, D.G.; Kim, S. Mitigation of Cu dishing in chemical mechanical polishing using micro-structured pads. CIRP Ann. 2025, 74, 465–469. [Google Scholar] [CrossRef]
- Mudhivarthi, S.; Zantye, P.B.; Kumar, A.; Kumar, A.; Beerbom, M.; Schlaf, R. Effect of Temperature on Tribological, Electrochemical, and Surface Properties during Copper CMP. Electrochem. Solid-State Lett. 2005, 8, G241–G244. [Google Scholar] [CrossRef]
- Kim, N.-H.; Seo, Y.-J.; Lee, W.-S. Temperature effects of pad conditioning process on oxide CMP: Polishing pad, slurry characteristics, and surface reactions. Microelectron. Eng. 2006, 83, 362–370. [Google Scholar] [CrossRef]
- Khanna, A.J.; Kakireddy, R.; Jawali, P.; Chockalingam, A.; Redfield, D.; Bajaj, R.; Fung, J.; Cornejo, M.; Yamamura, M.; Yuan, Z.; et al. Impact of Pad Material Properties on CMP Performance for Sub-10 nm Technologies. ECS J. Solid State Sci. Technol. 2019, 8, P3063–P3070. [Google Scholar] [CrossRef]
- Mu, Y.; Jiao, Y.; Sampurno, Y.; Zhuang, Y.; Theng, S.; Philipossian, A. Effect of temperature in titanium chemical mechanical planarization. Jpn. J. Appl. Phys. 2015, 54, 076502. [Google Scholar] [CrossRef]
- Ilie, F.; Minea, I.-L.; Cotici, C.D.; Hristache, A.-F. The Effects of Friction and Temperature in the Chemical–Mechanical Planarization Process. Materials 2023, 16, 2550. [Google Scholar] [CrossRef] [PubMed]
- Lefevre, P.; Ina, K.; Sakai, K.; Tamai, K.; Rader, S. Topography Reduction during Barrier CMP Improved Due to Tantalum Oxidation. MRS Proc. 2002, 732, 45. [Google Scholar] [CrossRef]
- Chen, W.; Luo, Z.; Li, X.; Lu, S.; Guo, F. Numerical study of temperature separation characteristics of vortex tubes: Effects of structural parameters and modeling of cooling performance correlations. Therm. Sci. Eng. Prog. 2023, 39, 101715. [Google Scholar] [CrossRef]
- Manimaran, R. Review of vortex tube: A sustainable and energy separation device for multi-purpose applications. Aust. J. Mech. Eng. 2020, 21, 27–55. [Google Scholar] [CrossRef]
- White, D.; Melvin, J.; Boning, D. Characterization and modeling of dynamic thermal behavior in CMP. J. Electrochem. Soc. 2003, 150, G271–G278. [Google Scholar] [CrossRef]
- Wang, Y.-L.; Liu, C.; Feng, M.-S.; Tseng, W.-T. The exothermic reaction and temperature measurement for tungsten CMP technology and its application on endpoint detection. Mater. Chem. Phys. 1998, 52, 17–22. [Google Scholar] [CrossRef]
- DeNardis, D.; Rosales-Yeomans, D.; Borucki, L.; Philipossian, A. Studying the effect of temperature on the copper oxidation process using hydrogen peroxide for use in multi-step chemical mechanical planarization models. Thin Solid Film. 2010, 518, 3903–3909. [Google Scholar] [CrossRef]
- DeNardis, D.; Rosales-Yeomans, D.; Borucki, L.; Philipossian, A. A three-step copper chemical mechanical planarization model including the dissolution effects of a commercial slurry. Thin Solid Film. 2010, 518, 3910–3916. [Google Scholar] [CrossRef]
- Bernard, P.; Valette, S.; Daveau, S.; Abry, J.C.; Tabary, P.; Kapsa, P. Nature and removal of the modified layer in Cu CMP with ferric nitrate as oxidizer. Tribol. Int. 2008, 41, 416–424. [Google Scholar] [CrossRef]
- Lee, H. Material removal characteristics of abrasive-free Cu chemical–mechanical polishing (CMP) using electrolytic ionization via Ni electrodes. Micromachines 2023, 14, 272. [Google Scholar] [CrossRef]
- Oh, S.; Seok, J. Modeling of chemical–mechanical polishing considering thermal coupling effects. Microelectron. Eng. 2008, 85, 2191–2201. [Google Scholar] [CrossRef]
- Shin, Y.; Jeong, J.; Park, Y.; Jeong, H. Modeling of step height reduction with temperature function in copper CMP. J. Mech. Sci. Technol. 2023, 37, 6213–6220. [Google Scholar] [CrossRef]
- Lee, H.; Jeong, H. A wafer-scale material removal rate profile model for copper chemical mechanical planarization. Int. J. Mach. Tools Manuf. 2011, 51, 395–403. [Google Scholar] [CrossRef]











| Parameters | Conditions |
|---|---|
| Polishing Pad | Hybrid Pore PAD (Stacked, KPX) |
| Slurry | : 0.5 wt%, Commercial) |
| Pressure | Wafer/R-ring 2/3 psi |
| Velocity | Carrier/Platen: 87/93 rpm |
| Slurry flow rate | 150 mL/min |
| Oscillation of carrier | Enable |
| Conditioning | In situ |
Disclaimer/Publisher’s Note: The statements, opinions and data contained in all publications are solely those of the individual author(s) and contributor(s) and not of MDPI and/or the editor(s). MDPI and/or the editor(s) disclaim responsibility for any injury to people or property resulting from any ideas, methods, instructions or products referred to in the content. |
© 2025 by the authors. Licensee MDPI, Basel, Switzerland. This article is an open access article distributed under the terms and conditions of the Creative Commons Attribution (CC BY) license (https://creativecommons.org/licenses/by/4.0/).
Share and Cite
Shin, Y.; Jeong, J.; Shin, J.; Jeong, H. Process Temperature Control for Low Dishing in CMP. Materials 2025, 18, 4461. https://doi.org/10.3390/ma18194461
Shin Y, Jeong J, Shin J, Jeong H. Process Temperature Control for Low Dishing in CMP. Materials. 2025; 18(19):4461. https://doi.org/10.3390/ma18194461
Chicago/Turabian StyleShin, Yeongil, Jongmin Jeong, Jiho Shin, and Haedo Jeong. 2025. "Process Temperature Control for Low Dishing in CMP" Materials 18, no. 19: 4461. https://doi.org/10.3390/ma18194461
APA StyleShin, Y., Jeong, J., Shin, J., & Jeong, H. (2025). Process Temperature Control for Low Dishing in CMP. Materials, 18(19), 4461. https://doi.org/10.3390/ma18194461

