Repeated Low-Velocity Impact Properties of Hybrid Woven Composite Laminates
Abstract
1. Introduction
2. Materials and Methods
2.1. Materials
2.2. Repeated Low-Velocity Impact Tests
2.3. Ultrasonic C-Scan Device
3. Results and Discussion
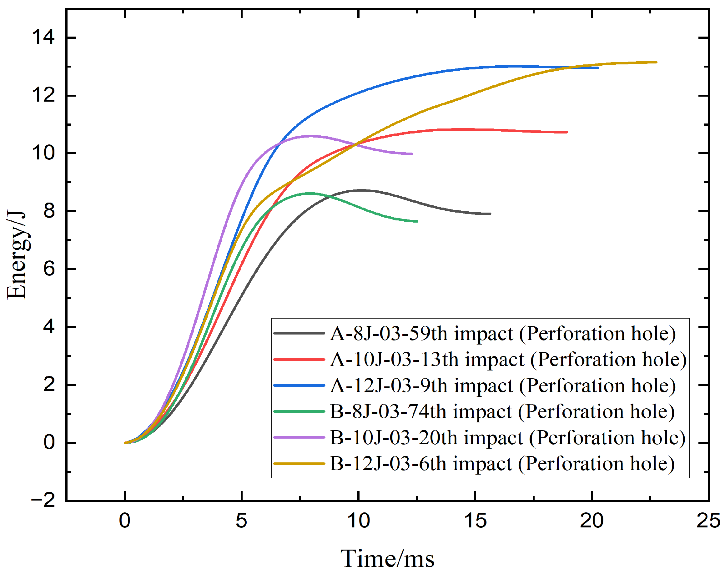
3.1. Repeated Low-Velocity Impact Test Data Analysis
3.2. Ultrasonic C-Scan Results and Analysis
4. Conclusions
Author Contributions
Funding
Informed Consent Statement
Data Availability Statement
Conflicts of Interest
References
- Ma, B.; Cao, X.; Feng, Y.; Song, Y.; Yang, F.; Li, Y.; Zhang, D.; Wang, Y.; He, Y. A comparative study on the low velocity impact behavior of UD, woven, and hybrid UD/woven FRP composite laminates. Compos. Part B Eng. 2024, 271, 111133. [Google Scholar] [CrossRef]
- Tuo, H.; Lu, Z.; Ma, X.; Xing, J.; Zhang, C. Damage and failure mechanism of thin composite laminates under low-velocity impact and compression-after-impact loading conditions. Compos. Part B Eng. 2019, 163, 642–654. [Google Scholar] [CrossRef]
- Ahmed, S.; Xiulin, Z.; Zhang, D.; Yan, L. Impact Response of Carbon/Kevlar Hybrid 3D woven composite under High Velocity Impact: Experimental and Numerical study. Appl. Compos. Mater. 2020, 27, 285–305. [Google Scholar] [CrossRef]
- Linganiso, L.Z.; Anandjiwala, R.D. Fibre-reinforced laminates in aerospace engineering. In Advanced Composite Materials for Aerospace Engineering; Woodhead Publishing: Sawston, UK, 2016; pp. 101–127. [Google Scholar] [CrossRef]
- Khan, F.; Hossain, N.; Mim, J.J.; Rahman, S.; Iqbal, M.A.; Billah, M.M.; Chowdhury, M.A. Advances of Composite Materials in Automobile Applications—A review. J. Eng. Res. 2025, 13, 1001–1023. [Google Scholar] [CrossRef]
- Ertekin, M. Aramid fibers. In Fiber Technology for Fiber-Reinforced Composites; Woodhead Publishing: Sawston, UK, 2017; pp. 153–167. [Google Scholar] [CrossRef]
- Hasanuddin, I.; Mawardi, I.; Nurdin, N.; Jaya, R.P. Evaluation of properties of hybrid laminated composites with different fiber layers based on Coir/Al2O3 reinforced composites for structural application. Results Eng. 2023, 17, 100948. [Google Scholar] [CrossRef]
- Pinto, A.M.; Pereira, A.M.; Gonçalves, I.C. Carbon Biomaterials. In Biomaterials Science, 4th ed.; Academic Press: Cambridge, MA, USA, 2020; pp. 327–360. [Google Scholar] [CrossRef]
- Kandola, B.K.; Kandare, E. Composites having improved fire resistance. In Advances in Fire Retardant Materials; Woodhead Publishing: Sawston, UK, 2008; pp. 398–442. [Google Scholar] [CrossRef]
- Pach, J.; Frączek, N.; Kaczmar, J.W. The effects of hybridisation of composites consisting of aramid, carbon, and hemp fibres in a Quasi-Static penetration test. Materials 2020, 13, 4686. [Google Scholar] [CrossRef] [PubMed]
- Xia, C.; Xie, W.; Meng, S.; Gao, B.; Ye, J. Preparation of integrated carbon fiber stitched fabric reinforced (SiBCN) ceramic/resin double-layered composites for ablation resistance, thermal insulation and compression resistance performance. Compos. Sci. Technol. 2024, 252, 110629. [Google Scholar] [CrossRef]
- Pincheira, G.; Canales, C.; Medina, C.; Fernández, E.; Flores, P. Influence of aramid fibers on the mechanical behavior of a hybrid carbon–aramid–reinforced epoxy composite. Proc. Inst. Mech. Eng. Proc. Part L J. Mater. Des. Appl. 2015, 232, 58–66. [Google Scholar] [CrossRef]
- Baucom, J.N.; Zikry, M.A. Low-velocity impact damage progression in woven E-glass composite systems. Compos. Part A Appl. Sci. Manuf. 2005, 36, 658–664. [Google Scholar] [CrossRef]
- Kueh, A.B.H.; Sabah, S.A.; Qader, D.N.; Drahman, S.H.; Amran, M. Single and repetitive low-velocity impact responses of sandwich composite structures with different skin and core considerations: A review. Case Stud. Constr. Mater. 2023, 18, e01908. [Google Scholar] [CrossRef]
- Lei, Z.; Ma, J.; Sun, W.; Yin, B.; Liew, K. Low-velocity impact and compression-after-impact behaviors of twill woven carbon fiber/glass fiber hybrid composite laminates with flame retardant epoxy resin. Compos. Struct. 2023, 321, 117253. [Google Scholar] [CrossRef]
- Mathivanan, N.R.; Jerald, J. Experimental investigation of low-velocity impact characteristics of woven glass fiber epoxy matrix composite laminates of EP3 grade. Mater. Eng. 2010, 31, 4553–4560. [Google Scholar] [CrossRef]
- Sjöblom, P.; Hartness, J.T.; Cordell, T.M. On Low-Velocity impact testing of composite materials. J. Compos. Mater. 1988, 22, 30–52. [Google Scholar] [CrossRef]
- Sadighi, M.; Alderliesten, R. Impact fatigue, multiple and repeated low-velocity impacts on FRP composites: A review. Compos. Struct. 2022, 297, 115962. [Google Scholar] [CrossRef]
- Liao, B.; Zhou, J.; Li, Y.; Wang, P.; Xi, L.; Gao, R.; Bo, K.; Fang, D. Damage accumulation mechanism of composite laminates subjected to repeated low velocity impacts. Int. J. Mech. Sci. 2020, 182, 105783. [Google Scholar] [CrossRef]
- Ekici, R.; Kosedag, E.; Demir, M. Repeated low-velocity impact responses of SiC particle reinforced Al metal-matrix composites. Ceram. Int. 2022, 48, 5338–5351. [Google Scholar] [CrossRef]
- ASTM D7136/D7136M-15; Standard Test Method for Measuring the Damage Resistance of a Fiber-Reinforced Polymer Matrix Composite to a Drop-Weight Impact Event. ASTM International: West Conshohocken, PA, USA, 2015.







| E11/GPa | E22/GPa | G12/GPa | µ12 | µ21 |
|---|---|---|---|---|
| 51.24 | 19.74 | 2.64 | 0.093 | 0.32 |
| XT/MPa | YT/MPa | XC/MPa | YC/MPa | S12/MPa |
| 536.34 | 460.21 | 171.58 | 125.79 | 73.23 |
| Property | T300-3K Carbon Fiber | Kevlar® 29 Aramid Fiber |
|---|---|---|
| Tensile Modulus (Longitudinal) | 230 GPa | 80 GPa |
| Tensile Strength (Ultimate) | 3530 MPa | 3000 MPa |
| Elongation at Break (Longitudinal) | 1.5% | 3.6% |
| Density | 1.76 g/cm3 | 1.44 g/cm3 |
| Energy | A-01 | A-02 | A-03 | Average Number of Impacts |
|---|---|---|---|---|
| 8 J | 58 | 46 | 59 | 54 |
| 10 J | 16 | 13 | 13 | 14 |
| 12 J | 7 | 12 | 9 | 9 |
| Energy | B-01 | B-02 | B-03 | Average Number of Impacts |
|---|---|---|---|---|
| 8 J | 110 | 134 | 74 | 106 |
| 10 J | 16 | 18 | 20 | 18 |
| 12 J | 10 | 7 | 6 | 8 |
| Specimen No. | Failure Stage (Through-Thickness Hole) | |||
|---|---|---|---|---|
| Top View | Bottom View | |||
| A-8J-03 | After 59th impact | |||
![]() | ![]() | ![]() | ![]() | |
| B-8J-03 | After 74th impact | |||
![]() | ![]() | ![]() | ![]() | |
| A-10J-03 | After 13th impact | |||
![]() | ![]() | ![]() | ![]() | |
| B-10J-03 | After 20th impact | |||
![]() | ![]() | ![]() | ![]() | |
| A-12J-03 | After 9th impact | |||
![]() | ![]() | ![]() | ![]() | |
| B-12J-03 | After 6th impact | |||
![]() | ![]() | ![]() | ![]() | |
![]() | ||||
Disclaimer/Publisher’s Note: The statements, opinions and data contained in all publications are solely those of the individual author(s) and contributor(s) and not of MDPI and/or the editor(s). MDPI and/or the editor(s) disclaim responsibility for any injury to people or property resulting from any ideas, methods, instructions or products referred to in the content. |
© 2025 by the authors. Licensee MDPI, Basel, Switzerland. This article is an open access article distributed under the terms and conditions of the Creative Commons Attribution (CC BY) license (https://creativecommons.org/licenses/by/4.0/).
Share and Cite
Mutsuddy, S.; Cai, D.; Hossain, M.H.; Wang, X. Repeated Low-Velocity Impact Properties of Hybrid Woven Composite Laminates. Materials 2025, 18, 4774. https://doi.org/10.3390/ma18204774
Mutsuddy S, Cai D, Hossain MH, Wang X. Repeated Low-Velocity Impact Properties of Hybrid Woven Composite Laminates. Materials. 2025; 18(20):4774. https://doi.org/10.3390/ma18204774
Chicago/Turabian StyleMutsuddy, Sawroj, Deng’an Cai, Mohammed Hasibul Hossain, and Xinwei Wang. 2025. "Repeated Low-Velocity Impact Properties of Hybrid Woven Composite Laminates" Materials 18, no. 20: 4774. https://doi.org/10.3390/ma18204774
APA StyleMutsuddy, S., Cai, D., Hossain, M. H., & Wang, X. (2025). Repeated Low-Velocity Impact Properties of Hybrid Woven Composite Laminates. Materials, 18(20), 4774. https://doi.org/10.3390/ma18204774


























