Improving Simulation Model Accuracy for Friction Stir Welding of AA 2219
Abstract
1. Introduction
2. Experimental Methods
3. Simulation Approach
4. Results and Discussion
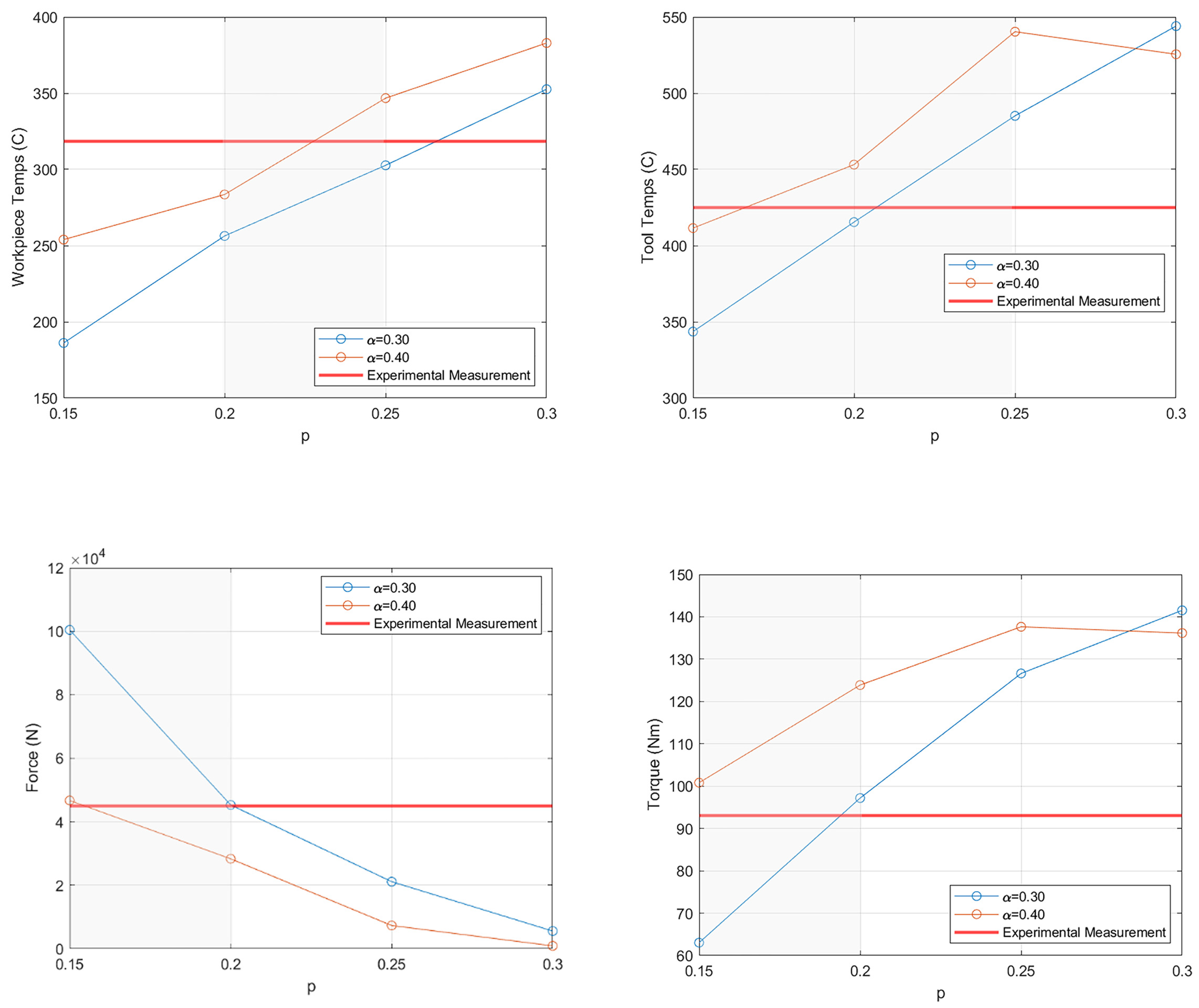
4.1. Effect of Friction Laws on Model Accuracy
4.2. Effect of Local Flow Stresses on Simulation Accuracy
5. Conclusions
- The viscoplastic friction law was found to be the most appropriate for modeling FSW, because it accurately captures both the transient and steady-state phases of an FSW plunge experiment, owing to its rate sensitivity to local shearing of the plate material.
- The properly tuned friction law parameters provided a significant improvement in simulation accuracy compared to the benchmark model using a set of typical parameters. Accurate modeling of friction in FSW is an area where future research could improve the predictive capability of modeling, as the current laws have been adapted from processes like metal forming that do not have the intense shear deformation that is observed in FSW.
- It was shown that using flow stresses measured at the high strain rates and temperatures characteristic of friction stir welding, combined with optimized friction law parameters, provided a reduction in simulation error from 53.8% to 18.7% (65% reduction) when comparing predictions obtained with the baseline friction parameters and flow stress data generated by hot compression or hot torsion testing. Overall error was calculated as an equally weighted comparison of temperatures, torques, and forces with experimentally measured values.
Author Contributions
Funding
Institutional Review Board Statement
Informed Consent Statement
Data Availability Statement
Conflicts of Interest
References
- Thomas, W.M.; Nicholas, E.D.; Needham, J.C.; Murch, M.G.; Temple-Smith, P.; Dawes, C.J. Friction Stir Butt Welding GB Patent Application No. 9125978. U.S. Patent No. 5460317, 6 December 1991. [Google Scholar]
- Pei, X.; Dong, P. A selectively-coupled shear localization model for friction stir welding process window estimation. Int. J. Mach. Tools Manuf. 2017, 123, 89–104. [Google Scholar] [CrossRef]
- Wu, Y.F.; Yu, J.; Yang, Z.; Deng, Y.L. Study of grain distribution during friction stir welding of Al-Zn-Mg alloys using numerical simulation. In IOP Conference Series: Materials Science and Engineering; IOP Publishing: Bristol, UK, 2019; Volume 668, p. 012022. [Google Scholar]
- Asadi, P.; Givi, M.K.B.; Akbari, M. Microstructural simulation of friction stir welding using a cellular automaton method: A microstructure prediction of AZ91 magnesium alloy. Int. J. Mech. Mater. Eng. 2015, 10, 20. [Google Scholar] [CrossRef]
- Ding, S.; Shi, Q.; Chen, G. Flow Stress of 6061 Aluminum Alloy at Typical Temperatures during Friction Stir Welding Based on Hot Compression Tests. Metals 2021, 11, 804. [Google Scholar] [CrossRef]
- Rule, J.R.; Lippold, J.C. Physical Simulation of Friction Stir Welding and Processing of Nickel-Base Alloys Using Hot Torsion. Met. Mater. Trans. A 2013, 44, 3649–3663. [Google Scholar] [CrossRef]
- Karjalainen, L.P.; Porter, D.A.; Järvenpää, S.A. Physical and Numerical Simulations of the Microstructure Evolution in AA6082 during Friction Stir Processing by Means of Hot Torsion and FEM. Mater. Sci. Forum 2013, 762, 590–595. [Google Scholar]
- da Fonseca, E.B.; Santos, T.F.A.; Button, S.T.; Ramirez, A.J. Physical Simulation of a Duplex Stainless Steel Friction Stir Welding by the Numerical and Experimental Analysis of Hot Torsion Tests. Met. Mater. Trans. A 2016, 47, 4543–4552. [Google Scholar] [CrossRef]
- Prymak, D.; Miles, M.; Nelson, T.; Michael, F. A High-Pressure Shear Testing Approach to Measure Flow Stresses Near a Friction Stir Welding Tool. Mater. Perform. Charact. 2021, 10, 727–738. [Google Scholar] [CrossRef]
- Neto, D.M.; Neto, P. Numerical modeling of friction stir welding process. Int. J. Adv. Manuf. Technol. 2013, 65, 115–126. [Google Scholar] [CrossRef]
- Zhang, J.; Shen, Y.; Li, B.; Xu, H.; Yao, X.; Kuang, B.; Gao, J. Numerical simulation and experimental investigation on friction stir welding of 6061-T6 aluminum alloy. Mater. Des. 2014, 60, 94–101. [Google Scholar] [CrossRef]
- Chao, Y.J.; Qi, X.; Tang, W. Heat Transfer in Firction Stir Welding-Experimental and Numerical Studies. J. Manuf. Sci. Eng. 2003, 125, 138–145. [Google Scholar] [CrossRef]
- Vignesh, R.V.; Padmanaban, R.; Arivarasu, M.; Thirumalini, S.; Gokulachandran, J.; Ram, M.S.S.S. Numerical modelling of thermal phenomenon in friction stir welding of aluminum plates. Mater. Sci. Eng. 2016, 149, 012208. [Google Scholar] [CrossRef]
- Nandan, R.; Roy, G.G.; Lienert, T.J.; DebRoy, T. Numerical modelling of 3D plastic flow and heat transfer during friction stir welding of stainless steel. Sci. Technol. Weld. Join. 2013, 11, 526–537. [Google Scholar] [CrossRef]
- Iqbal, P.; Tripathi, A.; Jain, R.; Mahto, R.P.; Pal, S.; Mandal, P. Numerical modelling of microstructure in friction stir welding of aluminium alloys. Int. J. Mech. Sci. 2020, 185, 105882. [Google Scholar] [CrossRef]
- Su, H.; Wu, C.S.; Bachmann, M.; Rethmeier, M. Numerical modeling for the effect of pin profiles on thermal and material flow characteristics in friction stir welding. Mater. Des. 2015, 77, 114–125. [Google Scholar] [CrossRef]
- He, X.; Gu, F.; Ball, A. A review of numerical analysis of friction stir welding. Prog. Mater. Sci. 2014, 65, 1–66. [Google Scholar] [CrossRef]
- Oliphant, A.H. Numerical Modeling of Friction Stir Welding: A Comparison of Alegra and Forge3; BYU Scholars Archive; Brigham Young University: Provo, UT, USA, 2004. [Google Scholar]
- Su, H.; Wu, C. Numerical Simulation for the Optimization of Polygonal Pin Profiles in Friction Stir Welding of Aluminum. Acta Met. Sin. (Engl. Lett.) 2021, 34, 1065–1078. [Google Scholar] [CrossRef]
- Chiumenti, M.; Cervera, M.; de Saracibar, C.A.; Dialami, N. Numerical modeling of friction stir welding processes. Comput. Methods Appl. Mech. Eng. 2013, 254, 353–369. [Google Scholar] [CrossRef]
- Assidi, M.; Fourment, L.; Guerdoux, S.; Nelson, T. Friction model for friction stir welding process simulation: Calibrations from welding experiments. Int. J. Mach. Tools Manuf. 2010, 50, 143–155. [Google Scholar] [CrossRef]
- Dialami, N.; Chiumenti, M.; Cervera, M.; Segatori, A.; Osikowicz, W. Enhanced friction model for Friction Stir Welding (FSW) analysis: Simulation and experimental validation. Int. J. Mech. Sci. 2017, 133, 555–567. [Google Scholar] [CrossRef]
- Colegrove, P.A.; Shercliff, H.R. Experimental and numerical analysis of aluminium alloy 7075-T7351 friction stir welds. Sci. Technol. Weld. Join. 2003, 8, 360–368. [Google Scholar] [CrossRef]
- McAuliffe, C.; Karkkainen, R.; Yen, C.; Waisman, H. Numerical modeling of friction stir welded aluminum joints under high rate loading. Finite Elem. Anal. Des. 2014, 89, 8–18. [Google Scholar] [CrossRef]
- Türkan, M.; Karakaş, Ö. Numerical modeling of defect formation in friction stir welding. Mater. Today Commun. 2022, 31, 103539. [Google Scholar] [CrossRef]
- Das, D.; Bag, S.; Pal, S.; De, A. A review on phenomenological model subtleties for defect assessment in friction stir welding. J. Manuf. Process. 2024, 120, 641–679. [Google Scholar] [CrossRef]
- Khandkar, M.Z.H.; Khan, J.A.; Reynolds, A.P.; Sutton, M.A. Predicting residual thermal stresses in friction stir welded metals. J. Mech. Work. Technol. 2006, 174, 195–203. [Google Scholar] [CrossRef]
- Murillo-Marrodán, A.; Garcia, E.; Cortés, F. Friction Modelling of a Hot Rolling Process by means of the Finite Element Method. In Proceedings of the World Congress on Engineering, London, UK, 5–7 July 2017; Volume II. [Google Scholar]
- Zhang, D.-W.; Ou, H. Relationship between friction parameters in a Coulomb-Tresca friction model for bulk metal forming. Tribol. Int. 2016, 95, 13–18. [Google Scholar] [CrossRef]
- Malik, V.; Saxena, K. Understanding tool–workpiece interfacial friction in friction stir welding/processing and its effect on weld formation. Adv. Mater. Process. Technol. 2022, 8 (Suppl. 4), 2156–2172. [Google Scholar] [CrossRef]
- Ellis, D.; Goodson, M.; Miles, M.; Munro, T. Optimized Design for a Device to Measure Thermal Contact Conductance During Friction Stir Welding. Int. J. Thermophys. 2020, 42, 6. [Google Scholar] [CrossRef]
- Goyal, A.; Doquet, V.; Pouya, A. Grain Boundary Sliding and Strain Rate Sensitivity of Coarse and Fine/Ultrafine Grained 5083 Aluminum ALloys. Met. Mater. Trans. A 2019, 51, 1109–1122. [Google Scholar] [CrossRef]


















| Friction Law | Description | Equation |
|---|---|---|
| Tresca | Frictional resistance limited to the yield stress of the material in pure shear | (1) |
| Tresca-limited Coulomb | Coulomb friction that saturates to Tresca friction | (3) |
| Viscoplastic (Norton) | Shear stress as a function of relative sliding velocity and local flow stress | (4) |
| Model Interface | |
|---|---|
| Tool—Tool Holder | 20,000 |
| Tool—Plate | 20,000 |
| Plate—Backing Plate | 2000 |
| Backing Plate—Backing Plate Holder | Adiabatic |
| Simulation Results Being Compared to the Experiment | Number of Variables |
|---|---|
| Plate Temperatures | 6 |
| Tool Temperatures | 3 |
| Force on Tool | 1 |
| Torque on Tool | 1 |
| Position of Tool | 1 |
| α | p | Error (%) |
|---|---|---|
| 0.30 | 0.15 | 77.3 |
| 0.30 | 0.20 | 62.3 |
| 0.30 | 0.25 | 68.3 |
| 0.30 | 0.30 | 84.4 |
| 0.40 | 0.15 | 53.9 |
| 0.40 | 0.20 | 66.3 |
| 0.40 | 0.25 | 82.4 |
| 0.40 | 0.30 | 86.0 |
Disclaimer/Publisher’s Note: The statements, opinions and data contained in all publications are solely those of the individual author(s) and contributor(s) and not of MDPI and/or the editor(s). MDPI and/or the editor(s) disclaim responsibility for any injury to people or property resulting from any ideas, methods, instructions or products referred to in the content. |
© 2025 by the authors. Licensee MDPI, Basel, Switzerland. This article is an open access article distributed under the terms and conditions of the Creative Commons Attribution (CC BY) license (https://creativecommons.org/licenses/by/4.0/).
Share and Cite
Brooks, K.; Ramos, B.; Prymak, D.J.; Nelson, T.W.; Miles, M.P. Improving Simulation Model Accuracy for Friction Stir Welding of AA 2219. Materials 2025, 18, 1046. https://doi.org/10.3390/ma18051046
Brooks K, Ramos B, Prymak DJ, Nelson TW, Miles MP. Improving Simulation Model Accuracy for Friction Stir Welding of AA 2219. Materials. 2025; 18(5):1046. https://doi.org/10.3390/ma18051046
Chicago/Turabian StyleBrooks, Kennen, Bryan Ramos, David J. Prymak, Tracy W. Nelson, and Michael P. Miles. 2025. "Improving Simulation Model Accuracy for Friction Stir Welding of AA 2219" Materials 18, no. 5: 1046. https://doi.org/10.3390/ma18051046
APA StyleBrooks, K., Ramos, B., Prymak, D. J., Nelson, T. W., & Miles, M. P. (2025). Improving Simulation Model Accuracy for Friction Stir Welding of AA 2219. Materials, 18(5), 1046. https://doi.org/10.3390/ma18051046

