Effect of Electrode Surface Microstructuring on Electrochemical Biosensor Performance
Abstract
1. Introduction
2. Materials and Methods
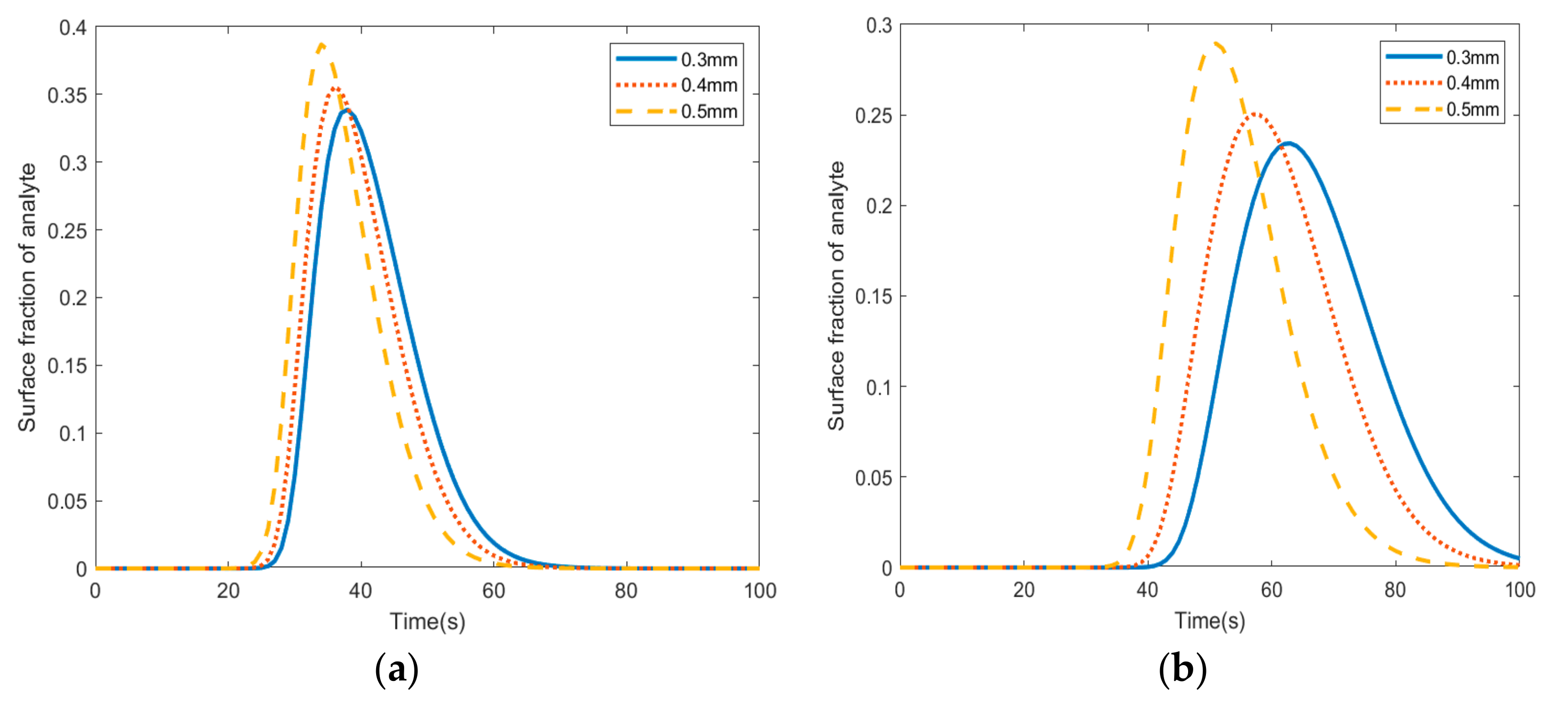
3. Results
4. Conclusions
Author Contributions
Funding
Institutional Review Board Statement
Informed Consent Statement
Data Availability Statement
Acknowledgments
Conflicts of Interest
References
- Bhalla, N.; Jolly, P.; Formisano, N.; Estrela, P. Introduction to biosensors. Essays Biochem. 2016, 60, 1–8. [Google Scholar] [CrossRef] [PubMed]
- Tan, S.S.M.; Xing, W. Biosensors for food quality and safety. J. Food Qual. 2017, 2017, 1–15. [Google Scholar]
- Bounegru, A.V.; Dinu Iacob, A.; Iticescu, C.; Georgescu, P.L. Electrochemical Sensors and Biosensors for the Detection of Pharmaceutical Contaminants in Natural Waters—A Comprehensive Review. Chemosensors 2025, 13, 65. [Google Scholar] [CrossRef]
- Wang, J. Electrochemical biosensors: Towards point-of-care cancer diagnostics. Biosens. Bioelectron. 2006, 21, 1887–1892. [Google Scholar] [CrossRef] [PubMed]
- Zhang, H.; Li, X.; Wang, J. Recent advances on electrochemical sensors for detection of contaminants of emerging concern (CECs). Molecules 2023, 28, 7916. [Google Scholar] [CrossRef] [PubMed]
- Malhotra, B.D.; Ali, M.A. Nanomaterials in biosensors: Fundamentals and applications. In Nanomaterials for Biosensors; Elsevier: Amsterdam, The Netherlands, 2017; pp. 1–22. [Google Scholar]
- Yang, D.K.; Kim, H.H.; Yoo, J.Y.; Lim, S.K.; Yoon, S.S.; Cho, I.S. Isolation and identification of Moraxella cuniculi from a rabbit with keratoconjunctivitis. Korean J. Vet. Res. 2017, 57, 201–204. [Google Scholar] [CrossRef]
- Ruckdeschel, E.A.; Brauer, A.L.; Johnson, A.; Murphy, T.F. Characterization of proteins Msp22 and Msp75 as vaccine antigens of Moraxella catarrhalis. Vaccine 2009, 27, 7065–7072. [Google Scholar] [CrossRef] [PubMed]
- Al-Ahmer, S.D.; Al-Amili, W.A.; Al-Asady, Z.H.; Al-Baiyati, N.I. Molecular Detection of Moraxella Catarrhalis Isolated from Children Infection with Otitis Media. Int. J. Sci. Nat. 2017, 8, 197–201. [Google Scholar]
- Comsol. Biosensor Design. Available online: https://www.comsol.jp/trademarks (accessed on 3 January 2022).
- Liu, B.; Lv, C.; Chen, C.; Ran, B.; Lan, M.; Chen, H.; Zhu, Y. Electrochemical Performance of Micropillar Array Electrodes in Microflows. Micromachines 2020, 11, 858. [Google Scholar] [CrossRef] [PubMed]
- Chen, C.; Ran, B.; Wang, Z.; Zhao, H.; Lan, M.; Chen, H.; Zhu, Y. Development of micropillar array electrodes for highly sensitive detection of biomarkers. RSC Adv. 2020, 10, 41110–41119. [Google Scholar] [CrossRef] [PubMed]
- Bard, A.J.; Faulkner, L.R. Electrochemical Methods: Fundamentals and Applications; John Wiley & Sons: Hoboken, NJ, USA, 2000. [Google Scholar]
- Cottrell, A.H. The analysis of current transients following a potential step. Trans. Faraday Soc. 1903, 1, 293–310. [Google Scholar]







| Disclaimer/Publisher’s Note: The statements, opinions and data contained in all publications are solely those of the individual author(s) and contributor(s) and not of MDPI and/or the editor(s). MDPI and/or the editor(s) disclaim responsibility for any injury to people or property resulting from any ideas, methods, instructions or products referred to in the content. | 
© 2025 by the authors. Licensee MDPI, Basel, Switzerland. This article is an open access article distributed under the terms and conditions of the Creative Commons Attribution (CC BY) license (https://creativecommons.org/licenses/by/4.0/).
Share and Cite
Kabalan, A.; Roueini, M.A. Effect of Electrode Surface Microstructuring on Electrochemical Biosensor Performance. Materials 2025, 18, 1390. https://doi.org/10.3390/ma18071390
Kabalan A, Roueini MA. Effect of Electrode Surface Microstructuring on Electrochemical Biosensor Performance. Materials. 2025; 18(7):1390. https://doi.org/10.3390/ma18071390
Chicago/Turabian StyleKabalan, Amal, and Maliheh Azimi Roueini. 2025. "Effect of Electrode Surface Microstructuring on Electrochemical Biosensor Performance" Materials 18, no. 7: 1390. https://doi.org/10.3390/ma18071390
APA StyleKabalan, A., & Roueini, M. A. (2025). Effect of Electrode Surface Microstructuring on Electrochemical Biosensor Performance. Materials, 18(7), 1390. https://doi.org/10.3390/ma18071390
 
        

