Abstract
Variation in species composition between two communities is so-called β diversity, or dissimilarity, and can be separated into two components: turnover and nestedness. However, the mechanisms underlying these two components remain ambiguous, particularly for different lifeforms. In this study, we examined the altitudinal gradient of biodiversity in the Baotianman Nature Reserve of the eastern Qinling Mountains in central China and found that turnover is the predominant process accounting for β diversity, that dispersal limitation is the main factor influencing species diversity, and that its effect on trees is greater than on shrubs, with herbs least affected. Nestedness, in contrast, is less prominent and generally affected by the richness deviation between communities, and the impact of richness deviation is stronger on shrubs than on trees, and in turn, stronger than on herbs. We zoned the altitudinal vegetation communities by pairwise dissimilarity index, and found that the peak value of turnover rather than β diversity indicates the existence of transitional zones; the higher the turnover index, the greater the diversity between communities. Comparatively, nestedness indicates species overlap between communities. The highest nestedness index usually occurs in the interior of vegetation zones. The result of community clustering by pairwise dissimilarity shows that understory species could have been mostly replaced upwards, while the dominant tree species may keep stable, indicating that dispersal limitation works differently for different lifeforms.
1. Introduction
One of the top issues in community ecology is the altitudinal gradient of mountain biodiversity, which is usually measured by three indicators: α, β, and γ diversity [1]. α and γ diversity indices measure species diversity for local sites and a regional species pool, respectively. β diversity (dissimilarity) describes species variance among sites [2], and numerous methods have been introduced to measure it, among which the multiplicative [1,3] and additive [4,5] approaches derived from α and γ diversity are widely used. However, neither of the two methods take into account species composition distinctions among sites. Pairwise measure dissimilarity is an intuitive way to assess the variance of species among communities; this method has become prevalent in recent years [6,7,8].
Generally, community dissimilarity would rise with the increase of distance, and this phenomenon is called distance-decay and had been extensively studied [9,10,11,12]. Pairwise dissimilarity, however, has been seldom studied between adjacent sites along an altitudinal gradient [13]. Yang et al. [13] demonstrated that the increase of dissimilarity corresponds with the transition between vegetation zones, but the relationships between vegetation zones, turnover, and nestedness components are still unknown.
Community dissimilarity at local scales is primarily determined by ecological processes like habitat filtering, dispersal limitation, and species interactions [10]. Dispersal limitation is supposed to increase dissimilarity among sites by limiting the spread of species [10,14]. Likewise, habitat filtering would increase dissimilarity by restraining a species habitat freely across abiotic gradients [15,16]. Species interactions, including facilitation and competition, would affect dissimilarity by reshaping the community assembly pattern [17]. If the potential interactions are considered among these processes, the pattern of community assembly becomes more complicated; therefore, it has become a burning question to distinguish the ecological drivers for community assembly.
By introducing dissimilarity partition, which separates the index into turnover and nestedness components, we can disentangle community variation processes into two sections. Turnover refers to the replacement of species by others between two community sites, while nestedness implies a certain set of species in one relatively species-poor community as just a subset of species in another species-rich community; the two components together are defined as dissimilarity [8,18,19,20]. Under some extreme conditions, if the species of two communities are all the same, dissimilarity is purely driven by nestedness without turnover. On the other hand, if two communities share no species, dissimilarity is only driven by turnover and the nestedness would be zero. Dissimilarity partition has been used to distinguish the drivers of the spatial assembly patterns of communities [7,18].
Dissimilarity and its components have been applied at regional or larger scales [18,21,22], but seldom at a local scale, and little has been understood concerning the mechanisms of turnover and nestedness processes among communities. By separating turnover and nestedness, researchers have found that turnover is driven by species dispersal, habitat differentiation, isolation processes, and primarily by dispersal limitation in temperate forests [7]. Nestedness, in contrast, was expected to be driven by habitat filtering across abiotic gradients, but turns out to be more related to the richness variance among communities in temperate forests [7]. With limited research on community assembly mechanisms for tree species at a local scale, it is still unknown whether the results can be applied to other vegetation lifeforms or whether the underlying drivers work for different lifeforms.
In this study, we selected the Baotianman National Nature Reserve, which is located in western Henan province in the eastern part of China’s north-south transitional zone, as the study area. Based on the survey data published by Song [23], we tried to answer the following questions: (1) What is the pattern of the altitudinal gradient of species richness and pairwise dissimilarity between adjacent communities? (2) What is the ecological significance and what are the drivers of turnover and nestedness for community assembly through the null model for different lifeforms? (3) What is the altitudinal differentiation and mechanism of α and β diversity for different lifeforms?
2. Materials and Methods
2.1. Study Area
Mt. Baotianman is 1840 m above sea level; this mountain is characterized by an annual mean temperature of 15.1 °C and annual mean precipitation of 885 mm. The survey by Song [23] was conducted in the southern flank of Baotianman (Figure 1), and a total of 24 sample plots were surveyed with an altitudinal interval of 100 m and a plot size of 20 m × 20 m. The species surveyed were recorded and divided into five lifeforms: trees, shrubs, herbs, vines, and ferns according to the Flora of China [24]. Vines and ferns are omitted due to their scattered appearance. A sum of 438 plants species was obtained (Supplementary Table S1), including 83 species of trees, 86 species of shrubs, and 269 species of herbs (Supplementary Table S2). The data were processed and sorted into a presence-absence species sample matrix of three different lifeforms.
Figure 1.
Position of Baotianman natural reserve in China and the survey sites.
2.2. Partitioning Community Dissimilarity
In this study, Sørensen dissimilarity was calculated as the dissimilarity coefficient. We used the 'betapart' package [25] in R [26] to decompose dissimilarity () into a turnover () and a nestedness () component. The value of , and are between 0–1, and =+. This study focused on the dissimilarity and its partition results between adjacent communities to characterize the vertical variation of species along the elevation gradient.
In order to explore the underlying mechanism of species gradient variation in the deciduous broadleaf forest zone, we employed a null model [27,28] to simulate the vertical alternation of species in case of species distribute uniformly (i.e., random distribution of species), and compare the gradient deviation of dissimilarity from the survey (observed) data and simulation (expected) data. In this model we set the overall diversity of trees, shrubs, and herbs, and the species richness of each site consistent with the survey data, randomly generated an 83 × 24 tree square matrix, an 86 × 24 shrub square matrix, and a 269 × 24 herb square matrix; all three matrices were added to obtain a 438 × 24 all species matrix. We obtained dissimilarity, turnover, and nestedness for adjacent plots through the “betapart” package. This simulation was repeated 1000 times, and the results were averaged. Deviation of dissimilarity and its components were calculated through observed values deducted from expected values.
2.3. Hierarchical Clustering Based on Dissimilarity
Pairwise calculation between the communities was used to generate the 24 × 24 dissimilarity matrix. Based on this matrix, communities on the altitude gradient were clustered in terms of the least squares linear model criterion to ensure the smallest square sum in the group. The clustering results were divided into categories corresponding to the vertical belts based on investigation records.
2.4. Linear Regression
The linear regression analysis method was adopted to fit the relationship between the overall dissimilarity and the turnover and nestedness of each lifeform, to detect the contribution of the turnover and nestedness of each lifeform to the overall dissimilarity.
3. Results
3.1. Species Composition along the Elevation Gradient
A total of 438 vascular species in 255 genera and 88 families were recorded in 24 plots, including 83 tree species in 52 genera and 28 families, 86 shrub species in 39 genera and 24 families, 269 herb species in 172 genera and 58 families. The richness patterns of different lifeforms along the altitudinal gradient are shown in Figure 2.
Figure 2.
Species richness of different lifeforms in Baotianman ((a): the overall richness; (b): richness of different lifeforms).
The richness curve showed a humped pattern at the intermediate elevation (around 1300–1700 m, Figure 2a), like most other mountains [29]. Different lifeforms showed the same pattern, but the peaks differ at the elevation they reach. Both tree and shrub species richness peaked at an elevation around 1300–1400 m (Figure 2b). The hump of herb species richness is almost the same as the overall richness, around the elevation of 1300–1700 m, as its contribution to overall richness is higher than tree and shrub species.
3.2. Vegetation Zonation by Pairwise Dissimilarity
Despite extensive expansion of the deciduous broadleaf forest in the southern flank of Baotianman, the vegetation belt can be zoned into five subzones according to dominant tree species and the profile of community. Below an elevation of 1100 m are the communities dominated by Quercus variabilis; between 1100 m and 1300 m are the communities dominated by Quercus serrata; between 1300 m and 1500 m lie the communities dominated by Quercus aliena var. acuteserrata; further upwards, between 1500 m and 1700 m are the communities dominated by Quercus aliena var. acuteserrata and the needleleaf species, Pinus armandii; between 1700 m and 1800 m lie the Betula albosinensis communities, and on the summit is a community dominated by cripples Quercus aliena var. acuteserrata, mainly due to the summit syndrome [30,31].
By introducing the pairwise dissimilarity index among communities, we can cluster the vegetation into five zones (separated by blue dash lines in Figure 3). The elevation range of subzones is 800–1000 m, 1000–1200 m, 1200–1400 m, 1400–1700 m and above 1700 m. The zonation according to the dominant tree species of each community is shown in Figure 3 separated by red dash lines. It is reasonable to infer that communities in the same vegetation belt are similar in their species’ composition; the unexpectedly clustered result of pairwise dissimilarity doesn’t coordinate with the result of dominated species clustering. The upper limit of sub-belts below 1400 m is 100 m higher than the result from the hierarchical cluster, while the bottom limit of sub-belts above 1400 m is lower than that of hierarchical cluster.
Figure 3.
Hierarchical Clustering based on pairwise dissimilarity. Note: The clustering result by pairwise dissimilarity (separated by blue dash lines) differs from that by dominant tree species (separated by red dash lines), and the reason is explained in Section 4.3.
3.3. Partitioning Pairwise Multiple Sites Dissimilarity
The species variance pattern can be revealed from the pairwise dissimilarity and its components of adjacent communities along elevation. We compared the distribution pattern of 4 conditions, including three lifeforms (tree, shrub, and herb refer to Figure 4a–c, respectively) and the overall result (Figure 4d). Dissimilarity under four conditions decreased with fluctuation along elevation; the fluctuation rate of the herb is the lowest among the three lifeforms, with a standard deviation (SD) of 0.09; the fluctuation rates of the tree and shrub are so high (both SD = 0.14) that more peaks and troughs are seen on the tree and shrub curves than those of the herb. The overall dissimilarity (mean ± SD:0.56 ± 0.09) is smaller than that of the herb (0.59 ± 0.09) and the shrub (0.58 ± 0.14) but higher than that of the tree (0.50 ± 0.14); the turnover rate of herb (0.53 ± 0.09) is the highest as well; the turnover rate is 0.43 ± 0.14 for the tree, 0.48 ± 0.16 for the shrub and 0.51 ± 0.08 overall, while for nestedness, the order is shrub (0.11 ± 0.10) > tree (0.07 ± 0.05) > herb (0.05 ± 0.04) = overall (0.05 ± 0.04).
Figure 4.
Observed dissimilarity and its partitioning of adjacent communities along elevation for different lifeforms, (a–c) stand for observed curves of tree, shrub and herb, respectively, and (d) is for the overall. The altitude value of every point is the average elevation of adjacent communities; the same is found below.
The pairwise dissimilarity of adjacent communities corresponds with the species variance among sites. A higher index means more species alteration between adjacent communities. The peak points of dissimilarity, which indicate the shift of subzones, are better represented in tree species than shrubs and herbs, while turnover is represented better than the dissimilarity index for all species. Nestedness, on the other hand, reached high points inside of subzones, implying that inside of the subzones the species composition shift tended to be fewer than the transition parts.
The null model was introduced to examine the dissimilarity and distribution patterns of its components without dispersal constrain; the simulated values of dissimilarity and turnover for all four conditions are higher than the observed values, except nestedness, which is smaller than the observed values (Figure 5). There are some elevation zones where dissimilarity and turnover are relatively small, but with a high level of nestedness; for tree species, these values are around 1300–1400 m and 1550–1650 m; for shrub species, these values are 1300–1400 m and 1650–1750 m. It happened that these zones corresponded with the poor richness zones of different lifeforms (Supplementary Table S2). We hypothesized that this pattern is the result of a richness difference between communities, as it is a high possibility that a community with poor species diversity is the subset of a rich community, and as a consequence, the nestedness is higher.
Figure 5.
Simulated dissimilarity and its partitioning of adjacent communities along elevation for different lifeforms, (a–c) stand for simulated curves of tree, shrub and herb, respectively, and (d) is for the overall.
To verify the hypothesis above, the correlations between dissimilarity, turnover, nestedness, and the richness deviation among communities were calculated (Table 1). The results, which were significant (Pearson’s r ≥ 0.92, p < 0.001) for different lifeforms in both simulated and observed data, showed that nestedness is stronger with a higher richness deviation. The simulated turnover process of trees and shrubs decreased with the rise of the richness deviation; in contrast, the dissimilarity index increased with the rise of the richness deviation. The linear correlation of observed turnovers and the expected dissimilarities between Δrichness is rather weak.
Table 1.
Correlation of richness deviation (Δrichness) of adjacent sites between diversity indexes.
3.4. Dissimilarity for Different Lifeforms
Linear regression was deployed to determine the relationship between the overall dissimilarity, turnover, and nestedness processes for different lifeforms (Table 2). The model fits well (adjusted R2 = 0.99), demonstrating that the turnover and nestedness of different lifeforms explained 99% of the dissimilarity among communities. The contribution of the turnover was higher than the nestedness for all lifeforms. Tree species and shrubs contributed 18.89% and 18.18%, while the contribution of herb turnover was the largest, with a rate of 32.26%; the contributions of the nestedness of different lifeforms is in this order: herb (11.88%) > shrub (10.80%) > tree (8.00%).
Table 2.
Regression of dissimilarity and the turnover and nestedness of different lifeforms.
4. Discussion
4.1. Implications of Turnover and Nestedness for Mountain Vegetation Zonation
Zoning mountain vegetation along elevation is a traditional way to visually recognize the elevation gradient of mountain vegetation [32,33]. Traditional zonation of mountain vegetation along elevation mainly considers the dominant tree species in a community and the profile of the community, while the hierarchical clustering analysis based on pairwise dissimilarity coefficients takes all species within the community into consideration. The result of the traditional way of zoning mountain vegetation based on the profile and dominant tree species of the community differs based on dissimilarity index (Figure 3 and Figure 4). This difference indicates that even if the dominant tree species of a community stays the same, other species like shrubs and herbs undergo major changes. Dissimilarity and turnover indices of adjacent elevation communities peaked at elevations where two zones meet. This is the underlying mechanism around which vegetation was clustered using a dissimilarity coefficient. The top points of nestedness are located inside the clustered vegetation zones, which means that the species composition of communities is more likely to overlap and show a higher similarity in the same vegetation zone.
4.2. Patterns of Dissimilarity for Different Lifeforms
Turnover contributes more than nestedness to dissimilarity (Table 3), indicating that the plant species alteration between adjacent communities is the main process. In terms of turnover and nestedness for different lifeforms, turnover contributes the most to dissimilarity for herbs, followed by trees and shrubs, and the overall turnover contribution rate is between that of trees and shrubs. Shrubs have the highest contribution rate of nestedness, followed by trees and herbs, which shrubs are generally between. The results of the simulation using the null model show a higher turnover contribution rate and a lower nestedness contribution rate than the results obtained from the survey. This result indicates that the distribution of the model simulations has fewer overlaps between species and the replacement process of species is stronger.
Table 3.
Contribution rate (%) of turnover and nestedness to dissimilarity.
The turnover of herb had the largest mean value with the smallest variance, which proves that the herbaceous plants underwent the most dramatic changes in the altitude gradient, and the difference in altitude was not significant. The turnover of shrubs has the largest variance, indicating that the variation of shrub species at different altitudes is quite different. The correlation between species turnover and species richness between the three lifeforms is weak, but the simulation results showed a significant negative correlation between shrubs, trees and Δrichness (Table 1), illustrating that, theoretically, if species dispersal were not restricted, an increase in the difference of richness would reduce the turnover of both trees and shrubs. Indeed, this reduction is not significant in terms of observed values. This result agrees with the finding that there is little relation between dispersal assembly and community richness [7], which was highly valued in previous studies [34].
The mean and variance value of nestedness is the largest for shrubs. Nestedness has a very significant positive correlation with the species richness between communities (Table 1). Wang et al. [7] confirmed that nestedness had a strong association with the local species richness variation. The results of this study proved the above conclusions and found that species such as trees, shrubs, and herbs all share the same pattern.
4.3. Ecological Drivers Underlying Turnover and Nestedness
The simulated value of dissimilarity and its components are under the hypothesis that the dispersal of species is unlimited along the altitudinal gradient, which means that the occurrence for different species in each sample is equal. Therefore, the deviation between simulation results (expected value) and the results from the survey (observed value) can reflect the dispersal ability of species. Wang et al. [7] illustrated that the turnover process is mainly caused by dispersal limitation factors, while the nestedness process relates to the species richness deviation among communities. Dispersal limiting will weaken the spread of the species, so that the replacement of species is lower than the unrestricted case. In the case of a strong dispersal restriction, the species variation of adjacent communities is smaller than that of random distribution, so the observed turnover is smaller than the simulated case, and the dispersal limitation should be the dominant control factor. Both the observed and simulated nestedness proved to be very positively related to the species richness deviation (Δrichness) (Table 1). We verified a significant positive correlation between Δrichness and the deviation of the observed and simulated results (Figure 6). Consequently, the deviation of turnover from the observed and simulated results in this study can be used to characterize the degree of dispersal limitation, and the nestedness deviation can be used to characterize the difference in the richness of adjacent communities.
Figure 6.
Correlation between Δrichness and nestedness deviation. Note: Δrichness is the difference of richness between adjacent communities; nestedness deviation is the difference between observed and expected nestedness. The lineal correlation of Δrichness and nestedness deviation for all lifeforms is significant.
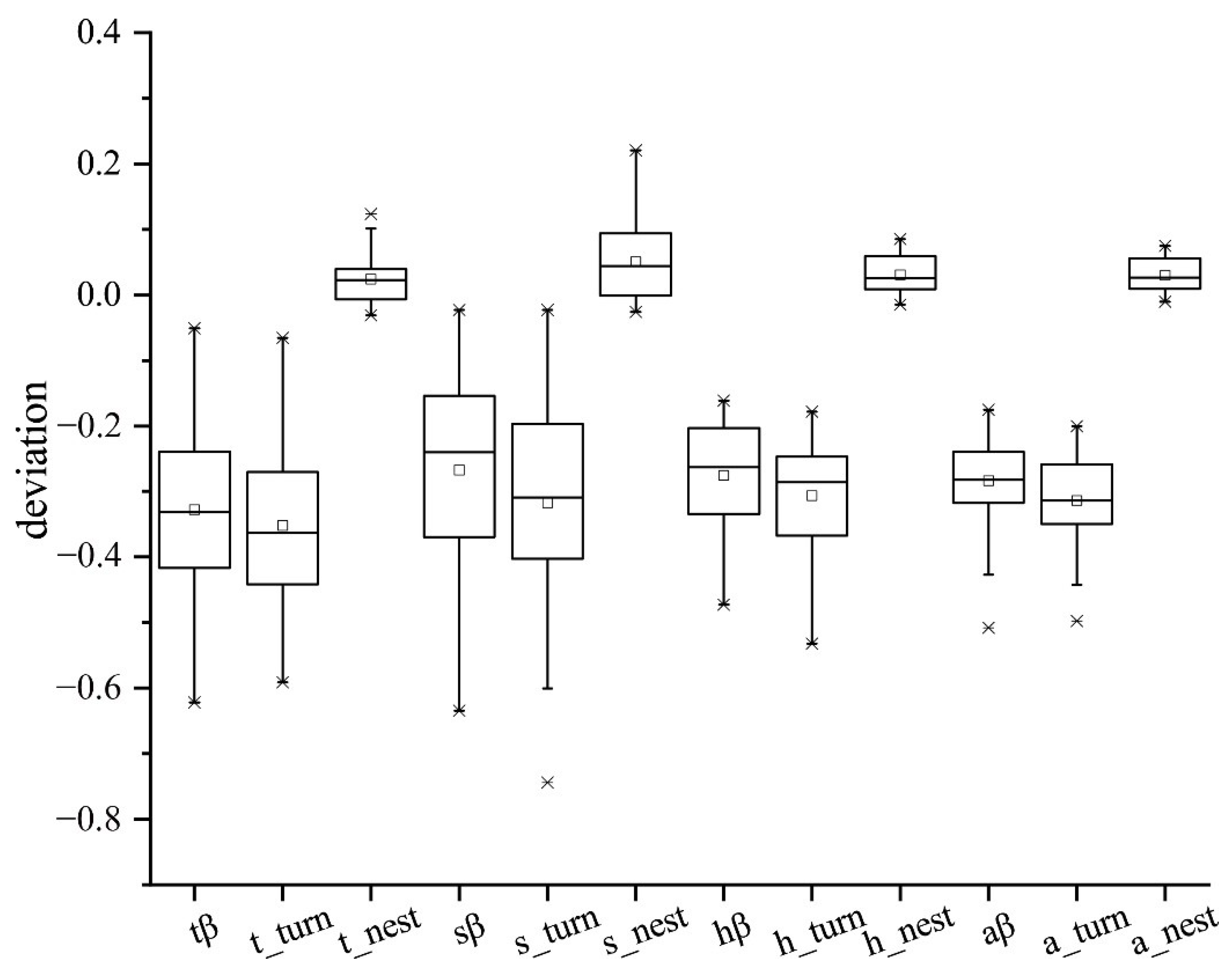
The greater the turnover deviation between adjacent communities, the stronger the dispersal limitation is. We found that the average value of trees is the largest, followed by that of shrubs and herbs (Figure 7), indicating that the intensity rank of the dispersal limitation is tree > shrub > herb. This agrees with the distribution range of different lifeforms (tree < shrub < herb) and demonstrates why the alteration of the dominant tree species is secondary to that of the understory species (Figure 3).
Figure 7.
Deviation between the observed dissimilarity and its components with simulated values. Note: “t” is an abbreviation for tree, “s” is for shrub, “h” is for herb, “a” is for overall, “β” is for dissimilarity, “turn” is for turnover, and “nest” for nestedness.
The average value of shrub nestedness deviation is the largest between herbs and trees, while overall comes last (Figure 7). The greater the deviation in nestedness, the greater the difference in species richness, demonstrating that shrub species richness differs the most between adjacent sites along the elevation gradient, but is smallest between tree species. Despite the significant correlation between Δrichness and the nestedness deviation for all lifeforms, the variance rate differs. The shifting rate of shrub nestedness deviation with Δrichness is the highest, followed by trees and herbs, and, lastly, the overall value (Figure 6), indicating that shrub species respond the strongest to the alteration of species richness, followed by trees and herbs, and, lastly, overall.
5. Conclusions
In this paper, we examined the altitudinal species richness patterns of different lifeforms in the Baotianman Nature Reserve and found that the species richness of all lifeforms humped at the middle elevation with the herb maximum richness at a higher elevation. We zoned the altitudinal vegetation gradient into five sub-belts and compared the results by traditional zonation method and the hierarchical clustering method based on dissimilarity. It was found that understory species alter more quickly than the dominant tree species along the altitudinal gradient. This result can be ascribed to the difference in dispersal limitation between different lifeforms.
Turnover is the predominant component of dissimilarity among adjacent communities. The peak values of turnover generally represent the transitional zones between two subzones, while the top values of nestedness necessarily occur inside the subzones. Therefore, it is turnover, rather than dissimilarity, that should be a more appropriate index in clustering communities into subzones. Turnover and nestedness refer to diverse ecological processes. Dispersal limitation, associated with turnover, is the main factor influencing species diversity and its effect on trees is greater than on shrubs, with herbs least affected. Nestedness is generally affected by the richness deviation between communities, and the impact of richness deviation is stronger on shrubs than on trees, and in turn, greater than the impact on herbs.
Supplementary Materials
The following are available online at https://www.mdpi.com/1999-4907/10/4/332/s1, Table S1: Species list of Baotianman. Table S2: Richness of different lifeform in study site. Survey data had been published on the book “Baotianman Nature Reserve Scientific Research Collection” in Chinese.
Author Contributions
B.Z. designed the study; C.Z., F.Y. and X.Z. collected the data; C.Z., J.W. did the data curation; C.Z., J.W. and Y.Y. did the analysis; B.Z. and C.Z. wrote the manuscript.
Funding
This study was supported by the National Science and Technology Basic Resource Investigation Program (2017FY100900), and by National Natural Science Foundation of China (41871350).
Acknowledgments
We are grateful for the constructive suggestions and comments made by two anonymous reviewers which greatly improved previous versions of this article.
Conflicts of Interest
The authors declare no conflict of interest.
References
- Whittaker, R.H. Vegetation of the Siskiyou mountains, Oregon and California. Ecol. Monogr. 1960, 30, 279–338. [Google Scholar] [CrossRef]
- Anderson, M.J.; Crist, T.O.; Chase, J.M.; Mark, V.; Inouye, B.D.; Freestone, A.L.; Sanders, N.J.; Cornell, H.V.; Comita, L.S.; Davies, K.F. Navigating the multiple meanings of β diversity: A roadmap for the practicing ecologist. Ecol. Lett. 2011, 14, 19–28. [Google Scholar] [CrossRef]
- Tuomisto, H. A diversity of beta diversities: Straightening up a concept gone awry. Part 1. Defining beta diversity as a function of alpha and gamma diversity. Ecography 2010, 33, 2–22. [Google Scholar] [CrossRef]
- Macarthur, R.; Recher, H.; Cody, M. On the Relation between Habitat Selection and Species Diversity. Am. Nat. 1966, 100, 319–332. [Google Scholar] [CrossRef]
- Thomas, O.C.; Joseph, A.V. Additive partitioning of rarefaction curves and species-area relationships: Unifying alpha-, beta- and gamma-diversity with sample size and habitat area. Ecol. Lett. 2010, 9, 923–932. [Google Scholar] [CrossRef]
- Marion, Z.H.; Fordyce, J.A.; Fitzpatrick, B.M. Pairwise beta diversity resolves an underappreciated source of confusion in calculating species turnover. Ecology 2017, 98, 933–939. [Google Scholar] [CrossRef]
- Wang, X.G.; Wiegand, T.; Anderson-Teixeira, K.J.; Bourg, N.A.; Hao, Z.Q.; Howe, R.; Jin, G.Z.; Orwig, D.A.; Spasojevic, M.J.; Wang, S.Z.; et al. Ecological drivers of spatial community dissimilarity, species replacement and species nestedness across temperate forests. Glob. Ecol. Biogeogr. 2018, 27, 581–592. [Google Scholar] [CrossRef]
- Baselga, A. The relationship between species replacement, dissimilarity derived from nestedness, and nestedness. Glob. Ecol. Biogeogr. 2012, 21, 1223–1232. [Google Scholar] [CrossRef]
- Condit, R.; Pitman, N.; Leigh, E.G.; Chave, J.; Terborgh, J.; Foster, R.B.; Núñez, P.; Aguilar, S.; Valencia, R.; Villa, G. Beta-Diversity in Tropical Forest Trees. Science 2002, 295, 666. [Google Scholar] [CrossRef]
- Hélène, M.; George, C.; Richard, C.; Stephen, H.; David, K.; Duncan, T.; Renato, V.; Green, J.L. A general framework for the distance-decay of similarity in ecological communities. Ecol. Lett. 2008, 11, 904–917. [Google Scholar] [CrossRef]
- Soininen, J.; Mcdonald, R.; Hillebrand, H.J.E. The distance decay of similarity in ecological communities. Ecography 2010, 30, 3–12. [Google Scholar] [CrossRef]
- Wang, X.; Wiegand, T.; Wolf, A.; Howe, R.; Davies, S.J.; Hao, Z. Spatial patterns of tree species richness in two temperate forests. J. Ecol. 2011, 99, 1382–1393. [Google Scholar] [CrossRef]
- Yang, Y.; Shen, Z.H.; Han, J.; Ciren, Z.Y. Plant Diversity along the Eastern and Western Slopes of Baima Snow Mountain, China. Forests 2016, 7, 89. [Google Scholar] [CrossRef]
- Catano, C.P.; Dickson, T.L.; Myers, J.A. Dispersal and neutral sampling mediate contingent effects of disturbance on plant beta-diversity: A meta-analysis. Ecol. Lett. 2017, 20, 347–356. [Google Scholar] [CrossRef] [PubMed]
- Chase, J.M.; Myers, J.A. Disentangling the importance of ecological niches from stochastic processes across scales. Philos. Trans. R. Soc. Lond. 2011, 366, 2351–2363. [Google Scholar] [CrossRef]
- Kraft, N.J.B.; Adler, P.B.; Godoy, O.; James, E.C.; Fuller, S.; Levine, J.M. Community assembly, coexistence and the environmental filtering metaphor. Funct. Ecol. 2015, 29, 592–599. [Google Scholar] [CrossRef]
- Cavieres, L.A.; Hernandez-Fuentes, C.; Sierra-Almeida, A.; Kikvidze, Z. Facilitation among plants as an insurance policy for diversity in Alpine communities. Funct. Ecol. 2016, 30, 52–59. [Google Scholar] [CrossRef]
- Baselga, A. Partitioning the turnover and nestedness components of beta diversity. Glob. Ecol. Biogeogr. 2010, 19, 134–143. [Google Scholar] [CrossRef]
- Podani, J.; Schmera, D. A new conceptual and methodological framework for exploring and explaining pattern in presence–absence data. Oikos 2011, 120, 1625–1638. [Google Scholar] [CrossRef]
- Legendre, P. Interpreting the replacement and richness difference components of beta diversity. Glob. Ecol. Biogeogr. 2014, 23, 1324–1334. [Google Scholar] [CrossRef]
- Turtureanu, P.D.; Dengler, J. Different aspects of plant diversity show contrasting patterns in Carpathian forest openings. Plant Ecol. 2012, 213, 67–76. [Google Scholar] [CrossRef]
- Descombes, P.; Vittoz, P.; Guisan, A.; Pellissier, L. Uneven rate of plant turnover along elevation in grasslands. Alpine Bot. 2017, 127, 53–63. [Google Scholar] [CrossRef]
- Song, C. Baotianman Nature Reserve Scientific Research Collection; China Forestry Press: Beijing, China, 1994. (In Chinese) [Google Scholar]
- Chinese Flora Committee, Chinese Academy of Sciences. Flora of China; Science Press: Beijing, China, 1994. [Google Scholar]
- Baselga, A.; Orme, C.D.L. betapart: An R package for the study of beta diversity. Methods Ecol. Evol. 2012, 3, 808–812. [Google Scholar] [CrossRef]
- The R Core Team. R: A Language and Environment for Statistical Computing; The R Core Team: Vienna, Austria, 2019. [Google Scholar]
- Gotelli, N.J.; Graves, G.R. Null Models in Ecology; Smithsonian Institution: Washington, USA, 1996. [Google Scholar] [CrossRef]
- Sanderson, J.G. Null model analysis of communities on gradients. J. Biogeogr. 2004, 31, 879–883. [Google Scholar] [CrossRef]
- Rahbek, C. The elevational gradient of species richness: A uniform pattern? Ecography 1995, 18, 200–205. [Google Scholar] [CrossRef]
- Yonghui, Y.; Baiping, Z.; Chao, Z. Geographical distribution of cripple tree forest and its importance for forest line in China (In Chinese). Progr. Geogr. 2017, 36, 491–499. [Google Scholar] [CrossRef][Green Version]
- Körner, C. Alpine Treelines: Functional Ecology of the Global High Elevation Tree Limits; Springer Science & Business Media: Basel, Switzerland, 2012. [Google Scholar]
- Jiang, Y.; Kang, M.Y.; Liu, S.; Tian, L.S.; Lei, M.D. A study on the vegetation in the east side of Helan Mountain. Plant Ecol. 2000, 149, 119–130. [Google Scholar] [CrossRef]
- Hemp, A. Continuum or zonation? Altitudinal gradients in the forest vegetation of Mt. Kilimanjaro. Plant Ecol. 2006, 184, 27–42. [Google Scholar] [CrossRef]
- Myers, J.A.; Chase, J.M.; Iván, J.; Jørgensen, P.M.; Alejandro, A.M.; Narel, P.Z.; Renate, S. Beta-diversity in temperate and tropical forests reflects dissimilar mechanisms of community assembly. Ecol. Lett. 2013, 16, 151–157. [Google Scholar] [CrossRef]
© 2019 by the authors. Licensee MDPI, Basel, Switzerland. This article is an open access article distributed under the terms and conditions of the Creative Commons Attribution (CC BY) license (http://creativecommons.org/licenses/by/4.0/).






