Abstract
With the intensification of coastal erosion, damage to coastal shelterbelts has gradually increased. Arbuscular mycorrhizal fungi (AMF) can improve the salinity tolerance and productivity of plants in saline–alkali soils using various strategies including nutrient uptake, osmotic regulation, soil shaping, etc. Thus, the application of AMF to alleviate the impacts of salinization for these shelterbelts has become a research hotspot. For this study, we investigated the effects of inoculation with different AMF strains on the growth and nitrogen (N) utilization of Gleditsia sinensis Lam. and Zelkova serrata (Thunb.) Makino leaves under different salt concentrations. As the salt concentration increased, the growth rates and leaf areas of the autoclaved AMF inoculant (CK) treatment exhibited a decreasing trend for both G. sinensis and Z. serrata, while Funneliformis mosseae (FM) and Corymbiglomus tortuosum (CT) treatments weakened this trend. Between them, on average, FM increased the G. sinensis height growth rate by 396.9%, ground diameter growth rate by 99.0%, and Z. serrata leaf area by 29.1%. At a salt concentration of 150 mM, the chlorophyll content and nitrate reductase activities of leaves under the FM treatment for both tree species were significantly higher than for CK, with an average increase in chlorophyll content of 106.1% and nitrate reductase activities by 74.6%. Moreover, the AMF inoculation significantly reduced the leaf N content and photosynthetic N-use efficiency of G. sinensis in contrast to Z. serrata. Further, in contrast to G. sinensis, the photosynthetic N-use efficiency was significantly positively correlated with the growth rate and leaf area of Z. serrata. Meanwhile, the nitrate reductase activity contributed most to the growth rate and leaf area of Z. serrata. Our results suggest that the issues with coastal shelterbelts might be effectively alleviated through appropriate AMF–plant combinations, which is of great significance for the optimization of forestry production.
1. Introduction
Coastal shelterbelts are important buffer zones in coastal areas, and play vital roles in buffering disturbances, stabilizing ecosystems, and shaping landscapes [1]. Gleditsia sinensis Lam. and Zelkova serrata (Thunb.) Makino are dominant tree species in coastal shelterbelts; they have significant economic and ecological value, with multiple uses beyond timber [2,3]. However, rising sea levels and the inundation and degradation of coastal ecosystems such as salt marshes and sand dunes are being caused by climate change [4,5], which seriously threatens the establishment and protection of coastal shelterbelts.
Due to the excess accumulation of sodium in the soil, sparse vegetation and soil desertification are common in coastal areas, which results in reduced land quality and ecological degradation [6]. Excessive soil salinity leads to osmotic and ionic stress for plants, inducing water deficit and ion poisoning, which affects physiological and metabolic processes, limits photosynthesis, and ultimately inhibits plant growth and crop yields [7]. The damage caused by long-term salinization lies in the excessive accumulation of Na+ [8] with the main sites of Na+ poisoning in leaves, where Na+ accumulates after deposition via the transpiration stream [9]. To support their growth, plants absorb energy through the photosynthesis that occurs in their leaves. However, excessive leaf concentrations of Na+ can disturb cellular ion homeostasis [10], destroy photosynthetic organs, and reduce the chlorophyll content [11], thereby inhibiting plant growth.
The availability of nitrogen (N) is critical for ecosystem functionality, as well as nutrient and energy cycling through the biosphere. However, there is growing evidence that N availability is declining in many terrestrial ecosystems worldwide [12]. Even worse, salt stress can directly inhibit N transport and reduction, reduce the assimilation capacity of enzymes due to ion toxicity [13], and weaken plant transpiration due to osmotic stress, thereby decreasing N uptake [14]. Studies have revealed that plant photosynthesis can be predicted by the leaf dry mass based on leaf area [15], while the leaf area is highly correlated with its N content and allocation [16]. The link between leaf N and photosynthetic capacity varies with plant species and environmental conditions [17]. Plants can alter their leaf N allocation strategies in response to environmental changes, where even slight adjustments in the allocation of N can impact photosynthetic N-use efficiency and photosynthesis, as well as overall plant survival [18,19]. It is notable that, unlike Z. serrata, G. sinensis is a leguminous plant that can perform symbiotic N fixation. However, the differences in the responses of the two species’ leaf N metabolisms to salt stress remain unclear.
To optimize nutrient acquisition, plants establish mutually beneficial associations with microorganisms [20]. Arbuscular mycorrhizal fungi (AMF) (Glomeromycotina) are the most common plant root symbionts among these microorganisms [21], and can establish symbiosis with 70%−90% of terrestrial plants [22]. AMF have been shown to influence the physiological metabolism of plants, while promoting the uptake and utilization of water and nutrients through various pathways [23,24], thus, improving their salt tolerance. Unfortunately, most investigations into improving the salt tolerance of plants using AMF have focused on crops; coastal shelterbelt tree species have received little attention [2]. Previously, we conducted a series of studies on the photosynthetic physiology, osmotic adjustment, substance content, antioxidant enzyme activities, and ion concentrations of mycorrhizal G. sinensis and Z. serrata under salt stress conditions [25,26]. However, our understanding of N metabolism in the leaves of mycorrhizal seedlings for these two tree species under salt stress remains inadequate. Furthermore, there are optimal combinations of different host plants and AMF species [27,28]; thus, specific differences in the effects of AMF inoculation on G. sinensis and Z. serrata under salt stress are still uncertain.
To investigate the detailed impacts of different AMF strains on G. sinensis (Fabaceae) and Z. serrata (Ulmaceae) leaves under salt stress, simulated salt stress tests were established using potted plants. Our objectives were to initially reveal the differences in the effects of various AMF strain inoculants on different tree species, and secondly to explore the influences of these AMF strains on leaf N utilization for different tree species under various salt concentrations. In accordance with earlier studies, we proposed our hypotheses as follows: (1) Salt stress reduces the leaf N and chlorophyll contents, as well as the photosynthetic N-use efficiency of G. sinensis and Z. serrata, which ultimately inhibits plant growth; (2) the effects of AMF inoculation alleviate this inhibitory effect; (3) the leaves of different tree species have variable responses to different AMF strains and salinity.
2. Materials and Methods
2.1. Materials and Experimental Design
The pot experiments were conducted in a Xiashu Forest Farm greenhouse, at Nanjing Forestry University, where G. sinensis and Z. serrata were used as research samples. A completely randomized block design was adopted, including three inoculations (autoclaved AMF inocula (CK), Funneliformis mosseae (FM), and Corymbiglomus tortuosum (CT)) under four salt concentrations (0, 50, 100, and 150 mM). Each tree species included 12 biological replicates per treatment for a total of 288 pots.
The F. mosseae and C. tortuosum inoculum strains were purchased from the Institute of Plant Nutrition and Resources at the Beijing Academy of Agricultural and Forestry Sciences. These two strains were cultured in an artificial climate chamber (temperature (22–25 ℃), relative humidity (60%–80%), light period (14/10 h), light intensity (800 mol/(m2·s)) for three months with maize and clover as host plants, and yellow sand as a substrate. During this period, Hoagland nutrient solution (25% phosphorus) was added weekly to each pot, and a distilled water supply was ensured. Subsequently, yellow sand, infested root segments, mycelium, and spores (>7/g) were harvested as inoculants.
The topsoil (collected from the 5–30 cm soil layer of the Xiashu Forest Farm) and yellow sand were screened to 2 mm and then mixed with vermiculite in a high-pressure steam sterilization pot at 121 ℃ under 1.4 MPa for 2 h, and left to evaporate for at least one week to remove the odor. The physical and chemical properties of the soil mixture were as follows: total C (1.55%), total N (0.03%), total P (570.48 mg kg−1), total K (15.18 g kg−1), available P (10.00 mg kg−1), available K (101.39 mg kg−1), electrical conductivity (0.23 mS cm−1), and pH (7.15). After a 3 h immersion in a 0.3% KMnO4 solution, clean plantpots (27 × 21 × 19 cm3) were used as test containers.
The G. sinensis seeds for the trials were obtained from the Forestry Station of Jiangsu Province, while Z. serrata seeds were harvested from a mother tree at Nanjing Forestry University. The seeds were sterilized, washed, germinated, and cultivated in an artificial climate chamber (temperature (22–25 ℃), relative humidity (60%–80%), light period (14/10 h), light intensity (800 mol/(m2·s)) for subsequent use. The detailed selection and cultivation methods followed those described by Wang et al. [25] and Ma et al. [29]. Each pot was inoculated with one germinated G. sinensis seed or one Z. serrata seedling, and the culture substrate was ~2.5 kg that contained 80 g of AMF inoculant. The non-inoculated control pots contained the same dosages of sterilized inoculum and inoculum filtrate (without AMF). The seedlings were cultured until June 2018, during which time they were regularly watered with 300 mL of Hoagland nutrient solution containing 25% phosphorus per pot per month. The indoor environmental conditions of the greenhouse were temperature (18–35 °C), relative humidity (40–80%), light period (14/10 h), and light intensity (700–1000 μmol/(m2·s)).
The salt stress treatment began at the end of June 2018 and concluded at the end of August 2018. The three inoculation treatments (CK, FM, and CT) were irrigated with NaCl concentrations of 0, 50, 100, and 150 mM at 300 mL per week, and the salt was added gradually to avoid salt shock reactions. During this period, distilled water was supplemented to prevent drought stress, and 300 mL of Hoagland nutrient solution (25% phosphorus) was used to water every month per pot. The plants were harvested in September 2018, and three saplings from each of the inoculation treatments under each salt concentration were selected for the determination of each index.
2.2. Determination of Mycorrhizal Colonization Status
The dry weights of whole plants were recorded after drying the plant tissues in an oven at 70 °C to a constant weight. The mycorrhizal dependency was calculated using the formula [26]: mycorrhizal dependency (%) = (dry weight biomass of whole inoculated plants − dry weight biomass of whole non-inoculated plants)/dry weight biomass of whole inoculated plants × 100%.
The harvested fine roots of each plant were rinsed and cut into 1 cm long segments, cleared by soaking in 10% (w/v) KOH, and stained in a 0.05% (w/v) trypan blue solution [30]. The AMF colonization rate was calculated using the following formula [3]: mycorrhizal colonization rate (%) = number of colonized root segments/total number of segments × 100%.
2.3. Determination of Plant Growth
The sapling height (from the base of the stems to the terminal bud) was quantified using a tape measure, whereas the stem basal diameter was measured using a vernier caliper at the base of the stem. The sapling height and stem ground diameter were measured on 29 June 2018 (prior to the salt stress tests) and on 3 September 2018, following the salt stress tests. The relative growth rate indicated by the ground diameter and height was determined using the equations: HGR = (sapling height after salt stress − sapling height before salt stress)/sapling height before salt stress; DGR = (sapling ground diameter after salt stress − sapling ground diameter before salt stress)/sapling ground diameter before salt stress.
2.4. Determination of Leaf Area and Assay of Chlorophyll Content
Fully expanded mature leaves per treatment were selected for the determination of the leaf area and chlorophyll following the end of the salt stress treatments. A leaf area meter (LA 211, Systronics, New Delhi, India) was employed for the measurement of leaf areas. The leaf chlorophyll content (Chl a, chlorophyll a; Chl b, chlorophyll b) was extracted with 80% acetone, according to the method described by Zhang et al. [31].
2.5. Determination of N Content and Photosynthetic N-Use Efficiency and Assay of Nitrate Reductase Activity
Prior to harvesting, the net leaf photosynthetic rate (Pn) was evaluated on the third expanded leaf using an infrared gas analyzer (LI-6400, LICOR, Lincoln, NE, USA) with a leaf chamber (6 cm2) between 09:30 and 11:30 am. The ratio of photosynthetic rate to content of N per unit area of leaf determined the photosynthetic N-use efficiency [32].
Nitrate reductase (NR) activity was quantified according to the technique described by Debouba et al. [33]. The dried roots were ground separately and sifted through a 0.5 mm sieve, after which 50 mg samples were used to determine the N concentration via an elemental analyzer (Vario MACRO cube; Elementar Trading Shanghai, Shanghai, China).
2.6. Statistical Analyses
Differences in the mycorrhizal colonization rate, mycorrhizal dependency, plant growth rate, leaf area, leaf chlorophyll content, leaf N content, nitrate reductase activity, and photosynthetic N-use efficiency between the various salinity treatments and different inoculation treatments were analyzed using one-way ANOVA, followed by a Duncan test (SPSS 26.0 Inc., Chicago, IL, USA), and visualized by GraphPad Prism 9 (GraphPad Software, Inc., La Jolla, CA, USA). Correlation and boosted regression tree analyses were conducted (R 4.0.5) to examine associations between the NaCl level, mycorrhizal colonization rate, mycorrhizal dependency, leaf chlorophyll content, leaf N content, nitrate reductase activity, photosynthetic N-use efficiency, and plant growth to evaluate the contribution rate of these indicators to the plant height, ground diameter growth rate, and leaf area [34].
3. Results
3.1. Mycorrhizal Colonization Rate and Dependency
The AMF colonization status of the three treatments for G. sinensis and Z. serrata were shown in Figure 1. With increased salt concentrations, the mycorrhizal colonization rate of the inoculation treatments was reduced. Among them, when the salt concentration was 150 mM, the mycorrhizal colonization rate of the G. sinensis and Z. Serrata CT treatments decreased by 12.68% and 30.4%, respectively (p < 0.05), compared with 0 mM. The mycorrhizal colonization rates of the Z. serrata FM treatment were lower than 0 mM under the other salt concentrations (p < 0.05). Further, the mycorrhizal colonization rates of the FM treatment for G. sinensis and Z. serrata were greater than those of the CT treatment (p < 0.05), except when the salt concentration was 50 mM (Figure 2A,B).
Figure 1.
Variations in mycorrhizal colonization status between treatments and species. (A)mycorrhizal colonization statu of G. sinensis CK treatment [29]; (B) mycorrhizal colonization statu of G. sinensis FM treatment; (C) mycorrhizal colonization statu of G. sinensis CT treatment [29]; (D) mycorrhizal colonization statu of Z. serrata CK treatment; (E) mycorrhizal colonization statu of Z. serrata FM treatment; (F) mycorrhizal colonization statu of Z. serrata CT treatment.
Figure 2.
Variations in the mycorrhizal colonization rate and dependency between treatments. (A) mycorrhizal colonization rate of G. sinensis different treatments; (B) mycorrhizal colonization rate of Z. serrata different treatments; (C) mycorrhizal dependency of G. sinensis different treatments; (D) mycorrhizal dependency of Z. serrata different treatments. Uppercase letters indicate significant differences between various inoculation treatments under the same salt levels (p ˂ 0.05). Lowercase letters indicate significant differences between various salt concentrations under the inoculation treatments (p ˂ 0.05).
With higher salt concentrations, the mycorrhizal dependence of the G. sinensis FM treatment gradually increased, while the mycorrhizal dependence of the CT treatment initially increased and then decreased. Among them, when the salt concentrations were 100 mM and 150 mM, mycorrhizal dependence under the FM treatment was increased by 9.0% and 8.4%, respectively (p < 0.05), compared with 0 mM. When the salt concentration was 100 mM, the mycorrhizal dependence of the CT treatment was higher than that under other salt concentrations (p < 0.05) (Figure 2C). In contrast to the FM treatment of Z. serrata, mycorrhizal dependence under the CT treatment decreased under higher salt concentrations. When the salt concentration was higher than or equal to 100 mM, the mycorrhizal dependence of the FM treatment was higher than that of the CT treatment (p < 0.05) (Figure 2D).
3.2. Plant Growth Rate and Leaf Area
Whether inoculated or not, the height and ground diameter growth rates and leaf areas of G. sinensis and Z. serrata decreased under higher salt concentrations. Compared with Z. serrata, inoculation had a greater effect on the height growth rate of G. sinensis. When the salt concentration was > 0 mM, the height growth rate of G. sinensis under the FM treatment was significantly greater than that under the CT and CK treatments (p < 0.05) (Figure 3A,B).
Figure 3.
Variation in the height and ground diameter growth rate and leaf area between treatments. (A) height growth rate of G. sinensis different treatments; (B) height growth rate of Z. serrata different treatments; (C) ground diameter growth rate of G. sinensis different treatments; (D) ground diameter growth rate of Z. serrata different treatments; (E) leaf area of G. sinensis different treatments; (F) leaf area of Z. serrata different treatments. Uppercase letters indicate a significant difference between various inoculation treatments under the same salt levels (p ˂ 0.05). Lowercase letters indicate a significant difference between various salt concentrations under the inoculation treatments (p ˂ 0.05).
Compared to the CK treatment, increases in the ground diameter growth rate of G. sinensis under the FM and CT treatments were found at 50 and 100 mM salt concentrations (p < 0.05). The difference between the FM and CK treatments was significant (p < 0.05) under the 150 mM salt concentration. Moreover, the Z. serrata FM treatment had a higher rate of ground diameter growth than the CK treatment when the salt concentration was 100 mM (Figure 3C,D).
Furthermore, inoculation had a greater effect on the Z. serrata leaf area in contrast to G. sinensis. When the salt concentration was>0 mM, there was a significant difference between the FM and CK treatments in terms of the Z. serrata leaf area (p < 0.05) (Figure 3E,F).
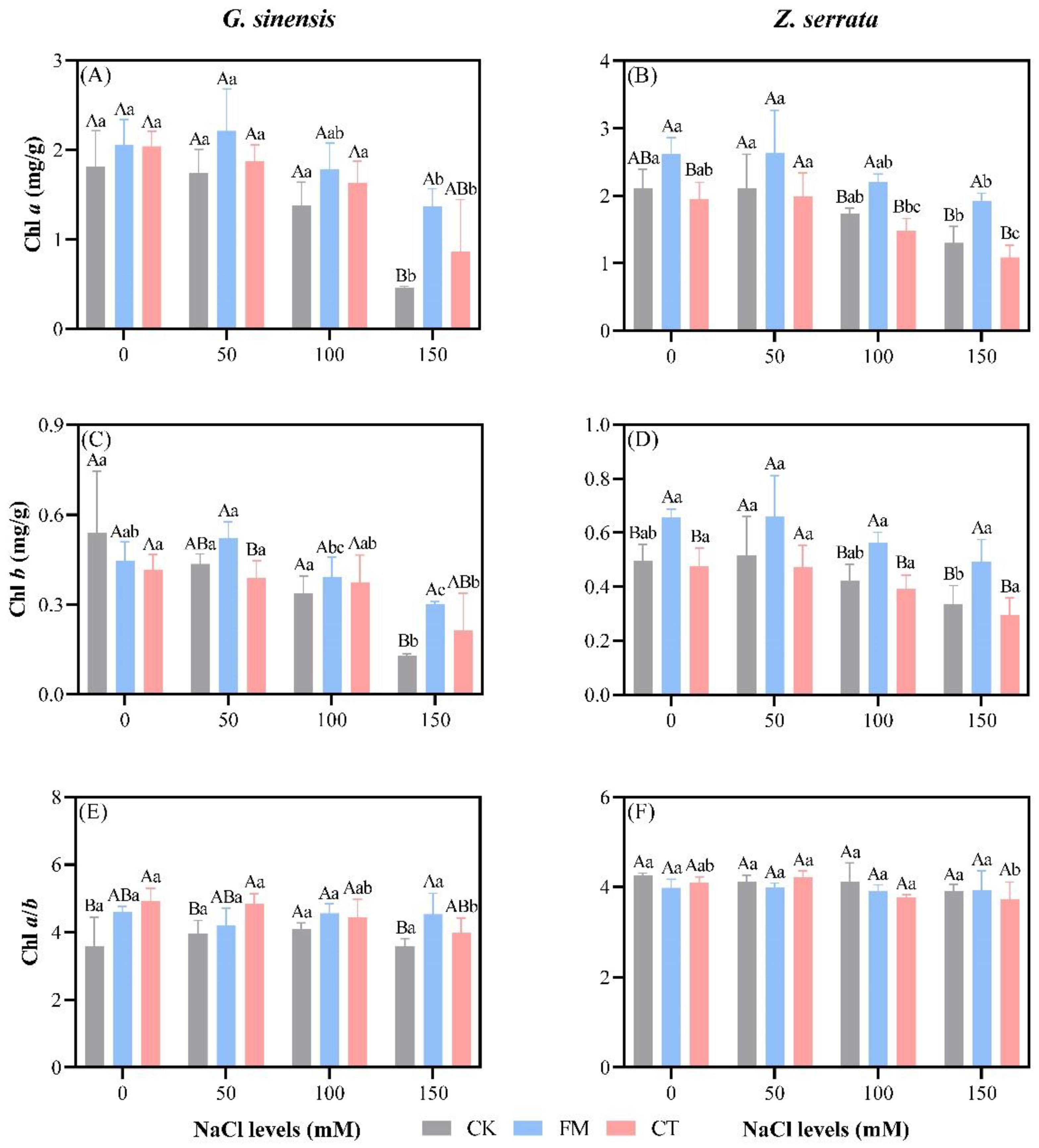
3.3. Leaf Chlorophyll Content
Whether inoculated or not, the chlorophyll a and chlorophyll b contents of G. sinensis and Z. serrata decreased with higher salt concentrations. Under the FM treatment, when the salt concentration was 150 mM, significant increases in chlorophyll a and chlorophyll b content were recorded in G. sinensis compared to the CK treatment (p < 0.05) (Figure 4A,C). The highest chlorophyll a and chlorophyll b contents were observed under the Z. serrata FM treatment at 100 and 150 mM salt concentrations (p < 0.05) (Figure 4B,D).
Figure 4.
Variation in the chlorophyll a and b content and ratio of chlorophyll a to chlorophyll b content between treatments. (A) chlorophyll a content of G. sinensis different treatments; (B) chlorophyll a content of Z. serrata different treatments; (C) chlorophyll b content of G. sinensis different treatments; (D) chlorophyll b content of Z. serrata different treatments; (E) ratio of chlorophyll a content to chlorophyll b content of G. sinensis different treatments; (F) ratio of chlorophyll a content to chlorophyll b content of Z. serrata different treatments. Uppercase letters indicate A significant difference between various inoculation treatments under the same salt levels (p ˂ 0.05). Lowercase letters indicate a significant difference between various salt concentrations under the inoculation treatments (p ˂ 0.05).
When the salt concentration was 0 mM, the chlorophyll a/b values under the G. sinensis CT treatment were higher than those under the CK treatment (p < 0.05). A significant difference in the chlorophyll a/b values was found between the G. sinensis FM and CK treatments at a salt concentration of 150 mM (p < 0.05). However, there were no significant differences in the chlorophyll a/b values between the FM, CT, and CK treatments of Z. serrata under the various salt concentrations (Figure 4E,F).
3.4. Leaf N Content, Nitrate Reductase Activity, and Photosynthetic N-Use Efficiency
With higher salt concentrations, G. sinensis and Z. serrata leaf N content was observed to decrease under the CK treatment, while there were no significant differences between the two tree species under the FM treatment at any of the salt concentrations. When the salt concentration was < 150 mM, the leaf N content of G. sinensis under the FM and CT treatments was less than that under the CK treatment (p < 0.05). Moreover, the Z. serrata leaves treated with FM had a higher N content than those under the CT treatment, but only at a salt concentration of 100 mM (p < 0.05) (Figure 5A,B).
Figure 5.
Variations in the leaf N content, nitrate reductase activity, and photosynthetic N-use efficiency between treatments. (A) leaf N content of G. sinensis different treatments; (B) leaf N content of Z. serrata different treatments; (C) nitrate reductase activity of G. sinensis different treatments; (D) nitrate reductase activity of Z. serrata different treatments; (E) photosynthetic N-use efficiency of G. sinensis different treatments; (F) photosynthetic N-use efficiency of Z. serrata different treatments. Uppercase letters indicate a significant difference between various inoculation treatments under the same salt levels (p ˂ 0.05). Lowercase letters indicate a significant difference between various salt concentrations under the inoculation treatments (p ˂ 0.05).
The nitrate reductase activity of G. sinensis and Z. serrata under the FM treatments revealed an initially increasing and then decreasing trend with higher salt concentrations, while under the CK treatment they continued to decrease. The nitrate reductase activities were identical for both tree species in that they were higher under the FM treatment than under the CK and CT treatments when the salt concentrations were 100 and 150 mM (p < 0.05). However, unlike Z. serrata, the nitrate reductase activity of G. sinensis under the FM and CT treatments was lower than with the CK treatment when the salt concentrations were 0 and 50 mM (p < 0.05) (Figure 5C,D).
Whether inoculated or not, the photosynthetic N-use efficiency of G. sinensis and Z. serrata exhibited a decreasing trend with higher salt concentrations. Inoculation had a greater effect on the photosynthetic N-use efficiency of G. sinensis than with Z. serrata, whereas photosynthetic N-use efficiency under the FM and CT treatments was inferior to that under the CK treatment at each salt concentration (p < 0.05) (Figure 5E,F).
3.5. Correlations between NaCl Levels, Mycorrhizal Colonization Status, Leaf Physiology, and Plant Growth
The results of the Pearson correlation analysis are depicted in Figure 6. For both tree species, the growth rate and leaf area were significantly negatively correlated with the salt concentration, but significantly positively correlated with the chlorophyll a content (p < 0.05). Moreover, the nitrate reductase activity of Z. serrata had a positive correlation with the growth rate and leaf area, while that of G. sinensis was only positively related to the height growth rate (p <0.05). In contrast to G. sinensis, the leaf N content and photosynthetic N-use efficiency of Z. serrata were significantly positively correlated with the growth rate and leaf area (p < 0.05). In addition, the mycorrhizal colonization rate was significantly positively correlated with the growth rate of G. sinensis and had a strong positive correlation with the leaf area of Z. serrata (p < 0.05).
Figure 6.
Correlation analysis of the NaCl level, mycorrhizal colonization rate, mycorrhizal dependency, leaf area, leaf physiology, and plant growth. (A) Correlation analysis of various indicators of G. sinensis; (B) Correlation analysis of various indicators of Z. serrata. Abbreviations: NaCl, NaCl level; MCR, mycorrhizal colonization rate; MD, mycorrhizal dependency; Chl a, chlorophyll a content; Chl b, chlorophyll b content; Chl a/b, ratio of chlorophyll a content to chlorophyll b content; LNC, leaf N content; NR, nitrate reductase activity; NUE, photosynthetic N-use efficiency. *** Indicates significant correlation at p < 0.001; ** indicates significant correlation at p < 0.01; * indicates significant correlation at p < 0.05. The darker the color, the stronger the correlation; the lighter the color, the weaker the correlation.
3.6. Primary Factors Affecting Plant Growth and Leaf Area
A boosted regression tree model was employed to analyze the contributions of leaf physiology to leaf area and plant growth for the two tree species (Figure 7). The results implied that the greatest contributors to the height growth rate of G. sinensis were the salt concentration and leaf N content, while the nitrate reductase activity and photosynthetic N-use efficiency contributed more to the height growth rate of Z. serrata (Figure 7A,B).
Figure 7.
Boosted regression tree model evaluation of the contribution rates of the NaCl level, mycorrhizal colonization rate, mycorrhizal dependency, leaf area, and leaf physiology to plant height, ground diameter growth rate, and leaf area. (A) boosted regression tree analysis of G. sinensis height growth rate; (B) boosted regression tree analysis of Z. serrata height growth rate; (C) boosted regression tree analysis of G. sinensis groud diameter growth rate; (D) boosted regression tree analysis of Z. serrata groud diameter growth rate; (E) boosted regression tree analysis of G. sinensis leaf area; (F) boosted regression tree analysis of Z. serrata leaf area. The abbreviation translations are consistent with Figure 6.
For the ground diameter growth rate of the two tree species, the contributions of nitrate reductase activities were highest and both exceeded 40%. The contributions of the salt concentration and leaf N content to G. sinensis were second only to the nitrate reductase activity, while the contribution of photosynthetic N-use efficiency and chlorophyll b content were higher for Z. serrata (Figure 7C,D).
The photosynthetic N-use efficiency contributed > 40% to the leaf area of G. sinensis, while it contributed < 20% to the leaf area of Z. serrata. The highest contribution to the leaf area of Z. serrata was the nitrate reductase activity (30.11%) (Figure 7E,F).
4. Discussion
4.1. Responses of Different Mycorrhizal Tree Species to Salt Stress
The rate of mycorrhizal colonization varied greatly between tree species and different AMF strains, as has been confirmed by numerous studies [35,36,37]. This was supported by our results, where the mycorrhizal colonization rate of F. mosseae for both G. sinensis and Z. serrata was higher than that of C. tortuosum. In alignment with earlier studies [38,39] we found that high salinity reduced the mycorrhizal colonization rate due to the inhibition of AMF mycelial growth, spore production, and spore germination [40]. Regardless of which AMF strain was inoculated, the mycorrhizal dependence of G. sinensis was higher than that of Z. serrata, which was attributed to the fact that plants with thick and less branched roots and few root hairs have a higher mycorrhizal dependence [26,41].
In general, mycorrhizal plants are more resistant to salt stress and grow better than non-mycorrhizal plants [42], as reflected in the studies of mycorrhizal Robinia pseudoacacia [39] and Arundo donax [43]. In our study, this was also demonstrated by the significant positive impacts of F. mosseae inoculation on the height and ground diameter growth rates of G. sinensis at salt concentrations > 0 mM compared with Z. serrata. These results indicate that the growth-promoting effects of AMF are related to the host plants, which is of great significance for maintaining the diversity of plant community ecosystems [28]. However, the same AMF may have variable growth-promoting effects and pathways for different plants [44]. We observed that in contrast to G. sinensis, F. mosseae inoculation could significantly increase the leaf area of Z. serrata under salt stress.
4.2. Effects of Chlorophyll Content on the Growth of Different Mycorrhizal Tree Species under Salt Stress
Chlorophyll a and b form the basis of organic nutrition for plants [45] and indicate to a certain extent the salt tolerance of plants [46], which was verified by their positive correlation with the growth rates and leaf areas in our results. Moreover, we found that salinity decreased the chlorophyll a and b content of G. sinensis and Z. serrata. However, inoculation with F. mosseae significantly increased the chlorophyll content at a 150 mM salt concentration. This suggests that the effects of salt stress on chlorophyll synthesis were lower in the presence of AMF, which could be attributed to AMF-secreted substances (e.g., cytokinins) that facilitate the development of chloroplasts [26]. The above results partially support our first and second hypotheses.
Since chlorophyll a and chlorophyll b have different chemical structures and absorption spectra, their ratio is a key photosynthetic adaptation index [47]. Our experimental results revealed the significant enhancement of chlorophyll a/b in G. sinensis inoculated with F. mosseae under a 150 mM salt concentration. Combining its positive correlations with growth rate and leaf area, and significant positive correlations between the G. sinensis mycorrhizal colonization rate and chlorophyll a/b (Figure S2), AMF inoculation may assist with the adaptation of plants to highly saline environments by influencing G. sinensis chlorophyll cycling [48].
4.3. Effects of N Status on the Growth of Different Mycorrhizal Tree Species under Salt Stress
Salinity can interfere with the acquisition, utilization, and metabolism of N in plants, which results in reduced plant growth [49]. In this study, it was also reflected through a decrease in the leaf N content of Z. serrata and its positive correlation with growth rate and leaf area. However, unlike Z. serrata, there was a significantly negative correlation between the mycorrhizal colonization rate and leaf N content for G. sinensis (Figure S2), which responded to changes in the carbon capture strategy of mycorrhizal G. sinensis leaves [50]. Consistent with our earlier study on the root N content of G. sinensis [29], the decreased N content may have been due to enhanced carbon assimilation, which resulted in leaf N dilution on one hand [51], and dramatically increased plant biomass (Figure S1) which translated to N investments in plant structures, defense, etc. on the other [52,53].
In alignment with our understanding of G. sinensis root systems and previous research [14,29], high salinity typically affects N metabolism in G. sinensis and Z. serrata leaves by disrupting the activities of nitrate reductase. Considerable evidence demonstrates that the combination of AMF with plant roots improves the assimilation of N by leaves. For example, AMF markedly elevated the basal and stressed nitrate reductase activities in Aeluropus littoralis [54] and Lycopersicon esculentum leaves [55]. Our results also demonstrate that F. mosseae inoculation can significantly increase nitrate reductase activities in G. sinensis and Z. serrata leaves under high salt concentrations (100 mM and 150 mM). Combined with the positive correlations between nitrate reductase activities and the growth rate and leaf area, the regulatory significance of AMF on N metabolism under stress conditions was further elucidated.
The relationship between leaf N and photosynthetic capacity varies depending on the plant species and environmental conditions [17]. The photosynthetic N-use efficiency of both G. sinensis and Z. serrata decreased with the intensity of salt stress, which was consistent with previous studies [32,56]. Furthermore, earlier studies have found that stressed plants invest additional N in non-photosynthetic components to coordinate growth and environmental adaptation, at the expense of photosynthetic N-use efficiency [57,58]. In contrast to Z. serrata, our experimental results revealed that the higher the mycorrhizal colonization rate and mycorrhizal dependence, the lower the photosynthetic N-use efficiency of G. sinensis (Figure S2). This suggests that inoculation with AMF caused more plant N to be used for G. sinensis biomass (Figure S1), structural, defense, and other non-photosynthetic applications, such as higher leaf antioxidant enzyme activities [26] to augment its resistance to salt stress. The above results partially support our three hypotheses.
4.4. Variations between Tree Species in Response to AMF Inoculation and Salt Stress
Correlation analysis revealed that the mycorrhizal colonization rate strongly stimulated the growth rate of G. sinensis, while it significantly increased the leaf area of Z. serrata. The above results also confirmed the variable effects of combining different AMF strains with distinct tree species [44]. Using a boosted regression tree analysis model, we found that nitrate reductase activity played a critical role in the growth rate and leaf area of Z. serrata, while salt concentrations had greater effects on the height and ground diameter growth rate of G. sinensis. This may have been due to the unique characteristics of these tree species, with G. sinensis being more responsive to salinity. Further to the discussion above, we suggest that for Z. serrata, inoculation with F. mosseae maintains photosynthetic N-use efficiencies by increasing the leaf chlorophyll content and nitrate reductase activity, which in turn enhances the leaf area under salt stress. In contrast, for G. sinensis, inoculation with F. mosseae and C. tortuosum coordinates growth through the allocation of more N into non-photosynthetic components and greater biomass (Figure S1) for improved resistance to salt stress. Furthermore, we found that the effect of F. mosseae inoculation was more efficient than that of C. tortuosum. A potential explanation for this might lie in the fact that F. mosseae was found to be the dominant species on a highly saline beach in our previous field survey [59], which also confirmed the universality of this species. Thus, the above results support our third hypothesis.
This study analyzed the specific responses of only G. sinensis and Z. serrata leaves to different AMF strains under increasing salinity. However, details regarding the N distribution in other mycorrhizal plant leaves remain to be investigated. Further, the molecular kinetics of AMF regulation associated with N distribution and utilization under salt stress might be elucidated through omics analysis.
5. Conclusion
Pot experiments were established in which G. sinensis and Z. serrata were inoculated with different AMF strains under salt stress. It was revealed that F. mosseae inoculation could effectively stimulate G. sinensis growth and Z. serrata leaf extension by coordinating photosynthetic N-use efficiency and nitrate reductase activity under salt stress. Furthermore, the N-utilization strategies of mycorrhizal G. sinensis and Z. serrata were different under salt stress; thus, a combination of G. sinensis and F. mosseae is the recommended choice for the development and optimization of coastal shelterbelts.
In summary, the issue of degrading coastal shelterbelts might be effectively alleviated through the use of appropriate AMF–plant combinations, which may be of great significance for the optimization of forestry production.
Supplementary Materials
The following supporting information can be downloaded at: https://www.mdpi.com/article/10.3390/f13101568/s1, Figure S1: variations in the plant dry weights between treatments; Figure S2: correlation analysis of NaCl level, mycorrhizal colonization rate, mycorrhizal dependency and leaf physiology, plant dry weight.
Author Contributions
Conceptualization, S.M., J.W. and X.L.; data curation: S.M., J.Y, Z.J. and C.L.; formal analysis, J.W.; funding acquisition, J.Y. and J.Z. (Jinchi Zhang); investigation, J.Y., J.W. and J.Z. (Jingyi Zeng); methodology, S.M., J.W., Z.J., C.L. and J.Z. (Jingyi Zeng); project administration, J.Y., X.L. and J.Z. (Jinchi Zhang); resources, J.Y. and X.L.; software, S.M., Z.J., C.L., J.Z. and X.L.; supervision, X.L. and J.Z. (Jinchi Zhang); validation, J.Y., J.W., C.L. and J.Z. (Jinchi Zhang); visualization, S.M., Z.J. and J.Z. (Jingyi Zeng); writing—original draft, S.M.; writing—review & editing, S.M., J.Y., X.L. and J.Z. (Jinchi Zhang). All authors have read and agreed to the published version of the manuscript.
Funding
This research was funded by the Jiangsu Science and Technology Plan Project [BE2022420]; Postgraduate Research & Practice Innovation Program of Jiangsu Province [KYCX22_1124]; the Innovation and Promotion of Forestry Science and Technology Program of Jiangsu Province [LYKJ (2021) 30]; the Priority Academic Program Development of Jiangsu Higher Education Institutions [PAPD]; the Ningxia Natural Science Excellent Youth Foundation [2022AAC05005]; the Ningxia Natural Science Foundation [2020AAC03091], and the Open Fund for Key Lab. of Land Degradation and Ecological Restoration in Northwestern China of Ningxia University [LDER2022Q04]. And the APC was funded by the Priority Academic Program Development of Jiangsu Higher Education Institutions [PAPD] and the Jiangsu Science and Technology Plan Project [BE2022420].
Institutional Review Board Statement
Not applicable.
Informed Consent Statement
Not applicable.
Data Availability Statement
The data presented in this study are available upon request from the corresponding author.
Acknowledgments
We thank Frank Boehm from Lakehead University for the language editing of this manuscript.
Conflicts of Interest
The authors declare no conflict of interest.
Abbreviations
AMF: arbuscular mycorrhizal fungi; NaCl, NaCl level; MCR, mycorrhizal colonization rate; MD, mycorrhizal dependency; Chl a, chlorophyll a content; Chl b, chlorophyll b content; Chl a/b, ratio of chlorophyll a content to chlorophyll b content; LNC, leaf N content; NR, nitrate reductase activity; NUE, photosynthetic N-use efficiency.
References
- Wu, L.; He, D.; Ji, Z.; You, W.; Tan, Y.; Zhen, X.; Yang, J. Protection efficiency assessment and quality of coastal shelterbelt for dongshan island at the coastal section scale. J. Res. 2017, 28, 577–584. [Google Scholar] [CrossRef]
- Wang, J.; Fu, Z.; Ren, Q.; Zhu, L.; Lin, J.; Zhang, J.; Yue, J. Effects of arbuscular mycorrhizal fungi on growth, photosynthesis, and nutrient uptake of Zelkova serrata (thunb.) makino seedlings under salt stress. Forests 2019, 10, 186. [Google Scholar] [CrossRef]
- Wang, J.; Zhong, H.; Zhu, L.; Yuan, Y.; Xu, L.; Wang, G.; Zhang, J. Arbuscular mycorrhizal fungi effectively enhances the growth of Gleditsia sinensis lam. Seedlings under greenhouse conditions. Forests 2019, 10, 567. [Google Scholar] [CrossRef]
- Jankowski, K.L.; Törnqvist, T.E.; Fernandes, A.M. Vulnerability of louisiana’s coastal wetlands to present-day rates of relative sea-level rise. Nat. Commun. 2017, 8, 14792. [Google Scholar] [CrossRef] [PubMed]
- Feagin, R.A.; Sherman, D.J.; Grant, W.E. Coastal erosion, global sea-level rise, and the loss of sand dune plant habitats. Front. Ecol. Environ. 2005, 3, 359–364. [Google Scholar] [CrossRef]
- Li, X.; Zhang, C. Effect of natural and artificial afforestation reclamation on soil properties and vegetation in coastal saline silt soils. CATENA 2021, 198, 105066. [Google Scholar] [CrossRef]
- Abiala, M.A.; Abdelrahman, M.; Burritt, D.J.; Tran, L.S.P. Salt stress tolerance mechanisms and potential applications of legumes for sustainable reclamation of salt-degraded soils. Land Degrad. Dev. 2018, 29, 3812–3822. [Google Scholar] [CrossRef]
- Martinez-Rodriguez, M.M.; Estañ, M.T.; Moyano, E.; Garcia-Abellan, J.O.; Flores, F.B.; Campos, J.F.; Bolarín, M.C. The effectiveness of grafting to improve salt tolerance in tomato when an ‘excluder’ genotype is used as scion. Environ. Exp. Bot. 2008, 63, 392–401. [Google Scholar] [CrossRef]
- Yan, H.; Hu, X.; Li, F. Leaf photosynthesis, chlorophyll fluorescence, ion content and free amino acids in Caragana korshinskii kom exposed to nacl stress. Acta Physiol. Plant. 2012, 34, 2285–2295. [Google Scholar] [CrossRef]
- Takahashi, R.; Nishio, T.; Ichizen, N.; Takano, T. Salt-tolerant reed plants contain lower Na+ and higher K+ than salt-sensitive reed plants. Acta Physiol. Plant. 2007, 29, 431. [Google Scholar] [CrossRef]
- Akram, M.S.; Ashraf, M. Exogenous application of potassium dihydrogen phosphate can alleviate the adverse effects of salt stress on sunflower. J. Plant Nutr. 2011, 34, 1041–1057. [Google Scholar] [CrossRef]
- Mason, R.E.; Craine, J.M.; Lany, N.K.; Jonard, M.; Ollinger, S.V.; Groffman, P.M.; Elmore, A.J. Evidence, causes, and consequences of declining nitrogen availability in terrestrial ecosystems. Science 2022, 376, eabh3767. [Google Scholar] [CrossRef] [PubMed]
- Flores, P.; Botella, M.A.; Martinez, V.; Cerdá, A. Ionic and osmotic effects on nitrate reductase activity in tomato seedlings. J. Plant Physiol. 2000, 156, 552–557. [Google Scholar] [CrossRef]
- Ashraf, M.; Shahzad, S.M.; Imtiaz, M.; Rizwan, M.S. Salinity effects on nitrogen metabolism in plants—focusing on the activities of nitrogen metabolizing enzymes: A review. J. Plant Nutr. 2018, 41, 1065–1081. [Google Scholar] [CrossRef]
- Evans, J.R.; Clarke, V.C. Clarke. The nitrogen cost of photosynthesis. J. Exp. Bot. 2018, 70, 7–15. [Google Scholar] [CrossRef] [PubMed]
- Zong, Y.Z.; Zhang, H.Q.; Li, P.; Zhang, D.S.; Hao, X.Y.; Gao, Z.Q. Leaf nitrogen have a better relationship with photosynthesis performance across wheat species under elevated CO2 and drought. Plant Physiol. Biochem. 2021, 166, 964–973. [Google Scholar]
- Liu, M.; Liu, X.; Zhao, Y.; Korpelainen, H.; Li, C. Sex-specific nitrogen allocation tradeoffs in the leaves of Populus cathayana cuttings under salt and drought stress. Plant Physiol. Biochem. 2022, 172, 101–110. [Google Scholar] [CrossRef]
- Mu, X.; Chen, Q.; Chen, F.; Yuan, L.; Mi, G. Dynamic remobilization of leaf nitrogen components in relation to photosynthetic rate during grain filling in maize. Plant Physiol. Biochem. 2018, 129, 27–34. [Google Scholar] [CrossRef]
- Park, M.; Cho, S.; Park, J.; Lee, H.; Song, W.; Park, I.K.; Kim, H.S. Size-dependent variation in leaf functional traits and nitrogen allocation trade-offs in Robinia pseudoacacia and Cornus controversa. Tree Physiol. 2019, 39, 755–766. [Google Scholar] [CrossRef]
- Roy, S.; Müller, L.M. A Rulebook for Peptide Control of Legume–Microbe Endosymbioses; Trends in Plant Science: Amsterdam, The Netherlands, 2022. [Google Scholar]
- Marro, N.; Grilli, G.; Soteras, F.; Caccia, M.; Longo, S.; Cofré, N.; Borda, V.; Burni, M.; Janoušková, M.; Urcelay, C. The effects of arbuscular mycorrhizal fungal species and taxonomic groups on stressed and unstressed plants: A global meta-analysis. New Phytol. 2022, 235. [Google Scholar] [CrossRef]
- Smith, S.E.; Read, D.J. Mycorrhizal symbiosis. Q. Rev. Biol. 2008, 3, 273–281. [Google Scholar]
- Ruíz-Sánchez, M.; Armada, E.; Muñoz, Y.; de Salamone, I.E.G.; Aroca, R.; Ruíz-Lozano, J.M.; Azcón, R. Azospirillum and arbuscular mycorrhizal colonization enhance rice growth and physiological traits under well-watered and drought conditions. J. Plant Physiol. 2011, 168, 1031–1037. [Google Scholar] [CrossRef] [PubMed]
- Smith, S.E.; Smith, F.A. Fresh perspectives on the roles of arbuscular mycorrhizal fungi in plant nutrition and growth. Mycol. 2012, 104, 1–13. [Google Scholar] [CrossRef]
- Wang, J.P.; Zhai, L.; Ma, J.Y.; Zhang, J.C.; Wang, G.G.; Liu, X.; Zhang, S.F.; Song, J.; Wu, Y.K. Comparative physiological mechanisms of arbuscular mycorrhizal fungi in mitigating salt-induced adverse effects on leaves and roots of Zelkova serrata. Mycorrhiza 2020, 30, 341–355. [Google Scholar] [CrossRef]
- Wang, J.; Yuan, J.; Ren, Q.; Zhang, B.; Zhang, J.; Huang, R.; Wang, G.G. Arbuscular mycorrhizal fungi enhanced salt tolerance of Gleditsia sinensis by modulating antioxidant activity, ion balance and P/N ratio. Plant Growth Regul. 2022, 97, 33–49. [Google Scholar] [CrossRef]
- Zhang, Z.; Zhang, J.; Xu, G.; Zhou, L.; Li, Y. Arbuscular mycorrhizal fungi improve the growth and drought tolerance of Zenia insignis seedlings under drought stress. New For. 2019, 50, 593–604. [Google Scholar] [CrossRef]
- Jiang, J.; Moore, J.A.; Priyadarshi, A.; Classen, A.T. Plant-mycorrhizal interactions mediate plant community coexistence by altering resource demand. Ecol. 2017, 98, 187–197. [Google Scholar] [CrossRef] [PubMed]
- Ma, S.L.; Zhu, L.J.; Wang, J.P.; Liu, X.; Jia, Z.H.; Li, C.; Liu, J.; Zeng, J.Y.; Zhang, J.C. Arbuscular mycorrhizal fungi promote Gleditsia sinensis Lam. root growth under salt stress by regulating nutrient uptake and physiology. Forests 2022, 13, 688. [Google Scholar] [CrossRef]
- Toth, R.; Toth, D. Quantifying vesicular-arbuscular mycorrhizae using a morphometric technique. Mycologia 1982, 74, 182–187. [Google Scholar] [CrossRef]
- Zhang, Q.; Zhang, M.; Ding, Y.; Zhou, P.; Fang, Y. Composition of photosynthetic pigments and photosynthetic characteristics in green and yellow sectors of the variegated Aucuba japonica ‘variegata’ leaves. Flora 2018, 240, 25–33. [Google Scholar] [CrossRef]
- Hussain, S.J.; Khan, N.A.; Anjum, N.A.; Masood, A.; Khan, M.I.R. Mechanistic elucidation of salicylic acid and sulphur-induced defence systems, nitrogen metabolism, photosynthetic, and growth potential of mungbean (Vigna radiata) under salt stress. J. Plant Growth Regul. 2021, 40, 1000–1016. [Google Scholar] [CrossRef]
- Debouba, M.; Maâroufi-Dghimi, H.; Suzuki, A.; Ghorbel, M.H.; Gouia, H. Changes in growth and activity of enzymes involved in nitrate reduction and ammonium assimilation in tomato seedlings in response to Nacl stress. Ann. Bot. 2007, 99, 1143–1151. [Google Scholar] [CrossRef] [PubMed]
- Jia, Z.H.; Meng, M.J.; Li, C.; Zhang, B.; Zhai, L.; Liu, X.; Ma, S.L.; Cheng, X.F.; Zhang, J.C. Rock-solubilizing microbial inoculums have enormous potential as ecological remediation agents to promote plant growth. Forests 2021, 12, 357. [Google Scholar] [CrossRef]
- Estrada, B.; Aroca, R.; Maathuis, F.J.; Barea, J.M.; Ruiz-Lozano, J.M. Arbuscular mycorrhizal fungi native from a mediterranean saline area enhance maize tolerance to salinity through improved ion homeostasis. Plant Cell Environ. 2013, 36, 1771–1782. [Google Scholar] [CrossRef]
- Garg, N.; Pandey, R. Effectiveness of native and exotic arbuscular mycorrhizal fungi on nutrient uptake and ion homeostasis in salt-stressed Cajanus cajan l.(millsp.) genotypes. Mycorrhiza 2015, 25, 165–180. [Google Scholar] [CrossRef]
- Giri, B.; Kapoor, R.; Mukerji, K.G. Influence of arbuscular mycorrhizal fungi and salinity on growth, biomass, and mineral nutrition of Acacia auriculiformis. Biol. Fertil. Soils 2003, 28, 170–175. [Google Scholar] [CrossRef]
- Navarro, J.M.; Pérez-Tornero, O.; Morte, A. Alleviation of salt stress in citrus seedlings inoculated with arbuscular mycorrhizal fungi depends on the rootstock salt tolerance. J. Plant Physiol. 2014, 171, 76–85. [Google Scholar] [CrossRef]
- Chen, J.; Zhang, H.; Zhang, X.; Tang, M. Arbuscular mycorrhizal symbiosis alleviates salt stress in black locust through improved photosynthesis, water status, and K+/Na+ homeostasis. Front. Plant Sci. 2017, 8, 1739. [Google Scholar] [CrossRef]
- Jahromi, F.; Aroca, R.; Porcel, R.; Ruiz-Lozano, J.M. Influence of salinity on the in vitro development of glomus intraradices and on the in vivo physiological and molecular responses of mycorrhizal lettuce plants. Microb. Ecol. 2008, 55, 45–53. [Google Scholar] [CrossRef]
- Yang, H.; Zhang, Q.; Dai, Y.; Liu, Q.; Tang, J.; Bian, X.; Chen, X. Effects of arbuscular mycorrhizal fungi on plant growth depend on root system: A meta-analysis. Plant Soil 2015, 389, 361–374. [Google Scholar] [CrossRef]
- Zhang, Z.; Zhang, J.; Huang, Y. Effects of arbuscular mycorrhizal fungi on the drought tolerance of Cyclobalanopsis glauca seedlings under greenhouse conditions. New For. 2014, 45, 545–556. [Google Scholar] [CrossRef]
- Pollastri, S.; Savvides, A.; Pesando, M.; Lumini, E.; Volpe, M.G.; Ozudogru, E.A.; Faccio, A.; De Cunzo, F.; Michelozzi, M.; Lambardi, M.; et al. Impact of two arbuscular mycorrhizal fungi on Arundo donax l. response to salt stress. Planta 2018, 247, 573–585. [Google Scholar] [CrossRef] [PubMed]
- Zeng, Y.; Guo, L.P.; Chen, B.D.; Hao, Z.P.; Wang, J.Y.; Huang, L.Q.; Yang, G.; Cui, X.M.; Yang, L.; Wu, Z.X.; et al. Arbuscular mycorrhizal symbiosis and active ingredients of medicinal plants: Current research status and prospectives. Mycorrhiza 2013, 23, 253–265. [Google Scholar] [CrossRef] [PubMed]
- Ma, S.L.; Liu, X.; Jia, Z.H.; Meng, M.J.; Li, C.; Ren, Q.; Zhai, L.; Zhang, B.; Zhang, Y.L.; Zhang, J.C. Response of Quercus acutissima foliage to different types of simulated acid rain. Atmos. Pollut. Res. 2021, 12, 101112. [Google Scholar] [CrossRef]
- Takai, T.; Kondo, M.; Yano, M.; Yamamoto, T. A quantitative trait locus for chlorophyll content and its association with leaf photosynthesis in rice. Rice 2010, 3, 172–180. [Google Scholar] [CrossRef]
- Yang, Y.L.; Xu, J.; Huang, L.C.; Leng, Y.J.; Dai, L.P.; Rao, Y.C.; Chen, L.; Wang, Y.Q.; Tu, Z.J.; Hu, J.; et al. PGL, encoding chlorophyllide a oxygenase 1, impacts leaf senescence and indirectly affects grain yield and quality in rice. J. Exp. Bot. 2015, 67, 1297–1310. [Google Scholar] [CrossRef]
- Rüdiger, W. Biosynthesis of chlorophyll b and the chlorophyll cycle. Photosynth. Res. 2002, 74, 187–193. [Google Scholar] [CrossRef]
- Munns, R.; Tester, M. Mechanisms of salinity tolerance. Annu. Rev. Plant Biol. 2008, 59, 651–681. [Google Scholar] [CrossRef]
- Dong, N.; Prentice, I.C.; Wright, I.J.; Evans, B.J.; Togashi, H.F.; Caddy-Retalic, S.; McInerney, F.A.; Sparrow, B.; Leitch, E.; Lowe, A.J. Components of leaf-trait variation along environmental gradients. New Phytol. 2020, 228, 82–94. [Google Scholar] [CrossRef]
- Taub, D.R.; Wang, X. Why are nitrogen concentrations in plant tissues lower under elevated CO2? A critical examination of the hypotheses. J. Integr. Plant Biol. 2008, 50, 1365–1374. [Google Scholar] [CrossRef]
- Dong, N.; Prentice, I.C.; Evans, B.J.; Caddy-Retalic, S.; Lowe, A.J.; Wright, I.J. Leaf nitrogen from first principles: Field evidence for adaptive variation with climate. Biogeosciences 2017, 14, 481–495. [Google Scholar] [CrossRef]
- Onoda, Y.; Wright, I.J.; Evans, J.R.; Hikosaka, K.; Kitajima, K.; Niinemets, Ü.; Poorter, H.; Tosens, T.; Westoby, M. Physiological and structural tradeoffs underlying the leaf economics spectrum. New Phytol. 2017, 214, 1447–1463. [Google Scholar] [CrossRef] [PubMed]
- Hajiboland, R.; Dashtebani, F.; Aliasgharzad, N. Physiological responses of halophytic C4 grass Aeluropus littoralis to salinity and arbuscular mycorrhizal fungi colonization. Photosynth. 2015, 53, 572–584. [Google Scholar] [CrossRef]
- Sun, Y.H.; Gu, C.X.; Li, G.Z.; Han, A.H.; Hao, L. Arbuscular mycorrhizal fungus-mediated amelioration of NO2-induced phytotoxicity in tomato. Ecotoxicol. Environ. Saf. 2020, 205, 111350. [Google Scholar] [CrossRef]
- Yoon, S.K.; Park, E.J.; Choi, Y.I.; Bae, E.K.; Kim, J.H.; Park, S.Y.; Kang, K.S.; Lee, H. Response to drought and salt stress in leaves of Poplar (Populus alba × Populus glandulosa): Expression profiling by oligonucleotide microarray analysis. Plant Physiol. Biochem. 2014, 84, 158–168. [Google Scholar] [CrossRef]
- Zhong, C.; Jian, S.F.; Huang, J.; Jin, Q.Y.; Cao, X.C. Trade-off of within-leaf nitrogen allocation between photosynthetic nitrogen-use efficiency and water deficit stress acclimation in rice (Oryza sativa l.). Plant Physiol. Biochem. 2019, 135, 41–50. [Google Scholar] [CrossRef]
- Trouwborst, G.; Hogewoning, S.W.; Harbinson, J.; van Ieperen, W. Photosynthetic acclimation in relation to nitrogen allocation in cucumber leaves in response to changes in irradiance. Physiol. Plant. 2011, 142, 157–169. [Google Scholar] [CrossRef]
- Wang, J.; Ma, S.L.; Wang, G.G.; Xu, L.; Fu, Z.; Song, J.; Zhang, J. Arbuscular mycorrhizal fungi communities associated with wild plants in a coastal ecosystem. J. For. Res. 2020, 32, 683–695. [Google Scholar] [CrossRef]
Publisher’s Note: MDPI stays neutral with regard to jurisdictional claims in published maps and institutional affiliations. |
© 2022 by the authors. Licensee MDPI, Basel, Switzerland. This article is an open access article distributed under the terms and conditions of the Creative Commons Attribution (CC BY) license (https://creativecommons.org/licenses/by/4.0/).






