Next Article in Journal
Albic Podzols of Boreal Pine Forests of Russia: Soil Organic Matter, Physicochemical and Microbiological Properties across Pyrogenic History
Previous Article in Journal
Assessment of Variability: Chloroplast Microsatellite DNA, Defoliation, and Regeneration Potential of Old Pine Stands of Different Origins in the Context of Assisted Genotype Migration
 
 
Font Type:
Arial Georgia Verdana
Font Size:
Aa Aa Aa
Line Spacing:
Column Width:
Background:
Article

Carbon, Nitrogen, and Phosphorus Stoichiometry between Leaf and Soil Exhibit the Different Expansion Stages of Moso Bamboo (Phyllostachys edulis (Carriere) J. Houzeau) into Chinese Fir (Cunninghamia lanceolata (Lamb.) Hook.) Forest

1
College of Geographical Sciences, Fujian Normal University, Fuzhou 350007, China
2
College of Science and Technology, The Open University of Fujian, Fuzhou 350003, China
3
College of Forestry, Fujian Agriculture and Forestry University, Fuzhou 350002, China
*
Author to whom correspondence should be addressed.
Forests 2022, 13(11), 1830; https://doi.org/10.3390/f13111830
Submission received: 15 October 2022 / Revised: 25 October 2022 / Accepted: 31 October 2022 / Published: 3 November 2022
(This article belongs to the Section Forest Soil)

Abstract

The expansion of Moso bamboo (Phyllostachys edulis (Carriere) J. Houzeau) has triggered native forest retreat and a range of ecological issues, especially for the Chinese fir (Cunninghamia lanceolata (Lamb.) Hook.) forests with similar growing conditions. In order to reveal the stoichiometric characteristics of Moso bamboo succession and scientifically control the forest retreat caused by the expansion of Moso bamboo into Chinese fir, mixed forests including 0%, 30%, 50%, 60%, and 80% of Moso bamboo expanded into Chinese fir forests were used to simulate the expansion stages I, II, III, IV, and V, respectively. In addition, by measuring the C, N, and P contents in Moso bamboo leaves and soils and calculating the correlation stoichiometric ratios, the correlation and coupling of which were explored and combined with an ecological homeostasis model at different stages of Moso bamboo expansion. The results demonstrated that P was a key element for the high utilization of Moso bamboo growth, and the expansion principle was influenced by N limitation. The conclusion was that the anthropogenic regulation of C content in soil could achieve the purpose of expansion control and exploit the carbon sequestration capacity in the mixed forest with half Moso bamboo and half Chinese fir, which should discourage the expansion.

1. Introduction

Moso bamboo (Phyllostachys edulis (Carriere) J. Houzeau) exhibits highly economical, ecological, and cultural values with characteristics of a fast growth rate, a high regeneration capacity, and the dual use of bamboo shoots and timber [1,2]. As important tree species for forest resources in collective forest areas in southern China, Moso bamboo and Chinese fir (Cunninghamia lanceolata (Lamb.) Hook.) have similar growth environment conditions and often grow together, playing important ecological roles jointly such as water conservation [3]. Since the 1980s, with the change in China’s forest rights system, Moso bamboo has become more popular among foresters because its faster-growing and more productive properties were better than Chinese fir [4]. However, the stronger extension behavior of Moso bamboo adapting to the environment often triggered negative disputes over forest rights boundaries. It seriously affected the stability of forest resources management in the southern collective forest area and restricted the improvement and deepening of the forest rights system reform. In addition, the development of the new synthetic alternative materials industry and the increase in labor costs caused the industrialization advantages of Moso bamboo to become gradually weakened. Increasingly, a large number of Moso bamboo forests had been abandoned, making the native forests’ retreat and Moso bamboo’s advance more aggravated. Subsequently, a greater negative impact happened to biodiversity and forest ecological structure [5,6,7,8]. In this case, it is necessary to employ basic quantitative research on Moso bamboo expansion to Chinese fir forests to promote the scientific management of forest resources.
Ecological chemometrics establishes an elemental cycle system at the atomic–molecular–biological–ecosystem scale by studying the relationships between the composition of the essential elements of living organisms. It includes two well-known theories of Growth Rate Hypothesis (GRH) and Homeostasis and plays a central role in revealing the ecological functions and adaptive strategies of different organisms, as well as biodiversity and ecosystem feedback mechanisms [9]. As the most basic material elements for living organisms, carbon ©), (C), nitrogen (N), and phosphorus (P) are all mineral and organic nutrients essential for plant growth and development, which are closely linked to vegetative organic matter, protein and nucleic acid composition, and important indicator elements for soil quality assessment [10]. In certain environments, the property of organisms, which conform to the law of definite composition or proportion and have a relatively fixed stoichiometric composition [11,12], offer the possibility of exploring the characteristics of C, N and P and their stoichiometric ratios among different organisms to unravel the specificity of plant adaptations to the environment.
As current hot spots in vegetation ecological stoichiometry research, the leaf and soil are two essential components of the sensitivity evaluation of adaptation mechanisms in Moso bamboo extension into Chinese fir forests [13]. The former is the main site of photosynthesis, and the researches on the oxygen content and the relationship of stoichiometry in different elements are important for understanding plant growth and development and ecological adaptation strategies [14], while the latter is the main source of nutrients absorbed by vegetations. Most of the current studies on the ecological stoichiometry of Moso bamboo forests have been conducted unilaterally from soil, microorganisms, and vetetation organs [15,16,17]. Only a few studies considering vegetation and soil as a whole have not analyzed them from the perspective of the ecological stoichiometry changes caused by Moso bamboo expansion, especially lacking an essential understanding of what triggers the biodiversity changes in native forests. Thereby, we studied the holistic changes in the stoichiometry of Moso bamboo leaves and soils through setting belt transects including five sample squares. They were used to simulate the expansion stages with different proportions of Moso bamboo. Additionally, the main objectives were to explore the characteristics of C, N, and P stoichiometry and stoichiometric ratios in response to Moso bamboo expansion, reveal the stoichiometric limiting elements, and propose stoichiometric strategies to cope with Moso bamboo expansion. Specifically, it was hypothesized that: (1) Moso bamboo expansion into Chinese fir forests will cause synergistic changes in leaf and soil C, N, and P stoichiometry and stoichiometric ratios; (2) such changes will point to N or P limitation in mixed fir-bamboo stands; and (3) chemometric strategies combined with specificized forest management solutions can suggest targeted control measures.

2. Materials and Methods

2.1. Site Description

A significant forest site of Moso bamboo expansion to Chinese fir forest was chosen in Tian Baoyan National Nature Reserve located in Xiyang Town, Sanming County, Fujian Province, China (25°52′ N, 117°28′ E; 652–733 m in altitude; Figure 1). The site has a central subtropical oceanic monsoon climate with average annual temperatures of approximately 23℃ (the minimum temperature of −11 °C; the maximum temperature of 40 °C) and average annual precipitation of about 2000 mm with a humidity of over 80% and a frost-free period of around 290 days. The soil is mainly Oxisol with low productivity, which is commonly found in subtropical regions. Associated with a few broadleaf species include Schima superba Gardn. et Champ., Choerospondias axillaris (Roxb.) B. L. Burtt and A. W. Hill, and Liriodendron chinense (Hemsl.) Sarg. [18,19], the mixed fir-bamboo forest is the main artificial economic forest compose of 40-year-old Chinese fir and nearly 20-year-old Moso bamboo and has been treated with fertilization, harvesting, and understory removal.

2.2. Experimental Design

Five survey belt transects of 10 m×50 m were selected with similar stand conditions and trends of Moso bamboo expansion to Chinese fir forests in June 2021, and each one was divided into five 10 m×10 m sample plots numbered 1, 2, 3, 4, and 5 along the direction of the expansion to simulate the expansion stages V, IV, III, II, and I, respectively (Figure 1). The proportion of Moso bamboo at each stage was 80%, 60%, 50%, 30%, and 0%, and followed by the proportion of Moso bamboo gradually decreasing, the proportion of Chinese fir gradually increased as the expansion interface moved forward. By measuring the C, N, and P contents in Moso bamboo leaves and soils and calculating the correlation stoichiometric ratios, a comparative analysis of the differences and correlations of the stoichiometric relationships between the leaves, soils, and leaf-soil at different stages of expansion was carried out in order to find out the stoichiometric characteristics of the expansion of Moso bamboo into Chinese fir forest. The basic information on the belt transect settings is shown in Table 1.

2.3. Leaf and Soil Sampling

A field investigation was conducted at the peak of plant growth in mid-July 2021. Leaf samples were obtained from five randomly selected typical Moso bamboo plants which were close to the mean diameter at breast height within each square, and the outer current year leaves were taken and brought back to the laboratory after mixing in each sample plot. Afterward, a series of sample treatments were carried out including inactivating various enzymes to keep the chemical composition of vegetation tissues stable in a blast drying oven at 105℃ for 30 min, drying at 80℃ until the mass was constant, pulverizing, grinding, screening with a 0.15 mm sieve, and so on. Soil sampling was carried out using a five-point sampling method, i.e., five sampling points were selected along an “S” pattern within the sample area [20]. The 30 cm soil cores were taken from top to bottom using a 65 mm inner diameter soil auger after removing the surface litter. Soil samples from each sample plot weighing 1 kg were put into a self-sealing bag by using the quadrant method after mixing, labeling with a number, and being taken back to the laboratory for a series of treatments such as air-drying, screening through a 2 mm sieve to remove dead branches and large gravels, and screening with 1 mm and 0.15 mm sieves after grinding, respectively. It should be noted that, in practice, the strong expansive nature of the Moso bamboo results in the inevitable presence of some Moso bamboo in each natural sample. In order to ensure that soil data from all stages of Moso bamboo expansion were available for comparison with the leaf data, we retained Moso bamboo leaves from the stage I of expansion (0% of simulated Moso bamboo plant) sample for analysis. Consequently, a total of 50 soil samples and 50 Moso bamboo leaf samples were taken for the experiment.
Nutrient determination methods: Total carbon (C), total nitrogen (N), and total phosphorus (P) contents were determined separately for post-treatment samples of leaves and soils. C was determined by potassium dichromate oxidation titration; N by Kjeldahl distillation; P by the Mo-Sb Colorimetric Method [21].

2.4. Data Processing and Analysis

Linear regression analysis and one-way ANOVA were used to analyze the experimental data for the relationship between leaf and soil nutrients and stoichiometric ratios in different stages of Moso bamboo expansion to Chinese fir. Pearson correlation analysis was used for correlations, and the software of OriginPro (2021, Northampton, Massachusetts, USA) was used for charting. Excel (2019, Redmond, Washington, USA) was used for tabulating.
The homeostasis relationship of each stage of the Moso bamboo expansion was fitted by linear regression analysis with the model: y = cx1/H, and the fitting process transformed the equation into logy = logc + logx/H by taking the logarithmic transformation of both sides, where y represents the vegetation nutrient element content of N, P, and N:P; x represents the corresponding soil environmental nutrient element content; c is a constant varying from plant to environment; H is the homeostasis index, and the homeostasis class is usually divided into homeostatic (0–0.25), weakly homeostatic (0.25–0.5), weakly plastic (0.5–0.75), and plastic (0.75–1) with 1/H, which represents the homeostasis coefficient [22].

3. Results

3.1. Carbon, Nitrogen, and Phosphorus Stoichiometry Characteristics of Moso Bamboo Leaves at Different Stages of Expansion towards Chinese Fir Forest

Leaf C, N, and P (LC, LN, LP) contents varied with fluctuations in the forest of Moso bamboo expansion to Chinese fir with a significant linear relationship only in LN, and LP displayed significant differences (p < 0.1) between stage III with stages II and IV of Moso bamboo expansion (Figure 2). It indicated that the nutrient strategy of Moso bamboo differs for different Moso bamboo percentages, probably due to the allometric growth characteristics which use nutrients for different organ growth at different periods [23]. The content of LC, LN, and LP ranged from 248.84 g kg−1 to 374.97 g kg−1 with a mean value of 305.97 g kg−1, 41.94 g kg−1 to 45.86 g kg−1 with a mean value of 44.21 g kg−1, and 2.48 g kg−1 to 4.71 g kg−1 with a mean value of 3.60 g kg−1, respectively. Moreover, with the increase in the proportion of Moso bamboo expansion towards the Chinese fir forest, the fluctuating changes of LC and LP were consistent, showing increase–decrease–increase–decrease, in contrast to LN, which showed decrease–increase–decrease, and the elemental contents showed II > IV > I > V > III for LC and LP, and IV > I > III > II > V for LN. It showed that the growth rate of Moso bamboo was different at different stages of expansion, which might be related to the density of Chinese fir. Moso bamboo grew faster as the expanding Moso bamboo gradually adapted to the environment and slowed down as the forest density increased, while growth became faster again at a later stage as the density of Chinese fir decreased [24]. In addition, the LC content was slightly lower in the late expansion period (304.89 g kg−1) than in the early (308.80 g kg−1), and the lowest LC content (287.56 g kg−1) was found in the mixed stands with nearly half of the fir–bamboo forest; the lowest LN content (43.93 g kg−1) was found in the late stage of expansion, the highest LN content (44.59 g kg−1) was found in the Moso bamboo stands with about 60% plants, and the LN content did not vary much between the 0% and 50% Moso bamboo stands, i.e., the pure Chinese fir and half of the fir–bamboo ones; the LP content was slightly lower in the late expansion period (3.44 g kg−1) than in the early (3.48 g kg−1), and was lowest in the mixed stands with nearly half bamboo (3.26 g kg−1).
Changes in stoichiometric ratios between LC, LN, and LP were influenced by the corresponding contents and were also shown by large fluctuations in the forest in which Moso bamboo expanded into Chinese fir. The relatively fixed stoichiometric ratios of plants were a reflection of their adaptation to their environment, and changes in stoichiometry will inevitably lead to changes in stoichiometric ratios [16]. The change in LN:LP was consistent with the significant change in LP and showed significant differences (p < 0.1) between stage III with stages II and IV of expansion. LC:LN decreased sharply at stage III of expansion, showing its lowest value (6.49) in the stands which had nearly 50% Moso bamboo while showing consistency in both the Moso bamboo and Chinese fir forest at the early and late stages of expansion, which indicated that the lowest growth rate occurred when the proportion of Moso bamboo expansion reached 50%. LC:LP and LN:LP showed decreases of about 10% at stages II and IV of expansion, showing the lowest ratios at 30% and 60% Moso bamboo stands in mixed fir–bamboo forests. The former showed similarities at 0%, 50%, and 80% of Moso bamboo expansion, and the latter showed a maximum at 50%. The results indicated that Moso bamboo adopted competitive strategies when the early Moso bamboo expansion periods gained a competitive advantage, while it adopted defensive strategies during the mid and late periods [25]. This change reflected the plants’ ability to assimilate C and, to some extent, the nutrient use efficiency of the plant [26]. Furthermore, as the proportion of Moso bamboo expansion into Chinese fir forest increased, the stoichiometric ratios (LC:LN:LP) from stage I to V of expansion were 86:13:1, 76:11:1, 81:13:1, 81:11:1, and 91:13:1, respectively, with a mean value of 85:12:1. Correlations between LC, LN, LP, and their stoichiometric ratios showed that LC was significantly positively correlated with both LN and LC:LN (p < 0.05), LP was significantly negatively correlated with both LC:LP and LN:LP (p < 0.05), and LC:LP was significantly negatively correlated with LN:LP (p < 0.05, Figure 3).

3.2. Carbon, Nitrogen, and Phosphorus Stoichiometry Characteristics of Woodland Soils at Different Stages of Expansion towards Chinese Fir Forests

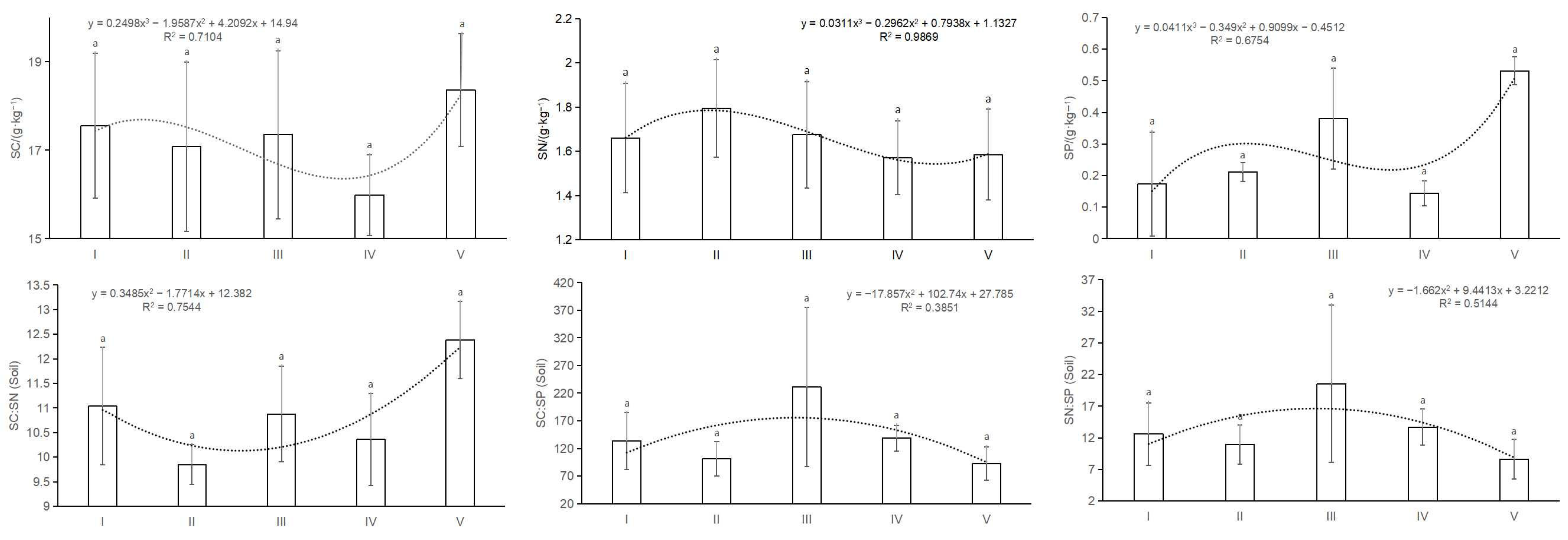
The changes in soil C, N, and P (SC, SN, SP) contents caused by the different stages of the expansion of Moso bamboo into Chinese fir forests showed a certain linear relationship with no significant differences in each indicator but similar fluctuation curves between the different expansion stages, and all reached their lowest values at around 60% of the Moso bamboo expansion (Figure 4). The content of SC, SN, and SP ranged from 10.81 g kg−1 to 24.30 g kg−1 with a mean value of 17.27 g kg−1, 0.90 g kg−1 to 2.36 g kg−1 with a mean value of 1.66 g kg−1, and 0.01 g kg−1 to 1.05 g kg−1 with a mean value of 0.29 g kg−1, respectively. Furthermore, with the increase in the proportion of Moso bamboo expansion towards the Chinese fir forests, the fluctuating changes of SC show decrease–increase–decrease–increase; however, SN shows a slightly decreasing overall trend, while SP shows an increasing overall trend. On the one hand, this might be due to the involvement of soil microorganisms in the fluctuating response of carbon cycling processes to the expansion of Moso bamboo. On the other hand, the expansion reduced the N return from litter and N mineralization in the soil, but the demand for N by plant tissues increased the uptake of N. At the same time, the plants took up large amounts of NH4+-N while releasing H+, which led to a decrease in the pH of the root microenvironment, promoted the weathering of the soil P, and increased the soil P content [27,28,29]. The elemental contents of SC, SN, and SP were V > I>III > II > IV, II > III > I>V > IV, and V > III > II > I>I between different expansion stages. Meanwhile, the SC content of the mixed fir–bamboo forest did not change much at the stage when the proportion of Moso bamboo was less than 50%, and the minimum value of which (15.99 g kg−1) occurred when it was expanded to 60%, followed by the maximum value (18.36 g kg−1) when it reached 80%, with an increase of 14.86%, which differed from the results of previous studies about the expansion of Moso bamboo [30], but research has also shown that microbial residue-carbon could increase the SOC in the middle and late stages of forest succession [31], suggesting that the soil microbial response to the forest succession was complex; the SN content was found to have a maximum value of 1.79 g kg−1 in mixed forests with 30% Moso bamboo and a minimum value of 1.57 g kg−1 with 60% Moso bamboo, and it was similar to the SC content, showing consistent changes in mixed forest with 0% and 50% Moso bamboo; the SP content showed a maximum value of 0.53 g kg−1 in a mixed fir–bamboo forest with 80% Moso bamboo (stage V of expansion) and a minimum value (0.14 g kg−1) in 60% Moso bamboo (stage IV of expansion), and the change from stage IV to V of Moso bamboo expansion showed an increase of 267.55%. There were the same general trends as the SN:SP obtained through the stands’ heterogeneity distinguished by only one mixed proportion [27] but they were distinguished from a single change through subtle changes between the different stages of expansion.
Changes in the stoichiometric ratios between SC, SN, and SP differed from the fluctuating changes of the corresponding contents showing parabolic linear relationships, and the trends of SC:SN were opposite to those of SC:SP and SN:SP. SC:SN showed a general trend of decreasing and then increasing in the changes of each stage of expansion, with a certain decrease in the first four stages of expansion, I, II, III, and IV, with an overall change of about 10%, and a maximum value of 12.38, with an increase of nearly 20% in stage V of expansion. On the contrary, both SC:SP and SN:SP showed a general trend of increasing and then decreasing, which is relatively consistent with the trend and magnitude, and the maximum values of 231.35 for the former and 20.53 for the latter occurred at stage III of expansion, while the minimum values of 92.88 for the former and 8.59 for the latter occurred at stage V. On the whole, as the percentage of Moso bamboo expansion to Chinese fir forests increased, the stoichiometric ratios (SC:SN:SP) from stages I to V of expansion were 101:10:1, 81:8:1, 46:4:1, 111:11:1, and 35:3:1, respectively, with a mean value of 60:6:1. The correlations between SC, SN, SP, and their stoichiometric ratios showed that SC was significantly positively correlated with SN (p < 0.05), SN was highly significantly negatively correlated with SC:SN (p < 0.05), SP was significantly negatively correlated with SC:SP and SN:SP (p < 0.05), and SC:SP was significantly positively correlated with SN:SP (p < 0.05, Figure 5).

3.3. Carbon, Nitrogen, and Phosphorus Stoichiometry Relationships and Homoeostasis Characteristics between Moso Bamboo Leaves and Stand Soils at Different Stages of Expansion into Chinese Fir Forest

The correlations between leaf-soil C, N, P, and their stoichiometric ratios showed significant correlations (p < 0.05) at stages IV and V of expansion from Moso bamboo into Chinese fir forests, and the significant correlations were concentrated between LN and LP as well as the P-related stoichiometric ratios in soil, and more significant correlations were found at stage V than stage IV (Table 2). The first three stages of the expansion did not show any significant correlations among the indicators, and the correlations between the leaf and soil began to appear in stage IV, with significant positive correlations (p < 0.05) between LN and SC, as well as LC:LP, and SC, SN, and significant negative correlations (p < 0.05) between LC:LN and SC:SN. Additionally, this trend of correlation between leaves and soils was more evident in stage V. LN and LP were significantly negatively correlated (p < 0.05) with SC:SP and SN:SP, respectively. Moreover, LC:LP showed a significant negative correlation (p < 0.05) with SC:SN, as did LN:LP with SP; in contrast, LN:LP was significantly positively correlated (p < 0.05) with SC:SP and SN:SP, as was LP with SP.
According to the homeostasis coefficients of N, P, and N:P at each stage of Moso bamboo expansion into Chinese fir forests (Table 3), only the homeostasis coefficient of P (0.80) was greater than the index limit of plastic (0.75) in the mixed fir–bamboo forest with half of the Moso bamboo, i.e., in the plastic state, and the homeostasis coefficients of N, P, and N:P of the other expansion stages were all smaller than the index limit of homeostatic (0.25), i.e., in the homeostatic state.

4. Discussion

4.1. Effect of Moso Bamboo Expansion to Stand on Carbon, Nitrogen, and Phosphorus Stoichiometry Characteristics of Moso Bamboo Leaves

Moso bamboo and Chinese fir have similar growth environments and stand requirements and are very likely to form fir–bamboo mixed forests in their natural state. Exploring the expansion behavior of Moso bamboo in Chinese fir forests is of great significance to reveal the Moso bamboo expansion from the perspective of using resource acquisition advantage as an important reason for the competitive win. Vegetations maintain their life activities by fixing nutrients through photosynthesis. The leaf, as the main site of photosynthesis, is an important organ for plant expansion behavior and is the main object of using stoichiometry to study the competition for aboveground sunlight and space to achieve nutrient expansion [15,32]. It was found that LC, closely related to photosynthesis, was lower in this study site (305.97 g kg−1) than the global average content of terrestrial plants (464.00 g kg−1) and Moso bamboo in China (478.30 g kg−1), which well explained the stronger ability of Moso bamboo leaves to save the carbon cost and improve photosynthetic efficiency than other vegetations, giving it a stronger capacity to seize illumination, moisture, etc. [33]. LN (44.21 g kg−1) and LP (3.60 g kg−1), on the other hand, were higher than the global average leaf levels (20.60 g kg−1, 1.99 g kg−1) and Moso bamboo leaf levels (22.20 g kg−1, 1.9 g kg−1) in China, respectively, and the LC:LN:LP (85:12:1) was smaller between two of the three compared to the average Moso bamboo leaf level (386:14:1) [34,35,36], which was consistent with the fact that Moso bamboo sprouted and matured quickly because nitrogen could accelerate the growth of the growing point and promote its clonal propagation [37]; meanwhile, it also explained that Moso bamboo had a stronger drought and cold resistance than other vetetations [38]; because of that, P could reduce water loss through changes in the cell structure and maintain the level of sugar synthesis at low temperatures to keep the freezing point down. Leaf N:P is an important indicator indicating that plant growth is restricted by N or P. N: P < 14 represents N restriction, 14 < N: P < 16 represents N and P double restriction, and N: P > 16 represents P restriction [39]. In this study, the N:P (12.56) was less than 14, representing N restriction.
The growth rate hypothesis well interpreted the process of Moso bamboo expansion into Chinese fir forests; that is, fast-growing organisms had lower C:P and N:P due to the increased demand for P content that constituted ribosomes [40]. As the expansion progressed, the LN and LP showed fluctuating changes, which was consistent with previous research [41,42]. In stage II of expansion (30% of Moso bamboo), the peak values of the C, N, and P content and the stoichiometric ratio in leaves were highly explanatory, showing the maximum values of LC, LP, and LC:LN. On the contrary, LC:LP and LN:LP showed the lowest values in stages IV and V of expansion (Figure 2), which was consistent with the rapid growth needs of Moso bamboo expansion. Nevertheless, the increase in LC:LP and LN:LP in stage III might be due to the decision-making trade-off between the two species in the mixed forest of Moso bamboo and Chinese fir having a similar growth environment, which limited the rapid growth of the bamboo to a certain extent.

4.2. Effects of Moso Bamboo Expansion to Stand on Carbon, Nitrogen, and Phosphorus Stoichiometry Characteristics of Moso Bamboo Soils

The underground expansion of Moso bamboo through the developed whip root system has been proven to be the primary reason for expansion, and its soil nutrient exploration would unlock the whip root growth code [43,44]. The SC (17.27 g kg−1) and SP (0.29 g kg−1) were lower than the average soil level of Moso bamboo in China (21.53 g kg−1, 0.41 g kg−1), the SN (1.66 g kg−1) was consistent, and the SC:SN:SP (60:6:1) was comparable to the average level (61:4:1). The low SC:SN boundary between 8 and 15 indicated that N could be rapidly mineralized and released for plant uptake [45], and the larger SN:SP indicated a lower soil nutrient content and lower soil fertility in the study site. The lower SP content combined with the higher LP content indicated that the utilization of the P of the Moso bamboo was high without the influence of P limitation. In addition, SP was significantly correlated with SC:SP and SN:SP, indicating that SP was essential for regulating Moso bamboo expansion in Chinese fir forests. However, the limitation of Moso bamboo expansion by reducing the P content in the study site with a low P content will undoubtedly also affect the growth of Chinese fir, which needs P to promote growth. As a result, it is not advisable to carry out Moso bamboo expansion by limiting the regulation of P content.
Stages III and V of Moso bamboo expansion (50% and 80% of Moso bamboo, respectively) had high degrees of explanation for the peaks in their SC, SN, and SP contents and stoichiometric ratio changes, exhibiting the maximum values of SC:SP and SN:SP in stage III and SC, SP, and SC:SN in stage V, which were consistent with previous findings [19]. The mixed forest with half of Moso bamboo (stage III of expansion) was an important indicator for the study of the N- and P-limiting factors, and the maximum value of SN:SP and the increasing SP common suggested that the increase in the N content in the soil was greater than that of P. Clearly, N as a key element was crucial for Moso bamboo to win in wood competition decisions, verifying the conclusion that Moso bamboo growth was mainly influenced by N limitation.

4.3. Effects of Moso Bamboo Expansion into Forest Stands on Carbon, Nitrogen, and Phosphorus Stoichiometry Relationships between Moso Bamboo Leaves and Forest Soils and Their Homeostasis Characteristics

Anthropogenic intervention is the key to exploring the competitive mechanisms for regulating Moso bamboo expansion in Chinese fir forests for the reason that anthropogenic factors such as fertilization under intensive management [46,47] will strongly influence the success of Moso bamboo expansion to stand. Micro-elemental changes in C, N, P, and their stoichiometric ratios caused by the expansion of Moso bamboo into forest stands can provide important explanations for the Moso bamboo expansion decision change by considering the process of this change in an integrated manner between the leaf and soil as a whole. The small variation in LN:LP compared to soil supports stoichiometric homeostasis [39], suggesting that altering soil stoichiometric relationships is the primary means of regulating the expansion behavior of Moso bamboo. A large amount of C fixed by the leaves in the early stage of Moso bamboo expansion indicates that the growth process of Moso bamboo has a strong carbon sink function; afterward, the higher SC content in the later stage of expansion and the decrease in the corresponding element content in the leaves indicate that the Moso bamboo forest gradually behaves as a carbon source, followed by the purpose of the Moso bamboo’s expansion being achieved, which is consistent with the study on the carbon sink function of Moso bamboo forests [48]. In the background of nitrogen deposition, the C and N contents in the leaves and soils were significantly and positively correlated, respectively, and the SN contents were significantly and positively correlated with LC:LN and LC:LP, which, combined with the N-limited characteristics of the study site, indicate that reducing the SC content could be considered to simplify the methods of limiting Moso bamboo expansion. At the same time, considering that controlled fires will cause environmental pollution [49], periodic felling or substrate clearing [50] can be adopted as the main methods of limiting the expansion of Moso bamboo while releasing the larger carbon sink capacity of Moso bamboo forests.
Homeostasis characteristics are an important indicator for stable relationships between organisms maintaining their corresponding chemical elements under environmental influences and an important measure to study species exclusion during forest succession. The stoichiometric relationships of N, P, and N:P were considered reference standards for homeostasis relationships [51,52]. Homeostatic-state vegetations tend to exhibit higher elemental homeostasis to environmental adaptations and have higher resistance to adverse environments [22]. This is consistent with the results of the present study on the homeostasis of environmentally adapted Moso bamboo, which exhibited homeostatic-state phenotypes at all expansion stages except stage III and had a small homeostasis coefficient, indicating that Moso bamboo has strong environmental adaptation. The only difference was the homeostasis coefficient of N:P (0.80) in stage III of expansion in the form of a plastic state, which was consistent with the results of high nutrient competition between Moso bamboo and Chinese fir in this stage. Moreover, through observing the correlation between the leaves and soil at different stages of Moso bamboo expansion, a conclusion was reached that there was no correlation between the stoichiometry of leaf and soil in the first three stages of expansion, therefore, it might not be effective to regulate Moso bamboo stands at this time. Nevertheless, the correlation between leaf and soil increased in the later stages of expansion, demonstrating that Moso bamboo gradually displayed habitat adaptation. The growth changes of this adaption were gradually influenced by the soil characteristics along with the expansion, making it the most effective time for Moso bamboo restriction.

5. Conclusions

This article focuses on the characteristics of changes in leaf-soil C, N, and P stoichiometry and their stoichiometric ratios caused by the five expansion stages of Moso bamboo into Chinese fir forests and obtains five highlights: (1) C, N, and P stoichiometry give a good insight into community succession. (2) P is a key element for the high utilization of Moso bamboo growth. (3) Moso bamboo’s expansion principle is influenced by N limitation. (4) The anthropogenic regulation of the C content in soil can discourage the expansion. (5) A scientific approach should be applied to a 50/50 split between Moso bamboo and Chinese fir. A theoretical basis for the scientific management of Moso bamboo’s expansion behavior, accurately revealing the quantitative changes that characterize the forest succession process and further promoting forest rights reform, is provided. Future research is needed on the specific ways in which soil carbon can be added to effectively control the expansion of Moso bamboo in order to achieve the goal of the ecologically sustainable development of the Moso bamboo industry.

Author Contributions

C.L., Q.Z., K.Y. and B.L. conceived and designed the experiments; C.L. and K.Y. performed the experiments; C.L. analyzed the data; K.Y. contributed resources; C.L. wrote the paper; Q.Z. and B.L. edited and modified the paper. All authors have read and agreed to the published version of the manuscript.

Funding

This research was funded by the National Natural Science Foundation of China (Grant No. 31971643), the Science and Technology Project of Fujian Provincial of Water Resources Department (Grant No. SC-290), the Industry-University Research Project in Fujian Province (Grant Nos. 2019N5012 and 2020N5003) and the Educational Research Project for Young and Middle-aged Teachers of Fujian Provincial Education Department (Science and Technology) (Grant No. JAT210684).

Data Availability Statement

Not applicable.

Acknowledgments

Special thanks go to the administration of Tian Baoyan National Natural Reserve for their assistance with the sample exploration.

Conflicts of Interest

The authors declare no conflict of interest. The funders had no role in the design of the study; in the collection, analyses, or interpretation of data; in the writing of the manuscript; or in the decision to publish the results.

References

  1. Hu, Y.P.; Zhang, Y.; Zhou, J.; Wang, G.B.; Guo, Q.R. Transcriptome Reveals the Specificity of Phyllostachys edulis ‘Pachyloen’ Shoots at Different Developmental Stages. Forests 2020, 11, 861. [Google Scholar] [CrossRef]
  2. Mustafa, A.A.; Derise, M.R.; Yong, W.T.L.; Rodrigues, K.R. A Concise Review of Dendrocalamus asper and Related Bamboos: Germplasm Conservation, Propagation and Molecular Biology. Plants 2021, 10, 1987. [Google Scholar] [CrossRef] [PubMed]
  3. Guan, F.; Tang, X.; Fan, S.; Zhao, J.; Peng, C. Changes in soil carbon and nitrogen stocks followed the conversion from secondary forest to Chinese fir and Moso bamboo plantations. CATENA 2015, 133, 455–460. [Google Scholar] [CrossRef]
  4. Ramakrishnan, M.; Yrjala, K.; Vinod, K.K.; Sharma, A.; Cho, J.N.; Satheesh, V.; Zhou, M.B. Genetics and genomics of Moso bamboo (Phyllostachys edulis): Current status, future challenges, and biotechnological opportunities toward a sustainable bamboo industry. Food Energy Secur. 2020, 9, e229. [Google Scholar] [CrossRef]
  5. Suzuki, S.; Nakagoshi, N. Expansion of bamboo forests caused by reduced bamboo-shoot harvest under different natural and artificial conditions. Ecol. Res. 2008, 23, 641–647. [Google Scholar] [CrossRef]
  6. Ying, W.; Jin, J.; Jiang, H.; Zhang, X.; Lu, X.; Chen, X.; Zhang, J. Satellite-based detection of bamboo expansion over the past 30 years in Mount Tianmushan, China. Int. J. Remote Sens. 2016, 37, 2908–2922. [Google Scholar] [CrossRef]
  7. Wu, C.; Mo, Q.; Wang, H.; Zhang, Z.; Huang, G.; Ye, Q.; Zou, Q.; Kong, F.; Liu, Y.; Wang, G.G. Moso bamboo (Phyllostachys edulis (Carriere) J. Houzeau) invasion affects soil phosphorus dynamics in adjacent coniferous forests in subtropical China. Ann. For. Sci. 2018, 75, 24. [Google Scholar] [CrossRef]
  8. Xu, Q.; Liang, C.; Chen, J.; Li, Y.; Qin, H.; Fuhrmann, J.J. Rapid bamboo invasion (expansion) and its effects on biodiversity and soil processes +. Glob. Ecol. Conserv. 2019, 21, e00787. [Google Scholar] [CrossRef]
  9. Fernández-Martínez, M. From atoms to ecosystems: Elementome diversity meets ecosystem functioning. New Phytol. 2022, 234, 35–42. [Google Scholar] [CrossRef]
  10. Yu, M.; Tao, Y.; Liu, W.; Xing, W.; Liu, G.; Wang, L.; Ma, L. C, N, and P stoichiometry and their interaction with different plant communities and soils in subtropical riparian wetlands. Environ. Sci. Pollut. Res. 2020, 27, 1024–1034. [Google Scholar] [CrossRef]
  11. Elser, J.J.; Fagan, W.F.; Denno, R.D.; Dobberfuhl, D.R.; Folarin, A.; Huberty, A.; Interlandi, S.; Kilham, S.S.; McCauley, E.; Schulz, K.L.; et al. Nutritional constraints in terrestrial and freshwater food webs. Nature 2000, 408, 578–580. [Google Scholar] [CrossRef] [PubMed]
  12. Perez-Quezada, J.F.; Pérez, C.A.; Brito, C.E.; Fuentes, J.P.; Gaxiola, A.; Aguilera-Riquelme, D.; Lopatin, J. Biotic and abiotic drivers of carbon, nitrogen and phosphorus stocks in a temperate rainforest. Forest Ecol. Manag. 2021, 494, 119341. [Google Scholar] [CrossRef]
  13. Chen, H.; Huang, X.; Shi, W.; Kronzucker, H.J.; Hou, L.; Yang, H.; Song, Q.; Liu, J.; Shi, J.; Yang, Q.; et al. Coordination of nitrogen uptake and assimilation favours the growth and competitiveness of Moso bamboo over native tree species in high-NH4+ environments. J. Plant Physiol. 2021, 266, 153508. [Google Scholar] [CrossRef] [PubMed]
  14. Li, F.L.; Zhong, L.; Wen, W.; Tian, T.T.; Li, H.C.; Cheung, S.G.; Wong, Y.S.; Shin, P.K.S.; Zhou, H.C.; Tam, N.F.Y.; et al. Do distribution and expansion of exotic invasive Asteraceae plants relate to leaf construction cost in a man-made wetland? MAR Pollut. Bull. 2021, 163, 111958. [Google Scholar] [CrossRef] [PubMed]
  15. Zhong, Y.; Zhong, Q.; Li, B.; Yu, H.; Xu, C.; Cheng, D.; Le, X.; Zheng, W. Effects of Phyllostachys Edulis expansion on leaf structural traits of main tree species in subtropical evergreen broad-leaved forests. Acta Ecol. Sin. 2020, 40, 5018–5028. [Google Scholar]
  16. Camenzind, T.; Philipp Grenz, K.; Lehmann, J.; Rillig, M.C. Soil fungal mycelia have unexpectedly flexible stoichiometric C: N and C: P ratios. Ecol. Lett. 2020, 24, 208–218. [Google Scholar] [CrossRef]
  17. Liu, W.; Liao, L.; Liu, Y.; Wang, Q.; Murray, P.J.; Jiang, X.; Zou, G.; Cai, J.; Zhao, X. Effects of Phyllostachys pubescens expansion on underground soil fauna community and soil food web in a Cryptomeria japonica plantation, Lushan Mountain, subtropical China. J. Soil. Sediment. 2021, 21, 2212–2227. [Google Scholar] [CrossRef]
  18. Terefe, R.; Yu, K.; Deng, Y.; Yao, X.; Wang, F.; Liu, J. Spatial variability of soil chemical properties of Moso bamboo forests of China. J. For. Res. 2021, 32, 2599–2608. [Google Scholar] [CrossRef]
  19. Fan, S.; Shen, J.; Liu, G.; Feng, Y.; Liu, X.; Cai, C. Soil Nutrients and Ecological Stoichiometry Characteristics after Phyllostachys edulis Expansion to Cunninghamia lanceolata Forest. Acta Bot. Boreal. Occident. Sin. 2019, 39, 1455–1462. [Google Scholar]
  20. Tian, X.K.; Ge, X.G.; Zhou, B.Z.; Li, M.H. The Linkage of Soil CO2 Emissions in a Moso Bamboo (Phyllostachys edulis (Carriere) J. Houzeau) Plantation with Aboveground and Belowground Stoichiometry. Forests 2021, 12, 1052. [Google Scholar] [CrossRef]
  21. Bao, S. Soil and Agricultural Chemistry Analysis; China Agriculture Press: Beijing, China, 2019. [Google Scholar]
  22. Persson, J.; Fink, P.; Goto, A.; Hood, J.M.; Jonas, J.; Kato, S. To be or not to be what you eat: Regulation of stoichiometric homeostasis among autotrophs and heterotrophs. Oikos 2010, 119, 741–751. [Google Scholar] [CrossRef]
  23. Inoue, A.; Miyazawa, Y.; Sato, M.; Shima, H. Allometric Equations for Predicting Culm Surface Area of Three Bamboo Species (Phyllostachys spp.). Forests 2018, 9, 295. [Google Scholar] [CrossRef]
  24. Su, Y.H.; Song, X.Q.; Zheng, J.W.; Zhang, Z.H.; Tang, Z.H. Ecological Stoichiometric Characteristics of C, N and P and Their Relationship with Soil Factors from Different Organs of the Halophytic Chenopodiaceae Plants in Hulunbuir. Bull. Bot. Res. 2022, 42, 910–920. [Google Scholar]
  25. Qiu, J.; Dai, H.T.; Xing, Y.Z.; Huang, D.J.; Yin, Q.J.; Cheng, D.W. Leaves, stems and roots stoichiometry characteristics of mangrove plants at different succession stages in Shankou National Mangrove Nature Reserve, China. J. Trop. Oceanogr. 2022. online. [Google Scholar]
  26. Wang, Z.N.; Lu, J.Y.; Yang, M.; Yang, H.M.; Zhang, Q.P. Stoichiometric Characteristics of Carbon, Nitrogen, and Phosphorus in Leaves of Differently Aged Lucerne (Medicago sativa) Stands. Front. Plant Sci. 2015, 6, 1062. [Google Scholar] [CrossRef]
  27. Song, Q.N.; Lu, H.; Liu, J.; Yang, J.; Yang, G.Y.; Yang, Q.P. Accessing the impacts of bamboo expansion on NPP and N cycling in evergreen broadleaved forest in subtropical China. Sci. Rep. 2017, 7, 40383. [Google Scholar] [CrossRef]
  28. Liang, C.; Schimel, J.P.; Jastrow, J.D. The importance of anabolism in microbial control over soil carbon storage. Nat. Microbiol. 2017, 2, 17105. [Google Scholar] [CrossRef]
  29. Rafael, R.B.A.; Rogerio, B.; Fernandez-Marcos, M.L.; Cocco, S.; Ruello, M.L.; Fornasier, F.; Corti, G. Increased phosphorus availability to corn resulting from the simultaneous applications of phosphate rock, calcareous rock, and biochar to an acid sandy soil. Pedosphere 2020, 30, 719–733. [Google Scholar] [CrossRef]
  30. Liu, X.S.; Siemann, E.; Cui, C.; Liu, Y.Q.; Guo, X.M.; Zhang, L. Moso bamboo (Phyllostachys edulis) invasion effects on litter, soil and microbial PLFA characteristics depend on sites and invaded forests. Plant Soil 2019, 438, 85–99. [Google Scholar] [CrossRef]
  31. Shao, S.; Zhao, Y.; Zhang, W.; Hu, G.Q.; Xie, H.T.; Yan, J.H.; Han, S.J.; He, H.B.; Zhang, X.D. Linkage of microbial residue dynamics with soil organic carbon accumulation during subtropical forest succession. Soil Biol. Biochem. 2017, 114, 114–120. [Google Scholar] [CrossRef]
  32. Li, S.J.; Qin, Y.Y. Variation pattern and interaction of leaf stoichiometry with slope aspect in the central Qilian Mountains, Northwest China. Appl. Ecol. Environ. Res. 2021, 19, 2629–2647. [Google Scholar] [CrossRef]
  33. Deans, R.M.; Brodribb, T.J.; Busch, F.A.; Farquhar, G.D. Optimization can provide the fundamental link between leaf photosynthesis, gas exchange and water relations. Nat. Plants 2020, 6, 1116–1125. [Google Scholar] [CrossRef] [PubMed]
  34. Du, M.; Fan, S.; Liu, G.; Feng, H.; Guo, B.; Tang, X. Stoichiometric characteristics of carbon, nitrogen and phosphorus in Phyllostachys edulis forests of China. Chin. J. Plant Ecol. 2016, 40, 760–774. [Google Scholar]
  35. Li, P.; Ling, T.; Yang, Z.; Chen, H.; Yan, P.; Lu, S.; Ling, J.; Tang, S. Ecological Stoichiometric Characteristics of Leaf-soil Carbon, Nitrogen and Phosphorus in Different Forest Ages of Pinus massoniana. J. Southwest For. Univ. (Nat. Sci.) 2022, 42, 1–12. [Google Scholar]
  36. Elser, J.J.; Sterner, R.W.; Gorokhova, E.; Fagan, W.F.; Markow, T.A.; Cotner, J.B.; Harrison, J.F.; Hobbie, S.E.; Odell, G.M.; Weider, L.W. Biological stoichiometry from genes to ecosystems. Ecol. Lett. 2000, 3, 540–550. [Google Scholar] [CrossRef]
  37. Chang, S.; Wu, J. Green-color conservation of ma bamboo (Dendrocalamus latiflorus) treated with chromium-based reagents. J. Wood Sci. 2000, 46, 40–44. [Google Scholar] [CrossRef]
  38. Wu, M.; Liu, R.; Gao, Y.; Xiong, R.; Shi, Y.; Xiang, Y. PheASR2, a novel stress-responsive transcription factor from Moso bamboo (Phyllostachys edulis), enhances drought tolerance in transgenic rice via increased sensitivity to abscisic acid. Plant Physiol. Biochem. 2020, 154, 184–194. [Google Scholar] [CrossRef]
  39. Zhang, H.; Guo, W.; Wang, G.G.; Yu, M.; Wu, T. Effect of environment and genetics on leaf N and P stoichiometry for Quercus acutissima across China. Eur. J. For. Res. 2016, 135, 795–802. [Google Scholar] [CrossRef]
  40. Niu, D.; Zhang, C.; Ma, P.; Fu, H.; Elser, J.J. Responses of leaf C:N:P stoichiometry to water supply in desert shrub Zygophyllum xanthoxylum. Plant Biol. 2018, 21, 82–88. [Google Scholar] [CrossRef]
  41. Sun, H.; Li, Q.; Lei, Z.; Zhang, J.; Song, X.; Song, X. Ecological stoichiometry of nitrogen and phosphorus in Moso bamboo (Phyllostachys edulis) during the explosive growth period of new emergent shoots. J. Plant Res. 2018, 132, 107–115. [Google Scholar] [CrossRef]
  42. Liao, X.; Qiu, L.; Zhang, Y.; Liu, J.; Wan, S.; Yang, G. Effects of Thinning and Understory Removal on Leaf Nitrogen and Phosphorus Stoichiometric Characteristics in Moso Bamboo Plantation. Acta Agric. Univ. Jiangxiensis 2020, 42, 802–810. [Google Scholar]
  43. Okutomi, K.; Shinoda, S.; Fukuda, H. Causal analysis of the invasion of broad-leaved forest by bamboo in Japan. J Veg. Sci. 1996, 7, 723–728. [Google Scholar] [CrossRef]
  44. Ma, X.; Zheng, C.; Hu, Y.; Qin, H.; Chen, J.; Xu, Q.; Liang, C. Effects of moso bamboo (Phyllostachys edulis) expansion on soil microbial community in evergreen broad-leaved forest. J. Appl. Ecol. 2022, 33, 1091–1098. [Google Scholar]
  45. Brust, G.E. Management Strategies for Organic Vegetable Fertility. Saf. Pract. Org. Food 2019, 193–212. Available online: https://doi.org/10.1016/B978-0-12-812060-6.00009-X (accessed on 10 October 2022).
  46. Kim, C.; Baek, G.; Yoo, B.O.; Jung, S.; Lee, K.S. Regular Fertilization Effects on the Nutrient Distribution of Bamboo Components in a Moso Bamboo (Phyllostachys pubescens (Mazel) Ohwi) Stand in South Korea. Forests 2018, 9, 671. [Google Scholar] [CrossRef]
  47. Ni, H.; Su, W.; Fan, S.; Chu, H. Effects of intensive management practices on rhizosphere soil properties, root growth, and nutrient uptake in Moso bamboo plantations in subtropical China. For. Ecol. Manag. 2021, 493, 119083. [Google Scholar] [CrossRef]
  48. Song, X.; Li, Q.; Gu, H. Effect of nitrogen deposition and management practices on fine root decomposition in Moso bamboo plantations. Plant Soil 2016, 410, 207–215. [Google Scholar] [CrossRef]
  49. Lehmann, J. A handful of carbon. Nature 2007, 447, 143–144. [Google Scholar] [CrossRef]
  50. Mitchell, P.J.; Simpson, A.J.; Soong, R.; Schurman, J.S.; Thomas, S.C.; Simpson, M.J. Biochar amendment and phosphorus fertilization altered forest soil microbial community and native soil organic matter molecular composition. Biogeochemistry 2016, 130, 227–245. [Google Scholar] [CrossRef]
  51. Koerselman, W.; Meuleman, A.F.M. The vegetation N:P ratio: A new tool to detect the nature of nutrient limitation. J. Appl. Ecol. 1996, 33, 1441–1450. [Google Scholar] [CrossRef]
  52. Yan, J.; Li, K.; Peng, X.; Huang, Z.; Liu, S.; Zhang, Q. The mechanism for exclusion of Pinus massoniana during the succession in subtropical forest ecosystems: Light competition or stoichiometric homoeostasis? Sci. Rep. 2015, 5, 10994. [Google Scholar] [CrossRef] [PubMed]
Figure 1. The location and sample setting of the study area (numbers in the sample plot represent the Sites No.).
Figure 1. The location and sample setting of the study area (numbers in the sample plot represent the Sites No.).
Forests 13 01830 g001
Figure 2. LC, LN, and LP contents and stoichiometric characteristics changes of Moso bamboo (Phyllostachys edulis (Carriere) J. Houzeau) when expanding into Chinese fir (Cunninghamia lanceolata (Lamb.) Hook.) forests (LC: leaf carbon; LN: leaf nitrogen; LP: leaf phosphorus; I–V represent different expansion stages of Moso bamboo and different lowercase letters indicate significant differences between I-V stages, the same as follows).
Figure 2. LC, LN, and LP contents and stoichiometric characteristics changes of Moso bamboo (Phyllostachys edulis (Carriere) J. Houzeau) when expanding into Chinese fir (Cunninghamia lanceolata (Lamb.) Hook.) forests (LC: leaf carbon; LN: leaf nitrogen; LP: leaf phosphorus; I–V represent different expansion stages of Moso bamboo and different lowercase letters indicate significant differences between I-V stages, the same as follows).
Forests 13 01830 g002
Figure 3. Correlation of LC, LN, and LP contents and stoichiometric characteristics of Moso bamboo when expanding into Chinese fir forests (* represent significance levels of p < 0.05).
Figure 3. Correlation of LC, LN, and LP contents and stoichiometric characteristics of Moso bamboo when expanding into Chinese fir forests (* represent significance levels of p < 0.05).
Forests 13 01830 g003
Figure 4. Effects of SC, SN, and SP contents and stoichiometric characteristics caused by Moso bamboo expansion into Chinese fir forests (SC: soil carbon; SN: soil nitrogen; SP: soil phosphorus, the same as follows).
Figure 4. Effects of SC, SN, and SP contents and stoichiometric characteristics caused by Moso bamboo expansion into Chinese fir forests (SC: soil carbon; SN: soil nitrogen; SP: soil phosphorus, the same as follows).
Forests 13 01830 g004
Figure 5. Correlation of SC, SN, and SP contents and stoichiometric characteristics of Moso bamboo expansion into Chinese fir forests (* represent significance levels of p < 0.05).
Figure 5. Correlation of SC, SN, and SP contents and stoichiometric characteristics of Moso bamboo expansion into Chinese fir forests (* represent significance levels of p < 0.05).
Forests 13 01830 g005
Table 1. Basic information on belt transect settings for different stages of Moso bamboo (Phyllostachys edulis (Carriere) J. Houzeau) expansion into Chinese fir (Cunninghamia lanceolata (Lamb.) Hook.) forest.
Table 1. Basic information on belt transect settings for different stages of Moso bamboo (Phyllostachys edulis (Carriere) J. Houzeau) expansion into Chinese fir (Cunninghamia lanceolata (Lamb.) Hook.) forest.
SitesDensity of Moso Bamboo
(Plants/hm2)
Diameter at Breast Height of Moso Bamboo
(cm)
Percentage of Moso Bamboo (%)Diameter at Breast Height of Chinese Fir
(cm)
Percentage of Chinese Fir
(%)
Expansion Stage
Tape11122209.8385.2012.9314.80V
128908.7345.0014.9750.00IV
136109.3140.0016.4460.00III
147009.3850.0015.0650.00II
151008.700.0815.790.92I
Tape22237809.2879.6013.8420.40V
219409.1852.4010.2147.60IV
239209.5948.1013.6251.90III
242804.5314.3013.0975.00II
251257.619.1013.0381.80I
Tape331269011.2076.1011.2223.90V
32164010.5660.7012.8435.70IV
33145011.3763.6015.2831.80III
3444011.2031.8011.7050.00II
357011.404.178.0087.50I
Tape441294012.3096.8010.203.20V
42181011.0282.8011.1220.80IV
43196011.9665.9013.2134.10III
4451012.2925.9012.2174.10II
450-0.008.3277.10I
Tape551212013.3383.9010.356.50V
52155012.4664.509.9519.40IV
5386012.1741.7011.8058.30III
5444014.1017.209.7269.00II
550-0.009.05100.00I
Table 2. Correlations of stoichiometry and stoichiometric ratios between the leaf and soil at different stages of Moso bamboo expansion into Chinese fir forests.
Table 2. Correlations of stoichiometry and stoichiometric ratios between the leaf and soil at different stages of Moso bamboo expansion into Chinese fir forests.
Expansion StageStoichiometric Correlation
LCLNLPLC:LNLC:LPLN:LP
ISC0.3130.409−0.1200.2560.1230.069
SN0.2620.470−0.0730.1780.0620.021
SP−0.363−0.102−0.336−0.4020.1300.302
SC:SN−0.149−0.569−0.147−0.0160.1580.191
SC:SP0.6430.5740.2830.604−0.032−0.249
SN:SP0.6680.6280.2060.6180.025−0.183
IISC0.2070.3580.7230.064−0.675−0.795
SN0.2670.2920.0320.127−0.052−0.101
SP−0.554−0.078−0.401−0.4180.3280.527
SC:SN−0.266−0.0010.560−0.207−0.512−0.515
SC:SP0.4930.0050.2700.392−0.210−0.384
SN:SP0.4330.0730.1780.325−0.143−0.281
IIISC0.7000.046−0.5540.7530.8460.516
SN0.5430.394−0.4630.5130.6770.534
SP0.5540.2960.0870.5440.327−0.058
SC:SN−0.195−0.7480.175−0.064−0.255−0.373
SC:SP−0.1230.3670.542−0.207−0.414−0.424
SN:SP−0.1260.3990.512−0.218−0.397−0.383
IVSC0.6840.881 *−0.4580.5260.920 *0.718
SN0.8200.823−0.3590.7160.941 *0.613
SP0.2750.7760.1180.0520.1260.115
SC:SN−0.805−0.265−0.072−0.905 *−0.569−0.044
SC:SP−0.082−0.520−0.0360.103−0.010−0.094
SN:SP0.037−0.453−0.0140.2260.064−0.091
VSC0.447−0.447−0.1880.5580.6650.222
SN0.443−0.599−0.3740.5850.8640.366
SP0.8470.6390.902 *0.766−0.460−0.891 *
SC:SN−0.2520.6580.577−0.397−0.922 *−0.525
SC:SP−0.597−0.896 *−0.913 *−0.4540.7370.944 *
SN:SP−0.578−0.903 *−0.919 *−0.4320.7580.948 *
* Represent significance levels of p < 0.05.
Table 3. Homeostasis characteristics of different stages during Moso bamboo expansion into Chinese fir forests.
Table 3. Homeostasis characteristics of different stages during Moso bamboo expansion into Chinese fir forests.
Expansion StageHomeostasis Coefficient (1/H)
NPN:P
I0.020.090.06
II0.020.130.07
III0.030.020.80
IV0.080.010.01
V0.040.180.14
Publisher’s Note: MDPI stays neutral with regard to jurisdictional claims in published maps and institutional affiliations.

Share and Cite

MDPI and ACS Style

Li, C.; Zhong, Q.; Yu, K.; Li, B. Carbon, Nitrogen, and Phosphorus Stoichiometry between Leaf and Soil Exhibit the Different Expansion Stages of Moso Bamboo (Phyllostachys edulis (Carriere) J. Houzeau) into Chinese Fir (Cunninghamia lanceolata (Lamb.) Hook.) Forest. Forests 2022, 13, 1830. https://doi.org/10.3390/f13111830

AMA Style

Li C, Zhong Q, Yu K, Li B. Carbon, Nitrogen, and Phosphorus Stoichiometry between Leaf and Soil Exhibit the Different Expansion Stages of Moso Bamboo (Phyllostachys edulis (Carriere) J. Houzeau) into Chinese Fir (Cunninghamia lanceolata (Lamb.) Hook.) Forest. Forests. 2022; 13(11):1830. https://doi.org/10.3390/f13111830

Chicago/Turabian Style

Li, Conghui, Quanlin Zhong, Kunyong Yu, and Baoyin Li. 2022. "Carbon, Nitrogen, and Phosphorus Stoichiometry between Leaf and Soil Exhibit the Different Expansion Stages of Moso Bamboo (Phyllostachys edulis (Carriere) J. Houzeau) into Chinese Fir (Cunninghamia lanceolata (Lamb.) Hook.) Forest" Forests 13, no. 11: 1830. https://doi.org/10.3390/f13111830

APA Style

Li, C., Zhong, Q., Yu, K., & Li, B. (2022). Carbon, Nitrogen, and Phosphorus Stoichiometry between Leaf and Soil Exhibit the Different Expansion Stages of Moso Bamboo (Phyllostachys edulis (Carriere) J. Houzeau) into Chinese Fir (Cunninghamia lanceolata (Lamb.) Hook.) Forest. Forests, 13(11), 1830. https://doi.org/10.3390/f13111830

Note that from the first issue of 2016, this journal uses article numbers instead of page numbers. See further details here.

Article Metrics

Back to TopTop