Fungi Occurring in Norway Spruce Wood Decayed by Heterobasidion parviporum in Puszcza Borecka Stands (Northeastern Poland)
Abstract
1. Introduction
2. Materials and Methods
2.1. Research Plots
2.2. Computed Tomographic Analysis
2.3. Assessment of Sporocarps
2.4. Preparation of Pure Cultures and Molecular Analyses
2.5. Statistical Analyses
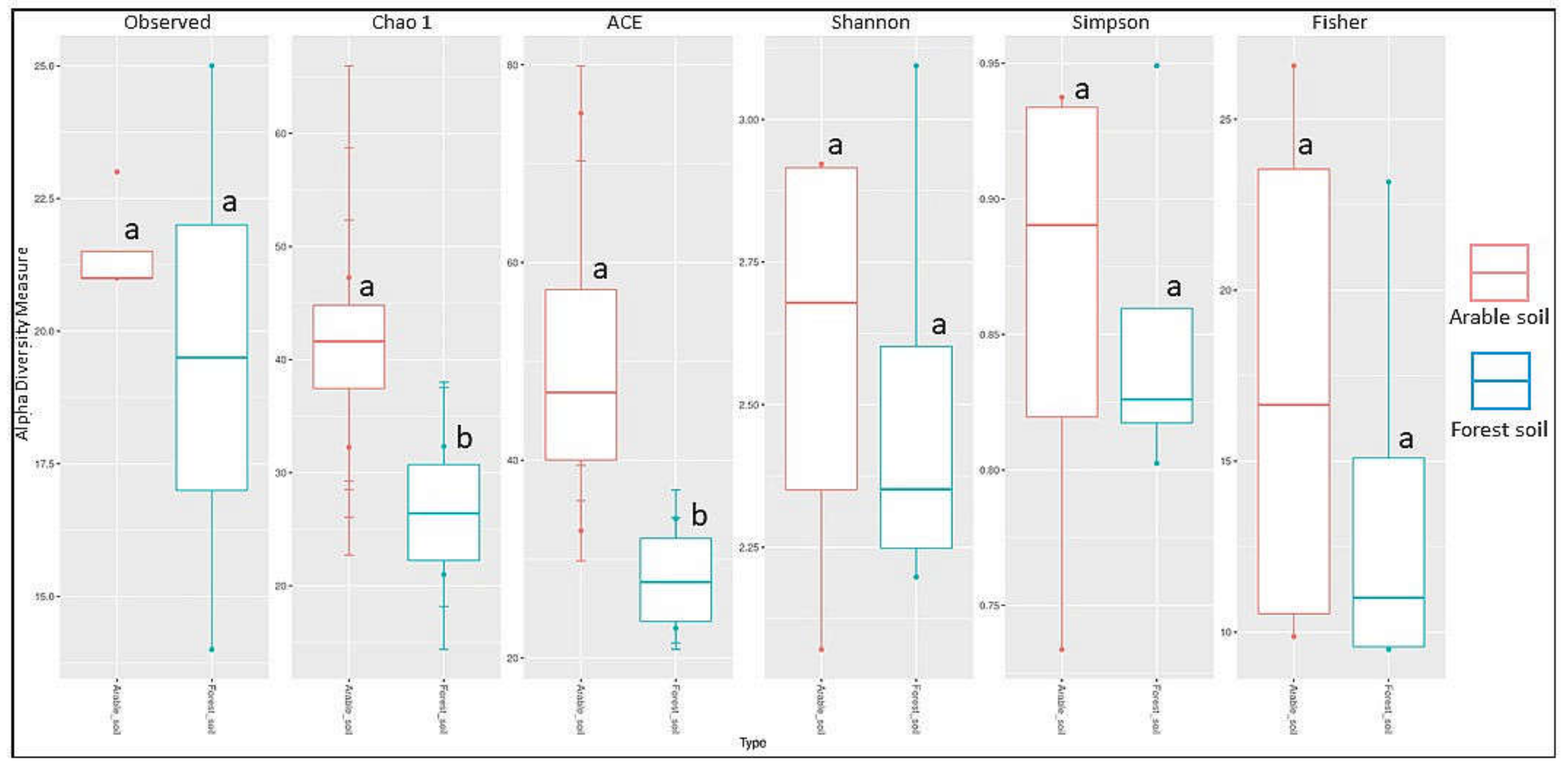
3. Results
4. Discussion
5. General Conclusions
Author Contributions
Funding
Data Availability Statement
Acknowledgments
Conflicts of Interest
References
- Woodward, S.; Stenlid, J.; Karjalainen, R.; Hüttermann, A. Heterobasidion Annosum. Biology, Ecology, Impact and Control; CAB International: Wallingford, UK, 1998. [Google Scholar]
- Asiegbu, F.O.; Adomas, A.; Stenlid, J. Conifer root and butt rot caused by Heterobasidion annosum (Fr.) Bref s.l. Mol. Plant Pathol. 2005, 6, 395–409. [Google Scholar] [CrossRef]
- Garbelotto, M.; Gonthier, P. Biology, epidemiology, and control of Heterobasidion species worldwide. Annu. Rev. Phytopathol. 2013, 51, 39–59. [Google Scholar] [CrossRef]
- Żółciak, A.; Bohacz, J. Ligninolytic activity of Heterobasidion parviporum isolates in cultivation on Norway spruce wood. Sylwan 2016, 160, 1027–1035. [Google Scholar] [CrossRef]
- Burdsall, H.H., Jr.; Volk, T.J. Armillaria solidipes, an older name for the fungus called Armillaria ostoyae. North. Am. Fungi 2008, 3, 261–267. [Google Scholar] [CrossRef]
- Oliva, J.; Bernat, M.; Stenlid, J. Heartwood stump colonisation by Heterobasidion parviporum and H. annosum s.s. in Norway spruce (Picea abies) stands. For. Ecol. Manag. 2013, 295, 1–10. [Google Scholar] [CrossRef]
- Sierota, Z.; Grodzki, W.; Szczepkowski, A. Abiotic and Biotic Disturbances Affecting Forest Health in Poland over the Past 30 Years: Impacts of Climate and Forest Management Forests. Forests 2019, 10, 75. [Google Scholar] [CrossRef]
- Boddy, L. Fungal community ecology and wood decomposition processes in angiosperms: From standing tree to complete decay of coarse woody debris. Ecol. Bull. 2001, 49, 43–56. [Google Scholar]
- Chapin III, F.S.; Matson, P.A.; Mooney, H.A. Principles of Terrestrial Ecosystem Ecology; Springer-Verlag: New York, NY, USA, 2002. [Google Scholar]
- Hammel, K.E.; Kapich, A.N.; Jensen, K.A., Jr.; Ryan, Z.C. Reactive oxygen species as agents of wood decay by fungi. Enzym. Microb. Technol. 2002, 30, 445–453. [Google Scholar] [CrossRef]
- Hietala, A.M.; Dörsch, P.; Kvaalen, H.; Solheim, H. Carbon dioxide and methane formation in Norway spruce stems infected by white-rot fungi. Forests 2015, 6, 3304–3325. [Google Scholar] [CrossRef]
- Sierota, Z.; Żółciak, A.; Małecka, M.; Sikora, K.; Damszel, M. An approach to calculate CO2 release through Norway spruce wood decay by Heterobasidion parviporum. Dendrobiology 2018, 79, 91–96. [Google Scholar] [CrossRef]
- Swift, M.J. The roles of fungi and animals in the immobilisation and release of nutrient elements from decomposing branch-wood. In Soil Organisms as Components of Ecosystems; Lohm, U., Persson, T., Eds.; Swedish Natural Science Research Council: Stockholm, Sweden, 1977; Volume 25, pp. 193–202. [Google Scholar]
- Harmon, M.E.; Franklin, J.F.; Swanson, F.J.; Sollins, P.; Gregory, S.V.; Lattin, J.D.; Anderson, N.H.; Cline, S.P.; Aumen, N.G.; Sedell, J.R.; et al. Ecology of coarse woody debris in temperate ecosystems. Adv. Ecol. Res. 1986, 15, 133–302. [Google Scholar]
- Hendrickson, O. Abundance and activity of N2-fixing bacteria in decaying wood. Can. J. For. Res. 1991, 21, 1299–1304. [Google Scholar] [CrossRef]
- Zimmerman, J.K.; Pulliam, W.M.; Lodge, D.J.; Quinones-Orfila, V.; Fetcher, N.; Guzman-Grajales, S.; Parrotta, J.A.; Asbury, C.E.; Walker, L.R.; Waide, R.B. Nitrogen immobilization by decomposing woody debris and the recovery of tropical wet forest from hurricane damage. Oikos 1995, 72, 314–322. [Google Scholar] [CrossRef]
- Metzler, B. Quantitative assessment of fungal colonization in Norway spruce after green pruning. Eur. J. For. Path. 1997, 27, 1–11. [Google Scholar] [CrossRef]
- Eriksson, K.-E.L.; Blanchette, R.A.; Ander, P. Microbial and Enzymatic Degradation of Wood and Wood Components; Springer-Verlag: Berlin/Heidelberg, Germany, 2012. [Google Scholar] [CrossRef]
- Nagy, N.E.; Ballance, S.; Kvaalen, H.; Fossdal, C.G.; Solheim, H.; Hietala, A.M. Xylem defense wood of Norway spruce compromised by the pathogenic white-rot fungus Heterobasidion parviporum shows a prolonged period of selective decay. Planta 2012, 236, 1125–1133. [Google Scholar] [CrossRef]
- Klavina, D.; Bruna, L.; Zaluma, A.; Burnevica, N.; Polmanis, K.; Gaitnieks, T.; Piri, T. Infection and Spread of Root Rot Caused by Heterobasidion parviporum in Picea abies Stands after Thinning: Case Studies on Former Pasture and Meadow Lands. Environ. Sci. Proc. 2021, 3, 5230. [Google Scholar] [CrossRef]
- Shortle, W.C.; Smith, K.T. Electrical properties and rate of decay in spruce and fir wood. Phytopathology 1987, 77, 811–814. [Google Scholar] [CrossRef]
- Mattheck, C.G.; Bethge, K.A. Detection of decay in trees with the Metriguard Stress Wave Timer. J. Arbor. 1993, 19, 374–378. [Google Scholar]
- Sierota, Z.; Wrzosek, M.; Małecka, M.; Zółciak, A. Decay indices for evaluating wood decomposition activity. Biocontrol Sci. Technol. 2016, 26, 163–173. [Google Scholar] [CrossRef]
- Nicolotti, G.; Socco, L.V.; Martinis, R.; Godio, A.; Sambuelli, L. Application and comparison of three tomographic techniques for detection of decay in trees. J. Arboric. 2003, 29, 66–78. [Google Scholar]
- Chomicz, E. Bezinwazyjne metody wykrywania defektów wewnątrz pni drzew stojących (Tomograf PiCUS Sonic and PiCUS Treetronic). Leś. Pr. Bad. 2007, 3, 117–122. [Google Scholar]
- Szczepkowski, A.; Kowalczuk, W. Nowe stanowisko Perenniporia fraxinea (Polyporaceae, Basidiomycota) w Polsce i tomograficzna analiza drewna porażonego drzewa. Przegląd Przyr. 2018, 29, 116–121. [Google Scholar]
- Nilsson, K.; Bjurman, J. Chitin as an indicator of the biomass of two wood-decay fungi in relation to temperature, incubation time, and media composition. Can. J. Microbiol. 1998, 44, 575–581. [Google Scholar] [CrossRef]
- Lindahl, B.D.; Finlay, R.D. Activities of chitinolytic enzymes during primary and secondary colonization of wood by basidiomycetous fungi. New Phytol. 2006, 169, 389–397. [Google Scholar] [CrossRef]
- Piri, T.; Korhonen, K. Spatial distribution and persistence of Heterobasidion parviporum genets on a Norway spruce site. For. Pathol. 2007, 37, 1–8. [Google Scholar] [CrossRef]
- Piri, T.; Hamberg, L. Persistence and infectivity of Heterobasidion parviporum in Norway spruce root residuals following stump harvesting. For. Ecol. Manag. 2015, 353, 49–58. [Google Scholar] [CrossRef]
- Oliva, J.; Rommel, S.; Fossdal, C.G.; Hietala, A.M.; Nemesio-Gorriz, M.; Solheim, H.; Elfstrand, M. Transcriptional responses of Norway spruce (Picea abies) inner sapwood against Heterobasidion parviporum. Tree Physiol. 2015, 35, 1007–1015. [Google Scholar] [CrossRef]
- Zeng, Z.; Sun, H.; Vainio, E.J.; Raffaello, T.; Kovalchuk, A.; Morin, E.; Duplessis, S.; Asiegbu, F.O. Intraspecific comparative genomics of isolates of the Norway spruce pathogen (Heterobasidion parviporum) and identification of its potential virulence factors. BMC Genom. 2018, 19, 220. [Google Scholar] [CrossRef] [PubMed]
- Terhonen, E.; Sipari, N.; Asiegbu, F.O. Inhibition of phytopathogens by fungal root endophytes of Norway spruce. Biol. Control 2016, 99, 53–63. [Google Scholar] [CrossRef]
- Rigerte, L.; Blumenstein, K.; Terhonen, E. New R-Based Methodology to Optimize the Identification of Root Endophytes against Heterobasidion parviporum. Microorganisms 2019, 7, 102. [Google Scholar] [CrossRef]
- Awan, H.U.M.; Asiegbu, F.O. Interspecific interactions within fungal communities associated with wood decay and forest trees. In Forest Microbiology: Tree Microbiome: Phyllosphere, Endosphere and Rhizosphere; Asiegbu, F.O., Kovalchuk, A., Eds.; Academic Press: Cambridge, MA, USA, 2021; Volume 1, pp. 75–108. [Google Scholar] [CrossRef]
- Gonthier, P.; Garbelotto, M.; Nicolotti, G. Swiss stone pine trees and spruce stumps represent an important habitat for Heterobasidion spp. in subalpine forests. For. Pathol. 2003, 33, 191–203. [Google Scholar] [CrossRef]
- Piri, T.; Valkonen, S. Incidence and spread of Heterobasidion root rot in uneven-aged Norway spruce stands. Can. J. For. Res. 2013, 43, 872–877. [Google Scholar] [CrossRef]
- Honkaniemi, J.; Ojansuu, R.; Piri, T.; Kasanen, R.A.O.; Lehtonen, M.; Salminen, H.; Kalliokoski, T.; Mäkinen, H. Hmodel, a Heterobasidion annosum model for even-aged Norway spruce stands. Can. J. For. Res. 2014, 44, 796–809. [Google Scholar] [CrossRef]
- Solon, J.; Borzyszkowski, J.; Bidłasik, M.; Richling, A.; Badora, K.; Balon, J.; Brzezińska-Wójcik, T.; Dobrowolski, R.; Grzegorczyk, I.; Jodłowski, M.; et al. Physico-geographical mesoregions of Poland: Verifcation and adjustment of boundaries on the basis of contemporary spatial data. Geogr. Pol. 2018, 91, 143–170. [Google Scholar] [CrossRef]
- Szmidla, H. Warunki Pogodowe w 2020. In Krótkoterminowa Prognoza Występowania Ważniejszych Szkodników i Chorób Infekcyjnych Drzew Leśnych w Polsce w 2021 roku; Jabłoński, T., Ed.; Instytut Badawczy Leśnictwa: Sękocin Stary, Poland, 2021; pp. 13–18. [Google Scholar]
- Bank Danych o Lasach. Available online: https://www.bdl.lasy.gov.pl/ (accessed on 11 November 2021).
- Gilbert, E.A.; Smiley, E.T. Picus Sonic Tomography for the quantification of decay in white oak (Quercus alba) and hickory (Carya spp.). J. Arboric. 2004, 30, 277–281. [Google Scholar]
- Deflorio, G.; Fink, S.; Schwarze, F.W.M.R. Detection of incipient decay in tree stems with sonic tomography after wounding and fungal inoculation. Wood Sci. Technol. 2008, 42, 117–132. [Google Scholar] [CrossRef]
- Clemençon, H. Methods for Working with Macrofungi. Laboratory Cultivation and Preparation of Larger Fungi for Light Microscopy; IHW-Verlag: Eching, Germany, 2009. [Google Scholar]
- Breitenbach, J.; Kränzlin, F. Fungi of Switzerland, Ascomycetes; Verlag Mykologia: Luzern, Switzerland, 1984; Volume 1. [Google Scholar]
- Bernicchia, A. Polyporaceae s.l. Fungi Europaei 10; Edizioni Canduso: Alassio, Italy, 2005. [Google Scholar]
- Bernicchia, A.; Gorjón, S.P. Corticiaceae s.l. Fungi Europaei 12; Edizioni Candusso: Alassio, Italy, 2010. [Google Scholar]
- Knudsen, H.; Vesterholt, J. Funga Nordica. Agaricoid, Boletoid, Clavarioid, Cyphelloid and Gastroid Genera, 2nd ed.; Nordsvamp: Copenhagen, Denmark, 2012. [Google Scholar]
- Ryvarden, L.; Melo, I. Poroid Fungi of Europe, 2nd ed.; Fungiflora AS: Oslo, Norway, 2017. [Google Scholar]
- Index Fungorum. Available online: http://www.indexfungorum.org/authorsoffungalnames.htm (accessed on 11 November 2021).
- Wojewoda, W.; Ławrynowicz, M. Red list of the macrofungi in Poland. In Red List of Plants and Fungi in Poland; Mirek, Z., Zarzycki, K., Wojewoda, W., Szeląg, Z., Eds.; Polish Academy of Sciences: Kraków, Poland, 2006; pp. 53–70. [Google Scholar]
- Kujawa, A.; Gierczyk, B.; Ślusarczyk, T. GREJ - Rejestr gatunków grzybów chronionych i zagrożonych [Register of protected and en-dangered fungi species in Poland]. In Atlas grzybów Polski [Fungi of Poland]; Snowarski, M. Ed. Available online: http://www.grzyby.pl/rejestr-grzybow-chronionych-i-zagrozonych.htm (accessed on 11 November 2021).
- Kubiak, K.; Damszel, M.; Sikora, K.; Przemieniecki, S.; Małecka, M.; Sierota, Z. Colonization of fungi and bacteria in stumps and roots of Scots pine after thinning and treatment with Rotstop. J. Phytopath. 2016, 165, 143–156. [Google Scholar] [CrossRef]
- Gardes, M.; Bruns, T.D. ITS primers with enhanced specificity for basidiomycetes–application to the identification of mycorrhizae and rusts. Mol. Ecol. 1993, 2, 113–118. [Google Scholar] [CrossRef]
- White, T.J.; Burns, T.; Lee, S.; Taylor, J.W. Amplification and direct sequencing of fungal ribosomal RNA genes for phylogenetics. In PCR Protocols: A Guide to Methods and Applications; Innis, M.A., Gelfand, D.H., Sninsky, J.J., White, T.J., Eds.; Academic Press: New York, NY, USA, 1990; pp. 315–322. [Google Scholar]
- Hantula, J.; Vainio, E. Specific primers for the differentiation of Heterobasidion annosum (s.str.) and H. parviporum infected stumps in northern Europe. Silva Fenn. 2003, 37, 181–187. [Google Scholar] [CrossRef]
- Szewczyk, W.; Kwaśna, J.; Behnke-Borowczyk, J. Populations of Armillaria species in pine plantations in west-central Poland. Dendrobiology 2015, 74, 95–108. [Google Scholar] [CrossRef][Green Version]
- R Core Team. R: A Language and Environment for Statistical Computing. R Foundation for Statistical Computing. Available online: https://www.r-project.org/ (accessed on 15 July 2019).
- Boddy, L. Interspecific combative interactions between wood-decaying basidiomycetes. FEMS Microbiol. Ecol. 2000, 31, 185–194. [Google Scholar] [CrossRef]
- Jönsson, M.T.; Edman, M.; Jonsson, B.G. Colonization and extinction patterns of wood-decaying fungi in a boreal old-growth Picea abies forest. J. Ecol. 2008, 96, 1065–1075. [Google Scholar] [CrossRef]
- Boddy, L.; Hiscox, J. Fungal ecology, principles and mechanisms of colonisation and competition by saprotrophic fungi. Microbiol. Spectr. 2016, 4, 4–6. [Google Scholar] [CrossRef]
- Bujoczek, L.; Zięba, S.; Banaś, J. Effect of site conditions and site index for the dominant tree species on the amount of deadwood in managed forests. Sylwan 2016, 160, 320–327. [Google Scholar] [CrossRef]
- Piętka, S.; Sotnik, A.; Damszel, M.; Sierota, Z. Coarse woody debris and wood-colonizing fungi-differences between a reserve stand and a managed forest in the Taborz region of Poland. J. For. Res. 2019, 30, 1081–1091. [Google Scholar] [CrossRef]
- Mihál, I.; Luptáková, E.; Pavlík, M. Wood-inhabiting macromycetes communities in spruce stands on former agricultur-al land. J. For. Sci. 2021, 67, 51–65. [Google Scholar] [CrossRef]
- Kubart, A.; Vasaitis, R.; Stenlid, J.; Dahlberg, A. Fungal communities in Norway spruce stumps along a latitudinal gradient in Sweden. For. Ecol. Manag. 2016, 371, 50–58. [Google Scholar] [CrossRef]
- Tomczak, A.; Jelonek, T. Radial variation in the wood properties of Scots pine (Pinus sylvestris L.) grown on former agricultural soil. For. Res. Pap. 2013, 74, 171–177. [Google Scholar] [CrossRef]
- Cukor, J.; Zeidler, A.; Vacek, Z.; Vacek, S.; Šimůnek, V.; Gallo, J. Comparison of growth and wood quality of Norway spruce and European larch: Effect of previous land use. Eur. J. For. Res. 2020, 139, 459–472. [Google Scholar] [CrossRef]
- Lauber, C.L.; Strickland, M.S.; Bradford, M.A.; Fierer, N. The influence of soil properties on the structure of bacterial and fungal communities across land-use types. Soil Biol. Biochem. 2008, 40, 2407–2415. [Google Scholar] [CrossRef]
- Balami, S.; Vašutová, M.; Košnar, J.; Karki, R.; Khadka, C.; Tripathi, G.; Cudlín, P. Soil fungal communities in abandoned agricultural land has not yet moved towards the seminatural forest. For. Ecol. Manag. 2012, 491, 119181. [Google Scholar] [CrossRef]
- Kubartova, A.; Ottosson, E.; Dahlberg, A.; Stenlid, J. Patterns of fungal communities among and within decaying logs, revealed by 454 sequencing. Mol. Ecol. 2012, 21, 4514–4532. [Google Scholar] [CrossRef]
- Pratt, J.E.; Niemi, M.; Sierota, Z.H. Comparison of three products based on Phlebiopsis gigantea for the control of Heterobasidion annosum in Europe. Biocontr. Sci. Techn. 2000, 10, 469–479. [Google Scholar] [CrossRef]
- Chapman, B.; Xiao, G. Inoculation of stumps with Hypholoma fasciculare as a possible means to control Armillaria root disease. Can. J. Bot. 2000, 78, 129–134. [Google Scholar] [CrossRef]
- Zhang, J.; Ju, Y.; Zhao, B. Advances in the research of Pleurotus poison to nematodes and the potential use for Pleurotus in controlling pine wilt disease. Acta Agric. Univ. Jiangxien. 2002, 4, 441–444. Available online: https://en.cnki.com.cn/Article_en/CJFDTotal-JXND200204004.htm (accessed on 11 November 2021).
- Hoff, J.A.; Klopfenstein, N.B.; McDonald, G.I.; Tonn, J.R.; Kim, M.-S.; Zambino, P.J.; Hessburg, P.F.; Rogers, J.D.; Peever, T.L.; Carris, L.M. Fungal endophytes in woody roots of Douglas-fir (Pseudotsuga menziesii) and ponderosa pine (Pinus ponderosa). For. Pathol. 2004, 34, 255–271. [Google Scholar] [CrossRef]
- Thakur, M. Fungi as a Biological Tool for Sustainable Agriculture. In Agriculturally Important Fungi for Sustainable Agriculture. Fungal Biology; Yadav, A.N., Mishra, S., Kour, D., Yadav, N., Kumar, A., Eds.; Springer: Berlin/Heidelberg, Germany, 2020; pp. 255–273. [Google Scholar] [CrossRef]
- Nicolotti, G.; Gonthier, P.; Varese, G.C. Efectiveness of some biocontrol and chemical treatments against Heterobasidion annosum on Norway spruce stumps. Eur. J. For. Pathol. 1999, 29, 339–346. [Google Scholar] [CrossRef]
- Warwell, M.V.; McDonald, G.I.; Hanna, J.W.; Kim, M.-S.; Lalande, B.M.; Stewart, J.E.; Hudak, A.T.; Klopfenstein, N.B. Armillaria altimontana Is Associated with Healthy Western White Pine (Pinus monticola): Potential in Situ Biological Control of the Armillaria Root Disease Pathogen, A. solidipes. Forests 2019, 10, 294. [Google Scholar] [CrossRef]
- Wojewoda, W. Checklist of Polish larger Basidiomycetes; Polish Academy of Science: Kraków, Poland, 2003. [Google Scholar]
- Kujawa, A. Macroscopic fungi of Poland in mycological literature. Available online: http://www.grzyby.pl/grzyby-makroskopijne-Polski-w-literaturze-mikologicznej.htm (accessed on 11 November 2021).
- Hilber, O. The genus Pleurorus (Fr.) Kummer (2); Private: Kelheum, Germany, 1997. [Google Scholar]
- Stamets, P. Growing Gourmet and Medicinal Mushrooms, 3rd ed.; Ten Speed Press: Berkeley, CA, USA, 2000. [Google Scholar]
- Gierczyk, B.; Kujawa, A.; Szczepkowski, A.; Ślusarczyk, T.; Pachlewski, T.; Chachuła, P.; Domian, G. Macrofungi of the Bieszczady Mountains. Acta Mycol. 2019, 54, 1124. [Google Scholar] [CrossRef]
- Chachuła, P.; Dorda, A.; Fiedor, M.; Rutkowski, R. Grzyby Cieszyna; Urząd Miejski w Cieszynie: Cieszyn, Poland, 2015. [Google Scholar]
- Szczepkowski, A. (Institute of Forest Sciences, Warsaw University of Life Sciences—SGGW, Warsaw, Poland); Gierczyk, B. (Faculty of Chemistry, Adam Mickiewicz University in Poznań, Poznań, Poland); Kujawa, A. (Institute for Agricultural and Forest Environment, Polish Academy of Sciences, Poznań, Poland), Ślusarczyk, T. (Naturalists’ Club, Świebodzin, Poland). P. pulmonarius has been found on the trunk of a fallen Pinus sylvestris in a wind-damage area in Kampinos National Park. Unpublished work, 2019.
- Penttilla, R.; Siitonen, J.; Kuusinen, M. Polypore diversity in managed and old-growth boreal Picea abies forests in southern Finland. Biol. Cons. 2004, 117, 271–283. [Google Scholar] [CrossRef]
- Junninen, K.; Komonen, A. Conservation ecology of boreal polypores: A review. Biol. Conserv. 2011, 144, 11–20. [Google Scholar] [CrossRef]
- Norden, J.; Penttilla, R.; Siitonen, J.; Tomppo, E.; Ovaskainen, O. Specialist species of wood-inhabiting fungi struggle while generalists thrive in fragmented boreal forests. J. Ecol. 2013, 101, 701–712. [Google Scholar] [CrossRef]
- Kunttu, P.; Helo, T.; Kulju, M.; Julkunen, J.; Pennanen, J.; Shiryaev, A.G.; Lehtonen, H.; Kotiranta, H. Aphyllophoroid funga (Basidiomycota) of Finland: Range extensions and records of nationally new and rare species. Acta Mycol. 2019, 54, 1128. [Google Scholar] [CrossRef]
- Komonen, A.; Puumala, I.; Várkonyi, G.; Penttilä, R. Wood-decaying fungi in old-growth boreal forest fragments: Extinctions and colonizations over 20 years. Silva Fenn. 2021, 55, 10491. [Google Scholar] [CrossRef]
- Gori, Y.; Cherubini, P.; Camin, F.; La Porta, N. Fungal root pathogen (Heterobasidion parviporum) increases drought stress in Norway spruce stand at low elevation in the Alps. Eur. J. Forest. Res. 2013, 132, 607–619. [Google Scholar] [CrossRef]
- La Porta, N.; Capretti, P.; Thomsen, I.M.; Kasanen, R.; Hietala, A.M.; Von Weissenberg, K. Forest pathogens with higher damage potential due to climate change in Europe. Can. J. Plant. Pathol. 2008, 30, 177–195. [Google Scholar] [CrossRef]
- Rayner, A.D.M.; Boddy, L. Fungal Decomposition of Wood. Its Biology and Ecology; John Wiley & Sons: Hoboken, NJ, USA, 1988. [Google Scholar]
- Gunulf, A.; Wang, L.; Englund, J.-E.; Rönnberg, J. Secondary spread of Heterobasidion parviporum from small Norway spruce stumps to adjacent trees. For. Ecol. Manage. 2013, 287, 1–8. [Google Scholar] [CrossRef]
- Gaitnieks, T.; Zaļuma, A.; Kenigsvalde, K.; Kļaviņa, D.; Brauners, I.; Piri, T. Susceptibility of Small-Diameter Norway Spruce Understory Stumps to Heterobasidion Spore Infection. Forests 2019, 10, 521. [Google Scholar] [CrossRef]
- Piri, T.; Korhonen, K.T. The effect of winter thinning on the spread of Heterobasidion parviporum in Norway spruce stands. Can. J. For. Res. 2008, 38, 2589–2595. [Google Scholar] [CrossRef]
- Fox, R.T.V. Armillaria Root Rot: Biology and Control of Honey Fungus; Intercept Press: Andover, Hampshirte, UK, 2000. [Google Scholar]
- Prospero, S.; Holdenrieder, O.; Rigling, D. Comparison of the virulence of Armillaria cepistipes and Armillaria ostoyae on four Norway spruce provenances. For. Pathol. 2004, 34, 1–14. [Google Scholar] [CrossRef]
- Lygis, V.; Vasiliauskas, R.; Larsson, K.-H.; Stenlid, J. Wood-inhabiting fungi in stems of Fraxinus excelsior in declining ash stands of northern Lithuania, with particular reference to Armillaria cepistipes. Scand. J. For. Res. 2005, 20, 337–346. [Google Scholar] [CrossRef]
- Heinzelmann, R.; Dutech, C.; Tsykun, T.; Labbé, F.; Soularue, J.-P.; Prospero, S. Latest advances and future perspectives in Armillaria research. Can. J. Pl. Path. 2019, 41, 1–23. [Google Scholar] [CrossRef]
- Mańka, M.; Łakomy, P. Effect of thinning in Scotch pine (Pinus sylvestris L.) stand growing on former arable land, on suppressiveness of soil to Heterobasidion annosum (Fr.) Bref. and Armillaria obscura (Schaeff.) Herink. Phytopath. Polon. 1995, 9, 45–51. [Google Scholar]
- Kubiak, K.; Żółciak, A.; Damszel, M.; Lech, P.; Sierota, Z. Armillaria Pathogenesis under Climate Changes. Forests 2017, 8, 100. [Google Scholar] [CrossRef]
- Przemieniecki, S.W.; Damszel, M.; Ciesielski, S.; Kubiak, K.; Mastalerz, J.; Sierota, Z.; Gorczyca, A. Bacterial microbiome in Armillaria ostoyae rhizomorphs inhabiting the root zone during progressively dying Scots pine. Appl. Soil Ecol. 2021, 164, 103929. [Google Scholar] [CrossRef]
- Kovalchuk, A.; Mukrimin, M.; Zeng, Z.; Rafaello, T.; Liu, M.; Kasanen, R.A.O.; Sun, H.; Asiegbu, F.O. Mycobiome analysis of asymptomatic and symptomatic Norway spruce trees naturally infected by the conifer pathogens Heterobasidion spp. Environ. Microbiol. Rep. 2018, 10, 532–541. [Google Scholar] [CrossRef]
- Seifert, T. Simulating the extent of decay caused by Heterobasidion annosum s. l. in stems of Norway spruce. For. Ecol. Manag. 2007, 248, 95–106. [Google Scholar] [CrossRef]
- Möykkynen, T.; Pukkala, T. Optimising the management of a Norway spruce stand on a site infected by Heterobasidion coll. Scand. J. For. Res. 2009, 24, 149–159. [Google Scholar] [CrossRef]
- Goheen, D.J.; Otrosina, W.J. Characteristics and consequences of root diseases in forests of Western North America. In User’s Guide to the Western Root Disease Model, version 3.0.; Frankel, S.J., Ed.; USDA: Albany, CA, USA, 1998; pp. 3–8. [Google Scholar]
- Schwarze, F.W.M.R.; Engels, J.; Mattheck, C. Fungal Strategies of Wood Decay in Trees; Springer Verlag: Berlin, Germany, 2000. [Google Scholar]
- Lonsdale, D.; Pautasso, M.; Holdenrieder, O. Wood-decaying fungi in the forest: Conservation needs and management options. Eur. J. For. Res. 2008, 127, 1–22. [Google Scholar] [CrossRef]
- Wrzosek, M.; Ruszkiewicz-Michalska, M.; Sikora, K.; Damszel, M.; Sierota, Z. The plasticity of fungal interactions. Mycol. Prog. 2017, 16, 101–108. [Google Scholar] [CrossRef]
- Jaworski, T.; Plewa, R.; Hilszczański, J.; Szczepkowski, A.; Horak, J. Saproxylic moths reveal complex within-group and group-environment patterns. J. Insect Conserv. 2016, 20, 677–690. [Google Scholar] [CrossRef]
- Custer, G.F.; van Diepen, L.T.A.; Stump, W.L. Structural and functional dynamics of soil microbes following spruce beetle infestation. Appl. Environ. Microbiol. 2020, 86, e01984–e02003. [Google Scholar] [CrossRef] [PubMed]






| Forest District | Plot No. Subdistrict Compartment | Soil Type | Stand Age | No. of Trees on Survey Plot | Trees with Decay by PICUS (%) | No. of Stumps/with Decay Symptoms (Including Stumps with Hollows and Basidiomata of H. parviporum and Armillaria spp.) |
|---|---|---|---|---|---|---|
| Czerwony Dwór | 1—Dunajki 102l | Forest | 53 | 144 | 13.3 | 39/33 (13) |
| 2—Kaliniszki 85h | Forest | 63 | 118 | 33.3 | 43/36 (10) | |
| 3—Dunajki 59k | Forest | 74 | 82 | 56.7 | 35/29 (12) | |
| 5—Dunajki 58c | Arable | 53 | 109 | 36.7 | 64/44 (11) | |
| 6—Dunajki 44a | Arable | 63 | 117 | 33.3 | 51/43 (20) | |
| 7—Dunajki 43g | Arable | 74 | 129 | 13.3 | 55/53 (19) | |
| Borki | 4—Knieja Ł. 49b | Forest | 111 | 51 | 70.0 | 34/32 (10) |
| 8—Lipowa G. 6a | Arable | 109 | 71 | 73.3 | 18/18 (15) | |
| Average number of stumps | Forest Arable | 43.3 39.2 | 37.8/32.5 (11.3) 47.0/39.5 (16.3) | |||
| Stand Location | Forest Soil/Old Forest | Arable Soil/Post-Agricultural Soil | Number of Stands with Taxa Present | ||||||||
|---|---|---|---|---|---|---|---|---|---|---|---|
| Site No. | 1 | 2 | 3 | 4 | Mean 1–4 | 5 | 6 | 7 | 8 | Mean 5–8 | |
| Number of Stumps | 39 | 43 | 35 | 34 | 38 | 64 | 51 | 55 | 18 | 47 | |
| ASCOMYCOTA | |||||||||||
| Helotiales | |||||||||||
| Gelatinodiscaceae | |||||||||||
| Ascocoryne cylichnium (Tul.) Korf S | 7.7 | 7.0 | 0 | 0 | 3.7 | 3.1 | 13.7 | 3.6 | 5.6 | 6.5 | 6 |
| Hypocreales | |||||||||||
| Hypocreaceae | |||||||||||
| Hypocrea citrina (Pers.) Fr. S | 0 | 0 | 0 | 0 | 0 | 0 | 0 | 1.8 | 0 | 0.5 | 1 |
| Hypocrea pulvinata Fuckel M | 0 | 2.3 | 0 | 0 | 0.6 | 0 | 0 | 0 | 0 | 0 | 1 |
| Pezizales | |||||||||||
| Helvellaceae | |||||||||||
| Helvella macropus (Pers.) P. Karst. E | 0 | 0 | 0 | 0 | 0 | 0 | 2.0 | 0 | 0 | 0.5 | 1 |
| Pyronemataceae | |||||||||||
| Scutellinia scutellata (L.) Lambotte S | 0 | 0 | 0 | 0 | 0 | 0 | 0 | 0 | 5.6 | 1.4 | 1 |
| BASIDIOMYCOTA | |||||||||||
| Agaricales | |||||||||||
| Crepidotaceae | |||||||||||
| Crepidotus malachius Sacc. var. trichifer Hesler & A.H. Sm. S | 0 | 0 | 0 | 0 | 0 | 0 | 2.0 | 0 | 0 | 0.5 | 1 |
| Entolomataceae | |||||||||||
| Clitopilus hobsonii (Berk.) P.D. Orton S | 0 | 4.7 | 0 | 0 | 1.2 | 0 | 0 | 0 | 0 | 0 | 1 |
| Entoloma byssisedum (Pers.) Donk S | 0 | 0 | 0 | 0 | 0 | 0 | 2.0 | 0 | 0 | 0.5 | 1 |
| Hymenogastraceae | |||||||||||
| Galerina marginata (Batsch) Kühner S | 5.1 | 0 | 5.7 | 0 | 2.7 | 1.6 | 3.9 | 1.8 | 0 | 1.3 | 5 |
| Galerina triscopa (Fr.) Kühner S | 0 | 2.3 | 0 | 8.6 | 2.7 | 0 | 0 | 1.8 | 0 | 0.5 | 3 |
| Galerina sp. S | 2.6 | 2.3 | 0 | 0 | 1.2 | 0 | 0 | 1.8 | 0 | 0.5 | 3 |
| Gymnopilus penetrans (Fr.) Murrill S | 5.1 | 7.0 | 2.9 | 8.8 | 6.0 | 1.6 | 0 | 0 | 16.7 | 4.6 | 6 |
| Gymnopilus picreus (Pers.) P. Karst. S | 0 | 0 | 0 | 5.9 | 1.5 | 0 | 2.0 | 0 | 5.6 | 1.9 | 3 |
| Incertae sedis | |||||||||||
| Cystoderma carcharias (Pers.) Fayod S | 0 | 0 | 0 | 0 | 0 | 0 | 2.0 | 0 | 0 | 0.5 | 1 |
| Tricholomopsis rutilans (Schaeff.) Singer S | 0 | 0 | 0 | 0 | 0 | 0 | 2.0 | 1.8 | 0 | 1.0 | 2 |
| Lycoperdaceae | |||||||||||
| Apioperdon pyriforme (Schaeff.) Vizzini S | 0 | 2.3 | 3.7 | 5.8 | 3.0 | 6.3 | 2.0 | 1.8 | 22.2 | 8.0 | 7 |
| Macrocystidiaceae | |||||||||||
| Macrocystidia cucumis (Pers.) Joss. S | 0 | 0 | 0 | 0 | 0 | 0 | 2.0 | 0 | 0 | 0.5 | 1 |
| Marasmiaceae | |||||||||||
| Gymnopus androsaceus (L.) Della Magg. & Trassin. S | 0 | 0 | 0 | 0 | 0 | 1.6 | 0 | 0 | 0 | 0.4 | 1 |
| Mycenaceae | |||||||||||
| Mycena galericulata (Scop.) Gray S | 0 | 0 | 0 | 0 | 0 | 1.6 | 2.0 | 1.8 | 0 | 1.4 | 3 |
| Mycena galopus (Pers.) P. Kumm. S | 2.6 | 0 | 0 | 2.9 | 1.4 | 3.1 | 2.0 | 1.8 | 0 | 1.7 | 5 |
| Mycena sp. S | 2.6 | 4.7 | 5.7 | 2.9 | 4.0 | 6.3 | 0 | 3.6 | 0 | 2.5 | 6 |
| Pleurotaceae | |||||||||||
| Pleurotus pulmonarius (Fr.) Quél. S | 0 | 0 | 0 | 0 | 0 | 0 | 2.0 | 0 | 0 | 0.5 | 1 |
| Pluteaceae | |||||||||||
| Pluteus atromarginatus (Konrad) Kühner S | 0 | 0 | 2.9 | 2.9 | 1.5 | 0 | 0 | 0 | 0 | 0 | 2 |
| Pluteus pouzarianus Singer S | 2.6 | 0 | 8.6 | 0 | 2.8 | 0 | 0 | 0 | 0 | 0 | 2 |
| Physalacriaceae | |||||||||||
| Armillaria borealis * Marxmüller & Korhonen P | 0 | 48.8 | 0 | 0 | 12.2 | 0 | 0 | 0 | 0 | 0 | 1 |
| Armillaria cepistipes * Velen. P | 56.4 | 0 | 34.3 | 5.9 | 24.2 | 39.1 | 62.7 | 10.9 | 5.6 | 29.6 | 7 |
| Schizophyllaceae | |||||||||||
| Schizophyllum commune Fr. S | 0 | 0 | 0 | 2.9 | 0.7 | 0 | 0 | 0 | 0 | 0 | 1 |
| Strophariaceae | |||||||||||
| Hypholoma capnoides (Fr.) P. Kumm. S | 7.7 | 9.3 | 8.6 | 0 | 6.4 | 12.5 | 2.0 | 3.6 | 0 | 4.5 | 6 |
| Hypholoma fasciculare (Huds.) P. Kumm. S | 10.3 | 0 | 0 | 4.7 | 3.8 | 6.3 | 0 | 7.3 | 11.1 | 6.2 | 5 |
| Hypholoma lateritium (Schaeff.) P. Kumm S | 0 | 2.3 | 0 | 0 | 0.6 | 0 | 0 | 0 | 0 | 0 | 1 |
| Kuehneromyces mutabilis (Schaeff.) Singer & A.H. Sm. S | 0 | 0 | 0 | 0 | 0 | 3.1 | 0 | 0 | 0 | 0.8 | 1 |
| Pholiota flammans (Batsch) P. Kumm. S | 0 | 0 | 0 | 0 | 0 | 1.6 | 3.9 | 0 | 0 | 1.4 | 2 |
| Atheliales | |||||||||||
| Atheliaceae | |||||||||||
| Amphinema byssoides (Pers.) J. Erikss. S | 0 | 0 | 0 | 2.9 | 0.7 | 0 | 0 | 0 | 0 | 0 | 1 |
| Auriculariales | |||||||||||
| Auriculariaceae | |||||||||||
| Exidia nigricans (With.) P. Roberts S | 0 | 0 | 0 | 0 | 0 | 0 | 0 | 0 | 5.6 | 1.4 | 1 |
| Incertae sedis | |||||||||||
| Pseudohydnum gelatinosum (Scop.) P. Karst. S | 0 | 2.3 | 2.9 | 0 | 1.3 | 0 | 0 | 0 | 0 | 0 | 2 |
| Boletales | |||||||||||
| Coniophoraceae | |||||||||||
| Coniophora arida (Fr.) P. Karst. S | 0 | 4.7 | 0 | 0 | 1.2 | 0 | 0 | 0 | 0 | 0 | 1 |
| Hygrophoropsidaceae | |||||||||||
| Hygrophoropsis aurantiaca (Wulfen) Maire S | 0 | 0 | 0 | 5.9 | 1.5 | 0 | 0 | 1.8 | 5.6 | 1.9 | 3 |
| Paxillaceae | |||||||||||
| Paxillus involutus (Batsch) Fr. E | 0 | 2.3 | 0 | 0 | 0.6 | 0 | 0 | 0 | 0 | 0 | 1 |
| Dacrymycetales | |||||||||||
| Dacrymycetaceae | |||||||||||
| Calocera viscosa (Pers.) Fr. S | 0 | 2.3 | 0 | 5.9 | 2.05 | 1.6 | 0 | 0 | 0 | 0.4 | 3 |
| Dacrymyces stillatus Nees S | 5.1 | 7.0 | 2.9 | 8.8 | 6.0 | 7.8 | 0 | 0 | 0 | 2.0 | 5 |
| Gloeophyllales | |||||||||||
| Gloeophyllaceae | |||||||||||
| Gloeophyllum odoratum (Wulfen) Imazeki S | 0 | 0 | 0 | 2.9 | 0.7 | 0 | 0 | 0 | 0 | 0 | 1 |
| Gomphales | |||||||||||
| Gomphaceae | |||||||||||
| Ramaria apiculata (Fr.) Donk S | 0 | 0 | 0 | 11.8 | 2.9 | 0 | 0 | 0 | 0 | 0 | 1 |
| Hymenochaetales | |||||||||||
| Hymenochaetaceae | |||||||||||
| Onnia tomentosa (Fr.) P. Karst. P | 0 | 0 | 0 | 2.9 | 0.7 | 0 | 0 | 0 | 0 | 0 | 1 |
| Hyphodontiaceae | |||||||||||
| Hyphodontia arguta (Fr.) J. Erikss. S | 0 | 0 | 0 | 0 | 0 | 0 | 0 | 0 | 11.1 | 2.8 | 1 |
| Hyphodontia pallidula (Bres.) J. Erikss. S | 0 | 0 | 0 | 0 | 0 | 0 | 0 | 0 | 5.6 | 1.4 | 1 |
| Incertae sedis | |||||||||||
| Trichaptum abietinum (Pers. ex J.F. Gmel.) Ryvarden S | 0 | 0 | 0 | 2.9 | 0.7 | 0 | 0 | 0 | 0 | 0 | 1 |
| Schizoporaceae | |||||||||||
| Xylodon flaviporus (Berk. & M.A. Curtis ex Cooke) Riebesehl & Langer S | 0 | 0 | 0 | 0 | 0 | 1.6 | 0 | 1.8 | 0 | 0.9 | 2 |
| Xylodon nesporii (Bres.) Hjortstam & Ryvarden S | 0 | 0 | 0 | 0 | 0 | 0 | 0 | 0 | 5.6 | 1.4 | 1 |
| Polyporales | |||||||||||
| Dacryobolaceae | |||||||||||
| Postia ptychogaster (F. Ludw.) Vesterh S | 7.7 | 0 | 0 | 5.9 | 3.4 | 0 | 0 | 1.8 | 5.6 | 1.9 | 4 |
| Postia tephroleuca (Fr.) Jülich S | 0 | 0 | 0 | 0 | 0 | 1.6 | 0 | 0 | 0 | 0.4 | 1 |
| Fomitopsidaceae | |||||||||||
| Fomitopsis pinicola (Sw.) P. Karst. P | 0 | 4.7 | 0 | 0 | 1.2 | 1.6 | 0 | 1.8 | 0 | 0.6 | 3 |
| Hyphodermataceae | |||||||||||
| Hyphoderma roseocremeum (Bres.) Donk S | 2.6 | 0 | 0 | 0 | 0.7 | 0 | 0 | 0 | 0 | 0 | 1 |
| Incertae sedis | |||||||||||
| Amaropostia stiptica (Pers.) B.K. Cui, L.L. Shen &Y.C Dai P | 0 | 2.3 | 2.9 | 0 | 1.3 | 0 | 0 | 0 | 5.6 | 1.4 | 3 |
| Incrustoporiaceae | |||||||||||
| Skeletocutis amorpha (Fr.) Kotl. & Pouzar S | 0 | 0 | 0 | 2.9 | 0.7 | 0 | 0 | 0 | 0 | 0 | 1 |
| Meruliaceae | |||||||||||
| Phlebia tremellosa (Schrad.) Nakasone & Burds. S | 0 | 0 | 0 | 0 | 0 | 0 | 0 | 1.8 | 0 | 0.5 | 1 |
| Physisporinus vitreus (Pers.) P. Karst. S | 0 | 0 | 2.9 | 0 | 0.7 | 0 | 0 | 0 | 0 | 0 | 1 |
| Rigidoporus sanguinolentus (Alb. & Schwein.) Donk S | 0 | 0 | 0 | 2.9 | 0.7 | 0 | 0 | 0 | 0 | 0 | 1 |
| Phanerochaetaceae | |||||||||||
| Bjerkandera adusta (Willd.) P. Karst. S | 0 | 0 | 0 | 0 | 0 | 0 | 2.0 | 0 | 0 | 0.5 | 1 |
| Phlebiopsis gigantea (Fr.) Jülich S | 2.6 | 0 | 0 | 2.9 | 1.4 | 0 | 0 | 0 | 0 | 0 | 2 |
| Polyporaceae | |||||||||||
| Cyanosporus caesius (Schrad.) McGinty P | 5.1 | 2.3 | 0 | 0 | 1.9 | 6.3 | 0 | 1.8 | 0 | 2.0 | 4 |
| Xenasmataceae | |||||||||||
| Xenasmatella vaga (Fr.) Stalpers S | 0 | 0 | 2.9 | 5.9 | 2.2 | 0 | 0 | 1.8 | 16.7 | 4.6 | 4 |
| Russulales | |||||||||||
| Stereaceae | |||||||||||
| Heterobasidion parviporum * Niemelä & Korhonen P | 5.1 | 4.7 | 5.7 | 11.8 | 6.8 | 1.6 | 9.8 | 7.3 | 11.1 | 7.5 | 8 |
| Bondarzewiaceae | |||||||||||
| Stereum sanguinolentum (Alb. & Schwein.) Fr. P | 2.6 | 2.3 | 0 | 2.9 | 2.0 | 4.7 | 3.9 | 3.6 | 5.6 | 4.5 | 7 |
| Thelephorales | |||||||||||
| Thelephoraceae | |||||||||||
| Tomentella bryophila (Pers.) M.J. Larsen E | 0 | 0 | 0 | 0 | 0 | 0 | 0 | 0 | 5.6 | 1.4 | 1 |
| Tomentella radiosa (P. Karst.) Rick E | 0 | 0 | 0 | 0 | 0 | 0 | 0 | 0 | 11.1 | 2.8 | 1 |
| Trechisporales | |||||||||||
| Hydnodontaceae | |||||||||||
| Trechispora hymenocystis (Berk. & Broome) K.H. Larss. S | 0 | 0 | 0 | 0 | 0 | 0 | 2.0 | 5.5 | 0 | 1.9 | 2 |
| Trechispora nivea (Pers.) K.H. Larss. S | 2.6 | 0 | 0 | 0 | 0.7 | 0 | 0 | 0 | 5.6 | 1.4 | 2 |
| Trechispora mollusca (Pers.) Liberta S | 0 | 0 | 0 | 0 | 0 | 0 | 2.0 | 0 | 0 | 0.5 | 1 |
| Tremellales | |||||||||||
| Tremellaceae | |||||||||||
| Tremella encephala Pers. M | 0 | 0 | 0 | 0 | 0 | 0 | 0 | 0 | 5.6 | 1.4 | 1 |
| Total: 69 taxa (Ascomycota—5, Basidiomycota—64) | |||||||||||
| Total: 69 taxa (S—55, P—8, E—4, M—2) | |||||||||||
| Total: 395 records | forest soil—185 | arable soil—210 | |||||||||
| S—218 records | forest soil—105 | arable soil—113 | |||||||||
| P—170 records | forest soil—78 | arable soil—92 | |||||||||
| E—5 records | forest soil—1 | arable soil—4 | |||||||||
| M—2 records | forest soil—1 | arable soil—1 | |||||||||
| Stand Location | Forest Soil/Old Forest | Arable Soil/Post-Agricultural Soil | Number of Stands with Taxa Present | ||||||
|---|---|---|---|---|---|---|---|---|---|
| Site No. | 1 | 2 | 3 | 4 | 5 | 6 | 7 | 8 | |
| Number of Trees | 144 | 118 | 82 | 51 | 109 | 117 | 129 | 71 | |
| ASCOMYCOTA | |||||||||
| Helotiales | |||||||||
| Hamatocanthoscyphaceae | |||||||||
| Xenopolyscytalum pinea Crous S | 0 | 0 | 0 | 0 | 0 | 0 | 0 | 1.4 * W | 1 |
| Incertae sedis | |||||||||
| Scytalidium lignicola Pesante P | 0 | 0 | 0 | 0 | 0.9 * | 0 | 0 | 0 | 1 |
| Hypocreales | |||||||||
| Nectriaceae | |||||||||
| Mariannaea pinicola L. Lombard & Crous S | 0 | 0 | 0 | 0 | 0 | 0 | 0 | 1.4 * W | 1 |
| BASIDIOMYCOTA | |||||||||
| Agaricales | |||||||||
| Physalacriaceae | |||||||||
| Armillaria cepistipes Velen. P | 0 | 0 | 0 | 0 | 0 | 0 | 0 | 0.9 * W | 1 |
| Pleurotaceae | |||||||||
| Pleurotus dryinus (Pers.) P. Kumm. P | 0 | 0 | 0 | 0 | 0.9 | 0 | 0 | 1.4 | 2 |
| Pleurotus ostreatus (Jacq.) P. Kumm. P | 0 | 0 | 0 | 0 | 0 | 0.9 | 0 | 0 | 1 |
| Strophariaceae | |||||||||
| Hypholoma capnoides (Fr.) P. Kumm. S | 0 | 0 | 0 | 0 | 0 | 0.9 * | 0 | 0 | 1 |
| Hypholoma fasciculare (Huds.) P. Kumm. S | 0 | 0 | 0 | 0 | 0 | 0.9 | 0 | 0 | 1 |
| Pholiota squarrosa (Vahl) P. Kumm. P | 0 | 0.8 | 0 | 0 | 0 | 0 | 0 | 0 | 1 |
| Cantharellales | |||||||||
| Hydnaceae | |||||||||
| Sistotrema brinkmannii (Bres.) J. Erikss. S | 0.7* | 0 | 0 | 2.0 *W | 0 | 0 | 0 | 0 | 2 |
| Dacrymycetales | |||||||||
| Dacrymycetaceae | |||||||||
| Dacrymyces stillatus Nees S | 0 | 0 | 0 | 0 | 0.9 | 0 | 0 | 0 | 1 |
| Hymenochaetales | |||||||||
| Hymenochaetaceae | |||||||||
| Onnia tomentosa (Fr.) P. Karst. P | 0 | 0 | 0 | 5.9 | 0 | 0 | 0.8 | 0 | 2 |
| Incertae sedis | |||||||||
| Trichaptum abietinum (Pers. ex J.F. Gmel.) Ryvarden S | 0 | 0.8 | 0 | 0 | 0 | 0 | 0 | 0 | 1 |
| Oxyporaceae | |||||||||
| Oxyporus ravidus (Fr.) Bondartsev & Singer P | 0 | 0 | 0 | 0 | 0 | 0.9 | 0 | 0 | 1 |
| Incertae sedis | |||||||||
| Incertae sedis | |||||||||
| Resinicium bicolor (Alb. & Schw. ex Fr.) Parm. P | 0 | 0 | 0 | 0 | 0 | 0.9 * | 0 | 0 | 1 |
| Polyporales | |||||||||
| Incertae sedis | |||||||||
| Amaropostia stiptica (Pers.) B.K. Cui, L.L. Shen &Y.C Dai P | 0 | 0 | 1.2 | 0 | 0.9 | 0 | 0 | 0 | 2 |
| Russulales | |||||||||
| Bondarzewiaceae | |||||||||
| Heterobasidion parviporum * Niemelä & Korhonen P | 0 | 0 | 0 | 2.0 * W | 0 | 0.9 * | 0.8 * | 0 | 3 |
| MUCOROMYCOTA | |||||||||
| Mucorales | |||||||||
| Mucoraceae | |||||||||
| Mucor hiemalis Wehmer S | 0 | 0 | 0 | 0 | 0 | 0 | 0 | 1.4 * W | 1 |
| Total: 18 taxa (Ascomycota—3, Basidiomycota—14, Mucoromycota—1) | |||||||||
| Total: 18 taxa (S—8, P—10) | |||||||||
| Total: 22 records | forest soil—8 | arable soil—14 | |||||||
| S—7 records | forest soil—3 | arable soil—4 | |||||||
| P—15 records | forest soil—5 | arable soil—10 | |||||||
| Soil Type | Observed | Chao1 | se.chao1 | ACE | se.ACE | Shannon | Simpson | Fisher |
|---|---|---|---|---|---|---|---|---|
| s1 | 18 | 22.6667 | 4.4832 | 23.913 | 2.4033 | 2.2652 | 0.8024 | 9.5999 |
| s2 | 21 | 30.1667 | 7.3707 | 31.4436 | 2.7365 | 2.4383 | 0.8298 | 12.4085 |
| s3 | 14 | 21 | 6.6296 | 23.0175 | 2.1613 | 2.1979 | 0.8222 | 9.4903 |
| s4 | 25 | 32.3333 | 5.6718 | 34.0909 | 2.9108 | 3.094 | 0.9491 | 23.1609 |
| s5 | 21 | 32.25 | 9.5328 | 32.8689 | 3.0501 | 2.444 | 0.8482 | 9.8691 |
| s6 | 21 | 47.25 | 18.7364 | 75.0972 | 4.8122 | 2.0708 | 0.7337 | 10.7594 |
| s7 | 23 | 44 | 14.7299 | 51.2985 | 3.8028 | 2.9218 | 0.9325 | 22.5337 |
| s8 | 21 | 39.2 | 13.1381 | 42.4181 | 2.939 | 2.9131 | 0.9375 | 26.5619 |
| Counts | All Stumps | PICUS+ Trees | H. parviporum + Armillaria spp. Stumps | |
|---|---|---|---|---|
| Fungi on stumps | - | R = 0.58, p = 0.13 | R = −0.09, p = 0.83 | R = −0.096, p = 0.82 |
| Counts | Fungi on stumps | All stumps | PICUS+ trees | H. parviporum + Armillaria spp. stumps |
| Forest soil vs. Arable soil | R = −0.77, p = 0.23 | R = 0.2, p = 0.92 | R = 0.2, p = 0.92 | R = −0.63, p = 0.37 |
| Counts | Armillaria spp. | Hypholoma spp. | H. parviporum | |
| Forest soil vs. Arable soil | R = 0.8, p = 0.33 | R = 0.4, p = 0.75 | R = −0.26, p = 0.74 | |
| Counts | No. of trees on survey plot | Trees with decay by PICUS (n) | ||
| Forest soil vs. Arable soil | R = 0.2, p = 0.92 | R = 0.2, p = 0.92 | ||
| Counts | No. of trees on survey plot | Stand age | ||
| Trees with decay by PICUS (n) | R = −0.96, p = 0.00011 | R = 0.63, p = 0.097 | ||
Publisher’s Note: MDPI stays neutral with regard to jurisdictional claims in published maps and institutional affiliations. |
© 2022 by the authors. Licensee MDPI, Basel, Switzerland. This article is an open access article distributed under the terms and conditions of the Creative Commons Attribution (CC BY) license (https://creativecommons.org/licenses/by/4.0/).
Share and Cite
Szczepkowski, A.; Kowalczuk, W.; Sikora, K.; Damszel, M.; Sierota, Z. Fungi Occurring in Norway Spruce Wood Decayed by Heterobasidion parviporum in Puszcza Borecka Stands (Northeastern Poland). Forests 2022, 13, 229. https://doi.org/10.3390/f13020229
Szczepkowski A, Kowalczuk W, Sikora K, Damszel M, Sierota Z. Fungi Occurring in Norway Spruce Wood Decayed by Heterobasidion parviporum in Puszcza Borecka Stands (Northeastern Poland). Forests. 2022; 13(2):229. https://doi.org/10.3390/f13020229
Chicago/Turabian StyleSzczepkowski, Andrzej, Waldemar Kowalczuk, Katarzyna Sikora, Marta Damszel, and Zbigniew Sierota. 2022. "Fungi Occurring in Norway Spruce Wood Decayed by Heterobasidion parviporum in Puszcza Borecka Stands (Northeastern Poland)" Forests 13, no. 2: 229. https://doi.org/10.3390/f13020229
APA StyleSzczepkowski, A., Kowalczuk, W., Sikora, K., Damszel, M., & Sierota, Z. (2022). Fungi Occurring in Norway Spruce Wood Decayed by Heterobasidion parviporum in Puszcza Borecka Stands (Northeastern Poland). Forests, 13(2), 229. https://doi.org/10.3390/f13020229

