A Tool for Long-Term Forest Stand Projections of Swedish Forests
Abstract
:1. Introduction
2. Materials and Methods
2.1. Structure and Control
- The stand is in a defined state in period t. Whether a particular kind of treatment is allowed or not is defined by the user in terms of stand conditions. Thus, the treatment rules for the kind of treatment that is prescribed for period t is checked against the state of the stand. If allowed, the next step is to execute the treatment and update stand conditions after treatment; otherwise, the programme is aborted.
- After simulation of the treatment and update, the next check is to determine if the end of the planning period is reached (t = T) or if the treatment is defined as a ‘break’ treatment, e.g., final felling. If management programmes are aimed at an LP application, the ending condition depends on whether it is a Model I or Model II application, respectively.
- In the case of barren land, the projection is simply an update of time since it became barren. If certain user-defined conditions are met, a given composition of young forest is imported, and the state of the stand is transferred to young forest. Thus, regeneration is not an available treatment in GAYA; the regeneration phase of the stand development process is implicit in the imported young stand.
- The young stand has a number of trees that develop in, for instance, number and height, depending on what growth functions are implemented. Once certain user-defined conditions are met, the stand is converted to established forest, i.e., it is assigned a basal area. Other stand variables may also be updated.
- The established forest stand is projected with respect to all stand variables that are relevant in the particular case.
- Definitions of treatments and rules for when they are allowed, and assignment of the ‘break’ treatment, if any.
- The young forest states that should be imported, and the rules for when a particular young forest should be used to convert barren land to young forest.
- The rules for when a young forest should be converted to established forest.
- Growth and yield functions in sub-routines for barren, young, and established forest, respectively.
- One sub-routine for simulating treatments (removal of trees, cost and assortments calculation).
- Two sub-routines for communicating with external data: one for reading the stand register and young forest definitions, and one for writing the result of a management programme.
2.2. Swedish Growth Projection Implementation
2.2.1. Barren Land
2.2.2. Young Forest
2.2.3. Established Forest
- Basal area growth is predicted with Elfving’s single tree model [38,39], except for lodgepole pine, which uses the area production model of the Hugin system [26]. The tree population is represented by the stand mean tree. Since Elfving’s model [38] is a single tree model, this could lead to an overestimation of growth. This will be further investigated in Section 3.2.
- The basal area growth is multiplied with a breeding factor and a climate effect factor. The breeding factor applies for stands for which the initial state is barren land or are finally felled during the projection period. The current practical breeding effect is set to 10%, which increases by 0.375% per year (the theoretical effect of 0.5% is reduced by 75% due to pollen external to the orchard) [40]. The climate effect function is presented in Section 2.3.
- Natural mortality is computed for each species as a removal of a relative share of basal area. The calculations depend on whether the basal area is above or below a limit defined by Söderberg [41]. Functions according to Söderberg [41] are used for basal areas larger than a limit, and functions according to Bengtsson [42] for basal areas smaller than the limit. The same proportion of the number of trees is removed, i.e., the relative diameter of natural mortality is assumed to be one.
- The basal area and number of trees passing over the 5 cm limit, i.e., ingrowth, are computed following Wikberg [43].
- If fertilization takes place, the basal area growth is multiplied with a fertilization effect according to Pettersson [44], with one value for the current period and another value for the following period. The effect is reduced by 50% for species other than Scots pine and Norway spruce.
- The new state—after adjustment for growth (including breeding and climate effects), natural mortality, ingrowth, and fertilization—is used to compute the volume of each species. Functions by Agestam [45] are applied, except for oak and beech, where functions by Hagberg and Matérn [46] are applied. An alternative to [45] is the single tree models by Brandel [47]. Both [45,47] were tried with a set of established NFI plots from year 2018. Ref [45] comes close to the current growth rate of 5.2 m3ob ha−1 y−1 reported by Nilsson et al. [27], whereas [47] approaches 6.6 m3ob ha−1 y−1. A reason for the overstatement of [47] could be that it is a single tree model, while [45] is based on stand average data.
2.3. Climate Change Growth Effects
2.4. Biomass Stocks and Decay
2.4.1. Living Biomass
2.4.2. Carbon in Mineral Soil
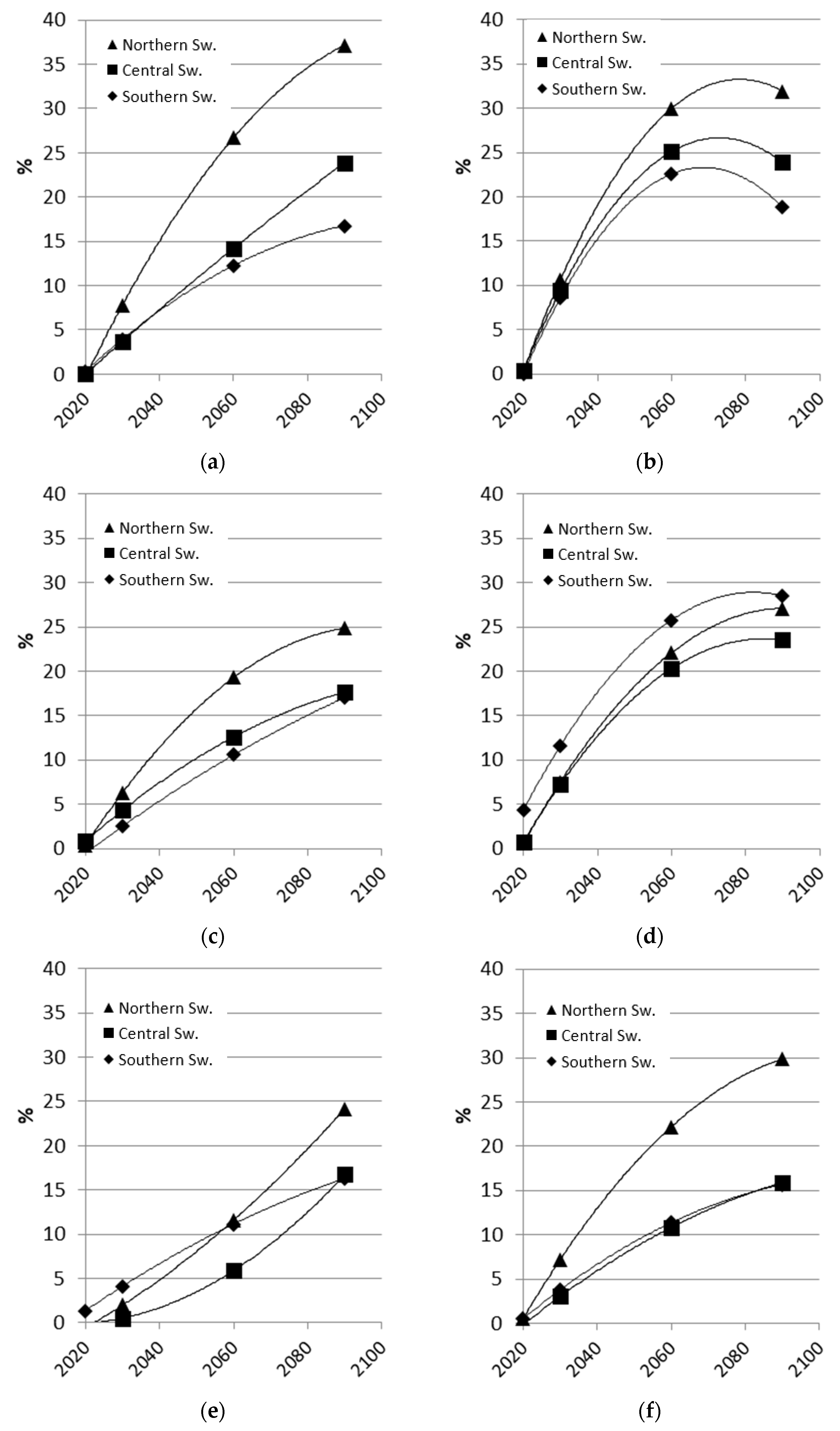
3. Results
3.1. One Period Growth Comparison
3.2. Multi-Period Growth Comparison
4. Discussion
Author Contributions
Funding
Data Availability Statement
Acknowledgments
Conflicts of Interest
References
- Edenhofer, O.; Madruga, R.P.; Sokona, Y.; Seyboth, K.; Matschoss, P.; Kadner, S.; Zwickel, T.; Eickemeier, P.; Hansen, G.; Schlömer, S.; et al. Renewable Energy Sources and Climate Change Mitigation: Special Report of the Intergovernmental Panel on Climate Change; Cambridge University Press: Cambridge, UK, 2011; pp. 1–1075. [Google Scholar]
- European Commission. Fit for 55—Delivering the EU’s 2030 Climate Target on the Way to Climate Neutrality; European Commission: Brussels, Belgium, 2021; Available online: https://ec.europa.eu/info/publications/eu-communication-2019-stepping-eu-action-protect-and-restore-worlds-forests_en (accessed on 24 February 2022).
- FOREST EUROPE FOREST EUROPE Work Programme. 2016. Available online: https://foresteurope.org/wp-content/uploads/2016/08/FE-Work-Programme-2016-2020-1.pdf (accessed on 24 February 2022).
- Borges, J.G.; Nordström, E.-M.; Garcia Gonzalo, J.; Hujala, T.; Trasobares, A. Computer-Based Tools for Supporting Forest Management; SLU: Umeå, Sweden, 2014; Available online: https://pub.epsilon.slu.se/11417/ (accessed on 24 February 2022).
- Sallnäs, O.; Eriksson, L.O. Management Variation and Price Expectations in an Intertemporal Forest Sector Model. Nat. Resour. Model. 1989, 3, 385–398. [Google Scholar] [CrossRef]
- Schelhaas, M.-J.; Eggers, J.; Lindner, M.; Nabuurs, G.-J.; Pussinen, A.; Paivinen, R.; Schuck, A.; Verkerk, P.; Van der Werf, D.; Zudin, S. Model Documentation for the European Forest Information Scenario Model (EFISCEN 3.1.3); Alterra: Wageningen, The Netherlands, 2007; Available online: https://library.wur.nl/WebQuery/wurpubs/358645 (accessed on 24 February 2022).
- Mondal, P.; Southworth, J. Evaluation of Conservation Interventions Using a Cellular Automata-Markov Model. For. Ecol. Manag. 2010, 260, 1716–1725. [Google Scholar] [CrossRef]
- Salehi, A.; Eriksson, L.O. A Management Model for Persian Oak-A Model for Management of Mixed Coppice Stands of Semiarid Forests of Persian Oak. Math. Comput. For. Nat. Resour. Sci. 2010, 2, 20–29. [Google Scholar]
- Packalen, T.; Marques, A.; Rasinmäki, J.; Rosset, C.; Mounir, F.; Rodriguez, L.; Nobre, S. A Brief Overview of Forest Management Decision Support Systems (FMDSS) Listed in the FORSYS Wiki. For. Syst. 2013, 22, 263–269. [Google Scholar] [CrossRef] [Green Version]
- Härkönen, S.; Neumann, M.; Mues, V.; Berninger, F.; Bronisz, K.; Cardellini, G.; Chirici, G.; Hasenauer, H.; Koehl, M.; Lang, M.; et al. A Climate-Sensitive Forest Model for Assessing Impacts of Forest Management in Europe. Environ. Model. Softw. 2019, 115, 128–143. [Google Scholar] [CrossRef]
- Schwaiger, F.; Poschenrieder, W.; Biber, P.; Pretzsch, H. Ecosystem Service Trade-Offs for Adaptive Forest Management. Ecosyst. Serv. 2019, 39, 100993. [Google Scholar] [CrossRef]
- Goude, M.; Nilsson, U.; Mason, E.; Vico, G. Using Hybrid Modelling to Predict Basal Area and Evaluate Effects of Climate Change on Growth of Norway Spruce and Scots Pine Stands. Scand. J. For. Res. 2022, 37, 1–15. [Google Scholar] [CrossRef]
- Komarov, A.; Chertov, O.; Zudin, S.; Nadporozhskaya, M.; Mikhailov, A.; Bykhovets, S.; Zudina, E.; Zoubkova, E. EFIMOD 2—a Model of Growth and Cycling of Elements in Boreal Forest Ecosystems. Ecol. Model. 2003, 170, 373–392. [Google Scholar] [CrossRef]
- Wikström, P.; Edenius, L.; Elfving, B.; Eriksson, L.O.; Lämås, T.; Sonesson, J.; Öhman, K.; Wallerman, J.; Waller, C.; Klintebäck, F. The Heureka Forestry Decision Support System: An Overview. Math. Comput. For. Nat. Resour. Sci. 2011, 3, 87–94. [Google Scholar]
- Petrauskas, E.; Kuliešis, A. Scenario-Based Analysis of Possible Management Alternatives for Lithuanian Forests in the 21st Century. Balt. For. 2004, 10, 72–82. [Google Scholar]
- Fabrika, M. Modelling of Forest Production at Climate Change by Growth Model SIBYLA. In Proceedings of the Bioclimatology and Natural Hazards International Scientific Conference, Pol’ana nad Detvou, Slovakia, 17–20 September 2007; pp. 17–20. [Google Scholar]
- Pretzsch, H. Application and Evaluation of the Growth Simulator SILVA 2.2 for Forest Stands, Forest Estates and Large Regions. Forstwiss. Cent. 2002, 121, 28–51. [Google Scholar]
- Johnson, K.N.; Scheurman, H.L. Techniques for Prescribing Optimal Timber Harvest and Investment under Different Objectives—Discussion and Synthesis. For. Sci. 1977, 23, a0001–z0001. [Google Scholar]
- Hirvelä, H.; Härkönen, K.; Lempinen, R. MELA2016 Reference Manual; Luke: Helsinki, Finland, 2017; Available online: https://jukuri.luke.fi/bitstream/handle/10024/538149/luke-luobio_7_2017.pdf?sequence=6 (accessed on 24 February 2022).
- Pukkala, T. Dealing with Ecological Objectives in the Monsu Planning System. Silva. Lusit. 2004, 12, 1–15. [Google Scholar]
- Borges, J.G.; Falcao, A.O.; Miragaia, C.; Marques, P.; Marques, M. A Decision Support System for Forest Ecosystem Management in Portugal. In Systems Analysis in Forest Resources; Springer: Berlin/Heidelberg, Germany, 2003; pp. 155–163. [Google Scholar]
- Alig, R.J.; Adams, D.M.; McCarl, B.A. Impacts of Incorporating Land Exchanges between Forestry and Agriculture in Sector Models. J. Agric. Appl. Econ. 1998, 30, 389–401. [Google Scholar] [CrossRef] [Green Version]
- Sjølie, H.K.; Latta, G.S.; Gobakken, T.; Solberg, B. NorFor: A Forest Sector Model of Norway: Model Overview and Structure; MINA Fagrapport 18; INA: Aas, Norway, 2011; Available online: https://hdl.handle.net/11250/2647392 (accessed on 24 February 2022).
- Eriksson, L.O.; Forsell, N.; Eggers, J.; Snäll, T. Downscaling of Long-Term Global Scenarios to Regions with a Forest Sector Model. Forests 2020, 11, 500. [Google Scholar] [CrossRef]
- Jonsson, B.; Jacobsson, J.; Kallur, H. The forest management planning package: Theory and application. Studia For. Suec. 1993, 183, 1–56. [Google Scholar]
- Lundström, A.; Söderberg, U. Outline of the Hugin System for Long-Term Forecasts of Timber Yields and Possible Cut-Introduction. In Proceedings of the Large-Scale Forestry Scenario Models: Experiences and Requirements, Joensuu, Finland, 15–22 June 1995; Volume 5, pp. 63–77. [Google Scholar]
- Nilsson, P.; Roberge, C.; Fridman, J. Skogsdata 2021: Aktuella Uppgifter om de Svenska Skogarna Från SLU Riksskogstaxeringen; SLU Institutionen för Skoglig Resurshushållning: Umeå, Sweden, 2021; Available online: https://www.slu.se/globalassets/ew/org/centrb/rt/dokument/skogsdata/skogsdata_2021_webb.pdf (accessed on 24 February 2022).
- Heureka Publications. Available online: https://www.slu.se/en/departments/forest-resource-management/program-project/forest-sustainability-analysis/sha/publications/ (accessed on 24 February 2022).
- Eriksson, L.O. Timber Class Formation by Cluster Analysis; Department of Forest Technology, Swedish University of Agricultural Sciences: Garpenberg, Sweden, 1983. [Google Scholar]
- Hoen, H.F.; Eid, T. En Modell for Analyse Av Behandlingsstrategier for En Skog Ved Bestandssimulering Og Lineær Programmering [A Model for Analysis of Treatment Strategies for a Forest by Stand Simulation and Linear Programming]; Norsk Institutt for Skogforskning–NISK: Ås, Norway, 1990. [Google Scholar]
- Eriksson, L.O.; Lofgren, S.; Ohman, K. Implications for Forest Management of the EU Water Framework Directive’s Stream Water Quality Requirements-A Modeling Approach. For. Policy Econ. 2011, 13, 284–291. [Google Scholar] [CrossRef]
- Borges, P.; Eid, T.; Bergseng, E. Applying Simulated Annealing Using Different Methods for the Neighborhood Search in Forest Planning Problems. Eur. J. Oper. Res. 2014, 233, 700–710. [Google Scholar] [CrossRef]
- Ezzati, S.; Palma, C.D.; Bettinger, P.; Eriksson, L.O.; Awasthi, A. An Integrated Multi-Criteria Decision Analysis and Optimization Modeling Approach to Spatially Operational Road Repair Decisions. Can. J. For. Res. 2021, 51, 465–483. [Google Scholar] [CrossRef]
- Hägglund, B. Om Övre Höjdens Utveckling För Gran i Norra Sverige. Skogshögskolan, Institutionen För Skogsproduktion. Rapp. Och Uppsats. 1972, 21, 298. [Google Scholar]
- Hägglund, B. Om Övre Höjdens Utveckling För Gran i Södra Sverige. Skogshögskolan, Institutionen För Skogsproduktion. Rapp. Och Uppsats. 1973, 24, 49. [Google Scholar]
- Hägglund, B. Övre Höjdens Utveckling i Tallbestånd. Skogshögskolan, Institutionen För Skogsproduktion. Rapp. Och Uppsats. 1974, 31, 54. [Google Scholar]
- Pettersson, N. The Effect of Density after Precommercial Thinning on Volume and Structure in Pinus sylvestris and Picea Abies Stands. Scand. J. For. Res. 1993, 8, 528–539. [Google Scholar] [CrossRef]
- Elfving, B. Growth Modelling in the Heureka System; Swedish University of Agricultural Sciences: Umeå, Sweden, 2010. [Google Scholar]
- Fahlvik, N.; Elfving, B.; Wikström, P. Evaluation of Growth Functions Used in the Swedish Forest Planning System Heureka. Silva. Fenn. 2014, 48, 1013. [Google Scholar] [CrossRef] [Green Version]
- Haapanen, M.; Jansson, G.; Nielsen, U.B.; Steffenrem, A.; Stener, L.G. The status of Tree Breeding and Its Potential for Improving Biomass Production—A Review of Breeding Activities and Genetic Gains in Scandinavia and Finland; Skogforsk: Uppsala, Sweden, 2015; Available online: https://www.skogforsk.se/contentassets/9d9c6eeaef374a2283b2716edd8d552e/the-status-of-tree-breeding-low.pdf (accessed on 24 February 2022).
- Söderberg, U. Funktioner För Skogliga Produktionsprognoser. SLU, Avd. För Skogsuppskattning Och Skogsindelning. Rapport 14; SLU: Umeå, Sweden, 1986. [Google Scholar]
- Bengtsson, G. Beräkning Av Den Naturliga Avgången i Avverkningsberäkningarna För 1973 Års Skogsutrednings Slutbetänkande; Skog För Framtid, SOU 1978:7, Bilaga 6; Näringsdepartementet: Stockholm, Sweden, 1978; Available online: https://weburn.kb.se/metadata/907/SOU_7258907.htm (accessed on 24 February 2022).
- Wikberg, P.-E. Occurence, Morphology and Growth of Understory Saplings in Swedish Forests; Acta Universitatis Agriculturae Sueciae Silvestria; Swedish University of Agricultural Sciences: Umeå, Sweden, 2004. [Google Scholar]
- Pettersson, F. Predictive Functions for Impact of Nitrogen Fertilization on Growth over Five Years. For. Res. Inst. Swed. 1994. Available online: https://www.osti.gov/etdeweb/biblio/6892928 (accessed on 24 February 2022).
- Agestam, E. En Produktionsmodell för Blandbestånd Av Tall, Spruce Och Björk I Sverige [A Growth Simulator for Mixed Stands of Pine, Spruce and Birch in Sweden]; Institutionen för Skogsproduktion, Sveriges Lantbruksuniversitet: Garpenberg, Sweden, 1985. [Google Scholar]
- Hagberg, E.; Matérn, B. Volymfunktioner För Stående Träd Av Ek Och Bok: Materialet Och Dess Bearbetning = Tree Volume Functions for Oak and Beech in Sweden (Quercus Robur and Fagus Silvatica); Rapporter Och Uppsatser/Institutionen för Skoglig Matematisk Statistik, Skogshögskolan, 15: Stockholm, Sweden, 1975. [Google Scholar]
- Brandel, G. Volymfunktioner För Enskilda Träd: Tall, Gran Och Björk = Volume Functions for Individual Trees: Scots Pine (Pinus sylvestris), Norway Spruce (Picea Abies) and Birch (Betula Pendula & Betula Pubescens); Sveriges Lantbruksuniv: Garpenberg, Sweden, 1990. [Google Scholar]
- Kjellström, E.; Bärring, L.; Gollvik, S.; Hansson, U.; Jones, C.; Samuelsson, P.; Ullerstig, A.; Willén, U.; Wyser, K. A 140-Year Simulation of European Climate with the New Version of the Rossby Centre Regional Atmospheric Climate Model. (RCA3); SMHI: Norrköping, Sweden, 2005. [Google Scholar]
- Nakicenovic, N.; Swart, R. Emissions Scenarios-Special Report of the Intergovernmental Panel on Climate Change. In Intergovernmental Panel on Climate Change Special Reports on Climate Change; Cambridge University Press: Cambridge, UK, 2000; p. 570. [Google Scholar]
- Bergh, J.; Blennow, K.; Nilsson, U.; Sallnäs, O. Effekter Av Ett Förändrat Klimat På Skogen (Effects of a Changing Climate on the Forest); Department of Southern Swedish Forest Research Centre, SLU: Alnarp, Sweden, 2007. [Google Scholar]
- Ågren, G.I.; Bosatta, E. Theoretical Ecosystem Ecology: Understanding Element Cycles; Cambridge University Press: Cambridge, UK, 1998. [Google Scholar]
- Viskari, T.; Laine, M.; Kulmala, L.; Mäkelä, J.; Fer, I.; Liski, J. Improving Yasso15 Soil Carbon Model Estimates with Ensemble Adjustment Kalman Filter State Data Assimilation. Geosci. Model. Dev. 2020, 13, 5959–5971. [Google Scholar] [CrossRef]
- Petersson, H. Biomassafunktioner För Trädfaktorer Av Tall, Gran Och Björk i Sverige; Institutionen för Skoglig Resurshushållning, Sveriges Lantbruksuniversitet: Umeå, Sweden, 1999. [Google Scholar]
- Ollas, R. Nya Utbytesfunktioner För Träd Och Bestånd [New Yield Functions for Trees and Stands], Ekonomi, 5; Forskningsstiftelsen Skogsarbeten: Stockholm, Sweden, 1980; p. 20. [Google Scholar]
- Starr, M.; Saarsalmi, A.; Hokkanen, T.; Merilä, P.; Helmisaari, H.-S. Models of Litterfall Production for Scots Pine (Pinus sylvestris L.) in Finland Using Stand, Site and Climate Factors. For. Ecol. Manag. 2005, 205, 215–225. [Google Scholar] [CrossRef]
- Saarsalmi, A.; Starr, M.; Hokkanen, T.; Ukonmaanaho, L.; Kukkola, M.; Nöjd, P.; Sievänen, R. Predicting Annual Canopy Litterfall Production for Norway Spruce (Picea Abies (L.) Karst.) Stands. For. Ecol. Manag. 2007, 242, 578–586. [Google Scholar] [CrossRef]
- Eriksson, E.; Gillespie, A.R.; Gustavsson, L.; Langvall, O.; Olsson, M.; Sathre, R.; Stendahl, J. Integrated Carbon Analysis of Forest Management Practices and Wood Substitution. Can. J. For. Res. 2007, 37, 671–681. [Google Scholar] [CrossRef]
- Berg, B.; Meentemeyer, V. Litter Fall in Some European Coniferous Forests as Dependent on Climate: A Synthesis. Can. J. For. Res. 2001, 31, 292–301. [Google Scholar] [CrossRef]
- Eriksson, B. Den «Potentiella» Evapotranspirationen i Sverige [The «Potential» Evapotranspiration in Sweden]; SMHI: Norrköping, Sweden, 1981; Available online: http://smhi.diva-portal.org/smash/get/diva2:1462578/FULLTEXT01.pdf (accessed on 24 February 2022).
- Eriksson, A.; Westerlund, B.; Dahlgren, J.; Fridman, J.; Claesson, S.; Wulff, S. Global Forest Resources Assessment 2020 Report; FAO: Rome, Italy, 2020; Available online: https://www.fao.org/3/cb0063en/cb0063en.pdf (accessed on 24 February 2022).
- Ortiz, C.; Karltun, E.; Stendahl, J.; Gärdenäs, A.I.; Ågren, G.I. Modelling Soil Carbon Development in Swedish Coniferous Forest Soils—An Uncertainty Analysis of Parameters and Model Estimates Using the GLUE Method. Ecol. Model. 2011, 222, 3020–3032. [Google Scholar] [CrossRef]
- Hyvönen, R.; Ågren, G.I. Decomposer Invasion Rate, Decomposer Growth Rate, and Substrate Chemical Quality: How They Influence Soil Organic Matter Turnover. Can. J. For. Res. 2001, 31, 1594–1601. [Google Scholar] [CrossRef]
- Bergh, J.; Egnell, G.; Lundmark, T. Skogens Kolbalans Och Klimatet; Skogsskötselserien; Skogsstyrelsen: Jönköping, Sweden, 2020. [Google Scholar]
- Ågren, G.I.; Hyvönen, R.; Nilsson, T. Are Swedish Forest Soils Sinks or Sources for CO2—Model Analyses Based on Forest Inventory Data. Biogeochemistry 2008, 89, 139–149. [Google Scholar] [CrossRef]








| Pine | Spruce | Birch | As-Pen | Oak | Beech | Southern Broad-Leaves | Lodgepole Pine | Other Broad-Leaves | Larch | 
|---|---|---|---|---|---|---|---|---|---|
| 4.64 | 4.59 | 4.21 | 3.89 | 4.09 | 3.96 | 4.28 | 4.62 | 4.16 | 4.09 | 
| B2 | A2 | |||||
|---|---|---|---|---|---|---|
| Region | a | b | c | a | b | c | 
| Spruce | ||||||
| Northern | −0.0021208 | 8.9515 | −9428 | −0.0096970 | 40.308 | −41,853 | 
| Central | −0.0004543 | 2.2082 | −2607 | −0.0093939 | 38.946 | −40,338 | 
| Southern | −0.0046969 | 19.841 | −20,914 | −0.0098485 | 40.747 | −42,122 | 
| Pine | ||||||
| Northern | −0.0009089 | 3.9864 | −4344 | −0.0063640 | 26.501 | −27,560 | 
| Central | −0.0018182 | 7.7127 | −8160 | −0.0054549 | 22.745 | −23,686 | 
| Southern | −0.0040910 | 17.164 | −17,978 | −0.0053031 | 22.175 | −23,154 | 
| Deciduous | ||||||
| Northern | −0.0010606 | 4.5724 | −4907 | −0.0018182 | 7.6894 | −8113 | 
| Central | 0.0030304 | −12.215 | 12,309 | −0.0015152 | 6.4573 | −6861 | 
| Southern | 0.0016667 | −6.4967 | 6322 | −0.0040913 | 17.234 | −18,118 | 
| Component | Function Key | 
|---|---|
| Stump and roots > 5 cm | GT9 | 
| Total biomass | T16, G7 | 
| Stem biomass | T10, G1, B18 | 
| Total biomass above stump | T15, G6, B22 | 
| Publisher’s Note: MDPI stays neutral with regard to jurisdictional claims in published maps and institutional affiliations. | 
© 2022 by the authors. Licensee MDPI, Basel, Switzerland. This article is an open access article distributed under the terms and conditions of the Creative Commons Attribution (CC BY) license (https://creativecommons.org/licenses/by/4.0/).
Share and Cite
Eriksson, L.O.; Bergh, J. A Tool for Long-Term Forest Stand Projections of Swedish Forests. Forests 2022, 13, 816. https://doi.org/10.3390/f13060816
Eriksson LO, Bergh J. A Tool for Long-Term Forest Stand Projections of Swedish Forests. Forests. 2022; 13(6):816. https://doi.org/10.3390/f13060816
Chicago/Turabian StyleEriksson, Ljusk Ola, and Johan Bergh. 2022. "A Tool for Long-Term Forest Stand Projections of Swedish Forests" Forests 13, no. 6: 816. https://doi.org/10.3390/f13060816
APA StyleEriksson, L. O., & Bergh, J. (2022). A Tool for Long-Term Forest Stand Projections of Swedish Forests. Forests, 13(6), 816. https://doi.org/10.3390/f13060816
 
         
                                                
 
       