A Comparative Study of the Bending Properties of Dahurian Larch and Japanese Larch Grown in Korea
Abstract
1. Introduction
2. Materials and Methods
2.1. Measurement of Physical and Bending Properties
2.2. Statistical Analysis
3. Results
3.1. Physical Properties
3.2. Bending Properties
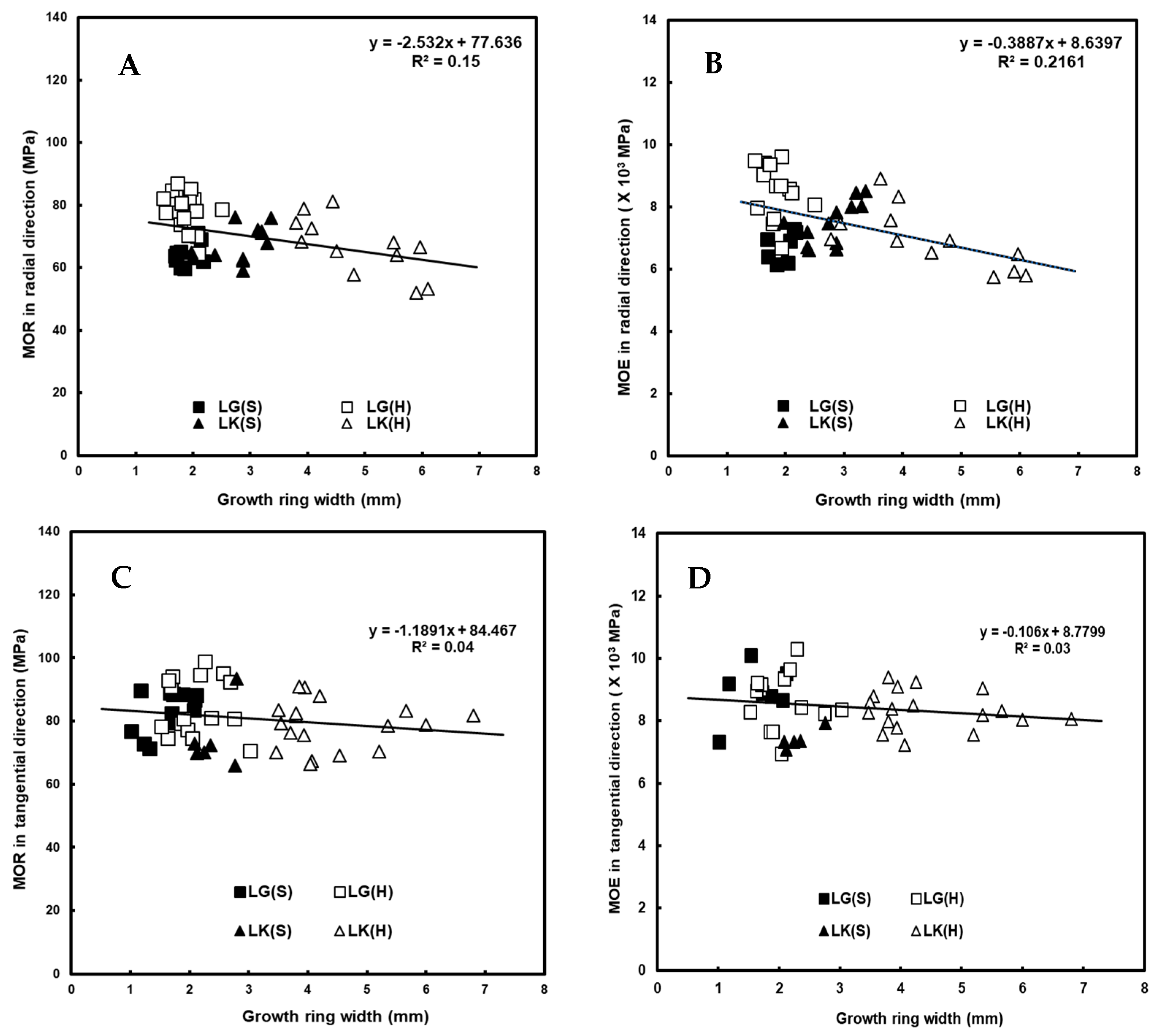
3.3. Relationship between the Physical and Bending Properties
4. Conclusions
Author Contributions
Funding
Institutional Review Board Statement
Informed Consent Statement
Data Availability Statement
Conflicts of Interest
References
- Semerikov, V.L.; Lascoux, M. Genetic relationship among Eurasian and American Larix species based on allozymes. Heredity 1999, 83, 62–70. [Google Scholar] [CrossRef] [PubMed]
- Koizumi, A.; Takata, K.; Yamashita, K.; Nakada, R. Anatomical characteristics and mechanical properties Larix sibirica grown in south-central Siberia. IAWA J. 2003, 24, 355–370. [Google Scholar] [CrossRef]
- Chauret, G.; Zhang, T.; Lévesque, Y. Wood Characteristics and End-Use Potential of Two Fast-Growing Exotic Larch Species (Larix gmelinii and Larix sibirica) Grown in Ontario; Report Project No. 3563; Forint Canada Corp: Ottawa, ON, USA, 2002. [Google Scholar]
- Hwang, K.H.; Park, B.S.; Park, M.J. Wood quality and strength properties of old structural members. J. Korean Wood Sci. Technol. 2008, 36, 36–44. [Google Scholar]
- Hwang, K.H.; Park, B.S. Strength properties of old Korean larch pile. J. Korean Wood Sci. Technol. 2007, 35, 23–30. [Google Scholar]
- Chong, S.H.; Park, B.S. Wood Properties of the Useful Tree Species Grown in Korea; National Institute of Forest Science: Seoul, Korea, 2008. [Google Scholar]
- Tsoumis, G.T. Science and Technology of Wood: Structure, Properties, Utilization; Van Nostrand Reinhold Press: New York, NY, USA, 1991. [Google Scholar]
- Zhang, S.Y. Effect of growth rate on wood specific gravity and selected mechanical properties in individual species from distinct wood categories. Wood Sci. Technol. 1995, 29, 451–465. [Google Scholar] [CrossRef]
- Leban, J.M.; Haines, D.W. The modulus of elasticity of hybrid larch predicted by density, rings per centimeter, and age. Wood Fiber Sci. 1999, 31, 394–402. [Google Scholar]
- Takeda, T.; Hashizume, T. Effective sampling method for estimating bending strength distribution of Japanese larch quare-sawn timber. J. Wood Sci. 2000, 46, 350–356. [Google Scholar] [CrossRef]
- Bao, F.C.; Jiang, Z.H.; Jiang, X.M.; Lu, X.X.; Luo, X.Q.; Zhang, S.Y. Difference in wood properties between juvenile wood and mature wood in 10 species grown in China. Wood Sci. Technol. 2001, 35, 363–375. [Google Scholar] [CrossRef]
- Lee, J.J.; Kim, G.C.; Kim, K.M.; Oh, J.K. Distribution characteristics of bending properties for visual graded lumber of Japanese larch. J. Korean Wood Sci. Technol. 2003, 31, 72–79. [Google Scholar]
- Grabner, M.; Müller, U.; Gierlinger, N.; Wimmer, R. Effect of heartwood extractives on mechanical properties of larch. IAWA J. 2005, 26, 211–220. [Google Scholar] [CrossRef]
- Chong, S.H.; Won, K.R.; Hong, N.E.; Park, B.S.; Lee, K.J.; Byeon, H.S. Bending and compressive strength properties of Larix kaempferi according to thinning intensity. J. Korean Wood Sci. Technol. 2014, 42, 385–392. [Google Scholar] [CrossRef][Green Version]
- Zhou, H.; Han, L.; Ren, H.; Lu, J. Size effect on strength properties of Chinese larch dimension lumber. BioResources 2015, 10, 3790–3797. [Google Scholar] [CrossRef]
- Han, Y.J.; Kim, M.J.; Lee, H.M.; Kang, J.T.; Eom, C.D. Comparison of cellular anatomical, physical and mechanical properties between Dahurian larch and Japanese larch. J. Korean Wood Sci. Technol. 2017, 45, 525–534. [Google Scholar]
- Ishiguri, F.; Iki, T.; Otsuka, K.; Takahashi, T.; Nezu, I.; Tumenjargal, B.; Ohshima, J.; Yokota, S. Wood and lumber properties of Larix gmelinii var. olgensis planted in Japan. BioResources 2019, 14, 8072–8081. [Google Scholar]
- Song, Y.J.; Hong, S.I. Performance evaluation of the bending strength of larch cross-laminated timber. Wood Res. 2018, 63, 105–116. [Google Scholar]
- Kim, D.H.; Kim, S.H.; Jo, J.I.; Kim, J.H.; Purusatama, B.D.; Lee, S.H.; Kim, N.H. Ray properties in the stems of Dahurian larch (Larix gmelinii) and Japanese larch (Larix kaempferi). IAWA J. 2021, 42, 134–142. [Google Scholar] [CrossRef]
- Kim, S.H.; Kim, D.H.; Jo, J.I.; Kim, J.H.; Lee, S.H.; Choi, J.K.; Kim, N.H. A comparative study on the physical and mechanical properties of Dahurian larch and Japanese larch grown in Korea. Wood Res. 2021, 66, 415–426. [Google Scholar] [CrossRef]
- KS F 2208; Method of Bending Test for Wood. Korean Standards Association: Seoul, Korea, 2020.
- KS F 2202; Determination of Average Width of Annual Rings for Wood. Korean Standards Association: Seoul, Korea, 2016.
- KS F 2198; Determination of Density and Specific Gravity of Wood. Korean Standards Association: Seoul, Korea, 2016.
- Koizumi, A.; Miho, K.; Takuro, H. Effects of growth ring parameters on mechanical properties of Japanese larch (Larix kaempferi) from various provenances. Eurasian J. For. Res. 2005, 8, 85–90. [Google Scholar]
- Cáceres, C.B.; Hernández, R.E.; Fortin, Y.; Beaudoin, M. Wood density and extractive content variation among Japanese larch (Larix kaempferi (Lamb.) Carr.) profenies/provenances trails in Eastern Canada. Wood Fiber Sci. 2017, 49, 363–372. [Google Scholar]
- Borůvka, V.; Novák, D.; Šedivka, P. Comparison and analysis of radial and tangential bending of softwood and hardwood at static and dynamic loading. Forests 2020, 11, 896. [Google Scholar] [CrossRef]
- Güray, E.; Kasal, A.; Demirci, S.; Ceylan, E.; Kuşkun, T. Effects of cross-sectional geometry and force direction on bending strength and modulus of elasticity of some softwood beams. BioResources 2019, 14, 9258–9270. [Google Scholar] [CrossRef]
- Pearson, R.G.; Ross, B.E. Growth rate and bending properties of selected loblolly pines. Wood Fiber Sci. 1984, 16, 37–47. [Google Scholar]
- Horáček, P.; Tippner, J.; Hassan, K.T. Nondestructive evaluation of static bending properties of Scots pine wood using stress wave technique. Wood Res. 2012, 57, 359–366. [Google Scholar]





| Common Name | Scientific Name | Age (Years) | Height (m) | D.B.H. * (cm) |
|---|---|---|---|---|
| Dahurian larch | Larix gmelinii var. olgensis (A. Henry) Ostenf. and Syrach | 71–72 | 20–22 | 32–33 |
| Japanese larch | Larix kaempferi (Lamb.) Carriere | 37–41 | 20–22 | 34–36 |
| Experiments (Standard) | Number of Specimen | ||
|---|---|---|---|
| Dahurian Larch | Japanese Larch | ||
| Physical properties | Growth ring width and latewood percentage (KS F 2202; 2016) [22] | 40 (heartwood) 40 (sapwood) | 40 (heartwood) 40 (sapwood) |
| Air-dry density (KS F 2198; 2016) [23] | |||
| MOR and MOE (KS F 2208) [21] | Radial direction | 20 (heartwood) 20 (sapwood) | 20 (heartwood) 20 (sapwood) |
| Tangential direction | 20 (heartwood) 20 (sapwood) | 20 (heartwood) 20 (sapwood) | |
| Species | Heartwood | Sapwood | Average | |
|---|---|---|---|---|
| Growth ring width (mm) | Dahurian Larch | 2.0 (0.4) * 1.5–3.0 | 1.8 (0.4) * 1.0–2.8 | 1.9 (0.4) * 1.0–3.0 |
| Japanese Larch | 4.6 (1.1) * 2.8–7.0 | 2.6 (0.4) * 2.0–3.4 | 3.7 (1.3) * 2.0–7.0 | |
| Latewood percentage (%) | Dahurian Larch | 42.6 (5.0) * 29.3–51.7 | 41.7 (4.4) * 34.1–50.2 | 42.2 (4.7) * 29.3–51.7 |
| Japanese Larch | 31.3 (5.1) * 21.5–42.6 | 36.5 (4.9) * 24.6–46.4 | 33.7 (5.8) * 21.5–46.4 | |
| Air-dry density (g/cm3) | Dahurian Larch | 0.71 (0.05) * 0.63–0.80 | 0.57 (0.03) * 0.49–0.61 | 0.65 (0.08) * 0.49–0.80 |
| Japanese Larch | 0.53 (0.04) * 0.43–0.63 | 0.52 (0.03) * 0.45–0.58 | 0.53 (0.04) * 0.43–0.63 |
| Directions | Parts | n | MOR (MPa) | MOE (GPa) | ||||
|---|---|---|---|---|---|---|---|---|
| DL | JL | p-Value | DL | JL | p-Value | |||
| Radial | Sapwood | 40 | 62.0 (2.3) | 68.0 (5.8) | 0.01 * | 5.9 (0.7) | 7.6 (0.7) | 0.00 * |
| Heartwood | 40 | 80.6 (3.8) | 72.8 (10.4) | 0.01 * | 9.1 (0.7) | 8.0 (1.1) | 0.00 * | |
| p-value | 0.00 * | 0.18 | 0.00 * | 0.29 | ||||
| Tangential | Sapwood | 40 | 85.2 (4.4) | 62.4 (6.1) | 0.00 * | 8.3 (1.1) | 6.8 (0.4) | 0.00 * |
| Heartwood | 40 | 88.7 (8.9) | 80.0 (5.8) | 0.01 * | 9.1 (0.8) | 8.2 (0.4) | 0.00 * | |
| p-value | 0.27 | 0.00 * | 0.07 | 0.00 * | ||||
| Average | Radial | 80 | 72.8 (9.9) | 70.7 (8.9) | 0.43 | 7.8 (1.7) | 7.8 (1.0) | 0.97 |
| Tangential | 80 | 87.2 (7.4) | 72.2 (10.7) | 0.00 * | 8.8 (1.0) | 7.6 (0.8) | 0.00 * | |
| p-value | 0.00 * | 0.58 | 0.02 * | 0.42 | ||||
| Bending Properties | Direction | Growth RingWidth | Latewood Percentage | Air-Dry Density | |
|---|---|---|---|---|---|
| Dahurian Larch | Japanese Larch | ||||
| MOR | Radial | −0.393 * | 0.319 * | 0.902 * | 0.747 * |
| Tangential | −0.181 | 0.475 * | 0.719 * | 0.861 * | |
| MOE | Radial | −0.477 * | 0.330 * | 0.918 * | 0.848 * |
| Tangential | −0.182 | 0.482 * | 0.757 * | 0.806 * | |
Publisher’s Note: MDPI stays neutral with regard to jurisdictional claims in published maps and institutional affiliations. |
© 2022 by the authors. Licensee MDPI, Basel, Switzerland. This article is an open access article distributed under the terms and conditions of the Creative Commons Attribution (CC BY) license (https://creativecommons.org/licenses/by/4.0/).
Share and Cite
Kim, S.-H.; Purusatama, B.D.; Kim, J.-H.; Lee, S.-H.; Kim, N.-H. A Comparative Study of the Bending Properties of Dahurian Larch and Japanese Larch Grown in Korea. Forests 2022, 13, 1074. https://doi.org/10.3390/f13071074
Kim S-H, Purusatama BD, Kim J-H, Lee S-H, Kim N-H. A Comparative Study of the Bending Properties of Dahurian Larch and Japanese Larch Grown in Korea. Forests. 2022; 13(7):1074. https://doi.org/10.3390/f13071074
Chicago/Turabian StyleKim, Seong-Hyun, Byantara Darsan Purusatama, Jong-Ho Kim, Seung-Hwan Lee, and Nam-Hun Kim. 2022. "A Comparative Study of the Bending Properties of Dahurian Larch and Japanese Larch Grown in Korea" Forests 13, no. 7: 1074. https://doi.org/10.3390/f13071074
APA StyleKim, S.-H., Purusatama, B. D., Kim, J.-H., Lee, S.-H., & Kim, N.-H. (2022). A Comparative Study of the Bending Properties of Dahurian Larch and Japanese Larch Grown in Korea. Forests, 13(7), 1074. https://doi.org/10.3390/f13071074

