Abstract
Wood adhesive is very important to the quality of wood-based panels in the forest product industry. Researchers are currently focused on developing green and environmentally friendly adhesives using biomass materials. Soybean meal (SM), a cheap and high-protein byproduct from soybean processing, is considered a green biomaterial resource for adhesive production. In this study, SM was modified using urea and sodium hydroxide as denaturants, and two cross-linking agents were prepared to incorporate into the soybean meal adhesive for bonding reactions. Sodium hydroxide added to soybean protein caused structural damage to the protein structure, which allowed the peptide chains to unfold extensively, forming a low-molecular-weight peptide mixture with a good size distribution and exposing numerous active functional groups for cross-linking with the tannin–phenol–formaldehyde resin (TR) and wood. Adding the epoxy resin CA and TR enabled the cross-linking agents to react with the active functional groups on proteins, forming a cross-linked network structure. As a result, the adhesive’s strength, residual rate, and solid content were improved.
1. Introduction
The production of wood-based panels is an important economic industry in forest product processing. Wood adhesive is the key to the quality of wood-based panels. Urea formaldehyde resin, melamine formaldehyde resin, and phenolic resin are still the main adhesives used in the wood-based panel industry in China. However, the use of these wood adhesives results in formaldehyde pollution. Therefore, the preparation of green and environmentally friendly adhesives using biomass materials has become a hot topic among researchers [1,2,3]. In recent years, many scholars have utilized renewable and biodegradable materials, such as lignin [4], cellulose [5], starch [6], tannin [7], and proteins [8], to develop various biomass adhesives. However, biomass adhesives still face challenges, such as low bonding strength and poor water resistance [9,10], which restrict their application in the wood manufacturing industry. Further enhancing the performance of biomass adhesives remains a topic worth exploring.
Protein-based adhesives are considered effective in biomass adhesives, and, in recent years, extensive research has been conducted on them. Many plant proteins, such as soy protein, soybean meal, cottonseed protein, sesame protein, and leaf protein from Jatropha curcas, have been utilized to develop wood adhesives [11,12,13,14]. Soybean meal is a byproduct of soybean oil production, and for every 27 kg of soybeans processed for oil, approximately 21 kg of soybean meal is generated [15]. It is low-cost, rich in crude protein, and can be used directly as animal feed or extracted for refined protein for human consumption. Common soybean protein isolates (SPIs), soy protein concentrate (SPC), and defatted soy flour (DSF) are all derived from soybean meal. The use of soybean meal as a protein-based adhesive has a history of nearly 100 years and can significantly reduce adhesive production costs. However, soybean meal-based protein adhesives, like traditional protein adhesives, still exhibit poor water resistance, low solid contents, and inferior bonding properties, requiring modification to enhance their performance in wood adhesives.
Modifying methods, such as denaturants [16,17], cross-linking agents [18,19,20,21], graft modifications [22,23], and biomimetics [24], are commonly added to modify protein molecules to enhance the protein adhesive performance. As a denaturant [25], urea exposes the hydrophobic groups of protein molecules, significantly improving the water resistance of protein adhesives. However, urea denaturation alone may not meet the requirements for indoor plywood, necessitating further treatment to enhance the bonding strength. The addition of epoxy-based cross-linking agents can improve the bonding strength of adhesives [26,27,28]. The involvement of epoxy groups in the adhesive reaction can increase the resin network structure, improving the adhesive’s solid content and water resistance. As a traditional adhesive, the phenol–formaldehyde resin has excellent water resistance and bonding strength. Furthermore, it also has a good performance in the resistance to chemical and atmospheric factors [29]. Tannins are a type of polyphenolic compound widely present in the bark and fruits of forest plants and have a variety of uses. The molecular structure of this natural polyphenol compound extracted from forest plants contains phenol, bisphenol A, resorcinol, other polyphenol structural units, and several active sites. Forest wastes, such as bark, pericarp, nutshell, fallen leaves, etc., contain large amounts of tannins that can be extracted and utilized. Due to the structural characteristics of tannins, they can be used to replace phenol in the preparation of phenolic resins. Previous studies have shown that wood-based panels prepared with tannin-modified phenolic resin have good mechanical strength and a good environmental protection performance. Li et al. [30] conducted in-depth research on the curing characteristics of tannin-modified phenolic resin and studied the thermosetting properties of TPF resin through DSC. Their findings indicated that the curing rate of tannin-modified phenolic resin was faster than that of ordinary commercial pure phenolic resin, shortening the hot-pressing time required for preparing plywood, which can improve the production efficiency.
In this study, soybean meal was pre-treated with a denaturant, and epoxy compounds and tannin–phenol–formaldehyde resin (TR) were used as cross-linking agents to prepare a novel soybean meal (SM) adhesive. The adhesive’s structure, thermal properties, and morphology were characterized and analyzed using FTIR, XRD, TG, and SEM. The bonding strengths, solid contents, and residual rates of modified SM adhesives were also investigated.
2. Materials and Methods
2.1. Experimental Materials
Soybean meal (protein content: 43%) was purchased from Shandong Yuwang Ecological Food Industry Co., Ltd. (Heze, China), and Epichlorohydrin from the official website of Macklin Reagent. Ammonia solution (25% w/w) was purchased from Tianjin Zhiyuan Chemical Reagent Co., Ltd. (Tianjin, China). Urea was purchased from Xilong Scientific Co., Ltd. (Shantou, China). All chemicals used were of analytical grade.
2.2. Experimental Method
2.2.1. Synthesis of Tannin–Phenol–Formaldehyde Resin
The TR was prepared according to the previous method [31]. First, tannin, molten phenol, sodium hydroxide solution, and distilled water were added to four-neck flasks. The weight ratio of tannin to phenol was 3:7. The mixture was mechanically stirred for 10 min under a 60 °C water-bath condition, then heated to 85 °C with three times the addition of formaldehyde solution three times. The mixture was allowed to react for 50 min after adding the formaldehyde solution. The product was rapidly cooled to room temperature, and the free formaldehyde was removed via vacuum distillation. The resulting TR had a solid content of 36.2% and a pH value of 10.76.
2.2.2. Preparation of Epoxy Cross-Linking Agent (CA)
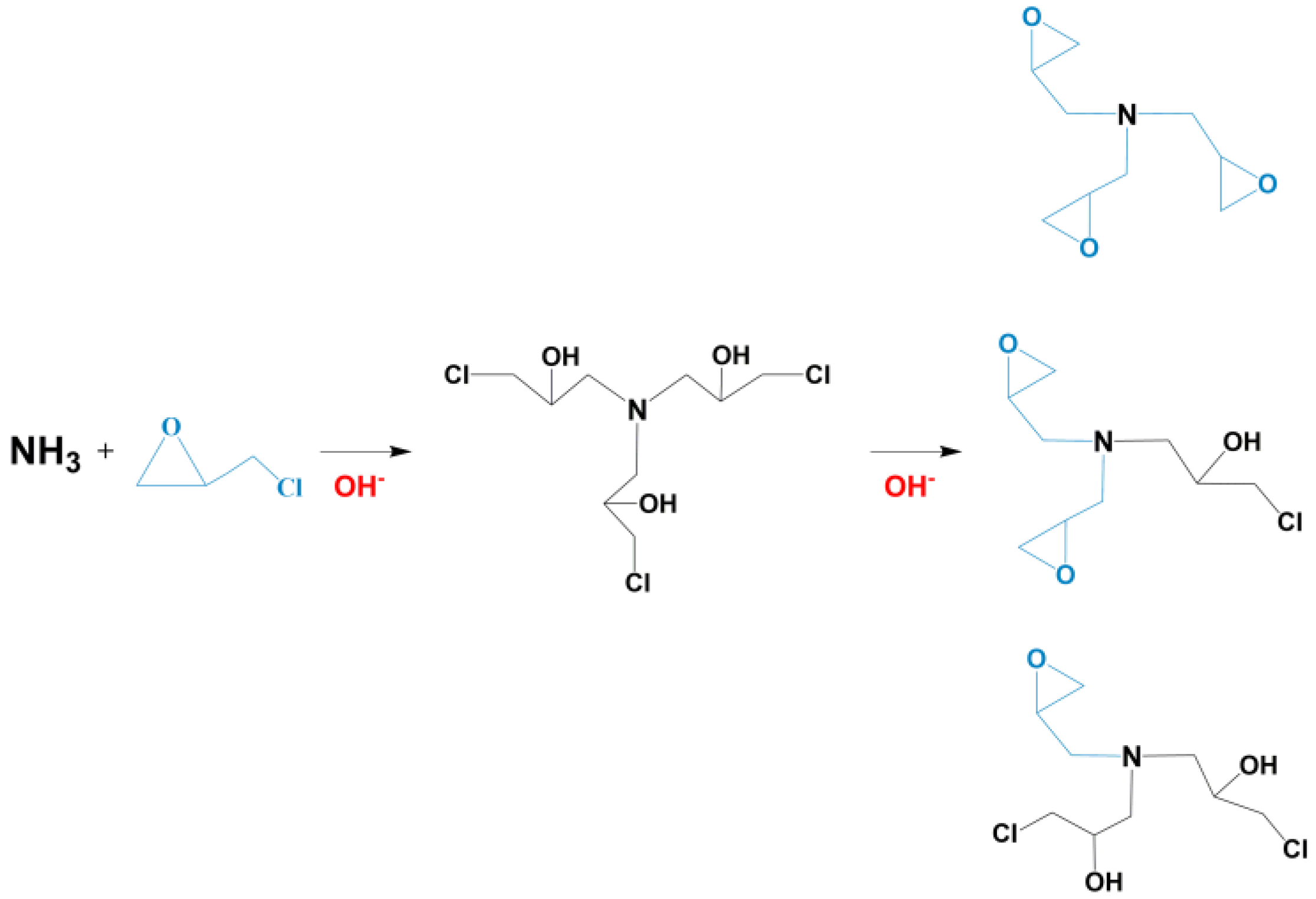
The synthesis of the CA (epoxy cross-linking agent) was carried out following the preparation process described by Li [17]. The synthesis steps were as follows:
Mixing and Reaction: Epoxy chloropropane and ammonia solutions were mixed in a ratio of 3:1 (mol/mol). All the epoxy chloropropane was added to a four-neck flask equipped with a magnetic stirrer. The ammonia solution was slowly added dropwise to the flask using a pressure-equalizing dropping funnel over 4 h. The magnetic stirrer was kept at high speed to ensure thorough mixing and reaction. The reaction temperature was maintained between 50 °C and 55 °C; Continued Reaction: after the complete addition of the ammonia solution, the reaction was continued for 2 h at 60 °C; Cooling and Purification: The reaction mixture was then cooled to 20 °C, resulting in a colorless syrup-like mixture. Vacuum distillation was performed to remove any remaining epoxy chloropropane and ammonium hydroxide from the product, forming the epoxy compound CA. The resulting CA had a solid content of 89% and a pH value of 8.4. The synthesis mechanism is shown in Figure 1.
Figure 1.
CA synthesis schematic.
2.2.3. Preparation of Soybean Meal Adhesive
In the first step, soybean meal powder was mixed with deionized water in a mass ratio of 20:100 at room temperature. The mixture was mechanically stirred for 10 min to obtain the first pure soybean meal protein adhesive (SM) batch. In the second step, 1 g of a denaturant (urea and sodium hydroxide) was added to the SM, and stirring was continued for 5 min. Then, 24 g of tannin–phenol–formaldehyde resin (TR) was added, which accounted for 20% of the mass fraction of the SM adhesive. This resulted in the second batch of soybean meal protein adhesive prepared with the synergistic treatment of TR and denaturants. In the third step, 5 g of laboratory-made epoxy cross-linking agent (CA) was added to the second batch of adhesive. The mixture was stirred thoroughly, resulting in the third batch of soybean meal protein adhesive modified with TR, denaturants, and the CA. The composition of the adhesive synthesis is shown in Table 1.
Table 1.
The raw-material ratios of soybean meal protein-based adhesives.
2.2.4. Solid Content
The solid content of the resin was tested as follows: The dry weight of a glass vessel was measured and recorded as M1; 4~5 g of resin was weighed in the glass vessel and recorded as M2. The resin was placed in a 120 °C oven and weighed every half hour until a constant weight (M3) was reached after three hours. The solid content of each resin was measured three times, and the average value was calculated. The solid content was calculated as follows:
2.2.5. Residual Rate
To characterize the water resistance of the adhesive, the residual rate was measured as follows: The cured resin sample (M1) was weighed and immersed in water at 60 ± 3 °C for 12 h, then dried in a 100 °C oven until the constant weight (M2) was reached. The residual rate was calculated using the following formula:
2.2.6. Fourier Transform Infrared (FTIR) Spectroscopy
The adhesive samples were subjected to infrared scanning using the potassium bromide (KBr) pellet method. First, the six adhesive samples were freeze-dried and ground to a powder with a particle size of 200 mesh. Pellets were prepared by mixing the adhesive powder with potassium bromide in a mass ratio of 1:100. Subsequently, the pellets were subjected to infrared scanning using the following parameters: 32 scans at a resolution of 4 cm−1, covering a wavelength range of 400–4000 cm−1.
2.2.7. X-ray Diffraction (XRD)
The dried adhesive powder was tested using an X-ray diffractometer (Bruker D8 advance). The scanning angle range was set from 5° to 60°, with a 2°/min scanning speed. The test was aimed at analyzing the crystal structure of the adhesive resin. The crystallinity calculation is based on the ratio of the crystalline region area to the diffraction peak area of the X-ray diffraction pattern.
2.2.8. Thermogravimetric (TG) Analysis
Under a nitrogen atmosphere, dried resin powder of approximately 8~10 mg was subjected to thermogravimetric analysis (TGA 4000) with a heating rate of 10 °C/min. The test was performed in the temperature range of 30~600 °C.
2.2.9. Scanning Electron Microscope (SEM)
The cross section of the cured resin was observed using a scanning electron microscope (S-3400N). Before the observation, a 10 nm Au/Pd thin film was coated on the surface of the cured resin.
2.2.10. Preparation and Performance Testing of Plywood
A three-layer plywood was prepared using poplar veneers (0.1 × 40 × 40 cm) with a single-sided adhesive application method and a staggered assembly, with adjacent veneers perpendicular to each other. The amount of adhesive application was 150 g/m3. After assembly, the plywood was pressed in a flat vulcanizing machine (BD-8820-BE) at 0.5 MPa and room temperature for 15 min, followed by pressing at 1.2 MPa and 130 °C for 7 min. After pressing, the plywood was allowed to stand for 24 h before testing its performance.
The plywood was tested for wet shearing strength. Firstly, the pressed plywood was cut into 100 mm × 25 mm × 3 mm specimens, as shown in Figure 2. Then, the specimens were soaked in 63 °C hot water for 3 h, and then were removed and allowed to stand for 10 min before being tested for bonding strength using an electronic universal testing machine (WDW-20). The formula for calculating the bonding strength is as follows:
where Pmax is the maximum failure load (N); b is the width of the cross section (mm); l is the length of the cross section (mm). The final strength value is the average of eight specimens.
Figure 2.
Plywood test specimen.
The wood failure ratio of the specimen was calculated as follows:
where M is the wood breaking rate (maximum 100) (%); A is the wood destruction area (mm2); S is the area of the glued surface (mm2).
3. Results and Discussion
3.1. Effect of Solid Content
The solid contents of different modified soybean protein adhesives are shown in Table 1. The pure soybean protein adhesive had the lowest solid content at 14.71%. The solid content of an adhesive plays a crucial role in the performance and stability of the plywood. Due to the absorption of water and swelling of proteins, simply adjusting the formulation ratio cannot effectively increase the solid content of protein-based adhesives. Therefore, it is necessary to introduce additives with a high solid content to improve the solid content of the adhesive.
TR has a high solid content, and its introduction increased the dry weight of the adhesive, resulting in an increase in the solid content of the SM/TR adhesive to 20.13%. However, when 1 g of urea denaturant was added to the SM/TR adhesive, the solid content decreased to 19.93%. Therefore, adding urea to the SM/TR adhesive leads to the excessive degradation of peptide chains in soybean protein, decreasing the solid content. When the CA was added, the solid contents of the SM/TR/CA, SM/Urea/TR/CA, and SM/NaOH/TR/CA adhesives increased to 24.29%, 22.99%, and 25.02%, respectively. The CA has a very high solid content (89%); hence, its addition significantly improved the solid content of the adhesive. Increasing the solid content results in a denser and more uniform adhesive layer, reducing internal stress on the plywood and improving its performance and dimensional stability. The epoxy group on the CA undergoes a ring-opening reaction with the amino group and carboxyl group on the protein in SM to form a new functional group, whereas the hydroxymethylphenol in TR undergoes a condensation reaction with soybean protein molecules, affecting the solid content of the modified SM adhesive.
3.2. FTIR Spectroscopic Analysis of Adhesives
In this study, TR, urea, and a CA were used to modify the SM adhesive. The FTIR spectra of the different modified soy protein adhesives are shown in Figure 3. The characteristic amide peaks in the soy protein structure appeared at 1656 cm−1, 1520 cm−1, and 1234 cm−1, corresponding to the amide I band (C=O stretching vibration), amide II band (N-H bending vibration), and amide III bands (C-N stretching and N-H bending vibration), respectively [32,33]. With the addition of the TR, the absorption peak at 1392 cm−1 (-COOH) in the SM/TR adhesive absorption spectrum decreased, indicating that the hydroxymethyl phenol and hydroxymethyl tannin of the TR underwent a condensation reaction with the carboxyl group in the molecular chain of the soybean protein, forming methylene bonds [34]. When a modifier was added to the SM/TR adhesive, the amide peaks at 1656 cm−1, 1520 cm−1, and 1234 cm−1 still existed, with decreased intensities and position shift, indicating that the modifiers (urea, sodium hydroxide) did not cause severe damage to the primary structure of the protein but caused certain disruptions to its higher-order structure. The absorption peak from the C–O stretching vibration of the phenolic ring structure shifted from 1234 to 1236 cm−1. The shift was caused by the reaction between the TR and SM. In addition, a new peak appeared near 1745 cm−1 when the epoxy cross-linking agent (CA) was added, which was related to the carbonyl group in the ester bond. This occurred because the epoxy groups on the CA can react with the carboxyl groups on the soy protein–peptide chains to form ester bonds [35]. Soybean meal has a high carbohydrate content, resulting in a large amount of hydroxyl groups. Therefore, we can observe that all the SM adhesives had broad absorption peaks at 3333 cm−1 [36]. Tannin is structurally similar to phenol and can be regarded as a phenolic formaldehyde resin in structure. Therefore, the reaction between TR and protein can be understood as a condensation reaction between the hydroxymethyl phenol and amino groups. The H and O atoms in urea can interact with the hydroxyl groups on soybean protein molecules, thereby breaking the hydrogen bonds within the protein molecules, partially unfolding the protein macromolecules, exposing the hydrophobic groups inside the protein molecules, and producing some active sites. Epoxide (CA) is an active curing agent for soybean protein adhesive, which mainly undergoes a ring-opening reaction with the amino group of the protein. The active groups in soybean meal react with the TR and CA, increasing the cross-linking density of the adhesive and ultimately increasing the water resistance and bonding strength of the modified soybean meal adhesive.
Figure 3.
FTIR spectra of different modified SM adhesives.
In summary, adding modifiers can disrupt the higher-order structure of proteins and expose more active functional groups. TR and the epoxy cross-linking agent (CA) can then react with the active functional groups on the amino acid side chains of proteins, forming a cross-linked network structure.
3.3. XRD Spectroscopic Analysis of Adhesives
The XRD patterns and crystallinities of the modified adhesives are shown in Figure 4 and Table 2, respectively. The pure soybean meal protein adhesive exhibited two diffraction peaks around 2θ = 9° and 19°, which corresponded to the α-helix and β-folded molecular structures of the protein [14]. After the addition of the TR, the diffraction peak at 2θ = 9° in the SM/TR adhesive decreased, and the β-folded peak shifted to the right (19.8°), indicating that the TR caused some disruption to the secondary structure of the protein and underwent chemical reactions with it. In the SM/TR adhesive with the addition of urea as a modifier, the α-helix and β-folded peaks of the protein were still present with reduced intensity and peak shift (19.6°), indicating further disruption to the protein structure. However, the peak at 2θ = 9° in the SM/NaOH/TR adhesive disappeared, and the β-folded peak shifted to 20.6°, indicating an increased degree of protein denaturation. Therefore, the modifier addition increased the disruption of the α-helix and β-folded structures in the protein’s secondary structure, leading to an imbalance in the protein’s higher-order structure. This phenomenon is consistent with the characterization analysis via FTIR.
Figure 4.
XRD spectra of different modified SM adhesives.
Table 2.
Crystallinities of different modified SM adhesives.
Table 2 presents the crystallinities of the four adhesives, with the SM and SM/TR adhesives having crystallinities of 16.76% and 13.34%, respectively. Curing pure soybean meal protein adhesive does not involve chemical reactions; hence, its molecular chains are entangled and aggregated together through hydrogen bonding, forming a limited crystalline region. The addition of the TR disrupted the protein–peptide-chain structure, and the active groups on the peptide chains reacted with the TR to form a cross-linked structure. This cross-linked network structure restricts the extension and arrangement motion of the molecular protein chains, leading to a reduction in the crystalline region [36]. In addition, the high carbohydrate content of the SM adhesives results in a higher number of hydrophilic hydroxyl groups. As a result, a broad hydroxyl absorption peak can be observed at 3333 cm−1. This phenomenon could cause urea to reduce the solubility of protein and have a certain impact on the viscosity, water resistance, and storage time of adhesives. Subsequently, the chemical structure and crystallinity of the soybean meal adhesive were affected during the curing stage, as observed from the XRD data. The crystallinity of the modified adhesive SM/Urea/TR decreased from 16.76% (SM adhesive) to 12.91%. Urea can cause the excessive degradation of the peptide chains in the soybean meal protein structure, reducing the cross-linking density of the adhesive. Moreover, urea has a crystalline structure, and the reaction between urea and protein can partially or completely eliminate the crystallinity [37]. Therefore, the decrease in crystallinity of the SM/Urea/TR adhesive was not due to an increase in the cross-linking density but rather to the excessive degradation of the protein–peptide chains. The crystallinity of the SM/NaOH/TR adhesive decreased to 10.73% because the NaOH modifier disrupted the chemical bonds within the protein molecules, such as hydrogen and disulfide bonds, exposing some nonpolar and polar groups on the amino acid side chains. The increased reactive site in the adhesive system enhances the reaction intensity with the TR, further increasing the cross-linking density in the adhesive system, thereby reducing the crystallinity.
3.4. Thermal Property Analysis of Different SM Adhesives
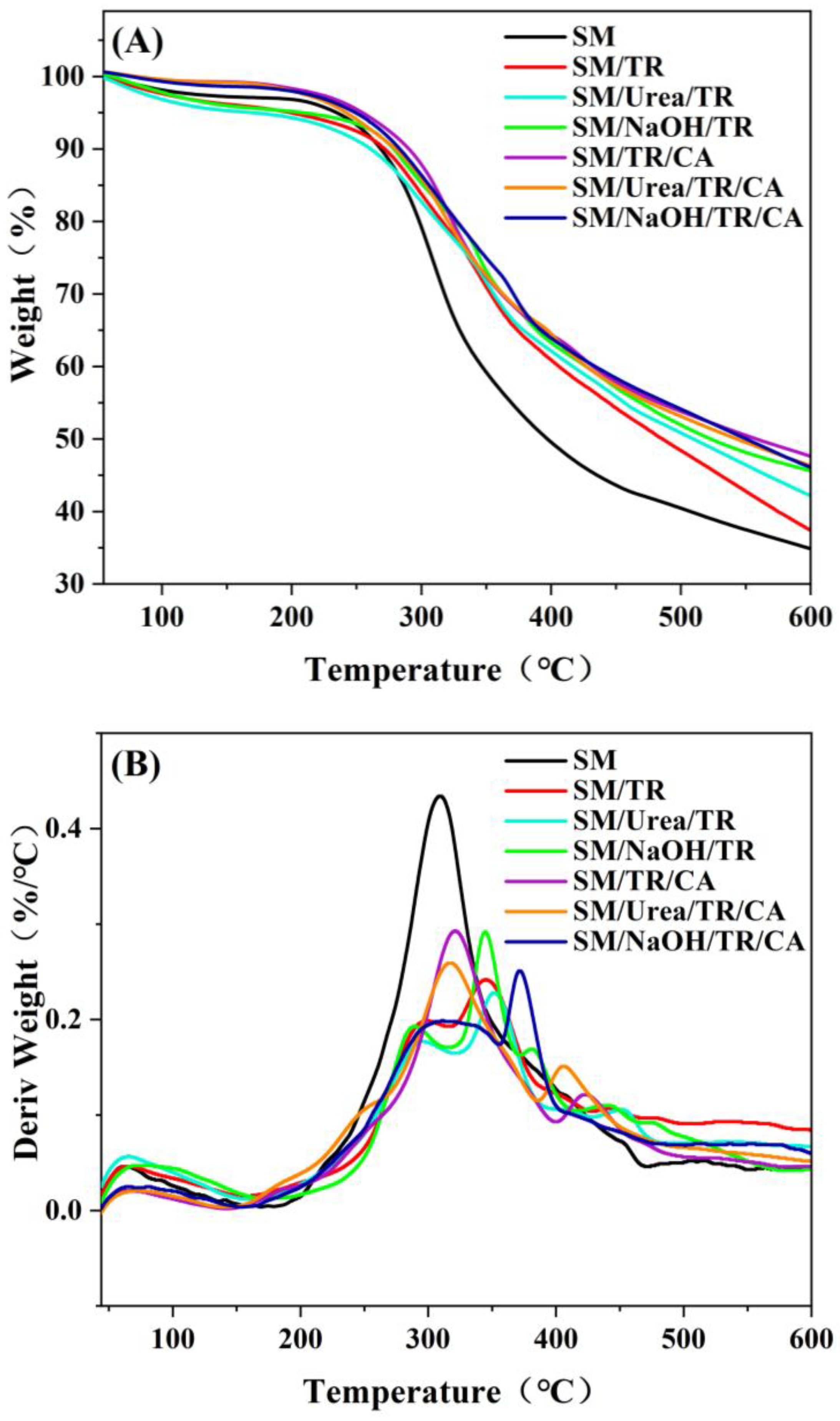
Figure 5 shows the TG and DTG curves of the different modified soybean meal protein adhesives. As shown in Figure 6, the thermal degradation process of the different modified soybean meal protein adhesives can be divided into three stages. The first stage of thermal degradation occurred within the temperature range of 60–240 °C, and the mass loss was mainly attributed to the decomposition of the quaternary structure of the proteins and the evaporation of residual moisture in the adhesive. In addition, the first highest weight loss occurred at 60 °C, which tended to come mostly from water. This was consistent with the previous infrared analysis. The second stage of thermal degradation occurred within the temperature range of 240–330 °C. The mass loss in this stage was due to the breaking of hydrogen bonds and electrostatic bonds between protein–peptide chains, as well as the degradation of small molecules. The third stage of thermal degradation occurred within the temperature range of 330–430 °C, attributable to the degradation of the peptide backbone, resulting in the volatilization of gases such as CO, CO2, NH3, and H2S.
Figure 5.
TG (A) and DTG (B) curves of different modified SM adhesives.
Figure 6.
Residual rates of different modified SM adhesives.
Table 3 lists the temperatures (Tmax) corresponding to the maximum degradation rates of all the adhesives at different stages. As can be seen in Figure 5, all the adhesives exhibited peak degradation in the second stage. Compared to the SM adhesive, all the modified SM adhesives decreased in degradation peaks during this stage, indicating improved thermal stability due to a higher cross-linking density and compact structure. In the third degradation stage, the peak value of the SM/TR adhesive with denaturants decreased and shifted towards higher temperatures. The Tmax values for the SM/NaOH/TR and SM/Urea/TR adhesives were 344.34 °C and 350.24 °C, respectively, indicating enhanced thermal stability. The total weight loss rates for the SM/TR, SM/NaOH/TR, and SM/Urea/TR adhesives decreased to 64.47%, 54.41%, and 57.85%, respectively. When the epoxy cross-linking agent (CA) was introduced into the adhesive system, the Tmax values of the SM/TR/CA, SM/Urea/TR/CA, and SM/NaOH/TR/CA adhesives further shifted towards higher temperatures, measuring 420.06 °C, 390.3 °C, and 370.74 °C, respectively. This indicates a chemical cross-linking reaction between the CA and the adhesive system, thereby improving the thermal stability of the adhesive. The total weight loss rates for the SM/TR/CA, SM/Urea/TR/CA, and SM/NaOH/TR/CA adhesives were 52.39%, 53.68%, and 53.92%, respectively. In addition, the total weight loss rate of the SM/TR/CA adhesive was the lowest, indicating superior thermal stability. The benzene ring structure in the TR and the reaction between the CA resin ring opening and the active group of soybean protein molecules improved the thermal stability of the SM adhesive modified with the TR and CA resin. Urea can interact with the hydroxyl groups on soybean protein molecules, thereby breaking the hydrogen bonds inside the protein molecules, and partially unfolding the protein macromolecules, which can also affect the thermal stability of the modified resin.
Table 3.
Thermal properties of the different modified SM adhesives.
In conclusion, introducing denaturants into the soybean meal protein adhesive system can disrupt the protein structure, exposing active and hydrophobic groups on the peptide chains, thereby enabling the denatured soybean meal to react with the TR and epoxy cross-linking agent (CA), forming a cross-linked interlocking structure and increasing the cross-linking density in the system, thereby enhancing the thermal stability of the soybean meal protein adhesive.
3.5. Residual Analysis of Adhesives
The residual rates of the different modified soybean meal protein adhesives are shown in Figure 6. The water resistance of an adhesive can reflect its cross-linking density. As can be seen in Figure 6, the residual rates of all the modified soybean meal protein adhesives were improved compared to the pure soybean meal protein adhesives (70.28%). However, the addition of urea to the SM/TR adhesive decreased the residual rate from 80.62 to 78.43%. Based on the FTIR and XRD analyses, urea causes the significant degradation of the protein structure and peptide chains, resulting in a decrease in the internal cross-linking density and water resistance of the adhesive. In contrast, the residual rate of the SM/NaOH/TR adhesive increased because sodium hydroxide enhances the denaturation degree of the protein, allowing the peptide chains to expand and expose more active groups to react with the TR, thereby increasing the cross-linking density and effectively resisting moisture intrusion. When the epoxy cross-linking agent (CA) was added, the residual rates of the SM/TR/CA, SM/Urea/TR/CA, and SM/NaOH/TR/CA adhesives further increased to 87.13%, 82.16%, and 88.81%, respectively. This is because the epoxy groups on the CA reacted with the active groups (amino, carboxyl, etc.) on the protein–peptide chains, forming a cross-linked network structure, thereby improving the water resistance of the adhesive.
3.6. Analysis of the Performance of Plywood Prepared with Adhesives
The water-resistance bond strengths of the different modified soybean meal protein adhesives are shown in Figure 7. The water-resistance bond strength of the modified soybean meal protein adhesives significantly improved compared to the pure soybean meal protein adhesives, which met the requirements of the national indoor use Class II plywood standard (≥0.7 MPa). As stated above, the addition of the TR disrupted the hydrogen bonds between the protein–peptide chains, allowing the peptide chains to expand and expose more active groups to react and cross-link with the TR, thereby improving the water-resistance strength of the SM/TR adhesive (0.97 MPa). However, introducing the urea modifier into the SM/TR adhesive decreased the bond strength to 0.85 MPa due to the excessive degradation of the protein–peptide chains and the decreased internal cross-linking density. In contrast, the addition of sodium hydroxide to the SM/TR adhesive increased the bond strength to 1.14 MPa, which might be a result of the partial or complete transformation of L-amino acids in the protein into racemic D-amino acids under strongly alkaline conditions. Moreover, the presence of sodium hydroxide can widely expand the protein–peptide chains, forming a low-molecular-weight peptide mixture with a good size distribution and exposing a large number of active groups to cross-link with the TR and wood, thereby improving the water-resistance bond performance of the adhesive. With the addition of the epoxy cross-linking agent (CA), the bond strengths of the SM/TR/CA, SM/Urea/TR/CA, and SM/NaOH/TR/CA adhesives increased to 1.16, 1.01, and 1.17 MPa, respectively. This is because the CA reacted with the active groups on the protein–peptide chains to form a cross-linked structure, thereby enhancing the water-resistance bond strength of the adhesive. This phenomenon is consistent with previous studies on the effects of epoxy cross-linking agents on protein-based adhesives [38,39,40]. In addition, the wood failure rate of all the wet-shearing-strength specimens tested was 0, and the failure of all specimens was interface failure.
Figure 7.
Wet shearing strengths of plywood prepared with different modified SM adhesives.
Table 4 compares the wet bonding strengths of various modified SM adhesives and two kinds of commercial SM adhesives (SM/PMDI and SM/ER), with most of them obtained after soaking at 63 °C. In Table 4, it can be seen that the bonding strengths of the adhesives prepared in this study were superior to those of most soybean meal adhesives. Meanwhile, compared with the wet shearing strengths of the commercial adhesives SM/PMDI (1.21 MPa) and SM/ER (1.19 MPa), the SM/TR/CA and SM/NaOH/TR/CA adhesives exhibited similar high bonding strengths (1.16 and 1.19 MPa, respectively). This shows that by using tannin-modified phenolic resin and the CA as a cross-linking agent, the low-cost soybean meal adhesive still has good water resistance and gluing strength and can be put into commercial applications, further reducing production costs and chemical pollution.
Table 4.
Shear strength of SM/NaOH/TR/CA adhesive compared with those of other adhesives.
3.7. Electron Microscopy Observation of Adhesives
The cured cross-section morphologies of the different modified adhesives are shown in Figure 8. The fracture surface of the soybean meal protein adhesive with added urea denaturant appears loose and rough. Compared to the SM/Urea/TR adhesive, the fracture surface of the SM/Urea/TR/CA adhesive was smooth and more compact, and few crystals were observed. This is because the CA can react with some degraded small molecules in the adhesive system, resulting in aggregation. Hence, CA addition forms a dense and smooth fracture surface, demonstrating the effective enhancement of the adhesive’s cross-linking density and water resistance.
Figure 8.
SEM images of different modified SM adhesives.
4. Conclusions
This study utilized TR, UREA, NaOH, and the CA as modifiers to improve the water resistance and bonding strength of SM adhesives. As a result, the performance of the SM/Urea/TR adhesive in terms of the solid content (19.93%), residue rate (78.43%), and bonding strength (0.85 MPa) was inferior to that of the SM/TR adhesive (20.13%, 80.62%, 0.97 MPa, respectively). When sodium hydroxide was added as a denaturant to soybean meal protein, the FTIR and XRD results indicated the disruption of the higher-order structure of the protein. This phenomenon caused the protein–peptide chains to unfold extensively, forming a well-defined size distribution of low-molecular-weight peptides and exposing many active groups to cross-link with the TR and wood. Therefore, the performance of the SM/NaOH/TR adhesive in terms of the solid content (21.98%), residue rate (82.23%), and bonding strength (1.14 MPa) was superior to that of the SM/TR adhesive. FTIR analysis showed new peaks near 1745 cm−1 for the SM/TR/CA, SM/Urea/TR/CA, and SM/NaOH/TR/CA adhesives due to the formation of ester bonds from the reaction of epoxy groups in the CA and the carboxyl groups on the protein. Therefore, the epoxy cross-linking agent (CA) underwent cross-linking reactions with the soy protein adhesives, consistent with the SEM observations, where adhesives with the CA exhibited denser and smoother fracture surfaces. The SM/TR/CA and SM/NaOH/TR/CA adhesives exhibited water resistances and high bonding strengths (1.16 and 1.19 MPa, respectively) that were similar to those of the commercial SM/PMDI (1.21 PMa) and SM/ER (1.19 MPa) adhesives. Using tannin-modified phenolic resin and the CA as a cross-linking agent, the low-cost soybean meal adhesive still has good water resistance and gluing strength and can be put into commercial applications, further reducing production costs and chemical pollution.
Author Contributions
Conceptualization, H.L. and Q.Z.; methodology, Y.G., F.Y. and Q.Z.; validation, C.L.; formal analysis, H.L., Y.G., F.Y., Y.Z., Z.Z. and C.L.; investigation, H.L., Y.G., F.Y., Z.Z., Y.W. and Y.T.; resources, H.L., Q.Z. and C.L.; data curation, Y.G., F.Y., Y.Z., Y.W. and Y.T.; writing—original draft, H.L., Y.G., Y.W. and C.L.; writing—review and editing, H.L., Q.Z. and C.L.; supervision, Q.Z. and C.L.; project administration, H.L. and C.L.; funding acquisition, H.L. and Q.Z. All authors have read and agreed to the published version of the manuscript.
Funding
The Key R&D and Promotion Special Project of Henan Province (232102230108 and 232102320346) and the Key Scientific Research Projects of Institutions of High Education in Henan (21A220001).
Conflicts of Interest
The authors declare no conflict of interest.
References
- Lamaming, S.Z.; Lamaming, J.; Rawi, N.F.M.; Hashim, R.; Kassim, M.H.M.; Hussin, M.H.; Bustami, Y.; Sulaiman, O.; Amini, M.H.M.; Hiziroglu, S. Improvements and limitation of soy protein-based adhesive: A review. Polym. Eng. Sci. 2021, 61, 2393–2405. [Google Scholar] [CrossRef]
- Huang, C.; Peng, Z.; Li, J.; Li, X.; Jiang, X.; Dong, Y. Unlocking the role of lignin for preparing the lignin-based wood adhesive: A review. Ind. Crops Prod. 2022, 187, 115388. [Google Scholar] [CrossRef]
- Tran, M.H.; Lee, E.Y. Production of polyols and polyurethane from biomass: A review. Environ. Chem. Lett. 2023, 21, 2199–2223. [Google Scholar] [CrossRef]
- Li, W.; Sun, H.; Wang, G.; Sui, W.; Dai, L.; Si, C. Lignin as a green and multifunctional alternative to phenol for resin synthesis. Green Chem. 2023, 25, 2241–2261. [Google Scholar] [CrossRef]
- Liu, S.; Du, G.; Yang, H.; Su, H.; Ran, X.; Li, J.; Zhang, L.; Gao, W.; Yang, L. Developing High-Performance Cellulose-Based Wood Adhesive with a Cross-Linked Network. ACS Sustain. Chem. Eng. 2021, 9, 16849–16861. [Google Scholar] [CrossRef]
- Chen, L.; Din, Z.-U.; Yang, D.; Hu, C.; Cai, J.; Xiong, H. Functional nanoparticle reinforced starch-based adhesive emulsion: Toward robust stability and high bonding performance. Carbohydr. Polym. 2021, 269, 118270. [Google Scholar] [CrossRef]
- Chen, X.; Pizzi, A.; Fredon, E.; Gerardin, C.; Li, J.; Zhou, X.; Du, G. Preparation and properties of a novel type of tannin-based wood adhesive. J. Adhes. 2022, 98, 871–888. [Google Scholar] [CrossRef]
- Zhou, Y.; Zeng, G.; Zhang, F.; Li, K.; Li, X.; Luo, J.; Li, J.; Li, J. Design of tough, strong and recyclable plant protein-based adhesive via dynamic covalent crosslinking chemistry. Chem. Eng. J. 2023, 460, 141774. [Google Scholar] [CrossRef]
- Islam, M.N.; Rahman, F.; Das, A.K.; Hiziroglu, S. An overview of different types and potential of bio-based adhesives used for wood products. Int. J. Adhes. Adhes. 2022, 112, 102992. [Google Scholar] [CrossRef]
- Brubaker, C.E.; Messersmith, P.B. The Present and Future of Biologically Inspired Adhesive Interfaces and Materials. Langmuir 2012, 28, 2200–2205. [Google Scholar] [CrossRef]
- Cheng, H.N.; Ford, C.; Dowd, M.K.; He, Z. Wood adhesive properties of cottonseed protein with denaturant additives. J. Adhes. Sci. Technol. 2017, 31, 2657–2666. [Google Scholar] [CrossRef]
- Xiaobo, W.; Wang, X.; Li, Y.; Ma, Y. Properties of a new renewable sesame protein adhesive modified by urea in the absence and presence of zinc oxide. RSC Adv. 2017, 7, 46388–46394. [Google Scholar]
- Liu, X.; Yu, Z.; Li, H.; Zhang, T.; Dong, Y.; Wang, K.; Zhan, X.; Li, Y.; Li, J. Constructing phenylboronic acid-tethered hierarchical kenaf fibers to develop strong soy meal adhesives with excellent water resistant, mildew proof, and flame-retardant properties. Cellulose 2023, 30, 5669–5686. [Google Scholar] [CrossRef]
- Kan, Y.; Kan, H.; Bai, Y.; Zhang, S.; Gao, Z. Effective and environmentally safe self-antimildew strategy to simultaneously improve the mildew and water resistances of soybean flour-based adhesives. J. Clean. Prod. 2023, 392, 136319. [Google Scholar] [CrossRef]
- Jin, S.; Song, X.; Li, K.; Xia, C.; Li, J. A mussel-inspired strategy toward antimicrobial and bacterially anti-adhesive soy protein surface. Polym. Compos. 2020, 41, 633–644. [Google Scholar] [CrossRef]
- Zeng, Y.; Yang, W.; Xu, P.; Cai, X.; Dong, W.; Chen, M.; Du, M.; Liu, T.; Lemstra, P.J.; Ma, P. The bonding strength, water resistance and flame retardancy of soy protein-based adhesive by incorporating tailor-made core–shell nanohybrid compounds. Chem. Eng. J. 2022, 428, 132390. [Google Scholar]
- Yue, L.; Meng, Z.; Yi, Z.; Gao, Q.; Mao, A.; Li, J. Effects of Different Denaturants on Properties and Performance of Soy Protein-Based Adhesive. Polymers 2019, 11, 1262. [Google Scholar]
- Doustdar, F.; Olad, A.; Ghorbani, M. Effect of glutaraldehyde and calcium chloride as different crosslinking agents on the characteristics of chitosan/cellulose nanocrystals scaffold. Int. J. Biol. Macromol. 2022, 208, 912–924. [Google Scholar] [CrossRef] [PubMed]
- Alavarse, A.C.; Frachini, E.C.G.; da Silva, R.L.C.G.; Lima, V.H.; Shavandi, A.; Petri, D.F.S. Crosslinkers for polysaccharides and proteins: Synthesis conditions, mechanisms, and crosslinking efficiency, a review. Int. J. Biol. Macromol. 2022, 202, 558–596. [Google Scholar] [CrossRef]
- Yao, S.; Wang, B.-J.; Weng, Y.-M. Preparation and characterization of mung bean starch edible films using citric acid as cross-linking agent. Food Packag. Shelf Life 2022, 32, 100845. [Google Scholar] [CrossRef]
- Chen, H.; Chen, S.; Fan, D.; Wang, Y. Preparation and Characterization of a Robust, High Strength, and Mildew Resistant Fully Biobased Adhesive from Agro-Industrial Wastes. ACS Appl. Polym. Mater. 2021, 3, 5197–5206. [Google Scholar] [CrossRef]
- Xu, Y.; Zhang, X.; Liu, Z.; Zhang, X.; Luo, J.; Li, J.; Shi, S.Q.; Li, J.; Gao, Q. Constructing SiO2 nanohybrid to develop a strong soy protein adhesive with excellent flame-retardant and coating ability. Chem. Eng. J. 2022, 446, 137065. [Google Scholar] [CrossRef]
- Halstenberg, S.; Panitch, A.; Rizzi, S.; Hall, H.; Hubbell, J.A. Biologically Engineered Protein-graft-Poly(ethylene glycol) Hydrogels: A Cell Adhesive and Plasmin-Degradable Biosynthetic Material for Tissue Repair. Biomacromolecules 2002, 3, 710–723. [Google Scholar] [CrossRef]
- Nivala, O.; Nordlund, E.; Kruus, K.; Ercili-Cura, D. The effect of heat and transglutaminase treatment on emulsifying and gelling properties of faba bean protein isolate. LWT 2021, 139, 110517. [Google Scholar] [CrossRef]
- Wei, X.; Zhao, Y.; Zheng, J.; Cao, Q.; Li, S.; He, L.; Wei, B.; Zhang, J.; Xu, C.; Wang, H. Refolding Behavior of Urea-Induced Denaturation Collagen. Macromol. Res. 2021, 29, 402–410. [Google Scholar] [CrossRef]
- Zhu, Z.; Zhang, E.; Tu, Y.; Ye, M.; Chen, N. An Eco-Friendly Wood Adhesive Consisting of Soybean Protein and Cardanol-Based Epoxy for Wood Based Composites. Polymers 2022, 14, 2831. [Google Scholar]
- Wang, X.; Zhu, J.; Liu, X.; Zhang, H.J.; Zhu, X. Novel Gelatin-based Eco-friendly Adhesive with a Hyperbranched Cross-linked Structure. Ind. Eng. Chem. Res. 2020, 59, 5500–5511. [Google Scholar] [CrossRef]
- Faggio, N.; Marotta, A.; Ambrogi, V.; Cerruti, P.; Gentile, G. Fully bio-based furan/maleic anhydride epoxy resin with enhanced adhesive properties. J. Mater. Sci. 2023, 58, 7195–7208. [Google Scholar] [CrossRef]
- Sandomierski, M.; Buchwald, T.; Strzemiecka, B.; Voelkel, A. Carbon black modified with 4-hydroxymethylbenzenediazonium salt as filler for phenol-formaldehyde resins and abrasive tools. J. Appl. Polym. Sci. 2020, 137, 48160. [Google Scholar] [CrossRef]
- Li, C. Synthesis, Characterization and Curing Mechanism of Biomass Modified Phenol Formaldehyde Resin; Beijing Forestry University: Beijing, China, 2018. [Google Scholar]
- Li, H.; Wang, Y.; Xie, W.; Tang, Y.; Yang, F.; Gong, C.; Wang, C.; Li, X.; Li, C. Preparation and Characterization of Soybean Protein Adhesives Modified with an Environmental-Friendly Tannin-Based Resin. Polymers 2023, 15, 2289. [Google Scholar]
- Zhang, Y.; Shi, R.; Xu, Y.; Chen, M.; Zhang, J.; Gao, Q.; Li, J. Developing a stable high-performance soybean meal-based adhesive using a simple high-pressure homogenization technology. J. Clean. Prod. 2020, 256, 120336. [Google Scholar] [CrossRef]
- Gu, W.; Liu, X.; Ye, Q.; Gao, Q.; Gong, S.; Li, J.; Shi, S.Q. Bio-inspired co-deposition strategy of aramid fibers to improve performance of soy protein isolate-based adhesive. Ind. Crops Prod. 2020, 150, 112424. [Google Scholar] [CrossRef]
- Lei, H.; Wu, Z.; Cao, M.; Du, G. Study on the Soy Protein-Based Wood Adhesive Modified by Hydroxymethyl Phenol. Polymers 2016, 8, 256. [Google Scholar] [CrossRef] [PubMed]
- Yao, X.; Liu, H.; Li, C. Development of Eco-Friendly Soy Meal Adhesives Enhanced by Ethylene Glycol Diglycidyl Ether. Adv. Polym. Technol. 2019, 2019, 8697047. [Google Scholar] [CrossRef]
- Li, H.; Li, C.; Gao, Q.; Zhang, S.; Li, J. Properties of soybean-flour-based adhesives enhanced by attapulgite and glycerol polyglycidyl ether. Ind. Crops Prod. 2014, 59, 35–40. [Google Scholar] [CrossRef]
- Mo, X.; Sun, X.; Wang, D. Thermal properties and adhesion strength of modified soybean storage proteins. J. Am. Oil Chem. Soc. 2004, 81, 395–400. [Google Scholar] [CrossRef]
- Zhang, Y.; Zhang, M.; Chen, M.; Luo, J.; Li, X.; Gao, Q.; Li, J. Preparation and characterization of a soy protein-based high-performance adhesive with a hyperbranched cross-linked structure. Chem. Eng. J. 2018, 354, 1032–1041. [Google Scholar] [CrossRef]
- Zhiyong, Q.; Qiang, G.; Shifeng, Z.; Jianzhang, L. Glycidyl Methacrylate Grafted onto Enzyme-Treated Soybean Meal Adhesive with Improved Wet Shear Strength. BioResources 2013, 8, 5369–5379. [Google Scholar] [CrossRef]
- Moure, A.; Sineiro, J.; Domínguez, H.; Parajó, J.C. Functionality of oilseed protein products: A review. Food Res. Int. 2006, 39, 945–963. [Google Scholar] [CrossRef]
- Chen, S.; Chen, H.; Yang, S.; Fan, D. Developing an antifungal and high-strength soy protein-based adhesive modified by lignin-based polymer. Ind. Crops Prod. 2021, 170, 113795. [Google Scholar] [CrossRef]
- Zhou, Y.; Zeng, G.; Zhang, F.; Tang, Z.; Luo, J.; Li, K.; Li, X.; Li, J.; Shi, S.Q. Preparation of functional fiber hybrid enhanced high strength and multifunctional protein based adhesive. Mater. Des. 2022, 224, 111289. [Google Scholar] [CrossRef]
- Luo, J.; Zhou, Y.; Gao, Q.; Li, J.; Yan, N. From Wastes to Functions: A New Soybean Meal and Bark-Based Adhesive. ACS Sustain. Chem. Eng. 2020, 8, 10767–10773. [Google Scholar] [CrossRef]
- Xu, Y.; Huang, X.; Zhang, Y.; Liu, Z.; Luo, J.; Li, J.; Li, J.; Gao, Q. A high bonding performance and antibacterial soybean meal adhesive with Maillard reaction based cross-linked structure. Compos. Part B Eng. 2021, 227, 109403. [Google Scholar] [CrossRef]
- Ma, C.; Pang, H.; Shen, Y.; Liang, Z.; Li, J.; Zhang, S.; Shi, J. Plant Polyphenol-Inspired Crosslinking Strategy toward High Bonding Strength and Mildew Resistance for Soy Protein Adhesives. Macromol. Mater. Eng. 2021, 306, 2100543. [Google Scholar] [CrossRef]
- Bai, M.; Zhang, Y.; Bian, Y.; Gao, Q.; Shi, S.Q.; Cao, J.; Zhang, Q.; Li, J. A novel universal strategy for fabricating soybean protein adhesive with excellent adhesion and anti-mildew performances. Chem. Eng. J. 2023, 452, 139359. [Google Scholar] [CrossRef]
Disclaimer/Publisher’s Note: The statements, opinions and data contained in all publications are solely those of the individual author(s) and contributor(s) and not of MDPI and/or the editor(s). MDPI and/or the editor(s) disclaim responsibility for any injury to people or property resulting from any ideas, methods, instructions or products referred to in the content. |
© 2023 by the authors. Licensee MDPI, Basel, Switzerland. This article is an open access article distributed under the terms and conditions of the Creative Commons Attribution (CC BY) license (https://creativecommons.org/licenses/by/4.0/).







