Environmental Factors Affecting Volume Growth of Yellow Poplar Plantations in South Korea
Abstract
:1. Introduction
2. Materials and Methods
2.1. Description of the Study Areas
2.2. Climate of the Study Area
2.3. Volume Growth of Stands
2.4. Environmental Distance of Each Stand from the Optimal Conditions
3. Results
3.1. Overall Growth
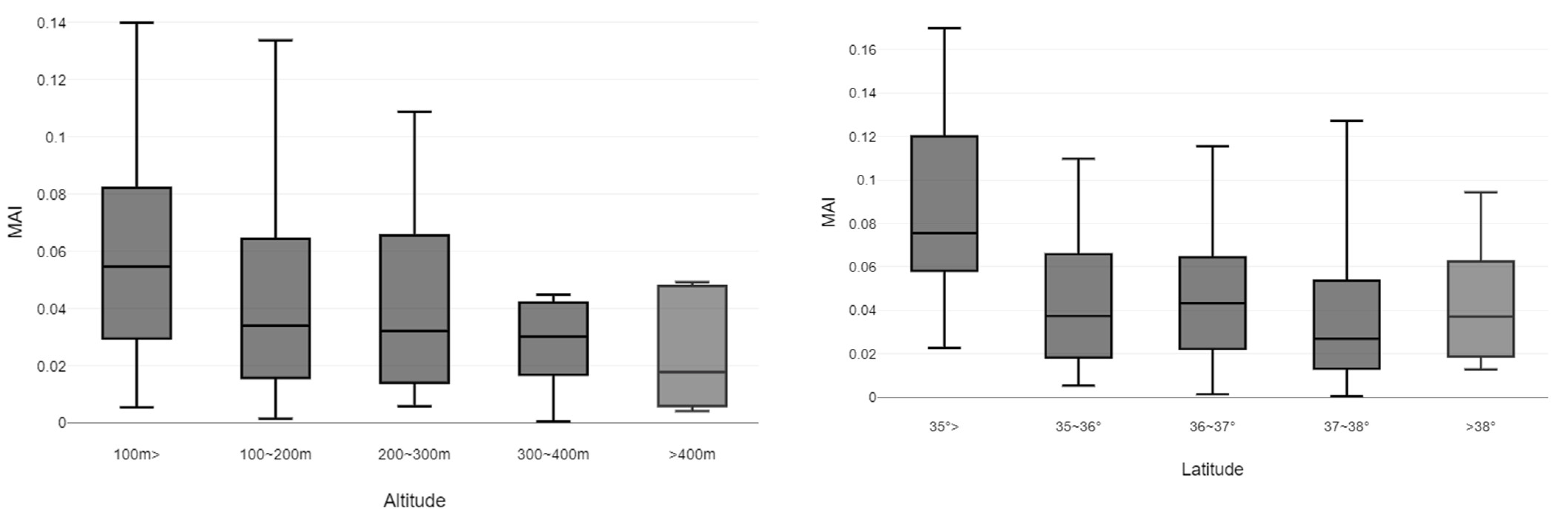
3.2. Effects of Latitude, Longitude, and Altitude on Volume Growth of Yellow Poplar
3.3. Effects of Climatic Variables of the Stands on Volume Growth of Yellow Poplar
3.4. Climatic Distance of Yellow Poplar Stands from the Optimal Growing Conditions
3.5. Effects of Topographic Variables of the Stands on Volume Growth of Yellow Poplar
3.6. Effects of Soil Chemical Properties on Volume Growth of Yellow Poplar
3.7. Integration of the Environmental Variables with Significant Correlation Coefficients
4. Discussion
5. Conclusions
Author Contributions
Funding
Data Availability Statement
Acknowledgments
Conflicts of Interest
References
- Lyu, G.O.; Jang, S.S.; Choe, W.Y.; Kim, H.E. Growth performance and adaptation of Liriodendron tulipifera in Korea. J. Korean For. Soc. 2003, 92, 515–525. [Google Scholar]
- Kang, W.S.; Koo, K.A.; Choi, K.; Yang, J.C. Historic vegetation and environmental changes since the 15th century in the Korean peninsula. Quat. Int. 2015, 392, 25–36. [Google Scholar] [CrossRef]
- Choung, Y.; Lee, J.; Cho, S.; Noh, J. Review on the succession process of Pinus densiflora forests in South Korea: Progressive and disturbance-driven succession. J. Ecol. Environ. 2020, 44, 16. [Google Scholar] [CrossRef]
- Lee, H.; Lim, H.; Kang, J.-W. Growth performance of exotic trees in Korea. J. For. Environ. Sci. 2019, 35, 115–120. [Google Scholar] [CrossRef] [PubMed]
- Ryu, K.O.; Han, M.-S.; Noh, E.-R.; Kim, I.-S. Age-age correlation on volume growth of yellow poplar (Liriodendron tulipifera). J. Agric. Life Sci. 2014, 48, 13–23. [Google Scholar] [CrossRef]
- Min, S.-K.; Son, S.-W.; Seo, K.-H.; Choi, Y.-S.; Jeong, J.-H.; Kim, B.-M.; Kim, J.-W.; Kim, Y.-H.; Lee, J.-Y.; Lee, M.I. Changes in weather and climate extremes over Korea and possible causes: A review. Asia-Pac. J. Atmos. Sci. 2015, 51, 103–121. [Google Scholar] [CrossRef]
- World Bank Group. Climate Change Knowledge Portal. 2021. Available online: https://climateknowledgeportal.worldbank.org/ (accessed on 20 June 2023).
- Carmean, W.H. Site quality for eastern hardwoods. In The Silviculture of Oaks and Associated Species; U.S. Department of Agriculture Forest Service Research Paper NE-144; Northeast Forest Experiment Station: Upper Darby, PA, USA, 1970; pp. 36–56. [Google Scholar]
- Crum, C.T. Factors Influencing Basal Area Growth of Yellow-Poplar (Liriodendron tulipifera L.) in Central West Virginia; West Virginia University: Morgantown, WV, USA, 2004; p. 1533. Available online: https://researchrepository.wvu.edu/etd/1533 (accessed on 20 June 2023).
- Hewitt, A. Soil Properties for Plant Growth; Landcare Research Science Series No. 26; Manaaki Whenua Press: Lincoln, New Zealand, 2004; ISBN 0-478-09362-4. [Google Scholar]
- Turgut, E.T.; Usanmaz, Ö. An analysis of vertical profiles of wind and humidity based on long-term radiosonde data in Turkey. Anadolu Univ. J. Sci. Technol. A-Appl. Sci. Eng. 2016, 17, 830–844. [Google Scholar]
- Johnson, S.E.; Abrams, M.D. Age class, longevity, and growth relationships; Protracted growth increases in old trees in the eastern United States. Tree Physiol. 2009, 29, 1317–1328. [Google Scholar] [CrossRef] [PubMed]
- Schlegel, B.E.; Kulow, D.L.; Baughman, R.N. Empirical yield tables for West Virginia yellow poplar. West Va. Agric. For. Exp. Stn. Bull. 1969. [Google Scholar] [CrossRef]
- Linacre, E.T. A simple formula for estimating evaporation rates in various climates, using temperature data alone. Agric. Meteorol. 1977, 18, 409–424. [Google Scholar] [CrossRef]
- Beck, D.E.; Della-Bianca, L. Yellow-poplar: Characteristics and management. In Agriculture Handbook No. 583; USDA, Southeastern Forest Experiment Station Asheville: Asheville, NC, USA, 1981. [Google Scholar]
- Burns, R.M.; Honkala, B.H. Silvics of North America: Volume 2; Technical Coordinators; Hardwoods Agriculture Handbook 654; United States Department of Agriculture (USDA) Forest Service: Washington, DC, USA, 1990.
- McCarthy, E.F. Yellow Poplar Characteristics, Growth, and Management; Technical Bulletin No. 356; USDA: Washington, DC, USA, 1933.
- Yan, E.Y.; Song, X.M.; Hao, G.; Reich, P.B.; Wang, Y.; Ellsworth, D.S.; Ye, Q. Growing-season temperature and precipitation are independent drivers of global variation in xylem hydraulic conductivity. Glob Chang. Biol. 2020, 26, 1833–1841. [Google Scholar]
- Janecka, K.; Harvey, J.E.; Trouillier, M.; Kaczka, R.J.; Metslaid, S.; Metslaid, M.; Buras, A.; Wilmking, M. Higher Winter-Spring Temperature and Winter-Spring/Summer Moisture Availability Increase Scots Pine Growth on Coastal Dune Microsites Around the South Baltic Sea. Front. For. Glob. Chang. 2020, 3, 578912. [Google Scholar] [CrossRef]
- Tullus, A.; Kupper, P.; Sellin, A.; Parts, L.; Sober, J.; Tullus, T.; Lõhmus, K.; Sober, A.; Tullus, H. Climate Change at Northern Latitudes: Rising Atmospheric Humidity Decreases Transpiration, N-Uptake and Growth Rate of Hybrid Aspen. PLoS ONE 2012, 7, e42648. [Google Scholar] [CrossRef] [PubMed]
- Bellingham, P.; Edmund, T. The Influence of Topography on Tree Growth, Mortality, and Recruitment in a Tropical Montane Forest. Biotropica 2000, 32, 378–384. [Google Scholar] [CrossRef]
- Adams, H.R.; Barnard, H.R.; Loomis, A.K. Topography alters tree growth–climate relationships in a semi-arid forested catchment. Ecosphere 2014, 5, 148. [Google Scholar] [CrossRef]
- McIntire, E.J.B.; Piper, F.I.; Fajardo, A. Wind exposure and light exposure, more than elevation-related temperature, limit tree line seedling abundance on three continents. J. Ecol. 2016, 104, 1379–1390. [Google Scholar] [CrossRef]
- Duan, X.; Liu, W.; Wang, X.; Zhang, L.; Liu, S.; Guo, L.; Guo, D.; Hou, X. Effects of Phosphorus Fertilization on Growth Characteristics, Fatty Acid Composition, and Seed Yields of Fengdan (Paeonia ostii T. Hong & J. X. Zhang). HortScience 2022, 57, 733–740. [Google Scholar]
- Khan, F.; Siddique, A.B.; Shabala, S.; Zhou, M.; Zhao, C. Phosphorus Plays Key Roles in Regulating Plants’ Physiological Responses to Abiotic Stresses. Plants 2023, 12, 2861. [Google Scholar] [CrossRef] [PubMed]
- Mao, Q.; Chen, H.; Gurmesa, G.A.; Gundersen, P.; Ellsworth, D.; Gilliam, F.; Wang, C.; Zhu, F.; Ye, Q.; Mo, J.; et al. Negative effects of long-term phosphorus additions on understory plants in a primary tropical forest. Sci. Total Environ. 2021, 798, 149306. [Google Scholar] [CrossRef] [PubMed]
- Russel, T.E. Planting Yellow Poplar—Where We Stand Today; USDA Forest Service General Technical Report SO-17; Southern Forest Experiment Station: New Orleans, LA, USA, 1977; 8p.
- Antunez, P. Influence of physiography, soil and climate on Taxus globosa. Nord. J. Bot. 2021, 39, e03058. [Google Scholar] [CrossRef]






| Altitude | Latitude | Longitude | ||
|---|---|---|---|---|
| Volume growth | r | −0.24 | −0.14 | −0.34 |
| p | 0.097 | 0.327 | 0.016 |
| Annual Temperature | Growing Season Temperature | Mean Jul–Aug High Extreme | Mean Jan–Feb Low Extreme | ||
|---|---|---|---|---|---|
| Volume growth | r | 0.3 | 0.35 | −0.08 | 0.34 |
| p | 0.037 | 0.015 | 0.608 | 0.016 |
| Annual Precipitation | Growing Season Precipitation | Winter Precipitation | Spring Precipitation | ||
|---|---|---|---|---|---|
| Volume growth | r | −0.27 | −0.26 | 0.06 | −0.17 |
| p | 0.059 | 0.067 | 0.473 | 0.245 |
| Annual Humidity | Growing Season Humidity | Winter Humidity | Spring Humidity | Effective Water | ||
|---|---|---|---|---|---|---|
| Volume growth | r | 0.17 | 0.27 | 0.06 | −0.33 | 0.27 |
| p | 0.247 | 0.065 | 0.696 | 0.02 | 0.062 |
| AT (°C) | LT (°C) | GT (°C) | SH (%) | |
|---|---|---|---|---|
| Mean | 11.41 | −13.86 | 17.27 | 61.9 |
| Max | 13.70 | −8.8 | 18.7 | 71.6 |
| Min | 6.44 | −21.88 | 12.36 | 53.9 |
| Slope Position | Wind Exposure | Soil Depth | Slope Degree | Soil Drainage | ||
|---|---|---|---|---|---|---|
| Volume growth | r | −0.16 | 0.53 | 0.11 | −0.06 | −0.11 |
| p | 0.275 | <0.001 | 0.44 | 0.494 | 0.209 |
| Soil pH | OM | Total N | P2O5 | K | Ca | Mg | ||
|---|---|---|---|---|---|---|---|---|
| Volume growth | r | −0.24 | 0.04 | 0 | −0.39 | −0.16 | −0.24 | −0.11 |
| p | 0.131 | 0.827 | 0.988 | 0.013 | 0.313 | 0.141 | 0.495 |
| WE | P2O5 | GT | LN | LT | SH | AT | ||
|---|---|---|---|---|---|---|---|---|
| Volume growth | r | 0.53 | −0.39 | 0.35 | −0.34 | 0.33 | 0.31 | 0.3 |
| p | <0.001 | 0.013 | 0.015 | 0.016 | 0.032 | 0.046 | 0.037 |
| Combination of Environment Variables | r | p |
|---|---|---|
| WE | 0.53 | <0.001 |
| WE + P2O5 | 0.17 | 0.25 |
| WE + GT | 0.58 | <0.001 |
| WE + GT + LN | 0.58 | <0.001 |
| WE + GT + LN + LT + SH + P2O5 + AT | 0.51 | 0.001 |
| LT + SH | 0.42 | 0.003 |
Disclaimer/Publisher’s Note: The statements, opinions and data contained in all publications are solely those of the individual author(s) and contributor(s) and not of MDPI and/or the editor(s). MDPI and/or the editor(s) disclaim responsibility for any injury to people or property resulting from any ideas, methods, instructions or products referred to in the content. |
© 2023 by the authors. Licensee MDPI, Basel, Switzerland. This article is an open access article distributed under the terms and conditions of the Creative Commons Attribution (CC BY) license (https://creativecommons.org/licenses/by/4.0/).
Share and Cite
Jang, K.; Lee, I.H.; Oh, C.; Byeon, S.; Cheong, E.J. Environmental Factors Affecting Volume Growth of Yellow Poplar Plantations in South Korea. Forests 2023, 14, 2003. https://doi.org/10.3390/f14102003
Jang K, Lee IH, Oh C, Byeon S, Cheong EJ. Environmental Factors Affecting Volume Growth of Yellow Poplar Plantations in South Korea. Forests. 2023; 14(10):2003. https://doi.org/10.3390/f14102003
Chicago/Turabian StyleJang, Kyunghwan, Il Hwan Lee, Changyoung Oh, Siyeon Byeon, and Eun Ju Cheong. 2023. "Environmental Factors Affecting Volume Growth of Yellow Poplar Plantations in South Korea" Forests 14, no. 10: 2003. https://doi.org/10.3390/f14102003
APA StyleJang, K., Lee, I. H., Oh, C., Byeon, S., & Cheong, E. J. (2023). Environmental Factors Affecting Volume Growth of Yellow Poplar Plantations in South Korea. Forests, 14(10), 2003. https://doi.org/10.3390/f14102003

