Abstract
Understanding the vertical distribution and driving mechanisms behind soil carbon (C), nitrogen (N), and phosphorus (P) contents and enzyme activities along elevation gradients is of great significance for the healthy and sustainable management of forest ecosystems. For this study, the 0–20 cm soil-layer samples of different natural Quercus spp. secondary forests from eight altitude gradients (ranging from 250 to 950 m) were investigated to quantify their physicochemical properties, ecological stoichiometry characteristics, and enzyme activities. The results indicated that the soil nutrient content of natural secondary Quercus spp. forests in the Dabie Mountains was low, with average soil organic carbon (SOC) and total phosphorus (TP) contents of 19.86 ± 3.56 g·kg−1 and 0.68 ± 0.10 g·kg−1, respectively, which were 19.14% and 12.82% lower, respectively, than the Chinese average. In terms of vertical spatial distribution, the SOC, total nitrogen (TN), and TP contents of the soil at high altitudes (≥750 m) were greater than those at middle- and low-altitude areas and reached the maximum value at or near the top of the mountain (850–950 m). The stoichiometric attributes of the soil ecosystem fluctuated with the higher altitudes in vertical space; however, the fluctuation range was not significant. The C:N, N:P, and C:P ratios reached their maximum values at altitudes of 250, 750, and 850 m, respectively. However, the overall average value remained generally lower than the national average; thus, in forest management, attention should be paid to the supplementation of the soil with C and P. The activities of soil sucrase, urease, acid phosphatase, and catalase were interconnected across the overall space, and increased with altitude. The SOC, TP, and pH were the main factors that influenced the changes in soil enzyme activities.
1. Introduction
Soil comprises the primary carrier and nutrient reservoir of terrestrial ecosystems; thus, its ecological stoichiometry can reveal the availability and cycling characteristics of soil nutrients and explain the variability in ecosystem functions [1]. As the most important elements that affect plant growth, the stoichiometric ratios of soil carbon (C), nitrogen (N), and phosphorus (P) have been extensively studied worldwide, since being officially proposed in 2002 [2,3,4]. As essential catalysts employed by microorganisms to decompose complex organic matter in soil, enzymes are the key driving forces behind nutrient cycling; thus, the C, N, and P contents of soil are intimately related to soil enzyme activities [5]. As they are affected by climate, topography, vegetation type, and anthropogenic disturbances, the soil C, N, and P contents and enzyme activities often exhibit spatial heterogeneity [6,7].
The soil N content and carbon–nitrogen ratio (C:N) reflect the rate of soil organic matter (SOM) mineralization, while the nitrogen–phosphorus ratio (N:P) affects the level of nitrogen fixation in organisms, which indicates biological productivity and species diversity. Further, the carbon–phosphorus ratio (C:P) reflects the potential of soil microorganisms to release P [7]. As a major topographic factor, altitude reflects the vertical spatial variations in soil ecological stoichiometry on small scales [8]. Altitude induces changes in the soil nutrient content and enzyme activities in forests by directly or indirectly impacting the soil temperature, light, vegetation distribution, litter thickness, and nutrient migration rate [9]. Recently, the study of soil nutrients along altitude gradients has attracted attention. It is generally believed that at higher altitudes, N gradually becomes the main limiting nutrient for plant growth [3], which is associated with temperature changes. The low temperature environments of high-altitude mountainous areas reduce the activities of soil microbes; the decomposition rates of litter, animal, and plant residues are decreased; the mineralization, nitrification, and denitrification processes in the soil are diminished; and the accumulation of carbon and nitrogen in the soil is promoted [10,11].
Previous studies found that the stoichiometric ratios of C, N, and P in forest soils varied between the elevation gradients of different regions [8]. In tropical forests, the soil C:N, C:P, and N:P ratios increased with altitude. Another study revealed and confirmed that the activities of soil N-acquiring enzymes, and thus the demand for N by plants, were also enhanced at higher altitudes in tropical forests [12]. On the Qinghai-Tibet Plateau, the soil C:N ratio steadily decreased at higher altitudes, and soil enzyme activities decreased with higher altitude gradients [13,14]. In the subtropical forests of China, the soil C, N, and C:N ratio increased linearly with altitude, although there was no linear relationship with the soil P content. However, the soil N:P and C:P ratios of the Dongting Lake area exhibited a steady increase with altitude [15,16]. Differences in latitude, climatic characteristics, and community structures were the primary drivers behind the spatial differences in soil ecological stoichiometry and enzyme activities at different altitudes [8]. It is of great significance to examine the elevation characteristics of soil nutrients and enzyme activities in different types of forest stands to reveal the regulation and feedback effects of different environmental conditions on the composition of soil elements.
The Anhui Tianma National Nature Reserve is situated in the hinterland of the Dabie Mountains, which is an important ecological barrier in Central China and the Yangtze River Delta. Recently, researchers conducted relevant studies on the forest soils of the Dabie Mountains; however, these investigations focused primarily on elevation-induced changes in the soil physicochemical properties of fir plantations [17]. Quercus spp. is widely distributed across China, with 51 species. Quercus spp. is one of the main stand types in the reserve, which is an ideal area to observe the interactions between vegetation and the soil of forests at different altitude gradients in the northern subtropics. An elucidation of the changes in soil nutrients and enzyme activities in natural secondary Quercus spp. forests at different altitudes in the Tianma Nature Reserve can assist with explaining the intrinsic driving forces of soil stoichiometry changes in northern subtropical forests, while providing guidance for forest ecological restoration.
It has been assumed that in natural secondary Quercus spp. forests, the soil C, N, and P content and enzyme activities increased with the altitude gradient; the consumption of soil nutrients by plants gradually decreased at higher altitudes; and the decomposition of organic matter and reduction in mineralization at higher altitudes may lead to nutrient enrichment. Therefore, the objectives of this study were as follows: (1) To investigate the primary soil enzyme activities, nutrient contents, and stoichiometric characteristics of natural secondary oak forest soils, and identify any variations between them at different altitudes. (2) To determine the main driving factors behind change in coastal soil enzyme activities.
2. Materials and Methods
2.1. Study Area
The study site is situated in the Tianma National Nature Reserve (N31°10′~31°20′, E115°20′~115°50′) in Jinzhai County, Anhui Province, China. It belongs to the northern subtropical to warm temperate transition climate zone, with a humid climate. The average annual temperature over the last five years was 13.8 °C. In 2020, the average temperature of the coldest month (January) was 2.1 °C, whereas the average temperature of the hottest month (July) was 26.4 °C. The frost-free period was from 179 to 190 d, and the average annual precipitation is 1420.9 mm. The soil of the study area exhibited an obviously demarcated vertical distribution, where the soil type above 800 m ASL was mountain brown loam, while the soil below 800 m was mountain yellow brown soil, which was weakly acidic [17]. The forest coverage rate in this area is as high as 95.9%, and the trees are mainly Cyclobalanopsis glauca, Quercus glandulifera, Quercus variabilis, Quercus acutissima, Cyclobalanopsis gracilis, Castanea mollissima, and Liquidambar formosana. The main plants in the shrub layer include Lindera praecox, Serissa japonica, Smilax china, and Akebia trifoliata. The main plants in the herbaceous layer are Elatostema stewardii, Duchesnea indica, and Oplismenus undulatifolius.
2.2. Sampling Design
In October 2020, a sample plot of natural secondary Quercus spp. forests was established on the northern slope of a mountain in the Tianma National Nature Reserve, from the foot of the mountain to the its peak (elevation ranges from 250 to 950 m). We divided the altitude range into eight gradients at 100 m apart, all of which included the tree species under study (Quercus spp.), which were free from human disturbance. Four plots (20 × 20 m) were established at the vertical altitude of each plot for soil sample collection, and the distance between each plot was >50 m (Figure 1).
Figure 1.
Location of the study area and experimental design.
Soil samples were collected from the test site in August 2021. Following the removal of plants and litter from the ground surface of the plot, soil samples were extracted according to the “S” sampling technique using a 100 cm3 ring knife. Five portions of the 0–20 cm soil layer were collected in each sample, mixed evenly, and stored in a sealed bag, for a total of 32 mixed samples collected. The samples were sealed and transferred to the laboratory at low temperature to test the soil enzyme activities, as well as physical and chemical properties. All samples were stored at 4 °C in a freezer prior to testing the soil enzyme activities and chemical properties.
2.3. Laboratory Analysis
Fresh soil samples were dried at 105 °C in an oven to a constant weight to determine the soil moisture content (MC). Prior to testing the pH, soil organic carbon content (SOC), total nitrogen (TN), and total phosphorus (TP), the dried soil samples were sifted through a 100-mesh sieve to remove large particles, stones, and fine roots, referring to our previous experimental method [18]. The pH of the soil was determined using a pH meter (Mettler Toledo, FE28-Standard, Greifensee, Switzerland) in a 1:2.5 (w/v) soil solution. Once the soil sample was boiled with concentrated sulfuric acid, the filtrate was extracted and the TP and TN content were determined using a fully automated intermittent chemical analyzer (Clever Chem Anna, Dortmund, German), while the SOC was determined by potassium permanganate titration. The acid phosphatase (Acp) activity was quantified by the p-nitrophenyl phosphonate disodium method, whereas the catalase (Cat) activity was determined via potassium permanganate titration. The urease (Ure) activity was measured using the sodium phenol-sodium hypochlorite colorimetric technique. Finally, the sucrase activity (Suc) was calorimetrically determined using 3,5 dinitro salicylic acid [19,20].
2.4. Data Analysis
All data analyses were performed using R 4.1.3 and Canoco 5 software. One-way analysis of variance (ANOVA) was performed with R 4.1.3 to compare the differences between the nutrient content and enzyme activities of soil form different altitudes. The correlations between soil nutrients and enzyme activities were quantified by Pearson’s correlation coefficient. Canoco 5 was employed to perform redundancy analysis (RDA), and the Monte Carlo test was used to interpret the activities of soil enzymes, the stoichiometric distributions of C, N, and P, and to identify important environmental factors that affected soil stoichiometry.
3. Results and Discussion
3.1. Impacts of Altitude on Soil Physicochemical Properties
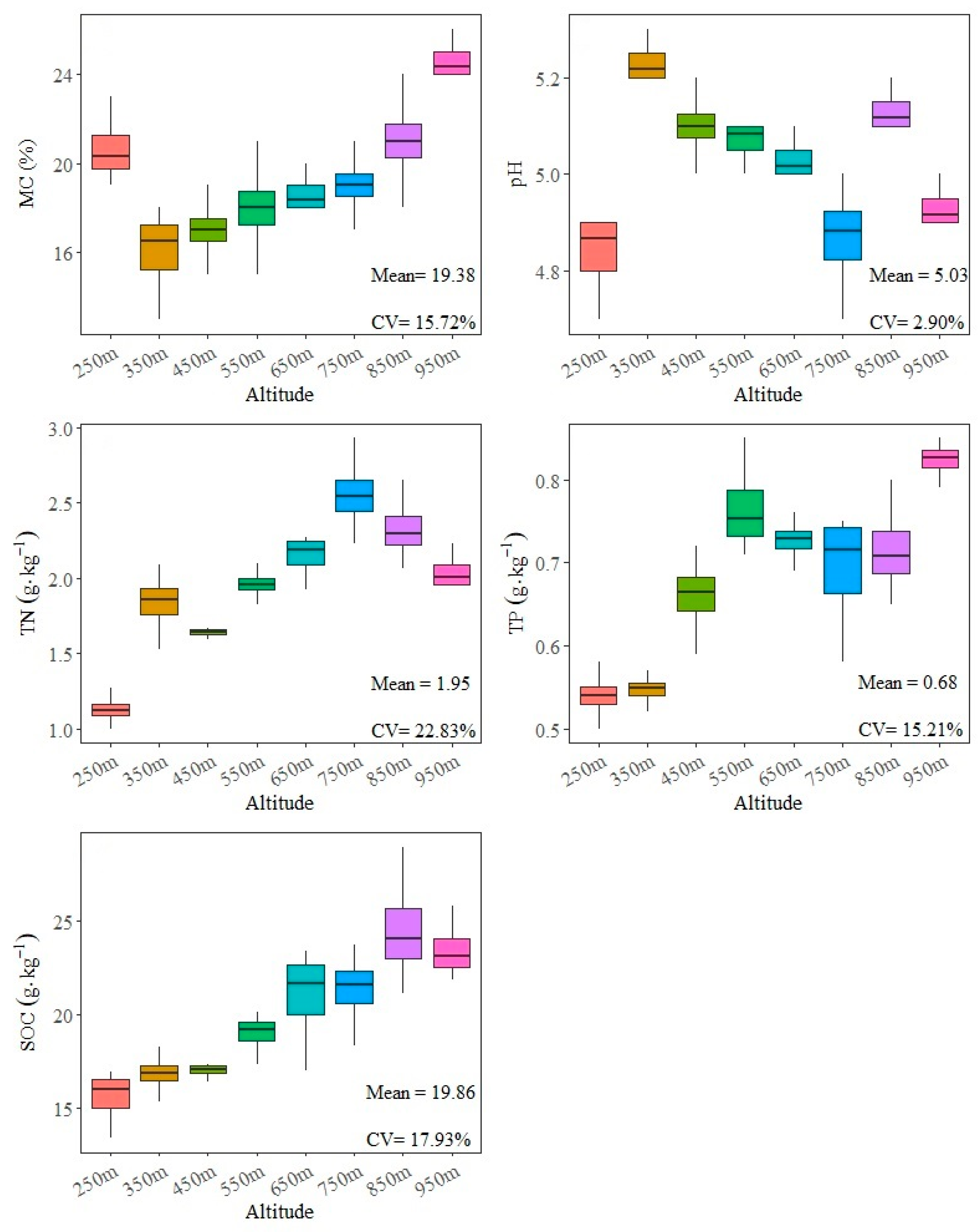
The physicochemical soil properties revealed certain attributes with changing altitude gradients (Figure 2). The soil pH of the study area was weakly acidic (4.7–5.3) and fluctuated with the altitude gradient. The five soil physicochemical indices did not change drastically between the altitude gradients, with the coefficient of variation ranging from 2.90% to 22.83%. The average SOC, TN, and TP of soil in the study area were 19.86 ± 3.56 g·kg−1, 1.95 ± 0.45 g·kg−1, and 0.68 ± 0.10 g·kg−1, respectively, (Figure 2). Only the TN attained the level of average forest soil in China (1.88 g·kg−1), while the SOC and TP were lower at 24.56 and 0.78 g·kg−1, respectively [21]. The overall change trend was that they increased at higher altitudes, reached a maximum at from 750 to 850 m ASL, and then decreased. High vegetation coverage and adequate soil moisture at higher altitudes improved the capacity to retain soil nutrients, and litter decomposition slowed down, which in turn led to a significant increase in the soil C and N content with altitude [8]. At the mountain peak, the vegetation cover was low, and reduced litter inputs translated to decreased SOC and TN contents [11]. Higher temperatures at low altitudes may induce soil organisms to consume large quantities of organic matter, which in turn impacts the accumulation of soil C and N [22].
Figure 2.
Soil physicochemical properties at different altitudes.
The reserves of P in the soil are contingent on the source and the relative intensity of consumption [8]. In the absence of human interference, soil P is primarily derived from rock weathering, and its consumption is mainly through absorption via plant growth and leaching due to precipitation [7,10,23]. The TP in our study area initially increased and then decreased with altitude; it increased significantly at the summit (950 m), where it reached a maximum. We speculated that the increased TP on the mountain was primarily affected by the low vegetation coverage and decreased demand for P due to fewer trees, in addition to the relatively flat terrain and less P loss due to lower soil erosion and surface runoff.
3.2. Elevation Characteristics of Soil C, N, and P Ecological Stoichiometry
Changes in the soil stoichiometry in the natural secondary Quercus spp. forest on Dabie Mountain reflected the limitation of soil nutrients to a certain extent [21]. In our study, we found that the soil C, N, and P stoichiometry ratio fluctuated along the altitude gradient, which implied that the soil stoichiometry had spatial heterogeneity [8].
The soil stoichiometry fluctuated along the increased altitude gradient (Figure 3), where the C:N ratio ranged from 7.47 to 15.13 with an average value of 10.42, and the coefficient of variation was 16.51%. The C:N ratio is a marker of the soil nitrogen mineralization capacity, which is inversely proportional to the rate of SOC decomposition. It was previously reported that when the soil C:N ratio is greater than 25, the supply of soil N is insufficient, and there may be N restrictions on plant growth [24]. The average soil C:N in the study area was only 10.42 ± 1.72, which was less than 15.28% lower than the average in China (12.3) [21]. The results revealed that the utilization efficiency of organic matter by microorganisms was high, which was conducive to localized plant growth and nutrient cycling [8]. In the natural Quercus spp. forest of the Dabie Mountains, the peak C:N ratio was found at an altitude of 250 m (Figure 3); however, across the entire study area, the content of SOC and TN at this altitude were lowest. This might have been because this area was at the base of the mountain with a higher soil moisture content, temperature, and a deep soil layer. This was suitable for additional plant growth; thus, the high growth rate of plants consumed more N [25]. Consequently, although the total TN and SOC contents of this region were low, the C:N ratio was high.
Figure 3.
Soil ecological stoichiometric characteristics along the altitudinal gradient.
The trends of the soil C:P and N:P ratios were similar, reaching maximum values at altitudes of 850 and 750 m, respectively. The average soil C:P ratio value in the study area was 29.15 ± 3.62, which was 44.69% lower than that of typical forest soil in China (52.70) [21]. Further, since both the SOC and TP were lower than the regional average in China, we considered that the SOC and TP in the study area were simultaneously in short supply, but remained relatively stable in terms of their relative content. The average N:P ratio in the study area was 2.86 ± 0.56, which was 26.67% lower than the average soil N:P ratio (3.9) in China [26].
3.3. Impacts of Elevation on Soil Enzyme Activities
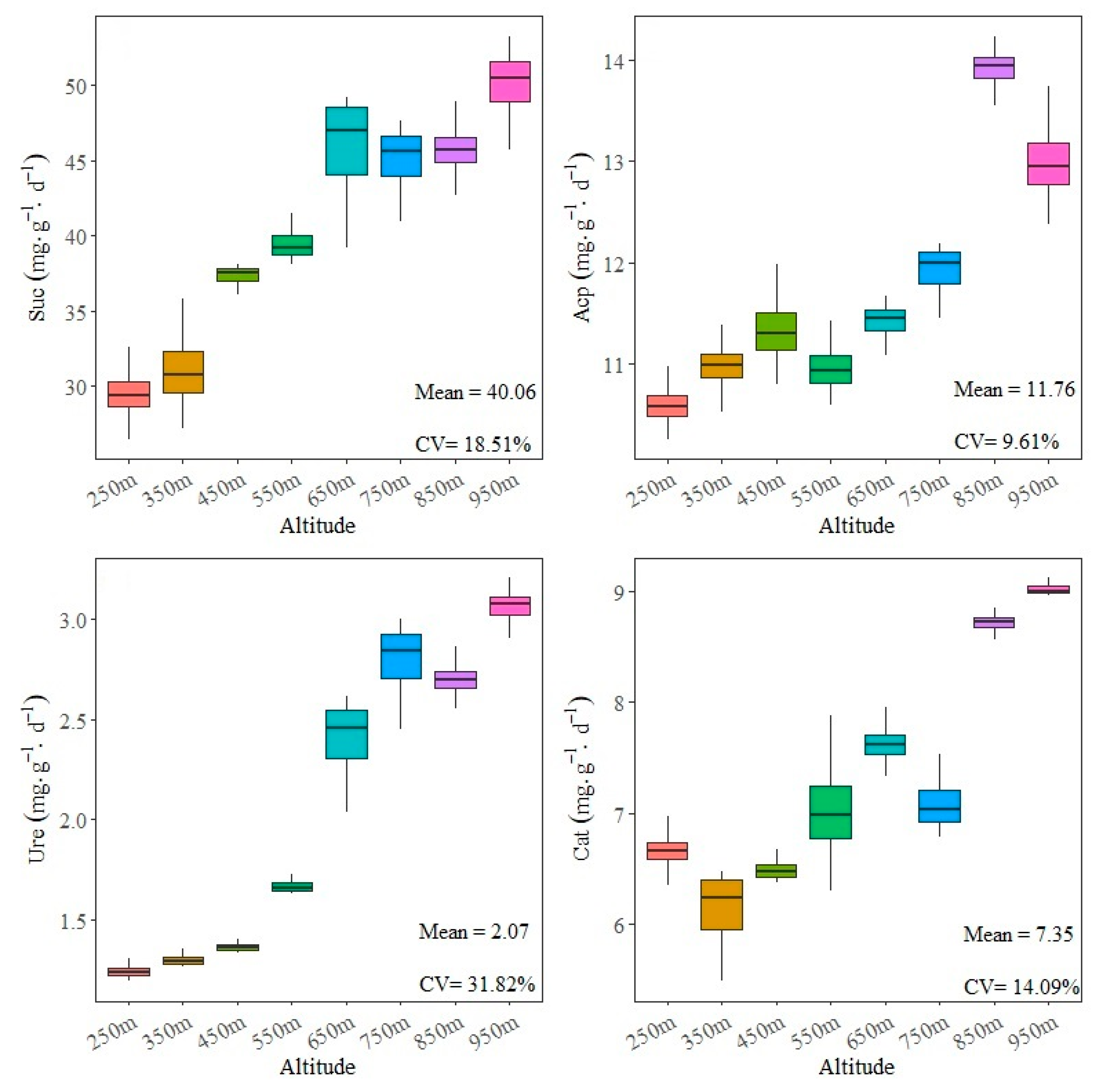
With changing altitude gradients, the change trends of Suc, Acp, Ure, and Cat activities were similar (Figure 4). The overall changes were that the soil enzyme activities steadily increased with higher demarcated altitudes, from 26.48–53.26 mg·g−1·d−1, 10.26–14.23 mg·g−1·d−1, 1.20–3.20 mg·g−1·d−1, and 5.49–9.12 mg·g−1·d−1, respectively. The variation in Ure between different altitude gradients was significant, with a coefficient of variation reaching 31.82%, while the other three enzymes had small fluctuations over the various altitude gradients. The minimum values of the four soil enzyme activities were almost all at the foot of the mountain (250 m), while the sucrase, soil urease, and catalase activities reached their maximum at the summit position (950 m), and the maximum activity of acid phosphatase was at 850 m, also near the peak.
Figure 4.
Soil enzyme activities at different altitudes.
The correlation analysis results revealed that the soil physicochemical factors were significantly correlated with soil enzyme activities (Figure 5). Among them, MC was positively correlated with the enzymatic activities of the four soil enzymes (p < 0.01). The soil pH was significantly negatively correlated with the MC (p < 0.05). TN was significantly positively correlated with the TP, SOC, Suc, Acp, and Ure (p < 0.001). The SOC, TP, and the activities of four soil enzymes were positively correlated (p < 0.001). Organic matter is an important source of soil nutrients, which reflects their intrinsic balance and coupling mechanisms [27]. Several studies have proposed that granular soil organic carbon has a certain sequestration effect on N and P, where areas with a high SOC content can more efficiently reduce the loss of soil N and P [28,29]. In this study, we found that SOC, TN, and TP had a significantly positive correlation (Figure 5), where their concentrations revealed synergistic changes along the altitude gradient, which also supported this theory. Finally, Suc, Acp, Ure, and Cat were significantly positively intercorrelated (p < 0.001), as soil is a complex multi-enzyme system, where various enzymatic reactions are independent and influence each other [30].
Figure 5.
Correlation between soil nutrients and soil enzyme activities, * Significance of p < 0.05. ** Significance of p < 0.01.*** Significance of p < 0.001.
3.4. Redundancy Analysis of Soil Enzyme Activities and Environmental Factors
Eight factors, including the SOC, TN, TP, and their stoichiometric ratios were selected as environmental variables, while the activities of the four enzymes were used as response variables for redundancy analysis (Table 1). The characteristic values of the soil enzyme activities in the first and second axes were 0.850 and 0.006, respectively, while the correlations between the soil enzyme activities and environmental factors were 0.932 and 0.637, respectively. The cumulative interpretation of soil enzyme activities through environmental factors in the first two axes reached 85.65%, whereas the cumulative interpretation of soil enzyme activities and environmental factors reached 99.75%. The first two axes were well reflected in the relationship between the soil enzyme activities and environmental factors, where among them Axis 1 had the greatest impact.
Table 1.
Eigenvalues and cumulative interpretation of RDA sequence of soil enzyme activities.
The two-dimensional ranking of soil enzyme activities and environmental factors revealed that the first axis was primarily related to the SOC, TP, TN, and N:P ratio, while the second axis was mainly associated with the C:N ratio, pH, and C:P ratio (Figure 6). The acute angle between the two soil enzymes (Acp and Cat) and MC and SOC was the smallest, which implied that the activities of these two enzymes were mostly affected by the MC and SOC contents. The other two enzymes (Ure and Suc) had the smallest acute angle with the SOC and TP, and the obtuse angle with pH was the largest, which indicated that the SOC, TP, and pH were the main factors that impacted the enzyme activities of Ure and Suc. The importance of the influences of environmental factors on soil enzyme activities was further examined, and each environmental factor was ranked by the Monte Carlo test (SOC > TP > pH > N:P > C:N > MC > C:P > TN) (Table 2). The effects of the SOC and TP on the soil enzyme activities reached a significant level (p < 0.01), which suggested that they were the two most important soil nutrient factors that affected the soil enzyme activities in the natural Quercus spp. forest in the Dabie Mountains.
Figure 6.
Two-dimensional sequence diagram of RDA analysis of soil enzyme activities and environmental factors.
Table 2.
Importance ranking in the interpretation of soil environmental factor variables and significance test.
The SOC explained 86.7% of the variation in the soil enzyme activities, which was consistent with earlier studies of other regions [31,32]. Cao et al. [33] reported that the type and content of organic matter (as the main substrate of enzymatic reactions in the soil environment) have key impacts on soil enzyme activities. It was observed that although the spatial variations in the soil pH of the study area were negligible (CV = 2.90%), the RDA analysis results revealed that its impacts on soil enzyme activities could not be ignored. As gleaned from earlier research, the soil pH can directly affect the activation and reaction times of enzymes, where most enzymes respond sensitively to changes in pH. Most enzyme activities show a certain degree of inhibition in weakly acidic environments [34]. In addition to soil nutrient resources, hydrothermal conditions can influence soil enzyme activities. It was proposed that greater soil moisture can enhance enzyme activities, and in this study MC was positively correlated with four enzymes and significantly positively correlated with Ure and Cat, which aligned with earlier results [35]. A study of an alpine canyon area revealed that the soil moisture content increased the secretion of extracellular enzymes through the stimulated proliferation of microbes, which ultimately increased the soil enzyme content and the efficacy of enzymatic reactions [36]. Zuccarini [37] suggested that the effects of water on enzyme activities operate in conjunction with a certain level of warming. Further, soil moisture and temperature are typically not synchronized along the altitude gradient but are more reversed. Interestingly, in this study, the enzyme activities continually increased with higher altitudes (Figure 4). We speculated that the since the highest altitude of the study area was only 950 m, the effects of temperature on soil enzyme activities could be neglected. Thus, the soil water content was one of the main factors that affected soil enzyme activities.
4. Conclusions
This study investigated the distribution of soil nutrients and enzyme activities in a natural Quercus spp. forest in the Dabie Mountains at different altitudes. It was observed that: (1) There were distinctions between the main soil nutrient contents and soil enzyme activities in the natural Quercus spp. forest at different altitudes. The soil nutrients and their stoichiometric ratios fluctuated at higher altitudes, while the activities of soil enzymes increased. (2) The SOC, TP, and pH were the main drivers of soil enzyme activities along the elevation gradient. Through this study we aimed to clarify the changes in soil nutrients and enzyme activities in natural secondary Quercus spp. forests at different altitudes in the Tianma Nature Reserve. This was undertaken to explain the intrinsic driving forces of soil stoichiometry changes in northern subtropical forests, while providing guidance for ecological forest restoration in the reserve. In future research, we aim to continue to study the changes in soil microbial community structures along the altitudinal gradient, and its impacts on soil nutrients and enzyme activities.
Author Contributions
Conceptualization, H.L.; methodology, C.H.; software, C.H. and H.L.; formal analysis, M.Z. and R.Z.; investigation, R.Z., M.Z. and F.P.; resources, H.L.; data curation, M.Z. and C.F.; writing—original draft preparation, C.H. and M.Z.; writing—review and editing, H.L.; visualization, C.H.; supervision, S.F. All authors have read and agreed to the published version of the manuscript.
Funding
This research was funded by Natural Science Foundation of Anhui Province (grant number 2108085MC110) and Key Research Program of Anhui Provincial Department of Education (grant number KJ2019A0218).
Institutional Review Board Statement
Not applicable.
Informed Consent Statement
Not applicable.
Data Availability Statement
Not applicable.
Acknowledgments
The authors would like to thank Jing Xu and Rui Wang (Anhui Agricultura University) for their support in the collection of field data and soil processing.
Conflicts of Interest
The authors declare no conflict of interest.
References
- Zhang, S.; Pan, Y.; Zhou, Z.; Deng, J.; Zhao, F.; Guo, Y.; Han, X.; Yang, G.; Feng, Y.; Ren, G.; et al. Resource limitation and modeled microbial metabolism along an elevation gradient. Catena 2022, 209, 105807. [Google Scholar] [CrossRef]
- Elser, J.J. Biological stoichiometry from genes to ecosystems: Ideas, plans, and realities. Integr. Comp. Biol. 2002, 42, 1226. [Google Scholar]
- Liu, J.; Chen, J.; Chen, G.; Guo, J.; Li, Y. Enzyme stoichiometry indicates the variation of microbial nutrient requirements at different soil depths in subtropical forests. PLoS One 2020, 15, e0220599. [Google Scholar] [CrossRef]
- Yu, Z.; Wang, M.; Huang, Z.; Lin, T.C.; Vadeboncoeur, M.A.; Searle, E.B.; Chen, H.Y.H. Temporal changes in soil C-N-P stoichiometry over the past 60 years across subtropical China. Glob. Change Biol. 2018, 24, 1308–1320. [Google Scholar] [CrossRef] [PubMed]
- Yan, S.J.; Li, B.Y.; Gao, D.X.; Fu, S.Y.; Lu, Y.F.; Xu, M.P.; Ren, C.J.; Han, X.H. Response of Ecoenzymatic Stoichiometry to Soil Physicochemical Properties after Afforestation on Loess Hilly Region. Eurasian Soil Sci. 2020, 53, 1669–1675. [Google Scholar] [CrossRef]
- Elser, J.J.; Fagan, W.F.; Kerkhoff, A.J.; Swenson, N.G.; Enquist, B.J. Biological stoichiometry of plant production: Metabolism, scaling and ecological response to global change. New Phytol. 2010, 186, 593–608. [Google Scholar] [CrossRef]
- Yang, S.; Feng, C.; Ma, Y.; Wang, W.; Huang, C.; Qi, C.; Fu, S.; Chen, H.Y.H. Transition from N to P limited soil nutrients over time since restoration in degraded subtropical broadleaved mixed forests. For. Ecol. Manag. 2021, 494, 119298. [Google Scholar] [CrossRef]
- Jiang, L.; He, Z.S.; Liu, J.F.; Xing, C.; Gu, X.G.; Wei, C.S.; Zhu, J.; Wang, X.L. Elevation Gradient Altered Soil C, N, and P Stoichiometry of Pinus taiwanensis Forest on Daiyun Mountain. Forests 2019, 10, 1089. [Google Scholar] [CrossRef]
- De Feudis, M.; Cardelli, V.; Massaccesi, L.; Lagomarsino, A.; Fornasier, F.; Westphalen, D.; Cocco, S.; Corti, G.; Agnelli, A. Influence of Altitude on Biochemical Properties of European Beech (Fagus sylvatica L.) Forest Soils. Forests 2017, 8, 213. [Google Scholar] [CrossRef]
- Zhang, Y.; Li, C.; Wang, M.L. Linkages of C: N: P stoichiometry between soil and leaf and their response to climatic factors along altitudinal gradients. J. Soils Sed. 2019, 19, 1820–1829. [Google Scholar] [CrossRef]
- Aerts, R.; van Bodegom, P.M.; Cornelissen, J.H.C. Litter stoichiometric traits of plant species of high-latitude ecosystems show high responsiveness to global change without causing strong variation in litter decomposition. New Phytol. 2012, 196, 181–188. [Google Scholar] [CrossRef]
- Nottingham, A.T.; Turner, B.L.; Whitaker, J.; Ostle, N.J.; McNamara, N.P.; Bardgett, R.D.; Salinas, N.; Meir, P. Soil microbial nutrient constraints along a tropical forest elevation gradient: A belowground test of a biogeochemical paradigm. Biogeosciences 2015, 12, 6071–6083. [Google Scholar] [CrossRef]
- Fang, Z.; Li, D.D.; Jiao, F.; Yao, J.; Du, H.T. The Latitudinal Patterns of Leaf and Soil C:N:P Stoichiometry in the Loess Plateau of China. Front. Plant Sci. 2019, 10, 85. [Google Scholar] [CrossRef] [PubMed]
- Wang, X.X.; Dong, S.K.; Gao, Q.Z.; Zhou, H.K.; Liu, S.L.; Su, X.K.; Li, Y.Y. Effects of short-term and long-term warming on soil nutrients, microbial biomass and enzyme activities in an alpine meadow on the Qinghai-Tibet Plateau of China. Soil Biol. Biochem. 2014, 76, 140–142. [Google Scholar] [CrossRef]
- Hu, C.; Li, F.; Xie, Y.H.; Deng, Z.M.; Chen, X.S. Soil carbon, nitrogen, and phosphorus stoichiometry of three dominant plant communities distributed along a small-;scale elevation gradient in the East Dongting Lake. Phys. Chem. Earth 2018, 103, 28–34. [Google Scholar] [CrossRef]
- He, X.; Hou, E.; Liu, Y.; Wen, D. Altitudinal patterns and controls of plant and soil nutrient concentrations and stoichiometry in subtropical China. Sci. Rep. 2016, 6, 24261. [Google Scholar] [CrossRef] [PubMed]
- Fan, W.; Wang, J.J.; Wang, H.L.; Deng, P.F.; Li, A.Q.; Zhang, S.S.; Xu, X.N. Fine-root chemical traits rather than morphological traits of Chinese fir (Cunninghamia lanceolata (Lamb.) Hook.) plantations vary along an altitudinal gradient in Eastern China. For. Syst. 2022, 31, 4. [Google Scholar] [CrossRef]
- Huang, C.; Wang, Z.C.; Ren, X.L.; Ma, X.M.; Zhou, M.Y.; Ge, X.; Liu, H.; Fu, S.L. Evaluation of Soil Quality in a Composite Pecan Orchard Agroforestry System Based on the Smallest Data Set. Sustainability 2022, 14, 10665. [Google Scholar] [CrossRef]
- Dominguez, M.T.; Holthof, E.; Smith, A.R.; Koller, E.; Emmett, B.A. Contrasting response of summer soil respiration and enzyme activities to long-term warming and drought in a wet shrubland (NE Wales, UK). Appl. Soil Ecol. 2017, 110, 151–155. [Google Scholar] [CrossRef]
- Wang, H.; Wu, J.; Li, G.; Yan, L. Changes in soil carbon fractions and enzyme activities under different vegetation types of the northern Loess Plateau. Ecol. Evol. 2020, 10, 12211–12223. [Google Scholar] [CrossRef]
- Tian, H.Q.; Chen, G.S.; Zhang, C.; Melillo, J.M.; Hall, C.A.S. Pattern and variation of C:N:P ratios in China’s soils: A synthesis of observational data. Biogeochemistry 2010, 98, 139–151. [Google Scholar] [CrossRef]
- Su, Y.Q.; Wu, Z.L.; Xie, P.Y.; Zhang, L.; Chen, H. Warming Effects on Topsoil Organic Carbon and C:N:P Stoichiometry in a Subtropical Forested Landscape. Forests 2020, 11, 66. [Google Scholar] [CrossRef]
- Cheng, M.; An, S.S. Responses of soil nitrogen, phosphorous and organic matter to vegetation succession on the Loess Plateau of China. J. Arid Land 2015, 7, 216–223. [Google Scholar] [CrossRef]
- Tessier, J.T. Vernal photosynthesis and nutrient retranslocation in Dryopteris intermedia. Am. Fern J. 2001, 91, 187–196. [Google Scholar] [CrossRef]
- Lie, Z.; Huang, W.; Liu, X.; Zhou, G.; Yan, J.; Li, Y.; Huang, C.; Wu, T.; Fang, X.; Zhao, M.; et al. Warming leads to more closed nitrogen cycling in nitrogen-rich tropical forests. Glob. Change Biol. 2021, 27, 664–674. [Google Scholar] [CrossRef] [PubMed]
- Cleveland, C.C.; Liptzin, D. C:N:P stoichiometry in soil: Is there a “Redfield ratio” for the microbial biomass? Biogeochemistry 2007, 85, 235–252. [Google Scholar] [CrossRef]
- Hui, D.F.; Yang, X.T.; Deng, Q.; Liu, Q.; Wang, X.; Yang, H.; Ren, H. Soil C:N:P stoichiometry in tropical forests on Hainan Island of China: Spatial and vertical variations. Catena 2021, 201, 105228. [Google Scholar] [CrossRef]
- McClaran, M.P.; Moore-Kucera, J.; Martens, D.A.; van Haren, J.; Marsh, S.E. Soil carbon and nitrogen in relation to shrub size and death in a semi-arid grassland. Geoderma 2008, 145, 60–68. [Google Scholar] [CrossRef]
- Cotrufo, M.F.; Ranalli, M.G.; Haddix, M.L.; Six, J.; Lugato, E. Soil carbon storage informed by particulate and mineral-associated organic matter. Nat. Geosci. 2019, 12, 989–994. [Google Scholar] [CrossRef]
- Jiang, L.Z.; Ushio, M.; Kitayama, K. Changes of soil chemical properties, microbial biomass and enzymatic activities along a gradient of forest degradation in logged over tropical rain forests, Borneo. Plant Soil 2022, 12. [Google Scholar] [CrossRef]
- Kooch, Y.; Mehr, M.A.; Hosseini, S.M. The effect of forest degradation intensity on soil function indicators in northern Iran. Ecol. Indic. 2020, 114, 106324. [Google Scholar] [CrossRef]
- Ndossi, E.M.; Becker, J.N.; Hemp, A.; Dippold, M.A.; Kuzyakov, Y.; Razavi, B.S. Effects of land use and elevation on the functional characteristics of soil enzymes at Mt. Kilimanjaro. Eur. J. Soil Biol. 2020, 97, 103167. [Google Scholar] [CrossRef]
- Cao, R.; Yang, W.Q.; Chang, C.H.; Wang, Z.; Wang, Q.; Li, H.; Tan, B. Differential seasonal changes in soil enzyme activity along an altitudinal gradient in an alpine-gorge region. Appl. Soil Ecol. 2021, 166, 104078. [Google Scholar] [CrossRef]
- Wang, X.F.; Li, J.L.; Xing, G.T.; Mai, S.W.; Liu, W.J.; Jiang, Y.M.; Xu, W.X.; Yang, Q.; Yang, H.; Lu, J.L.; et al. Soil Organic Carbon Distribution, Enzyme Activities, and the Temperature Sensitivity of a Tropical Rainforest in Wuzhishan, Hainan Island. Forests 2022, 13, 1943. [Google Scholar] [CrossRef]
- Jin, K.; Sleutel, S.; Buchan, D.; De Neve, S.; Cai, D.X.; Gabriels, D.; Jin, J.Y. Changes of soil enzyme activities under different tillage practices in the Chinese Loess Plateau. Soil Tillage Res. 2009, 104, 115–120. [Google Scholar] [CrossRef]
- Cao, Y.E.; Wang, Y.; Xu, Z.L. Soil C:P ratio along elevational gradients in Picea schrenkiana forest of Tianshan Mountains. Pol. J. Ecol. 2018, 66, 325–336. [Google Scholar] [CrossRef]
- Zuccarini, P.; Asensio, D.; Ogaya, R.; Sardans, J.; Penuelas, J. Effects of seasonal and decadal warming on soil enzymatic activity in a P-deficient Mediterranean shrubland. Glob. Change Biol. 2020, 26, 3698–3714. [Google Scholar] [CrossRef] [PubMed]
Disclaimer/Publisher’s Note: The statements, opinions and data contained in all publications are solely those of the individual author(s) and contributor(s) and not of MDPI and/or the editor(s). MDPI and/or the editor(s) disclaim responsibility for any injury to people or property resulting from any ideas, methods, instructions or products referred to in the content. |
© 2023 by the authors. Licensee MDPI, Basel, Switzerland. This article is an open access article distributed under the terms and conditions of the Creative Commons Attribution (CC BY) license (https://creativecommons.org/licenses/by/4.0/).





