Distribution of CO2 Concentration and Its Spatial Influencing Indices in Urban Park Green Space
Abstract
1. Introduction
2. Study Area and Methods
2.1. Study Area
2.2. Quantitative Index System Affecting Carbon Concentration Distribution
2.2.1. Selection and Quantification of Spatial Pattern Indices
- Three-dimensional Green Biomass Density
- 2.
- Canopy Density
- 3.
- Cohesion
- 4.
- Green space composition index
2.2.2. Calculation and Analysis of Spatial Indices by Means of Unit Raster Statistics
2.2.3. Microclimate and Physical and Physiological Indices Influencing Carbon Cycle Interaction
2.3. Study Methods
2.3.1. ENVI-Met Dynamic Simulation
2.3.2. BRT Machine Learning Model
2.3.3. ME Curve and Fitted Scatter of the BRT Model
2.3.4. Scatter Analysis of Spatial Pattern Indices and Carbon Cycle Interaction Indices
3. Results
3.1. Spatial and Temporal Distribution of CO2 Concentration
3.1.1. Variation of CO2 Concentration in Green Space
3.1.2. The Hourly Change of PGSs Carbon Sequestration Capacity
3.2. Analysis of Spatial Pattern Indices on the Reduction of Air CO2 Concentration
3.2.1. Contribution Ratio of Spatial Pattern Indices
3.2.2. Marginal Effect of Spatial Structural Indices
3.2.3. Marginal Effect of Spatial Compositional Indices
- The indices describing greenery areas
- 2.
- The indices describing non-greenery areas
3.3. The Influence of Indices Based on Carbon Cycle Interaction Mechanism
3.3.1. Contribution Ratio of Carbon Cycle Interaction Indices
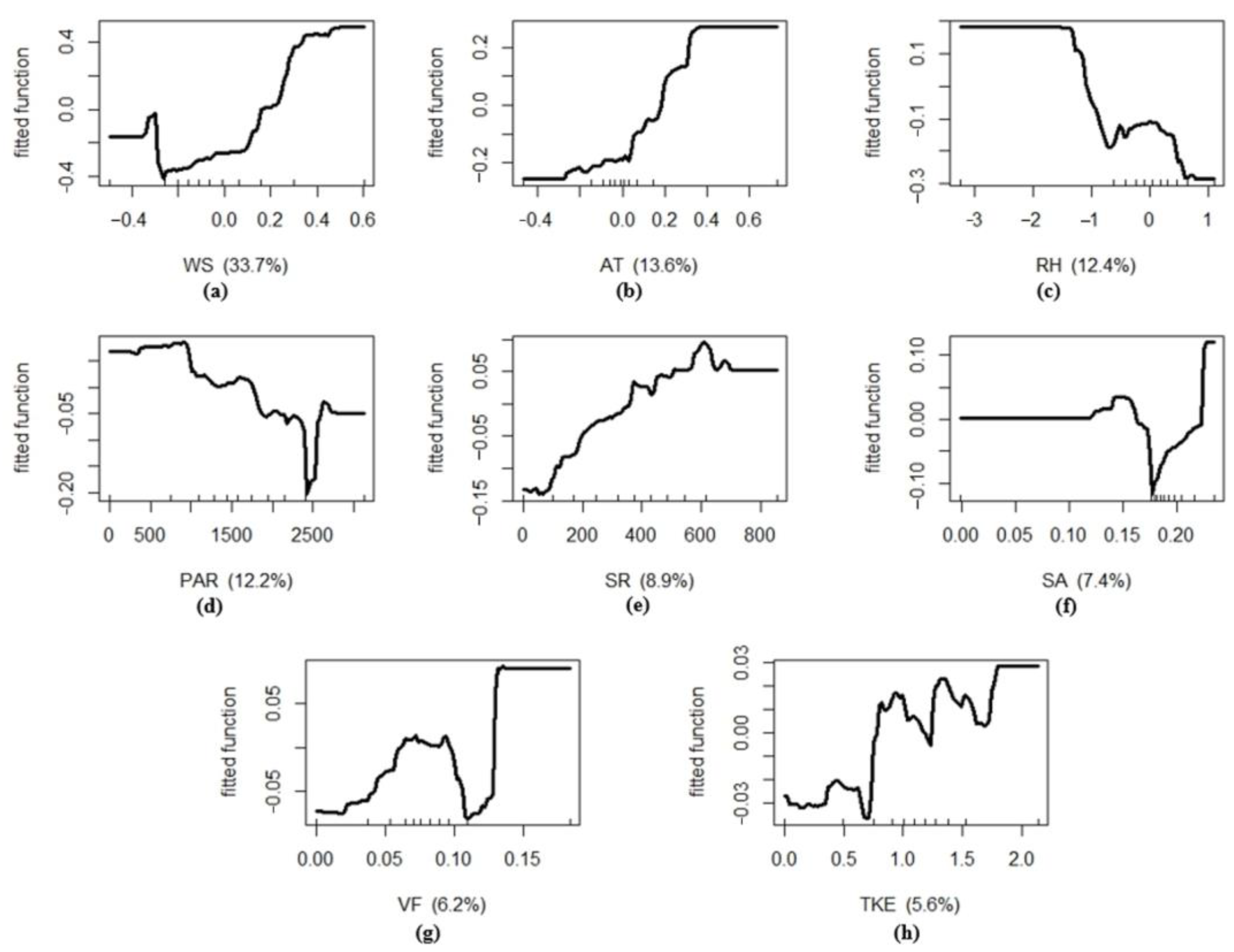
3.3.2. Marginal Effect of Carbon Cycle Interaction Indices
4. Discussion
4.1. Spatial Indices Differences Result in the Distribution of Carbon Cycle Interaction Indices
4.2. Variation of Spatial Indices on CO2 Concentration
4.3. The Interaction of Microclimate and Environment Indices, Physical and Physiological Indices, and CO2 Concentration
4.4. Strategies to Improve the Carbon Sink of Urban Park
4.5. Characteristics and Limitations of the Study
5. Conclusions
Author Contributions
Funding
Data Availability Statement
Conflicts of Interest
Appendix A





References
- IPCC. IPCC Sixth Assessment Report. Available online: https://www.ipcc.ch/reports/ (accessed on 20 March 2023).
- Carretero, E.M.; Moreno, G.; Duplancic, A.; Abud, A.; Vento, B.; Jauregui, J.A. Urban forest of Mendoza (Argentina): The role of Morus alba (Moraceae) in carbon storage. Carbon Manag. 2017, 8, 237–244. [Google Scholar] [CrossRef]
- Velasco, E.; Roth, M.; Norford, L.; Molina, L.T. Does urban vegetation enhance carbon sequestration? Landsc. Urban Plan. 2016, 148, 99–107. [Google Scholar] [CrossRef]
- Dorendorf, J.; Eschenbach, A.; Schmidt, K.; Jensen, K. Both tree and soil carbon need to be quantified for carbon assessments of cities. Urban For. Urban Green. 2015, 14, 447–455. [Google Scholar] [CrossRef]
- Luo, Y.; Zhang, D.; Zhang, L.; Chen, X. Study on selection and collocation of urban greening tree species under dual carbon goal—A case study of Shanghai Expo Park. Landsc. Archit. Acad. J. 2022, 39, 25–32. (In Chinese) [Google Scholar]
- Baraldi, R.; Chieco, C.; Neri, L.; Facini, O.; Rapparini, F.; Morrone, L.; Rotondi, A.; Carriero, G. An integrated study on air mitigation potential of urban vegetation: From a multi-trait approach to modeling. Urban For. Urban Green. 2019, 41, 127–138. [Google Scholar] [CrossRef]
- Baró, F.; Chaparro, L.; Gómez-Baggethun, E.; Langemeyer, J.; Nowak, D.J.; Terradas, J. Contribution of ecosystem services to air quality and climate change mitigation policies: The case of urban forests in Barcelona, Spain. Ambio 2014, 43, 466–479. [Google Scholar] [CrossRef]
- Sun, Y.; Xie, S.; Zhao, S. Valuing urban green spaces in mitigating climate change: A city-wide estimate of aboveground carbon stored in urban green spaces of China’s Capital. Global Chang. Biol. 2019, 25, 1717–1732. [Google Scholar] [CrossRef]
- Zhang, G.; Xing, L.; Zhang, L.; Zhong, Q.; Yi, Y. Summary on the monitoring methods of carbon sequestration in urban green space. Landsc. Archit. Acad. J. 2022, 39, 4–9+49. (In Chinese) [Google Scholar]
- Idso, S.B.; Idso, C.D.; Balling, R.C. Seasonal and diurnal variations of near-surface atmospheric CO2 concentration within a residential sector of the urban CO2 dome of Phoenix, AZ, USA. Atmos. Environ. 2002, 36, 1655–1660. [Google Scholar] [CrossRef]
- Shen, G.; Wang, Z.; Liu, C.; Han, Y. Mapping aboveground biomass and carbon in Shanghai’s urban forest using Landsat ETM+ and inventory data. Urban For. Urban Green. 2020, 51, 126655. [Google Scholar] [CrossRef]
- Sallustio, L.; Quatrini, V.; Geneletti, D.; Corona, P.; Marchetti, M. Assessing land take by urban development and its impact on carbon storage: Findings from two case studies in Italy. Environ. Impact Assess. Rev. 2015, 54, 80–90. [Google Scholar] [CrossRef]
- Zhang, C.; Wang, L.; Song, Q.; Chen, X.; Gao, H.; Wang, X. Biomass carbon stocks and dynamics of forests in Heilongjiang Province from 1973 to 2013. China Environ. Sci. 2018, 38, 4678–4686. [Google Scholar] [CrossRef]
- Tsedeke, R.E.; Dawud, S.M.; Tafere, S.M. Assessment of carbon stock potential of parkland agroforestry practice: The case of Minjar Shenkora; North Shewa, Ethiopia. Environ. Syst. Res. 2021, 10, 1–11. [Google Scholar] [CrossRef]
- Hou, H.; Zhang, S.; Ding, Z.; Wang, Y.; Yang, Y.; Guo, S. Temporal variation of near-surface CO2 concentrations over different land uses in Suzhou City. Environ. Earth Sci. 2016, 75, 1197. [Google Scholar] [CrossRef]
- Pan, C.; Zhu, X.; Wei, N.; Zhu, X.; She, Q.; Jia, W.; Liu, M.; Xiang, W. Spatial variability of daytime CO2 concentration with landscape structure across urbanization gradients, Shanghai, China. Clim. Res. 2016, 69, 107–116. [Google Scholar] [CrossRef]
- Järvi, L.; Havu, M.; Ward, H.C.; Bellucco, V.; McFadden, J.P.; Toivonen, T.; Heikinheimo, V.; Kolari, P.; Riikonen, A.; Grimmond, C.S.B. Spatial Modeling of Local-Scale Biogenic and Anthropogenic Carbon Dioxide Emissions in Helsinki. J. Geophys. Res. Atmos. 2019, 124, 8363–8384. [Google Scholar] [CrossRef]
- Li, Y.; Gao, J.; Dong, S.; Zheng, J.; Jia, X. Study of CO2 emissions from traffic and CO2 sequestration by vegetation based on eddy covariance flux measurements in suburb of Beijing, China. Pol. J. Environ. Stud. 2020, 29, 727–738. [Google Scholar] [CrossRef]
- Hwang, K.; Papuga, S.A. COVID-19 pandemic underscores role of green space in urban carbon dynamics. Sci. Total Environ. 2023, 859, 160249. [Google Scholar] [CrossRef]
- Park, C.; Schade, G.W. Anthropogenic and biogenic features of long-term measured CO2 flux in north downtown Houston, Texas. J. Environ. Qual. 2016, 45, 253–265. [Google Scholar] [CrossRef]
- Salem, M.; Almuzaini, R.; Kishawi, Y. The impact of road transport on CO2 atmospheric concentrations in Gaza City (Palestine), and urban vegetation as a mitigation measure. Pol. J. Environ. Stud. 2017, 26, 2175–2188. [Google Scholar] [CrossRef]
- Ueyama, M.; Ando, T. Diurnal, weekly, seasonal, and spatial variabilities in carbon dioxide flux in different urban landscapes in Sakai, Japan. Atmos. Chem. Phys. 2016, 16, 14727–14740. [Google Scholar] [CrossRef]
- Vaccari, F.P.; Gioli, B.; Toscano, P.; Perrone, C. Carbon dioxide balance assessment of the city of Florence (Italy), and implications for urban planning. Landsc. Urban Plan. 2013, 120, 138–146. [Google Scholar] [CrossRef]
- Sage, R.F.; Kubien, D.S. The temperature response of C3 and C4 photosynthesis. Plant Cell Environ. 2007, 30, 1086–1106. [Google Scholar] [CrossRef] [PubMed]
- Salvucci, M.E.; Crafts-Brandner, S.J. Mechanism for deactivation of Rubisco under moderate heat stress. Physiol. Plant. 2004, 122, 513–519. [Google Scholar] [CrossRef]
- Meili, N.; Manoli, G.; Burlando, P.; Carmeliet, J.; Chow, W.T.; Coutts, A.M.; Roth, M.; Velasco, E.; Vivoni, E.R.; Fatichi, S. Tree effects on urban microclimate: Diurnal, seasonal, and climatic temperature differences explained by separating radiation, evapotranspiration, and roughness effects. Urban For. Urban Green. 2021, 58, 126970. [Google Scholar] [CrossRef]
- Mitchell, L.E.; Lin, J.C.; Bowling, D.R.; Pataki, D.E.; Strong, C.; Schauer, A.J.; Bares, R.; Bush, S.E.; Stephens, B.B.; Mendoza, D.; et al. Long-term urban carbon dioxide observations reveal spatial and temporal dynamics related to urban characteristics and growth. Proc. Natl. Acad. Sci. USA 2018, 115, 2912–2917. [Google Scholar] [CrossRef]
- Ward, H.; Kotthaus, S.; Grimmond, C.; Bjorkegren, A.; Wilkinson, M.; Morrison, W.; Evans, J.; Morison, J.; Iamarino, M. Effects of urban density on carbon dioxide exchanges: Observations of dense urban, suburban and woodland areas of southern England. Environ. Pollut. 2015, 198, 186–200. [Google Scholar] [CrossRef]
- He, C.; Li, J.; Guo, M.; Wang, Y.; Chen, C. Changes of leaf photosynthetic characteristics and water use efficiency along tree height of 4 tree species. Acta Ecol. Sin. 2008, 28, 3008–3016. (In Chinese) [Google Scholar]
- Zhu, X.-H.; Lu, K.-F.; Peng, Z.-R.; He, H.-D.; Xu, S.-Q. Spatiotemporal variations of carbon dioxide (CO2) at urban neighborhood scale: Characterization of distribution patterns and contributions of emission sources. Sustain. Cities Soc. 2022, 78, 103646. [Google Scholar] [CrossRef]
- Prentice, I.C.; Dong, N.; Gleason, S.M.; Maire, V.; Wright, I.J. Balancing the costs of carbon gain and water transport: Testing a new theoretical framework for plant functional ecology. Ecol. Lett. 2014, 17, 82–91. [Google Scholar] [CrossRef]
- Xiong, D.; Yu, T.; Zhang, T.; Li, Y.; Peng, S.; Huang, J. Leaf hydraulic conductance is coordinated with leaf morpho-anatomical traits and nitrogen status in the genus Oryza. J. Exp. Bot. 2015, 66, 741–748. [Google Scholar] [CrossRef]
- Wang, L.; Hu, Y.; Qin, J.; Gao, K.; Huang, J. Carbon fixation and oxygen production of 151 plants in Shanghai. J. Huazhong Agric. Univ. 2007, 26, 399–401. (In Chinese) [Google Scholar] [CrossRef]
- Anderson, M.C.; Kustas, W.P.; Norman, J.M. Upscaling and downscaling—a regional view of the soil-plant-atmosphere continuum. Agron. J. 2003, 95, 1408–1423. [Google Scholar] [CrossRef]
- Shao, Y.; Li, J.; Li, E.; Zhuang, J. Photosynthetic and transpiration characteristics of eight deciduos broad-leaved trees in summer in Shanghai. J. Northwest For. Univ. 2015, 30, 30–38. (In Chinese) [Google Scholar] [CrossRef]
- Xu, X.; Fang, J.; Zhang, Y. Analysis and research progress on the carbon fixation capacity of garden green space. J. Anhui Agric. Sci. 2017, 45, 58–62. [Google Scholar] [CrossRef]
- Xue, H.; Tang, H.; Li, Y.; Li, X.; Guo, J.; Ma, J. Regulation service of main greening tree soecies in Beijing. J. Beijing Norm. Univ. Nat. Sci. 2018, 54, 517–524. (In Chinese) [Google Scholar] [CrossRef]
- Zhang, J.; Shi, Y.; Zhu, Y.; Liu, E.; Li, M.; Zhou, J.; Li, J. The photosynthetic carbon fixation characteristics of common tree species in northern Zhejiang. Acta Ecol. Sin. 2013, 33, 1740–1750. (In Chinese) [Google Scholar] [CrossRef]
- Wang, Z. Research on vegetation quantity and carbon-fixing and oxygen-releasing effects of Fuzhou botanical garden. Chin. Landsc. Archit. 2010, 26, 1–6. (In Chinese) [Google Scholar] [CrossRef]
- Godwin, C.; Chen, G.; Singh, K.K. The impact of urban residential development patterns on forest carbon density: An integration of LiDAR, aerial photography and field mensuration. Landsc. Urban Plan. 2015, 136, 97–109. [Google Scholar] [CrossRef]
- Liu, M.; Zhu, X.; Pan, C.; Chen, L.; Zhang, H.; Jia, W.; Xiang, W. Spatial variation of near-surface CO2 concentration during spring in Shanghai. Atmos. Pollut. Res. 2016, 7, 31–39. [Google Scholar] [CrossRef]
- Yin, L.; Hang, T.; Xu, Y. Research on carbon sink performance of blue-green landscape spaces in the Wuhan garden expo park. S. Archit. 2020, 3, 41–48. (In Chinese) [Google Scholar] [CrossRef]
- Fan, Y.; Wei, F. Contributions of natural carbon sink capacity and carbon neutrality in the context of net-zero carbon cities: A case study of Hangzhou. Sustainability 2022, 14, 2680. [Google Scholar] [CrossRef]
- Wang, M.; Zhu, W. The impact of urban green space on carbon neutrality and spatial characteristics: A case study of Huangpu district in Shanghai. Landsc. Archit. Acad. J. 2021, 38, 11–18. (In Chinese) [Google Scholar] [CrossRef]
- Zhao, Y.; Kan, L.; Che, S. A preliminary study about common garden plants’ effect of carbon fixation and oxygen release in Shanghai’s community and optimal arrangement. J. Shanghai Jiaotong Univ. Agric. Sci. 2014, 32, 45–53. [Google Scholar] [CrossRef]
- Gao, Y.; Lee, X.; Liu, S.; Hu, N.; Wei, X.; Hu, C.; Liu, C.; Zhang, Z.; Yang, Y. Spatiotemporal variability of the near-surface CO2 concentration across an industrial-urban-rural transect, Nanjing, China. Sci. Total Environ. 2018, 631–632, 1192–1200. [Google Scholar] [CrossRef]
- Hutyra, L.R.; Duren, R.; Gurney, K.R.; Grimm, N.; Kort, E.A.; Larson, E.; Shrestha, G. Urbanization and the carbon cycle: Current capabilities and research outlook from the natural sciences perspective. Earth’s Future 2014, 2, 473–495. [Google Scholar] [CrossRef]
- Zhou, H.; Tao, G.; Yan, X.; Sun, J.; Wu, Y. A review of research on the urban thermal environment effects of green quantity. Chin. J. Appl. Ecol. 2020, 31, 2804–2816. (In Chinese) [Google Scholar] [CrossRef]
- Zhou, J.; Sun, T. Study on remote sensing model of three-dimensional green biomass and the estimation of environmental benefits of greenery. Remote Sens. Environ. 1995, 10, 162–174. [Google Scholar] [CrossRef]
- Yang, Y.; Hu, X.; Jin, X.; Yang, C.; Su, D. The influence of three-dimensional green biomass spatial distribution on cooling and humidifying effect of plant community in summer: Taking the park green space of Huaihua City as an example. J. Hunan Agric. Univ. Nat. Sci. 2022, 48, 181–189. (In Chinese) [Google Scholar] [CrossRef]
- Wang, X.; Teng, M.; Huang, C.; Zhou, Z.; Chen, X.; Xiang, Y. Canopy density effects on particulate matter attenuation coefficients in street canyons during summer in the Wuhan metropolitan area. Atmos. Environ. 2020, 240, 117739. [Google Scholar] [CrossRef]
- Fiala, A.C.S.; Garman, S.L.; Gray, A.N. Comparison of five canopy cover estimation techniques in the western Oregon Cascades. For. Ecol. Manag. 2006, 232, 188–197. [Google Scholar] [CrossRef]
- Chen, M.; Dai, F. The influence of urban green spaces on thermal environment based on morphological spatial pattern analysis. Ecol. Environ. Sci. 2021, 30, 125–134. [Google Scholar] [CrossRef]
- Jiang, Y.; Huang, J. Quantitative analysis of mitigation effect of urban blue-green spaces on urban heat island. Resour. Environ. Yangtze Basin 2022, 31, 2060–2072. (In Chinese) [Google Scholar]
- Cui, Y.; Dong, B.; Wei, H.; Xu, W.; Yang, F.; Peng, L.; Fang, L.; Wang, Y. Granularity effect of landscape index at the county scale. J. Zhejiang AF Univ. 2020, 37, 778–786. (In Chinese) [Google Scholar] [CrossRef]
- Meng, N.; Han, B.; Wang, H.; Lu, F.; Xu, C.; Ouyang, Z. Study on the evolution of urban ecosystem patterns in Macao. Acta Ecol. Sin. 2018, 38, 6442–6451. (In Chinese) [Google Scholar] [CrossRef]
- Zhu, M.; Pu, L.; Li, J. Effects of varied remote sensor spatial resolution and grain size on urban landscape pattern analysis. Acta Ecol. Sin. 2008, 28, 2753–2763. (In Chinese) [Google Scholar] [CrossRef]
- Li, Y.-H.; Wang, J.-J.; Chen, X.; Sun, J.-L.; Zeng, H. Effects of green space vegetation canopy pattern on the microclimate in residential quarters of Shenzhen City. Chin. J. Appl. Ecol. 2011, 22, 343–349. (In Chinese) [Google Scholar] [CrossRef]
- WeatherUnderground. Meteorological Data from the Meteorological Station of Shanghai Hongqiao Airport on June 21, 2022. Available online: https://www.wunderground.com (accessed on 21 June 2022).
- Yang, C.; Wang, Y. Vegetation arrangement of the recreational lawn space of urban park in Shanghai. J. Shanghai Jiaotong Univ. Agric. Sci. 2012, 30, 28–33. (In Chinese) [Google Scholar] [CrossRef]
- Jiang, Y.; Han, X.; Shi, T.; Song, D. Microclimatic impact analysis of multi-dimensional indicators of streetscape fabric in the medium spatial zone. Int. J. Environ. Res. Public Health 2019, 16, 952. [Google Scholar] [CrossRef]
- Jiang, Y.; Huang, J.; Shi, T.; Li, X. Cooling island effect of blue-green corridors: Quantitative comparison of morphological impacts. Int. J. Environ. Res. Public Health 2021, 18, 11917. [Google Scholar] [CrossRef]
- Tsoka, S.; Tsikaloudaki, A.; Theodosiou, T. Analyzing the ENVI-met microclimate model’s performance and assessing cool materials and urban vegetation applications–A review. Sustain. Cities Soc. 2018, 43, 55–76. [Google Scholar] [CrossRef]
- Zhu, Y.; Xie, W.; Huang, H. Modeling sensible flux and latene flux in Heihe and boreal forests based on a 3D ENVI-met model. J. Zhejiang AF Univ. 2018, 35, 440–452. [Google Scholar] [CrossRef]
- Chai, T.; Draxler, R.R. Root mean square error (RMSE) or mean absolute error (MAE)?—Arguments against avoiding RMSE in the literature. Geosci. Model Dev. 2014, 7, 1247–1250. [Google Scholar] [CrossRef]
- Elith, J.; Leathwick, J.R.; Hastie, T. A working guide to boosted regression trees. J. Anim. Ecol. 2008, 77, 802–813. [Google Scholar] [CrossRef]
- Feng, Y.; Feng, H. TM data retrieval and analysis of Beijing area surface albedo. Sci. Surv. Mapp. 2012, 37, 164–166. [Google Scholar] [CrossRef]
- Hao, W.; Yu, H.; Wang, H.; Zhou, C.; Zhang, F.; Tian, Y.; Jia, X.; Zha, T. Dynamics of surface albedo and its controlling factors in Beijing Olympic Forest Park. Chin. J. Ecol. 2019, 38, 427–435. [Google Scholar] [CrossRef]












| Method | Data and Model Used | Empirical Study | Study Scale |
|---|---|---|---|
| Remote sensing modeling | By making correlations between the remote sensing datasets and the in situ measured plots. Transfer functions were used to calculate the carbon density of urban green vegetation areas. Models such as i-Tree Landscape, InVEST, etc. were used to estimate carbon sink indices in sample plots. | [8,12] | Cities and urban neighborhoods |
| Sample plot inventory | By using forest inventory data, biomass conversion indices and other parameters. | [13] | City clusters |
| By using tree species-specific allometric equations or standard wood method to estimate the average biomass in the sample plots. | [14] | Urban areas | |
| Microclimate observation and dynamic simulation | By using eddy covariance method, mobile measurements or ENVI-met dynamic simulation. | [11,15] | Urban areas or urban neighborhoods |
| Number | Park Name | Location | Area | Greenery Area Ratio | Waterbody Area Ratio |
|---|---|---|---|---|---|
| Block 1 | Fuxing Park | Huangpu District | 8.23 ha | 68.53% | 3.14% |
| Block 2 | Ganjue Park | Yanzhong Greenbelt, Huangpu District | 3.14 ha | 69.51% | 2.13% |
| Block 3 | Ziran Park | 9.96 ha | 69.60% | 4.82% | |
| Block 4 | Dizhi Park | 4.47 ha | 68.65% | 2.07% | |
| Block 5 | Shanghai People’s Park | Huangpu District | 11.26 ha | 66.98% | 2.38% |
| Block 6 | Jing’an Sculpture Park | Jing’an District | 8.81 ha | 67.41% | 3.63% |
| First Level Variables | Second Level Variables | Definition and Description |
|---|---|---|
| Spatial structural variables | Green biomass (Gb) | The volume of space occupied by the stems and leaves of all growing plants per square meter |
| Canopy density (CanopyD) | The ratio of the total projected area of the canopy of the tree to the total area of the ground in direct sunlight within a single grid | |
| Cohesion (Co) | Reflect the aggregation and dispersion of patches in landscape | |
| Spatial compositional variables | Arboreal area ratio (Ar) | The percentage of arbor tree area per unit of space |
| Shrub area ratio (Sr) | The percentage of shrub area per unit of space | |
| Herbs area ratio (Hr) | The percentage of grassland area per unit of space | |
| Parkway area ratio (Pr) | The percentage of roads or trails area per unit of space | |
| Open land area ratio (Or) | The percentage of entrance space, open space or building area per unit of space | |
| Waterbody area ration (Wr) | The percentage of waterbody area per unit of space |
| First Level Variables | Second Level Variable | Definition and Description |
|---|---|---|
| Microclimate and environmental variables | Air temperature (AT) | Physical quantity that shows the heat in the air comes mainly from solar radiation |
| Relative humidity (RH) | Vapor pressure in the air as a percentage of saturated vapor pressure | |
| Wind speed (WS) | The speed at which air moves with respect to a fixed point | |
| Surface albedo (SA) | The ratio of the surface reflection flux to the incident solar radiation flux on the surface of the green space | |
| Physical and physiological variables | Photosynthetically active radiation (PAR) | The spectral component of solar radiation that is effective for plant photosynthesis |
| Turbulent kinetic energy (TKE) | Turbulent kinetic energy is a variable in micrometeorology that signifies the strength of turbulence and relates to the transport of properties such as atmospheric momentum, heat, and temperature. | |
| Vapor flux (VF) | The amount of water vapor emitted to the air per unit of plant surface area per unit of time | |
| Stomatal resistance (SR) | The force that prevents the diffusion of water vapor from mesophyll cells into the atmosphere |
| Input Category and Parameter | Parameter Value | |
|---|---|---|
| Modelling parameter | Roughness | 0.01 |
| Grid settings (dx, dy, dz) | 2 × 2 × 3 m | |
| Configuration file setting | Temperature range | 17–28 °C |
| Humidity range | 45%–75% | |
| Wind speed | 2.5 m/s | |
| Wind direction | 135° (from the west) | |
| Grass | 0.05 m | |
| Shrub | 0.5 m | |
| Soil | Sandy loam | |
| Silty clay loam | ||
| Sandy clay Clay loam | ||
| Tree species | Platanus | |
| Robinia | ||
| Cinnamomum | ||
| Privet | ||
| Metasequoia | ||
| Variables | Relative Importance |
|---|---|
| Gb | 19.43845 |
| Ar | 18.90343 |
| Pr | 13.13074 |
| Hr | 12.14075 |
| Co | 11.60479 |
| CanopyD | 11.35517 |
| Or | 10.03387 |
| Sr | 2.860833 |
| Wr | 0.53196 |
| Variables | Relative Importance |
|---|---|
| WS | 33.708489 |
| AT | 13.568514 |
| RH | 12.444912 |
| PAR | 12.151631 |
| SR | 8.907569 |
| SA | 7.399879 |
| VF | 6.179451 |
| TKE | 5.639555 |
Disclaimer/Publisher’s Note: The statements, opinions and data contained in all publications are solely those of the individual author(s) and contributor(s) and not of MDPI and/or the editor(s). MDPI and/or the editor(s) disclaim responsibility for any injury to people or property resulting from any ideas, methods, instructions or products referred to in the content. |
© 2023 by the authors. Licensee MDPI, Basel, Switzerland. This article is an open access article distributed under the terms and conditions of the Creative Commons Attribution (CC BY) license (https://creativecommons.org/licenses/by/4.0/).
Share and Cite
Jiang, Y.; Liu, Y.; Sun, Y.; Li, X. Distribution of CO2 Concentration and Its Spatial Influencing Indices in Urban Park Green Space. Forests 2023, 14, 1396. https://doi.org/10.3390/f14071396
Jiang Y, Liu Y, Sun Y, Li X. Distribution of CO2 Concentration and Its Spatial Influencing Indices in Urban Park Green Space. Forests. 2023; 14(7):1396. https://doi.org/10.3390/f14071396
Chicago/Turabian StyleJiang, Yunfang, Yangqi Liu, Yingchao Sun, and Xianghua Li. 2023. "Distribution of CO2 Concentration and Its Spatial Influencing Indices in Urban Park Green Space" Forests 14, no. 7: 1396. https://doi.org/10.3390/f14071396
APA StyleJiang, Y., Liu, Y., Sun, Y., & Li, X. (2023). Distribution of CO2 Concentration and Its Spatial Influencing Indices in Urban Park Green Space. Forests, 14(7), 1396. https://doi.org/10.3390/f14071396

