Analysis of Slope Stability with Different Vegetation Types under the Influence of Rainfall
Abstract
:1. Introduction
2. Materials and Methods
2.1. Study Area
2.2. Field Sampling
2.3. Laboratory Analyses
2.4. Slope Stability Modeling
2.5. Statistical Analysis
3. Results
3.1. Soil Properties
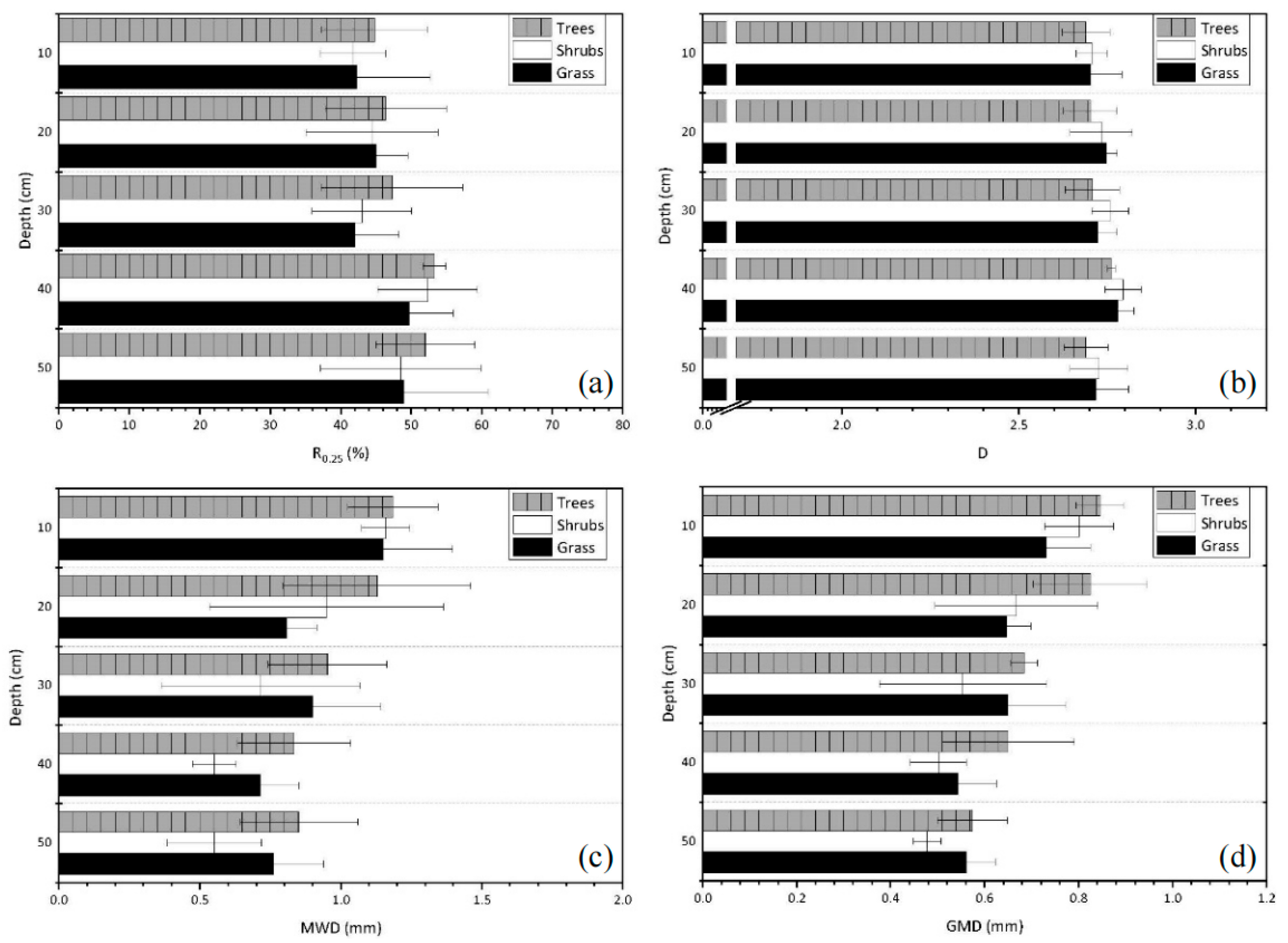
3.2. Water-Stable Aggregates
3.3. Slope Stability Analysis under the Influence of Rainfall
4. Discussion
4.1. Hydromechanical Characteristics of Soils with Different Vegetation Types
4.2. Effects of Different Vegetation on Water-Stable Aggregates
4.3. Response of Slope Stability with Different Vegetation to Rainfall
5. Conclusions
Author Contributions
Funding
Conflicts of Interest
References
- Keefer, D.K.; Larsen, M.C. Assessing Landslide Hazards. Science 2007, 316, 1136–1138. [Google Scholar] [CrossRef] [PubMed]
- Stokes, A.; Douglas, G.B.; Fourcaud, T.; Giadrossich, F.; Gillies, C.; Hubble, T.; Kim, J.H.; Loades, K.W.; Mao, Z.; McIvor, I.R.; et al. Ecological mitigation of hillslope instability: Ten key issues facing researchers and practitioners. Plant Soil 2014, 377, 1–23. [Google Scholar] [CrossRef]
- Hong, Y.; Adler, R.; Huffman, G. Use of satellite remote sensing data in the mapping of global landslide susceptibility. Nat. Hazards 2007, 43, 245–256. [Google Scholar] [CrossRef]
- Kim, J.H.; Fourcaud, T.; Jourdan, C.; Maeght, J.-L.; Mao, Z.; Metayer, J.; Meylan, L.; Pierret, A.; Rapidel, B.; Roupsard, O.; et al. Vegetation as a driver of temporal variations in slope stability: The impact of hydrological processes. Geophys. Res. Lett. 2017, 44, 4897–4907. [Google Scholar] [CrossRef]
- Bordoni, M.; Meisina, C.; Valentino, R.; Lu, N.; Bittelli, M.; Chersich, S. Hydrological factors affecting rainfall-induced shallow landslides: From the field monitoring to a simplified slope stability analysis. Eng. Geol. 2015, 193, 19–37. [Google Scholar] [CrossRef]
- Lu, N.; Godt, J.W. Hillslope Hydrology and Stability; Cambridge University Press: Cambridge, UK, 2013. [Google Scholar]
- Vanapalli, S.K.; Fredlund, D.G.; Pufahl, D.E.; Clifton, A.W. Model for the prediction of shear strength with respect to soil suction. Can. Geotech. J. 1996, 33, 379–392. [Google Scholar] [CrossRef]
- Carminati, A.; Moradi, A.B.; Vetterlein, D.; Vontobel, P.; Lehmann, E.; Weller, U.; Vogel, H.-J.; Oswald, S.E. Dynamics of soil water content in the rhizosphere. Plant Soil 2010, 332, 163–176. [Google Scholar] [CrossRef]
- Delage, P.; Boldrin, D.; Leung, A.K.; Bengough, A.G.; Cui, Y.J.; Ghabezloo, S.; Pereira, J.M.; Tang, A.M. Desirable leaf traits for hydrological reinforcement of soil. E3S Web Conf. 2016, 9, 12006. [Google Scholar]
- Boldrin, D.; Leung, A.K.; Bengough, A.G. Correlating hydrologic reinforcement of vegetated soil with plant traits during establishment of woody perennials. Plant Soil 2017, 416, 437–451. [Google Scholar] [CrossRef]
- Boldrin, D.; Leung, A.K.; Bengough, A.G. Hydrologic reinforcement induced by contrasting woody species during summer and winter. Plant Soil 2018, 427, 369–390. [Google Scholar] [CrossRef]
- Li, J.; Wang, X.; Jia, H.; Liu, Y.; Zhao, Y.; Shi, C.; Zhang, F.; Wang, K. Assessing the soil moisture effects of planted vegetation on slope stability in shallow landslide-prone areas. J. Soils Sediments 2021, 21, 2551–2565. [Google Scholar] [CrossRef]
- Wang, S.; Meng, X.; Chen, G.; Guo, P.; Xiong, M.; Zeng, R. Effects of vegetation on debris flow mitigation: A case study from Gansu province, China. Geomorphology 2017, 282, 64–73. [Google Scholar] [CrossRef]
- Wang, X.; Hong, M.-M.; Huang, Z.; Zhao, Y.-F.; Ou, Y.-S.; Jia, H.-X.; Li, J. Biomechanical properties of plant root systems and their ability to stabilize slopes in geohazard-prone regions. Soil Tillage Res. 2019, 189, 148–157. [Google Scholar] [CrossRef]
- Fan, C.-C.; Su, C.-F. Role of roots in the shear strength of root-reinforced soils with high moisture content. Ecol. Eng. 2008, 33, 157–166. [Google Scholar] [CrossRef]
- Phan, T.N.; Likitlersuang, S.; Kamchoom, V.; Leung, A.K. Root biomechanical properties of Chrysopogon zizanioides and Chrysopogon nemoralis for soil reinforcement and slope stabilisation. Land Degrad. Dev. 2021, 32, 4624–4636. [Google Scholar] [CrossRef]
- Wu, Z.; Leung, A.K.; Boldrin, D.; Ganesan, S.P. Variability in root biomechanics of Chrysopogon zizanioides for soil eco-engineering solutions. Sci. Total Environ. 2021, 776, 145943. [Google Scholar] [CrossRef]
- Badhon, F.F.; Islam, M.S.; Islam, A.; Arif, Z.U. A simple approach for estimating contribution of vetiver roots in shear strength of a soil–root system. Innov. Infrastruct. Solut. 2021, 6, 96. [Google Scholar] [CrossRef]
- Wu, T.H.; McKinnell, W.P., III; Swanston, D.N. Strength of tree roots and landslides on Prince of Wales Island, Alaska. Can. Geotech. J. 1979, 16, 19–33. [Google Scholar] [CrossRef]
- Pollen, N.; Simon, A. Estimating the mechanical effects of riparian vegetation on stream bank stability using a fiber bundle model. Water Resour. Res. 2005, 41, 226–244. [Google Scholar] [CrossRef]
- Schwarz, M.; Lehmann, P.; Or, D. Quantifying lateral root reinforcement in steep slopes—From a bundle of roots to tree stands. Earth Surf. Process. Landf. 2010, 35, 354–367. [Google Scholar] [CrossRef]
- Arnone, E.; Caracciolo, D.; Noto, L.V.; Preti, F.; Bras, R.L. Modeling the hydrological and mechanical effect of roots on shallow landslides. Water Resour. Res. 2016, 52, 8590–8612. [Google Scholar] [CrossRef]
- DDas, G.K.; Hazra, B.; Garg, A.; Ng, C.W.W. Stochastic hydro-mechanical stability of vegetated slopes: An integrated copula based framework. Catena 2018, 160, 124–133. [Google Scholar] [CrossRef]
- Zhu, H.; Zhang, L. Evaluating suction profile in a vegetated slope considering uncertainty in transpiration. Comput. Geotech. 2015, 63, 112–120. [Google Scholar] [CrossRef]
- Wang, X.; Huang, Z.; Hong, M.M.; Zhao, Y.F.; Ou, Y.S.; Zhang, J. A comparison of the effects of natural vegetation regrowth with a plantation scheme on soil structure in a geological hazard-prone region. Eur. J. Soil Sci. 2019, 70, 674–685. [Google Scholar] [CrossRef]
- Zobeck, T.M. Rapid soil particle size analyses using laser diffraction. Appl. Eng. Agric. 2004, 20, 633–639. [Google Scholar] [CrossRef]
- Marques, J.J.; Schulze, D.G.; Curi, N.; Mertzman, S.A. Major element geochemistry and geomorphic relationships in Brazilian Cerrado soils. Geoderma 2004, 119, 179–195. [Google Scholar] [CrossRef]
- Six, J.; Elliott, E.; Paustian, K.; Doran, J. Aggregation and soil organic matter accumulation in cultivated and native grassland soils. Soil Sci. Soc. Am. J. 1998, 62, 1367–1377. [Google Scholar] [CrossRef]
- Puget, P.; Chenu, C.; Balesdent, J. Dynamics of soil organic matter associated with particle-size fractions of water-stable aggregates. Eur. J. Soil Sci. 2000, 51, 595–605. [Google Scholar] [CrossRef]
- van Genuchten, M.T. A closed-form equation for predicting the hydraulic conductivity of unsaturated soils. Soil Sci. Soc. Am. J. 1980, 44, 892–898. [Google Scholar] [CrossRef]
- Ren, X.; Kang, J.; Ren, J.; Chen, X.; Zhang, M. A method for estimating soil water characteristic curve with limited experimental data. Geoderma 2020, 360, 114013. [Google Scholar] [CrossRef]
- Arshad, M.A.; Lowery, B.; Grossman, B. Physical Tests for Monitoring Soil Quality. Methods Assess. Soil Qual. 1997, 49, 123–141. [Google Scholar]
- Klute, A.; Fritschedanielson, R.; Sutherland, P.; Blake, G.; Hartge, K.; Bradford, J.; Bower, G.H.; Gee, G.W.; Bauder, J.; Gee, D.G. Methods of Soil Analysis. Part 1. Physical and Mineralogical Methods; Part 2. Chemical and Microbiological Properties; American Society of Agronomy, Inc.: Madison, WI, USA, 1986; Volume 146, pp. 413–423. [Google Scholar]
- Lu, N.; Likos, W.J. Suction stress characteristic curve for unsaturated soil. J. Geotech. Geoenviron. 2006, 132, 131–142. [Google Scholar] [CrossRef]
- Lin, D.-G.; Huang, B.-S.; Lin, S.-H. 3-D numerical investigations into the shear strength of the soil–root system of Makino bamboo and its effect on slope stability. Ecol. Eng. 2010, 36, 992–1006. [Google Scholar] [CrossRef]
- Gonzalez-Ollauri, A.; Mickovski, S.B. Plant-soil reinforcement response under different soil hydrological regimes. Geoderma 2017, 285, 141–150. [Google Scholar] [CrossRef]
- Agriculture, E.A.J. Soil Aggregate Stability: A Review. J. Sustain. Agric. 1999, 14, 83–151. [Google Scholar]
- Beare, M.H.; Bruce, R.R. A comparison of methods for measuring water-stable aggregates: Implications for determining environmental effects on soil structure. In Soil Structure/Soil Biota Interrelationships; Elsevier: Amsterdam, The Netherlands, 1993; pp. 87–104. [Google Scholar]
- Zhao, D.; Xu, M.; Liu, G.; Ma, L.; Zhang, S.; Xiao, T.; Peng, G. Effect of vegetation type on microstructure of soil aggregates on the Loess Plateau, China. Agric. Ecosyst. Environ. 2017, 242, 1–8. [Google Scholar] [CrossRef]
- Shao, W.; Bogaard, T.; Bakker, M.J.P.E.; Science, P. How to use COMSOL multiphysics for coupled dual-permeability hydrological and slope stability modeling. Procedia Earth Planet. Sci. 2014, 9, 83–90. [Google Scholar] [CrossRef]
- Are, K.S.; Oluwatosin, G.A.; Adeyolanu, O.D.; Oke, A.O. Slash and burn effect on soil quality of an Alfisol: Soil physical properties. Soil Tillage Res. 2009, 103, 4–10. [Google Scholar] [CrossRef]
- Sattler, K.; Elwood, D.; Hendry, M.T.; Huntley, D.; Holmes, J.; Wilkinson, P.B.; Chambers, J.; Donohue, S.; Meldrum, P.I.; Macciotta, R.; et al. Quantifying the contribution of matric suction on changes in stability and displacement rate of a translational landslide in glaciolacustrine clay. Landslides 2021, 18, 1675–1689. [Google Scholar] [CrossRef]
- Zambon, N.; Johannsen, L.L.; Strauss, P.; Dostal, T.; Zumr, D.; Cochrane, T.A.; Klik, A.J.C. Splash erosion affected by initial soil moisture and surface conditions under simulated rainfall. Catena 2021, 196, 104827. [Google Scholar] [CrossRef]
- Asensio, V.; Vega, F.A.; Andrade, M.L.; Covelo, E.F. Tree vegetation and waste amendments to improve the physical condition of copper mine soils. Chemosphere 2013, 90, 603–610. [Google Scholar] [CrossRef]
- Yamashita, T.; Flessa, H.; John, B.; Helfrich, M.; Ludwig, B. Organic matter in density fractions of water-stable aggregates in silty soils: Effect of land use. Soil Biol. Biochem. 2006, 38, 3222–3234. [Google Scholar] [CrossRef]
- Alsubal, S.; bin Sapari, N.; Harahap, I.S.H.; Al-Bared, M.A.M. A Review on Mechanism of Rainwater in Triggering Landslide. IOP Conf. Ser. Mater. Sci. Eng. 2018, 513, 012009. [Google Scholar] [CrossRef]
- Paez-Bimos, S.; Villacis, M.; Morales, O.; Calispa, M.; Molina, A.; Salgado, S.; de Bievre, B.; Delmelle, P.; Munoz, T.; Vanacker, V. Vegetation effects on soil pore structure and hydraulic properties in volcanic ash soils of the high Andes. Hydrol. Process. 2022, 36, e14678. [Google Scholar] [CrossRef]








| Site | Species | H (m) | c (kPa) | φ (°) | Permeability | α | n | θr |
|---|---|---|---|---|---|---|---|---|
| BL2008 | — | 1045 | 21.35 ± 1.7 b | 30.7 ± 1.5 b | ||||
| Trees | Olea europium L. | 1062 | 31.52 ± 8.08 ab | 34.47 ± 1.40 a | 48 cm/d | 0.09 | 2.59 | 14.98 |
| Shrubs | Punica granatum | 1059 | 36.13 ± 4.20 a | 27.72 ± 0.38 c | 20 cm/d | 0.08 | 2.03 | 13.24 |
| Grass | Avena fatua L. | 1057 | 29.21 ± 5.26 ab | 25.37 ± 0.71 d | 20 cm/d | 0.08 | 2.43 | 13.52 |
| Soil Parameters | Trees | Shrubs | Grass |
|---|---|---|---|
| SOC (g kg−1) | 3.50 ± 0.39 | 3.26 ± 0.73 | 3.48 ± 0.26 |
| pH | 8.39 ± 0.26 a | 8.00 ± 0.04 b | 8.07 ± 0.07 a |
| BD (g cm−3) | 1.38 ± 0.19 | 1.38 ± 0.11 | 1.32 ± 0.09 |
| TP (% v/v) | 46.41 ± 7.12 | 44.19 ± 2.69 | 45.03 ± 5.03 |
| Sand (% w/w) | 52.97 ± 7.60 | 46.74 ± 0.58 | 45.63 ± 3.55 |
| Clay (% w/w) | 7.19 ± 0.41 | 7.86 ± 0.78 | 8.00 ± 1.17 |
| Silt (% w/w) | 39.83 ± 7.26 | 45.40 ± 0.24 | 46.37 ± 2.74 |
| Fe2O3 (% w/w) | 4.84 ± 0.10 | 5.07 ± 0.09 | 5.19 ± 0.12 |
| Al2O3 (% w/w) | 11.50 ± 0.21 | 12.05 ± 0.24 | 12.30 ± 0.28 |
| SiO2 (% w/w) | 51.09 ± 0.96 | 50.60 ± 0.72 | 50.60 ± 2.47 |
Disclaimer/Publisher’s Note: The statements, opinions and data contained in all publications are solely those of the individual author(s) and contributor(s) and not of MDPI and/or the editor(s). MDPI and/or the editor(s) disclaim responsibility for any injury to people or property resulting from any ideas, methods, instructions or products referred to in the content. |
© 2023 by the authors. Licensee MDPI, Basel, Switzerland. This article is an open access article distributed under the terms and conditions of the Creative Commons Attribution (CC BY) license (https://creativecommons.org/licenses/by/4.0/).
Share and Cite
Chen, B.; Shui, W.; Liu, Y.; Deng, R. Analysis of Slope Stability with Different Vegetation Types under the Influence of Rainfall. Forests 2023, 14, 1865. https://doi.org/10.3390/f14091865
Chen B, Shui W, Liu Y, Deng R. Analysis of Slope Stability with Different Vegetation Types under the Influence of Rainfall. Forests. 2023; 14(9):1865. https://doi.org/10.3390/f14091865
Chicago/Turabian StyleChen, Bozhou, Wei Shui, Yuanmeng Liu, and Ruyue Deng. 2023. "Analysis of Slope Stability with Different Vegetation Types under the Influence of Rainfall" Forests 14, no. 9: 1865. https://doi.org/10.3390/f14091865
APA StyleChen, B., Shui, W., Liu, Y., & Deng, R. (2023). Analysis of Slope Stability with Different Vegetation Types under the Influence of Rainfall. Forests, 14(9), 1865. https://doi.org/10.3390/f14091865
