Aerial Biomass Estimation in the Cerrado Biome Using Canopy Height Data
Abstract
1. Introduction
2. Materials and Methods
2.1. Methodology Flowchart and Study Area
2.2. Biomass Samples from Published Studies
2.3. Canopy Height Values for the Cerrado Biome
2.4. Characterization of the Different Cerrado Phytophysiognomies
2.5. Implementation of the Allometric Model of Aerial Biomass
2.6. Validation of Estimated Aboveground Biomass Values
2.7. Proportions of Forest Biomass in Relation to Aboveground Biomass (AGB)
3. Results
3.1. Biomass Systematic Review
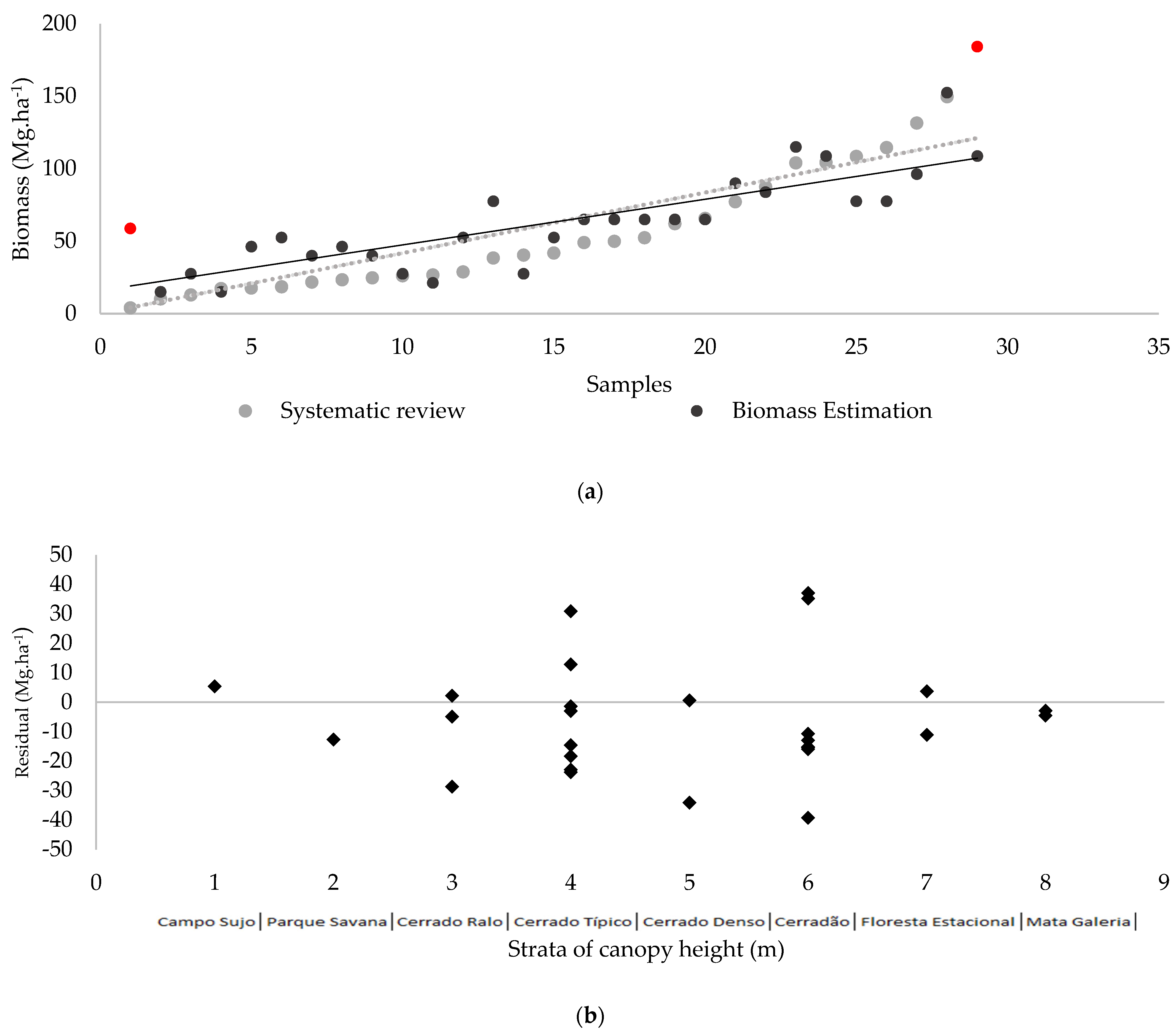
3.2. Estimation of Aboveground Biomass in the Systematic Review and the Use of the Canopy Height Model
3.3. Assessment of Aerial Biomass in Different Phytophysiognomies
3.4. Assessment of Total Biomass
4. Discussion
5. Conclusions
Supplementary Materials
Author Contributions
Funding
Data Availability Statement
Conflicts of Interest
References
- Zhou, Y.; Singh, J.; Butnor, J.R.; Coetsee, C.; Boucher, P.B.; Case, M.F.; Hockridge, E.G.; Davies, A.B.; Staver, A.C. Limited Increases in Savanna Carbon Stocks over Decades of Fire Suppression. Nature 2022, 603, 445–449. [Google Scholar] [CrossRef] [PubMed]
- Terra, M.C.; Nunes, M.H.; Souza, C.R.; Ferreira, G.W.; do Prado-Junior, J.A.; Rezende, V.L.; Maciel, R.; Mantovani, V.; Rodrigues, A.; Morais, V.A.; et al. The Inverted Forest: Aboveground and Notably Large Belowground Carbon Stocks and Their Drivers in Brazilian Savannas. Sci. Total. Environ. 2023, 867, 161320. [Google Scholar] [CrossRef]
- Sano, S.M.; Pedrosa de Almeida, S.P.; Ribeiro, J.F. Cerrado: Ecologia e Flora; Embrapa Informação Tecnológica: Brasília, Brazil, 2007. [Google Scholar]
- Ribeiro, S.C.; Fehrmann, L.; Soares, C.P.B.; Jacovine, L.A.G.; Kleinn, C.; de Oliveira Gaspar, R. Above- and Belowground Biomass in a Brazilian Cerrado. For. Ecol. Manag. 2011, 262, 491–499. [Google Scholar] [CrossRef]
- De Castro, E.A.; Kauffman, J.B. Ecosystem Structure in the Brazilian Cerrado: A Vegetation Gradient of Aboveground Biomass, Root Mass and Consumption by Fire. J. Trop. Ecol. 1998, 14, 263–283. [Google Scholar] [CrossRef]
- Righi, C.A.; de Oliveira Risante, A.P.; Packer, A.P.; Couto, H.T.Z.D. Biodiversity and Biomass Relationships in a Cerrado Stricto Sensu in Southeastern Brazil. Environ. Monit. Assess. 2023, 195, 492. [Google Scholar] [CrossRef] [PubMed]
- Ministério da Ciência, Tecnologia e Inovações. Quarta Comunicação Nacional do Brasil à Convenção Quadro das Nações Unidas sobre Mudança do Clima; Ministério da Ciência, Tecnologia e Inovações: Brasília, Brazil, 2022.
- Zimbres, B.; Rodríguez-Veiga, P.; Shimbo, J.Z.; Bispo, P.d.C.; Balzter, H.; Bustamante, M.; Roitman, I.; Haidar, R.; Miranda, S.; Gomes, L.; et al. Mapping the Stock and Spatial Distribution of Aboveground Woody Biomass in the Native Vegetation of the Brazilian Cerrado Biome. For. Ecol. Manag. 2021, 499, 119615. [Google Scholar] [CrossRef]
- de Oliveira, C.P.; Francelino, M.R.; Daher, M.; de Araújo, E.J.G.; de Souza Sanches, L.; de Andrade, K.D.C.; de Campos, J.S.N. Estimation of the Aboveground Biomass and Carbon Stocks in Open Brazilian Savannah Developed on Sandy Soils. Carbon Balance Manag. 2019, 14, 5. [Google Scholar] [CrossRef] [PubMed]
- Laurin, G.V.; Ding, J.; Disney, M.; Bartholomeus, H.; Herold, M.; Papale, D.; Valentini, R. Tree Height in Tropical Forest as Measured by Different Ground, Proximal, and Remote Sensing Instruments, and Impacts on above Ground Biomass Estimates. Int. J. Appl. Earth Obs. Geoinf. 2019, 82, 101899. [Google Scholar]
- de Azevedo, G.B.; Rezende, A.V.; de Oliveira Sousa Azevedo, G.T.; Miguel, E.P.; de Gois Aquino, F.; Teodoro, L.P.R.; Teodoro, P.E. Prognosis of Aboveground Woody Biomass in a Central Brazilian Cerrado Monitored for 27 Years after the Implementation of Management Systems. Eur. J. For. Res. 2021, 141, 1–15. [Google Scholar] [CrossRef]
- Bispo, P.d.C.; Rodríguez-Veiga, P.; Zimbres, B.; de Miranda, S.D.C.; Cezare, C.H.G.; Fleming, S.; Baldacchino, F.; Louis, V.; Rains, D.; Garcia, M.; et al. Woody Aboveground Biomass Mapping of the Brazilian Savanna with a Multi-Sensor and Machine Learning Approach. Remote Sens. 2020, 12, 2685. [Google Scholar] [CrossRef]
- Roitman, I.; Bustamante, M.M.C.; Haidar, R.F.; Shimbo, J.Z.; Abdala, G.C.; Eiten, G.; Fagg, C.W.; Felfili, M.C.; Felfili, J.M.; Jacobson, T.K.B.; et al. Optimizing Biomass Estimates of Savanna Woodland at Different Spatial Scales in the Brazilian Cerrado: Re-evaluating Allometric Equations and Environmental Influences. PLoS ONE 2018, 13, e0196742. [Google Scholar] [CrossRef]
- da Costa, M.B.T.; Silva, C.A.; Broadbent, E.N.; Leite, R.V.; Mohan, M.; Liesenberg, V.; Stoddart, J.; Amaral, C.H.D.; de Almeida, D.R.A.; da Silva, A.L.; et al. Beyond Trees: Mapping Total Aboveground Biomass Density in the Brazilian Savanna Using High-Density UAV-Lidar Data. For. Ecol. Manag. 2021, 491, 119155. [Google Scholar] [CrossRef]
- Ribeiro, J.F.; Teles Walter, B.M. Fitofisionomias do Bioma Cerrado, 1st ed.; Embrapa: Brasília, Brazil, 1998. [Google Scholar]
- de Miranda, S.D.C.; Bustamante, M.; Palace, M.; Hagen, S.; Keller, M.; Ferreira, L.G. Regional Variations in Biomass Distribution in Brazilian Savanna Woodland. Biotropica 2014, 46, 125–138. [Google Scholar] [CrossRef]
- Barros, J.H.S.; Ayres, F.M.; Chambó, E.D.; Constantino, M.; de Moraes, P.M.; Skowronski, L.; Barcelos, S.T.V.; Fava, W.S.; Costa, R.B. Aboveground Carbon Stock in Phytophysiognomies of the Southeast Pantanal, Brazil. Braz. J. Bot. 2022, 45, 755–762. [Google Scholar] [CrossRef]
- Costa, A.N.; Souza, J.R.; Alves, K.M.; Penna-Oliveira, A.; Paula-Silva, G.; Becker, I.S.; Marinho-Vieira, K.; Bonfim, A.L.; Bartimachi, A.; Vieira-Neto, E.H.M. Linking the Spatiotemporal Variation Of Litterfall to Standing Vegetation Biomass in Brazilian Savannas. J. Plant Ecol. 2020, 13, 517–524. [Google Scholar] [CrossRef]
- Maia, V.A.; de Souza, C.R.; de Aguiar-Campos, N.; Fagundes, N.C.A.; Santos, A.B.M.; de Paula, G.G.P.; Santos, P.F.; Silva, W.B.; de Oliveira Menino, G.C.; dos Santos, R.M. Interactions between Climate and Soil Shape Tree Community Assembly and Above-ground Woody Biomass of Tropical Dry Forests. For. Ecol. Manag. 2020, 474, 118348. [Google Scholar] [CrossRef]
- Lang, N.; Jetz, W.; Schindler, K.; Wegner, J.D. A High-resolution Canopy Height Model of the Earth. Nat. Ecol. Evol. 2023, 7, 1778–1789. [Google Scholar] [CrossRef]
- Wu, L.; Shi, Y.; Zhang, F.; Zhou, Y.; Ding, Z.; Lv, S.; Xu, L. Estimating Carbon Stocks and Biomass Expansion Factors of Urban Greening Trees Using Terrestrial Laser Scanning. Forests 2022, 13, 1389. [Google Scholar] [CrossRef]
- Andrade, H.J.; Segura, M.; Somarriba, E. Above-Ground Biomass Models for Dominant Trees Species in Cacao agroforestry Systems in Talamanca, Costa Rica. Agrofor. Syst. 2022, 96, 787–797. [Google Scholar] [CrossRef]
- Lisboa, S.N.; Guedes, B.S.; Ribeiro, N.; Sitoe, A. Biomass Allometric Equation and Expansion Factor for a Mountain Moist Evergreen Forest in Mozambique. Carbon Balance Manag. 2018, 13, 23. [Google Scholar] [CrossRef]
- Sanquetta, C.R.; Corte, A.P.; da Silva, F. Biomass Expansion Factor and Root-to-Shoot Ratio for Pinus in Brazil. Carbon Balance Manag. 2011, 6, 6. [Google Scholar] [CrossRef]
- Gonçalves, J.R. Como Escrever Um Artigo de Revisão de Literatura. Rev. JRG Estud. Acadêmicos 2019, 2, 29–55. [Google Scholar] [CrossRef]
- Donthu, N.; Kumar, S.; Mukherjee, D.; Pandey, N.; Lim, W.M. How to Conduct a Bibliometric Analysis: An Overview and Guidelines. J. Bus. Res. 2021, 133, 285–296. [Google Scholar] [CrossRef]
- Zimbres, B.; Shimbo, J.; Bustamante, M.; Levick, S.; Miranda, S.; Roitman, I.; Silvério, D.; Gomes, L.; Fagg, C.; Alencar, A. Savanna Vegetation Structure in the Brazilian Cerrado Allows for the Accurate Estimation of Aboveground Biomass Using Terrestrial Laser Scanning. For. Ecol. Manag. 2019, 458, 117798. [Google Scholar] [CrossRef]
- Peixoto, K.S.; Marimon-Junior, B.H.; Marimon, B.S.; Elias, F.; de Farias, J.; Freitag, R.; Mews, H.A.; das Neves, E.C.; Prestes, N.C.C.; Malhi, Y. Unravelling Ecosystem Functions at the Amazonia-Cerrado Transition: II. Carbon Stocks and CO2 Soil Efflux in Cerradão Forest Undergoing Ecological Succession. Acta Oecologica 2017, 82, 23–31. [Google Scholar] [CrossRef]
- Instituto Brasileiro de Geografia e Estatística (Ed.) Manual Técnico Da Vegetação Brasileira; 2a edição revista e ampliada. Manuais Técnicos Em Geociências, número 1; Instituto Brasileiro de Geografia e Estatística-IBGE: Rio de Janeiro, Brazil, 2012.
- Intergovernmental Panel on Climate Change (Ed.) Climate Change 2013—The Physical Science Basis: Working Group I Contribution to the Fifth Assessment Report of the Intergovernmental Panel on Climate Change, 1st ed.; Cambridge University Press: Cambridge UK, 2014. [Google Scholar] [CrossRef]
- Scolforo, J.R.; de Tavares Carvalho, L.M. Inventário Florestal de Minas Gerais; Universidade Federal de Lavras, Ed.; Editora UFLA, Universidade Federal de Lavras: Lavras, Brazil, 2008. [Google Scholar]








| Structure | Classification in [29] | Classification in [15] | Canopy Height (m) |
|---|---|---|---|
| Shrubland | Savana Gramíneo-lenhosa | Campo Limpo de Cerrado | 1–3 |
| Savana Parque | Campo Sujo de Cerrado | ||
| Savanna | Savana (Estépica) Arborizada | Cerrado Stricto Sensu (Cerrado ralo, típico e denso) | 4–7 |
| Forest | Savana (Estépica) Florestada | Cerradão ** | 8–30 |
| Floresta Estacional Decidual | Mata Seca Decídua | ||
| Floresta Estacional Semidecidual | Mata Seca, Mata Ciliar e de Galeria | ||
| Floresta Estacional Sempre-verde | Mata Seca, Mata Ciliar e de Galeria |
| Structure | Phytophysiognomy in [29] | Live AGB | Underground | Necromass | Litter |
|---|---|---|---|---|---|
| C | Estepe Gramíneo-Lenhosa | 0.73 | 0.77 | - | 3.63 |
| C | Savana Estépica Gramíneo-lenhosa | 3.93 | 13.12 | 0.11 | 0.33 |
| C | Savana Gramíneo-lenhosa | 4.17 | 13.94 | - | 0.38 |
| C | Refúgio Montano | 4.17 | 13.94 | - | 0.44 |
| C | Savana Estépica Parque | 5.95 | 19.87 | 0.10 | 0.59 |
| C | Savana Parque | 7.41 | 17.58 | 0.06 | 1.78 |
| S | Savana Estépica Arborizada | 9.60 | 5.80 | 1.25 | 1.25 |
| S | Savana-Estépica | 17.80 | 7.70 | 2.97 | 2.33 |
| S | Formação Pioneira com influência marinha | 23.46 | 8.68 | 2.58 | 0.04 |
| S | Contato Savana/Savana Estépica | 18.64 | 13.26 | 3.21 | 4.34 |
| S | Formação Pioneira com influência fluvial | 25.63 | 7.28 | 2.29 | 1.00 |
| S | Formação Pioneira | 24.64 | 9.12 | 2.71 | 0.04 |
| S | Formação Pioneira com influência fluviomarinha | 25.82 | 9.55 | 2.84 | 0.04 |
| S | Savana Arborizada | 12.03 | 24.54 | 1.68 | 3.06 |
| S | Savana Estépica Florestada | 26.00 | 9.60 | 4.68 | 3.05 |
| S | Contato Savana Estépica/Floresta Estacional | 30.03 | 10.28 | 4.46 | 4.15 |
| S | Contato/Savana/Sav. Estépica/Floresta Estacional | 25.27 | 15.50 | 3.20 | 4.44 |
| S | Savana | 26.69 | 16.94 | 3.12 | 4.88 |
| F | Floresta Estacional Decidual Montana | 31.10 | 15.88 | 6.98 | 9.15 |
| F | Floresta Estacional Semidecidual Submontana | 51.10 | 11.32 | 3.69 | 3.11 |
| F | Floresta Estacional Semidecidual Aluvial | 55.98 | 10.11 | 5.71 | 3.21 |
| F | Contato Savana/Floresta Ombrófila | 39.01 | 17.61 | 4.12 | 5.59 |
| F | Contato Savana/Floresta Ombrófila Mista | 44.16 | 16.07 | 3.21 | 4.15 |
| F | Contato Savana/Floresta Estacional | 43.49 | 15.42 | 4.26 | 5.33 |
| F | Savana Florestada | 45.92 | 10.10 | 5.05 | 7.42 |
| F | Floresta Estacional Decidual Submontana | 62.89 | 17.78 | 7.75 | 9.87 |
| F | Floresta Ombrófila Mista Montana | 60.11 | 14.15 | 2.98 | 2.88 |
| F | Floresta Estacional Semidecidual Montana | 50.48 | 19.31 | 2.98 | 2.42 |
| F | Floresta Ombrófila Mista Aluvial | 64.25 | 15.12 | 2.98 | 3.08 |
| F | Floresta Ombrófila Aberta Submontana | 71.10 | 7.11 | 5.76 | 4.11 |
| F | Contato Floresta Ombrófila/Floresta Estacional | 72.88 | 15.48 | 6.06 | 7.77 |
| F | Floresta Ombrófila Mista Alto-Montana | 78.82 | 18.54 | 2.98 | 3.78 |
| F | Floresta Estacional Decidual das Terras Baixas | 69.38 | 16.65 | 7.63 | 11.21 |
| F | Floresta Estacional Semidecidual das Terras Baixas | 83.66 | 16.90 | 7.24 | 2.23 |
| F | Floresta Ombrófila Densa Submontana | 81.99 | 25.42 | 7.71 | 3.29 |
| F | Floresta Estacional Decidual Aluvial | 88.36 | 21.27 | 9.75 | 2.08 |
| F | Floresta Ombrófila Densa Aluvial | 90.51 | 28.06 | 8.51 | 3.63 |
| F | Floresta Ombrófila Densa de Terras Baixas | 85.73 | 45.38 | 2.98 | 4.11 |
| F | Floresta Ombrófila Aberta Aluvial | 117.29 | 11.73 | 9.50 | 6.77 |
| F | Floresta Ombrófila Aberta das Terras Baixas | 133.92 | 13.90 | 10.85 | 7.73 |
| Phytophysiognomy | Reference | Average | Deviation | Min. | Max. |
|---|---|---|---|---|---|
| Savana | Barros et al., 2022 [17] | 52.30 | 28.50 | ||
| Campo Sujo | Barros et al., 2022 [17] | 26.60 | 19.10 | 7.50 | |
| Castro et al., 1998 [5] | 3.90 | ||||
| Cerrado Ralo | Castro et al., 1998 [5] | 17.60 | |||
| Costa et al., 2020 [18] | 10.10 | 2.50 | |||
| Costa et al., 2021 [14] | 17.19 | 7.30 | 11.65 | 25.86 | |
| Miranda et al., 2014 [16] | 21.19 | 13.84 | 3.31 | 67.65 | |
| Zimbres et al., 2021 [8] | 24.99 | 12.09 | |||
| Cerrado Amplo | Zimbres et al., 2021 [8] | 41.29 | 20.80 | ||
| Cerrado Típico | Azevedo et al., 2021 [11] | 26.10 | 0.15 | ||
| Barros et al., 2022 [17] | 108.40 | 59.70 | |||
| Costa et al., 2020 [18] | 28.70 | 2.90 | |||
| Costa et al., 2021 [14] | 40.36 | 23.55 | 13.32 | 100.22 | |
| Oliveira et al., 2019 [9] | 12.88 | 2.15 | |||
| Ribeiro et al., 2011 [4] | 62.00 | 9.19 | 12.89 | 107.36 | |
| Roitman et al., 2019 [13] | 22.90 | 2.20 | 4.80 | 50.20 | |
| Terra et al., 2023 [2] | 20.40 | 15.91 | 1.38 | 79.48 | |
| Zimbres et al., 2020 [27] | 21.70 | 11.60 | 10.10 | 41.80 | |
| Cerrado Denso | Castro et al., 1998 [5] | 18.40 | |||
| Costa et al., 2020 [18] | 65.60 | 10.20 | |||
| Cerradão | Barros et al., 2022 [17] | 131.40 | 60.90 | ||
| Bispo et al., 2020 [12] | 41.78 | 6.50 | 32.20 | 54.30 | |
| Costa et al., 2020 [14] | 114.50 | 22.20 | |||
| Miranda et al., 2014 [16] | 92.31 | 58.16 | 47.80 | 118.00 | |
| Peixoto et al., 2017 [31] | 37.21 | 24.55 | 54.48 | ||
| Righi et al., 2023 [6] | 77.08 | 43.16 | 34.80 | 159.00 | |
| Zimbres et al., 2020 [27] | 38.30 | 14.90 | 23.40 | 61.30 | |
| Cerrado–Cerradão | Bispo et al., 2020 [12] | 23.30 | 3.05 | 19.30 | 28.20 |
| Cerrado–Floresta | Bispo et al., 2020 [12] | 49.02 | 26.90 | 19.00 | 104.00 |
| Cerradão–Mata Estacional | Bispo et al., 2020 [12] | 87.40 | 13.70 | 70.40 | 103.90 |
| Floresta Estacional | Barros et al., 2022 [17] | 103.90 | 52.30 | ||
| Mata Seca | Maia et al., 2020 [19] | 143.00 | 21.00 | ||
| Mata Ciliar | Barros et al., 2022 [17] | 184.10 | 42.00 | 226.10 | |
| Mata Galeria | Costa et al., 2021 [14] | 104.21 | 42.39 | 43.68 | 187.94 |
| Zimbres et al., 2020 [27] | 149.60 | 74.50 | 74.50 | 237.40 | |
| Zimbres et al., 2021 [8] | 86.27 | 30.38 |
| Structure | AGB (Mg·ha−1) | Roots (%) | Litter (%) | Necromass (%) | BGB: Total AGB |
|---|---|---|---|---|---|
| Shrubland | 4.4 ± 2.2 | 280% ± 94 | 93% ± 1.9 | 1% ± 0.01 | 2.36 |
| Savanna | 22.1 ± 6.2 | 60% ± 48 | 12% ± 0.1 | 13% ± 0.03 | 0.46 |
| Forest | 69.2 ± 25.1 | 27% ± 12 | 9% ± 0.1 | 9% ± 0.04 | 0.23 |
Disclaimer/Publisher’s Note: The statements, opinions and data contained in all publications are solely those of the individual author(s) and contributor(s) and not of MDPI and/or the editor(s). MDPI and/or the editor(s) disclaim responsibility for any injury to people or property resulting from any ideas, methods, instructions or products referred to in the content. |
© 2024 by the authors. Licensee MDPI, Basel, Switzerland. This article is an open access article distributed under the terms and conditions of the Creative Commons Attribution (CC BY) license (https://creativecommons.org/licenses/by/4.0/).
Share and Cite
Toneli, C.A.Z.; Scardua, F.P.; Martins, R.d.C.C.; Matricardi, E.A.T.; Ribeiro, A.; Ferraz Filho, A.C. Aerial Biomass Estimation in the Cerrado Biome Using Canopy Height Data. Forests 2024, 15, 507. https://doi.org/10.3390/f15030507
Toneli CAZ, Scardua FP, Martins RdCC, Matricardi EAT, Ribeiro A, Ferraz Filho AC. Aerial Biomass Estimation in the Cerrado Biome Using Canopy Height Data. Forests. 2024; 15(3):507. https://doi.org/10.3390/f15030507
Chicago/Turabian StyleToneli, Carlos Augusto Zangrando, Fernando Paiva Scardua, Rosana de Carvalho Cristo Martins, Eraldo Aparecido Trondoli Matricardi, Andressa Ribeiro, and Antonio Carlos Ferraz Filho. 2024. "Aerial Biomass Estimation in the Cerrado Biome Using Canopy Height Data" Forests 15, no. 3: 507. https://doi.org/10.3390/f15030507
APA StyleToneli, C. A. Z., Scardua, F. P., Martins, R. d. C. C., Matricardi, E. A. T., Ribeiro, A., & Ferraz Filho, A. C. (2024). Aerial Biomass Estimation in the Cerrado Biome Using Canopy Height Data. Forests, 15(3), 507. https://doi.org/10.3390/f15030507

