Abstract
Over a period of 10 years, 418 forested plots within the US National Capital Region parks were visited for morphological descriptions and to inventory carbon (C) stocks. Samples were collected from organic horizons, the loose leaf litter, and, using a hand auger, from each mineral horizon to a depth of 1 m. Soil C concentration was determined using high-temperature combustion, and organic carbon (OC) stocks were then calculated for each master horizon. Soil bulk density (Db) was determined using the core method for O and A horizons. For deeper mineral horizons, a strong linear relationship between NRCS SSURGO representative values and measured Db values averaged according to soil series (R2 = 0.75) was observed. Thus, the NRCS SSURGO representative Db values were used for mineral horizons below the A horizon. An average of 0.5 ± 0.0 kg C m−2 was contained in the loose leaf litter. For plots with O horizons, the organic layer contained 2.9 ± 0.3 kg C m−2. An average of 4.6 ± 0.2 kg C m−2 was stored in the A horizon, down to an average lower boundary of 18.8 cm. The mineral horizons below the A horizon averaged 8.5 kg C m−2. In these forested soil profiles, 52.8% of the TOC is found below the A horizon and 18.0% of the TOC is in the organic horizons. The predictive strength of the thickness of and SOC in the A horizon was also evaluated in terms of explaining and predicting TOC in the profile and in the subsoil. The thickness and SOC in the A horizon explained 54% of the variation in TOC stock; however, it was a poor predictor of OC stored in the subsoil (R2 = 0.04). This study demonstrates the importance of deeper sampling to encompass more of the rooting depth when investigating SOC stocks.
1. Introduction
Temperate forests are important global carbon (C) sinks that fix more C than they give off via respiration [1,2]. Globally, C stocks in forests have been estimated to range from 862 Pg C [3] to 1146 Pg C [4], and it is estimated that temperate forests store as much as 14% of the total C [3,4].
The earliest estimate of global SOC was extrapolated from nine soils in the United States of America and was reported to be 710 Pg C [5,6]. Current global estimates of SOC in the top meter of soil range from 504 to 3000 Pg C [6]. Published estimates of global soil C stocks vary due to varying sampling methods, inconsistent inclusion of inorganic C, and varying levels of coarse mineral fragments in the samples. Some studies do not state specifically which forms of C were included or if calculations were corrected for coarse fragments [6]. Such differences in global SOC stock estimates highlight the need for the standardization of sampling and calculation methods.
The majority of published studies that quantify C stocks in forest soils used relatively shallow sampling depths. The standard sampling depth recommended and used by the Intergovernmental Panel on Climate Change (IPCC) is 0.3 m [7,8]. The Global Soil Partnership (GSP) Global Soil Organic Carbon Map (GSOC map) uses the IPCC standard depth of 0.3 m, as do the majority of ecosystem studies [8,9,10,11,12,13]. The IPCC states in their 2006 Guidelines for National Greenhouse Gas Inventories that “a large proportion of input is from above-ground litter in forest soils so SOM tends to concentrate in the upper soil horizons, with roughly half of the SOC in the upper 0.3 m layer” [8]. However, C accumulates well below this depth in soils [12,13,14,15,16,17,18], and studies suggest that the relative contribution of plant roots to SOC is larger than that of plant shoots [19,20,21]. If the contribution of roots to SOC is greater than shoots, then sampling to estimate total C stocks should occur as deep as the bulk of the root system and not just the top 0.3 m. The average rooting depths for evergreen and deciduous trees reported from Foxx et al. [22] was approximately 3.3 mand the average rooting depth for temperate coniferous forests and temperate deciduous forests reported from Canadell et al. [23] is 3.9 ± 0.4 m and 2.9 ± 0.2 m. In 2002, Schenk and Jackson quantified 475 root profiles for 209 geographic locations and, based on biomes, estimated the depths above which 50% of all roots (D50) and 95% of all roots (D95) were located in the soil [24]. For the temperate zones, D50 was 0.23 m and D95 was 1.23 m for woody species. Sampling just the top 0.3 m would miss a significant portion of the root zone and underestimate soil C stocks [13]. Furthermore, the assumption that subsoil C is stable and persists longer in the environment due to being recalcitrant, and the idea that the molecular properties of organic material render it stable and non-decomposable by microorganisms [25] and fungi is outdated. Recalcitrance does not stabilize organic material in soil, environmental conditions and accessibility to the material determines its stability [25,26]. As environmental conditions change, what was previously thought to be stable C could readily oxidize. This further supports deeper sampling for SOC studies.
One of the difficulties in calculating C stocks in deeper soil horizons is deriving stocks from concentrations, and this requires bulk density (Db). Soil Db is an important physical property that can be used to express other soil properties in units of weight per unit area, such as kilograms of C per square meter. The direct measurement of Db is typically performed with the excavation, clod, or core methods [27,28,29]. The excavation and clod methods involve extracting a sample in the field, followed by the determination of the dry mass. The volume is determined by filling in the void with a known volume of water, sand, or foam (excavation method), or by coating a carefully extracted clod with a water-repellent substance (paraffin) and determining the volume by displacement [27]. The core method involves extracting an undisturbed cylindrical core of known volume with a specialized soil coring tool and then obtaining the dry mass of the soil in that core volume [29].
The deeper the soil layer, the more difficult, expensive, and time-consuming measuring Db becomes using any of these methods. For this reason, Db is often not measured in routine soil analyses and large spatial studies, especially for deeper soil layers. Pedotransfer functions (PTFs) have been proposed as an alternative to collecting undisturbed cores in determining soil Db. These mathematical functions are derived by regressing Db against other, more commonly reported, soil properties, such as texture and SOM concentration. These soil properties are used because it has been established in prior studies that they strongly correlate with Db [30,31]; in forest soils, SOM is the dominating property on Db [31,32].
The first pedotransfer function was developed by Briggs and McLane in 1907 to determine the wilting coefficient for certain crops [33]. Pedotransfer functions using soil organic matter to estimate soil Db were introduced by Jeffrey in 1970 [32]. Bouma (1989) described PTFs as mathematical functions that “translate data we have to data we need”. Essentially, these equations enable researchers to estimate soil properties that are difficult to measure from other more easily attainable soil data. In digital maps of soil properties, Db is increasingly predicted rather than measured using a combination of environmental data and/or selected soil-related properties [34]. However, PTFs in the literature have limited predictive potential for Db using just organic matter. The majority of PTFs in the literature significantly overestimate Db and are unable to accurately predict Db for most mineral soil horizons where a significant portion of forest ecosystem C stocks may be contained. Despite functions having a high R2 value for the data set used to create them, little confidence can be had in the C stock calculation using such PTFs to estimate Db in other soils, especially for mineral soil horizons low in organic matter [10].
The purpose of this research was to investigate SOC in Mid-Atlantic region forest soils, as represented in 11 US National Parks in the National Capital Region Network (NCRN). The first objective was to evaluate the use of Natural Resources Conservation Service (NRCS) Soil Survey Geographic (SSURGO) soil series “representative” Db values as a proxy for measuring Db for calculating SOC stocks in A horizons and in subsoil horizons. The Soil Survey Geographic (SSURGO) database includes digital soil maps and the accompanying soil properties and interpretations. We hypothesize that a strong correlation will exist between NRCS SSURGO soil series “representative” Db values and observed values for subsoil horizons, but no such correlation will exist for A horizons. The second objective was to determine the stocks of SOC at each plot. The third objective was to determine the vertical distribution of SOC by the master pedogenic horizon, specifically the proportion of OC present below the typically sampled A horizon. We hypothesize that at minimum, 50% of the total organic carbon (TOC) will occur below the A horizon. A second hypothesis originating from this third objective is that the thickness of and SOC stocks in the A horizon will be a poor predictor of TOC in the profile and OC stored in subsoil. The fourth and final objective of the study was to analyze how the stocks and distribution of SOC varied according to taxonomic soil order, parent material (PM) type, soil drainage class, physiographic province, and rock type within the study area.
2. Materials and Methods
2.1. National Capital Region Network of Forest Parks
This study took place in the NCRN of the US National Park System (NPS) (Figure 1), which is located within the Eastern US deciduous forest ecological zone and spans three states (Maryland, Virginia, and West Virginia) and four physiographic provinces (the Coastal Plain, the Piedmont, the Blue Ridge, and the Ridge and Valley) [35].
Figure 1.
Map of sampled parks (green colored shapes) and physiographic provinces within the National Capital Region Network (Modified from the National Park Service).
In 2005, the NPS established a 250 m grid across each of the 11 parks in the system [36]. The decision to establish a 250 m grid was based on the ability of the NPS to integrate various monitoring protocols, and that data collected at sampling locations would be independent from data collected at an adjacent sampling location. Potential sampling locations were identified as points that intersected on the grid. Sampling locations were then selected using a generalized random-tessellation stratified survey (GRTS) [37]. This approach creates a random sample that is spatially balanced, i.e., the locations are not clumped in a single part of the study area. Prior to plot setup, potential monitoring locations were visited to determine their suitability for forest vegetation monitoring. A location was removed from consideration if it did not contain forest vegetation; was located on a road, waterway, or maintained field; was on a slope greater than 30°; or was otherwise hazardous [36]. The NPS Inventory and Monitoring Program used the Title 440, Conservation Programs Manual, Part 502, Subpart A, Section 502.0 definition of forest land, which states that the land area must be at least 10% stocked by trees of any size that will be at least 4 m tall at maturity [36].
Soil monitoring and sampling for this study was conducted on 418 sampling plots, each 707 m2 in area. Sampling occurred during the summers of 2007, 2009–2012, and 2015–2017. Each plot was visited once for soil sampling and morphological descriptions during the 10-year period.
2.2. Field Plots and Sampling
Once a sampling plot’s central point marker was located using GPS coordinates and a metal detector (the metal marker stake in the ground was sometimes buried by organic and/or mineral material), three 15 m long transects were established that radiated out from the central point at 120, 240, and 360 degrees. Wire stem flags were placed at the plot center point and at 4, 8, and 12 m along each of the three transects (a total of 10 flags).
At a random location within 1 m of the center flag, a 1 m deep × 7.5 cm diameter bucket auger boring was made, and the augered soil increments were carefully laid out in order and to scale on a plastic strip so that the horizons could be described and sampled. When bedrock or coarse fragment >7.5 cm were encountered less than 100 cm from the soil surface, up to three additional borings were made, and the deepest boring was used to complete a soil profile description. The horizons were described in the field using the “ABC” system in the Field book for describing and sampling soils, Version 3.0 [38]. Noncompacted and undecomposed leaf litter is not considered organic soil material and was designated “LL” [39]. Field descriptions included textural class and estimated percent clay for each horizon. A Munsell color book was used to determine the hue, value, and chroma for each horizon and to identify redoximorphic features. From each horizon, 100 to 500 cm3 of material was collected for lab analysis. Later, soil C data on these samples were used to confirm the appropriate designation of O and A horizons, using the 12% OC content by weight as the criteria distinguishing O horizons from A horizons [39]. Using this criterion, six horizons originally described as O horizons in the field were redesignated as A horizons because of OC content by weight being less than 12%, and 18 horizons were redesignated from A horizon to O horizon because of a greater than 12% OC content by weight.
Along each transect, at a random location within 1 m of each of the three 8 m transect flags, a cylinder (10 cm diameter × 15 cm long) made of polyvinylchloride (PVC) pipe sharpened on one edge was hammered with a mallet into the soil material. The LL was collected from inside each of these three cylinders and composited together. At a second random location within 1 m of the same three flags, undisturbed cores were collected for the determination of Db in the A horizon. Undisturbed is defined as soil retaining its original structure, texture, density, natural water content, and stress condition at the time of sampling. To collect the undisturbed cores, a metal cylinder (7.5 cm diameter × 7.5 cm long) was inserted vertically into the soil after the O horizon was removed, if present. A second cylinder was placed on top of the first cylinder as a tool to receive the mallet blows to avoid compacting the soil. Once the cylinder was flush with the soil surface, it was extracted, and any excess material was trimmed with a knife at both ends. The core was then placed into an air-tight bag and transported to the lab.
If an O horizon was present within a plot, at five random locations within the 707 m2 plot, a metal cylinder (7.5 cm diameter × 7.5 cm long) was carefully pounded into the O horizon with a rubber mallet until it was flush with the organic material. The cylinder was then carefully excavated, and any mineral material was carefully removed. The height of the organic material in the cylinder was measured and then the material was placed into an air-tight bag and transported to the lab for the determination of Db in the organic horizon(s).
2.3. Sample Handling and Preparation
Leaf litter samples were air-dried for a minimum of seven days. After seven days, the sample air-dry weight was recorded before the organic material was ground and passed through a 2 mm sieve. The dried, ground, and sieved samples were shipped to the University of Georgia Agricultural and Environmental Services Laboratories (AESL) Soil, Plant, and Water lab (SPW) for analysis of TOC using high-temperature combustion (Dumas method) at 1200 °C using an Elementar Vario Max Total Combustion Analyzer (Elementar, Langenselbold, Germany). Prior to high-temperature combustion, mineral soil samples were treated with 8% hydrochloric acid to volatilize any carbonates.
Bulk density core samples were weighed (fresh weight) and then allowed to air-dry for a minimum of seven days. Samples were then placed in a pre-weighed beaker, and were then weighed and oven dried at 105 °C for 24 h in a forced-air oven. The samples were again weighed after being in the oven for 24 h and the air-dried water content of the soil was calculated. Samples were then sieved and the mass of any coarse rock fragments >2 mm was recorded and then subtracted from the oven-dried mass. This method follows the recommendation of Throop et al. (2008 and 2012) [29,40] when using the core method and calculating C stocks.
2.4. Determination of Taxonomy, Drainage Class, Parent Material, and Rock Type
The NRCS Web Soil Survey [41] was used to determine the map unit in which each plot was located and the soil series that comprised said map unit. The specific soil series present in the sample plot was determined by comparing an auger profile description made during the NPS monitoring program against the USDA Official Series Descriptions typical pedon and the range in characteristics for each series occurring in the map unit shown for the GPS coordinates of the sampling plot. Once the soil series was identified, the Official Series Descriptions were used to determine the soil order, drainage class, PM, and dominant rock type.
2.5. Evaluation of the Use of NRCS/SSURGO Soil Series “Representative” Db
For this evaluation, Db was sampled at 24 plots within three parks—Antietam National Battlefield, Greenbelt National Park, and Prince William Forest Park. The location and characteristics of the sampled parks are given in Table A1.
At a single random location within 1 m of the center marker, an undisturbed soil core (10.16 cm long × 4.76 cm diameter) was extracted every 10.16 cm to a depth of 90 cm. Each soil core was sealed in an air-tight bag for transportation to the lab. The sample was analyzed to determine Db and TOC.
A dry Db value for each A and B master horizon was obtained from the NRCS SSURGO database as the dry Db value listed as “representative” for that soil series and horizon. The SSURGO A horizon and B horizon representative Db values for a specific soil series were compared to the mean Db values measured using the core method for A horizons and B horizons in that soil series. We included in the analysis the 10 different soil series that were encountered at least twice in the 24 plots sampled. Linear regression was conducted to determine the relationship between the soil series mean Db values from cores measured in the field and the NRCS SSURGO representative Db values for the same soil series, by A, E, or B master horizons.
The representative Db values from the SSURGO database for subsoil horizons (E, B, and C horizons) were strongly and linearly related (R2 = 0.75) to the mean Db values for 10 soil series determined from 24 cores (90 samples) collected in the field (Figure 2A). In contrast, there was not a strong linear relationship between the SSURGO database representative Db values for A horizons and the mean measured A horizon Db values for these 10 soil series (Figure 2B). This was not unexpected. The NRCS’ (previously the Soil Conservation Service) soil mapping and characterization efforts have historically focused primarily on agricultural lands. Since the Db of most agricultural lands has been impacted by trafficking and tillage, both of which tend to increase the Db in soils, it is not surprising that the SSURGO representative Db values for 7 of the 10 soil series were significantly higher than the Db values measured using undisturbed soil cores in our forested plots. Furthermore, the Db of surface soils (A horizons) can be easily impacted by land management operations such as logging, plowing, and trafficking, whether under forest or agricultural use, leading to a greater variability and a lower likelihood that typical pedons characterized by NRCS soil mappers would correspond to other pedons of the same soil series under different land use conditions. We therefore concluded that NRCS SSURGO representative Db values can be used as proxies for Db in subsoil horizons if the soil series is identified.
Figure 2.
Relationship between SSURGO representative Db values and mean Db measured using the core method. (A) E and B horizons at 24 plots for the 10 soil series encountered at more than one sample point. (B) A horizons at 24 plots, a total of 10 soil series. No significant relationship was found.
2.6. Carbon Calculations
The weighted average concentration (g C kg−1 soil) of C for each master horizon (O, A, E, B, and C) was calculated. If sub-horizons were present, data for sub-horizons were merged to make 1 master horizon to allow for comparison between plots. Thus, Bt1, Bt2, and Bt3 horizon data for a given plot would be merged into a single master B horizon value. If transitional horizons were described in the field, we followed the NRCS Soil Survey Staff (2022) definition, that the first letter indicates the horizon whose properties dominate [39]. Thus, a BC horizon is considered a B horizon in this study. Furthermore, buried A horizons were also considered a B horizon for this study. For example, an 11 cm thick A horizon with 0.0362 g C g−1 soil from 0 to 11 cm depth and a 10 cm thick Ap horizon with 0.0077 g C g−1 soil from 11 to 21 cm depth would be merged into a master A horizon with a weighted average C concentration of 0.0226 g C g−1 soil:
These weighted average concentrations were used to characterize C stocks and concentrations according to master horizon.
Carbon stock calculations in the O and A horizons used the measured Dbh, whereas the E, B, and C horizons used the NRCS SSURGO representative Db values.
2.7. Statistical Analysis
The design of this observational study was considered to be a completely randomized design with unequal replication. We tested the significance of the effect of soil order, physiographic province, PM type, soil drainage class, and rock type categories on the SOC stock (kg m−2) in the top meter of soil as the dependent variable in the base environment of R version 4.1.2 using a generalized linear model (GLM) and analysis of variance (ANOVA) [42]. A similar unbalanced GLM was used to detect differences among master horizons for the SOC stocks in each horizon and to determine the strength of using the thickness of and SOC stocks in the A horizon in explaining TOC in the profile and OC stored in the subsoil. When the F test for an effect was significant, means were separated using Tukey’s Honest Significant Difference (HSD) post hoc comparison. Categories with fewer than 2% of the plots were excluded from statistical comparisons.
3. Results and Discussion
3.1. SOC Stocks and Distribution among Master Horizons
Of the 418 plots visited, 297 had enough leaf litter (LL) to collect a composite sample for analysis. The LL had an average concentration of 406.4 ± 4.16 (SE unless otherwise noted) g C kg−1 L. The average amount of OC per unit area was calculated as 0.5 ± 0.1 kg m−2. Organic horizons were observed and/or designated using the Soil Survey Staff (2022) [39] definition of organic soil material at 115 plots. Of those, there was enough material to sample and analyze at 52 plots. The average thickness of the O horizon was 0.06 m. The average concentration of OC in the O horizon was 229.1 ± 14.1 g kg−1 soil. The average amount of OC per unit area in the O horizon was calculated as 2.9 ± 0.3 kg m−2. In this study, an A horizon was observed and/or designated using the Soil Survey Staff (2022) [39] definition of mineral soil material at 403 plots. Of those, there was enough material to sample and analyze at 333 plots. The average thickness of the A horizon was 0.18 m. The average concentration of OC in the A horizon was 34.4 ± 1.2 g kg−1 soil. The average amount of OC per unit area was calculated as 4.6 ± 0.2 kg m−2. An E horizon was observed and described at 33 plots, and the average thickness was 0.17 m. The average concentration of OC in the E horizon was 10.7 ± 1.1 g kg−1 soil. The average amount of OC per unit area in the E horizon was 2.1 ± 0.2 kg m−2. A B horizon was observed and described at 388 plots, and had an average thickness of 0.54 m. The average concentration of OC in the B horizon was 7.9 ± 0.5 g kg −1 soil. The average amount of OC per unit area was 4.8 ± 0.2 kg m−2. A C horizon was observed and described at 43 plots and had an average thickness of 0.28 m. It should be noted that the probability of observing a C horizon was low due to the 1 m fixed sampling depth. The absence of a C horizon in these profiles does not indicate that there is no C horizon at these plots. The average concentration of OC in the C horizon was 4.6 ± 1.1 g kg−1 soil and the average amount of OC per unit area in the C horizon was 1.6 ± 0.3 kg m−2. Due to the 1 m fixed sampling depth, this average is very likely a considerable underestimate of the C stocks in the C horizon. Furthermore, very little is known about the storage capacity of C within C horizons [18].
By summing the SOC in all the master horizons (Table 1), we calculate the mean SOC stock in the top meter of soil in our study area to be 16.1 kg C m−2. In these forested soil profiles, 52.8% of the total OC in these forested soils was determined to be below the A horizon, and 18.0% of the OC was in the organic horizons. Our result of 52.8% of the TOC in the top meter occurring below the A horizon supports the findings of Batjes [14], Gruneberg et al. [18], Harrison et al. [15], Jobbagy and Jackson [16], Lal [17], and Rumpel and Kögel-Knabner [12], that more than 50% of the total OC in the top meter occurs below the top 30 cm. If the average rooting depth for temperate evergreen and deciduous trees is 3.3 m [22,23], then sampling just in the A horizon misses approximately 90% of the root zone, and according to our results, approximately half of the SOC in the top meter of soil.
Table 1.
Mean soil organic carbon (SOC) concentrations (g C kg−1) and stocks (kg C m−2) for each master horizon in the upper 1 m of soil sampled at 11 US National Park forests.
With the prevalence of shallow sampling, usually to a depth of 30 cm, the predictive strength of the thickness and stock of SOC in the A horizon in determining TOC in the profile or even OC stored in the subsoil was analyzed. The stock of SOC and thickness of the A horizon had a strong positive correlation with TOC in the profile (r(306) = 0.74) and explained a significant proportion of the variation in TOC in the profile, R2 = 0.54, F(2, 304) = 178.62, p < 0.001. When considering just the OC stored in the subsoil (SOC in the E, B, and C horizons), the stock of SOC and thickness in the A horizon had a weak positive correlation (r(306) = 0.20) and explained very little of the variation, R2 = 0.04, F(2, 304) = 6.61, p = 0.002. Just sampling the A horizon explains 54% of the variation in TOC stock; however, it is a very poor predictor of what is happening in the subsoil in terms of C storage. This is further justification for sampling soils deeper than the 30 cm currently standardized by the IPCC and GSP in calculating SOC stocks.
3.2. Comparison of SOC among Soil Taxonomic Orders
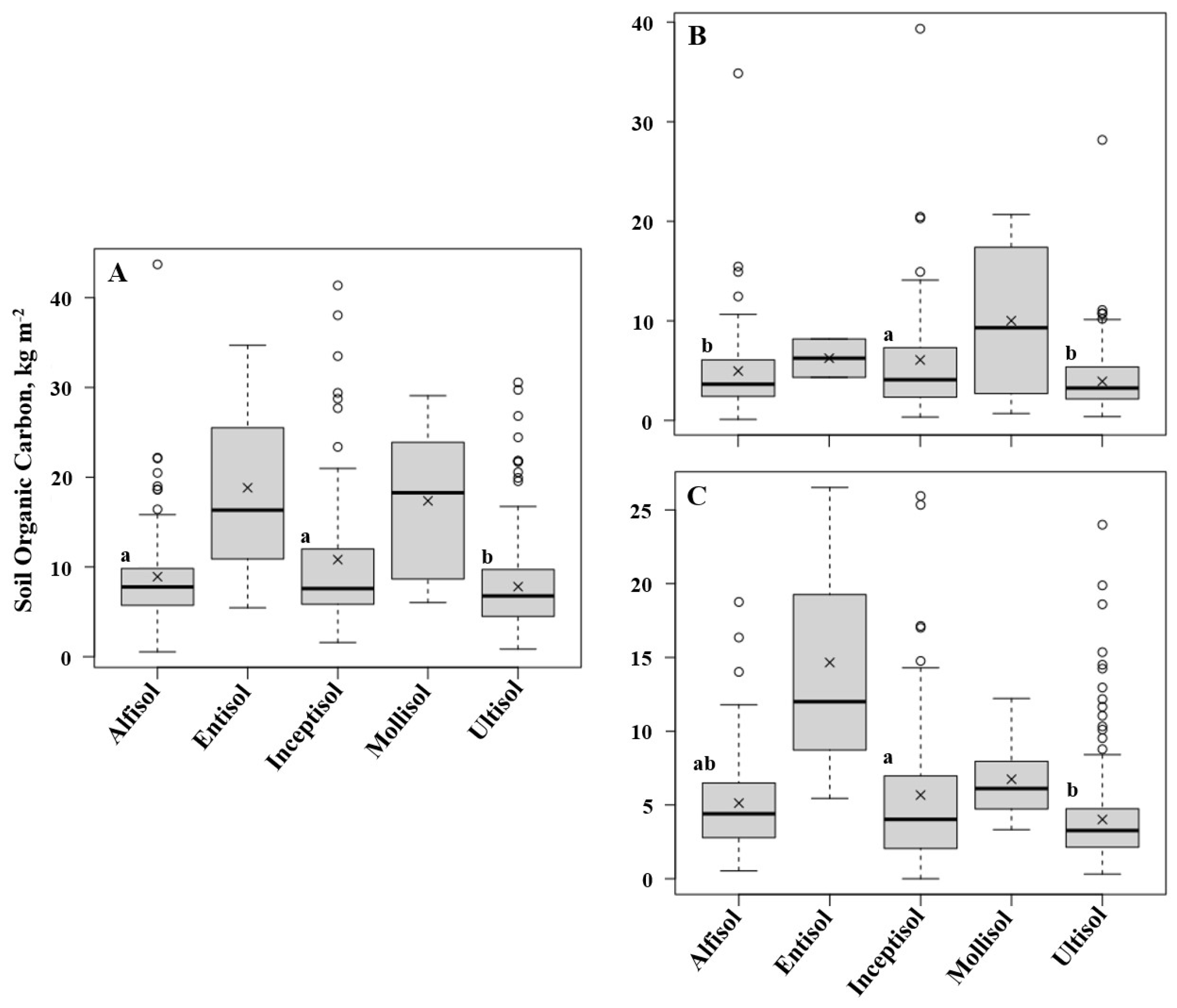
Five soil taxonomic orders were encountered in this study: Inceptisols, Mollisols, Ultisols, Alfisols, and Entisols. Of these orders, only Mollisols are defined in terms of SOC. That is, a mollic epipedon, which is a surface diagnostic horizon characteristic of the order, is, by definition, dark colored and contains at least 0.6% SOC. The six plots that were determined to have Mollisols were located along the Chesapeake and Ohio Canal National Park and the soils belonged to families within the Fluventic Hapludolls subgroup, meaning they were simple humid-region Mollisols associated with river sediments. Of the study plots remaining, 68 were determined to have Inceptisols, 248 were determined to have Ultisols, 88 were determined to have Alfisols, and 3 were determined to have Entisols.
The soil orders Mollisols and Entisols were excluded from statistical analysis since less than 2% of the visited plots were determined to have these orders; however, SOC in the upper meter of Mollisols and Entisols was calculated to average 17.4 ± 3.6 kg C m−2 and 18.8 ± 8.5 kg C m−2, respectively. Soil OC in the upper meter of soil was found to be significantly different among soil orders (F(2, 40) = 7.50, p < 0.001). The average amount of SOC in the upper meter of soil was significantly greater for Inceptisols (n = 68, 10.8 ± 1.0 kg C m−2) compared to Alfisols (n = 88, 9.0 ± 0.6 kg C m−2) and Ultisols (n = 249, 7.8 ± 0.3 kg C m−2) (Figure 3A). Inceptisols in soil taxonomy are defined as soils that exhibit minimal horizon development and are commonly found on young geomorphic surfaces, steep slopes, and/or resistant parent materials [39,43], whereas Alfisols and Ultisols are defined by a diagnostic subsurface horizon, indicating an increase in (illuvial) phyllosilicate clays. Ultisols, by definition, are leached to a greater extent than Alfisols, and require a base saturation of less than 35% at some fixed depth [39,43]. Studies show that SOC is associated with clay, and Alfisols and Ultisols are defined as having an increase in clay in the subsoil [44,45,46,47,48], so the mean SOC stocks for A and B horizons were analyzed independently. The mean thickness in meters of the A horizon for soils identified as Inceptisols was 0.23 ± 0.03, which was significantly greater than the mean thickness of the A horizon for the Alfisols (0.17 ± 0.02) and Ultisols (0.18 ± 0.01) observed in this study. Soil organic carbon stocks within the A horizon were found to be significantly different among soil orders (F(2, 322) = 6.55, p = 0.002). Inceptisols had a significantly higher mean of SOC (6.1 ± 0.8 kg C m−2) compared to Alfisols (5.0 ± 0.5 kg C m−2) and Ultisols (3.9 ± 0.2 kg C m−2) (Figure 3B). The mean thickness in meters of the B horizon was not significantly different among soil orders (Inceptisols 0.49 ± 0.03; Alfisols 0.55 ± 0.03; Ultisols 0.54 ± 0.02). Analyzing the mean SOC in the B horizon among the soil orders (F(2, 375) = 6.19, p = 0.002), there was not a significant difference in SOC stored in Inceptisols (5.7 ± 0.7 kg C m−2) compared to Alfisols (5.1 ± 0.4 kg C m−2), but there was a significant difference compared to Ultisols (4.0 ± 0.2 kg C m−2) (Figure 3C).
Figure 3.
Box and whisker plots of SOC stocks according to taxonomic soil order; (A) in the top meter, (B) in the A horizon, and (C) in the B horizon. The box contains 50% of the values (the 25th and 75th percentiles) and the “whiskers” are the 2.5th and 97.5th percentiles. The “x” point indicates the mean and open circles represent values 1.5 times greater than the interquartile range. Tukey’s HSD was conducted to determine differences among groups. Values with the same lower-case letter do not differ at p > 0.05. Entisols and Mollisols were excluded from statistical comparison because they comprised < 2% of the plots.
It was expected that the mean SOC among soil orders would be more similar going from the A horizon to the B horizon due to an increase in illuvial clay. One plausible explanation that the mean SOC in the B horizon is lower in Ultisols is due to clay mineralogy. Ultisols are leached to a greater extent than Alfisols and thus, they are dominated by kaolinite [49] a 1:1 type silicate clay. On a mass of clay basis, kaolinite has a lower sorption capacity for dissolved organic carbon (DOC) than smectite and illite [50]. Studies indicate that 1:1 layer silicate (kaolinite) clay sorbs less humic acid [51] and polysaccharides [52] than a 2:1 layer silicate clay such as smectite. The differences in DOC sorption could be accounted for by the specific surface area (SSA) of clay minerals. A study conducted in 1992 by Nelson et al. reported a significant positive relationship between SSA and DOC adsorption capacity for surface and subsoil horizons [50]. In addition to the SSA of clay influencing the sorption of DOC, studies suggest that cation content through cation bridging can also influence DOC sorption [50,53,54,55]. The concentration of polyvalent cations such as Ca2+ and Mg2+ is dependent on clay mineralogy (in addition to other environmental variables) and is lowest in material dominated by kaolinite, and higher in material dominated by smectite. Thus, the concentration of polyvalent cations increases from Ultisols to Alfisols and from Alfisols to Inceptisols.
3.3. Comparison of SOC among Physiographic Provinces
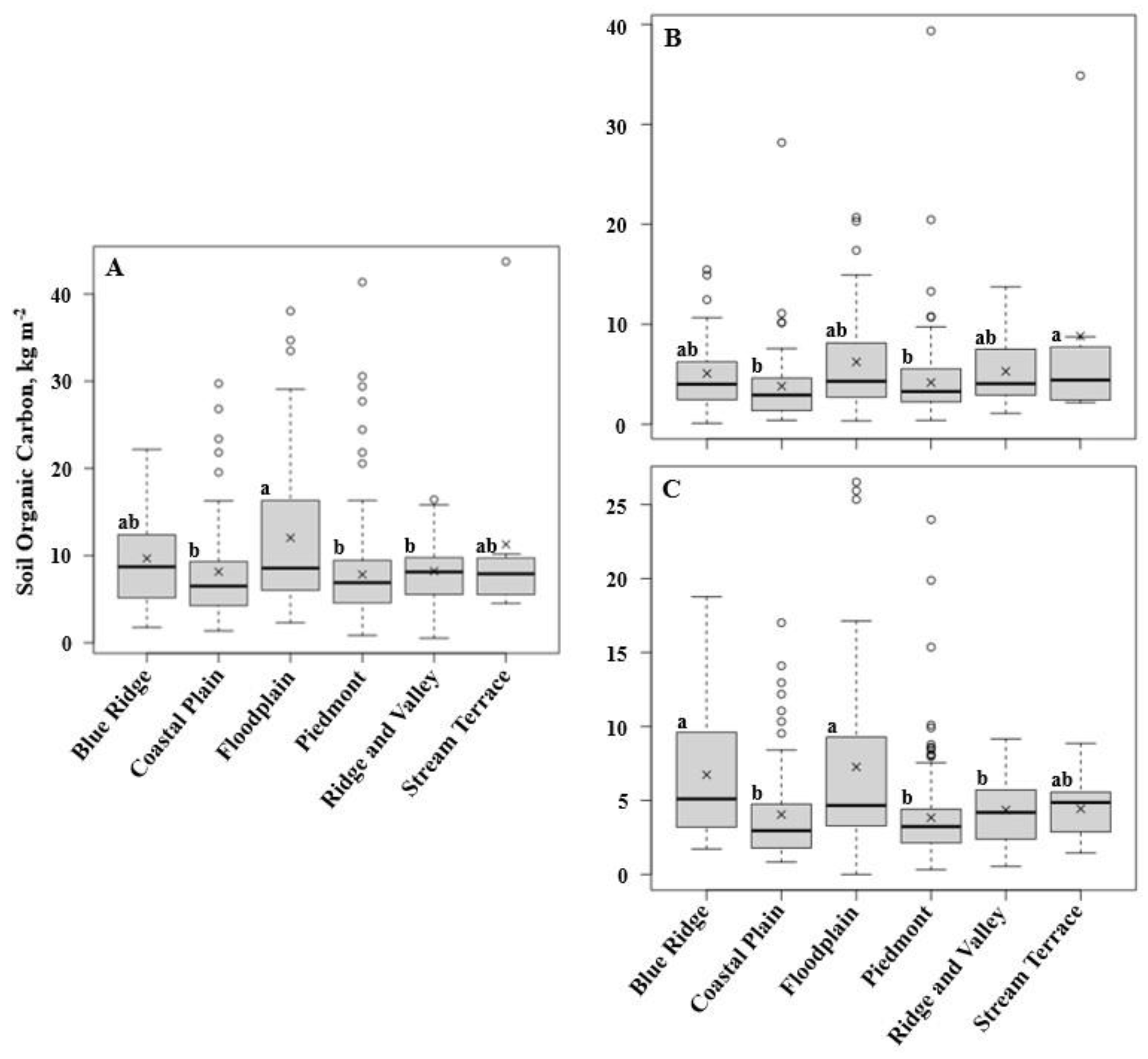
The contiguous United States comprises eight physiographic regions, 25 physiographic provinces, and 85 physiographic sections [35]. The divisions are defined by geomorphology, such as landforms, rock type, geologic structure, and geologic age [35,56,57]. Four physiographic provinces were encountered in this study: the Coastal Plain (71 plots), the Piedmont (194 plots), the Blue Ridge (56 plots), and the Ridge and Valley (33 plots). The Coastal Plain is an area of low relief that gently slopes towards the ocean. The fall line, an erosional scarp, separates the Coastal Plain from the Piedmont. The Piedmont is composed of hard, crystalline igneous and metamorphic rocks and extends from the inner edge of the Coastal Plain westward to Catoctin Mountain, the eastern boundary of the Blue Ridge province. The Blue Ridge is characterized by ridges, rolling hills, and eroded mountains of the Appalachian Mountain Belt. The Blue Ridge is bounded on the northwest side by the Great Smoky fault, across which lies the Ridge and Valley. The Ridge and Valley consists of sedimentary rock which was folded during the building of the Appalachians. As erosion occurred, ridges developed on resistant layers of sandstone or chert, whereas, valleys are underlain by shale or limestone. Dissecting these provinces are rivers, and the distinct morphology of rivers include floodplains (50 plots) and stream terraces (9 plots). Floodplains and stream terraces are not considered to be in any of the physiographic provinces since depositional events bringing in sediment dominate soil formation and river morphology is not unique to a specific region.
The mean stocks of SOC in the top meter of soil were significantly different among physiographic provinces and alluvial soils (F(5, 407) = 4.70, p < 0.001). The plots located within a floodplain (12.0 ± 1.2 kg C m−2) had significantly more SOC on average than plots located within the Coastal Plain (8.2 ± 0.7 kg C m−2), the Piedmont (7.8 ± 0.4 kg C m−2), and the Ridge and Valley (8.2 ± 0.7 kg C m−2) (Figure 4A). Plots located on floodplains and stream terraces (11.3 ± 4.1 kg C m−2) did not statistically differ (p = 0.999).
Figure 4.
Box and whisker plots of SOC stocks by physiographic province; (A) in the top meter, (B) in the A horizon, and (C) in the B horizon. The box contains 50% of the values (the 25th and 75th percentiles) and the “whiskers” are the 2.5th and 97.5th percentiles. The “x” point indicates the mean and open circles represent values 1.5 times greater than the interquartile range. Tukey’s HSD was conducted to determine differences among groups. Values with the same lower-case letter do not differ at p > 0.05.
The average depth of the auger boring in the Blue Ridge plots was 0.41 ± 0.04 m. It was significantly shallower than the average auger boring for plots located within the Coastal Plain (0.75 ± 0.04 m), the Piedmont (0.78 ± 0.02), the Ridge and Valley (0.65 ± 0.05), and floodplains (0.73 ± 0.04). Of the 56 plots located within the Blue Ridge province, only three have a complete 1 m profile description. The average depth of the auger boring for plots located within a stream terrace was 0.50 ± 0.07 m. Since an unknown amount of SOC may have been stored in the soil between rocky fragments, our estimate of SOC stocks for the upper 1 m in the Blue Ridge is most likely an underestimate; so, the A and B horizons were also analyzed independently. Soil organic carbon stocks in the A horizons were found to be significantly different among physiographic provinces and alluvial soils (F(5, 327) = 3.50, p = 0.004) (Figure 4B). The mean stock of SOC in the stream terraces (8.8 ± 4.4 kg C m−2) was significantly greater than in the Piedmont (4.2 ± 0.3 kg C m−2) and the Coastal Plain (3.8 ± 0.5 kg C m−2). Analyzing the mean SOC in the B horizon among physiographic provinces and alluvial soils (F(5, 381) = 9.20, p < 0.001) (Figure 4C), the mean stock of SOC in the Blue Ridge (6.7 ± 0.7 kg C m−2) was significantly greater than the mean stock of SOC in the Ridge and Valley (4.4 ± 0.4 kg C m−2), the Piedmont (3.8 ± 0.2), and the Coastal Plain (4.0 ± 0.4 kg C m−2), whereas the mean stock of SOC in the floodplain (7.3 ± 1.0) was significantly greater than the mean stock of SOC in the Coastal Plain, the Piedmont, and the Ridge and Valley.
The differences in SOC stocks among the provinces could be related to the age of the forests, and elevation differences. Around the 1600s up through the late 1800s, European colonists cleared the forests for agricultural fields and pasturelands [58,59]. Then, in the late 1800s, there was a migration from rural to urban areas, which allowed some land to recover and for reforestation to occur. This human disturbance could have lasting effects on SOC storage [60]. In addition to human disturbance, each province has its own unique set of natural disturbances. The Blue Ride, Ridge and Valley, and interior of the Piedmont experience canopy gap and low frequency surface fires, whereas the Coastal Plain experiences hurricanes and more frequent surface fires [60]. Forest C storage is also shown to be positively correlated with increasing elevation, and SOC stocks typically increase with elevation due to a decrease in decomposition as temperature decreases [61,62,63,64]. The elevation of the Blue Ridge averages 2037 m above sea level, whereas the Piedmont averages 264 m and the Coastal Plains’ highest point in the Mid-Atlantic region is 116 m above sea level. It is reasonable to infer that the increase in mean SOC stocks going from the coastal plain towards the Blue Ridge is due to the change in temperature and the age of the forests.
3.4. Comparison of SOC among Parent Material Types
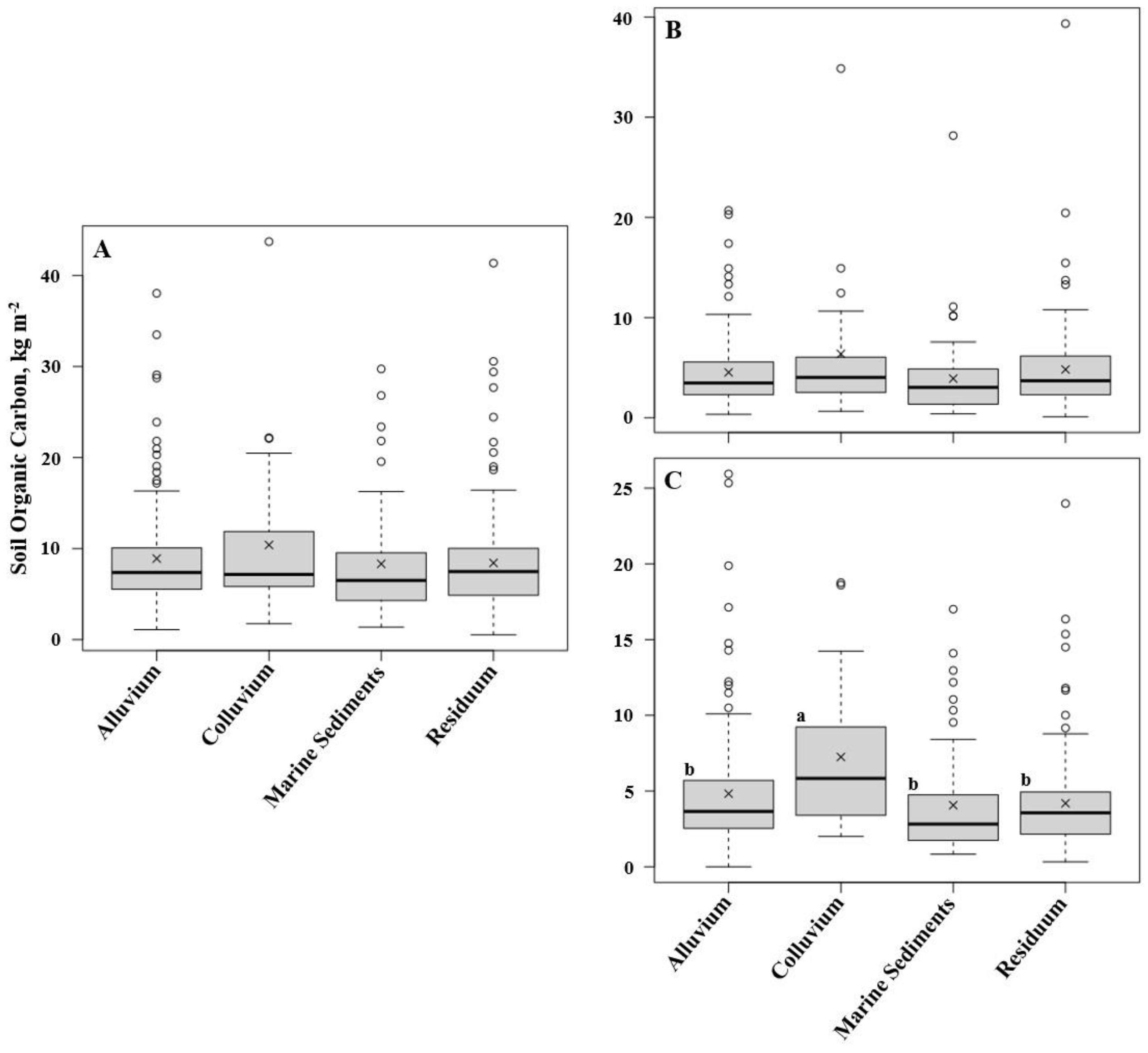
In this study, four different PM types were encountered—alluvium (139 plots), colluvium (33 plots), residuum (170 plots), and marine sediment (65 plots). The distribution and storage of SOC in the top meter of the studied forested plots did not significantly differ by PM (F(3, 403) = 1.13, p = 0.338) (alluvium 8.9 ± 0.5; colluvium 10.4 ± 1.5; marine sediment 8.4 ± 0.7; residuum 8.4 ± 0.4 kg C m−2) (Figure 5A). The mean stock of SOC in the A and B master horizons according to PM was also analyzed independently. When the A horizons were analyzed (Figure 5B), the mean stock of SOC did not significantly differ by PM (F(3, 325) = 1.68, p = 0.17), whereas, when the B horizons were analyzed (Figure 5C), the mean stock of SOC was significantly different among PM (F(3, 377) = 5.39, p = 0.001). The mean stock of SOC in colluvial material (7.3 ± 1.0 kg C m−2) was significantly greater than the mean stock of SOC in marine sediments (4.1 ± 0.4 kg C m−2), residuum (4.2 ± 0.3 kg C m−2), and alluvium (4.8 ± 0.4 kg C m−2). We therefore speculate that PM type (mode of transport) may not need to be taken into consideration when modeling regional OC estimates in the upper meter of soil in the Mid-Atlantic region. However, if the investigation is quantifying stocks of SOC according to pedogenic horizons, then PM type should be considered and identified.
Figure 5.
Box and whisker plots of SOC stocks by parent material; (A) in the top meter, (B) in the A horizon, and (C) in the B horizon. The box contains 50% of the values (the 25th and 75th percentiles) and the “whiskers” are the 2.5th and 97.5th percentiles. The “x” point indicates the mean and open circles represent values 1.5 times greater than the interquartile range. Tukey’s HSD was conducted to determine differences among groups. Values with the same lower-case letter do not differ at p > 0.05.
3.5. Comparison of SOC among Soil Drainage Classes
Drainage classes refer to the frequency and duration of wet periods during soil formation [65]. For statistical analysis, the seven drainage classes were combined into three groups—a “well drained” (WD) group (264 plots) composed of excessively well, somewhat excessively, and well drained soils; a “moderately well drained” (MWD) group (84 plots); and a “poorly drained” (PD) group (65 plots) composed of somewhat poorly, poorly, and very poorly drained soils.
The mean stocks of SOC in the top meter of soil were significantly different among drainage groups (F(2, 410) = 2.81, p = 0.060). Soils in the PD group contained significantly more SOC in the top meter (9.8 ± 0.8 kg C m−2) than soils in the MWD group (7.5 ± 0.6 kg C m−2). However, the mean SOC in the PD group was not significantly different than the WD group (8.9 ± 0.4 kg C m−2). The effect of drainage group on the mean stocks of SOC according to master horizon was also analyzed (Figure 6A,B). The mean stock of SOC in the A horizon was not significantly different among drainage groups (F(2, 330) = 0.78, p = 0.46) (Figure 6A), whereas the mean stock of SOC in the B horizon was significantly different among drainage groups (F(2, 384) = 6.76, p = 0.001). Soils in the PD group (6.0 ± 0.7 kg C m−2) contained significantly more SOC than the mean stock of SOC in the MWD group (3.6 ± 0.3 kg C m−2) and the WD group (4.7 ± 0.3 kg C m−2) (Figure 6B). This effect of drainage group was unexpected because the more poorly drained a soil is, the more frequently its upper part is likely to be water-saturated. Under anaerobic conditions, OM decomposition slows down, and SOM accumulation increases, so there is a general assumption that PD soils will have significantly more SOC. However, our results corroborate the results reported by Raymond et al. [66], which state that PD soils (excluding Histosols and mineral histics) did not have significantly more SOC down to the C horizon. Two reasons supporting the results are provided; in better drained soils, eluviation and illuviation processes are more expressed and the rooting depth is deeper [66].
Figure 6.
Box and whisker plots of SOC stocks according to soil drainage group; (A) in the A horizon, and (B) in the B horizon. The box contains 50% of the values (the 25th and 75th percentiles) and the “whiskers” are the 2.5th and 97.5th percentiles. The “x” point indicates the mean and open circles represent values 1.5 times greater than the interquartile range. Tukey’s HSD was conducted to determine differences among groups. Values with the same lower-case letter do not differ at p > 0.05.
3.6. Comparison of SOC among Soils Formed from Different Rock Types
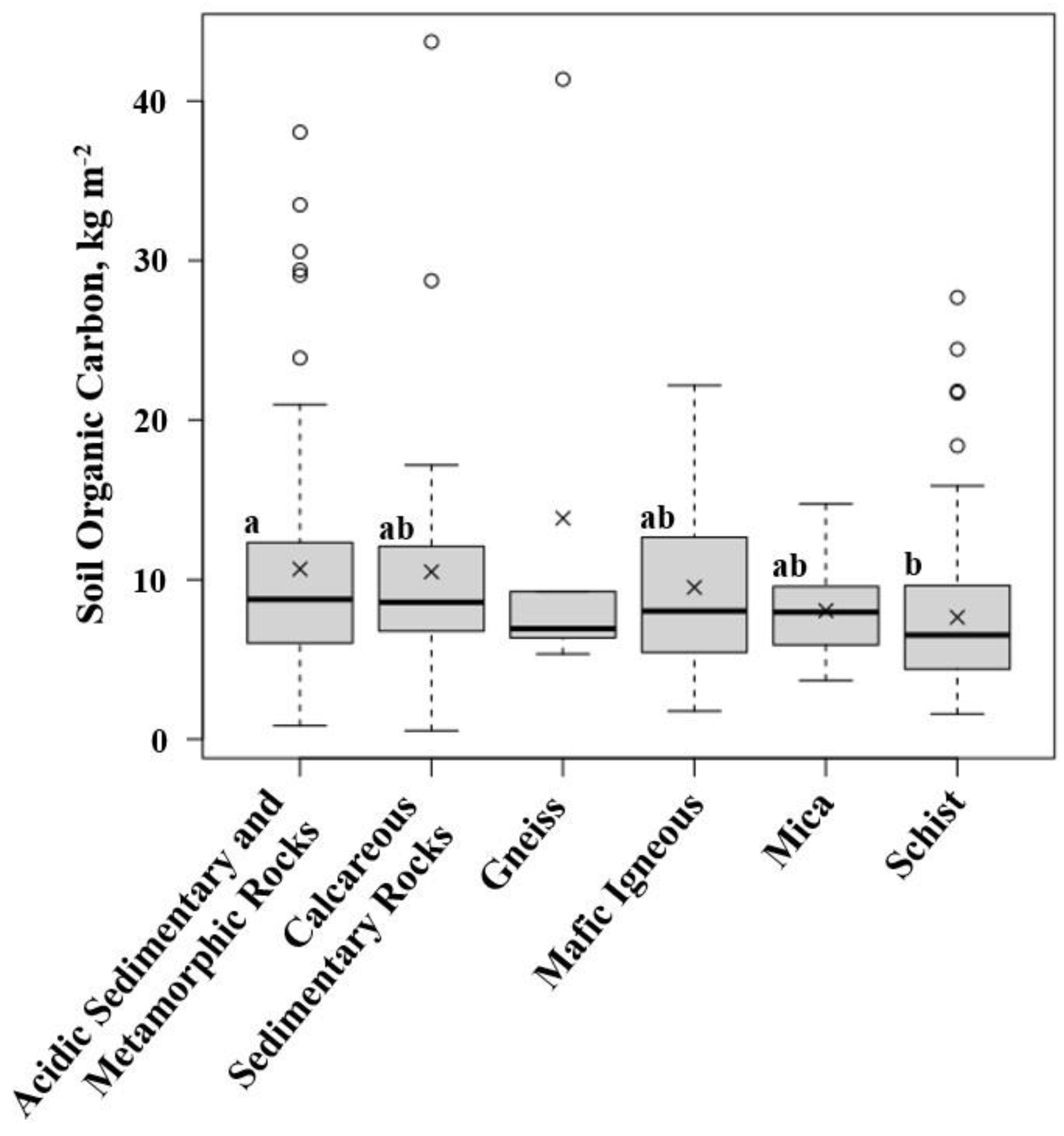
In this study, rock type refers to the predominant rock(s) that comprise the PM. The igneous rocks encountered included diabase and basalt. The sedimentary rocks encountered included sandstone, shale, limestone, and conglomerate. Metamorphic rocks included quartzite, slate, gneiss, schist, greenstone, and phyllite. The rock types were divided into the following six groups for comparison: (1) mafic igneous rocks (diabase, basalt, and greenstone), (2) schist, (3) gneiss, (4) calcareous sedimentary rocks (mainly limestones), (5) acidic sedimentary and metamorphic rocks (shale, siltstones, sandstone, and slate), and (6) mica. For analysis, soil profiles derived from “marine sediments” had no rock type. The rock group mica was excluded from statistical analysis since less than 2% of the visited plots were determined to have PM dominated by that rock type.
The mean stock of SOC in the top meter of soil significantly differed among rock types (F(4, 280) = 3.66, p = 0.006). Soil which formed from PM that was dominated by schist (7.7 ± 0.4 kg C m−2) had a significantly lower mean stock of SOC in the top meter compared to acidic sedimentary and metamorphic rocks (10.7 ± 0.8 kg C m−2) (Figure 7). Schists usually have a similar mineralogy to gneiss but tend to weather more readily than gneiss, so schist-derived soils of a similar age may exhibit lower levels of soil fertility, which could lead to lower vegetative productivity and SOC stocks. The mean stock of SOC in the top meter of soil was not significantly different among mica (8.1 ± 0.6 kg C m−2), mafic igneous rocks (9.5 ± 1.0 kg C m−2), and calcareous sedimentary rocks (10.5 ± 1.3 kg C m−2).
Figure 7.
Mean mass of SOC per unit area for each parent material rock type. The box contains 50% of the values (the 25th and 75th percentiles) and the “whiskers” are the 2.5th and 97.5th percentiles. The “x” point indicates the mean and open circles represent values 1.5 times greater than the interquartile range. Tukey’s HSD was conducted to determine differences among groups. Values with the same lower-case letter do not differ at p > 0.05.
4. Conclusions
This study adds to a growing body of research that demonstrates the importance of sampling soils deeper than the 0.3 m currently used by the IPCC and GSP in calculating soil organic carbon (SOC) stocks. Our results demonstrate that more than 50% of the total organic carbon (TOC) in the upper meter of soil occurred below the A horizon, which had an average thickness of 18.8 cm in these forested plots. Our results also demonstrated that the thickness of and SOC stocks in the A horizon accounted for 54% of the variation in TOC stock, but it is a very poor predictor of what is happening in the subsoil in terms of C storage (R2 = 0.04). Although in our study we sampled to 1 m depth, we suggest that the standard depth for SOC stock studies in mineral soils be based on the biome, so as to include 90% of the mean natural vegetation rooting depth. For example, temperate forest soils would be sampled to 1.2 m if the mean values of Schenk and Jackson [24] are established as the standard.
We also demonstrated that bulk density (Db) values from subsoil horizons are strongly correlated (R2 = 0.75) with the SSURGO representative Db values at the soil-series level. However, there was no significant relationship between the SSURGO representative Db values for A horizons and the mean measured Db for A horizons. Fortunately, measuring Db in A horizons is relatively easy and does not pose a challenge in most studies as compared to the difficulty of measuring Db in subsoil horizons. Therefore, we concluded that the NRCS SSURGO representative Db values can be used as proxies for Db from subsoil horizons if the soil series is identified.
Supplementary Materials
The following supporting information can be downloaded at: https://www.mdpi.com/article/10.3390/f15071260/s1, ANOVA results and the LS mean tables for SOC analysis according to soil orders, physiographic provinces, parent material, drainage class, and rock material, and images of 10 soil profiles (collected from hand augering) with identified horizons labeled, and park and plot identification.
Author Contributions
D.J.C.: Formal analysis, Methodology, Investigation, Validation, Writing—original draft, and Writing—review and editing; R.R.W.: Conceptualization, Funding acquisition, Methodology, Resources, Supervision, Writing—original draft, and Writing—review and editing. All authors have read and agreed to the published version of the manuscript.
Funding
This study was partially funded by the National Park Service Inventory and Monitoring Program, task agreement P17AC01254, and was supported, in part, by the Hatch Research Capacity Fund Program, Accession No. 7006877, from the U.S. Department of Agriculture’s National Institute of Food and Agriculture.
Data Availability Statement
The original data presented in this study are available in NPS DataStore at https://irma.nps.gov/DataStore/Reference/Profile/2247680 [67]. However, due to download restrictions, the original contributions presented in the study are included in the Supplementary Material; further inquiries can be directed to the corresponding author.
Acknowledgments
This article was derived from Daniel Colopietro’s (author) masters of science research titled, “Soil Organic Carbon in Mid-Atlantic Region Forest Soils: Stocks and Vertical Distribution”, conducted in the Department of Environmental Science and Technology, at the University of Maryland, College Park. The authors would like to acknowledge the hard work of the 25 student interns who collected soil data in the field and processed samples in the Center for Urban Ecology lab from 2007 to 2017.
Conflicts of Interest
The authors declare that the research was conducted in the absence of any commercial or financial relationships that could be construed as a potential conflict of interest.
Correction Statement
This article has been republished with a minor correction to the supplemental data. This change does not affect the scientific content of the article.
Appendix A
Table A1.
A summary of soils and forest types encountered at Antietam National Battlefield, Greenbelt National Park, and Prince William Forest Park.
Table A1.
A summary of soils and forest types encountered at Antietam National Battlefield, Greenbelt National Park, and Prince William Forest Park.
| Park | Park Coordinates | Soil Series Present a | Taxonomic Classification b | Parent Material b |
|---|---|---|---|---|
| Antietam National Battlefield | 39°28′13″ N 77°44′17″ W | Hagerstown | Fine, mixed, semiactive, mesic Typic Hapludalfs | Limestone Residuum |
| Duffield | Fine-loamy, mixed, active, mesic Ultic Hapludalfs | Limestone Residuum | ||
| Carbo | Very fine, mixed, active, mesic Typic Hapludalfs | Limestone Residuum | ||
| Greenbelt National Park | 38°59′21″ N 76°53′54″ W | Christiana | Fine, kaolinitic, mesic Aquic Hapludults | Marine Sediments |
| Prince William Forest Park | 38°35′07″ N 77°22′47″ W | Glenelg | Fine-loamy, mixed, semi active, mesic Typic Hapludults | Gneiss/Schist Residuum |
| Meadowville | Fine-loamy, mixed, semi active, mesic Typic Hapludults | Alluvium | ||
| Elsinboro | Fine-loamy, mixed, semiactive, mesic Typic Hapludults | Alluvium | ||
| Fairfax | Fine, mixed, subactive, mesic Typic Hapludults | Gneiss/Schist Residuum | ||
| Buckhall | Fine, mixed, semiactive, mesic Typic Hapludults | Gneiss/Schist Residuum | ||
| Hatboro | Fine-loamy, mixed, active, nonacid, mesic Fluvaquentic Endoaquepts | Alluvium |
a Soil Survey Staff, NRCS, United States Department of Agriculture. Web Soil Survey and auger profile descriptions by NPS monitoring program. b Soil Survey Staff, NRCS, United States Department of Agriculture. Official Soil Series Descriptions.
References
- Lal, R. Forest Soils and Carbon Sequestration. For. Ecol. Manag. 2005, 220, 242–258. [Google Scholar] [CrossRef]
- Luyssaert, S.; Schulze, E.-D.; Börner, A.; Knohl, A.; Hessenmöller, D.; Law, B.E.; Ciais, P.; Grace, J. Old-Growth Forests as Global Carbon Sinks. Nature 2008, 455, 213–215. [Google Scholar] [CrossRef] [PubMed]
- Pan, Y.; Birdsey, R.; Fang, J.; Houghton, R.; Kauppi, P.; Kurz, W.; Phillips, O.; Shvidenko, A.; Lewis, S.; Canadell, J.; et al. A Large and Persistent Carbon Sink in the World’s Forests. Science 2011, 333, 988–993. [Google Scholar] [CrossRef] [PubMed]
- Dixon, R.K.; Solomon, A.M.; Brown, S.; Houghton, R.A.; Trexier, M.C.; Wisniewski, J. Carbon Pools and Flux of Global Forest Ecosystems. Science 1994, 263, 185–190. [Google Scholar] [CrossRef] [PubMed]
- Bohn, H.L. Estimate of Organic Carbon in World Soils. Soil Sci. Soc. Am. J. 1976, 40, 468–470. [Google Scholar] [CrossRef]
- Scharlemann, J.P.; Tanner, E.V.; Hiederer, R.; Kapos, V. Global Soil Carbon: Understanding and Managing the Largest Terrestrial Carbon Pool. Carbon Manag. 2014, 5, 81–91. [Google Scholar] [CrossRef]
- Harper, R.J.; Tibbett, M. The Hidden Organic Carbon in Deep Mineral Soils. Plant Soil 2013, 368, 641–648. [Google Scholar] [CrossRef]
- The National Greenhouse Gas Inventories Programme; Eggleston, H.S.; Buendia, L.; Miwa, K.; Ngara, T.; Tanabe, K. (Eds.) 2006 IPCC Guidelines for National Greenhouse Gas Inventories; Agriculture, Forestry and Other Land Use; Institute for Global Environmental Strategies (IGES): Hayama, Japan, 2006; Volume 4. [Google Scholar]
- Janssens, I.A.; Freibauer, A.; Schlamadinger, B.; Ceulemans, R.; Ciais, P.; Dolman, A.J.; Heimann, M.; Nabuurs, G.-J.; Smith, P.; Valentini, R.; et al. The Carbon Budget of Terrestrial Ecosystems at Country-Scale—A European Case Study. Biogeosciences 2005, 2, 15–26. [Google Scholar] [CrossRef]
- Wiesmeier, M.; Spörlein, P.; Geuß, U.; Hangen, E.; Haug, S.; Reischl, A.; Schilling, B.; Lützow, M.; Kögel-Knabner, I. Soil Organic Carbon Stocks in Southeast Germany (Bavaria) as Affected by Land Use, Soil Type and Sampling Depth. Glob. Change Biol. 2012, 18, 2233–2245. [Google Scholar] [CrossRef]
- Raffeld, A.M.; Bradford, M.A.; Jackson, R.D.; Rath, D.; Sanford, G.R.; Tautges, N.; Oldfield, E.E. The Importance of Accounting Method and Sampling Depth to Estimate Changes in Soil Carbon Stocks. Carbon Balance Manag. 2024, 19, 2. [Google Scholar] [CrossRef] [PubMed]
- Rumpel, C.; Kögel-Knabner, I. Deep Soil Organic Matter—A Key but Poorly Understood Component of Terrestrial C Cycle. Plant Soil 2011, 338, 143–158. [Google Scholar] [CrossRef]
- Olson, K.R.; Al-Kaisi, M.M. The Importance of Soil Sampling Depth for Accurate Account of Soil Organic Carbon Sequestration, Storage, Retention and Loss. CATENA 2014, 125, 33–37. [Google Scholar] [CrossRef]
- Batjes, N.H. Total Carbon and Nitrogen in the Soils of the World. Eur. J. Soil Sci. 1996, 65, 10–21. [Google Scholar] [CrossRef]
- Harrison, R.B.; Adams, A.B.; Licata, C.; Flaming, B.; Wagoner, G.L.; Carpenter, P.; Vance, E.D. Quantifying Deep-Soil and Coarse-Soil Fractions. Soil Sci. Soc. Am. J. 2003, 67, 1602–1606. [Google Scholar] [CrossRef]
- Jobbágy, E.G.; Jackson, R.B. The Vertical Distribution of Soil Organic Carbon and Its Relation to Climate and Vegetation. Ecol. Appl. 2000, 10, 423–436. [Google Scholar] [CrossRef]
- Lal, R. Digging Deeper: A Holistic Perspective of Factors Affecting Soil Organic Carbon Sequestration in Agroecosystems. Glob. Change Biol. 2018, 24, 3285–3301. [Google Scholar] [CrossRef]
- Grüneberg, E.; Schöning, I.; Kalko, E.K.V.; Weisser, W.W. Regional Organic Carbon Stock Variability: A Comparison Between Depth Increments and Soil Horizons. Geoderma 2010, 155, 426–433. [Google Scholar] [CrossRef]
- Broadbent, F.E.; Nakashima, T. Mineralization of Carbon and Nitrogen in Soil Amended with Carbon-13 and Nitrogen-15 Labeled Plant Material. Soil Sci. Soc. Am. J. 1974, 38, 313–315. [Google Scholar] [CrossRef]
- Persson, H.Å. The High Input of Soil Organic Matter from Dead Tree Fine Roots into the Forest Soil. Int. J. For. Res. 2012, 2012, 1–9. [Google Scholar] [CrossRef]
- Rasse, D.P.; Rumpel, C.; Dignac, M.-F. Is Soil Carbon Mostly Root Carbon? Mechanisms for a Specific Stabilisation. Plant Soil 2005, 269, 341–356. [Google Scholar] [CrossRef]
- Foxx, T.; Tierney, G.; Williams, J. Rooting Depths of Plants Relative to Biological and Environmental Factors; United States Government Publishing Office: Washington, DC, USA, 1984; p. LA-10254-MS. [Google Scholar]
- Canadell, J.; Jackson, R.B.; Ehleringer, J.B.; Mooney, H.A.; Sala, O.E.; Schulze, E.-D. Maximum Rooting Depth of Vegetation Types at the Global Scale. Oecologia 1996, 108, 583–595. [Google Scholar] [CrossRef] [PubMed]
- Schenk, H.J.; Jackson, R.B. The Global Biography of Roots. Ecol. Monogr. 2002, 72, 311–328. [Google Scholar] [CrossRef]
- Kleber, M.; Nico, P.S.; Plante, A.; Filley, T.; Kramer, M.; Swanston, C.; Sollins, P. Old and Stable Soil Organic Matter Is Not Necessarily Chemically Recalcitrant: Implications for Modeling Concepts and Temperature Sensitivity. Glob. Change Biol. 2011, 17, 1097–1107. [Google Scholar] [CrossRef]
- Dungait, J.A.J.; Hopkins, D.W.; Gregory, A.S.; Whitmore, A.P. Soil Organic Matter Turnover Is Governed by Accessibility Not Recalcitrance. Glob. Change Biol. 2012, 18, 1781–1796. [Google Scholar] [CrossRef]
- Blake, G.R.; Hartge, K.H. Bulk Density. In Methods of Soil Analysis; John Wiley & Sons, Ltd.: Hoboken, NJ, USA, 1986; pp. 363–375. ISBN 978-0-89118-864-3. [Google Scholar]
- Elliott, E.T.; Heil, J.W.; Kelly, E.F.; Monger, H.C. Soil Structural and Other Physical Properties. In Standard Soil Methods for Long-Term Ecological Research; Oxford University Press Oxford: Oxford, UK, 1999; pp. 74–85. [Google Scholar]
- Throop, H.L.; Archer, S.R.; Monger, H.C.; Waltman, S. When Bulk Density Methods Matter: Implications for Estimating Soil Organic Carbon Pools in Rocky Soils. J. Arid Environ. 2012, 77, 66–71. [Google Scholar] [CrossRef]
- Manrique, L.A.; Jones, C.A.; Dyke, P.T. Predicting Cation-Exchange Capacity from Soil Physical and Chemical Properties. Soil Sci. Soc. Am. J. 1991, 55, 787–794. [Google Scholar] [CrossRef]
- De Vos, B.; Van Meirvenne, M.; Quataert, P.; Deckers, J.; Muys, B. Predictive Quality of Pedotransfer Functions for Estimating Bulk Density of Forest Soils. Soil Sci. Soc. Am. J. 2005, 69, 500. [Google Scholar] [CrossRef]
- Jeffrey, D.W. A Note on the Use of Ignition Loss as a Means for the Approximate Estimation of Soil Bulk Density. J. Ecol. 1970, 58, 297–299. [Google Scholar] [CrossRef]
- Landa, E.R.; Nimmo, J.R. The Life and Scientific Contributions of Lyman J. Briggs. Soil Sci. Soc. Am. J. 2003, 67, 681–693. [Google Scholar] [CrossRef]
- Martin, M.P.; Lo Seen, D.; Boulonne, L.; Jolivet, C.; Nair, K.M.; Bourgeon, G.; Arrouays, D. Optimizing Pedotransfer Functions for Estimating Soil Bulk Density Using Boosted Regression Trees. Soil Sci. Soc. Am. J. 2009, 73, 485–493. [Google Scholar] [CrossRef]
- Fenneman, N.M. Physiographic Divisions of the United States. Ann. Assoc. Am. Geogr. 1928, 18, 261–353. [Google Scholar] [CrossRef]
- Schmit, J.; Sanders, G.; Lehman, M.; Paradis, T.; Matthews, E. National Capital Region Network Long-Term Forest Vegetation Monitoring Protocol; National Park Service: Fort Collins, CO, USA, 2017; p. 120. [Google Scholar]
- Stevens, D.L.; Olsen, A.R. Spatially Balanced Sampling of Natural Resources. J. Am. Stat. Assoc. 2004, 99, 262–278. [Google Scholar] [CrossRef]
- Schoeneberger, P.; Wysocki, D.; Benham, E.; Soil Survey Staff. Field Book for Describing and Sampling Soils, Version 3.0; Natural Resources Conservation Service: Lincoln, NE, USA, 2012. [Google Scholar]
- Soil Survey Staff. Keys to Soil Taxonomy, 13th ed.; USDA Natural Resources Conservation Service: Washington, DC, USA, 2022. [Google Scholar]
- Throop, H.L.; Archer, S.R. Shrub (Prosopis Velutina) Encroachment in a Semidesert Grassland: Spatial–Temporal Changes in Soil Organic Carbon and Nitrogen Pools. Glob. Change Biol. 2008, 14, 2420–2431. [Google Scholar] [CrossRef]
- Soil Survey Staff. Natural Resources Conservation Service Web Soil Survey. Available online: https://websoilsurvey.sc.egov.usda.gov/App/HomePage.htm (accessed on 10 November 2022).
- R Core Team. R: A Language and Environment for Statistical Computing; R Foundation for Statistical Computing: Vienna, Austria, 2021. [Google Scholar]
- Soil Survey Staff. Soil Taxonomy: A Basic System of Soil Classification for Making and Interpreting Soil Surveys, 2nd ed.; USDA Natural Resources Conservation Service: Washington, DC, USA, 1999. [Google Scholar]
- Christensen, B.T. Physical Fractionation of Soil and Structural and Functional Complexity in Organic Matter Turnover. Eur. J. Soil Sci. 2001, 52, 345–353. [Google Scholar] [CrossRef]
- Feller, C.; Beare, M.H. Physical Control of Soil Organic Matter Dynamics in the Tropics. Geoderma 1997, 79, 69–116. [Google Scholar] [CrossRef]
- Greenland, D.J. Interactions Between Humic and Fulvic Acids and Clays. Soil Sci. 1971, 111, 34. [Google Scholar] [CrossRef]
- Hassink, J. The Capacity of Soils to Preserve Organic C and N by Their Association with Clay and Silt Particles. Plant Soil 1997, 191, 77–87. [Google Scholar] [CrossRef]
- Wu, T.; Ost, A.D.; Audinot, J.-N.; Wiesmeier, M.; Wirtz, T.; Buegger, F.; Häusler, W.; Höschen, C.; Mueller, C.W. Association of Fresh Low-Molecular-Weight Organic Compounds with Clay-Sized Mineral Fraction in Soils of Different Organic Carbon Loading. Geoderma 2022, 409, 115657. [Google Scholar] [CrossRef]
- Allen, B.L.; Fanning, D.S. Composition and Soil Genesis. In Developments in Soil Science; Wilding, L.P., Smeck, N.E., Hall, G.F., Eds.; Pedogenesis and Soil Taxonomy; Elsevier: Amsterdam, the Netherlands, 1983; Volume 11, pp. 141–192. [Google Scholar]
- Saidy, A.R.; Smernik, R.J.; Baldock, J.A.; Kaiser, K.; Sanderman, J. The Sorption of Organic Carbon Onto Differing Clay Minerals in the Presence and Absence of Hydrous Iron Oxide. Geoderma 2013, 209–210, 15–21. [Google Scholar] [CrossRef]
- Wang, K.; Xing, B. Structural and Sorption Characteristics of Adsorbed Humic Acid on Clay Minerals. J. Environ. Qual. 2005, 34, 342–349. [Google Scholar] [CrossRef] [PubMed]
- Dontsova, K.M.; Bigham, J.M. Anionic Polysaccharide Sorption by Clay Minerals. Soil Sci. Soc. Am. J. 2005, 69, 1026–1035. [Google Scholar] [CrossRef]
- Arnarson, T.S.; Keil, R.G. Mechanisms of Pore Water Organic Matter Adsorption to Montmorillonite. Mar. Chem. 2000, 71, 309–320. [Google Scholar] [CrossRef]
- Feng, X.; Simpson, A.J.; Simpson, M.J. Chemical and Mineralogical Controls on Humic Acid Sorption to Clay Mineral Surfaces. Org. Geochem. 2005, 36, 1553–1566. [Google Scholar] [CrossRef]
- Schlautman, M.A.; Morgan, J.J. Adsorption of Aquatic Humic Substances on Colloidal-Size Aluminum Oxide Particles: Influence of Solution Chemistry. Geochim. Cosmochim. Acta 1994, 58, 4293–4303. [Google Scholar] [CrossRef]
- Fenneman, N.M. Physiographic Boundaries Within the United States. Ann. Assoc. Am. Geogr. 1914, 4, 84–136. [Google Scholar] [CrossRef][Green Version]
- Fenneman, N.M. Physiographic Subdivision of the United States. Proc. Natl. Acad. Sci. USA 1917, 3, 17–22. [Google Scholar] [CrossRef]
- Foster, D.R.; Motzkin, G.; Slater, B. Land-Use History as Long-Term Broad-Scale Disturbance: Regional Forest Dynamics in Central New England. Ecosystems 1998, 1, 96–119. [Google Scholar] [CrossRef]
- Birdsey, R.; Pregitzer, K.; Lucier, A. Forest Carbon Management in the United States. J. Environ. Qual. 2006, 35, 1461–1469. [Google Scholar] [CrossRef] [PubMed]
- Nave, L.E.; DeLyser, K.; Domke, G.M.; Holub, S.M.; Janowiak, M.K.; Ontl, T.A.; Sprague, E.; Viau, N.R.; Walters, B.F.; Swanston, C.W. Soil Carbon in the South Atlantic United States: Land Use Change, Forest Management, and Physiographic Context. For. Ecol. Manag. 2022, 520, 120410. [Google Scholar] [CrossRef]
- Saeed, S.; Yujun, S.; Mukete, B.; Shah, S.; Mannan, A.; Chen, L.; Zhou, L.; Khan, T.U.; Khan, A.; Amir, M.; et al. Altitudinal Gradients and Forest Edge Effect on Soil Organic Carbon in Chinese Fir (Cunninghamia Lanceolata): A Study from Southeastern China. Appl. Ecol. Environ. Res. 2019, 17, 745–757. [Google Scholar] [CrossRef]
- Schindlbacher, A.; de Gonzalo, C.; Díaz-Pinés, E.; Gorría, P.; Matthews, B.; Inclán, R.; Zechmeister-Boltenstern, S.; Rubio, A.; Jandl, R. Temperature Sensitivity of Forest Soil Organic Matter Decomposition Along Two Elevation Gradients. J. Geophys. Res. Biogeosci. 2010, 115, G3. [Google Scholar] [CrossRef]
- Tashi, S.; Singh, B.; Keitel, C.; Adams, M. Soil Carbon and Nitrogen Stocks in Forests Along an Altitudinal Gradient in the Eastern Himalayas and a Meta-Analysis of Global Data. Glob. Change Biol. 2016, 22, 2255–2268. [Google Scholar] [CrossRef] [PubMed]
- Zhu, B.; Wang, X.; Fang, J.; Piao, S.; Shen, H.; Zhao, S.; Peng, C. Altitudinal Changes in Carbon Storage of Temperate Forests on Mt Changbai, Northeast China. J. Plant Res. 2010, 123, 439–452. [Google Scholar] [CrossRef] [PubMed]
- Soil Science Division Staff. Soil Survey Manual; Ditzler, C., Scheffe, K., Monger, H.C., Eds.; United States Department of Agriculture Handbook No. 18; United States Government Publishing Office: Washington, DC, USA, 2017. [Google Scholar]
- Raymond, J.E.; Fernandez, I.J.; Ohno, T.; Simon, K. Soil Drainage Class Influences on Soil Carbon in a New England Forested Watershed. Soil Sci. Soc. Am. J. 2013, 77, 307–317. [Google Scholar] [CrossRef]
- National Capital Region I&M Program. National Capital Region Soil Monitoring Data 2007–2017; National Park Service: Washington, DC, USA, 2017. Available online: https://irma.nps.gov/DataStore/Reference/Profile/2247680 (accessed on 10 November 2022).
Disclaimer/Publisher’s Note: The statements, opinions and data contained in all publications are solely those of the individual author(s) and contributor(s) and not of MDPI and/or the editor(s). MDPI and/or the editor(s) disclaim responsibility for any injury to people or property resulting from any ideas, methods, instructions or products referred to in the content. |
© 2024 by the authors. Licensee MDPI, Basel, Switzerland. This article is an open access article distributed under the terms and conditions of the Creative Commons Attribution (CC BY) license (https://creativecommons.org/licenses/by/4.0/).






