Dry Deposition in Urban Green Spaces: Insights from Beijing and Shanghai
Abstract
1. Introduction
2. Methodology
2.1. Study Area
2.2. Data Collection
2.3. Experimental Verification of the Dry-Dposition Model (Concentration Gradient Method)
2.4. Species-Analysis Method
2.5. Estimation of Air-Pollutant Removal by Trees
2.5.1. Dry Deposition of Gas Pollutants (O3, CO, NO2 and SO2)
2.5.2. Dry Deposition of Particles (PM2.5 and PM10)
2.5.3. Calculation of Percent Air-Quality Improvement
2.6. Monetary Value of Air-Pollutant Removal
2.7. Sensitivity Analysis
2.8. Model Validation
3. Results and Discussion
3.1. Model Validation
3.2. Seasonal Variations of the Simulated Dry-Deposition Velocities (Vd)
3.3. The Annual Variation in the Related Impedance to the Dry Deposition of Air Pollutants
3.4. Species Analysis Results
3.5. The Annual Variation in the Related Impedance to the Dry Deposition of Air Pollutants
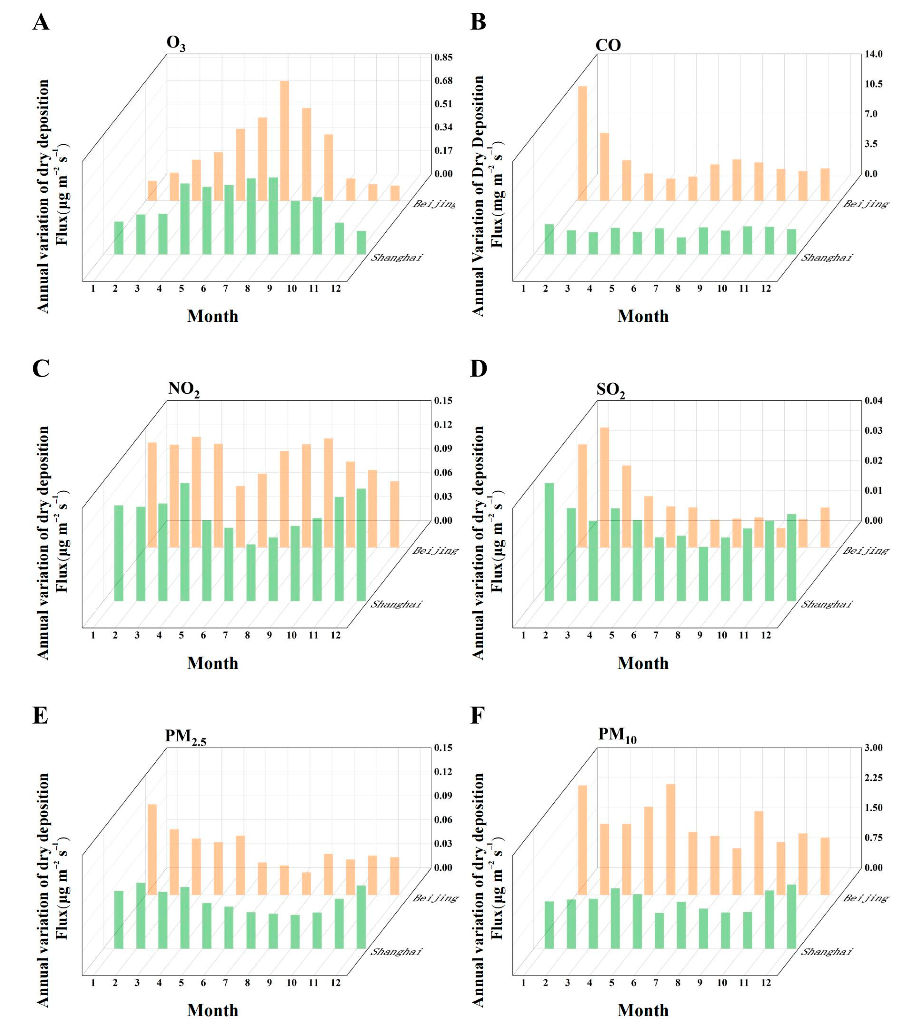
3.6. Annual Variations in the Simulated Dry-Deposition Flux of Air Pollutants in Two Cities
3.7. Contribution of Urban Green Spaces to Air-Quality Improvement
3.8. Analysis of the Ability of Urban Green Space to Remove Air Pollutants Through Dry Deposition
3.9. Monetary Value of Air-Pollutant Removal
3.10. Model Sensitivity Analysis
3.11. The Impact of Urban-Greening Tree Species on the rRate of Dry Deposition of Gaseous Pollutants
4. Discussion
4.1. The Characteristics of Dry Deposition of Air Pollutants in Green Spaces of Different Cities
4.2. The Main Factors Influencing the Dry Deposition of Air Pollutants in Urban Green Spaces
4.3. The Improvement of Air Quality by Dry Deposition in Urban Green Spaces
5. Conclusions
- (1).
- Seasonal fluctuations in deposition rates: The ecological environment and climatic conditions vary with the seasons, leading to seasonal fluctuations in the deposition of pollutants in the air. In summer, the deposition rates of gaseous pollutants in both regions are higher, while they gradually decrease in spring and winter, showing significant seasonal changes. In contrast, the deposition rates of particulate matter in the air remain relatively stable. In hot summers, the values of Ra and Rb tend to increase, while in cold winters, they decrease accordingly. The Rc indicator is higher in winter and lower in summer, fluctuating with the seasons. The Rp value is higher in summer in Beijing and Shanghai. Broadleaf species outperform coniferous species in the removal of gaseous pollutants, with Zelkova serrata (Thunb.) Makino in Beijing and Photinia serratifolia (Desf.) Kalkman in Shanghai being the dominant species for the dry deposition of gaseous pollutants in the two cities.
- (2).
- Dry-deposition flux and seasonal concentrations: The dry-deposition flux of ozone is higher in summer and lower in winter in each city, consistent with the seasonal changes in the concentration of ozone. In summer and winter, the concentrations of CO and NO2 in the air in Beijing are higher, while the corresponding fluxes in Shanghai are better in spring and autumn. In winter, the dry-deposition fluxes of SO2 and particulate matter are larger, while they are smaller in summer, consistent with the seasonal fluctuation and trend in concentration.
- (3).
- Influence of environmental factors: Ambient temperature plays a decisive role in the dry deposition of gaseous pollutants in both cities. Relatively speaking, humidity and stomatal conductance have less influence on the dry-deposition rate of gaseous pollutants, while differences in vegetation characteristics between cities also have a certain impact. Pollutant concentration has a significant effect on the dry deposition process of particulate matter. Changes in plant species caused by geographical and climatic changes have little impact on the dry deposition of particulate matter.
- (4).
- Seasonal and regional differences: Dry deposition exhibits significant seasonal and regional differences in pollutant removal and air-quality improvement. Beijing’s performance in reducing O3, CO, and NO2 is particularly prominent in summer. In winter and spring, Beijing achieves significant results in reducing SO2, PM2.5, and PM10. The urban green vegetation in both cities has a higher capacity to eliminate ozone in summer and a lower capacity in winter, fluctuating with the seasons.
- (5).
- Monetary value of pollutant removal: Beijing has the higher ozone-removal value between the two cities, especially in summer. In summer, the ozone removal value in each region also shows obvious advantages. In winter, Beijing’s CO and NO2 purification values are relatively high. Additionally, the purification values of SO2 and particulate matter are particularly prominent in Beijing, whereas Shanghai’s fluctuation is relatively stable.
Author Contributions
Funding
Institutional Review Board Statement
Data Availability Statement
Acknowledgments
Conflicts of Interest
Appendix A
| City | Beijing | Shanghai | |||||||||
|---|---|---|---|---|---|---|---|---|---|---|---|
| Inputvariable | Temp | Humidity | PC | SC | LAI | Temp | Humidity | PC | SC | LAI | |
| Pollutant | |||||||||||
| O3 | −20% | 0.77 | −0.15 | −0.20 | 0.06 | −0.68 | −0.76 | −0.68 | −0.20 | 0.08 | −0.68 |
| +20% | −0.79 | −0.69 | 0.20 | −0.08 | −0.68 | −0.77 | −0.68 | 0.20 | |||
| −50% | 3.33 | −0.68 | −0.50 | 0.30 | −0.68 | 5.89 | −0.68 | −0.50 | |||
| +50% | −0.79 | −0.69 | 0.50 | −0.12 | −0.68 | −0.77 | −0.68 | 0.50 | |||
| CO | −20% | −0.72 | −0.66 | −0.20 | 0.03 | −0.66 | −0.78 | −0.70 | −0.20 | ||
| +20% | −0.76 | −0.66 | 0.20 | −0.09 | −0.66 | −0.79 | −0.70 | 0.20 | |||
| −50% | 4.32 | −0.66 | −0.50 | 0.24 | −0.66 | 5.91 | −0.70 | −0.50 | |||
| +50% | −0.76 | −0.66 | 0.50 | −0.14 | −0.66 | −0.79 | −0.70 | 0.50 | |||
| NO2 | −20% | −0.73 | −0.66 | −0.20 | 0.12 | 0.04 | −0.75 | −0.67 | −0.20 | ||
| +20% | −0.76 | −0.66 | 0.20 | 0.10 | −0.09 | −0.76 | −0.68 | 0.20 | |||
| −50% | 4.00 | −0.66 | −0.50 | 0.14 | 0.25 | 6.24 | −0.67 | −0.50 | |||
| +50% | −0.76 | −0.66 | 0.50 | 0.10 | −0.14 | −0.76 | −0.68 | 0.50 | |||
| SO2 | −20% | −0.66 | −0.60 | −0.20 | 0.00 | −0.60 | −0.70 | −0.63 | −0.20 | ||
| +20% | −0.69 | −0.60 | 0.20 | −0.09 | −0.60 | −0.71 | −0.63 | 0.20 | |||
| −50% | 4.84 | −0.60 | −0.50 | 0.15 | −0.60 | 6.53 | −0.63 | −0.50 | |||
| +50% | −0.68 | −0.60 | 0.50 | −0.12 | −0.60 | −0.71 | −0.63 | 0.50 | |||
| PM2.5 | −20% | −0.02 | 0.00 | −0.20 | 0.00 | 0.00 | −0.01 | 0.00 | 0.50 | ||
| +20% | 0.01 | 0.00 | 0.20 | 0.00 | 0.00 | 0.00 | 0.00 | −0.20 | |||
| −50% | −0.07 | 0.00 | −0.50 | 0.00 | 0.00 | −0.03 | 0.00 | 0.20 | |||
| +50% | 0.03 | 0.00 | 0.50 | 0.00 | 0.00 | 0.01 | 0.00 | −0.50 | |||
| PM10 | −20% | 0.00 | 0.00 | −0.20 | 0.00 | 0.00 | 0.00 | 0.00 | −0.20 | ||
| +20% | 0.00 | 0.00 | 0.20 | 0.00 | 0.00 | 0.00 | 0.00 | 0.20 | |||
| −50% | 0.00 | 0.00 | −0.50 | 0.00 | 0.00 | 0.00 | 0.00 | −0.50 | |||
| +50% | 0.00 | 0.00 | 0.50 | 0.00 | 0.00 | 0.00 | 0.00 | 0.50 | |||
| Beijing | Shanghai | |||||
|---|---|---|---|---|---|---|
| Plant | Evergreen/Deciduous | Vdg | Plant | Evergreen/Deciduous | Vdg | |
| 1 | Zelkova serrata (Thunb.) Makino | Deciduous | 0.00395 | Photinia serratifolia (Desf.) Kalkman | Evergreen | 0.00401 |
| 2 | Populus tomentosa Carr. | Deciduous | 0.00359 | Zelkova serrata (Thunb.) Makino | Deciduous | 0.00381 |
| 3 | Prunus triloba Lindl. | Deciduous | 0.00354 | Melia azedarach L. | Deciduous | 0.00323 |
| 4 | Rhus typhina L. | Deciduous | 0.00350 | Prunus cerasifera ‘Atropurpurea’ Ehrh. | Deciduous | 0.00318 |
| 5 | Fraxinus pennsylvanica Marshall | Deciduous | 0.00348 | Metasequoia glyptostroboides Hu & W.C. Cheng | Evergreen | 0.00312 |
| 6 | Toona sinensis (A. Juss.) M. Roem. | Deciduous | 0.00336 | Cryptomeria japonica var. sinensis (Sieb. & Zucc.) Dallim. & A.B. Jacks. | Evergreen | 0.00312 |
| 7 | Melia azedarach L. | Deciduous | 0.00336 | Styphnolobium japonicum ‘Pendula’ (L.) Schott | Deciduous | 0.00307 |
| 8 | Prunus cerasifera ‘Atropurpurea’ Ehrh. | Deciduous | 0.00331 | Aesculus chinensis Bunge | Deciduous | 0.00302 |
| 9 | Metasequoia glyptostroboides Hu & W.C. Cheng | Evergreen | 0.00324 | Cercis chinensis Bunge | Deciduous | 0.00295 |
| 10 | Styphnolobium japonicum ‘Pendula’ (L.) Schott | Deciduous | 0.00319 | Catalpa ovata G. Don | Deciduous | 0.00293 |
| Beijing | Shanghai | |||||
|---|---|---|---|---|---|---|
| Plant | Evergreen/Deciduous | Vdg | Plant | Evergreen/Deciduous | Vdg | |
| 1 | Zelkova serrata (Thunb.) Makino | Deciduous | 0.00437 | Photinia serratifolia (Desf.) Kalkman | Evergreen | 0.00450 |
| 2 | Populus tomentosa Carr. | Deciduous | 0.00395 | Zelkova serrata (Thunb.) Makino | Deciduous | 0.00426 |
| 3 | Prunus triloba Lindl. | Deciduous | 0.00390 | Melia azedarach L. | Deciduous | 0.00356 |
| 4 | Rhus typhina L. | Deciduous | 0.00385 | Prunus cerasifera ‘Atropurpurea’ Ehrh. | Deciduous | 0.00350 |
| 5 | Fraxinus pennsylvanica Marshall | Deciduous | 0.00383 | Metasequoia glyptostroboides Hu & W.C. Cheng | Evergreen | 0.00343 |
| 6 | Toona sinensis (A. Juss.) M. Roem. | Deciduous | 0.00369 | Cryptomeria japonica var. sinensis (Sieb. & Zucc.) Dallim. & A.B. Jacks. | Evergreen | 0.00343 |
| 7 | Melia azedarach L. | Deciduous | 0.00369 | Styphnolobium japonicum ‘Pendula’ (L.) Schott | Deciduous | 0.00337 |
| 8 | Prunus cerasifera ‘Atropurpurea’ Ehrh. | Deciduous | 0.00363 | Aesculus chinensis Bunge | Deciduous | 0.00331 |
| 9 | Metasequoia glyptostroboides Hu & W.C. Cheng | Evergreen | 0.00355 | Cercis chinensis Bunge | Deciduous | 0.00322 |
| 10 | Styphnolobium japonicum ‘Pendula’ (L.) Schott | Deciduous | 0.00349 | Catalpa ovata G. Don | Deciduous | 0.00320 |
| Beijing | Shanghai | |||||
|---|---|---|---|---|---|---|
| Plant | Evergreen/Deciduous | Vdg | Plant | Evergreen/Deciduous | Vdg | |
| 1 | Zelkova serrata (Thunb.) Makino | Deciduous | 0.00402 | Photinia serratifolia (Desf.) Kalkman | Evergreen | 0.00409 |
| 2 | Populus tomentosa Carr. | Deciduous | 0.00365 | Zelkova serrata (Thunb.) Makino | Deciduous | 0.00388 |
| 3 | Prunus triloba Lindl. | Deciduous | 0.00360 | Melia azedarach L. | Deciduous | 0.00328 |
| 4 | Rhus typhina L. | Deciduous | 0.00356 | Prunus cerasifera ‘Atropurpurea’ Ehrh. | Deciduous | 0.00323 |
| 5 | Fraxinus pennsylvanica Marshall | Deciduous | 0.00354 | Metasequoia glyptostroboides Hu & W.C. Cheng | Evergreen | 0.00317 |
| 6 | Toona sinensis (A. Juss.) M. Roem. | Deciduous | 0.00341 | Cryptomeria japonica var. sinensis (Sieb. & Zucc.) Dallim. & A.B. Jacks. | Evergreen | 0.00317 |
| 7 | Melia azedarach L. | Deciduous | 0.00341 | Styphnolobium japonicum ‘Pendula’ (L.) Schott | Deciduous | 0.00312 |
| 8 | Prunus cerasifera ‘Atropurpurea’ Ehrh. | Deciduous | 0.00336 | Aesculus chinensis Bunge | Deciduous | 0.00307 |
| 9 | Metasequoia glyptostroboides Hu & W.C. Cheng | Evergreen | 0.00329 | Cercis chinensis Bunge | Deciduous | 0.00299 |
| 10 | Styphnolobium japonicum ‘Pendula’ (L.) Schott | Deciduous | 0.00324 | Catalpa ovata G. Don | Deciduous | 0.00297 |
| Beijing | Shanghai | |||||
|---|---|---|---|---|---|---|
| Plant | Evergreen/Deciduous | Vdg | Plant | Evergreen/Deciduous | Vdg | |
| 1 | Zelkova serrata (Thunb.) Makino | Deciduous | 0.00345 | Photinia serratifolia (Desf.) Kalkman | Evergreen | 0.00346 |
| 2 | Populus tomentosa Carr. | Deciduous | 0.00316 | Zelkova serrata (Thunb.) Makino | Deciduous | 0.00330 |
| 3 | Prunus triloba Lindl. | Deciduous | 0.00313 | Melia azedarach L. | Deciduous | 0.00285 |
| 4 | Rhus typhina L. | Deciduous | 0.00309 | Prunus cerasifera ‘Atropurpurea’ Ehrh. | Deciduous | 0.00281 |
| 5 | Fraxinus pennsylvanica Marshall | Deciduous | 0.00307 | Metasequoia glyptostroboides Hu & W.C. Cheng | Evergreen | 0.00276 |
| 6 | Toona sinensis (A. Juss.) M. Roem. | Deciduous | 0.00298 | Cryptomeria japonica var. sinensis (Sieb. & Zucc.) Dallim. & A.B. Jacks. | Evergreen | 0.00276 |
| 7 | Melia azedarach L. | Deciduous | 0.00298 | Styphnolobium japonicum ‘Pendula’ (L.) Schott | Deciduous | 0.00273 |
| 8 | Prunus cerasifera ‘Atropurpurea’ Ehrh. | Deciduous | 0.00294 | Aesculus chinensis Bunge | Deciduous | 0.00269 |
| 9 | Metasequoia glyptostroboides Hu & W.C. Cheng | Evergreen | 0.00289 | Cercis chinensis Bunge | Deciduous | 0.00263 |
| 10 | Styphnolobium japonicum ‘Pendula’ (L.) Schott | Deciduous | 0.00284 | Catalpa ovata G. Don | Deciduous | 0.00262 |
References
- Chen, S.; Chen, B.; Feng, K.; Liu, Z.; Fromer, N.; Tan, X.; Alsaedi, A.; Hayat, T.; Weisz, H.; Schellnhuber, H.J.; et al. Physical and Virtual Carbon Metabolism of Global Cities. Nat. Commun. 2020, 11, 182. [Google Scholar] [CrossRef] [PubMed]
- Gately, C.K.; Hutyra, L.R.; Peterson, S.; Sue Wing, I. Urban Emissions Hotspots: Quantifying Vehicle Congestion and Air Pollution Using Mobile Phone GPS Data. Environ. Pollut. 2017, 229, 496–504. [Google Scholar] [CrossRef] [PubMed]
- Lelieveld, J.; Evans, J.S.; Fnais, M.; Giannadaki, D.; Pozzer, A. The Contribution of Outdoor Air Pollution Sources to Premature Mortality on a Global Scale. Nature 2015, 525, 367–371. [Google Scholar] [CrossRef] [PubMed]
- Suh, H.H.; Bahadori, T.; Vallarino, J.; Spengler, J.D. Criteria Air Pollutants and Toxic Air Pollutants. Environ. Health Perspect. 2000, 108, 625. [Google Scholar] [CrossRef] [PubMed]
- Fujii, S.; Cha, H.; Kagi, N.; Miyamura, H.; Kim, Y.-S. Effects on Air Pollutant Removal by Plant Absorption and Adsorption. Build. Environ. 2005, 40, 105–112. [Google Scholar] [CrossRef]
- Wang, B.; Song, Z.; Sun, L. A Review: Comparison of Multi-Air-Pollutant Removal by Advanced Oxidation Processes—Industrial Implementation for Catalytic Oxidation Processes. Chem. Eng. J. 2021, 409, 128136. [Google Scholar] [CrossRef]
- Barwise, Y.; Kumar, P. Designing Vegetation Barriers for Urban Air Pollution Abatement: A Practical Review for Appropriate Plant Species Selection. NPJ Clim. Atmos. Sci. 2020, 3, 12. [Google Scholar] [CrossRef]
- Young, R.F. Managing Municipal Green Space for Ecosystem Services. Urban For. Urban Green. 2010, 9, 313–321. [Google Scholar] [CrossRef]
- Janhäll, S. Review on Urban Vegetation and Particle Air Pollution—Deposition and Dispersion. Atmos. Environ. 2015, 105, 130–137. [Google Scholar] [CrossRef]
- Liu, J.; Zhu, L.; Wang, H.; Yang, Y.; Liu, J.; Qiu, D.; Ma, W.; Zhang, Z.; Liu, J. Dry Deposition of Particulate Matter at an Urban Forest, Wetland and Lake Surface in Beijing. Atmos. Environ. 2016, 125, 178–187. [Google Scholar] [CrossRef]
- Fitzky, A.C.; Sandén, H.; Karl, T.; Fares, S.; Calfapietra, C.; Grote, R.; Saunier, A.; Rewald, B. The Interplay Between Ozone and Urban Vegetation—BVOC Emissions, Ozone Deposition, and Tree Ecophysiology. Front. For. Glob. Change 2019, 2, 50. [Google Scholar] [CrossRef]
- Young, P.J.; Archibald, A.T.; Bowman, K.W.; Lamarque, J.-F.; Naik, V.; Stevenson, D.S.; Tilmes, S.; Voulgarakis, A.; Wild, O.; Bergmann, D.; et al. Pre-Industrial to End 21st Century Projections of Tropospheric Ozone from the Atmospheric Chemistry and Climate Model Intercomparison Project (ACCMIP). Atmos. Chem. Phys. 2013, 13, 2063–2090. [Google Scholar] [CrossRef]
- Lockwood, A.L.; Filley, T.R.; Rhodes, D.; Shepson, P.B. Foliar Uptake of Atmospheric Organic Nitrates. Geophys. Res. Lett. 2008, 35. [Google Scholar] [CrossRef]
- Shen, J.L.; Tang, A.H.; Liu, X.J.; Fangmeier, A.; Goulding, K.T.W.; Zhang, F.S. High Concentrations and Dry Deposition of Reactive Nitrogen Species at Two Sites in the North China Plain. Environ. Pollut. 2009, 157, 3106–3113. [Google Scholar] [CrossRef] [PubMed]
- Hardacre, C.; Wild, O.; Emberson, L. An Evaluation of Ozone Dry Deposition in Global Scale Chemistry Climate Models. Atmos. Chem. Phys. 2015, 15, 6419–6436. [Google Scholar] [CrossRef]
- Sakata, M.; Marumoto, K.; Narukawa, M.; Asakura, K. Regional Variations in Wet and Dry Deposition Fluxes of Trace Elements in Japan. Atmos. Environ. 2006, 40, 521–531. [Google Scholar] [CrossRef]
- Lovett, G.M.; Traynor, M.M.; Pouyat, R.V.; Carreiro, M.M.; Zhu, W.-X.; Baxter, J.W. Atmospheric Deposition to Oak Forests along an Urban−Rural Gradient. Environ. Sci. Technol. 2000, 34, 4294–4300. [Google Scholar] [CrossRef]
- Wu, Z.Y.; Zhang, L.; Wang, X.M.; Munger, J.W. A Modified Micrometeorological Gradient Method for Estimating O3 Dry Deposition over a Forest Canopy. Atmos. Chem. Phys. 2015, 15, 7487–7496. [Google Scholar] [CrossRef]
- Wesely, M. A Review of the Current Status of Knowledge on Dry Deposition. Atmos. Environ. 2000, 34, 2261–2282. [Google Scholar] [CrossRef]
- Mohan, M. Analysis of Various Schemes for the Estimation of Atmospheric Stability Classification. Atmos. Environ. 1998, 32, 3775–3781. [Google Scholar] [CrossRef]
- Nowak, D.J.; Hirabayashi, S.; Bodine, A.; Hoehn, R. Modeled PM2.5 Removal by Trees in Ten U.S. Cities and Associated Health Effects. Environ. Pollut. 2013, 178, 395–402. [Google Scholar] [CrossRef] [PubMed]
- Nowak, D.J.; Crane, D.E.; Stevens, J.C. Air Pollution Removal by Urban Trees and Shrubs in the United States. Urban For. Urban Green. 2006, 4, 115–123. [Google Scholar] [CrossRef]
- Huang, J.; Zheng, Y.; Xu, J.; Zhao, H.; Yuan, Y.; Chu, Z. O3 Dry Deposition Flux Observation and Soil Resistance Modeling over a Bare Soil in Nanjing Area in Autumn. Chin. J. Appl. Ecol. 2016, 27, 3196–3204. [Google Scholar] [CrossRef]
- Kang, M.; Cai, Y.; Wang, X.; Zha, T.; Zhu, L.; Niu, Y.; Zhou, J.; Zhang, Z. Control of Evapotranspiration by Surface Resistance and Environmental Factors in Poplar (Populus × euramericana) Plantations. Acta Ecol. Sin. 2016, 36, 5508–5518. [Google Scholar] [CrossRef]
- Lin, G.; Cai, X.; Hu, M.; Li, H. An Overview of Atmospheric Aerosol Dry Deposition. China Environ. Sci. 2018, 38, 3211–3220. [Google Scholar] [CrossRef]
- Li, S. Observational Modelling of Ozone Dry Deposition Mechanisms in Winter Wheat Fields. Master’s Thesis, Nanjing University of Information Engineering, Nanjing, China, 2015. Available online: https://kns.cnki.net/KCMS/detail/detail.aspx?dbcode=CMFD&dbname=CMFD201502&filename=1015566495.nh (accessed on 21 July 2024).
- Li, S.; Zheng, Y.; Wu, R.; Yin, J.; Xu, J.; Zhao, H.; Sun, J. Observation of Ozone Dry Deposition in the Field of Winter Wheat. Chin. J. Appl. Ecol. 2016, 27, 1811–1819. [Google Scholar] [CrossRef]
- Franklin, M.; Zeka, A.; Schwartz, J. Association between PM2.5 and All-Cause and Specific-Cause Mortality in 27 US Communities. J. Expo. Sci. Environ. Epidemiol. 2007, 17, 279–287. [Google Scholar] [CrossRef] [PubMed]
- Rushdi, A.I.; Al-Mutlaq, K.F.; Al-Otaibi, M.; El-Mubarak, A.H.; Simoneit, B.R.T. Air Quality and Elemental Enrichment Factors of Aerosol Particulate Matter in Riyadh City, Saudi Arabia. Arab. J. Geosci. 2013, 6, 585–599. [Google Scholar] [CrossRef]
- Xiao, Y.; Wang, S.; Li, N.; Xie, G.; Lu, C.; Zhang, B.; Zhang, C. Atmospheric PM2.5 Removal by Green Spaces in Beijing. Resour. Sci. 2015, 37, 1149–1155. [Google Scholar]
- Zhang, X.; Yin, S.; Jiang, C.; Xiong, F.; Zhu, P.; Zhou, P. PM2.5 Deposition Velocity and Impact Factors on Leaves of Typical Tree Species in Shanghai. J. East China Norm. Univ. (Nat. Sci.) 2016, 6, 27–37. [Google Scholar]
- Cao, J. Observation and Modelling of Ozone Dry Deposition Fluxes from Agricultural Fields in Nanjing Area. Master’s Thesis, Nanjing University of Information Engineering, Nanjing, China, 2019. Available online: https://kns.cnki.net/KCMS/detail/detail.aspx?dbcode=CMFD&dbname=CMFD201901&filename=1018130574.nh (accessed on 21 July 2024).
- Liu, J.; Shi, W.; Chen, P. Exploring Travel Patterns during the Holiday Season—A Case Study of Shenzhen Metro System During the Chinese Spring Festival. ISPRS Int. J. Geo-Inf. 2020, 9, 651. [Google Scholar] [CrossRef]
- Li, C. Pollution Characteristics of Sulfur Dioxide and Its Influencing Factors in Shanghai. Environ. Sanit. Eng. 2010, 18, 18–20. [Google Scholar]
- Meng, Z.; Xu, X.; Zhou, H.; Yu, X.; Dai, X.; Wang, J.; Lin, T.; Ying, Z.; Zhang, H.; Zhou, F.; et al. Distribution Characteristics of SO2, NO2 and NH3 in the Atmosphere in Different Regions of China and Influencing Factors. In Proceedings of the 26th Annual Meeting of the Chinese Meteorological Society: Atmospheric Composition, Weather, Climate and Environmental Changes, Hangzhou, China, 14 October 2009; Available online: https://kns.cnki.net/KCMS/detail/detail.aspx?dbcode=CPFD&dbname=CPFD0914&filename=ZGQX200910013015 (accessed on 16 May 2024).
- Yuan, Y. Observation and Modelling of Ozone Dry Deposition Fluxes in Bare Soil. Master’s Thesis, Nanjing University of Information Engineering, Nanjing, China, 2018. Available online: https://kns.cnki.net/KCMS/detail/detail.aspx?dbcode=CMFD&dbname=CMFD201801&filename=1017294988.nh (accessed on 21 July 2024).
- Huang, J. Simulation of Dry Deposition Characteristics and Non-Stomatal Resistance of Ozone in Winter Wheat Fields under Different Humidity Conditions. Master’s Thesis, Nanjing University of Information Engineering, Nanjing, China, 2021. [Google Scholar] [CrossRef]
- Shen, Y.; Zhang, L.; Fang, X.; Ji, H.; Li, X.; Zhao, Z. Spatiotemporal Patterns of Recent PM2.5 Concentrations over Typical Urban Agglomerations in China. Sci. Total Environ. 2019, 655, 13–26. [Google Scholar] [CrossRef] [PubMed]
- Xie, L.; Huang, F.; Gan, X.; Wen, X.; Huang, Y. Research Progress on the Purification Effects of Urban Forest Vegetation on Atmospheric Particulate Pollution Matter. For. Environ. Sci. 2017, 33, 96–103. [Google Scholar]
- Fu, Z.; Cheng, L.; Ye, X.; Ma, Z.; Wang, R.; Duan, Y.; Juntao, H.; Chen, J. Characteristics of Aerosol Chemistry and Acidity in Shanghai after PM2.5 Satisfied National Guideline: Insight into Future Emission Control. Sci. Total Environ. 2022, 827, 154319. [Google Scholar] [CrossRef] [PubMed]
- Han, L.; Zhou, W.; Li, W.; Qian, Y. Global Population Exposed to Fine Particulate Pollution by Population Increase and Pollution Expansion. Air Qual. Atmos. Health 2017, 10, 1221–1226. [Google Scholar] [CrossRef]
- Zhao, X. Dust Retention Capacity and Dry Deposition Rate of Ultrafine Particles in Different Green Plant Configuration Models. Master’s Thesis, Xi’an University of Architecture and Technology, Xi’an, China, 2023. [Google Scholar] [CrossRef]
- Chen, Y. Ion Chemical Signatures in Atmospheric Particulate Matter and Precipitation in Shanghai, China. Master’s Thesis, Shanghai Normal University, Shanghai, China, 2018. Available online: https://kns.cnki.net/KCMS/detail/detail.aspx?dbcode=CMFD&dbname=CMFD201801&filename=1017154204.nh (accessed on 21 July 2024).
- Chen, Z. Study on the Effect of Greening System on the Outdoor Thermal Environment of Building Clusters in Hot and Humid Areas. Ph.D. Thesis, South China University of Technology, Guangzhou, China, 2010. Available online: https://kns.cnki.net/KCMS/detail/detail.aspx?dbcode=CDFD&dbname=CDFD0911&filename=2010227776.nh (accessed on 21 July 2024).
- Cui, L.; Kang, X.; Zhao, X.; Li, W.; Ma, M.; Zhang, M.; Wei, Y. Spatiotemporal Variation in the Microclimate Effects of Typical Urban Wetland in Beijing. Chin. J. Ecol. 2015, 34, 212–218. [Google Scholar] [CrossRef]
- Churg, A.; Brauer, M.; Del Carmen Avila-Casado, M.; Fortoul, T.I.; Wright, J.L. Chronic Exposure to High Levels of Particulate Air Pollution and Small Airway Remodeling. Environ. Health Perspect. 2003, 111, 714–718. [Google Scholar] [CrossRef]
- Hoek, G.; Krishnan, R.M.; Beelen, R.; Peters, A.; Ostro, B.; Brunekreef, B.; Kaufman, J.D. Long-Term Air Pollution Exposure and Cardio-Respiratory Mortality: A Review. Environ. Health 2013, 12, 43. [Google Scholar] [CrossRef]
- Zhai, H. Study on the Impact of Land Use/Land Cover on Atmospheric Particulate Matter—A Case Study of Beijing-Tianjin-Hebei Region. Ph.D. Thesis, Shandong University of Science and Technology, Qingdao, China, 2021. [Google Scholar] [CrossRef]
- Liu, L. Eco-Efficiency Analysis of Urban Green Space Based on i-Tree Eco Model—A Case Study of Typical Urban Green Space in Zhengzhou City. Master’s Thesis, North China University of Water Resources and Hydropower, Zhengzhou, China, 2023. [Google Scholar] [CrossRef]












Disclaimer/Publisher’s Note: The statements, opinions and data contained in all publications are solely those of the individual author(s) and contributor(s) and not of MDPI and/or the editor(s). MDPI and/or the editor(s) disclaim responsibility for any injury to people or property resulting from any ideas, methods, instructions or products referred to in the content. |
© 2024 by the authors. Licensee MDPI, Basel, Switzerland. This article is an open access article distributed under the terms and conditions of the Creative Commons Attribution (CC BY) license (https://creativecommons.org/licenses/by/4.0/).
Share and Cite
Peng, H.; Shao, S.; Xu, F.; Dong, W.; Qiu, Y.; Qin, M.; Ma, D.; Shi, Y.; Chen, J.; Zhou, T.; et al. Dry Deposition in Urban Green Spaces: Insights from Beijing and Shanghai. Forests 2024, 15, 1286. https://doi.org/10.3390/f15081286
Peng H, Shao S, Xu F, Dong W, Qiu Y, Qin M, Ma D, Shi Y, Chen J, Zhou T, et al. Dry Deposition in Urban Green Spaces: Insights from Beijing and Shanghai. Forests. 2024; 15(8):1286. https://doi.org/10.3390/f15081286
Chicago/Turabian StylePeng, Hao, Siqi Shao, Feifei Xu, Wen Dong, Yingying Qiu, Man Qin, Danping Ma, Yan Shi, Jian Chen, Tianhuan Zhou, and et al. 2024. "Dry Deposition in Urban Green Spaces: Insights from Beijing and Shanghai" Forests 15, no. 8: 1286. https://doi.org/10.3390/f15081286
APA StylePeng, H., Shao, S., Xu, F., Dong, W., Qiu, Y., Qin, M., Ma, D., Shi, Y., Chen, J., Zhou, T., & Ren, Y. (2024). Dry Deposition in Urban Green Spaces: Insights from Beijing and Shanghai. Forests, 15(8), 1286. https://doi.org/10.3390/f15081286
