Abstract
As the largest carbon reservoir within terrestrial ecosystems, forest ecosystems play a major role as carbon sinks in the global carbon cycle. There are still some uncertainties regarding the responses of different carbon fluxes to environmental changes in cold temperate climate forest ecosystems. Here, 14 cold temperate forest flux sites for at least ten years were investigated, including carbon fluxes and environmental variables such as temperature, precipitation, shortwave radiation, and vapor pressure deficit. By calculating the Spearman correlation coefficient, there was a congruence between photosynthetic productivity (i.e., gross primary productivity, GPP) and carbon sequestration (i.e., net ecosystem productivity, NEP) at thirteen forest sites, and at one forest site, GPP and NEP were decoupled. Annual GPP and NEP displayed a consistent trend when temperature and precipitation had significantly opposite trends and when temperature had a significantly positive correlation with VPD. But when VPD was significantly negatively correlated with both temperature and SW in spring and when temperature was negatively correlated with both SW and VPD in summer, a decoupling of GPP and NEP occurred. The impacts of various environmental factors on the annual carbon fluxes were calculated for each year and season using the path analysis method. At forest sites with consistent trends in GPP and NEP, annual, spring, and summer temperatures had significant positive correlations with GPP and ecosystem respiration (RE). While at the decoupled forest site, environmental factors had a stronger effect on RE, which then contributed to the observed decoupling of GPP and NEP. Finally, the Partial Least Squares method was used to analyze the relative contribution of each environmental factor to annual carbon fluxes. The results revealed that temperature and summer precipitation were the key environmental factors affecting forest ecosystems. This study provides important insights into the different responses of carbon fluxes in forest ecosystems undergoing environmental changes.
1. Introduction
The terrestrial ecosystem carbon fluxes include gross primary productivity (GPP), ecosystem respiration (RE), and net ecosystem productivity (NEP). Forest vegetation absorbs carbon dioxide (CO2) from the atmosphere through photosynthetic productivity and functions as a huge carbon sink [1]. NEP was originally defined by Woodwell and Whittaker as the difference between the organic matter fixed by GPP and the total respiration of the ecosystem [2]. Therefore, the impact of the environment on NEP is determined by the different influences of GPP and RE on environmental factors [3,4]. Differences in the response of carbon fluxes (GPP, RE, and NEP) to different environmental conditions will lead to shifts in the ecosystem carbon balance from sink to source or source to sink [5]. When GPP and NEP are consistent, they exhibit synchronized changes. This consistency usually reflects a balance between photosynthesis and respiration processes. In such an ecosystem, plants have a higher amount of carbon fixed by GPP, while respiration results in a lower amount of carbon loss, leading to an increase in NEP. However, when GPP and NEP are decoupled, they no longer exhibit synchronized changes [6]. GPP may increase while NEP does not, or even decreases. This is usually due to an increase in ecosystem respiration that offsets the gains in GPP. In a cold temperate climate, the sensitivity of forest ecosystem carbon fluxes to environmental changes, especially temperature and precipitation, makes it an important indicator of broader climate trends. Consequently, it is crucial to understand the carbon cycle and its changes in cold temperate forest terrestrial ecosystems to study carbon dynamics and their influencing factors in these ecosystems quantitatively.
In recent decades, several quantitative studies of carbon fluxes in terrestrial ecosystems have been conducted using various approaches, such as inventory methods, eddy covariance (EC) techniques, remote sensing models, terrestrial ecosystem carbon cycle models, and atmospheric inversion methods [7,8,9]. Among these, an EC flux tower is a key observation system for the direct monitoring of ecosystem carbon fluxes [10]. The AmeriFlux and FLUXNET networks have been established based on this technique [11]. FLUXNET sites cover most climate zones and biome types, making their observations crucial for the parameterization of process models and the accurate estimation of uncertainties in each component of the carbon cycle [12,13,14]. Valentini et al. [15] examined net ecosystem exchange data from 15 European forests and confirmed that many of the forest ecosystems were significant carbon sinks, with RE determining the net ecosystem carbon exchange. Piao et al. found that the increase in growing season productivity by spring warmth could be counteracted by water stress resulting from higher evapotranspiration in the summer and carbon loss resulting from higher respiration in the autumn. Zhang et al. [16] analyzed the observed flux data in the Qianyanzhou region from 2003 to 2008 and showed that the main factors controlling the interannual variation of NEP in this region were low temperatures from January to March and that GPP was more sensitive to water deficit stress than RE. Yan et al. [17] found that the annual NEP of subtropical and tropical forests in southern China was closely related to variations in annual precipitation, with annual precipitation being the fundamental driver of annual NEP. A longer time series study confirmed that the vapor pressure deficit (VPD) is an important regulator of vegetation carbon fluxes in many ecosystems [18]. Higgins et al. [19] found that the vegetation growth process is jointly limited by the combination of air temperature, soil moisture, solar radiation, and atmospheric CO2, but with varying degrees of influence. The main factors limiting autumn vegetation carbon fluxes are assumed to be temperature and radiation, but a recent study suggested that soil moisture availability regulates photosynthetic productivity and carbon sequestration in autumn [20]. It has been reported that seasonal and short-term conditions are more important than annual climate variability in determining the interannual variability of GPP and NEP [21]. Therefore, it is essential to understand the response of forest carbon fluxes to environmental change using long-term flux tower data [22].
Observations from many studies have shown that there are inconsistencies, such as decoupling, between plant photosynthetic productivity and carbon sequestration in ecosystems. The response of different carbon fluxes to environmental factors is poorly understood [23,24]. Furthermore, there is a substantial spatial and temporal divergence in the responses of different carbon fluxes to environmental conditions. Additionally, the processes by which forest ecosystems adapt to environmental changes in different regions and latitudes differ significantly, and clarifying the relationships between these responses and environmental variables has proven challenging. There is still much uncertainty in the quantitative assessment of the carbon balance in terrestrial ecosystems.
This study aimed to investigate whether there is consistency or decoupling between annual photosynthetic productivity (i.e., GPP) and carbon sequestration (i.e., NEP) in forest ecosystems in the cold temperate climate and to explore the possible drivers. We analyzed how annual carbon fluxes responded to changes in the mean environmental factors over the whole year, as well as in the spring, summer, and autumn seasons, where the annual values of carbon fluxes correspond to seasonal environmental factors in the same year. Furthermore, we also investigated the contributions of various environmental factors to carbon fluxes over different time scales.
2. Materials and Methods
2.1. Study Area and Dataset
For this study, we selected the normal humid cold temperate climate in the cold temperate climate of the Koppen–Geiger climate zone [25]. We also selected 14 evergreen needleleaf forest (ENF) flux sites in this climate zone, in locations with continuous carbon flux measurements for at least ten years (Table 1). The specific locations of the selected forest sites are shown in Figure 1.
Table 1.
Location and details of the selected forest ecosystem flux data with at least ten years of data for evergreen needleleaf forests (ENF) in the normal humid cold temperate climate.
Figure 1.
The specific locations of the 14 selected forest sites. (a) A total of six sites on North American continent. (b) A total of eight sites on the European continent.
The EC technique provides a direct and continuous assessment of the net carbon and water fluxes between the biosphere and atmosphere [26]. The carbon flux datasets we used are publicly available from FLUXNET (https://fluxnet.org/, accessed on 11 March 2023), the Integrated Carbon Observation System (https://www.icos-cp.eu/, accessed on 11 March 2023), and Ameriflux (https://ameriflux.lbl.gov/, accessed on 13 March 2023). We used data from 14 forest sites that had a minimum available data period of 10 years, including the annual and monthly data of four environmental factors: temperature, precipitation, VPD, and short-wave radiation (SW), as well as three carbon fluxes: NEP, GPP, and RE. GPP, NEP, and RE mentioned in this study are annual values. The selected flux dataset was preprocessed before analysis. Rows with a high number of missing values were removed, and missing values were filled using nearest neighbor interpolation. Data from the flux dataset was quality controlled, with data collated based on a quality control value (QC) greater than 0.7, and missing data were interpolated to eliminate spurious trends caused by sensor degradation and calibration changes. Consistent selection of variables and climate partitioning ensured the reliability of cross-site comparisons [27].
2.2. Statistical Analysis
2.2.1. Standardized Anomalies (SA)
Using the original monthly data (environment variables and carbon fluxes) during each of spring (March, April, and May; MAM), summer (June, July, and August; JJA), and autumn (September, October, and November; SON), we computed the seasonal means for temperature, VPD, and the sums of precipitation, SW, NEP, GPP, and RE. The annual temperature, precipitation, SW, and VPD were denoted as TAyear, Pyear, SWyear, and VPDyear, with corresponding terms used for spring (TAMAM, PMAM, SWMAM, and VPDMAM), summer (TAJJA, PJJA, SWJJA, and VPDJJA), and autumn (TASON, PSON, SWSON, and VPDSON). Additionally, we calculated these parameters’ standardized anomalies (SA) for each site as follows:
where is the annual or the seasonal value (spring, summer, or autumn) of a variable and t is the year in the flux datasets, is the mean value of the variable in season n, and is the standard deviation of the variable in season n in our study period. Z-scores were created from the standardized original values to enable subsequent comparisons.
2.2.2. Spearman’s Rank Correlation Test
The Spearman’s rank coefficient of correlation, referred to as the Spearman correlation coefficient, is the rank correlation of a nonparametric measure, and is denoted by [28]. The Spearman correlation is used to assess the strength and direction of a monotonic relationship between two variables. It quantifies the extent to which the variables tend to increase or decrease together, while maintaining the same pace of change. The Spearman correlation coefficient is used to calculate the rank value of the sample data. It is calculated as follows:
where and are the ranks of the observations in the sample set.
The strength of the monotonic relationship is described by the absolute value of , which ranges from −1 to +1 for the Spearman’s correlation coefficient. The monotonic link between the two variables becomes weaker as approaches zero. A significance test p-value < 0.05 is significant and a value > 0.05 is non-significant [29].
2.2.3. The Original Mann–Kendall Trend Test (MK)
The Mann–Kendall method is a non-parametric statistical method commonly used in the analysis of time series data to detect trends in the data [30]. Commonly used to analyze trend changes in sequences of meteorological and hydrological elements such as precipitation, temperature, runoff, etc. The MK test method does not need to follow a certain distribution and is not disturbed by a few outliers. The method is easy to calculate, suitable for hydrological, meteorological, and other non-normally distributed time series, and has good application prospects [31]. We calculated the S-value as an indicator to test the trend of the variable, with a p-value less than 0.05 indicating a significant trend.
2.2.4. Path Analysis
One statistical method used to compare the strength of both direct and indirect relationships between variables is called path analysis. A number of parameters are calculated by solving one or more structural equations in order to evaluate the fit of the correlation matrix between two or more causal models that the researcher hypothesizes to suit the data. Environmental factors and carbon flux data from forest sites with consistent trends in GPP and NEP were placed together for the path analysis, as well as the forest site with decoupled GPP and NEP. We used the path analysis method to evaluate the regulation of annual carbon fluxes (GPP, NEP, and RE) by temperature, precipitation, SW, and VPD for each year and each season (spring, summer, and autumn) and determined their influence on the total (i.e., direct and indirect) effects of standardization. The data were fitted by a maximum likelihood estimation method and χ2 test, and the effect was significant (p < 0.05), indicating that the model was well fitted. The causal link between the different predictors is based on a previous understanding of the impact of environmental factors on carbon fluxes. All the data used were standardized, and ridge regression [32] was performed first to obtain the initial path coefficients, which were used as initial estimates of the model, thus helping the path model converge to the optimal solution faster. Ridge regression reduces the effect of multicollinearity while still retaining information on all independent variables. The coefficient above the path was referred to as the standardized path coefficient (PC).
2.2.5. Partial Least Squares (PLS)
The PLS method is a data analysis technique for dealing with multivariate statistical problems. Originally proposed by Herman Wold, it lays the theoretical foundations of the PLS method [33]. By extracting latent variables and maximizing the covariance between the independent and dependent variables, this method effectively deals with multicollinearity and identifies the optimal linear relationship between the independent and dependent variables [34]. In calculating the importance of the independent variables to the dependent variables, PLS uses a vector of weights to measure the importance of each independent variable in explaining the variation in the dependent variable. By normalizing the weights, the percentage importance of each independent variable is obtained, reflecting the relative importance of each variable in the model. This approach can help determine which factors are most critical to predicting outcomes, thereby guiding further analysis or decision-making [35].
This integrated analysis enables a more complete understanding of the complex dynamics of carbon fluxes in ecosystems and provides substantive information for environmental management and climate change adaptation.
3. Results
3.1. Correlations between Carbon Fluxes and Environmental Factors
We evaluated the consistency or decoupling of the forest sites by calculating the Spearman correlation coefficients of annual GPP and NEP for each site. And we calculated the average annual growth rates of GPP and NEP for each forest site. The correlations between annual GPP and NEP, as well as the average annual growth rates at selected forest sites, are shown in Table 2. The results showed that the annual GPP and NEP at 13 of the 14 sites were positively correlated, with 6 of the 13 sites having a significant positive correlation. In contrast, GPP was negatively correlated with NEP at the CA-Obs site, with a Spearman rank correlation coefficient () of −0.25 (Table 2). This negative correlation indicated a decoupling of GPP and NEP at this forest site. The average annual growth rates of GPP and NEP at consistent forest sites followed the same trend, while at the decoupled site they showed an opposite trend, with growth rates of 2% and −4.9%, respectively (Table 2). This decoupling was closely related to changes in environmental conditions. Since NEP is the difference between GPP and RE, it is also closely related to the strength of RE. There was also further evidence of substantial site divergence, with significant differences in the response of GPP and NEP to environmental changes.
Table 2.
Correlations between annual GPP and NEP, and average annual growth rates.
The correlations among different environmental factors at annual and seasonal (spring, summer, and autumn) scales are shown in Table 3, Table 4, Table 5 and Table 6, the interannual trends of carbon fluxes and environmental factors at different forest sites are shown in Table A1, and Figure 2 shows the relationships between environmental factors that led to consistent or decoupled trends in annual GPP and NEP. The results showed that when temperature and precipitation displayed significantly opposite trends at annual, spring, summer, and autumn time scales (Table 3, Table 4, Table 5 and Table 6), there were consistent trends in GPP and NEP. Moreover, the inter-annual trends in temperature and precipitation maintained a synchronous relationship during these times (Table A1). This means that higher temperatures are usually accompanied by less precipitation. Additionally, there were consistent trends in GPP and NEP when TAMAM had the same trend as VPDMAM, SWMAM had the same trend as VPDMAM, TAJJA had the same trend as SWJJA, and TAJJA had the same trend as VPDJJA (Table A1). In other words, their Spearman correlation coefficients were positive (Table 4 and Table 5). Similarly, when TASON had the same trend as VPDSON (Table 6), there were also consistent trends in GPP and NEP. This suggests that the alignment of these environmental variables may lead to a more synchronized response between GPP and NEP. The relationship between GPP and NEP in this ecosystem no longer maintained the same synchronous changes, and decoupling occurred under specific conditions involving temperature, SW, and VPD (Figure 2). Specifically, decoupling occurred when VPDMAM was significantly negatively correlated with both TAMAM and SWMAM (Table 4). Additionally, decoupling was noted when TAJJA was negatively correlated with both SWJJA and VPDJJA (Table 5). Also, in the decoupled site, inter-annual trends in VPDMAM were not synchronized with both TAMAM and SWMAM (Table A1). And correlations between environmental factors at the decoupled site were weak and non-significant. This suggests that the synchronization of carbon flux processes is highly sensitive to specific environmental stressors, especially those related to moisture availability and atmospheric dryness. Such decoupling highlights the complexity of ecosystem carbon dynamics and can lead to alterations in ecosystem carbon cycling processes. Understanding these interactions is crucial for comprehending the impacts of environmental change on ecosystems.
Table 3.
Correlations between annual environmental factors.
Table 4.
Correlations between spring environmental factors.
Table 5.
Correlations between summer environmental factors.
Table 6.
Correlations between autumn environmental factors.
Figure 2.
Environmental conditions affecting the consistency and decoupling of GPP and NEP. The vertical axis represents the 14 selected forest sites, where CA-Obs is the decoupled site. The horizontal axis represents the relationship between environmental factors at different time scales. The values in each box are the correlation coefficients between the two environmental factors. Red denotes a positive connection and blue denotes a negative correlation; a stronger association is shown by a deeper colored bar.
The trends in GPP and NEP were significantly positively correlated in this forest ecosystem when the following four conditions were satisfied at the same time: (1) PMAM was significantly negatively correlated with SWMAM ( < −0.5, p < 0.05) (Table 4); (2) PMAM was also significantly negatively correlated with VPDMAM ( < −0.5, p < 0.05) (Table 4); (3) TAJJA was significantly positively correlated with VPDJJA ( > 0.7, p < 0.05) (Table 5); and (4) SWSON was significantly positively correlated with VPDSON ( > 0.7, p < 0.05) (Table 6).
3.2. Responses of the Annual Carbon Fluxes to Environmental Changes
To further investigate the different responses of carbon fluxes to environmental changes, we used the path analysis method on the data after removing the correlation between the independent variables by ridge regression to analyze the response patterns of annual GPP and NEP in sites with both consistent and decoupled trends at annual (Figure 3) and seasonal scales (Figure 4). At all 14 forest sites, the direct effects of environmental factors on NEP were relatively weak, with the main mechanism being an indirect impact on NEP through the direct regulation of GPP and RE. In all sites, we found a significant promotion of NEP by GPP and a significant inhibition of NEP by RE, while RE at the decoupled forest site had a greater inhibitory effect on NEP than in sites with consistent trends, and the inhibitory effect of RE was stronger than that of GPP (Figure 3). At forest sites with a consistent trend, TAyear was significantly positively correlated with GPP and RE, and it played a crucial role in the regulation of GPP and RE (PCGPP = 0.81, PCRE = 0.65) (Figure 3a), suggesting a dominant role for temperature in carbon flux regulation. And interannual trends in TAyear with GPP and RE were consistent at consistent forest sites (Table A1). Pyear was significantly positively correlated with GPP (Figure 3a), indicating the importance of moisture in regulating carbon fluxes in forest ecosystems. SWyear was weakly negatively correlated with GPP and significantly negatively correlated with RE (Figure 3a). In contrast, at the decoupled forest site, we observed that the effect of VPDyear was significantly negatively correlated with GPP and RE, whereas this effect was a little weaker but also significantly negatively correlated at the forest sites with consistent trends in GPP and RE. This suggests that VPD plays a critical role in regulating the productivity of forest ecosystems (Figure 3). However, unlike the sites with a consistent trend, at the decoupled forest site, TAyear had a non-significant negative correlation with GPP and RE, Pyear had a non-significant effect on GPP and RE, and SWyear had a significant positive correlation with RE (Figure 3b).
Figure 3.
Regulatory mechanism of the annual carbon fluxes (GPP, NEP, and RE) by annual environmental factors at forest sites with consistent (a) and decoupled (b) trends in GPP and NEP. The value on each line is the path coefficient (PC). Red arrows represent positive correlations, while black arrows represent negative correlations. Significant relationships (p < 0.05) are indicated by * and the solid lines, while non-significant relationships (p > 0.05) are indicated by the dashed lines.
Figure 4.
Regulatory mechanism of the annual carbon fluxes (GPP, NEP, and RE) at forest sites with consistent (a,c,e) and decoupled (b,d,f) trends in GPP and NEP. MAM represents spring (March, April, and May). JJA represents summer (June, July, and August). SON represents autumn (September, October, November). The value on each line is the path coefficient (PC). Red arrows represent positive correlations, while black arrows represent negative correlations. Significant relationships (p < 0.05) are indicated by * and the solid lines, while non-significant relationships (p > 0.05) are indicated by the dashed lines.
We also investigated the responses of annual carbon fluxes to seasonal (spring, summer, and autumn) environmental factors, with the results shown in Figure 4. At forest sites with consistent trends in GPP and NEP, TAMAM and TAJJA contributed significantly to GPP and RE, with PCs of 0.55–0.81 (Figure 4a,c). This suggested that an increase in spring and summer temperatures had a significant positive effect on increasing the GPP and RE in forest ecosystems. TASON had a significant positive correlation with GPP (PC = 0.8) and almost no correlation with RE, suggesting that higher autumn temperatures contribute stronger to the increase in GPP. SWMAM had a more significant promoting effect on GPP (PC = 0.23), while SWJJA had strong inhibitory effects on GPP (PC = −0.69) (Figure 4a,c). SWMAM, SWJJA, and SWSON had strong inhibitory effects on RE with PCs of −0.7–−0.41, which became significantly negatively correlated (Figure 4a,c,e). This indicated that SWMAM provided sufficient energy for photosynthesis and promoted the increase in GPP. In summer, when the radiation intensity is higher, excessive light may also cause photoinhibition, which further reduces GPP [36]. In addition, high radiation intensity may cause plants to close stomata to reduce water loss, which also reduces RE. Moreover, spring, summer, and autumn precipitation and VPD had a low correlation and minimal effect on both GPP and RE (Figure 4a,c,e). However, at the decoupled forest site, TAJJA and TASON had a very weak contribution to carbon flux effects with correlation coefficients close to 0, but TAMAM became significantly positively correlated with GPP and RE (Figure 4b,d,f). SWMAM significantly promoted GPP and RE, with a stronger effect on RE (Figure 4b), while SWJJA and SWSON became significantly negatively correlated with GPP and RE (Figure 4d,f). This indicated that abundant sunlight positively promoted GPP in the early stages of plant growth in spring, but the trends of GPP and NEP changed and appeared to become decoupled due to the stronger effect of SW on RE. PMAM also contributed significantly to GPP and RE, and more strongly to RE (Figure 4b). PJJA had a significant negative correlation with GPP and RE (Figure 4d), while PSON had almost no correlation with either (Figure 4f). There was no significant correlation between VPD and GPP or RE in spring (Figure 4b). However, VPDJJA became significantly negatively correlated with GPP (Figure 4d), and VPDSON became significantly positively correlated with GPP (Figure 4f). These results suggest that the mechanism by which environmental conditions influence plant RE is complex. The decoupling of GPP and NEP may lead to changes in ecosystem carbon cycling processes, with implications for ecosystem health and functioning.
3.3. Relative Contributions of Different Environmental Factors to the Annual Carbon Fluxes
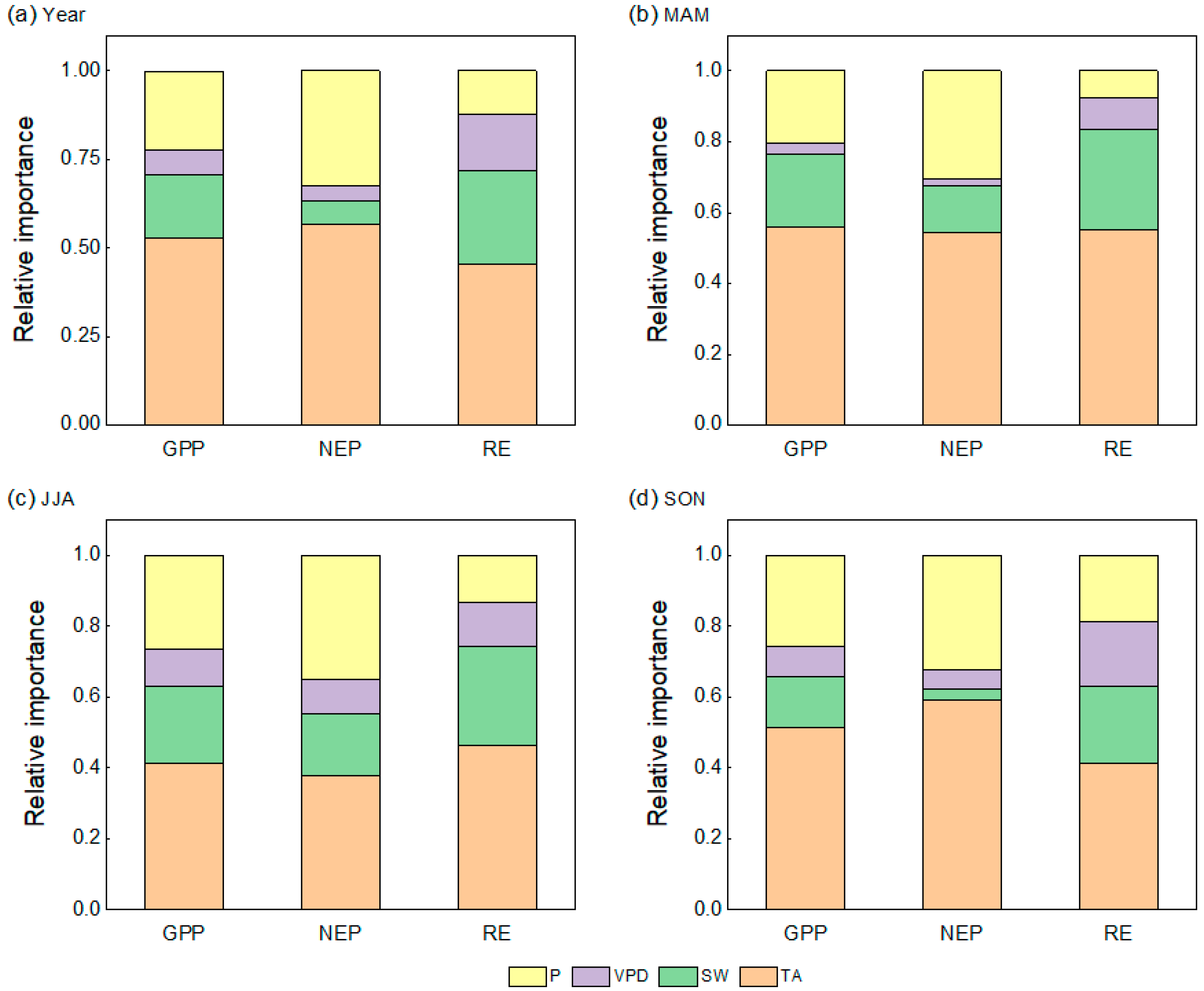
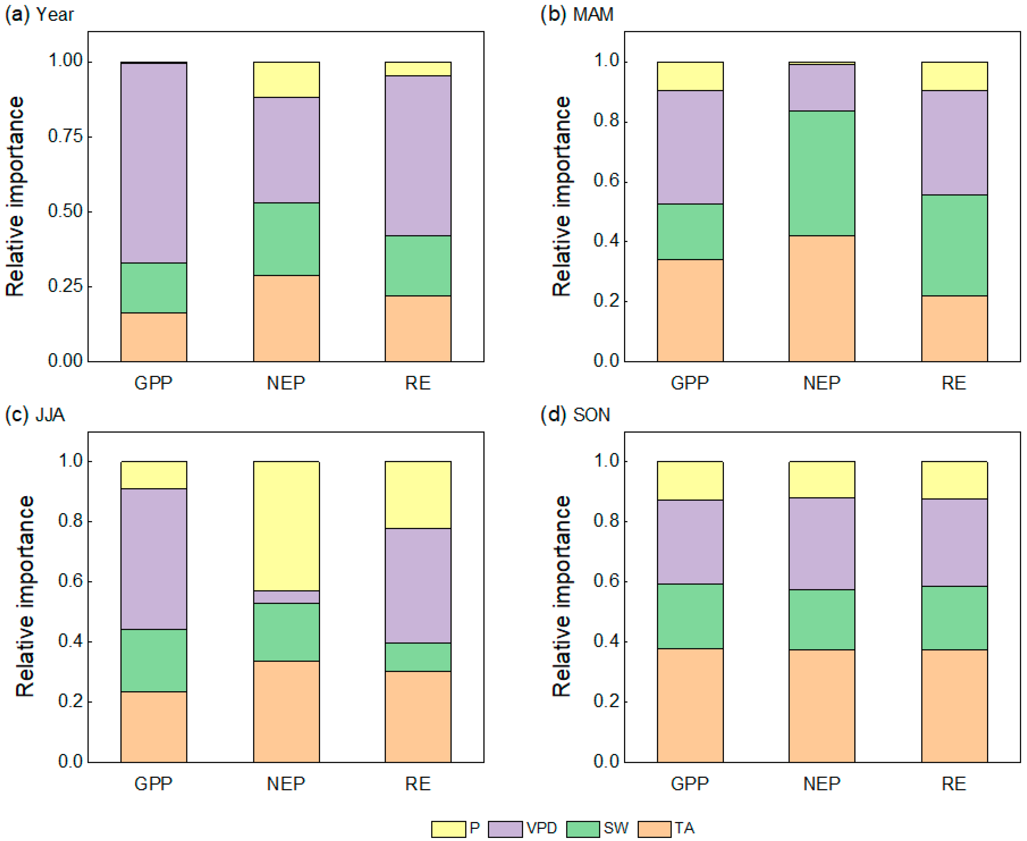
The relative contributions of different environmental factors to the annual carbon fluxes were investigated using the PLS method, with the results for the forest sites with consistent and decoupled trends in GPP and NEP shown in Figure 5 and Figure 6, respectively. At forest sites with consistent trends in GPP and NEP, annual and seasonal temperatures contributed much more to carbon fluxes than the other three environmental factors, and spring and autumn temperatures contributed more than 50% to GPP and NEP (Figure 5b,d). Precipitation contributed more to NEP than to GPP and RE, while SW contributed more to RE than to GPP and NEP, and VPD contributed the least, especially for NEP, which is only 5%–8% (Figure 5). TASON contributed more to NEP, accounting for 60% (Figure 5d), suggesting that autumn temperature is an important factor in promoting carbon sequestration. These findings suggest that temperature and precipitation were the key environmental factors affecting forest ecosystems in sites with consistent trends in GPP and NEP, while SW also had a substantial influence on GPP and RE.
Figure 5.
Relative contributions of annual and seasonal environmental factors to annual carbon fluxes at forest sites with consistent trends in GPP and NEP. (a) represents year, (b) represents spring (March, April, and May), (c) represents summer (June, July, and August), and (d) represents autumn (September, October, and November). The orange, green, purple, and yellow bars represent temperature, SW, VPD, and precipitation, respectively.
Figure 6.
Relative contributions of annual and seasonal environmental factors to annual carbon fluxes at the forest site with a decoupled trend in GPP and NEP. (a) represents year, (b) represents spring (March, April, and May), (c) represents summer (June, July, and August), and (d) represents autumn (September, October, and November). The orange, green, purple, and yellow bars represent temperature, SW, VPD, and precipitation, respectively.
At the forest site where GPP and NEP were decoupled, the contributions of temperature and SW to carbon fluxes were comparable at different time scales (Figure 6). The contributions of Pyear and PMAM to carbon fluxes were almost negligible (Figure 6a,b). VPDyear contributed significantly more to GPP and RE than other environmental factors, at 66% and 53%, respectively (Figure 6a). PJJA was more important to NEP, accounting for 43%, offsetting the negative effect of summer high temperatures, and VPDJJA was also more important to GPP and RE than other environmental factors, accounting for 46% and 38%, respectively (Figure 6c). In autumn, the four environmental factors contributed equally to all carbon fluxes (Figure 6d). These observations suggest that at the forest site where GPP and NEP were decoupled, the dominance of the influence of VPDyear and VPDJJA on GPP indicated the importance of annual and seasonal climate change on ecosystem photosynthesis, while PJJA and SWMAM dominated NEP, further highlighting the importance of seasonal climatic elements on NEP processes.
At forest sites with consistent trends in GPP and NEP, the changes in the annual carbon fluxes were primarily driven by temperature, followed by precipitation, SW, and VPD. In contrast, at the forest site with decoupled GPP and NEP, VPDyear, VPDJJA, and PJJA were the dominant factors, followed by the effects of temperature and SW.
4. Discussion
4.1. Changes in Environmental Factors Lead to Consistent or Decoupled Trends in GPP and NEP
Since carbon fluxes are an important component of forest ecosystems, understanding the intricate connections between environmental factors and carbon fluxes is crucial for determining the variability of ecosystem carbon fluxes and enhancing future projections. Our study found that the response of NEP to environmental changes was dependent on the combined response of GPP and RE. The combined response of ecosystem GPP and RE to the environment determines NEP, rather than a single physiological process [37].
Temperature, precipitation, and VPD are important controlling factors for GPP and NEP in most areas worldwide. Mechanistically, temperature influences enzymatic activities related to photosynthesis and respiration, thus impacting GPP and NEP. Photosynthetic enzymes have temperature-dependent activity, and higher temperatures generally enhance photosynthetic rates up to an optimal point (Figure 3 and Figure 4), beyond which the rates decline due to thermal inhibition [38,39]. Precipitation affects soil moisture availability, influencing plant water status and stomatal conductance, which in turn affects photosynthesis and respiration processes. Adequate soil moisture promotes stomatal opening, allowing CO2 uptake for photosynthesis, thereby increasing GPP (Figure 4b). Conversely, soil moisture deficits lead to stomatal closure to conserve water, thus reducing GPP (Figure 4d) [40]. We found a consistent trend in GPP and NEP when temperature and precipitation had significantly opposite trends and when temperature had a significantly positive correlation with VPD in the year, spring, summer, and autumn (Table 4, Table 5 and Table 6). Bonan [41] reported that forests maintain the hydrological cycle through evapotranspiration, which cools the climate through feedback from precipitation, with temperature trending in the opposite direction to precipitation. There is also a close relationship between temperature and VPD. An increase in temperature leads to an increase in the rate of evaporation, which increases the VPD [42]. Vegetation will reduce water loss by closing stomata in response to high temperatures and high VPD conditions [43]. Therefore, GPP and NEP were consistent with each other in the spring, summer, and autumn when the temperature and VPD trends were the same (Table 4, Table 5 and Table 6), which agreed with the findings of Xia et al. [44]. When SW was synchronized with temperature changes in summer, GPP and NEP changed in tandem (Table 5). Oleson et al. [45] found that summer temperatures were increasing in temperate forests in the eastern United States through a study of global climate patterns, and the increasing levels of radiation enhanced the GPP [46]. Several studies have also shown that the spatial variation of GPP is mainly determined by temperature, with GPP increasing as temperature increases [47,48] and our findings are consistent with that (Figure 4 and Figure 5).
At forest sites where GPP and NEP were decoupled, a higher VPD led to higher transpiration rates but decreased stomatal conductance to CO2 and water vapor, which in turn decreased GPP. Under hydrological stress, the VPD limits stomatal conductance and evapotranspiration more than precipitation in a variety of humid and semi-humid biomes (Figure 6) [49]. However, when there is no water stress, the opposite relationship may occur, i.e., a higher VPD promotes GPP [50], which leads to a decoupling of GPP and NEP in this forest ecosystem (Figure 4f). In cold temperate forest ecosystems, summer precipitation contributes even more to the increase in annual NEP [51], which may result from the leaf expansion’s long-term impacts and the stresses that occur during early wood production, and our analysis of materiality found conclusions that are consistent with it (Figure 6c). In contrast, a substantial decrease in annual NEP could result from the dryness occurring between germination and complete leaf growth, with non-synchronous changes in GPP and NEP [52]. Under continuous high-temperature conditions, the rate of increase in annual RE with temperature is much higher than the rate of increase in GPP, and there was a decoupling of GPP and NEP [53]. High temperatures can exacerbate respiratory losses as enzymes involved in respiration become more active, increasing RE disproportionately compared to GPP [41]. The causes of decoupling are not determined by a single environmental factor but are regulated by a combination of environmental conditions [54]. This finding is consistent with previous studies of the response of forest ecosystems to the environment [55,56,57].
Temperature and precipitation have been ranked as the first or second most important controlling factors of carbon fluxes in some studies [58], and our study also came to the same conclusion (Figure 5 and Figure 6). The multiple reasons for the differences in the response of forest ecosystem carbon fluxes to environmental changes still need to be studied in depth, and there is a need to develop a deeper understanding of carbon cycling in forest ecosystems under different environmental conditions.
4.2. Seasonally Dependent Responses of Carbon Fluxes to Environmental Factors
Even over very short timescales, environmental factors have a significant influence on the variability of carbon fluxes. Some correlations between environmental variables and carbon fluxes vary seasonally [59,60]. The NEP response combined the effects of temperature, precipitation, and other environmental factors on its two components: GPP and RE. Even in forest ecosystems with the same vegetation type, the response of NEP to a given forcing may differ significantly due to the competitive response of GPP and RE to environmental factors [61,62].
The correlation between NEP and mean annual air temperature was weak in our selected forest ecosystems (Figure 3), which was in line with the findings of Reichstein et al. [22]. The spring temperature had a greater effect on annual GPP than the mean temperature in other seasons, with a PC of 0.81 (Figure 4a). Warmer weather early in the season stimulated vegetation growth and CO2 uptake, while temperature-enhanced RE dominated later in the season. This was consistent with the modeled mechanism proposed by Ishizawa et al. [59]. Across a range of biota, spring is the season with the strongest link between carbon fluxes and environmental factors [63]. Temperature is the main factor that directly regulates the growth cycle and potential photosynthetic activity of vegetation, thus directly affecting carbon fluxes [64]. This seasonal disparity in the sensitivity of carbon fluxes to temperature variations underscores the importance of considering seasonal dynamics when assessing carbon fluxes in forest ecosystems [65].
Precipitation is another important factor influencing changes in the trends of carbon fluxes [47], and it can directly determine both GPP and NEP [66]. Annual GPP and NEP increased with autumn precipitation (Figure 4e,f). In autumn, precipitation can also extend the growing season by maintaining favorable soil moisture conditions, which supports higher rates of carbon sequestration and leads to an increase in NEP [67]. A global forest study discovered that GPP became saturated in locations with an annual precipitation of more than 1500 mm [68]. Additionally, NEP tended to increase with summer precipitation, suggesting that environmental changes may have played a role in the increase in NEP in the region. This was consistent with the reported changes in moisture sensitivity in boreal forests [69] and may also be the result of post-infestation forest restoration and active forest management policies [70]. These findings underscore the complex interplay between precipitation and plant physiological responses in regulating carbon fluxes in forest ecosystems.
In the summer and autumn seasons, high levels of radiation can suppress both gross primary production (GPP) and ecosystem respiration (RE) due to several interconnected physiological and environmental mechanisms (Figure 4c–f). Furthermore, high radiation often coincides with elevated temperatures, exacerbating water stress in plants. Under these conditions, plants close their stomata to minimize water loss through transpiration. However, this also limits CO2 intake, which is necessary for photosynthesis, further reducing GPP. This stomatal closure is a protective mechanism but results in a trade-off where the plant’s carbon sequestration capacity is compromised [71]. The increased respiratory demand under high temperatures and radiation can lead to a scenario where RE increases more than GPP, resulting in a net reduction in NEP [72].
In the ecological zone where this study was conducted, summer is the main vegetation growing season, and therefore NEP is more susceptible to climate warming and drought during the summer months. VPD is a key determinant of atmospheric dryness and an important control on ecosystem carbon dynamics [73]. The VPD was found to significantly suppress carbon fluxes at annual scales (Figure 3), which was consistent with previous studies [74,75]. An elevated VPD intensifies surface evapotranspiration, leading to drier conditions that typically diminish NEP [76]. Conversely, during the wet season, a lower VPD favors GPP and increases NEP [77]. The seasonal dynamics of VPD reveal its critical role in shaping ecosystem responses to climate variability, with lower values typically observed in spring and autumn, when plant growth and photosynthetic productivity are most active. These periods of reduced atmospheric dryness foster optimal conditions for carbon sequestration through enhanced vegetation growth [78].
Overall, annual and summer precipitation are the most significant drivers of NEP [79], as the results showed (Figure 5). Summer precipitation helps to compensate for the higher temperatures in summer, and its overall effect on carbon fluxes is positive. Favorable rainfall periods can alter the carbon balance of ecosystems and may affect the intra-annual variability of the regional and global carbon cycle [80]. The growing season for vegetation typically occurs in the late spring to early autumn [81], when increases in temperature and precipitation promote NEP growth and GPP increases with the increase in summer VPD (Figure 4c). In contrast, the impact of higher temperatures on RE is more pronounced during the non-growing season, resulting in smaller or negative growth of NEP. Other environmental factors had no significant effect on the carbon fluxes during the non-growing season, which was consistent with the assumption that only a few environmental factors can explain the proportional interannual variations in NEP at different sites [1,82,83]. The data suggested that the effect of seasonal environmental factors on annual carbon fluxes was greater than the effect of annual environmental factors in most forest sites investigated in this study. This was consistent with the conclusion of earlier studies that a small number of highly productive days during the growing season have a strong influence on the interannual variability of carbon fluxes [21]. This finding emphasizes the importance of seasonal factors in regulating carbon fluxes and will lead to an improved understanding of the carbon balance in forest ecosystems.
5. Conclusions
Quantifying the response of different carbon fluxes to environmental factors in cold temperate forest terrestrial ecosystems is extremely important to understand the ecosystem carbon fluxes under climate change. In this study, the response of GPP and NEP to environmental changes was investigated in the normal humid cold temperate climate of the Koppen–Geiger climate zone in 14 ENF ecosystems, where continuous observations were available for at least ten years. The conclusions are as follows:
- There were substantial differences in the effects of environmental factors on GPP and NEP at different sites, with thirteen sites displaying synchronous increases in GPP and NEP over time, of which six had significant positive correlations between GPP and NEP. One site exhibited a decoupling of GPP and NEP with a negative correlation. There were consistent trends in both GPP and NEP when temperature and precipitation had significantly opposite trends and when temperature had a significantly positive correlation with VPD across annual and seasonal scales. Conversely, a decoupling of GPP and NEP occurred when VPDMAM was significantly negatively correlated with both TAMAM and SWMAM and when TAJJA was negatively correlated with both SWJJA and VPDJJA. In addition, the responses of GPP and NEP to changes in environmental factors differed significantly across seasons.
- At forest sites with consistent trends in GPP and NEP, annual, spring, and summer temperatures had significant positive correlations with GPP and RE, while at the forest site where GPP and NEP were decoupled, environmental factors had a stronger effect on RE.
- At the forest sites where the trends in GPP and NEP were consistent, the contribution of temperature to carbon fluxes was much greater than that of other environmental factors, and spring and autumn temperatures contributed more than 50% to GPP and NEP. Autumn temperatures contributed significantly more to NEP than to GPP and RE.
- At the forest site where GPP was decoupled from NEP, annual and summer VPD had a large contribution to GPP, accounting for 60% of the effect of all environmental factors. Additionally, spring radiation and summer precipitation dominated the contribution to NEP, promoting carbon sequestration.
Author Contributions
Conceptualization, L.L., M.J. and X.L.; funding acquisition, L.L. and X.L.; methodology, L.L., M.J. and X.L.; software, M.J.; data curation, M.J.; formal analysis, L.L. and M.J.; writing—original draft preparation, M.J.; writing—review and editing, L.L. and X.L. All authors have read and agreed to the published version of the manuscript.
Funding
This research was funded by the National Key Research and Development Program of China (2022YFF1301900) and the National Natural Science Foundation of China (42425001).
Data Availability Statement
The Koppen–Geiger climate zone is available at https://hanschen.org/koppen/, accessed on 7 May 2022. The environmental factors and three carbon flux datasets are available at https://fluxnet.org/, accessed on 11 March 2023, https://www.icos-cp.eu/, accessed on 11 March 2023, and https://ameriflux.lbl.gov/, accessed on 13 March 2023, as described in the text.
Acknowledgments
The authors sincerely thank the organizations and individuals who generously provided the free datasets used in this research.
Conflicts of Interest
The authors declare no conflicts of interest.
Appendix A
Table A1.
The interannual trends of carbon fluxes and environmental factors at different forests.
Table A1.
The interannual trends of carbon fluxes and environmental factors at different forests.
| Site | GPP | NEP | RE | TAyear | SWyear | VPDyear | Pyear | TAMAM | SWMAM | VPDMAM | PMAM | TAJJA | SWJJA | VPDJJA | PJJA | TASON | SWSON | VPDSON | PSON |
|---|---|---|---|---|---|---|---|---|---|---|---|---|---|---|---|---|---|---|---|
| FI-Hyy | 3.64 * | 2.96 * | 2.45 * | 2.00 * | −0.48 | −0.48 | −0.08 | 1.33 | 0.14 | 0.65 | −1.10 | 0.37 | 0.25 | 0.54 | −0.42 | 0.37 | −1.72 * | −3.07 * | 0.31 |
| DE-Tha | 1.03 | 0.66 | 1.40 | 2.51 * | 2.14 * | 2.46 * | −0.13 | 0.87 | 0.82 | 1.35 | −2.03 * | 3.04 * | 3.35 * | 2.93 * | −0.55 | 1.98 * | 0.50 | 0.92 | −0.29 |
| US-GLE | 2.56 * | 2.93 * | 1.46 | 1.71 * | 0.12 | 2.07 * | −0.73 | 1.71 * | 0.24 | 0.98 | −0.12 | 1.71 * | 1.22 | 1.71 * | −1.59 | 0.49 | −0.24 | 1.34 | −0.37 |
| CZ-BK1 | 2.57 * | 2.46 * | 1.70 | 1.92 * | −0.27 | 1.26 | −0.71 | 1.37 | 0.27 | 0.60 | −0.49 | 1.70 * | 0.93 | 1.59 | −0.49 | 0.93 | −0.27 | 0.60 | −1.26 |
| US-NR1 | 1.27 | 1.09 | 0.72 | 1.35 | −0.54 | 0.05 | 1.08 | 0.90 | 0.54 | 1.44 | 0.90 | 0.72 | 0.09 | 0.09 | −0.09 | 2.43 * | −0.27 | 1.26 | −1.17 |
| CA-TP3 | 3.23 * | 2.03 * | 1.15 | 0.38 | 0.71 | −0.49 | −1.15 | −0.38 | −0.93 | −0.05 | 0.60 | −0.60 | −1.48 | −0.71 | −1.92 * | 0.60 | 1.15 | 0.60 | −0.16 |
| DE-Obe | 0.23 | 0.86 | 0.54 | 1.95 * | 1.32 | 1.63 * | −2.10 * | 0.08 | 0.23 | 0.39 | −1.01 | 2.72 * | 2.72 * | 2.26 * | −1.95 * | 1.32 | 0.39 | 0.86 | −0.70 |
| FI-Let | 0.46 | 0.99 | 0.29 | 1.73 * | 1.24 | 0.00 | 1.48 | 0.49 | 1.98 * | 0.99 | 0.49 | 0.24 | 0.25 | 0.25 | −0.25 | 0.49 | 0.25 | 0.25 | 0.49 |
| IT-Ren | 3.20 * | 0.66 | 4.11 * | 3.38 * | −0.42 | 1.93 * | 1.15 | 0.97 | 0.12 | 1.09 | −0.79 | 2.90 * | 0.60 | 1.21 | 0.48 | 1.93 * | 0.00 | 1.15 | 0.48 |
| US-Ho2 | 1.48 | 0.91 | 1.24 | 0.82 | 2.22 * | 2.80 * | −0.41 | 0.16 | 0.82 | 0.49 | −0.82 | 1.73 * | 2.97 * | 2.88 * | −1.24 | 0.16 | 0.41 | 1.73 * | −0.91 |
| FI-Sod | 0.27 | 0.27 | 0.05 | 0.93 | −1.04 | −0.60 | 0.93 | −0.05 | −1.04 | −0.60 | 1.37 | 0.93 | 0.82 | 0.16 | −0.05 | 1.37 | 0.27 | −0.77 | 0.38 |
| CA-Man | 0.23 | 2.10 * | 1.17 | 0.08 | −0.39 | −0.23 | 1.01 | 1.32 | 0.23 | 0.54 | 0.86 | 0.08 | 0.23 | 0.08 | −0.54 | 2.10 * | −2.57 * | −1.17 | 1.32 |
| RU-Fyo | 0.54 | 1.63 | 0.05 | 0.54 | 0.64 | 0.05 | −0.25 | 0.05 | 0.64 | 0.74 | 0.05 | 0.64 | 0.54 | 0.35 | −0.25 | −0.94 | −0.64 | −1.04 | −0.05 |
| CA-Obs | 2.41 * | −1.48 | 3.04 * | −0.23 | 0.86 | −0.70 | −0.39 | 0.08 | 0.86 | −1.01 | 0.70 | −0.54 | 0.08 | 0.08 | −0.86 | −0.39 | −1.32 | −0.08 | 1.95 |
* Trend at 5% significance level or 95% confidence level.
References
- Desai, A.R.; Murphy, B.A.; Wiesner, S.; Thom, J.; Butterworth, B.J.; Koupaei-Abyazani, N.; Muttaqin, A.; Paleri, S.; Talib, A.; Turner, J.; et al. Drivers of decadal carbon fluxes across temperate ecosystems. J. Geophys. Res. Biogeosci. 2022, 127, e2022JG007014. [Google Scholar] [CrossRef] [PubMed]
- Woodwell, G.M.; Whittaker, R.H. Primary production in terrestrial ecosystems. Am. Zool. 1968, 8, 19–30. [Google Scholar] [CrossRef]
- Lovett, G.M.; Cole, J.J.; Pace, M.L. Is net ecosystem production equal to ecosystem carbon accumulation? Ecosystems 2006, 9, 152–155. [Google Scholar] [CrossRef]
- Hirata, R.; Hirano, T.; Saigusa, N.; Fujinuma, Y.; Inukai, K.; Kitamori, Y.; Takahashi, Y.; Yamamoto, S. Seasonal and interannual variations in carbon dioxide exchange of a temperate larch forest. Agric. For. Meteorol. 2007, 147, 110–124. [Google Scholar] [CrossRef]
- Pan, Y.; Birdsey, R.A.; Fang, J.; Houghton, R.; Kauppi, P.E.; Kurz, W.A.; Phillips, O.L.; Shvidenko, A.; Lewis, S.L.; Canadell, J.G. A large and persistent carbon sink in the world’s forests. Science 2011, 333, 988–993. [Google Scholar] [CrossRef] [PubMed]
- Asner, G.P.; Seastedt, T.R.; Townsend, A.R. The decoupling of terrestrial carbon and nitrogen cycles. BioScience 1997, 47, 226–234. [Google Scholar] [CrossRef]
- Cowan, I. Stomatal behaviour and environment. In Advances in Botanical Research; Elsevier: Amsterdam, The Netherlands, 1978; Volume 4, pp. 117–228. [Google Scholar]
- Jiang, F.; He, W.; Ju, W.; Wang, H.; Wu, M.; Wang, J.; Feng, S.; Zhang, L.; Chen, J.M. The status of carbon neutrality of the world’s top 5 CO2 emitters as seen by carbon satellites. Fundam. Res. 2022, 2, 357–366. [Google Scholar] [CrossRef]
- Wang, H.; Jiang, F.; Liu, Y.; Yang, D.; Wu, M.; He, W.; Wang, J.; Wang, J.; Ju, W.; Chen, J.M. Global terrestrial ecosystem carbon flux inferred from TanSat XCO2 retrievals. J. Remote Sens. 2022, 2022, 9816536. [Google Scholar] [CrossRef]
- Baldocchi, D. Measuring fluxes of trace gases and energy between ecosystems and the atmosphere–the state and future of the eddy covariance method. Glob. Chang. Biol. 2014, 20, 3600–3609. [Google Scholar] [CrossRef]
- Stoy, P.C.; Richardson, A.D.; Baldocchi, D.D.; Katul, G.G.; Stanovick, J.; Mahecha, M.D.; Reichstein, M.; Detto, M.; Law, B.E.; Wohlfahrt, G.J.B. Biosphere-atmosphere exchange of CO2 in relation to climate: A cross-biome analysis across multiple time scales. Biogeosciences 2009, 6, 2297–2312. [Google Scholar] [CrossRef]
- Bonan, G.B.; Lombardozzi, D.L.; Wieder, W.R.; Oleson, K.W.; Lawrence, D.M.; Hoffman, F.M.; Collier, N. Model structure and climate data uncertainty in historical simulations of the terrestrial carbon cycle (1850–2014). Glob. Biogeochem. Cycles 2019, 33, 1310–1326. [Google Scholar] [CrossRef]
- Ge, R.; He, H.; Ren, X.; Zhang, L.; Yu, G.; Smallman, T.L.; Zhou, T.; Yu, S.Y.; Luo, Y.; Xie, Z. Underestimated ecosystem carbon turnover time and sequestration under the steady state assumption: A perspective from long-term data assimilation. Glob. Chang. Biol. 2019, 25, 938–953. [Google Scholar] [CrossRef] [PubMed]
- Beer, C.; Reichstein, M.; Tomelleri, E.; Ciais, P.; Jung, M.; Carvalhais, N.; Rödenbeck, C.; Arain, M.A.; Baldocchi, D.; Bonan, G.B. Terrestrial gross carbon dioxide uptake: Global distribution and covariation with climate. Science 2010, 329, 834–838. [Google Scholar] [CrossRef] [PubMed]
- Valentini, R.; Matteucci, G.; Dolman, A.; Schulze, E.-D.; Rebmann, C.; Moors, E.; Granier, A.; Gross, P.; Jensen, N.; Pilegaard, K. Respiration as the main determinant of carbon balance in European forests. Nature 2000, 404, 861–865. [Google Scholar] [CrossRef] [PubMed]
- Zhang, W.-J.; Wang, H.-M.; Yang, F.-T.; Yi, Y.-H.; Wen, X.-F.; Sun, X.-M.; Yu, G.-R.; Wang, Y.-D.; Ning, J.-C. Underestimated effects of low temperature during early growing season on carbon sequestration of a subtropical coniferous plantation. Biogeosciences 2011, 8, 1667–1678. [Google Scholar] [CrossRef]
- Yan, J.; Zhang, Y.; Yu, G.; Zhou, G.; Zhang, L.; Li, K.; Tan, Z.; Sha, L. Seasonal and inter-annual variations in net ecosystem exchange of two old-growth forests in southern China. Agric. For. Meteorol. 2013, 182, 257–265. [Google Scholar] [CrossRef]
- Fu, Z.; Ciais, P.; Prentice, I.C.; Gentine, P.; Makowski, D.; Bastos, A.; Luo, X.; Green, J.K.; Stoy, P.C.; Yang, H. Atmospheric dryness reduces photosynthesis along a large range of soil water deficits. Nat. Commun. 2022, 13, 989. [Google Scholar] [CrossRef] [PubMed]
- Higgins, S.I.; O’Hara, R.B.; Bykova, O.; Cramer, M.D.; Chuine, I.; Gerstner, E.M.; Hickler, T.; Morin, X.; Kearney, M.R.; Midgley, G.F. A physiological analogy of the niche for projecting the potential distribution of plants. J. Biogeogr. 2012, 39, 2132–2145. [Google Scholar] [CrossRef]
- Zhang, Y.; Parazoo, N.C.; Williams, A.P.; Zhou, S.; Gentine, P. Large and projected strengthening moisture limitation on end-of-season photosynthesis. Proc. Natl. Acad. Sci. USA 2020, 117, 9216–9222. [Google Scholar] [CrossRef]
- Zscheischler, J.; Fatichi, S.; Wolf, S.; Blanken, P.D.; Bohrer, G.; Clark, K.; Desai, A.R.; Hollinger, D.; Keenan, T.; Novick, K. Short-term favorable weather conditions are an important control of interannual variability in carbon and water fluxes. J. Geophys. Res. Biogeosci. 2016, 121, 2186–2198. [Google Scholar] [CrossRef]
- Reichstein, M.; Papale, D.; Valentini, R.; Aubinet, M.; Bernhofer, C.; Knohl, A.; Laurila, T.; Lindroth, A.; Moors, E.; Pilegaard, K. Determinants of terrestrial ecosystem carbon balance inferred from European eddy covariance flux sites. Geophys. Res. Lett. 2007, 34, L01402. [Google Scholar] [CrossRef]
- Xu, B.; Yang, Y.; Li, P.; Shen, H.; Fang, J. Global patterns of ecosystem carbon flux in forests: A biometric data-based synthesis. Glob. Biogeochem. Cycles 2014, 28, 962–973. [Google Scholar] [CrossRef]
- Piao, S.; Wang, X.; Park, T.; Chen, C.; Lian, X.; He, Y.; Bjerke, J.W.; Chen, A.; Ciais, P.; Tømmervik, H. Characteristics, drivers and feedbacks of global greening. Nat. Rev. Earth Environ. 2020, 1, 14–27. [Google Scholar] [CrossRef]
- Peel, M.C.; Finlayson, B.L.; McMahon, T.A. Updated world map of the Köppen-Geiger climate classification. Hydrol. Earth Syst. Sci. 2007, 11, 1633–1644. [Google Scholar] [CrossRef]
- Baldocchi, D.; Falge, E.; Gu, L.; Olson, R.; Hollinger, D.; Running, S.; Anthoni, P.; Bernhofer, C.; Davis, K.; Evans, R. FLUXNET: A new tool to study the temporal and spatial variability of ecosystem-scale carbon dioxide, water vapor, and energy flux densities. Bull. Am. Meteorol. Soc. 2001, 82, 2415–2434. [Google Scholar] [CrossRef]
- Desai, A.R.; Noormets, A.; Bolstad, P.V.; Chen, J.; Cook, B.D.; Davis, K.J.; Euskirchen, E.S.; Gough, C.; Martin, J.G.; Ricciuto, D.M. Influence of vegetation and seasonal forcing on carbon dioxide fluxes across the Upper Midwest, USA: Implications for regional scaling. Agric. For. Meteorol. 2008, 148, 288–308. [Google Scholar] [CrossRef]
- Chok, N.S. Pearson’s versus Spearman’s and Kendall’s Correlation Coefficients for Continuous Data; University of Pittsburgh: Pittsburgh, PA, USA, 2010. [Google Scholar]
- Chen, P.Y.; Popovich, P.M. Correlation: Parametric and Nonparametric Measures; Sage: Thousand Oaks, CA, USA, 2002. [Google Scholar]
- Kendall, M.G. Rank Correlation Methods; Springer: Boston, MA, USA, 1948. [Google Scholar]
- Gocic, M.; Trajkovic, S. Analysis of changes in meteorological variables using Mann-Kendall and Sen’s slope estimator statistical tests in Serbia. Glob. Planet. Chang. 2013, 100, 172–182. [Google Scholar] [CrossRef]
- Hoerl, A.E.; Kennard, R.W. Ridge regression: Applications to nonorthogonal problems. Technometrics 1970, 12, 69–82. [Google Scholar] [CrossRef]
- Wold, H. Soft modelling: The basic design and some extensions. In Systems under Indirect Observation, Part II; North-Holland: Amsterdam, The Netherland, 1982; pp. 1–54. [Google Scholar]
- Feng, Z.; Zhou, L.; Zhou, G.; Wang, Y.; Zhou, H.; Lv, X.; Liu, L. Variation in and Regulation of Carbon Use Efficiency of Grassland Ecosystem in Northern China. Atmosphere 2024, 15, 678. [Google Scholar] [CrossRef]
- Grömping, U. Relative importance for linear regression in R: The package relaimpo. J. Stat. Softw. 2007, 17, 1–27. [Google Scholar]
- Takahashi, S.; Murata, N. How do environmental stresses accelerate photoinhibition? Trends Plant Sci. 2008, 13, 178–182. [Google Scholar] [CrossRef] [PubMed]
- Piao, S.; Friedlingstein, P.; Ciais, P.; Peylin, P.; Zhu, B.; Reichstein, M. Footprint of temperature changes in the temperate and boreal forest carbon balance. Geophys. Res. Lett. 2009, 36, L07404. [Google Scholar] [CrossRef]
- Sage, R.F.; Kubien, D.S. The temperature response of C3 and C4 photosynthesis. Plant Cell Environ. 2007, 30, 1086–1106. [Google Scholar] [CrossRef] [PubMed]
- Crafts-Brandner, S.J.; Salvucci, M.E. Rubisco activase constrains the photosynthetic potential of leaves at high temperature and CO2. Proc. Natl. Acad. Sci. USA 2000, 97, 13430–13435. [Google Scholar] [CrossRef] [PubMed]
- Reichstein, M.; Bahn, M.; Ciais, P.; Frank, D.; Mahecha, M.D.; Seneviratne, S.I.; Zscheischler, J.; Beer, C.; Buchmann, N.; Frank, D.C. Climate extremes and the carbon cycle. Nature 2013, 500, 287–295. [Google Scholar] [CrossRef]
- Bonan, G.B. Forests and climate change: Forcings, feedbacks, and the climate benefits of forests. Science 2008, 320, 1444–1449. [Google Scholar] [CrossRef] [PubMed]
- Diao, H.; Cernusak, L.A.; Saurer, M.; Gessler, A.; Siegwolf, R.T.; Lehmann, M.M. Disentangling Direct Effects of Temperature and Vapour Pressure Deficit on Leaf Gas Exchange: Mechanistic Insights from Online Stable Isotope Techniques. In Proceedings of the EGU General Assembly 2024, Vienna, Austria, 14–19 April 2024. EGU24-7683. [Google Scholar] [CrossRef]
- Jalakas, P.; Takahashi, Y.; Waadt, R.; Schroeder, J.I.; Merilo, E. Molecular mechanisms of stomatal closure in response to rising vapour pressure deficit. New Phytol. 2021, 232, 468–475. [Google Scholar] [CrossRef] [PubMed]
- Xia, H.; Xu, X.; Xu, J.; Huang, Y.; Jiang, H.; Xu, X.; Zhang, T. Warming, rather than drought, remains the primary factor limiting carbon sequestration. Sci. Total Environ. 2024, 907, 167755. [Google Scholar] [CrossRef]
- Oleson, K.; Bonan, G.; Levis, S.; Vertenstein, M. Effects of land use change on North American climate: Impact of surface datasets and model biogeophysics. Clim. Dyn. 2004, 23, 117–132. [Google Scholar] [CrossRef]
- Gu, L.; Baldocchi, D.D.; Wofsy, S.C.; Munger, J.W.; Michalsky, J.J.; Urbanski, S.P.; Boden, T.A. Response of a deciduous forest to the Mount Pinatubo eruption: Enhanced photosynthesis. Science 2003, 299, 2035–2038. [Google Scholar] [CrossRef]
- Hirata, R.; Saigusa, N.; Yamamoto, S.; Ohtani, Y.; Ide, R.; Asanuma, J.; Gamo, M.; Hirano, T.; Kondo, H.; Kosugi, Y. Spatial distribution of carbon balance in forest ecosystems across East Asia. Agric. For. Meteorol. 2008, 148, 761–775. [Google Scholar] [CrossRef]
- Sasai, T.; Saigusa, N.; Nasahara, K.N.; Ito, A.; Hashimoto, H.; Nemani, R.; Hirata, R.; Ichii, K.; Takagi, K.; Saitoh, T.M. Satellite-driven estimation of terrestrial carbon flux over Far East Asia with 1-km grid resolution. Remote Sens. Environ. 2011, 115, 1758–1771. [Google Scholar] [CrossRef]
- Novick, K.A.; Ficklin, D.L.; Stoy, P.C.; Williams, C.A.; Bohrer, G.; Oishi, A.C.; Papuga, S.A.; Blanken, P.D.; Noormets, A.; Sulman, B.N. The increasing importance of atmospheric demand for ecosystem water and carbon fluxes. Nat. Clim. Chang. 2016, 6, 1023–1027. [Google Scholar] [CrossRef]
- Madani, N.; Kimball, J.S.; Jones, L.A.; Parazoo, N.C.; Guan, K. Global analysis of bioclimatic controls on ecosystem productivity using satellite observations of solar-induced chlorophyll fluorescence. Remote Sens. 2017, 9, 530. [Google Scholar] [CrossRef]
- Misson, L.; Rocheteau, A.; Rambal, S.; Ourcival, J.M.; Limousin, J.M.; Rodriguez, R. Functional changes in the control of carbon fluxes after 3 years of increased drought in a Mediterranean evergreen forest? Glob. Chang. Biol. 2010, 16, 2461–2475. [Google Scholar] [CrossRef]
- Noormets, A.; McNulty, S.G.; DeForest, J.L.; Sun, G.; Li, Q.; Chen, J. Drought during canopy development has lasting effect on annual carbon balance in a deciduous temperate forest. New Phytol. 2008, 179, 818–828. [Google Scholar] [CrossRef]
- Saleska, S.R.; Miller, S.D.; Matross, D.M.; Goulden, M.L.; Wofsy, S.C.; Da Rocha, H.R.; De Camargo, P.B.; Crill, P.; Daube, B.C.; de Freitas, H.C. Carbon in Amazon forests: Unexpected seasonal fluxes and disturbance-induced losses. Science 2003, 302, 1554–1557. [Google Scholar] [CrossRef] [PubMed]
- Magnani, F.; Mencuccini, M.; Borghetti, M.; Berbigier, P.; Berninger, F.; Delzon, S.; Grelle, A.; Hari, P.; Jarvis, P.G.; Kolari, P. The human footprint in the carbon cycle of temperate and boreal forests. Nature 2007, 447, 849–851. [Google Scholar] [CrossRef]
- Higgins, S.I.; Conradi, T.; Muhoko, E. Shifts in vegetation activity of terrestrial ecosystems attributable to climate trends. Nat. Geosci. 2023, 16, 147–153. [Google Scholar] [CrossRef]
- Seddon, A.W.; Macias-Fauria, M.; Long, P.R.; Benz, D.; Willis, K. Sensitivity of global terrestrial ecosystems to climate variability. Nature 2016, 531, 229–232. [Google Scholar] [CrossRef]
- Zhu, Z.; Piao, S.; Myneni, R.B.; Huang, M.; Zeng, Z.; Canadell, J.G.; Ciais, P.; Sitch, S.; Friedlingstein, P.; Arneth, A. Greening of the Earth and its drivers. Nat. Clim. Chang. 2016, 6, 791–795. [Google Scholar] [CrossRef]
- Chen, S.; Zou, J.; Hu, Z.; Chen, H.; Lu, Y. Global annual soil respiration in relation to climate, soil properties and vegetation characteristics: Summary of available data. Agric. For. Meteorol. 2014, 198, 335–346. [Google Scholar] [CrossRef]
- Ishizawa, M.; Mabuchi, K.; Shirai, T.; Inoue, M.; Morino, I.; Uchino, O.; Yoshida, Y.; Belikov, D.; Maksyutov, S. Inter-annual variability of summertime CO2 exchange in Northern Eurasia inferred from GOSAT XCO2. Environ. Res. Lett. 2016, 11, 105001. [Google Scholar] [CrossRef]
- Yue, C.; Ciais, P.; Bastos, A.; Chevallier, F.; Yin, Y.; Rödenbeck, C.; Park, T. Vegetation greenness and land carbon-flux anomalies associated with climate variations: A focus on the year 2015. Atmos. Chem. Phys. 2017, 17, 13903–13919. [Google Scholar] [CrossRef]
- Law, B.E.; Falge, E.; Gu, L.; Baldocchi, D.D.; Bakwin, P.; Berbigier, P.; Davis, K.; Dolman, A.J.; Falk, M.; Fuentes, J. Environmental controls over carbon dioxide and water vapor exchange of terrestrial vegetation. Agric. For. Meteorol. 2002, 113, 97–120. [Google Scholar] [CrossRef]
- Urbanski, S.; Barford, C.; Wofsy, S.; Kucharik, C.; Pyle, E.; Budney, J.; McKain, K.; Fitzjarrald, D.; Czikowsky, M.; Munger, J. Factors controlling CO2 exchange on timescales from hourly to decadal at Harvard Forest. J. Geophys. Res. Biogeosci. 2007, 112, G02020. [Google Scholar] [CrossRef]
- Schwalm, C.R.; Williams, C.A.; Schaefer, K.; Arneth, A.; Bonal, D.; Buchmann, N.; Chen, J.; Law, B.E.; Lindroth, A.; Luyssaert, S. Assimilation exceeds respiration sensitivity to drought: A FLUXNET synthesis. Glob. Chang. Biol. 2010, 16, 657–670. [Google Scholar] [CrossRef]
- Way, D.A.; Yamori, W. Thermal acclimation of photosynthesis: On the importance of adjusting our definitions and accounting for thermal acclimation of respiration. Photosynth. Res. 2014, 119, 89–100. [Google Scholar] [CrossRef] [PubMed]
- Richardson, A.D.; Andy Black, T.; Ciais, P.; Delbart, N.; Friedl, M.A.; Gobron, N.; Hollinger, D.Y.; Kutsch, W.L.; Longdoz, B.; Luyssaert, S. Influence of spring and autumn phenological transitions on forest ecosystem productivity. Philos. Trans. R. Soc. B Biol. Sci. 2010, 365, 3227–3246. [Google Scholar] [CrossRef]
- Chapin, F.S.; Matson, P.A.; Mooney, H.A.; Vitousek, P.M. Principles of Terrestrial Ecosystem Ecology; Springer: Berlin/Heidelberg, Germany, 2002. [Google Scholar]
- Seneviratne, S.I.; Corti, T.; Davin, E.L.; Hirschi, M.; Jaeger, E.B.; Lehner, I.; Orlowsky, B.; Teuling, A.J. Investigating soil moisture–climate interactions in a changing climate: A review. Earth-Sci. Rev. 2010, 99, 125–161. [Google Scholar] [CrossRef]
- Wang, X.; Wang, C.; Yu, G. The spatial and temporal pattern of global forest carbon exchange based on eddy covariance. Sci. China Ser. D Earth Sci. 2008, 38, 1092–1102. [Google Scholar]
- Xu, R.; Li, Y.; Teuling, A.J.; Zhao, L.; Spracklen, D.V.; Garcia-Carreras, L.; Meier, R.; Chen, L.; Zheng, Y.; Lin, H. Contrasting impacts of forests on cloud cover based on satellite observations. Nat. Commun. 2022, 13, 670. [Google Scholar] [CrossRef] [PubMed]
- Hicke, J.A.; Asner, G.P.; Randerson, J.T.; Tucker, C.; Los, S.; Birdsey, R.; Jenkins, J.C.; Field, C. Trends in North American net primary productivity derived from satellite observations, 1982–1998. Glob. Biogeochem. Cycles 2002, 16, 2-1–2-14. [Google Scholar] [CrossRef]
- Demmig-Adams, B.; Adams, W.W. Photoprotection and other responses of plants to high light stress. Annu. Rev. Plant Physiol. Plant Mol. Biol. 1992, 43, 599–626. [Google Scholar] [CrossRef]
- Atkin, O.K.; Bruhn, D.; Hurry, V.M.; Tjoelker, M.G. Evans Review No. 2: The hot and the cold: Unravelling the variable response of plant respiration to temperature. Funct. Plant Biol. 2005, 32, 87–105. [Google Scholar] [CrossRef] [PubMed]
- Yu, T.; Jiapaer, G.; Bao, A.; Zheng, G.; Zhang, J.; Li, X.; Yuan, Y.; Huang, X.; Umuhoza, J. Disentangling the relative effects of soil moisture and vapor pressure deficit on photosynthesis in dryland Central Asia. Ecol. Indic. 2022, 137, 108698. [Google Scholar] [CrossRef]
- Zhou, S.; Duursma, R.A.; Medlyn, B.E.; Kelly, J.W.; Prentice, I.C. How should we model plant responses to drought? An analysis of stomatal and non-stomatal responses to water stress. Agric. For. Meteorol. 2013, 182, 204–214. [Google Scholar] [CrossRef]
- Yi, C.; Ricciuto, D.; Li, R.; Wolbeck, J.; Xu, X.; Nilsson, M.; Aires, L.; Albertson, J.D.; Ammann, C.; Arain, M.A. Climate control of terrestrial carbon exchange across biomes and continents. Environ. Res. Lett. 2010, 5, 034007. [Google Scholar] [CrossRef]
- Zhao, M.; Running, S.W. Drought-induced reduction in global terrestrial net primary production from 2000 through 2009. Science 2010, 329, 940–943. [Google Scholar] [CrossRef]
- Novick, K.; Oren, R.; Stoy, P.; Juang, J.-Y.; Siqueira, M.; Katul, G. The relationship between reference canopy conductance and simplified hydraulic architecture. Adv. Water Resour. 2009, 32, 809–819. [Google Scholar] [CrossRef]
- Fisher, R.A.; Koven, C.D.; Anderegg, W.R.; Christoffersen, B.O.; Dietze, M.C.; Farrior, C.E.; Holm, J.A.; Hurtt, G.C.; Knox, R.G.; Lawrence, P.J. Vegetation demographics in Earth System Models: A review of progress and priorities. Glob. Chang. Biol. 2018, 24, 35–54. [Google Scholar] [CrossRef] [PubMed]
- Nielsen, U.N.; Ball, B.A. Impacts of altered precipitation regimes on soil communities and biogeochemistry in arid and semi-arid ecosystems. Glob. Chang. Biol. 2015, 21, 1407–1421. [Google Scholar] [CrossRef] [PubMed]
- Sun, Q.; Meyer, W.S.; Marschner, P. Direct and carry-over effects of summer rainfall on ecosystem carbon uptake and water use efficiency in a semi-arid woodland. Agric. For. Meteorol. 2018, 263, 15–24. [Google Scholar] [CrossRef]
- Piao, S.; Liu, Q.; Chen, A.; Janssens, I.A.; Fu, Y.; Dai, J.; Liu, L.; Lian, X.; Shen, M.; Zhu, X. Plant phenology and global climate change: Current progresses and challenges. Glob. Chang. Biol. 2019, 25, 1922–1940. [Google Scholar] [CrossRef] [PubMed]
- Zhou, L.; Tucker, C.J.; Kaufmann, R.K.; Slayback, D.; Shabanov, N.V.; Myneni, R.B. Variations in northern vegetation activity inferred from satellite data of vegetation index during 1981 to 1999. J. Geophys. Res. Atmos. 2001, 106, 20069–20083. [Google Scholar] [CrossRef]
- Xiao, J.; Zhuang, Q.; Law, B.E.; Chen, J.; Baldocchi, D.D.; Cook, D.R.; Oren, R.; Richardson, A.D.; Wharton, S.; Ma, S. A continuous measure of gross primary production for the conterminous United States derived from MODIS and AmeriFlux data. Remote Sens. Environ. 2010, 114, 576–591. [Google Scholar] [CrossRef]
Disclaimer/Publisher’s Note: The statements, opinions and data contained in all publications are solely those of the individual author(s) and contributor(s) and not of MDPI and/or the editor(s). MDPI and/or the editor(s) disclaim responsibility for any injury to people or property resulting from any ideas, methods, instructions or products referred to in the content. |
© 2024 by the authors. Licensee MDPI, Basel, Switzerland. This article is an open access article distributed under the terms and conditions of the Creative Commons Attribution (CC BY) license (https://creativecommons.org/licenses/by/4.0/).





