Abstract
Phytoncides and aromatherapy scents mainly derive from plant secondary metabolites and are now well known for their health benefits. In this study, we analyzed the chemical composition of the leaf-derived essential oil of Liquidambar formosana (Altingiaceae) using GC-MS; we also investigated the VOCs released from L. formosana leaves and the leaf essential oil at different temperatures by means of headspace gas chromatography–mass spectrometry (HS-GC-MS). Regarding the VOCs of the leaves, monoterpenes predominated the VOCs at both temperatures, mainly comprising sabinene, followed by γ-terpinene, α-terpinene, and α-pinene. The intensity of the leaf VOCs at 50 °C was nearly three times higher than that at 25 °C; the emission of monoterpenes significantly increases at higher environmental temperatures. The VOC emissions of oxygenated monoterpenes from the leaf essential oil increased at higher temperatures (50 °C), especially those of terpinen-4-ol. Our results reveal that HS-GC-MS can be used to conveniently and directly analyze the VOCs emitted from L. formosana leaves and their essential oils and to evaluate the influence of temperature on the composition of the VOCs of specimens. These VOC studies will assist in the sustainable development and utilization of L. formosana trees for forest therapy, as well as the use of their leaf essential oil for aromatherapy.
1. Introduction
The definition of volatile organic compounds (VOCs) is as follows: “VOCs means any compound of carbon, excluding carbon monoxide, carbon dioxide, carbonic acid, metallic carbides or carbonates, and ammonium carbonate, which participates in atmospheric photochemical reactions” [1]. Plants are the main source of VOCs in the biosphere, and the broad range of biogenic VOCs includes isoprene, volatile terpenoids (monoterpenoids and sesquiterpenoids), and volatile aromatic compounds emitted from the foliage of plants in forest ecosystems [2,3,4,5]. Dehimeche et al. monitored the VOCs from the above-ground (foliage) and below-ground (roots) emissions of tomato plants; the VOCs of above-ground emissions were mainly monoterpenes (β-phellandrene, δ-2-carene, and α-terpinene) and a few sesquiterpenes; the VOCs released from tomato roots were β-phellandrene, geraniol, methyl-salicylate, and phenyl-acetaldehyde, among others [6]. VOC emissions from the leaf litters of five deciduous trees were analyzed using GC-MS, and the results indicated that the VOCs were composed of terpenoids and volatile compounds derived from the decomposition of leaf litter by microbes [7]. Researchers have studied VOCs as defense responses of plants/crops under environmental stresses, such as fungal diseases and insects; gas-sensing technologies and relevant biomarkers have been used to improve crop productivity and defense strategies [8,9,10,11,12]. The transcriptional regulation of VOCs is an important role of plant evolution [3,13,14]. In 2022, Lemaitre-Guillier et al. investigated the VOCs of grapevine leaves to identify grapevine responses to defense elicitors in the field. The results revealed that the elicitors induced VOC emissions, mainly from monoterpenes such as ocimene isomers and pinenes, from grapevine leaves [9].
Headspace gas chromatography–mass spectrometry (HS-GC-MS) and headspace gas chromatography–ion mobility spectrometry (HS-GC-IMS) have been used to analyze the volatile organic compounds emitted from olive oil, and similar results were obtained when using both the HS-GC-MS and HS-GC-IMS techniques [15]. Jakubska-Busse et al. investigated the floral VOCs emitted from Fallopia baldschuanica flowers via an HS-GC-MS analysis, using important insect attractants; they found that β-ocimene, heptanal, nonanal, α-pinene, 3-thujene, and limonene were the most important aroma compounds of the floral scent [16]. Static headspace sampling has been used to extract VOCs from garden roses and to analyze the scent of roses. This technique can directly characterize real-scent VOCs without using specific solid-phase materials, including porous polymer sorbents and solid-phase microextraction (SPME) fibers [17,18]. Porous polymer sorbents and SPME fibers are appropriate for the analysis of specimens that are in low concentrations and need long-lasting absorption [2,19,20,21,22]. Portillo-Estrada et al. analyzed the wounding-induced VOC emissions of five tropical agricultural species, and methanol, hexenal, and acetaldehyde were the main compounds emitted from the examined plants after wounding [20].
The genus Liquidambar, sweet gum, which comprises 15 species of deciduous trees, belongs to the family Altingiaceae and is widely distributed in East Asia, North America, and the Mediterranean. Liquidambar styraciflua is the most famous species in this genus and is popularly known as the American sweet gum and alligator tree; it is mainly distributed in North America. It has been used as a traditional medicine for wounds, stomach disorders, coughs, and ulcers. Balsamic exudates obtained from the genus Liquidambar are widely used in medicines and perfumes, especially styrax gums [23,24,25]. L. formosana, or Formosan sweet gum, is another common Liquidambar species that is used as a folk medicinal plant; it is distributed in East Asia. Antifungal activity was found in L. formosana balsam, and, among the identified compounds, 3 α,25-dihydroxyolean-12-en-28-oic acid and bornyl cinnamate exhibited inhibitory effects against the wood-rotting fungi Lenzites betulina and Laetiporus sulphureus. The ethyl acetate fraction of the L. formosana leaf extract exhibited antioxidant, hypoglycemic, anti-glycation, and anti-diabetic activities. DeCarlo et al. reported the chemical composition and antimicrobial activities of L. formosana oleoresins. In total, 15 pentacyclic triterpenoids were detected in the L. formosana resin, and the presence of lupane- and oleanane-type triterpenoids demonstrated its potential to function as an antiangiogenic ingredient used to treat pathologic angiogenesis [26,27,28,29,30,31].
The biogenic VOCs emitted by trees and other plants in forests are known as phytoncides [13]. Forest therapy and aromatherapy have become increasingly popular in recent years, and many researchers have demonstrated the health benefits of forest bathing (Shinrin-yoku). The benefits include enhancing the immune system, improving sleep by augmenting non-rapid-eye-movement sleep, promoting cardiovascular health via reductions in blood pressure and heart rate, ameliorating negative emotions, and reducing the incidence of psychosocially induced illnesses [32,33,34,35,36,37]. These effects are related to the breathing or inhalation of the VOCs/scents emitted from trees and essential oils. Phytoncides, aromachology, and aromatherapy have numerous health benefits, including the alleviation of stress, immunosuppression, blood pressure, respiratory diseases, anxiety, and pain, as well as antimicrobial, antiseptic, and anticancer effects [35].
In the present study, using HS-GC-MS analysis, we investigated the chemical composition of the leaf essential oil derived from L. formosana and the differences in the VOCs emitted from the leaf and the leaf essential oil at an ambient temperature (25 °C) and a higher temperature (50 °C). Because we employed the HS-GC-MS technique, these results can help us to understand the potential and applications of the VOCs of L. formosana in forest therapy and leaf essential oils in aromatherapy. The investigation of the VOCs of the Liquidambar formosana leaf may promote the eco-tourism of forests containing L. formosana trees, and the essential oils obtained from sustainable leaf harvesting may increase the economic profits of forests.
2. Materials and Methods
2.1. Plant Materials
Fresh leaves were harvested from a 40-year-old Liquidambar formosana tree from Taipei, Taiwan, in March 2022. The herbarium voucher specimen (LF 2203) was deposited at the Lab of Chemical Utilization of Biomaterials, School of Forestry and Resource Conservation, National Taiwan University.
2.2. Hydrodistillation of Leaf Essential Oil
The leaf essential oil was extracted from L. formosana via hydrodistillation. The fresh leaves were hydrodistilled using a Clevenger apparatus for 6 h. The leaf essential oil yield was calculated based on the dried material weight of the leaves (w/w). The obtained leaf essential oils were stored in brown vials at 4 °C for further investigation [38,39].
2.3. Chemical Analysis of Leaf Essential Oil via the GC-MS Method
The constituents of the leaf essential oil were investigated using a gas chromatographer (Thermo Trace GC Ultra) equipped with a mass spectrometer (Polaris Q MSD) (Thermo Fisher Scientific, Austin, TX, USA). In brief, 1 μL of the analyte (5 mg of essential oil dissolved in 1 mL of LC-grade ethyl acetate) was injected into the DB-5MS capillary column (Crossbond 5% phenyl methyl polysiloxane, 30 m length × 0.25 mm i.d. × 0.25 µm film thickness). The temperature program was as follows: the initial temperature was set at 60 °C for 3 min; it then rose by 3 °C/min up to 120 °C and finally by 5 °C/min up to 240 °C, which was maintained for 5 min. The flow rate of the carrier gas, helium, was 1 mL/min with a split ratio of 10:1. The temperatures of the injection port and the GC/MS interface temperatures were set to 250 °C. The constituents were characterized and confirmed using mass spectrometry (m/z 50–650 amu) with reference to the Wiley and National Institute of Standards and Technology (NIST) library databases and the Kovats index (KI) [40]. The relative contents of the constituents were determined by integrating the peak area of the chromatogram [41,42,43]:
where RT(x) is the retention time of compound x, and RT(n) and RT(n + 1) are the retention times of the reference n-alkane hydrocarbons, such that RT(n) ≤ RT(x) ≤ RT(n+1).
KI (x) =100 n + 100 [(log RT(x) − log RT(n))/(log RT(n+1) − log RT(n))]
2.4. VOC Analyses of Leaves and Leaf Essential Oils via the HS-GC-MS Method
The VOCs of the leaves and leaf essential oils were analyzed using a headspace gas chromatographer (Thermo Trace GC Ultra) equipped with a mass spectrometer (Polaris Q MSD) (Thermo Fisher Scientific, Austin, TX, USA). In brief, 1 g of leaves (0.5 cm × 0.5 cm) or 1 μL of the leaf essential oil was placed in a 20 mL autosampler glass vial and sealed with a screw cap; it was then placed in the autosampler chamber and kept at 25 °C and 50 °C for 30 min in preparation for the HS-GC-MS analysis. Then, 1 mL of the gas (the VOCs) was drawn from the headspace of the vial and injected into the DB-5MS capillary column (30 m length × 0.25 mm i.d. × 0.25 µm film thickness) using the autosampler syringe. The temperature program was set as follows: it was initially held at 60 °C for 3 min, then increased at 3 °C/min up to 120 °C and 5 °C/min up to 240 °C, which was maintained for 5 min. The flow rate of the helium was 1 mL/min with a split ratio of 10:1. The injector port and GC/MS interface were set at 250 °C. Each constituent was characterized and confirmed using mass spectra (m/z 50–650 amu) with the Kovats index (KI) [40] and the National Institute of Standards and Technology (NIST) and Wiley library databases. The relative contents of the compounds were calculated by integrating the peak area of the chromatogram of the VOCs of the leaves and leaf essential oils [15,16].
2.5. Statistical Analysis
Our statistical analysis was conducted using SPSS Statistics (Statistical Package for the Social Sciences) (Version 18.0, SPSS Inc., Chicago, IL, USA). All data are presented as the mean values and standard deviations for 2 replicates. One-way ANOVAs with Tukey’s post hoc test were used to test the significance of the difference between samples.
3. Results and Discussion
3.1. Constituent Analysis of L. formosana Leaf Essential Oils
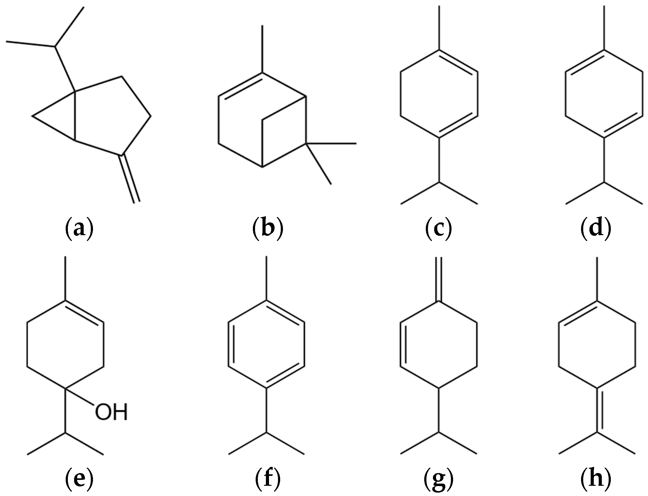
After 6 h of hydrodistillation, the leaf essential oils of L. formosana were obtained with a yield of 0.90 ± 0.04% (w/w). Figure 1 shows the gas chromatogram of the leaf essential oil. By conducting gas chromatography–mass spectrometry (GC-MS) analyses, we found that the major constituents of the leaf essential oil were terpinen-4-ol (34.14%), γ-terpinene (19.32%), α-terpinene (12.79%), sabinene (7.89%), p-cymene (5.91%), terpinolene (4.87%), α-pinene (3.11%), and β-phellandrene (2.23%) (Table 1). Hua et al. analyzed the chemical composition of L. formosana leaf essential oils, finding that the major compound was terpinen-4-ol (32.0%); both studies are consistent in terms of the content of the major compound, terpinen-4-ol [44]. The chemical variability of plant essential oils is affected by exogenous and endogenous factors, including the environment, anatomical and physiological characteristics, and others [45]. The L. formosana leaf essential oil was rich in monoterpenoids; the contents of monoterpenes and oxygenated monoterpenes were 62.47% and 35.30%, respectively. The chemical structures of the major constituents are shown in Figure 2. Sabinene is a monoterpene with a structure based on the thujane skeleton; α-pinene is a pinane-type skeleton monoterpene [46]. α-terpinene, γ-terpinene, terpinen-4-ol, p-cymene, β-phellandrene, terpinolene, and terpinolene all belong to the p-menthane skeleton, which is a six-membered ring with a methyl/methylene group at position 1 and an isopropyl group at position 4 [47].
Figure 1.
Gas chromatogram of Liquidambar formosana leaf essential oils.
Table 1.
Chemical compositions of Liquidambar formosana leaf essential oils.
Figure 2.
Chemical structures of the major constituents of the leaf essential oil: (a) sabinene; (b) α-pinene; (c) α-terpinene; (d) γ-terpinene; (e) terpinen-4-ol; (f) p-cymene; (g) β-phellandrene; (h) terpinolene.
3.2. VOC Analyses of L. formosana Leaves at Different Temperatures
The effect of temperature on the VOCs emitted from L. formosana leaves was analyzed using headspace sampling coupled with GC-MS. Figure 3 shows a chromatogram of the VOCs from fresh L. formosana leaves at 25 °C and 50 °C. A total of 17 different VOC compounds were detected, and they are listed in Table 2. The main components of the VOCs emitted from the L. formosana leaf are monoterpenes (97.67% and 97.47%), along with a small number of oxygenated monoterpenes (1.62% and 2.15%).
Figure 3.
Gas chromatograms of VOCs from L. formosana leaves at different temperatures: (a) 25 °C; (b) 50 °C.
Table 2.
Chemical compositions of the VOCs emitted from L formosana leaves.
The quantitative analysis of all of the VOCs showed that the intensities of the total VOCs were 8.05 × 108 and 23.41 × 108 at 25 °C and 50 °C, respectively (Table 3). The intensity of the VOCs at 50 °C was about three times that at 25 °C, indicating that temperature has an important influence on the emission of VOCs. This result is in agreement with the related studies, which show that plants that contain volatile terpenoids and other compounds release more VOCs at elevated temperatures [48,49,50]. Yatagai et al. (1995) investigated the terpene emissions of Chamaecyparis obtusa seedlings; the terpene emissions of C. obtusa were higher at 30 °C than at 15 °C. The VOCs released from L. formosana leaves were all terpenoids, and the intensity of the VOCs at 50 °C was higher than at 25 °C [51].
Table 3.
Intensity of total VOCs emitted from L. formosana leaves and leaf essential oils at different temperatures.
The main constituent of the VOCs emitted from the leaves was sabinene; the relative contents of sabinene were 34.67% and 41.05% at 25 °C and 50 °C, respectively. γ-terpinene was the next most prevalent component, followed by α-terpinene, and α-pinene (Table 2 and Figure 4). The other minor constituents were β-pinene, α-thujene, p-cymene, and terpinolene.
Figure 4.
Major constituents of the VOCs emitted from L. formosana leaves and leaf essential oils at different temperatures: (a) VOCs of leaves; (b) VOCs of leaf essential oils. (1) Sabinene; (2) α-pinene; (3) α-terpinene; (4) γ-terpinene; (5) terpinen-4-ol; (6) p-cymene; (7) β-phellandrene; (8) terpinolene.
3.3. VOC Analyses of Leaf Essential Oils at Different Temperatures
The VOCs of the leaf essential oils at different temperatures were measured using the static headspace GC-MS method. Figure 5 shows the gas chromatograms of the VOCs from the leaf essential oils at 25 °C and 50 °C. The chemical compositions of the VOCs from the leaf essential oils are listed in Table 4 below. The monoterpene contents of the VOCs released from the leaf essential oil were 88.31% and 64.16% at 25 °C and 50 °C, respectively. The contents of monoterpenes in the VOCs from the leaf essential oils were lower than those of VOCs from the leaves at both temperatures. Meanwhile, the contents of oxygenated monoterpenes in the VOCs from the leaf essential oils were increased to 11.05% and 34.12% at 25 °C and 50 °C, respectively, especially in the VOCs of the leaf essential oils at higher temperatures. Moreover, the contents of oxygenated monoterpenes of VOCs from the leaf essential oil were much higher than those of the VOCs from fresh leaves.

Figure 5.
Gas chromatograms of the VOCs from L. formosana leaf essential oils at different temperatures: (a) 25 °C; (b) 50 °C.
Table 4.
Chemical composition of VOCs from L. formosana leaf essential oils.
As for the total VOCs, the intensities of total VOCs from the leaf essential oil were 11.34 × 108 and 12.70 × 108 at 25 °C and 50 °C, respectively (Table 3); the intensities were quite close to each other at both temperatures. This may be because the volatile VOCs of the leaf essential oil approached levels close to saturation within 30 min at 25 °C. Therefore, the total VOCs of the leaf essential oil increased slightly at 50 °C compared to the temperature of 25 °C.
The major compounds of the VOCs emitted from the leaf essential oil at 25 °C were γ-terpinene (19.15%), α-terpinene (15.22%), p-cymene (13.99%), sabinene (13.14%), terpinen-4-ol (10.85%), and α-pinene (7.60%) (Table 4 and Figure 4). After increasing the environmental temperature to 50 °C, the major compounds of the VOCs emitted from the leaf essential oil were terpinen-4-ol (33.10%), γ-terpinene (15.01%), p-cymene (12.91%), α-terpinene (10.13%), sabinene (7.53%), terpinolene (4.43%), α-pinene (4.28%), and β-phellandrene (3.84%). The constituent with the greatest change in content was terpinen-4-ol; the contents of terpinen-4-ol were 10.85% and 33.10% at 25 °C and 50 °C, respectively. Terpinen-4-ol is an oxygenated monoterpene with a hydroxyl group, and its volatility at 50 °C was much higher than that at an ambient temperature.
Among the major constituents of the VOCs released from L. formosana leaves or the leaf essential oil, some of these compounds have long been reported to exhibit pharmacological activities. Sabinene may attenuate skeletal muscle atrophy, leading to the reversal of reduced muscle fiber size in fasted rats [52]. Sabinene also decreased high levels of ROS (reactive oxygen species) in myotubes under starvation, as well as reducing the levels of muscle fiber atrophy and MuRF-1 expression in gastrocnemius from fasted rats after administration.
α-pinene can decrease the LPS-induced production of interleukin-6 (IL-6), tumor necrosis factor-α (TNF-α), and nitric oxide (NO); it also inhibits the expression of inducible nitric oxide synthase (iNOS) and cyclooxygenase-2 (COX-2) in LPS-stimulated macrophages. The results of one study revealed that α-pinene exhibits anti-inflammatory activity through the down-regulation of MAPK phosphorylation and the NF-κB signaling pathway [53]. Astani et al. investigated the antiviral activity of selected monoterpenes derived from plants’ essential oils [54]. Among the examined monoterpenes, α-terpinene, γ-terpinene, p-cymene, and terpinen-4-ol exhibit dose-dependent antiviral activity against herpes simplex virus type 1 (HSV-1).
4. Conclusions
Aromatherapy scents from leaf essential oils have well-known health benefits and are widely used for stress relief in daily life. Phytoncides from forest leaves are another popular forest therapy that has recently gained attention. They are both mainly derived from plants’ secondary metabolites, but few studies have examined the differences between them. This study investigated the chemical composition and structure of leaf essential oil from Liquidambar formosana (Formosan sweet gum), comparing the composition of these VOCs to those emitted from leaves under two temperature scenarios: 25 °C and 50 °C. The major constituents of the leaf essential oil were monoterpenoids, including terpinen-4-ol, γ-terpinene, α-terpinene, sabinene, and p-cymene. The contents of the monoterpenes released from the leaf essential oil were 88.31% and 64.16% at 25 °C and 50 °C, respectively. Additionally, the contents of monoterpenes and oxygenated monoterpenes were 62.47% and 35.30%, respectively. A total of 17 different VOC compounds were detected in the leaves, and the main components of the VOCs are mainly monoterpenes (97.67% and 97.47%); there are also some oxygenated monoterpenes (1.62% and 2.15%) at 25 °C and 50 °C. The intensity (23.41 × 108) of the VOCs at 50 °C was about three times that (8.05 × 108) at 25 °C.
The content of monoterpenes of the VOCs released from the leaf essential oil at 25 °C (88.31%) was higher than that at 50 °C (64.16%), but the intensities were close under both temperature conditions: 11.34 × 108 at 25 °C and 12.70 × 108 at 50 °C, respectively. Elevated temperatures had the most pronounced impact on the content of terpinen-4-ol in the leaf essential oil, which was 10.85% at 25 °C and 33.10% at 50 °C. This finding revealed that the emission of oxygenated monoterpenes from leaf essential oils increases at higher temperatures. Significant differences between the relative contents at 25 °C and 50 °C were found for monoterpenes and oxygenated monoterpenes from the leaf essential oil. We also found significant differences at 25 °C and 50 °C between the relative contents of eight compounds released from the leaf essential oil and three compounds released from the leaf. Among the analyzed compounds, terpinen-4-ol and γ-terpinene were relatively sensitive in the two temperature scenarios for both the leaf essential oil and leaves. Headspace GC-MS can directly and efficiently detect the VOCs released from tree leaves and leaf essential oils. These results can provide a foundation for exploring the health benefits, as well as the economic value, of L. formosana. Our study may also provide a beneficial choice of tree species for the sustainable harvesting of leaves or carbon sinks.
Author Contributions
Conceptualization, H.-T.C.; methodology, Y.-Y.C., Y.-M.H. and H.-T.C.; software, Y.-Y.C.; formal analysis and investigation, Y.-Y.C., Y.-M.H. and H.-T.C.; writing—original draft preparation, Y.-Y.C. and H.-T.C.; writing—review and editing, Y.-M.H. and H.-T.C. All authors have read and agreed to the published version of the manuscript.
Funding
This research received no external funding.
Data Availability Statement
The data are available from the authors on reasonable request.
Acknowledgments
The authors would like to thank the National Taiwan University for its financial support.
Conflicts of Interest
The authors declare no conflicts of interest.
References
- 40 CFR 51.100. Available online: https://www.law.cornell.edu/cfr/text/40/51.100 (accessed on 17 July 2024).
- Hayward, S.; Tani, A.; Owen, S.M.; Hewitt, C.N. Online analysis of volatile organic compound emissions from Sitka spruce (Picea sitchensis). Tree Physiol. 2004, 24, 721–728. [Google Scholar] [CrossRef] [PubMed]
- Loreto, F.; Dicke, M.; Schnitzler, J.P.; Turlings, T.C. Plant volatiles and the environment. Plant Cell Environ. 2014, 37, 1905–1908. [Google Scholar] [CrossRef] [PubMed]
- Wang, Y.; Qian, Q.; Xu, H.; Zuo, Z. Dynamic physiological responses of Cinnamomum camphora with monoterpene protection under high temperature shock. Forests 2023, 14, 2005. [Google Scholar] [CrossRef]
- Walker, H.; Jena, A.; McEwan, K.; Evans, G.; Campbell, S. Natural volatile organic compounds (NVOCs) are greater and more diverse in UK forests compared with a public garden. Forests 2023, 14, 92. [Google Scholar] [CrossRef]
- Dehimeche, N.; Buatois, B.; Bertin, N.; Staudt, M. Insights into the intraspecific variability of the above and belowground emissions of volatile organic compounds in tomato. Molecules 2021, 26, 237. [Google Scholar] [CrossRef]
- Isidorov, V.; Jdanova, M. Volatile organic compounds from leaves litter. Chemosphere 2002, 48, 975–979. [Google Scholar] [CrossRef]
- Lemaitre-Guillier, C.; Dufresne, C.; Chartier, A.; Cluzet, S.; Valls, J.; Jacquens, L.; Douillet, A.; Aveline, N.; Adrian, M.; Daire, X. VOCs are relevant biomarkers of elicitor-induced defences in grapevine. Molecules 2021, 26, 4258. [Google Scholar] [CrossRef] [PubMed]
- Lemaitre-Guillier, C.; Chartier, A.; Dufresne, C.; Douillet, A.; Cluzet, S.; Valls, J.; Aveline, N.; Daire, X.; Adrian, M. Elicitor-induced VOC emission by grapevine leaves: Characterisation in the vineyard. Molecules 2022, 27, 6028. [Google Scholar] [CrossRef]
- MacDougall, S.; Bayansal, F.; Ahmadi, A. Emerging methods of monitoring volatile organic compounds for detection of plant pests and disease. Biosensors 2022, 12, 239. [Google Scholar] [CrossRef]
- Althoff, E.R.; O’Loughlin, T.J.; Wakarchuk, D.A.; Aukema, K.G.; Aukema, B.H. Monoterpene composition of phloem of Eastern Larch (Larix laricina (Du Roi) K. Koch) in the great lakes region: With what must the eastern larch beetle (Dendroctonus simplex LeConte) contend? Forests 2023, 14, 566. [Google Scholar] [CrossRef]
- Stříbrská, B.; Moliterno, A.A.C.; Hüttnerová, T.; Leiner, M.; Surový, P.; Jirošová, A. Pilot study of 3D spatial distribution of α-pinene emitted by Norway spruce (L.) Karst recently infested by Ips typographus (L. 1758) (Coleoptera: Scolytinae). Forests 2024, 15, 10. [Google Scholar] [CrossRef]
- Antonelli, M.; Donelli, D.; Barbieri, G.; Valussi, M.; Maggini, V.; Firenzuoli, F. Forest volatile organic compounds and their effects on human health: A state-of-the-art review. Int. J. Environ. Res. Public Health 2020, 17, 6506. [Google Scholar]
- Picazo-Aragonés, J.; Terrab, A.; Balao, F. Plant volatile organic compounds evolution: Transcriptional regulation, epigenetics and polyploidy. Int. J. Mol. Sci. 2020, 21, 8956. [Google Scholar] [CrossRef] [PubMed]
- García-Nicolás, M.; Arroyo-Manzanares, N.; Arce, L.; Hernández-Córdoba, M.; Viñas, P. Headspace gas chromatography coupled to mass spectrometry and ion mobility spectrometry: Classification of virgin olive oils as a study case. Foods 2020, 9, 1288. [Google Scholar] [CrossRef] [PubMed]
- Jakubska-Busse, A.; Dziadas, M.; Gruss, I.; Kobyłka, M.J. Floral volatile organic compounds and a list of pollinators of Fallopia baldschuanica (Polygonaceae). Insects 2022, 13, 904. [Google Scholar] [CrossRef]
- Caser, M.; Scariot, V. The contribution of volatile organic compounds (VOCs) emitted by petals and pollen to the scent of garden roses. Horticulturae 2022, 8, 1049. [Google Scholar] [CrossRef]
- Karami, A.; Niazi, A.; Kavoosi, G.; Khosh-Khui, M.; Salehi, H. Temporal characterization of 2-phenylethanol in strongly and weakly scented genotypes of damask rose. Physiol. Mol. Biol. Plants 2015, 21, 43–49. [Google Scholar] [CrossRef]
- Cavalli, J.F.; Fernandez, X.; Lizzani-Cuvelier, L.; Loiseau, A.M. Comparison of static headspace, headspace solid phase microextraction, headspace sorptive extraction, and direct thermal desorption techniques on chemical composition of French olive oils. J. Agric. Food Chem. 2003, 51, 7709–7716. [Google Scholar] [CrossRef]
- Portillo-Estrada, M.; Okereke, C.N.; Jiang, Y.; Talts, E.; Kaurilind, E.; Niinemets, Ü. Wounding-Induced VOC emissions in five tropical agricultural species. Molecules 2021, 26, 2602. [Google Scholar] [CrossRef]
- Kivimäenpää, M.; Riikonen, J.; Valolahti, H.; Elina, H.; Holopainen, J.K.; Holopainen, T. Effects of elevated ozone and warming on terpenoid emissions and concentrations of Norway spruce depend on needle phenology and age. Tree Physiol. 2022, 42, 1570–1586. [Google Scholar] [CrossRef]
- Mariano, A.P.X.; Ramos, A.L.C.C.; de Oliveira Júnior, A.H.; García, Y.M.; de Paula, A.C.C.F.F.; Silva, M.R.; Augusti, R.; de Araújo, R.L.B.; Melo, J.O.F. Optimization of extraction conditions and characterization of volatile organic compounds of Eugenia klotzschiana O. berg fruit pulp. Molecules 2022, 27, 935. [Google Scholar] [CrossRef] [PubMed]
- Lingbeck, J.M.; O’Bryan, C.A.; Martin, E.M.; Adams, J.P.; Crandall, P.G. Sweetgum: An ancient source of beneficial compounds with modern benefits. Pharmacogn. Rev. 2015, 9, 1–11. [Google Scholar] [PubMed]
- Lai, Y.J.; Li, S.J.; Wang, W.M. Evolutionary trends in leaf morphology and biogeography of Altingiaceae based on fossil evidence. Palaeoworld 2018, 27, 415–422. [Google Scholar] [CrossRef]
- Mancarz, G.F.F.; Laba, L.C.; da Silva, E.C.P.; Prado, M.R.M.; de Souza, L.M.; de Souza, D.; Nakashima, T.; Mello, R.G. Liquidambar styraciflua L.: A new potential source for therapeutic uses. J. Pharm. Biomed. Anal. 2019, 174, 422–431. [Google Scholar] [CrossRef]
- Chien, S.C.; Xiao, J.H.; Tseng, Y.H.; Kuo, Y.H.; Wang, S.Y. Composition and antifungal activity of balsam from Liquidambar formosana Hance. Holzforschung 2013, 67, 345–351. [Google Scholar] [CrossRef]
- Zhang, L.; Zhu, M.F.; Tu, Z.C.; Zhao, Y.; Wang, H.; Li, G.J.; Wang, H.; Sha, X.M. α-Glucosidase inhibition, anti-glycation and antioxidant activities of Liquidambar formosana Hance leaf, and identification of phytochemical profile. S. Afr. J. Bot. 2017, 113, 239–247. [Google Scholar] [CrossRef]
- Chuang, L.; Wen, C.H.; Lee, Y.R.; Lin, Y.L.; Hsu, L.R.; Wang, S.Y.; Chu, F.H. Identification, functional characterization, and seasonal expression patterns of five sesquiterpene synthases in Liquidambar formosana. J. Nat. Prod. 2018, 81, 1162–1172. [Google Scholar] [CrossRef] [PubMed]
- DeCarlo, A.; Zeng, T.; Dosoky, N.S.; Satyal, P.; Setzer, W.N. The essential oil composition and antimicrobial activity of Liquidambar formosana oleoresin. Plants 2020, 9, 822. [Google Scholar] [CrossRef]
- Zhu, Y.; Guan, Y.J.; Chen, Q.Z.; Yuan, L.H.; Xu, Q.Q.; Zhou, M.L.; Liu, H.; Lin, W.; Zhang, Z.D.; Zhou, Z.L.; et al. Pentacyclic triterpenes from the resin of Liquidambar formosana have anti-angiogenic properties. Phytochemistry 2021, 184, 112676. [Google Scholar] [CrossRef]
- Chen, S.; Dong, M.; Zhang, Y.; Qi, S.; Liu, X.; Zhang, J.; Zhao, J. Development and characterization of simple sequence repeat markers for, and genetic diversity analysis of Liquidambar formosana. Forests 2020, 11, 203. [Google Scholar] [CrossRef]
- Li, Q. Effect of forest bathing trips on human immune function. Environ. Health Prev. Med. 2010, 15, 9–17. [Google Scholar] [CrossRef] [PubMed]
- Woo, J.; Lee, C.J. Sleep-enhancing effects of phytoncide via behavioral, electrophysiological, and molecular modeling approaches. Exp. Neurobiol. 2020, 29, 120–129. [Google Scholar] [CrossRef]
- Wen, Y.; Yan, Q.; Pan, Y.; Gu, X.; Liu, Y. Medical empirical research on forest bathing (Shinrin-yoku): A systematic review. Environ. Health Prev. Med. 2019, 24, 70. [Google Scholar] [CrossRef] [PubMed]
- Thangaleela, S.; Sivamaruthi, B.S.; Kesika, P.; Bharathi, M.; Kunaviktikul, W.; Klunklin, A.; Chanthapoon, C.; Chaiyasut, C. Essential oils, phytoncides, aromachology, and aromatherapy—A review. Appl. Sci. 2022, 12, 4495. [Google Scholar] [CrossRef]
- Morita, E.; Fukuda, S.; Nagano, J.; Hamajima, N.; Yamamoto, H.; Iwai, Y.; Nakashima, T.; Ohira, H.; Shirakawa, T. Psychological effects of forest environments on healthy adults: Shinrin-yoku (forest-air bathing, walking) as a possible method of stress reduction. Public Health 2007, 121, 54–63. [Google Scholar] [CrossRef] [PubMed]
- Ebrahimi, H.; Mardani, A.; Basirinezhad, M.H.; Hamidzadeh, A.; Eskandari, F. The effects of Lavender and Chamomile essential oil inhalation aromatherapy on depression, anxiety and stress in older community-dwelling people: A randomized controlled trial. Explore 2022, 18, 272–278. [Google Scholar] [CrossRef]
- Wu, C.C.; Huang, S.L.; Ko, C.H.; Chang, H.T. Antifungal sesquiterpenoids from Michelia formosana leaf essential oil against wood-rotting fungi. Molecules 2022, 27, 2136. [Google Scholar] [CrossRef]
- Huang, C.Y.; Chang, Y.Y.; Chang, S.T.; Chang, H.T. Xanthine oxidase inhibitory activity and chemical composition of Pistacia chinensis leaf essential oil. Pharmaceutics 2022, 14, 1982. [Google Scholar] [CrossRef]
- Adams, R.P. Identification of Essential Oil Components by Gas Chromatography/Mass Spectrometry; Allured Publishing Corporation: Carol Stream, IL, USA, 2007; pp. 6–611. ISBN 978-1932633214. [Google Scholar]
- Chang, H.T.; Chang, M.L.; Chen, Y.T.; Chang, S.T.; Hsu, F.L.; Wu, C.C.; Ho, C.K. Evaluation of motor coordination and antidepressant activities of Cinnamomum osmophloeum ct. linalool leaf oil in rodent model. Molecules 2021, 26, 3037. [Google Scholar] [CrossRef]
- Chen, G.R.; Chang, M.L.; Chang, S.T.; Ho, Y.T.; Chang, H.T. Cytotoxicity and apoptosis induction of 6,7-dehydroroyleanone from Taiwania cryptomerioides bark essential oil in hepatocellular carcinoma cells. Pharmaceutics 2022, 14, 351. [Google Scholar] [CrossRef]
- Ho, Y.T.; Liu, I.H.; Chang, S.T.; Wang, S.Y.; Chang, H.T. In vitro and in vivo antimelanogenesis effects of leaf essential oil from Agathis dammara. Pharmaceutics 2023, 15, 2269. [Google Scholar] [CrossRef] [PubMed]
- Hua, K.F.; Yang, T.J.; Chiu, H.W.; Ho, C.L. Essential oil from leaves of Liquidambar formosana ameliorates inflammatory response in lipopolysaccharide-activated mouse macrophages. Nat. Prod. Commun. 2014, 9, 869–872. [Google Scholar] [CrossRef] [PubMed]
- Barra, A. Factors affecting chemical variability of essential oils: A review of recent developments. Nat. Prod. Commun. 2009, 4, 1147–1154. [Google Scholar] [CrossRef]
- Cao, Y.; Zhang, H.; Liu, H.; Liu, W.; Zhang, R.; Xian, M.; Liu, H. Biosynthesis and production of sabinene: Current state and perspectives. Appl. Microbiol. Biotechnol. 2018, 102, 1535–1544. [Google Scholar] [CrossRef] [PubMed]
- Bergman, M.E.; Phillips, M.A. Structural diversity and biosynthesis of plant derived p-menthane monoterpenes. Phytochem. Rev. 2021, 20, 433–459. [Google Scholar] [CrossRef]
- Filella, I.; Wilkinson, M.J.; Llusià, J.; Hewitt, C.N.; Peñuelas, J. Volatile organic compounds emissions in Norway spruce (Picea abies) in response to temperature changes. Physiol. Plant 2007, 130, 58–66. [Google Scholar] [CrossRef]
- Yuan, J.S.; Himanen, S.J.; Holopainen, J.K.; Chen, F.; Stewart, C.N., Jr. Smelling global climate change: Mitigation of function for plant volatile organic compounds. Trends Ecol. Evol. 2009, 24, 323–331. [Google Scholar] [CrossRef]
- Niederbacher, B.; Winkler, J.B.; Schnitzler, J.P. Volatile organic compounds as non-invasive markers for plant phenotyping. J. Exp. Bot. 2015, 66, 5403–5416. [Google Scholar] [CrossRef] [PubMed]
- Yatagai, M.; Ohira, M.; Ohira, T.; Nagai, S. Seasonal variations of terpene emission from trees and influence of temperature, light, and contact stimulation on terpene emission. Chemosphere 1995, 30, 1137–1149. [Google Scholar] [CrossRef]
- Ryu, Y.; Lee, D.; Jung, S.H.; Lee, K.J.; Jin, H.; Kim, S.J.; Lee, H.M.; Kim, B.; Won, K.J. Sabinene prevents skeletal muscle atrophy by inhibiting the MAPK–MuRF-1 pathway in rats. Int. J. Mol. Sci. 2019, 20, 4955. [Google Scholar] [CrossRef]
- Kim, D.S.; Lee, H.J.; Jeon, Y.D.; Han, Y.H.; Kee, J.Y.; Kim, H.J.; Shin, H.J.; Kang, J.; Lee, B.S.; Kim, S.H.; et al. Alpha-pinene exhibits anti-inflammatory activity through the suppression of MAPKs and the NF-κB pathway in mouse peritoneal macrophages. Am. J. Chin. Med. 2015, 43, 731–742. [Google Scholar] [CrossRef] [PubMed]
- Astani, A.; Reichling, J.; Schnitzler, P. Comparative study on the antiviral activity of selected monoterpenes derived from essential oils. Phytother. Res. 2010, 24, 673–679. [Google Scholar] [CrossRef] [PubMed]
Disclaimer/Publisher’s Note: The statements, opinions and data contained in all publications are solely those of the individual author(s) and contributor(s) and not of MDPI and/or the editor(s). MDPI and/or the editor(s) disclaim responsibility for any injury to people or property resulting from any ideas, methods, instructions or products referred to in the content. |
© 2024 by the authors. Licensee MDPI, Basel, Switzerland. This article is an open access article distributed under the terms and conditions of the Creative Commons Attribution (CC BY) license (https://creativecommons.org/licenses/by/4.0/).





