Abstract
Orodispersible tablets (ODTs) are pharmaceutical formulations used to obtain fast therapeutic effects, usually recommended for geriatric and pediatric patients due to their improved compliance, bioavailability, ease of administration, and good palatability. This study aimed to develop ODTs with cannabidiol (CBD) phytocannabinoid extracted from Cannabis sativa used in the treatment of Lennox–Gastaut and Dravet syndromes. The tablets were obtained using an eccentric tableting machine and 9 mm punches. To develop CBD ODTs, the following parameters were varied: the Poloxamer 407 concentration (0 and 10%), the type of co-processed excipient (Prosolv® ODT G2—PODTG2 and Prosolv® EasyTab sp—PETsp), and the type of superdisintegrant (Croscarmellose—CCS, and Soy Polysaccharides—Emcosoy®—EMCS), resulting in eleven formulations (O1–O11). The following dependent parameters were evaluated: friability, disintegration time, crushing strength, and the CBD dissolution at 1, 3, 5, 10, 15, and 30 min. The dependent parameters were verified according to European Pharmacopoeia (Ph. Eur.) requirements. All the tablets obtained were in accordance with quality requirements in terms of friability (less than 1%), and disintegration time (less than 180 s). The crushing strength was between 19 N and 80 N. Regarding the dissolution test, only four formulations exhibited an amount of CBD released higher than 80% at 30 min. Taking into consideration the results obtained and using the Modde 13.1 software, an optimal formulation was developed (O12), which respected the quality criteria chosen (friability 0.23%, crushing strength of 37 N, a disintegration time of 27 s, and the target amount of CBD released in 30 min of 99.3 ± 6%).
1. Introduction
Orodispersible tablets (ODTs) are modern pharmaceutical formulations easily accepted by patients with a maximum disintegration time according to European Pharmacopoeia 10th edition (Ph. Eur. 10) of 3 min [1,2,3]. An advantage of this pharmaceutical formulation is related to the fact that no water intake is needed during administration [4,5,6]. In the past, the targeted populations for the OD formulations were pediatric and geriatric patients with Parkinson’s disease, schizophrenia, or gastroesophageal reflux, but recently, ODTs are used for a large category of patients due to their numerous advantages:
- do not necessitate chewing;
- disintegration takes place directly in the mouth;
- pleasant taste;
- increased stability compared to solutions, emulsions, and suspensions;
- can be manufactured as controlled released pharmaceutical formulations;
- high amounts of Active Pharmaceutical Ingredient (API) can be used;
- ability to confer the advantages of a liquid formulation in a solid form;
- the therapeutic effect occurs fast [7,8,9,10,11].
Several technologies for developing ODTs have been patented, such as Orasolv®, Durasolv®, WOWTAB®, Flashtab®, Zydis®, Quicksolv®, and Lyoc® [12,13,14,15]. The manufacturing methods are complex, needing multiple steps that are easily prevailed in the pharmaceutical industry. One of the methods often used is the direct compression method. This method is the most convenient due to the low costs and the efficacy in developing the final product [14].
Cannabidiol (CBD) represents one of the major components alongside tetrahydrocannabinol (THC) that can be found in Cannabis species [16,17]. As a result of its complex mechanism of action, it has the potential to be used in different pathologies; CBD has a low affinity for the CB1 and CB2 receptors acting as an antagonist on GPR55 receptors, presents a reversed agonist effect on GPR3, GPR6, and GPR12 receptors, and partially agonist on the 5HT1-A, which together might explain CBD’s potential antidepressant, antianxiety, and neuroprotective effects [18,19,20,21,22]. Currently, two products containing CBD have been approved by Food and Drug Administration (FDA) and European Medical Agency (EMA): Epidiolex® and Sativex® [23,24,25]. Epidiolex® is used for patients with Lennox–Gastaut or Dravet syndromes as second-line antiseizure medication (ASM) [26,27,28,29]. Sativex® contains both CBD and THC, a fact that makes it unavailable in many European states, due to the strict laws regarding THC use [25]. However, there are a large number of products containing CBD marketed as dietary supplements, as the tendency of using this type of product is increasing due to the changes in the regulatory environment and perceptions of their health benefits.
Because of the small number of approved and available pharmaceutical formulations with CBD, this study aimed to develop CBD ODTs that can be used for pediatric patients to treat drug-resistant epilepsy.
For developing CBD ODTs the following criteria must be considered [3,30]:
- disintegration in the mouth has to occur faster than 3 min, taking into consideration the stipulation of Ph. Eur. 10, while the United States Pharmacopoeia 44 (USP 44) presents an even shorter disintegration time (<30 s) [3,31];
- the API has to be compatible with the used excipients;
- the ODT has to be easy to handle;
- the palatability properties have to be taken into consideration;
- after oral administration no waste or small waste should be found in the oral cavity;
- the API should not be influenced by the temperature and humidity conditions and their variation [30];
- the ability to trespass the buccal mucosa;
- partly unionized at the buccal cavity pH;
- the capacity of passing through the gastrointestinal epithelium;
- a long half-life—in this case, CBD has a half-life of 24 h;
- increased stability in water and saliva [31,32,33].
It has been widely acknowledged since the introduction of Quality-by-Design (QbD) concepts that pharmaceutical product quality should be developed and created according to an experimental plan during the manufacturing process. Traditionally, pharmaceutical product development and optimization have been done by applying a “one factor at time” (OFAT) approach, in which one of the variables is modified within a reasonable range, while the rest remain unchanged. OFAT approach requires a large number of experiments and does not allow evaluation of the interaction that exists between the factors, which may lead to inadequate conduction of the development and optimization. To overcome these problems, design of experiment (DoE) strategies are recommended to obtain better results with few numbers of experiments [34,35,36,37,38]. For developing CBD ODTs, a two-level full factorial design with three variables was used. Using Modde 13.1. software, a final optimized formulation was obtained that considers the independent factors, while also taking into consideration targeted answers from the dependent factors.
2. Materials and Methods
2.1. Powder Characterization
The bulk and tapped densities (Da, Dt) were calculated in accordance with chapter 2.9.34 from the Ph. Eur. 10. The powders belonging to the 11 formulations proposed were characterized in terms of Carr Index (CI) [31], Hausner Ratio (HR) (2.9.36, Ph. Eur. 10), and porosity (ε) (2.9.32, Ph. Eur. 10) [3]. The tapped density was determined using an electronic densimeter (MZ-P3000 electronic densimeter, China).
2.2. Experimental Design Optimization
The CBD ODT (O1-O11) development utilized a 23 full factorial design with Modde 13.1 Software (Umetrics, Sweden). The composition of the eleven formulations (eight plus three central points) can be found in Table 1, while the independent variables can be found in Table 2. The answers (dependent variables) are presented in Table 3.
Table 1.
The CBD ODTs proposed and their composition.
Table 2.
Independent parameters included in the study.
Table 3.
The evaluated answers (dependent parameters).
2.3. CBD ODT Manufacturing Steps
The CBD ODTs were prepared according to the matrix of the DoE (Table 1). The average weight of a tablet was set to 200 mg containing 10 mg of CBD. The independent factors (Table 2) varied as follows: co-processed excipient (PETsp and PODTG2), superdisintegrant type (CCS and EMCS), and PLX407 amount (0 and 10%), resulting in eight formulations with three central points that were developed taking into consideration the matrix generated by Modde 13.1 software. The tablets were obtained using an eccentric tableting machine, Korsch 0 (Berlin, Germany), with punches of 9 mm. For each formulation, the inferior position of the lower punch was adjusted because of the different densities and porosities of the obtained mixtures. The powders were mixed with respect to the rule of blending powders (increasing quantities, descending densities), with the flavor (banana flavor) being added in the end. Then, besides the independent variables presented in Table 3, other parameters were verified: average weight, ODT diameter, ODT radius, and ODT thickness.
2.4. Evaluation of the Dimensional Parameters Belonging to the CBD ODTs Developed
Average weight was determined using an analytical balance (Kern, Berlin, Germany). The ODT diameter, radius, and thickness were determined using an electronic micrometer (Yuzuki, New Delhi, India).
2.5. Evaluation of the Dependent Parameter
Four dependent parameters were evaluated: friability, crushing strength, disintegration time, and the amount of CBD released during the 30 min dissolution test.
2.5.1. Friability
This parameter was evaluated according to requirements stipulated by Ph. Eur. 10, using 20 tablets for each formulation [3]. To establish this parameter, the TFUT3 Tablet Four Usage Tester Model (Biobase, Jinan, China) was used. The apparatus drums rotated 100 times for four minutes (25 rot/min). In the end, the loss mass was expressed in percentages, with the maximum limit admitted being 1% [3].
2.5.2. Crushing Strength
The crushing strength was obtained using the same four functions apparatus used to verify friability—TFUT3 Tablet Four usage TesterModel—(Biobase, China) [3,33]. For this, ten CBD ODTs from each formulation were tested and their crushing strength was expressed in N.
2.5.3. Disintegration Time
The disintegration ability was determined using the TFUT3 Tablet Four Usage TesterModel—(Biobase, China) at a temperature of 37 ± 1 °C [3,31,33]. The disintegration time was impartially evaluated using the disintegration method with disks on six tablets from each proposed formulation.
2.5.4. In Vitro Dissolution Test
The amount of CBD released from the ODTs was evaluated using a UHPLC method previously validated according to ICH guidelines [39]. The apparatus used was an Erweka Two with paddles (Erweka, Langen, Germany), using a rotation speed of 75 rpm. The dissolution media consisted of 1000 mL of phosphate buffer and 0.052 M sodium lauryl sulphate with a pH of 6.8. Then, 2 mL aliquots were taken at 1, 3, 5, 10, 15, and 30 min and were replaced with 2 mL of fresh dissolution media.
2.6. Development and Validation of a UHPLC Method for the Quantification of the Released CBD
2.6.1. Reagents
In the UHPLC procedure, the following reagents and reference substances were used: CBD (99.5%, Trigal Pharma, Vienna, Austria), acetonitrile (ACN) (SLW Chemicals, Muskegon, MI, USA), and purified water obtained using a Direct Q3 System.
2.6.2. Instruments
To evaluate the amount of CBD released a Shimadzu UHPLC Nexera Series was used coupled with an UV-VIS detector (photodiode array (PDA) type) (Shimadzu, Kyoto, Japan). An InfinityLab Poroshell 12 EC-C18 column (3 × 100 mm, particle size of 2.7 µm) (Agilent, Santa Clara, CA, USA), was utilized. The injection volume was set to 10 µL while the flow rate was 1 mL/min.
2.6.3. Stock Solution and Quality Control Samples
The stock solution concentration was selected to be 1 mg/mL and was obtained by dissolving 10 mg of CBD in 10 mL of ACN. Five concentrations were selected for the calibration curve (0.5 µg/mL, 1 µg/mL, 2.5 µg/mL, 5 µg/mL, and 10 µg/mL), adapting the calibration range to the concentration domain that might be released in the total volume of the dissolution media of 1000 mL (0–10 µg/mL). The preparation of the concentrations used in calibration was made by diluting the stock solution with the dissolution media.
2.6.4. Validation Criteria
To verify the analytical performance of the method, the following parameters were evaluated: linearity, carry-over, selectivity, accuracy, and precision.
3. Results and Discussion
3.1. Powder Evaluation
The porosity (Table 4) ranged from 0.18 (O1) to 0.37 (O4). Usually, a low porosity results in better compressibility or an improvement in this parameter; the same being applied in the case of CI. Further, with the help of HR, the flow character can be determined. In this manner, it was observed that O1 presented good flowability (value < 1.25), while the majority of powders corresponding to the formulation proposed presented values between 1.25–1.5 (O2, O3 O5–O11). The following mixtures are considered passable according to Ph. Eur. 10: O2, O3, O5, O7, O9, O11; while O1 has fair flow properties. The other formulations (O6, O8, O4) have poorer flow characteristics according to the scale of flowability from the Ph. Eur. 10. To improve the flowability, a lubricant might be added or the amount of lubricant can be increased, but this modification must be done considering the compressibility, which might decrease through this modification.
Table 4.
The powder evaluation for O1–O11 CBD ODTs.
3.2. Evaluation of the Qualitative and Quantitative Dimensional Parameters Belonging to the CBD ODTs
To establish the dimensional parameters of the CBD ODTs, the following parameters were determined: average weight, diameter, average radius, and thickness; the results of the previously mentioned dimensional parameters are found in Table 5.
Table 5.
Qualitative and quantitative dimensional parameters for O1–O11 formulations.
3.2.1. Uniformity of Mass
The average weight fitted the admitted limits regarding uniformity, and all the tablets presented a standard deviation of less than 7.5 % in comparison with the average mass of each formulation (Table 5). The maximum deviations were (−6.3533%—O3) and (6.5121%—O5). Taking into consideration the fact that the maximum limit is ±7.5 %, we concluded that all the developed tablets correspond to the stipulations of the average mass uniformity from Ph. Eur. 10 [3].
3.2.2. CBD-ODTs Average Radius, Diameter, and Thickness
In the case of the developed CBD-ODTs, the diameter of the tablets was between 9.032 mm for O10 and 9.122 mm for O5 formulation (Table 5). Note that the values obtained are slightly larger than the punch diameter. In terms of percentage, the punch diameter was exceeded, with 1.35% for O5 and 0.35% for O3. The CBD-ODTs radius was calculated using Equation (1).
where,
r = D/2
r = tablets radius in mm,
D = tablet diameter in mm.
The values obtained for the radius were between 4.521 mm (for O3) and 4.561 mm (for O5), and the deviations had values between 0.002 and 0.012 mm.
3.3. Developing CBD ODTs—23 Full Factorial Design
The aim of this study was the development, evaluation, and optimization of a CBD-ODT formulation using a two-level full factorial design. A full factorial DoE was selected because this type of design is the most powerful screening design, allowing the estimation of the main effects of input factors and their interactions on output responses. For two-level full factorial designs, the number of experiments required is 2k, where k is the number of input factors to be explored (in our case k = 3) [40]. The results for the selected dependent variables can be found in Table 6.
Table 6.
The CBD ODTs answers for the dependent factors.
All the formulations passed the friability test (Y1) (Table 6), with all evaluated formulations presenting values smaller than 1%. The lowest value was registered in the case of O5 formulation (0.24%).
Regarding the crushing strength—Y2 (Table 6), it can be noticed that the tablets with PETsp tend to be more resistant. For O4, a crushing strength of over 80 N was registered, while the ODTs where PODTG2 was used (O11) presented a smaller crushing strength of 53.13 N.
The values usually accepted for the crushing strength are between 35–75 N, but if an ODT with a higher crushing strength and a good disintegration time is developed, higher values for this mechanical property are accepted. Also, an increased value of the crushing strength does not imply special storage conditions, a fact that can be considered an advantage.
For the tablets with a smaller crushing strength, the use of special blisters that prevent future mechanical shocks which might conduct to breaking/crushing/fractionation of the tablet is recommended. The ODTs with PETsp and without PLX407 presented the highest values regarding the crushing strength.
Four formulations can be included in the proposed interval of 35–75 N (O1, O2, O10, O11), six of them exhibited values lower than 35 N (O3, O5, O6, O7, O8, O9), while one formulation presented a crushing strength higher than the maximum proposed value of 75 N (O4).
Other studies that included the crushing strength determination of different types of ODTs with various APIs presented the following results: for the ODTs with prednisolone, an average value in a proposed interval (35–75 N) of 62.6 N was registered, while in the case of paracetamol, ODT crushing strengths between 63–73 N were recorded for all 36 formulations evaluated [41,42].
From the disintegration time (Y3) point of view (Table 6), all the formulations are according to the Ph. Eur. 10 stipulations with a disintegration time smaller than 180 s [3]. The smallest disintegration time was obtained in the case of O2 and O4 formulations; eight formulations (O1, O2, O3, O4, O6, O9, O10, and O11) presented a disintegration time of less than 30 s, which is in accordance with the USP 44 stipulations (disintegration time smaller than 30 s) [31]. The formulation with the highest disintegration time contained PODTG2 and 10% PLX407, indicating a possible decrease in the disintegration time. As in the case of O8, a concentration of 10% PLX407 led to a higher disintegration time; however, in this case, another co-processed excipient was also used (PETsp).
Taking into consideration the results published in the literature, the disintegration time is often influenced by the compression pressure [43,44,45], disintegrant type [46,47,48], and the amount of disintegrant [49,50], these being the main factors responsible for the disintegration time variation. The disintegration time represents a previous step of the dissolution test, with an increased value of the disintegration time implying a slower release of the API, while a fast disintegration time often suggests a faster therapeutic effect.
Evaluation of the CBD quantity released in 30 min showed that four formulations released a concentration of CBD higher than 80%. The formulations that released amounts of API smaller than 80% were O1–O7. The fastest CBD release was recorded in the case of O10: in 1 min, 67.77% of CBD was released. A slower release was registered in the case of O1 (48.46%), O2 (30.16%), O3 (21.45%), O4 (29.55%), O5 (53.05%), O6 (76.33%), O7 (63.87%), formulations that do not fulfill USP requirements of 80% API released at 30 min.
If the critical threshold is lowered to 5 min, it can be observed that in the case of O11, over 80% of API was released.
A factor that might cause a slower release of the API is the amount of PLX407, which might be responsible for the slower release of the API in the formulations O5, O6, and O7. The results regarding the dissolution behavior are presented in Figure 1.

Figure 1.
Dissolution profiles of the CBD ODT formulations.
All eight formulations plus three central points were evaluated using the Modde 13.1 software during the statistical evaluation of the results. Data processing was accomplished using the partial least squares method, analyzing R2 and Q2 using Analysis of Variance (ANOVA) analysis. R2 indicates the variation of the response as explained by the model, while Q2 indicates the variation of the response that can be predicted by the proposed model. In both cases, the values were in general higher than 0.5, with proximity to 1 indicating a good model with increased prediction [51,52]
Figure 2 and Table S2 (Supplementary Materials) present the formulation factors and the way these influence the dependent factors considered in this study.

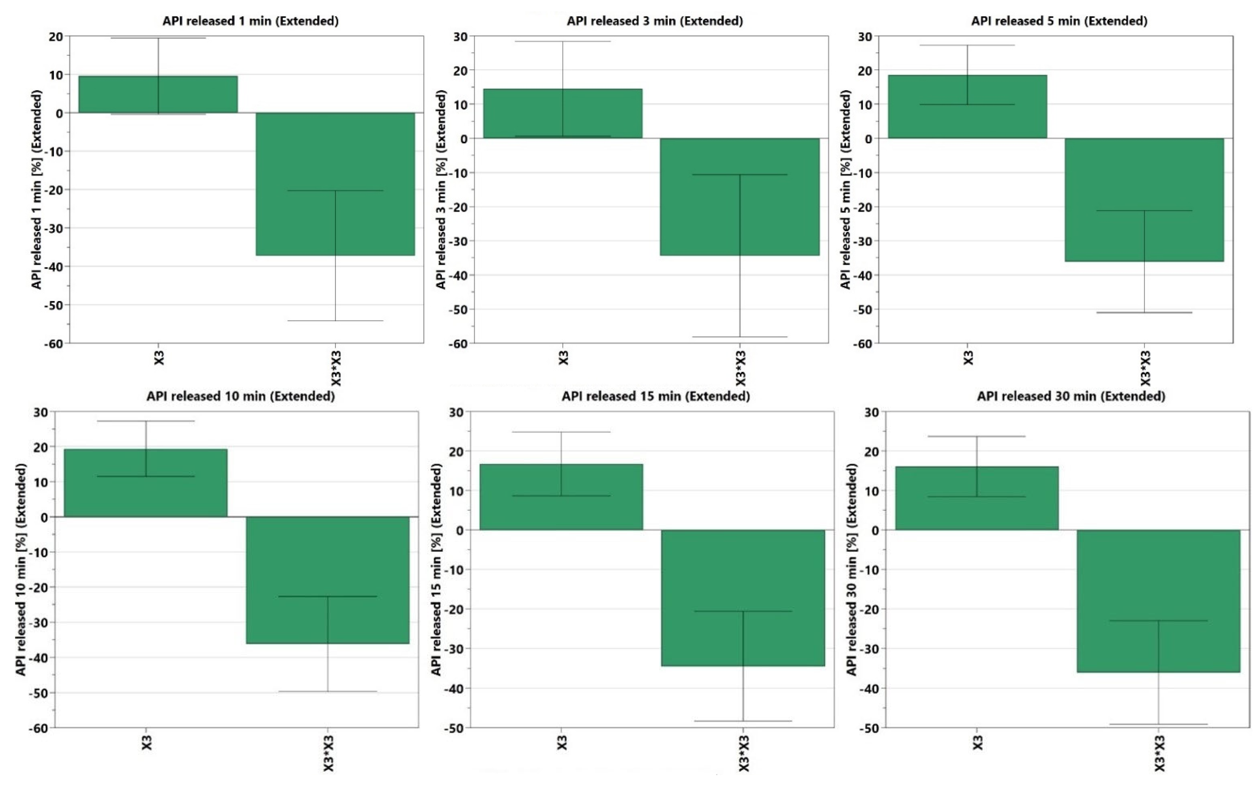
Figure 2.
The influence of the independent variables on the dependent factors (Y1–Y9).
Friability (Y1) was influenced by the type of co-processed excipient used (Figure 2). This parameter was negatively influenced when PLX407 and PETsp were used. When PODTG2 and PLX407 were used, a positive influence can be observed. The interaction of PODTG2*X3 was conducted to a lowered friability compared to PETsp*X3, where increased values of the friability were obtained. In this case, the value must be as low as possible. The disintegration time (Y3) was influenced as follows: disintegration time increased based on the amount of PLX407 or PODTG2 that was used, while disintegration time decreased when the co-processed excipient (PETsp) was used (Figure 2). In the case of the co-processed excipient, the disintegration behavior can be explained through the composition. The main filler in PODTG2 is MNT, an excipient that can increase the disintegration time, while in the case of PETsp, the filler used is CelMC, an excipient known for its good disintegration properties (Figure 2).
Crushing strength (Y2) was influenced negatively (decreased) by the use of PLX407. Also, the use of PODTG2 and the interaction of X1(PETsp)*X3 resulted in a decreased crushing strength, while PETsp and the interaction between X1(PODTG2) * X3 influenced the crushing strength positively, by increasing it (Figure 2).
The dissolution profiles are presented in Figure 1 for O1–O11. The API released was investigated at 1 (Y4), 3 (Y5), 5 (Y6), 10 (Y7), 15 (Y8), and 30 min (Y9). In all six evaluations, the only statistically significant factors were X3 and X3*X3. X3*X3 could be evaluated because of the presence of the central points where the concentration of PLX407 was 5%; the concentrations of PLX407 considered in this experiment were 0 and 10%. The in vitro dissolution profile is influenced positively by the X3 amount, but the interaction (X3*X3) might result in an extended release (Figure 2).
The results concerning the CBD ODT development using a 23 full factorial design are presented in Figure 3 and Table 7, including the following parameters: R2, R2 adj (adjusted R2), Q2, SDY (standard deviation of the response), validity, RSD (residual standard deviation), N (number of experiments), and reproducibility.
Figure 3.
Summary of fit.
Table 7.
Quality of fit—Statistical parameters.
Via the ANOVA test, we can conclude that the results are due to the formulation factor or present a natural variation. For eight out of nine responses, the p-value had a value lower than 0.05, with only Y1 presenting a slightly increased value of 0.057.
R2 (Figure 3) presented values higher than 0.8 for five of the evaluated answers, and only Y3 presented a smaller value (0.55). Q2 (Figure 3) exhibited values between 0.35 and 0.84, with the smaller value again being attributed to the Y3 answer. Validity showed values higher than 0.25 for all answers (values smaller than 0.25 usually indicating a statistically significant model problem, an incorrect model, or a transformation problem), while the reproducibility presented values higher than 0.5 for eight answers and seven out and nine exhibiting values higher than 0.8 (Figure 3). Considering the obtained data, we can conclude that the chosen model fits the proposed answers.
In a study conducted by Abed et al., in which diazepam ODTs were developed (using three types of disintegrants: SSG, Ac-Di-Sol, and crospovidone in a concentration of 10%), the results of the friability were also according to Ph. Eur. stipulations, with one exception: for the composition that used crospovidone and camphor, the excipients caused an increased friability. In the same study, the dissolution behavior was studied in comparison with an already available conventional tablet, as in our study. The diazepam ODTs presented API between 90–100% at 10 min for the three selected formulations: F4—crospovidone and ammonium bicarbonate, both 10%, F6—crospovidone 10%, ammonium bicarbonate 15%, and F7—crospovidone 10% and ammonium bicarbonate 20%. Camphor and ammonium bicarbonate served as subliming agents [53]. In another study with the same objective of developing ODTs but with fluoxetine as the API, conducted by Marzouk et al., four superdisintegrants were used: crospovidone, CCS, SSG, and indion, all of them varied on three levels (2, 3, and 4%). In the case of the fluoxetine ODT, the friability had values very close to 0.5% for all formulations and the tablet hardness varied between 31 N to 45 N. The largest crushing strength was seen in the formulation that used SSG in a higher amount (4%), while the lowest was observed in the case of the formulation where indion was used (3%). Fast disintegration times of lower than 12 s were obtained in all the cases, a fact that can be explained by the use of Avicel®, an excipient that contains CelMC [54]. In a study that aimed to develop glibenclamide and metformin ODTs where a full factorial design 32 was used, the amount of water and pregelatinized starch were considered the independent variables. Friability lower than 1% was recorded, with disintegration times between 33–91 s. The amount of glibenclamide released at 30 min was between 84–91%, while in the case of metformin, 89–95% of API was released. Both independent variables had a significant impact on tablets’ properties, with the pregelatinized starch exhibiting a pronounced effect on the disintegration behavior [55]. The results obtained in our study are comparable with the results available in the literature in terms of friability, disintegration time, and dissolution behavior. The crushing strength of the tablets developed in the previously mentioned articles had the following maximum values: for the metformin and glibenclamid ODTs, the result (99.53 N) was close to that of the O4 formulation from this study; for the diazepam ODTs, the maximum crushing strength recorded was 36.28 N; for the fluoxetine ODTs, the maximum crushing strength recorded was 46 N [53,54,55].
3.4. Development and Validation of a UHPLC Method for the Quantification of the Released CBD
The separation of the analytes was conducted at a temperature of 23 ± 2 °C. Several mobile phases were evaluated, and a good retention time was obtained while using 30% water and 70% ACN (2.8 min); this mobile phase was considered suitable for the evaluation of CBD released. The optimal wavelength was 225 nm, the flow rate was set at 1 mL/min, and the injection volume was 10 µL. The retention time in optimal conditions was 2.8 min, which can be considered fast. While using a blank sample (dissolution media) or the ODT without CBD (composition in Table S1), no interferences were observed and no carry-over was noticed after three solutions of 0.5, 2.5, and 10 µg/mL were injected in between a blank sample. The accuracy and precision were fulfilled by the developed method. The details regarding the UHPLC method developed can be retrieved in the Supplementary Materials Section (selectivity—Figure S1, carry-over—Figure S2, accuracy, and precision—Figure S3).
We compared our results with other studies using chromatographic methods to evaluate the amount of CBD in different matrixes. Ravula et al., proposed a similar method in terms of efficiency and analytical performance [56], while Zgair et al., published a method with a higher retention time of 8.3 min [57]. Another study conducted by Mandrioli et al., reports a retention time of 4.05 min, higher than the retention time of our method [58]. In a study conducted by Grafinger et al., the CBD and THC amount in oils from Switzerland have been evaluated; a retention time higher than six minutes was obtained [59].
3.5. CBD ODT Optimization
According to the ICH Q8 Guidelines, in the case of ODTs, some target profile parameters influence the effectiveness of the proposed pharmaceutical product [39].
In the case of CBD-ODTs, it is necessary to take into consideration the following criteria:
- Pharmaceutical formulation: orodispersible tablets;
- Administration route: oral;
- API amount: 10 mg CBD;
- Therapeutic use: Lennox–Gastaut and Dravet Syndromes [28,60];
- Packaging: PVC blister;
- Presentation: white tablet, with intact, fine margins with a diameter of 9 mm;
- API identification: CBD;
- Uniformity of content: 10 mg ± 15% [3,31];
- Friability < 1% [3,31,41,61];
- Dissolution: more than 80% at 30 min [31].
The analysis resulted in the following optimal formulation, taking into consideration the following restraints:
- Friability < 1%;
- Good crushing strength;
- Minimum disintegration time;
- Target amount of CBD is 100% released by 30 min.
The composition of the optimal formulation is presented in Table 8.
Table 8.
The composition of the optimal formulation—O12.
The results of the optimal formulation considering the dependent parameters and the estimated values can be found in Table 8 and Figure 4. The dimensional parameters (average weight 0.1979 ± 0.0032 g), ODT diameter (9.002 ± 0.007 mm) and radius (4.501 mm), and tablet thickness (2.694 ± 0.077 mm) were determined for O12. The radius, diameter, and thickness of the CBD ODT presented values are close to those determined theoretically.
Figure 4.
The amount of API released for O12.
The optimized formulation respects the experimental plan regarding friability, crushing strength, and disintegration behavior. As it can be noticed in Table 9, the crushing strength is better than that predicted by the software; also, the disintegration time has a decreased value in comparison with what was predicted. Friability is less than 1%, as in the other CBD ODTs developed, respecting the stipulations of Ph. Eur. and USP. In the case of crushing strength, an advantage is the fact that the CBD ODTs do not need special storage conditions.
Table 9.
Estimated versus obtained values.
The releasing profile of the O12 (Figure 4) showed smaller values regarding the amount of CBD released in the first three minutes, but between 5- and 30-min higher values than the ones predicted were recorded. The selected formula respects the stipulations of USP, with over 80% of API being released at 5 min and almost 100% at 30 min. The results obtained are close to the one predicted by Modde 13.1 software, so it can be concluded that the results are fitting the model chosen.
4. Conclusions
The O1-O11 powders were characterized in terms of porosity, CI, and HR, being included in a preformulation study through which the influence of the porosity on the dependent parameters was observed.
All the proposed formulations meet the friability criteria of < 1%. Crushing strength values higher than 75 N were recorded but the dissolution behavior was not as expected, even though the disintegration time was low. The crushing strength behavior of the formulations presents values between 19–80 N, which indicates influence from both quantitative and qualitative factors that were taken into consideration. The tablets that contained PODTG2 presented a lower crushing strength, which is explained by the presence of MNT, an excipient responsible for the crushing strength decrease.
The critical parameters represented by the disintegration time are fulfilled by all the proposed formulations according to the Ph. Eur. 10 stipulations (<180 s), while eight of the formulations satisfy the more rigorous stipulations of the USP (<30 s).
Evaluation of CBD released from the orodispersible formulations showed that four out of eleven formulations presented an amount of API released higher than 80% at 30 min; also, the optimal formulation presented a value of almost 100% CBD released at 30 min. Increased concentrations of PLX407 might result in slower release of the API. The optimal formulation exhibited over 80% of CBD released after five minutes.
It has been noticed that an increased value of PLX407 might result in a lower crushing strength and negatively influence CBD release.
The developed UHPLC method used to evaluate the amount of CBD released uses a simple mobile phase and is fast (retention time of 2.8 min) and efficient, presenting both accuracy and precision. Also, the method developed respects the current ICH guidelines regarding the development of analytical methods; the analytical method performances were verified in terms of linearity, carry-over, and selectivity.
A new formulation for pediatric use was developed that could treat Lennox–Gastaut or Dravet Syndromes, where other ASMs did not provide the expected results.
Supplementary Materials
The following supporting information can be downloaded at: https://www.mdpi.com/article/10.3390/pharmaceutics14071467/s1, Figure S1. The chromatograms for the CBD ODT without API (A) and blank solution (B). Figure S2. Carry-over for the 10 µg/mL concentration. Figure S3. The chromatograms for LLOQ (A) and ULOQ (B). Table S1. The composition of the ODT without API. Table S2. The extended list of coefficients of tablet dependent variables.
Author Contributions
Conceptualization, R.-A.V., A.C., D.-L.M., S.I., L.F. and G.H.; methodology, R.-A.V., A.C., E.-M.R., P.A., L.F. and G.H.; software, R.-A.V., M.B. and S.I.; validation, R.-A.V., L.F., S.I.; formal analysis, R.-A.V.; A.C.; D.-L.M.; A.C.; investigation, R.-A.V., P.A., resources, R.-A.V., A.C., E.-M.R., P.A., L.F. and S.I.; data curation, R.-A.V., A.C. and D.-L.M.; writing—original draft preparation, R.-A.V. and A.C., N.T.; writing—review and editing, R.-A.V., E.-M.R., P.A., N.T. and G.H.; visualization, R.-A.V. and M.B.; supervision, A.C., D.-L.M. and L.F.; project administration, R.-A.V., A.C. and D.-L.M.; funding acquisition, R.-A.V. All authors have read and agreed to the published version of the manuscript.
Funding
This research was funded by the University of Medicine, Pharmacy, Science and, Technology George Emil Palade of Târgu Mureș, Research Grant number 10127/17.12.2020.
Institutional Review Board Statement
Not applicable.
Informed Consent Statement
Not applicable.
Data Availability Statement
Not applicable.
Acknowledgments
This study was performed with the support of JRS Pharma which freely supplied the EMCS; CCS; PETsp; PODTG2; with the help of the Center for Advanced Medical and Pharmaceutical Research, George Emil Palade University of Medicine, Pharmacy, Science, and Technology of Targu Mures, Romania, Trigal Pharma, and, Marius-Călin Cherecheș, George Emil Palade University of Medicine, Pharmacy, Science, and Technology of Targu Mures, Romania.
Conflicts of Interest
The authors declare no conflict of interest.
Abbreviations
| ODT | Orodispersible Tablet |
| CBD | Cannabidiol |
| PODTG2 | Prosolv® ODT G2 |
| PETsp | Prosolv® EasyTab sp |
| CCS | Vivasol® Sodium Croscarmellose |
| EMCS | Emcosoy® STS IP |
| Ph. Eur. | European Pharmacopeia |
| FDA | Food and Drug Administration |
| EMA | European Medical Agency |
| THC | Tetrahydrocannabinol |
| API | Active Pharmaceutical Ingredient |
| QbD | Quality by design |
| OFAT | One factor at a time |
| DoE | Design of Experiments |
| SRB | Sorbitol |
| MNT | Mannitol |
| PLX407 | Poloxamer 407 |
| BFL | Banana flavor |
| ICH | International Committee of Harmonization |
| UHPLC | Ultra-High-Pressure Chromatography |
| UV-VIS | Ultraviolet-Visible |
| ACN | Acetonitrile |
| SD | Standard Deviation |
| USP | United States Pharmacopeia |
| ANOVA | Analysis of Variance |
| R2 | Coefficient of determination |
| R2 adj. | The adjusted coefficient of determination |
| Q2 | Variation of the response |
| SDY | The standard deviation of the Y |
| RSD | Residual Standard Deviation |
| N | Number of experiments |
| LLOQ | The lowest limit of quantification |
| IQCS | Intermediate quality control standard |
| ULOQ | The upper limit of quantification |
References
- de Freitas Neto, J.L.; do Nascimento Gomes Barbosa, I.; de Melo, C.G.; Ângelos, M.A.; Dos Santos Mendes, L.M.; Ferreira, M.R.A.; Rolim, L.A.; Soares, L.A.L.; da Silva, R.M.F.; Neto, P.J.R. Development of Pediatric Orodispersible Tablets Based on Efavirenz as a New Therapeutic Alternative. Curr. HIV Res. 2020, 18, 342–353. [Google Scholar] [CrossRef] [PubMed]
- Desai, N.; Redfearn, A.; MacLeod, G.; Tuleu, C.; Hanson, B.; Orlu, M. How Do Orodispersible Tablets Behave in an In Vitro Oral Cavity Model: A Pilot Study. Pharmaceutics 2020, 12, 651. [Google Scholar] [CrossRef]
- Council of Europ. European Pharmacopoeia, 10th ed.; Council of Europ: Strasbourg, France, 2021. [Google Scholar]
- Slavkova, M.; Breitkreutz, J. Orodispersible drug formulations for children and elderly. Eur. J. Pharm. Sci. 2015, 75, 2–9. [Google Scholar] [CrossRef]
- van Riet-Nales, D.A.; Schobben, A.F.; Vromans, H.; Egberts, T.C.; Rademaker, C.M. Safe and effective pharmacotherapy in infants and preschool children: Importance of formulation aspects. Arch. Dis. Child. 2016, 101, 662–669. [Google Scholar] [CrossRef] [PubMed]
- Hannan, P.A.; Khan, J.A.; Khan, A.; Safiullah, S. Oral Dispersible System: A New Approach in Drug Delivery System. Indian J. Pharm. Sci. 2016, 78, 2–7. [Google Scholar] [CrossRef] [PubMed] [Green Version]
- Delompré, T.; Lenoir, L.; Martin, C.; Briand, L.; Salles, C. Characterizing the Dynamic Taste and Retro-Nasal Aroma Properties of Oral Nutritional Supplements Using Temporal Dominance of Sensation and Temporal Check-All-That-Apply Methods. Foods 2020, 9, 1456. [Google Scholar] [CrossRef] [PubMed]
- Mehanna, M.M.; Mneimneh, A.T.; Domiati, S.; Allam, A.N. Tadalafil-Loaded Limonene-Based Orodispersible Tablets: Formulation, in vitro Characterization and in vivo Appraisal of Gastroprotective Activity. Int. J. Nanomed. 2020, 15, 10099–10112. [Google Scholar] [CrossRef]
- Muñoz, H.; García, S.; Ruiz, A. Contribution to determining the antioxidant capacity of melatonin in orodispersible tablets-comparison with reference antioxidants. Arch. Med. Sci. 2020, 16, 871–877. [Google Scholar] [CrossRef]
- Thabet, Y.; Klingmann, V.; Breitkreutz, J. Drug Formulations: Standards and Novel Strategies for Drug Administration in Pediatrics. J. Clin. Pharmacol. 2018, 58, S26–S35. [Google Scholar] [CrossRef] [Green Version]
- Papadopoulos, N.G.; Zuberbier, T. The safety and tolerability profile of bilastine for chronic urticaria in children. Clin. Transl. Allergy 2019, 23, 55. [Google Scholar] [CrossRef] [Green Version]
- Badgujar, B.P.; Mundada, A.S. The technologies used for developing orally disintegrating tablets: A review. Acta Pharm. 2011, 61, 117–139. [Google Scholar] [CrossRef] [PubMed]
- Ondo, W.G.; Hunter, C.; Isaacson, S.H.; Silver, D.E.; Stewart, R.M.; Tetrud, J.W.; Davidson, A. Tolerability and efficacy of switching from oral selegiline to Zydis selegiline in patients with Parkinson’s disease. Parkinsonism Relat. Disord. 2011, 17, 117–118. [Google Scholar] [CrossRef] [PubMed]
- Shukla, D.; Chakraborty, S.; Singh, S.; Mishra, B. Mouth Dissolving Tablets I: An Overview of Formulation Technology. Sci Pharm 2009, 77, 309–326. [Google Scholar] [CrossRef] [Green Version]
- Chinwala, M. Recent Formulation Advances and Therapeutic Usefulness of Orally Disintegrating Tablets (ODTs). Pharmacy 2020, 8, 186. [Google Scholar] [CrossRef]
- MacCallum, C.A.; Russo, E.B. Practical considerations in medical cannabis administration and dosing. Eur. J. Intern. Me 2018, 49, 12–19. [Google Scholar] [CrossRef]
- Huestis, M.A.; Solimini, R.; Pichini, S.; Pacifici, R.; Carlier, J.; Busardò, F.P. Cannabidiol Adverse Effects and Toxicity. Curr. Neuropharmacol. 2019, 17, 974–989. [Google Scholar] [CrossRef]
- Lucas, C.J.; Galettis, P.; Schneider, J. The pharmacokinetics and the pharmacodynamics of cannabinoids. Br. J. Clin. Pharmacol. 2018, 84, 2477–2482. [Google Scholar] [CrossRef] [Green Version]
- Arzimanoglou, A.; Brandl, U.; Cross, J.H.; Gil-Nagel, A.; Lagae, L.; Landmark, C.J.; Specchio, N.; Nabbout, R.; Thiele, E.A.; Gubbay, O. The Cannabinoids International Experts Panel; Collaborators. Epilepsy and cannabidiol: A guide to treatment. Epileptic. Disord. 2020, 22, 1–14. [Google Scholar] [CrossRef]
- García-Gutiérrez, M.S.; Navarrete, F.; Gasparyan, A.; Austrich-Olivares, A.; Sala, F.; Manzanares, J. Cannabidiol: A Potential New Alternative for the Treatment of Anxiety, Depression, and Psychotic Disorders. Biomolecules 2020, 10, 1575. [Google Scholar] [CrossRef]
- Shannon, S.; Lewis, N.; Lee, H.; Hughes, S. Cannabidiol in Anxiety and Sleep: A Large Case Series. Perm. J. 2019, 23, 18–41. [Google Scholar] [CrossRef] [Green Version]
- Amin, M.R.; Ali, D.W. Pharmacology of Medical Cannabis. Adv. Exp. Med. Biol. 2019, 1162, 151–165. [Google Scholar] [CrossRef]
- VanDolah, H.J.; Bauer, B.A.; Mauck, K.F. Clinicians’ Guide to Cannabidiol and Hemp Oils. Mayo. Clin. Proc. 2019, 94, 1840–1851. [Google Scholar] [CrossRef] [PubMed] [Green Version]
- Vlad, R.A.; Hancu, G.; Ciurba, A.; Antonoaea, P.; Rédai, E.M.; Todoran, N.; Silasi, O.; Muntean, D.L. Cannabidiol-therapeutic and legal aspects. Pharmazie 2020, 75, 463–469. [Google Scholar] [PubMed]
- Giacoppo, S.; Bramanti, P.; Mazzon, E. Sativex in the management of multiple sclerosis-related spasticity: An overview of the last decade of clinical evaluation. Mult. Scler. Relat. Disord. 2017, 17, 22–31. [Google Scholar] [CrossRef] [PubMed]
- Meissner, H.; Cascella, M. Cannabidiol (CBD). In StatPearls [Internet]. Treasure Island (FL); StatPearls Publishing: Las Vegas, NV, USA, 2021. [Google Scholar]
- Gaston, T.E.; Szaflarski, J.P. Cannabis for the Treatment of Epilepsy: An Update. Curr. Neurol. Neurosci. Rep. 2018, 8, 73. [Google Scholar] [CrossRef]
- Devinsky, O.; Patel, A.D.; Thiele, E.A.; Wong, M.H.; Appleton, R.; Harden, C.L.; Greenwood, S.; Morrison, G.; Sommerville, K. GWPCARE1 Part A Study Group. Randomized, dose-ranging safety trial of cannabidiol in Dravet syndrome. Neurology 2018, 90, e1204–e1211. [Google Scholar] [CrossRef] [Green Version]
- Fiani, B.; Sarhadi, K.J.; Soula, M.; Zafar, A.; Quadri, S.A. Current application of cannabidiol (CBD) in the management and treatment of neurological disorders. Neurol. Sci. 2020, 41, 3085–3098. [Google Scholar] [CrossRef]
- Paudel, K.S.; Hammell, D.C.; Agu, R.U.; Valiveti, S.; Stinchcomb, A.L. Cannabidiol bioavailability after nasal and transdermal application: Effect of permeation enhancers. Drug Dev. Ind. Pharm. 2010, 36, 1088–1097. [Google Scholar] [CrossRef]
- United States Pharmacopeial Convention Committee of Revision (Ed.) United States Pharmacopeia-National Formulary, 44th ed; United States Pharmacopeial Convention: North Bethesda, MD, USA, 2021. [Google Scholar]
- Zimmer, Ł.; Kasperekm, R.; Poleszak, E. Zastosowanie β-cyklodekstryn w formulacji tabletek ODT zawierających ibuprofen [Application of β-cyclodextrin in the formulation of ODT tablets containing ibuprofen]. Polim. Med. 2014, 44, 231–235. [Google Scholar]
- World Health Organization. The International Pharmacopoeia. Geneva:World Health Organization, Dept. of Essential Medicines and Pharmaceutical Policies; World Health Organization: Geneva, Switzerland, 2008. [Google Scholar]
- Kim, J.Y.; Chun, M.H.; Choi, D.H. Control Strategy for Process Development of High-Shear Wet Granulation and Roller Compaction to Prepare a Combination Drug Using Integrated Quality by Design. Pharmaceutics 2021, 13, 80. [Google Scholar] [CrossRef]
- Chun, M.-H.; Kim, J.Y.; Park, E.-S.; Choi, D.H. Development of a Robust Control Strategy for Fixed-Dose Combination Bilayer Tablets with Integrated Quality by Design, Statistical, and Process Analytical Technology Approach. Pharmaceutics 2021, 13, 1443. [Google Scholar] [CrossRef] [PubMed]
- Barbălată, C.I.; Porfire, A.S.; Sesarman, A.; Rauca, V.-F.; Banciu, M.; Muntean, D.; Știufiuc, R.; Moldovan, A.; Moldovan, C.; Tomuță, I. A Screening Study for the Development of Simvastatin-Doxorubicin Liposomes, a Co-Formulation with Future Perspectives in Colon Cancer Therapy. Pharmaceutics 2021, 13, 1526. [Google Scholar] [CrossRef] [PubMed]
- Vlad, R.-A.; Antonoaea, P.; Todoran, N.; Muntean, D.-L.; Redai, E.-M.; Silași, O.-A.; Tătaru, A.; Bîrsan, M.; Imre, S.; Ciurba, A. Pharmacotechnical and analytical preformulation studies for cannabidiol orodispersible tablets. SPJ 2021, 29, 1029–1042. [Google Scholar] [CrossRef] [PubMed]
- Aodah, A.H.; Fayed, M.H.; Alalaiwe, A.; Alsulays, B.B.; Aldawsari, M.F.; Khafagy, E.-S. Design, Optimization, and Correlation of In Vitro/In Vivo Disintegration of Novel Fast Orally Disintegrating Tablet of High Dose Metformin Hydrochloride Using Moisture Activated Dry Granulation Process and Quality by Design Approach. Pharmaceutics 2020, 12, 598. [Google Scholar] [CrossRef]
- ICH Harmonized Tripartite Guideline: Pharmaceutical Development, Q8 (R2). Available online: www.ich.org/fileadmin/Public_Web_Site/ICH_Products/Guidelines/Quality/Q8_R1/Step4/Q8_R2_Guideline.pdf (accessed on 6 June 2022).
- Politis, S.N.; Colombo, P.; Colombo, G.; Rekkas, D.M. Design of experiments (DoE) in pharmaceutical development. Drug Dev. Ind. Pharm. 2017, 43, 889–901. [Google Scholar]
- Muntean, A.C.; Negoi, O.I.; Rus, L.L.; Vonica, A.L.; Tomuță, I. Formulation of orodispersible tablets containing paracetamol and their in vitro characterization-a QbD approach. Farmacia 2020, 68, 436–446. [Google Scholar] [CrossRef]
- Brniak, W.; Maślak, E.; Jachowicz, R. Orodispersible films and tablets with prednisolone microparticles. Eur. J. Pharm. Sci. 2015, 75, 81–90. [Google Scholar] [CrossRef]
- Petrovick, G.F.; Kleinebudde, P.; Breitkreutz, J. Orodispersible tablets containing taste-masked solid lipid pellets with metformin hydrochloride: Influence of process parameters on tablet properties. Eur. J. Pharm. Biopharm. 2018, 122, 137–145. [Google Scholar] [CrossRef]
- Pabari, R.M.; Ramtoola, Z. Application of face centered central composite design to optimise compression force and tablet diameter for the formulation of mechanically strong and fast disintegrating orodispersible tablets. Int. J. Pharm. 2012, 430, 18–25. [Google Scholar] [CrossRef]
- Zidan, A.S.; Aljaeid, B.M.; Mokhtar, M.; Shehata, T.M. Taste-masked orodispersible tablets of cyclosporine self-nanoemulsion lyophilized with dry silica. Pharm. Dev. Technol. 2015, 20, 652–661. [Google Scholar] [CrossRef]
- Kambayashi, A.; Sako, K.; Kondo, H. Characterization of the buccal and gastric transit of orally disintegrating tablets in humans using gamma scintigraphy. Int. J. Pharm. 2020, 576, 118937. [Google Scholar] [CrossRef] [PubMed]
- Casian, T.; Bogdan, C.; Tarta, D.; Moldovan, M.; Tomuta, I.; Iurian, S. Assessment of oral formulation-dependent characteristics of orodispersible tablets using texture profiles and multivariate data analysis. J. Pharm. Biomed. Anal. 2018, 152, 47–56. [Google Scholar] [CrossRef] [PubMed]
- Jannini, E.A.; Droupy, S. Needs and Expectations of Patients with Erectile Dysfunction: An Update on Pharmacological Innovations in Phosphodiesterase Type 5 Inhibition with Focus on Sildenafil. Sex. Med. 2019, 7, 1–10. [Google Scholar] [CrossRef] [PubMed] [Green Version]
- Aboelwafa, A.A.; Fahmy, R.H. A pilot human pharmacokinetic study and influence of formulation factors on orodispersible tablet incorporating meloxicam solid dispersion using factorial design. Pharm. Dev. Technol. 2012, 17, 1–14. [Google Scholar] [CrossRef]
- Kasliwal, N.; Negi, J.S.; Jugran, V.; Jain, R. Formulation, development, and performance evaluation of metoclopramide HCl oro-dispersible sustained release tablet. Arch. Pharm. Res. 2011, 34, 1691–1700. [Google Scholar] [CrossRef]
- Silva, B.M.A.; Vicente, S.; Cunha, S.; Coelho, J.F.J.; Silva, C.; Reis, M.S.; Simoes, S. Retrospective Quality by Design (rQbD) applied to the optimization of orodispersible films. Int. J. Pharm. 2017, 528, 655–663. [Google Scholar]
- Elkhodairy, K.A.; Hassan, M.A.; Afifi, S.A. Formulation and optimization of orodispersible tablets of flutamide. Saudi. Pharm. J. 2014, 22, 53–61. [Google Scholar] [CrossRef]
- Abed, K.K.; Hussein, A.A.; Ghareeb, M.M.; Abdulrasool, A.A. Formulation and optimization of orodispersible tablets of diazepam. AAPS Pharm. Sci. Tech. 2010, 11, 356–361. [Google Scholar] [CrossRef] [Green Version]
- Marzouk, M.A.; Osman, D.A.; Mohamed, O.S. In vitro and in vivo evaluation of taste-masked orodispersible tablets of fluoxetine hydrochloride for the treatment of depression. Drug Dev. Ind. Pharm. 2021, 47, 645–653. [Google Scholar] [CrossRef]
- Belayneh, A.; Molla, F.; Kahsay, G. Formulation and Optimization of Monolithic Fixed-Dose Combination of Metformin HCl and Glibenclamide Orodispersible Tablets. Adv. Pharmacol. Pharm. Sci. 2020, 2020, 3546597. [Google Scholar] [CrossRef] [Green Version]
- Ravula, A.; Chandasana, H.; Setlow, B.; Febo, M.; Bruijnzeel, A.W.; Derendorf, H. Simultaneous quantification of cannabinoids tetrahydrocannabinol, cannabidiol and CB1 receptor antagonist in rat plasma: An application to characterize pharmacokinetics after passive cannabis smoke inhalation and co-administration of rimonabant. J. Pharm. Biomed. Anal. 2018, 160, 119–125. [Google Scholar] [CrossRef] [PubMed]
- Zgair, A.; Wong, J.C.; Sabri, A.; Fischer, P.M.; Barrett, D.A.; Constantinescu, C.S.; Gershkovich, P. Development of a simple and sensitive HPLC–UV method for the simultaneous determination of cannabidiol and Λ9-tetrahydrocannabinol in rat plasma. J. Pharm. Biomed. Anal. 2015, 114, 145–151. [Google Scholar] [PubMed]
- Mandrioli, M.; Tura, M.; Scotti, S.; Gallina Toschi, T. Fast Detection of 10 Cannabinoids by RP-HPLC-UV Method in Cannabis sativa L. Molecules 2019, 24, 2113. [Google Scholar] [CrossRef] [PubMed] [Green Version]
- Grafinger, K.E.; Krönert, S.; Broillet, A.; Weinmann, W. Cannabidiol and tetrahydrocannabinol concentrations in commercially available CBD E-liquids in Switzerland. Forensic. Sci. Int. 2020, 310, 110261. [Google Scholar] [CrossRef]
- Devinsky, O.; Patel, A.D.; Cross, J.H.; Villanueva, V.; Wirrell, E.C.; Privitera, M.; Greenwood, S.M.; Roberts, C.; Checketts, D.; VanLandingham, K.E.; et al. GWPCARE3 Study Group. Effect of Cannabidiol on Drop Seizures in the Lennox-Gastaut Syndrome. N. Engl. J. Med. 2018, 378, 1888–1897. [Google Scholar] [CrossRef] [Green Version]
- Vlad, R.A.; Trifan, E.B.; Antonoaea, P.; Redai, E.M.; Kovacs, B.; Todoran, N.; Tătaru, A.; Ciurba, A. Developing and evaluation of orodispersible tablets containing caffeine. Rom. J. Pharm. Pract. 2021, 14, 34–40. [Google Scholar] [CrossRef]
Publisher’s Note: MDPI stays neutral with regard to jurisdictional claims in published maps and institutional affiliations. |
© 2022 by the authors. Licensee MDPI, Basel, Switzerland. This article is an open access article distributed under the terms and conditions of the Creative Commons Attribution (CC BY) license (https://creativecommons.org/licenses/by/4.0/).





