Improving Lurasidone Hydrochloride’s Solubility and Stability by Higher-Order Complex Formation with Hydroxypropyl-β-cyclodextrin
Abstract
1. Introduction
2. Materials and Methods
2.1. Materials
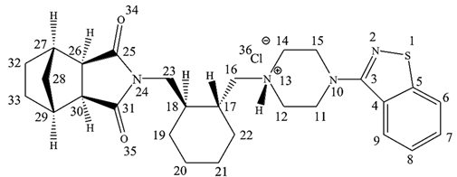
2.2. Drug Characterization
2.3. Preparation of Complexes
2.4. Phase Solubility Analysis
2.5. Infrared Spectroscopy Analysis of Complexes
2.6. X-ray Diffraction Analysis of Complexes
2.7. Differential Scanning Calorimetry of Complexes
2.8. NMR Measurements of Complexes
2.9. Efficiency of Encapsulation and Drug Loading
2.10. Solubility of Complexes
2.11. Dissolution Test of Complexes
2.12. Evaluation of the Stability-Indicating Method
2.13. Degradation Stress Test
2.14. Stability of Complexes
2.15. Model building and Docking
2.16. Conformational Search and Interaction Energies
3. Results
3.1. Drug Characterization
3.2. Phase Solubility Analysis
3.3. Infrared Analysis
3.4. X-ray Diffraction Analysis
3.5. Differential Scanning Calorimetry of Complexes
3.6. NMR Analysis
3.7. EE, DL, Humidity, and Solubility of Complexes
3.8. Dissolution Testing
3.9. Evaluation of the Stability-Indicating Method
3.10. Degradation Stress Testing
3.11. Stability Studies
3.12. Models for Complex Formation and Stability
4. Discussion
5. Conclusions
Supplementary Materials
Author Contributions
Funding
Institutional Review Board Statement
Informed Consent Statement
Data Availability Statement
Acknowledgments
Conflicts of Interest
References
- Drugs@FDA: FDA-Approved Drugs. Available online: https://www.accessdata.fda.gov/scripts/cder/daf/index.cfm?event=overview.process&ApplNo=200603 (accessed on 9 February 2022).
- Yasui-Furukori, N. Update on the Development of Lurasidone as a Treatment for Patients with Acute Schizophrenia. Drug Des. Devel. Ther. 2012, 6, 107–115. [Google Scholar] [CrossRef]
- Fornaro, M.; De Berardis, D.; Perna, G.; Solmi, M.; Veronese, N.; Orsolini, L.; Buonaguro, E.F.; Iasevoli, F.; Köhler, C.A.; Carvalho, A.F.; et al. Lurasidone in the Treatment of Bipolar Depression: Systematic Review of Systematic Reviews. BioMed. Res. Int. 2017, 2017, 3084859. [Google Scholar] [CrossRef]
- Iyo, M.; Ishigooka, J.; Nakamura, M.; Sakaguchi, R.; Okamoto, K.; Mao, Y.; Tsai, J.; Fitzgerald, A.; Takai, K.; Higuchi, T. Safety and Effectiveness of Lurasidone in Patients with Schizophrenia: A 12-Week, Open-Label Extension Study. Neuropsychiatr. Dis. Treat. 2021, 17, 2683–2695. [Google Scholar] [CrossRef]
- Pompili, M.; Verzura, C.; Trovini, G.; Buscajoni, A.; Falcone, G.; Naim, S.; Nardella, A.; Sorice, S.; Baldessarini, R.J.; Girardi, P. Lurasidone: Efficacy and Safety in the Treatment of Psychotic and Mood Disorders. Expert Opin. Drug Saf. 2018, 17, 197–205. [Google Scholar] [CrossRef]
- Zainab, R.; Elahi, S.; Kaleem, A.; Hoessli, D.C.; Iqtedar, M.; Abdullah, R.; Saleem, F.; Khan, S.; Ijaz, A.; Naz, S.; et al. Computational Pharmacophore Modelling of 5-HT2a and D2 Receptor Inhibitors of Schizophrenia. Pak. J. Zool. 2018, 50, 2331–2342. [Google Scholar] [CrossRef]
- Kumar Talluri, M.V.N.; Dharavath, S.; Kalariya, P.D.; Prasanth, B.; Srinivas, R. Structural Characterization of Alkaline and Oxidative Stressed Degradation Products of Lurasidone Using LC/ESI/QTOF/MS/MS. J. Pharm. Biomed. Anal. 2015, 105, 1–9. [Google Scholar] [CrossRef]
- Jayachandra, S.B.; Singh, T.K.; Gahlot, U.S. Crystalline Forms of Lurasidone Hydrochloride. French Patent WO2012107890A2, 16 August 2012. [Google Scholar]
- Marom, E.; Rubnov, S. Amorphous Form of Lurasidone Hydrochloride. French Patent WO2012063246A1, 18 May 2012. [Google Scholar]
- Gaisford, S.; Saunders, M. Essentials of Pharmaceutical Preformulation; John Wiley & Sons: Chichester, UK, 2013; ISBN 978-0-470-97635-7. [Google Scholar]
- Caccia, S.; Pasina, L.; Nobili, A. Critical Appraisal of Lurasidone in the Management of Schizophrenia. Neuropsychiatr. Dis. Treat. 2012, 8, 155–168. [Google Scholar] [CrossRef]
- Cruz, M.P. Lurasidone HCl (Latuda), an Oral, Once-Daily Atypical Antipsychotic Agent for the Treatment of Patients with Schizophrenia. Pharm. Ther. 2011, 36, 489–492. [Google Scholar]
- Lu, S.; Yu, P.; He, J.-H.; Zhang, S.; Xia, Y.-L.; Zhang, W.-L.; Liu, J.-P. Enhanced Dissolution and Oral Bioavailability of Lurasidone Hydrochloride Nanosuspensions Prepared by Antisolvent Precipitation–Ultrasonication Method. RSC Adv. 2016, 6, 49052–49059. [Google Scholar] [CrossRef]
- Yasuji, T.; Takeuchi, H.; Kawashima, Y. Particle Design of Poorly Water-Soluble Drug Substances Using Supercritical Fluid Technologies. Adv. Drug Deliv. Rev. 2008, 60, 388–398. [Google Scholar] [CrossRef]
- Srinarong, P.; de Waard, H.; Frijlink, H.W.; Hinrichs, W.L.J. Improved Dissolution Behavior of Lipophilic Drugs by Solid Dispersions: The Production Process as Starting Point for Formulation Considerations. Expert Opin. Drug Deliv. 2011, 8, 1121–1140. [Google Scholar] [CrossRef]
- Censi, R.; Di Martino, P. Polymorph Impact on the Bioavailability and Stability of Poorly Soluble Drugs. Molecules 2015, 20, 18759–18776. [Google Scholar] [CrossRef] [PubMed]
- Loftsson, T.; Brewster, M.E. Pharmaceutical Applications of Cyclodextrins: Basic Science and Product Development. J. Pharm. Pharmacol. 2010, 62, 1607–1621. [Google Scholar] [CrossRef]
- Felton, L.A. Remington: Essentials of Pharmaceutics; Philadelphia College of Pharmacy; Pharmaceutical Press: Philadelphia, PA, USA; London, UK, 2013; ISBN 978-0-85711-105-0. [Google Scholar]
- Drugs@FDA: Medication Guide. Available online: https://www.accessdata.fda.gov/drugsatfda_docs/label/2019/200603s035lbl.pdf#page=62 (accessed on 9 February 2022).
- Loftsson, T.; Jarho, P.; Másson, M.; Järvinen, T. Cyclodextrins in Drug Delivery. Expert Opin. Drug Deliv. 2005, 2, 335–351. [Google Scholar] [CrossRef]
- Stella, V.J.; Rajewski, R.A. Cyclodextrins: Their Future in Drug Formulation and Delivery. Pharm. Res. 1997, 14, 556–567. [Google Scholar] [CrossRef]
- Challa, R.; Ahuja, A.; Ali, J.; Khar, R.K. Cyclodextrins in Drug Delivery: An Updated Review. AAPS PharmSciTech 2005, 6, E329–E357. [Google Scholar] [CrossRef]
- Jug, M. Cyclodextrin-Based Drug Delivery Systems. In Nanomaterials for Clinical Applications; Elsevier: Amsterdam, The Netherlands, 2020; pp. 29–69. ISBN 978-0-12-816705-2. [Google Scholar]
- Vyas, A.; Saraf, S.; Saraf, S. Cyclodextrin Based Novel Drug Delivery Systems. J. Incl. Phenom. Macrocycl. Chem. 2008, 62, 23–42. [Google Scholar] [CrossRef]
- Tian, B.; Liu, Y.; Liu, J. Smart Stimuli-Responsive Drug Delivery Systems Based on Cyclodextrin: A Review. Carbohydr. Polym. 2021, 251, 116871. [Google Scholar] [CrossRef]
- Zhang, D.; Lv, P.; Zhou, C.; Zhao, Y.; Liao, X.; Yang, B. Cyclodextrin-Based Delivery Systems for Cancer Treatment. Mater. Sci. Eng. C 2019, 96, 872–886. [Google Scholar] [CrossRef]
- Kurkov, S.V.; Loftsson, T. Cyclodextrins. Int. J. Pharm. 2013, 453, 167–180. [Google Scholar] [CrossRef]
- Sandilya, A.A.; Natarajan, U.; Priya, M.H. Molecular View into the Cyclodextrin Cavity: Structure and Hydration. ACS Omega 2020, 5, 25655–25667. [Google Scholar] [CrossRef]
- Fifere, A.; Marangoci, N.; Maier, S.; Coroaba, A.; Maftei, D.; Pinteala, M. Theoretical Study on β-Cyclodextrin Inclusion Complexes with Propiconazole and Protonated Propiconazole. Beilstein J. Org. Chem. 2012, 8, 2191–2201. [Google Scholar] [CrossRef]
- Alvira, E. Theoretical Study of the β-Cyclodextrin Inclusion Complex Formation of Eugenol in Water. Molecules 2018, 23, 928. [Google Scholar] [CrossRef] [PubMed]
- Adhikari, S.; Daftardar, S.; Fratev, F.; Rivera, M.; Sirimulla, S.; Alexander, K.; Boddu, S.H.S. Elucidation of the Orientation of Selected Drugs with 2-Hydroxylpropyl-β-Cyclodextrin Using 2D-NMR Spectroscopy and Molecular Modeling. Int. J. Pharm. 2018, 545, 357–365. [Google Scholar] [CrossRef] [PubMed]
- Del Valle, E.M.M. Cyclodextrins and Their Uses: A Review. Process Biochem. 2004, 39, 1033–1046. [Google Scholar] [CrossRef]
- Strickley, R.G. Solubilizing Excipients in Oral and Injectable Formulations. Pharm. Res. 2004, 21, 201–230. [Google Scholar] [CrossRef]
- Gould, S.; Scott, R.C. 2-Hydroxypropyl-β-Cyclodextrin (HP-β-CD): A Toxicology Review. Food Chem. Toxicol. 2005, 43, 1451–1459. [Google Scholar] [CrossRef] [PubMed]
- Pitha, J.; Milecki, J.; Fales, H.; Pannell, L.; Uekama, K. Hydroxypropyl-β-Cyclodextrin: Preparation and Characterization; Effects on Solubility of Drugs. Int. J. Pharm. 1986, 29, 73–82. [Google Scholar] [CrossRef]
- Peeters, J.; Neeskens, P.; Tollenaere, J.P.; Van Remoortere, P.; Brewster, M.E. Characterization of the Interaction of 2-Hydroxypropyl-Beta-Cyclodextrin with Itraconazole at PH 2, 4, and 7. J. Pharm. Sci. 2002, 91, 1414–1422. [Google Scholar] [CrossRef]
- Liu, F.; Fan, J.; Geng, J.; Yang, H.; Zheng, L.; Guo, W.; Wang, X.; Wang, B.; Rong, Y.; An, Y.; et al. Lurasidone Pharmaceutical Composition and Preparation Method Thereof. Chinese Patent CN104248769A, 31 December 2014. [Google Scholar]
- Londhe, V.Y.; Deshmane, A.B.; Singh, S.R.; Kulkarni, Y.A. Lurasidone-β-Cyclodextrin Complexes: Physicochemical Characterization and Comparison of Their Antidepressant, Antipsychotic Activities against That of Self Microemulsifying Formulation. J. Mol. Struct. 2018, 1157, 395–400. [Google Scholar] [CrossRef]
- Qian, S.; Heng, W.; Wei, Y.; Zhang, J.; Gao, Y. Coamorphous Lurasidone Hydrochloride–Saccharin with Charge-Assisted Hydrogen Bonding Interaction Shows Improved Physical Stability and Enhanced Dissolution with PH-Independent Solubility Behavior. Cryst. Growth Des. 2015, 15, 2920–2928. [Google Scholar] [CrossRef]
- Wang, S.; Heng, W.; Wang, X.; He, X.; Zhang, Z.; Wei, Y.; Zhang, J.; Gao, Y.; Qian, S. Coamorphization Combined with Complexation Enhances Dissolution of Lurasidone Hydrochloride and Puerarin with Synchronized Release. Int. J. Pharm. 2020, 588, 119793. [Google Scholar] [CrossRef] [PubMed]
- Heng, W.; Su, M.; Cheng, H.; Shen, P.; Liang, S.; Zhang, L.; Wei, Y.; Gao, Y.; Zhang, J.; Qian, S. Incorporation of Complexation into a Coamorphous System Dramatically Enhances Dissolution and Eliminates Gelation of Amorphous Lurasidone Hydrochloride. Mol. Pharm. 2020, 17, 84–97. [Google Scholar] [CrossRef] [PubMed]
- Madan, J.; Pawar, K.; Dua, K. Solubility Enhancement Studies on Lurasidone Hydrochloride Using Mixed Hydrotropy. Int. J. Pharm. Investig. 2015, 5, 114. [Google Scholar] [CrossRef]
- Patel, M.R.; Patel, R.B.; Thakore, S.D.; Solanki, A.B. Brain Targeted Delivery of Lurasidone HCl via Nasal Administration of Mucoadhesive Nanoemulsion Formulation for the Potential Management of Schizophrenia. Pharm. Dev. Technol. 2020, 25, 1018–1030. [Google Scholar] [CrossRef] [PubMed]
- FDA Drug Databases: Dissolution Methods. Available online: https://www.accessdata.fda.gov/scripts/cder/dissolution/dsp_SearchResults.cfm (accessed on 14 February 2022).
- International Conference on Harmonisation of Technical Requirements for Registration of Pharmaceuticals for Human Use. Validation of Analytical Procedures: Text and Methodology Q2(R1). Available online: https://database.ich.org/sites/default/files/Q2%28R1%29%20Guideline.pdf (accessed on 14 February 2022).
- Jullian, C.; Miranda, S.; Zapata-Torres, G.; Mendizábal, F.; Olea-Azar, C. Studies of Inclusion Complexes of Natural and Modified Cyclodextrin with (+)Catechin by NMR and Molecular Modeling. Bioorg. Med. Chem. 2007, 15, 3217–3224. [Google Scholar] [CrossRef]
- Hanwell, M.D.; Curtis, D.E.; Lonie, D.C.; Vandermeersch, T.; Zurek, E.; Hutchison, G.R. Avogadro: An Advanced Semantic Chemical Editor, Visualization, and Analysis Platform. J. Cheminform. 2012, 4, 17. [Google Scholar] [CrossRef]
- Bannwarth, C.; Ehlert, S.; Grimme, S. GFN2-XTB—An Accurate and Broadly Parametrized Self-Consistent Tight-Binding Quantum Chemical Method with Multipole Electrostatics and Density-Dependent Dispersion Contributions. J. Chem. Theory Comput. 2019, 15, 1652–1671. [Google Scholar] [CrossRef]
- Grimme, S. Exploration of Chemical Compound, Conformer, and Reaction Space with Meta-Dynamics Simulations Based on Tight-Binding Quantum Chemical Calculations. J. Chem. Theory Comput. 2019, 15, 2847–2862. [Google Scholar] [CrossRef]
- Pracht, P.; Bohle, F.; Grimme, S. Automated Exploration of the Low-Energy Chemical Space with Fast Quantum Chemical Methods. Phys. Chem. Chem. Phys. 2020, 22, 7169–7192. [Google Scholar] [CrossRef]
- Becke, A.D. Density-Functional Exchange-Energy Approximation with Correct Asymptotic Behavior. Phys. Rev. A 1988, 38, 3098–3100. [Google Scholar] [CrossRef]
- Perdew, J.P. Density-Functional Approximation for the Correlation Energy of the Inhomogeneous Electron Gas. Phys. Rev. B 1986, 33, 8822–8824. [Google Scholar] [CrossRef] [PubMed]
- Eichkorn, K.; Treutler, O.; Öhm, H.; Häser, M.; Ahlrichs, R. Auxiliary Basis Sets to Approximate Coulomb Potentials. Chem. Phys. Lett. 1995, 240, 283–290. [Google Scholar] [CrossRef]
- Weigend, F. Accurate Coulomb-Fitting Basis Sets for H to Rn. Phys. Chem. Chem. Phys. 2006, 8, 1057. [Google Scholar] [CrossRef] [PubMed]
- Schäfer, A.; Horn, H.; Ahlrichs, R. Fully Optimized Contracted Gaussian Basis Sets for Atoms Li to Kr. J. Chem. Phys. 1992, 97, 2571–2577. [Google Scholar] [CrossRef]
- Grimme, S. Accurate Description of van Der Waals Complexes by Density Functional Theory Including Empirical Corrections. J. Comput. Chem. 2004, 25, 1463–1473. [Google Scholar] [CrossRef] [PubMed]
- Grimme, S. Semiempirical GGA-Type Density Functional Constructed with a Long-Range Dispersion Correction. J. Comput. Chem. 2006, 27, 1787–1799. [Google Scholar] [CrossRef] [PubMed]
- Grimme, S.; Antony, J.; Ehrlich, S.; Krieg, H. A Consistent and Accurate Ab Initio Parametrization of Density Functional Dispersion Correction (DFT-D) for the 94 Elements H-Pu. J. Chem. Phys. 2010, 132, 154104. [Google Scholar] [CrossRef]
- Grimme, S.; Ehrlich, S.; Goerigk, L. Effect of the Damping Function in Dispersion Corrected Density Functional Theory. J. Comput. Chem. 2011, 32, 1456–1465. [Google Scholar] [CrossRef]
- Morris, G.M.; Huey, R.; Lindstrom, W.; Sanner, M.F.; Belew, R.K.; Goodsell, D.S.; Olson, A.J. AutoDock4 and AutoDockTools4: Automated Docking with Selective Receptor Flexibility. J. Comput. Chem. 2009, 30, 2785–2791. [Google Scholar] [CrossRef]
- Klamt, A.; Schüürmann, G. COSMO: A New Approach to Dielectric Screening in Solvents with Explicit Expressions for the Screening Energy and Its Gradient. J Chem. Soc. Perkin. Trans. 2 1993, 799–805. [Google Scholar] [CrossRef]
- Horn, P.R.; Head-Gordon, M. Polarization Contributions to Intermolecular Interactions Revisited with Fragment Electric-Field Response Functions. J. Chem. Phys. 2015, 143, 114111. [Google Scholar] [CrossRef]
- Horn, P.R.; Mao, Y.; Head-Gordon, M. Defining the Contributions of Permanent Electrostatics, Pauli Repulsion, and Dispersion in Density Functional Theory Calculations of Intermolecular Interaction Energies. J. Chem. Phys. 2016, 144, 114107. [Google Scholar] [CrossRef] [PubMed]
- Horn, P.R.; Mao, Y.; Head-Gordon, M. Probing Non-Covalent Interactions with a Second Generation Energy Decomposition Analysis Using Absolutely Localized Molecular Orbitals. Phys. Chem. Chem. Phys. 2016, 18, 23067–23079. [Google Scholar] [CrossRef]
- Epifanovsky, E.; Gilbert, A.T.; Feng, X.; Lee, J.; Mao, Y.; Mardirossian, N.; Pokhilko, P.; White, A.F.; Coons, M.P.; Dempwolff, A.L. Software for the Frontiers of Quantum Chemistry: An Overview of Developments in the Q-Chem 5 Package. J. Chem. Phys. 2021, 155, 084801. [Google Scholar] [CrossRef] [PubMed]
- Krylov, A.I.; Gill, P.M.W. Q-Chem: An Engine for Innovation: Q-Chem: An Engine for Innovation. Wiley Interdiscip. Rev. Comput. Mol. Sci. 2013, 3, 317–326. [Google Scholar] [CrossRef]
- Reddy, B.P.; Reddy, K.R.; Reddy, D.M.; Reddy, I.S.; Krishna, B.V. Novel Polymorph of Lurasidone Hydrochloride. French Patent WO2013132511A1, 12 September 2013. [Google Scholar]
- Higuchi, T.; Connors, K.A. A Phase Solubility Technique. Adv Anal Chem. Instrum. 1965, 4, 117–211. [Google Scholar]
- Brewster, M.E.; Vandecruys, R.; Peeters, J.; Neeskens, P.; Verreck, G.; Loftsson, T. Comparative Interaction of 2-Hydroxypropyl-β-Cyclodextrin and Sulfobutylether-β-Cyclodextrin with Itraconazole: Phase-Solubility Behavior and Stabilization of Supersaturated Drug Solutions. Eur. J. Pharm. Sci. 2008, 34, 94–103. [Google Scholar] [CrossRef]
- Loftsson, T.; Brewster, M.E. Cyclodextrins as Functional Excipients: Methods to Enhance Complexation Efficiency. J. Pharm. Sci. 2012, 101, 3019–3032. [Google Scholar] [CrossRef] [PubMed]
- Jahed, V.; Zarrabi, A.; Bordbar, A.; Hafezi, M.S. NMR (1H, ROESY) Spectroscopic and Molecular Modelling Investigations of Supramolecular Complex of β-Cyclodextrin and Curcumin. Food Chem. 2014, 165, 241–246. [Google Scholar] [CrossRef]
- Akita, T.; Yoshikiyo, K.; Yamamoto, T. Formation of 1:1 and 2:1 Host–Guest Inclusion Complexes of α-Cyclodextrin with Cycloalkanols: A 1H and 13C NMR Spectroscopic Study. J. Mol. Struct. 2014, 1074, 43–50. [Google Scholar] [CrossRef]
- Drugs@FDA: Clinical Pharmacology Biopharmaceutics Review(s). Available online: https://www.accessdata.fda.gov/drugsatfda_docs/nda/2010/200603Orig1s000ClinPharmR.pdf (accessed on 24 October 2022).
- Loftsson, T.; Ólafsdóttir, B.J.; Friðriksdóttir, H.; Jónsdóttir, S. Cyclodextrin Complexation of NSAIDSs: Physicochemical Characteristics. Eur. J. Pharm. Sci. 1993, 1, 95–101. [Google Scholar] [CrossRef]
- Suihko, E.; Korhonen, O.; Järvinen, T.; Ketolainen, J.; Jarho, P.; Laine, E.; Paronen, P. Complexation with Tolbutamide Modifies the Physicochemical and Tableting Properties of Hydroxypropyl-β-Cyclodextrin. Int. J. Pharm. 2001, 215, 137–145. [Google Scholar] [CrossRef] [PubMed]
- Maximiano, F.P.; Costa, G.H.Y.; de Sá Barreto, L.C.L.; Bahia, M.T.; Cunha-Filho, M.S.S. Development of Effervescent Tablets Containing Benznidazole Complexed with Cyclodextrin. J. Pharm. Pharmacol. 2011, 63, 786–793. [Google Scholar] [CrossRef] [PubMed]
- Yorozu, T.; Hoshino, M.; Imamura, M. Fluorescence Studies of Pyrene Inclusion Complexes with .Alpha.-, .Beta.-, and .Gamma.-Cyclodextrins in Aqueous Solutions. Evidence for Formation of Pyrene Dimer in.Gamma.-Cyclodextrin Cavity. J. Phys. Chem. 1982, 86, 4426–4429. [Google Scholar] [CrossRef]
- Jankowski, C.K.; Lamouroux, C.; Jiménez-Estrada, M.; Arseneau, S.; Wagner, B.D. Factors Affecting the Formation of 2:1 Host:Guest Inclusion Complexes of 2-[(R-Phenyl)Amine]-1,4-Naphthalenediones (PAN) in β- and γ-Cyclodextrins. Molecules 2016, 21, 1568. [Google Scholar] [CrossRef] [PubMed]
- Saokham, P.; Muankaew, C.; Jansook, P.; Loftsson, T. Solubility of Cyclodextrins and Drug/Cyclodextrin Complexes. Molecules 2018, 23, 1161. [Google Scholar] [CrossRef]
- Jayachandra, S.B.; Singh, T.K.; Gahlot, U.S. Amorphous Lurasidone Hydrochloride. French Patent WO2012123858, 20 September 2012. [Google Scholar]
- Miyake, K.; Irie, T.; Arima, H.; Hirayama, F.; Uekama, K.; Hirano, M.; Okamaoto, Y. Characterization of Itraconazole/2-Hydroxypropyl-Beta-Cyclodextrin Inclusion Complex in Aqueous Propylene Glycol Solution. Int. J. Pharm. 1999, 179, 237–245. [Google Scholar] [CrossRef]
- Holvoet, C.; Vander Heyden, Y.; Plaizier-Vercammen, J. Influence of Preparation Method on Itraconazole Oral Solutions Using Cyclodextrins as Complexing Agents. Die Pharm.-Int. J. Pharm. Sci. 2007, 62, 510–514. [Google Scholar]
- Zafar, A.; Alruwaili, N.K.; Imam, S.S.; Alsaidan, O.A.; Alkholifi, F.K.; Alharbi, K.S.; Mostafa, E.M.; Alanazi, A.S.; Gilani, S.J.; Musa, A.; et al. Formulation of Genistein-HP β Cyclodextrin-Poloxamer 188 Ternary Inclusion Complex: Solubility to Cytotoxicity Assessment. Pharmaceutics 2021, 13, 1997. [Google Scholar] [CrossRef]












| Test | Result |
|---|---|
| 1H-NMR | Consistent with structure (δ): 10.31 (s, 1H), 8.13 (d, J = 8.5, 1H), 8.10 (d, J = 8.5, 1H), 7.59 (t, J = 7.5, 1H), 7.46 (t, J = 7.5, 1H), 4.03 (m, 2H), 3.56 (m, 6H), 3.27 (m, 4H), 3.08 (m, 1H), 2.68 (m, 2H), 2.49 (m, 1H), 2.05 (m, 1H), 1.69 (m, 1H), 1.53 (m, 6H), 1.30 (m, 2H), 1.15 (m, 4H), and 0.95 (m, 2H). |
| Infrared spectroscopy | Consistent with structure (cm−1): 3437, 3067, 2938, 2262, 1762, 1688, 1591, 1565, and 742. |
| MS-ESI+ | Consistent with structure: ESI+ ion peak = 493.2226 m/z Theoretical ion calculated = 493.2559 m/z (based on monoisotopic mass: 492.2559 Da) |
| Powder X-ray diffraction | Crystalline solid with mean diffraction peaks at 11.39, 13.86, 15.06, 15.46, 16.39, 17.06, 19.49 (100% relative intensity), 20.74, and 21.90 degrees (2θ angle). |
| Particle size distribution | d(90%): 7.308 µm, d(50%): 3.518 µm, and d(10%): 1.607 µm |
| HPLC | Purity 99.88%. Purity angle = 10.570 (purity threshold: 66.174) USP plate count = 7545/USP tailing = 0.96 |
| Sample | Onset (°C) | Offset (°C) | Peak Maximum (°C) |
|---|---|---|---|
| HPBCD | 67 | 142 | 105 |
| PM a | 74 239 | 143 249 | 105 241 |
| LRD–HPBCD (1:3) | 80 | 151 | 110 |
| LRD–HPBCD (1:2) | 76 | 157 | 110 |
| LRD–HPBCD (1:1) | 70 222 | 141 236 | 104 233 |
| LRD–HPBCD (1:0.5) | 63 227 | 142 234 | 102 233 |
| LRD | 262 | 276 | 272 |
![]() | ||||||
| Assigned Proton | 1H-NMR Chemical Shift Data (δ) Complexes | Δδ a | ||||
|---|---|---|---|---|---|---|
| LRD | LRD–HPBCD (1:0.5) | LRD–HPBCD (1:1) | LRD–HPBCD (1:2) | LRD–HPBCD (1:3) | ||
| H-N13 salt | 10.306 | 10.181 | 9.922 | 9.774 | 9.627 | −0.678 |
| H6 H9 | 8.138 | 8.138 | 8.141 | 8.141 | 8.143 | 0.005 |
| H7 | 7.585 | 7.585 | 7.588 | 7.588 | 7.590 | 0.005 |
| H8 | 7.462 | 7.462 | 7.466 | 7.466 | 7.467 | 0.005 |
| H26 H30 | 4.044 | 4.042 | 4.051 | 4.057 | 4.061 | 0.017 |
| H16 | 2.049 | 2.036 | 2.005 | 1.986 | 1.967 | −0.082 |
| H18 | 1.690 | 1.693 | 1.689 | 1.683 | 1.680 | −0.010 |
| Sample | EE (%) | DL (%) | Humidity (h%) | Solubility (mg/mL) a |
|---|---|---|---|---|
| LRD–HPBCD (1:0.5) | 76.5 ± 0.40 | 41.4 ± 0.11 | 3.23 ± 0.13 | 1.3 ± 0.08 |
| LRD–HPBCD (1:1) | 94.4 ± 0.10 | 23.6 ± 0.11 | 3.75 ± 0.16 | 1.9 ± 0.10 |
| LRD–HPBCD (1:2) | 96.3 ± 0.20 | 13.9 ± 0.07 | 4.40 ± 0.23 | 18.9 ± 0.60 |
| LRD–HPBCD (1:3) | 98.2 ± 0.20 | 9.5 ± 0.03 | 3.95 ± 0.18 | 20.0 ± 0.40 |
| Parameter | Indicator | Result | Criteria | Complies |
|---|---|---|---|---|
| Accuracy | Recovery | Mean 100.5% | 98–102% | Yes |
| Precision | RSD a | 0.4 | RSD: NMT b 2% | Yes |
| Linearity | Correlation coefficient R | 0.9999 (0.6 µg to 1 mg/mL) | ≥0.99 | Yes |
| Linearity | Intercept test (t-test) | 0.73 | t exp c. ≤ t table (2.78) | Yes |
| Linearity | Slope test (t-test) | 409 | t texp. ≥ t table (2.78) | Yes |
| Range | Recovery | Mean 101.9% | 95–105% | Yes |
| Range | Correlation coefficient R | 0.9999 (5.0 µg to 1 mg/mL) | ≥0.99 | Yes |
| Range | RSD | RSD max = 2.5 | RSD: NMT 3% | Yes |
| Quantitation limit | Signal-to-noise (s/n) > 10 | s/n = 10 (3.0 µg/mL) | (s/n) ≥ 10 | Yes |
| Detection limit | Signal-to-noise (s/n) > 3 | s/n = 3 (0.6 µg/mL | (s/n) ≥ 3 | Yes |
| Condition | % LRD | % D a | Peaks b | Purity Angle | Purity Threshold | Co-Elution |
|---|---|---|---|---|---|---|
| NaOH 0.1 N room T°—2 h | 97.4 | 2.6 | 4 | 0.938 | 3.477 | No |
| NaOH 1.0 N room T°—2 h | 47.3 | 52.7 | 2 | 0.159 | 0.372 | No |
| NaOH 0.1 N 40 °C—2 h | 88.8 | 11.2 | 5 | 0.071 | 0.326 | No |
| H2O2 15% room T°—2 h | 99.4 | 0.6 | 3 | 3.693 | 12.842 | No |
| H2O2 1.5% 40 °C—2 h | 99.5 | 0.5 | 3 | 4.062 | 12.634 | No |
| H2O2 15% 40 °C—24 h | 96.3 | 3.7 | 4 | 4.698 | 10.482 | No |
| 80 °C—48 h | 100 | 0 | 0 | 4.958 | 12.943 | No |
| HCl 0.1 N | 100 | 0 | 0 | 4.528 | 12.811 | No |
| Control | 100 | 0 | 0 | 5.078 | 10.637 | No |
| Sample | Infrared Analysis (at 3 Months) a | DL (%) (at 3 Months) | ΔDL (%) b | Humidity (H%) (at 3 Months) | ΔH% b |
|---|---|---|---|---|---|
| LRD–HPBCD (1:0.5) | Present | 39.0 ± 0.17 | −2.4 | 6.20 ± 0.15 | +2.97 |
| LRD–HPBCD (1:1) | Present | 23.1 ± 0.14 | −0.4 | 7.53 ± 0.09 | +3.78 |
| LRD–HPBCD (1:2) | Reduced | 14.6 ± 0.07 | +0.8 | 8.76 ± 0.17 | +4.36 |
| LRD–HPBCD (1:3) | Absent | 9.7 ± 0.15 | +0.2 | 8.75 ± 0.12 | +4.80 |
| Complex | ΔEint | ΔEint-S | Solv % | μ a |
|---|---|---|---|---|
| (1:1) | ||||
| LRD–BCD | −59.3 | −42.9 | 27.7 | 12.78 |
| LRDH+–BCD | −122.5 | −95.2 | 22.3 | 15.78 |
| LRD–HPBCD | −74.0 | −53.6 | 27.6 | 9.72 |
| LRDH+–HPBCD | −155.5 | −126.4 | 18.7 | 14.14 |
| (1:2) | ||||
| LRD–BCD | −110.2 | −80.4 | 27.0 | 8.49 |
| LRDH+–BCD | −161.3 | −144.3 | 10.5 | 11.43 |
| LRD–HPBCD | −107.0 | −80.4 | 24.9 | 15.06 |
| LRDH+–HPBCD | −177.6 | −152.6 | 14.1 | 21.98 |
| Complex | Symm | Intensity | Antisymm | Intensity | N–H | Intensity |
|---|---|---|---|---|---|---|
| LRD (exp) | 1762.0 | 1688.0 | 3437.0 | |||
| LRD (calc) | 1954.1 | 60.6 | 1894.5 | 502.4 | ||
| LRDH+ (calc) | 1966.6 | 138.6 | 1869.5 | 668.1 | 3434.4 | 36.0 |
| (1:1) | ||||||
| LRD–HPBCD (exp) | 1762.0 | 1688.0 | OH a | |||
| LRD–HPBCD | 1953.4 | 62.1 | 1878.8 | 762.9 | ||
| LRDH+–HPBCD | 1789.6 | 53.9 | 1713.7 | 736.6 | 2956.8 | 329.7 |
| (1:2) | ||||||
| LRD–HPBCD (exp) | 1767.0 | 1691.0 | OH a | |||
| LRD–HPBCD | 1958.1 | 33.8 | 1886.9 | 740.5 | ||
| LRDH+–HPBCD | 1801.1 | 32.9 | 1728.7 | 658.6 | 2922.3 | 281.5 |
Disclaimer/Publisher’s Note: The statements, opinions and data contained in all publications are solely those of the individual author(s) and contributor(s) and not of MDPI and/or the editor(s). MDPI and/or the editor(s) disclaim responsibility for any injury to people or property resulting from any ideas, methods, instructions or products referred to in the content. |
© 2023 by the authors. Licensee MDPI, Basel, Switzerland. This article is an open access article distributed under the terms and conditions of the Creative Commons Attribution (CC BY) license (https://creativecommons.org/licenses/by/4.0/).
Share and Cite
Gamboa-Arancibia, M.E.; Caro, N.; Gamboa, A.; Morales, J.O.; González Casanova, J.E.; Rojas Gómez, D.M.; Miranda-Rojas, S. Improving Lurasidone Hydrochloride’s Solubility and Stability by Higher-Order Complex Formation with Hydroxypropyl-β-cyclodextrin. Pharmaceutics 2023, 15, 232. https://doi.org/10.3390/pharmaceutics15010232
Gamboa-Arancibia ME, Caro N, Gamboa A, Morales JO, González Casanova JE, Rojas Gómez DM, Miranda-Rojas S. Improving Lurasidone Hydrochloride’s Solubility and Stability by Higher-Order Complex Formation with Hydroxypropyl-β-cyclodextrin. Pharmaceutics. 2023; 15(1):232. https://doi.org/10.3390/pharmaceutics15010232
Chicago/Turabian StyleGamboa-Arancibia, María Elena, Nelson Caro, Alexander Gamboa, Javier Octavio Morales, Jorge Enrique González Casanova, Diana Marcela Rojas Gómez, and Sebastián Miranda-Rojas. 2023. "Improving Lurasidone Hydrochloride’s Solubility and Stability by Higher-Order Complex Formation with Hydroxypropyl-β-cyclodextrin" Pharmaceutics 15, no. 1: 232. https://doi.org/10.3390/pharmaceutics15010232
APA StyleGamboa-Arancibia, M. E., Caro, N., Gamboa, A., Morales, J. O., González Casanova, J. E., Rojas Gómez, D. M., & Miranda-Rojas, S. (2023). Improving Lurasidone Hydrochloride’s Solubility and Stability by Higher-Order Complex Formation with Hydroxypropyl-β-cyclodextrin. Pharmaceutics, 15(1), 232. https://doi.org/10.3390/pharmaceutics15010232


