An Effective Modification Strategy to Build Multifunctional Peptides Based on a Trypsin Inhibitory Peptide of the Kunitz Family
Abstract
1. Introduction
2. Materials and Methods
2.1. Peptide Design and Solid-Phase Peptide Synthesis (SPPS)
2.2. Prediction of Physicochemical Properties and Secondary Structure
2.3. Purification and Identification of Peptides
2.4. Peptide Secondary Structural Analysis
2.5. Trypsin Inhibition Determinations
2.6. In Vitro Antimicrobial Assays
2.7. Time-Killing Kinetic Assays
2.8. SYTOX Green Permeability Assays
2.9. In Vivo Antimicrobial Activity Determination
2.10. Haemolysis Assays
2.11. Antiproliferation Assays
2.12. Apoptosis Detection Assays
2.13. Statistical Analysis
3. Results
3.1. Structural Modifications and Physicochemical Property Analysis
3.2. Peptide Synthesis and Identification
3.3. Circular Dichroism (CD) Spectroscopy
3.4. Trypsin Inhibition Determination
3.5. Antimicrobial Activity Determination
3.6. Time-Killing Assays
3.7. SYTOX Green Permeability Assays
3.8. Determination of In Vivo Antibacterial Activity of Analogues
3.9. Haemolysis Activities of OSTI−1949 and Its Analogues
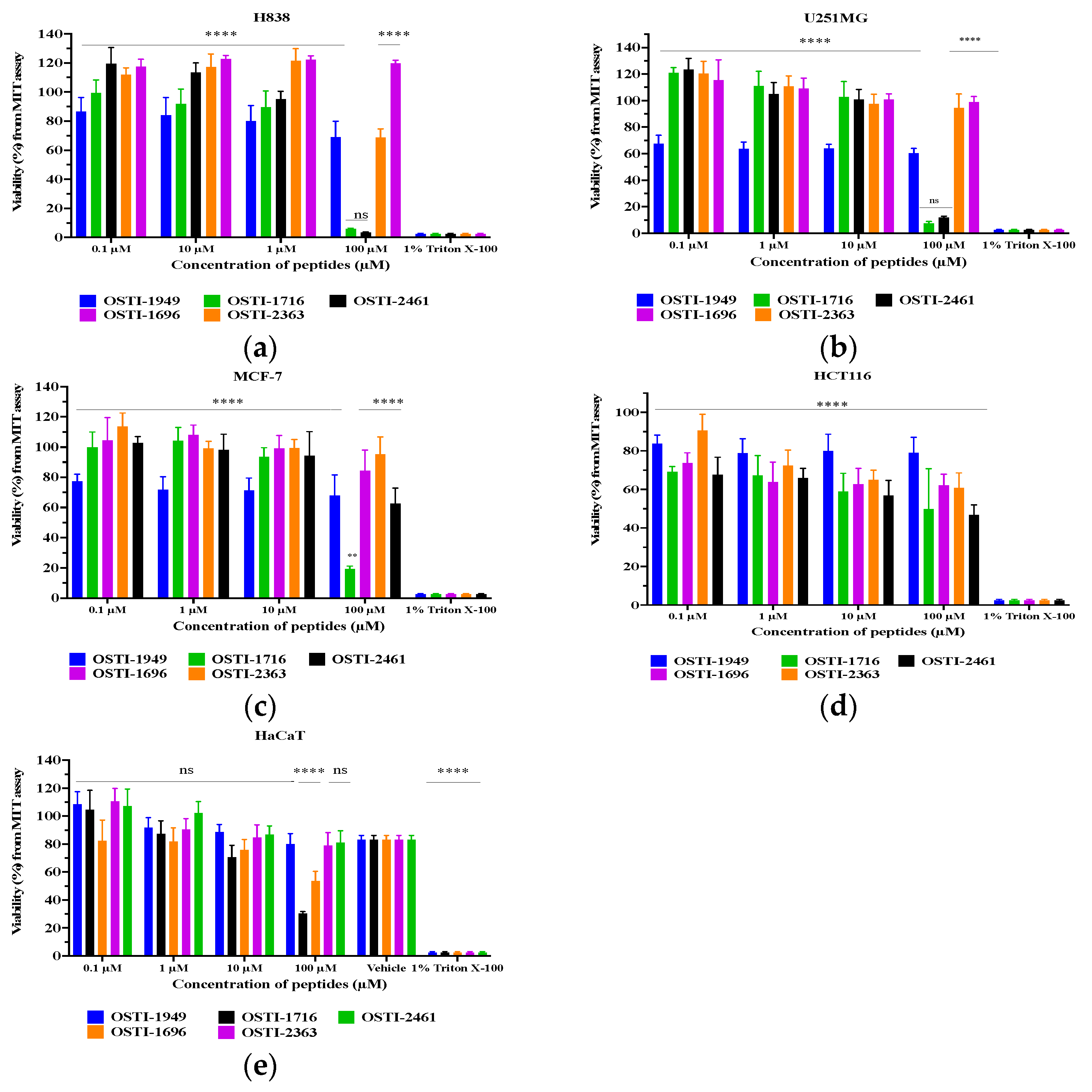
3.10. Antiproliferation Activities of OSTI−1949 and Its Analogues
3.11. Apoptosis Assays
4. Discussion
5. Conclusions
Supplementary Materials
Author Contributions
Funding
Institutional Review Board Statement
Informed Consent Statement
Data Availability Statement
Conflicts of Interest
References
- Chen, T.; Farragher, S.; Bjourson, A.J.; Orr, D.F.; Rao, P.; Shaw, C. Granular gland transcriptomes in stimulated amphibian skin secretions. Biochem. J. 2003, 371, 125–130. [Google Scholar] [CrossRef]
- Agbowuro, A.A.; Huston, W.M.; Gamble, A.B.; Tyndall, J.D.A. Proteases and protease inhibitors in infectious diseases. Med. Res. Rev. 2018, 38, 1295–1331. [Google Scholar] [CrossRef]
- Wang, T.; Jiang, Y.; Chen, X.; Wang, L.; Ma, C.; Xi, X.; Zhang, Y.; Chen, T.; Shaw, C.; Zhou, M. Ranacyclin-NF, a Novel Bowman-Birk Type Protease Inhibitor from the Skin Secretion of the East Asian Frog, Pelophylax nigromaculatus. Biology 2020, 9, 149. [Google Scholar] [CrossRef]
- Yan, X.; Liu, H.; Yang, X.; Che, Q.; Liu, R.; Yang, H.; Liu, X.; You, D.; Wang, A.; Li, J.; et al. Bi-functional peptides with both trypsin-inhibitory and antimicrobial activities are frequent defensive molecules in Ranidae amphibian skins. Amino Acids 2012, 43, 309–316. [Google Scholar] [CrossRef]
- Gitlin-Domagalska, A.; Maciejewska, A.; Debowski, D. Bowman-Birk Inhibitors: Insights into Family of Multifunctional Proteins and Peptides with Potential Therapeutical Applications. Pharmaceuticals 2020, 13, 421. [Google Scholar] [CrossRef]
- Sabotic, J.; Kos, J. Microbial and fungal protease inhibitors—Current and potential applications. Appl. Microbiol. Biotechnol. 2012, 93, 1351–1375. [Google Scholar] [CrossRef]
- Kunitz, M. Crystallization of a trypsin inhibitor from soybean. Science 1945, 101, 668–669. [Google Scholar] [CrossRef]
- Chen, X.; Wang, H.; Shen, Y.; Wang, L.; Zhou, M.; Chen, T.; Shaw, C. Kunitzins: Prototypes of a new class of protease inhibitor from the skin secretions of European and Asian frogs. Biochem. Biophys. Res. Commun. 2016, 477, 302–309. [Google Scholar] [CrossRef]
- Li, J.; Wu, J.; Wang, Y.; Xu, X.; Liu, T.; Lai, R.; Zhu, H. A small trypsin inhibitor from the frog of Odorrana grahami. Biochimie 2008, 90, 1356–1361. [Google Scholar] [CrossRef]
- Dong, Y.; Shi, D.; Ying, Y.; Xi, X.; Chen, X.; Wang, L.; Zhou, M.; Wu, Q.; Ma, C.; Chen, T. A Novel Kunitzin-Like Trypsin Inhibitor Isolated from Defensive Skin Secretion of Odorrana versabilis. Biomolecules 2019, 9, 254. [Google Scholar] [CrossRef]
- Rawlings, N.D.; Barrett, A.J.; Bateman, A. MEROPS: The peptidase database. Nucleic Acids Res. 2010, 38, D227–D233. [Google Scholar] [CrossRef]
- Tsybina, T.; Dunaevsky, Y.E.; Musolyamov, A.K.; Egorov, T.A.; Belozersky, M. Cationic inhibitors of serine proteinases from buckwheat seeds. Biochemistry 2001, 66, 941–947. [Google Scholar]
- Macedo, M.L.R.; Freire, M.d.G.M.; Franco, O.L.; Migliolo, L.; de Oliveira, C.F.R. Practical and theoretical characterization of Inga laurina Kunitz inhibitor on the control of Homalinotus coriaceus. Comp. Biochem. Physiol. Part B Biochem. Mol. Biol. 2011, 158, 164–172. [Google Scholar] [CrossRef]
- Kobayashi, H.; Yagyu, T.; Inagaki, K.; Kondo, T.; Suzuki, M.; Kanayama, N.; Terao, T. Therapeutic efficacy of once-daily oral administration of a Kunitz-type protease inhibitor, bikunin, in a mouse model and in human cancer. Cancer 2004, 100, 869–877. [Google Scholar] [CrossRef]
- Kobayashi, H.; Yoshida, R.; Kanada, Y.; Fukuda, Y.; Yagyu, T.; Inagaki, K.; Kondo, T.; Kurita, N.; Suzuki, M.; Kanayama, N. Dietary supplementation of soybean kunitz trypsin inhibitor reduces lipopolysaccharide-induced lethality in mouse model. Shock 2005, 23, 441–447. [Google Scholar] [CrossRef]
- Kobayashi, H.; Suzuki, M.; Kanayama, N.; Terao, T. A soybean Kunitz trypsin inhibitor suppresses ovarian cancer cell invasion by blocking urokinase upregulation. Clin. Exp. Metastasis 2004, 21, 159–166. [Google Scholar] [CrossRef]
- Lin, L.L.; Mick, R.; Ware, J.; Metz, J.; Lustig, R.; Vapiwala, N.; Rengan, R.; Kennedy, A.R. Phase I randomized double-blind placebo-controlled single-dose safety studies of Bowman-Birk inhibitor concentrate. Oncol. Lett. 2014, 7, 1151–1158. [Google Scholar] [CrossRef]
- Tan, P.; Fu, H.Y.; Ma, X. Design, optimization, and nanotechnology of antimicrobial peptides: From exploration to applications. Nano Today 2021, 39, 101229. [Google Scholar] [CrossRef]
- Tossi, A.; Sandri, L.; Giangaspero, A. Amphipathic, alpha-helical antimicrobial peptides. Biopolymers 2000, 55, 4–30. [Google Scholar] [CrossRef]
- Kumar, P.; Kizhakkedathu, J.N.; Straus, S.K. Antimicrobial Peptides: Diversity, Mechanism of Action and Strategies to Improve the Activity and Biocompatibility In Vivo. Biomolecules 2018, 8, 4. [Google Scholar] [CrossRef]
- Tsai, C.J.-Y.; Loh, J.M.S.; Proft, T. Galleria mellonella infection models for the study of bacterial diseases and for antimicrobial drug testing. Virulence 2016, 7, 214–229. [Google Scholar] [CrossRef]
- Harding, C.R.; Schroeder, G.N.; Collins, J.W.; Frankel, G. Use of Galleria mellonella as a model organism to study Legionella pneumophila infection. J. Vis. Exp. 2013, 81, e50964. [Google Scholar] [CrossRef]
- Wang, H.; Xia, J.; Liu, J. Novel Antimicrobial Peptides from Odorrana schmackeri Surviving in Guangxi Province of China; Hebei Normal University: Shijiazhuang, China, 2010. [Google Scholar]
- Chen, Y.Q.; Xi, X.P.; Ma, C.B.; Zhou, M.; Chen, X.L.; Ye, Z.M.; Ge, L.L.; Qinan Wu, Q.N.; Chen, T.B.; Wang, L.; et al. Structure–Activity Relationship and Molecular Docking of a Kunitz-Like Trypsin Inhibitor, Kunitzin-AH, from the Skin Secretion of Amolops hainanensis. Pharmaceutics 2021, 14, 1805. [Google Scholar] [CrossRef]
- Krowarsch, D.; Cierpicki, T.; Jelen, F.; Otlewski, J. Canonical protein inhibitors of serine proteases. Cell. Mol. Life Sci. 2003, 60, 2427–2444. [Google Scholar] [CrossRef]
- Habib, H.; Fazili, K.M. Plant protease inhibitors: A defense strategy in plants. Biotechnol. Mol. Biol. Rev. 2007, 2, 68–85. [Google Scholar]
- Conlon, J.M.; Kim, J.B. A protease inhibitor of the Kunitz family from skin secretions of the tomato frog, Dyscophus guineti (Microhylidae). Biochem. Biophys. Res. Commun. 2000, 279, 961–964. [Google Scholar] [CrossRef]
- Ascenzi, P.; Bocedi, A.; Bolognesi, M.; Spallarossa, A.; Coletta, M.; Cristofaro, R.D.; Menegatti, E. The bovine basic pancreatic trypsin inhibitor (Kunitz inhibitor): A milestone protein. Curr. Protein Pept. Sci. 2003, 4, 231–251. [Google Scholar] [CrossRef]
- Hsieh, C.-C.; Hernández-Ledesma, B.; Jeong, H.J.; Park, J.H.; de Lumen, B.O. Complementary roles in cancer prevention: Protease inhibitor makes the cancer preventive peptide lunasin bioavailable. PLoS ONE 2010, 5, e8890. [Google Scholar] [CrossRef]
- Cristina Oliveira de Lima, V.; Piuvezam, G.; Leal Lima Maciel, B.; Heloneida de Araujo Morais, A. Trypsin inhibitors: Promising candidate satietogenic proteins as complementary treatment for obesity and metabolic disorders? J. Enzyme Inhib. Med. Chem. 2019, 34, 405–419. [Google Scholar] [CrossRef]
- Junker, Y.; Zeissig, S.; Kim, S.-J.; Barisani, D.; Wieser, H.; Leffler, D.A.; Zevallos, V.; Libermann, T.A.; Dillon, S.; Freitag, T.L. Wheat amylase trypsin inhibitors drive intestinal inflammation via activation of toll-like receptor 4. J. Exp. Med. 2012, 209, 2395–2408. [Google Scholar] [CrossRef]
- Całkosiński, I.; Zasadowski, A.; Bronowicka-Szydełko, A.; Dzierzba, K.; Seweryn, E.; Dobrzyński, M.; Gamian, A. Amphibian skin secretions as a new source of antibiotics and biologically active substances. Adv. Hyg. Exp. Med. 2009, 63, 537–548. [Google Scholar]
- Birk, Y. The Bowman-Birk inhibitor. Trypsin- and chymotrypsin-inhibitor from soybeans. Int. J. Pept. Protein Res. 1985, 25, 113–131. [Google Scholar] [CrossRef]
- Antuch, W.; Berndt, K.D.; Chávez, M.A.; Delfín, J.; Wüthrich, K. The NMR solution structure of a Kunitz-type proteinase inhibitor from the sea anemone Stichodactyla helianthus. Eur. J. Biochem. 1993, 212, 675–684. [Google Scholar] [CrossRef]
- Lu, S.M.; Lu, W.; Qasim, M.; Anderson, S.; Apostol, I.; Ardelt, W.; Bigler, T.; Chiang, Y.W.; Cook, J.; James, M.N. Predicting the reactivity of proteins from their sequence alone: Kazal family of protein inhibitors of serine proteinases. Proc. Natl. Acad. Sci. USA 2001, 98, 1410–1415. [Google Scholar] [CrossRef]
- Chai, J.; Wu, J.; Li, J.; Liao, H.; Lu, W.; Guo, R.; Shao, Z.; Jmel, M.A.; Martins, L.A.; Hackeng, T. Novel Amphibian Bowman–Birk-Like Inhibitor with Antioxidant and Anticoagulant Effects Ameliorates Pancreatitis Symptoms in Mice. J. Med. Chem. 2023, 66, 11869–11880. [Google Scholar] [CrossRef]
- Gebhard, L.G.; Carrizo, F.U.; Stern, A.L.; Burgardt, N.I.; Faivovich, J.; Lavilla, E.; Ermacora, M.R. A Kazal prolyl endopeptidase inhibitor isolated from the skin of Phyllomedusa sauvagii. Eur. J. Biochem. 2004, 271, 2117–2126. [Google Scholar] [CrossRef]
- González, S.; Fló, M.; Margenat, M.; Durán, R.; González-Sapienza, G.; Graña, M.; Parkinson, J.; Maizels, R.M.; Salinas, G.; Alvarez, B. A family of diverse Kunitz inhibitors from Echinococcus granulosus potentially involved in host-parasite cross-talk. PLoS ONE 2009, 4, e7009. [Google Scholar] [CrossRef]
- Mishra, M. Evolutionary aspects of the structural convergence and functional diversification of Kunitz-domain inhibitors. J. Mol. Evol. 2020, 88, 537–548. [Google Scholar] [CrossRef]
- Rauf, A.; Khalil, A.A.; Olatunde, A.; Khan, M.; Anwar, S.; Alafnan, A.; Rengasamy, K.R. Diversity, molecular mechanisms and structure-activity relationships of marine protease inhibitors—A review. Pharmacol. Res. 2021, 166, 105521. [Google Scholar] [CrossRef]
- Bahar, A.A.; Ren, D. Antimicrobial peptides. Pharmaceuticals 2013, 6, 1543–1575. [Google Scholar] [CrossRef]
- Yang, X.; Lee, W.H.; Zhang, Y. Extremely abundant antimicrobial peptides existed in the skins of nine kinds of Chinese odorous frogs. J. Proteome Res. 2012, 11, 306–319. [Google Scholar] [CrossRef]
- Liang, Y.; Zhang, X.; Yuan, Y.; Bao, Y.; Xiong, M. Role and modulation of the secondary structure of antimicrobial peptides to improve selectivity. Biomater. Sci. 2020, 8, 6858–6866. [Google Scholar] [CrossRef]
- McKay, M.J.; Afrose, F.; Koeppe II, R.E.; Greathouse, D.V. Helix formation and stability in membranes. Biochim. Et Biophys. Acta (BBA)-Biomembr. 2018, 1860, 2108–2117. [Google Scholar] [CrossRef]
- Takahashi, D.; Shukla, S.K.; Prakash, O.; Zhang, G. Structural determinants of host defense peptides for antimicrobial activity and target cell selectivity. Biochimie 2010, 92, 1236–1241. [Google Scholar] [CrossRef]
- Teixeira, V.; Feio, M.J.; Bastos, M. Role of lipids in the interaction of antimicrobial peptides with membranes. Prog. Lipid Res. 2012, 51, 149–177. [Google Scholar] [CrossRef]
- Hancock, R.E.; Chapple, D.S. Peptide antibiotics. Antimicrob. Agents Chemother. 1999, 43, 1317–1323. [Google Scholar] [CrossRef]
- Vila-Farres, X.; De La Maria, C.G.; López-Rojas, R.; Pachón, J.; Giralt, E.; Vila, J. In vitro activity of several antimicrobial peptides against colistin-susceptible and colistin-resistant Acinetobacter baumannii. Clin. Microbiol. Infect. 2012, 18, 383–387. [Google Scholar] [CrossRef]
- Li, J.; Rayner, C.R.; Nation, R.L.; Owen, R.J.; Spelman, D.; Tan, K.E.; Liolios, L. Heteroresistance to colistin in multidrug-resistant Acinetobacter baumannii. Antimicrob. Agents Chemother. 2006, 50, 2946–2950. [Google Scholar] [CrossRef]
- Rodríguez-Hernández, M.J.; Saugar, J.; Docobo-Pérez, F.; de la Torre, B.G.; Pachón-Ibáñez, M.E.; García-Curiel, A.; Fernandez-Cuenca, F.; Andreu, D.; Rivas, L.; Pachon, J. Studies on the antimicrobial activity of cecropin A–melittin hybrid peptides in colistin-resistant clinical isolates of Acinetobacter baumannii. J. Antimicrob. Chemother. 2006, 58, 95–100. [Google Scholar] [CrossRef]
- Qin, H.; Zuo, W.; Ge, L.; Siu, S.W.I.; Wang, L.; Chen, X.; Ma, C.; Chen, T.; Zhou, M.; Cao, Z.; et al. Discovery and analysis of a novel antimicrobial peptide B1AW from the skin secretion of Amolops wuyiensis and improving the membrane-binding affinity through the construction of the lysine-introduced analogue. Comput. Struct. Biotechnol. J. 2023, 21, 2960–2972. [Google Scholar] [CrossRef]
- Subeha, M.R.; Telleria, C.M. The anti-cancer properties of the HIV protease inhibitor nelfinavir. Cancers 2020, 12, 3437. [Google Scholar] [CrossRef] [PubMed]
- Srikanth, S.; Chen, Z. Plant protease inhibitors in therapeutics-focus on cancer therapy. Front. Pharmacol. 2016, 7, 470. [Google Scholar] [CrossRef] [PubMed]
- Gaspar, D.; Veiga, A.S.; Castanho, M.A. From antimicrobial to anticancer peptides. A review. Front. Microbiol. 2013, 4, 294. [Google Scholar] [CrossRef] [PubMed]
- Hoskin, D.W.; Ramamoorthy, A. Studies on anticancer activities of antimicrobial peptides. Biochim. Biophys. Acta 2008, 1778, 357–375. [Google Scholar] [CrossRef] [PubMed]
- Mader, J.S.; Hoskin, D.W. Cationic antimicrobial peptides as novel cytotoxic agents for cancer treatment. Expert Opin. Investig. Drugs 2006, 15, 933–946. [Google Scholar] [CrossRef]
- Schweizer, F. Cationic amphiphilic peptides with cancer-selective toxicity. Eur. J. Pharmacol. 2009, 625, 190–194. [Google Scholar] [CrossRef]











| No. | Peptides | Sequences |
|---|---|---|
| 1 | OSTI−1949 | AVNIPFKVHFRCKAAFC |
| 2 | OSTI−1716 | VIFKVFWRCKAAFC |
| 3 | OSTI−1696 | IKFKVHFRCKAAFC |
| 4 | OSTI−2363 | AVKRAVKRFKVHFRCKAAFC |
| 5 | OSTI−2461 | AVNIPFKVHFKVHFRCKAAFC |
| Peptide | Sequence | Hydrophilicity | Net Charge |
|---|---|---|---|
| OSTI−1949 | AVNIPFKVHFRCKAAFC | −0.42 | 3.0 |
| OSTI−1716 | VIFKVFWRCKAAFC | −0.69 | 2.91 |
| OSTI−1696 | IKFKVHFRCKAAFC | −0.16 | 4.0 |
| OSTI−2363 | AVKRAVKRFKVHFRCKAAFC | 0.23 | 7.0 |
| OSTI−2461 | AVNIPFKVHFKVHFRCKAAFC | −0.41 | 4.09 |
| Peptide | Sequence | Trypsin Ki (μM) |
|---|---|---|
| OSTI−1949 | AVNIPFKVHFRCKAAFC | 2.414 |
| OSTI−1716 | VIFKVFWRCKAAFC | 11.15 |
| OSTI−1696 | IKFKVHFRCKAAFC | 6.077 |
| OSTI−2363 | AVKRAVKRFKVHFRCKAAFC | 5.596 |
| OSTI−2461 | AVNIPFKVHFKVHFRCKAAFC | 13.47 |
| MIC/MBC (μM) | ||||||
|---|---|---|---|---|---|---|
| Microbial Strain | OSTI−1949 | OSTI−1716 | OSTI−1696 | OSTI−2363 | OSTI−2461 | |
| Gram-negative bacteria | E. coli (ATCC CRM 8739) | 32/32 | 32/32 | 8/8 | 4/16 | 16/16 |
| E. coli (BAA 2340) | 32/32 | 32/32 | 4/4 | 8/8 | 16/16 | |
| E. coli (NCTC 13846) | 32/32 | 32/32 | 4/4 | 8/8 | 8/16 | |
| P. aeruginosa (ATCC CRM 9027) | 64/128 | 64/64 | 8/16 | 16/16 | 16/16 | |
| K. pneumoniae (ATCC CRM 43861) | 64/128 | 128/128 | 64/64 | 32/32 | 16/32 | |
| A. baumannii (BAA 747) | >512 | 512/512 | 256/256 | 256/256 | >512 | |
| Gram-positive bacteria | S. aureus (ATCC CRM 6538) | >512 | >512 | 512/512 | >512 | >512 |
| E. faecium (NCTC 12697) | >512 | >512 | >512 | >512 | >512 | |
| MRSA (NCTC 12493) | 256/256 | 32/32 | 32/32 | 16/16 | 16/32 | |
| Yeast | C. albicans (ATCC 10231) | >512 | >512 | >512 | >512 | >512 |
| Peptide | HC20 (μM) |
|---|---|
| OSTI−1949 | 287.8 |
| OSTI−1716 | 270.4 |
| OSTI−1696 | 297.7 |
| OSTI−2363 | 555.4 |
| OSTI−2461 | 304.2 |
| IC50 (μM) | |||||
|---|---|---|---|---|---|
| Peptide | H838 | U251MG | MCF-7 | HCT116 | HaCaT |
| OSTI−1949 | N.I. | N.I. | N.I. | N.I. | N.I. |
| OSTI−1716 | 27.39 | 81.10 | 45.14 | N.I. | 28.57 |
| OSTI−1696 | N.I. | N.I. | 238.4 | N.I. | 906.1 |
| OSTI−2363 | 115.1 | N.I. | N.I. | N.I. | N.I. |
| OSTI−2461 | 29.74 | 88.25 | 169.0 | N.I. | N.I. |
Disclaimer/Publisher’s Note: The statements, opinions and data contained in all publications are solely those of the individual author(s) and contributor(s) and not of MDPI and/or the editor(s). MDPI and/or the editor(s) disclaim responsibility for any injury to people or property resulting from any ideas, methods, instructions or products referred to in the content. |
© 2024 by the authors. Licensee MDPI, Basel, Switzerland. This article is an open access article distributed under the terms and conditions of the Creative Commons Attribution (CC BY) license (https://creativecommons.org/licenses/by/4.0/).
Share and Cite
Wang, Y.; Shi, D.; Zou, W.; Jiang, Y.; Wang, T.; Chen, X.; Ma, C.; Li, W.; Chen, T.; Burrows, J.F.; et al. An Effective Modification Strategy to Build Multifunctional Peptides Based on a Trypsin Inhibitory Peptide of the Kunitz Family. Pharmaceutics 2024, 16, 597. https://doi.org/10.3390/pharmaceutics16050597
Wang Y, Shi D, Zou W, Jiang Y, Wang T, Chen X, Ma C, Li W, Chen T, Burrows JF, et al. An Effective Modification Strategy to Build Multifunctional Peptides Based on a Trypsin Inhibitory Peptide of the Kunitz Family. Pharmaceutics. 2024; 16(5):597. https://doi.org/10.3390/pharmaceutics16050597
Chicago/Turabian StyleWang, Ying, Daning Shi, Wanchen Zou, Yangyang Jiang, Tao Wang, Xiaoling Chen, Chengbang Ma, Wei Li, Tianbao Chen, James F. Burrows, and et al. 2024. "An Effective Modification Strategy to Build Multifunctional Peptides Based on a Trypsin Inhibitory Peptide of the Kunitz Family" Pharmaceutics 16, no. 5: 597. https://doi.org/10.3390/pharmaceutics16050597
APA StyleWang, Y., Shi, D., Zou, W., Jiang, Y., Wang, T., Chen, X., Ma, C., Li, W., Chen, T., Burrows, J. F., Wang, L., & Zhou, M. (2024). An Effective Modification Strategy to Build Multifunctional Peptides Based on a Trypsin Inhibitory Peptide of the Kunitz Family. Pharmaceutics, 16(5), 597. https://doi.org/10.3390/pharmaceutics16050597

