Fractional-Order Swarming Intelligence Heuristics for Nonlinear Sliding-Mode Control System Design in Fuel Cell Hybrid Electric Vehicles
Abstract
1. Introduction
1.1. Environmental and Technological Aspects of Electric Vehicles
1.2. Motivation for Fuel Cell Hybrid Electric Vehicles
1.3. Hybrid Energy Storage and Power Converters in EVs
1.4. Literature Review
1.5. Proposed Work and Contributions
- Proposed a nonlinear dynamic sliding mode control scheme integrated with uniform robust exact differentiators for the HESS and power stage of EVs.
- Integrating the fractional-order derivatives concept of particle swarm optimization (PSO) to modify the MFO update mechanism.
- Incorporating the gravitational search algorithm (GSA) into MFO to enhance search efficiency.
- Developed an innovative moth flame optimization framework hybridized with fractal heritage to optimally tune the DSMC control parameters, enhancing robustness and stability.
- Validated the proposed control scheme through MATLAB/Simulink simulations using an EUDC profile, demonstrating asymptotic stability of the closed-loop control system, effectively handling nonlinearities and dynamic variations in FCHEVs under external driving conditions.
2. FCHEV System Under Study
2.1. Hybrid Energy Storage Units
2.1.1. Fuel Cell
2.1.2. Super-Capacitor
2.1.3. Battery
2.1.4. Electric Traction Motor
3. FCHEV System Mathematical Modeling
3.1. Fuel Cell Modeling
3.2. Battery Energy Storage Modeling
3.2.1. Boost Mode of DC–DC Converter
3.2.2. Buck Mode of DC–DC Converter
3.3. Super-Capacitor Modeling
3.3.1. Boost Mode of DC–DC Converter
3.3.2. Buck Mode of DC–DC Converter
3.4. Electric Drive Train Modeling
- current of stator in d-axis component.
- current of stator q-axis component.
- d-axis component of rotor flux.
- q-axis component of rotor flux.
- frequency of stator.
- angular speed.
- load torque.
- number of pole pairs.
- resistance of rotor.
- resistance of stator.
- self inductance of rotor.
- self inductance of stator.
- stator and rotor windings mutual inductance.
- viscous damping coefficent.
- motor inertia and load.
4. Global/Generalized Model of FCHEV System
5. Moth Flame Heuristics
5.1. Logarithmic Spiral Trajectory Function
5.2. Archimedean Spiral Trajectory Function
5.3. Hyperbolic Spiral Trajectory Function
6. Design of Control Strategy
6.1. Robust Uniform Exact Differentiator
6.2. Control Law Formulation
6.2.1. DSMC for Fuel Cell
6.2.2. DSMC for Battery Energy System
6.2.3. DSMC for Super-Capacitor
6.2.4. DSMC for Induction Motor
6.3. Tuning Problem Formulation
7. Simulation Results and Analysis
7.1. Power Converter Control Loop
7.2. Traction Motor Control Loop
- standard air density;
- vehicle speed;
- rolling resistance coefficient (0.01);
- frontal area of the car (1.8 m2);
- mass of the car (1066 kg);
- constant of gravitational acceleration;
- aerodynamic drag coefficient (0.19);
- Voltage of the DC bus → 400 V.
7.3. Performance Indices Evaluation
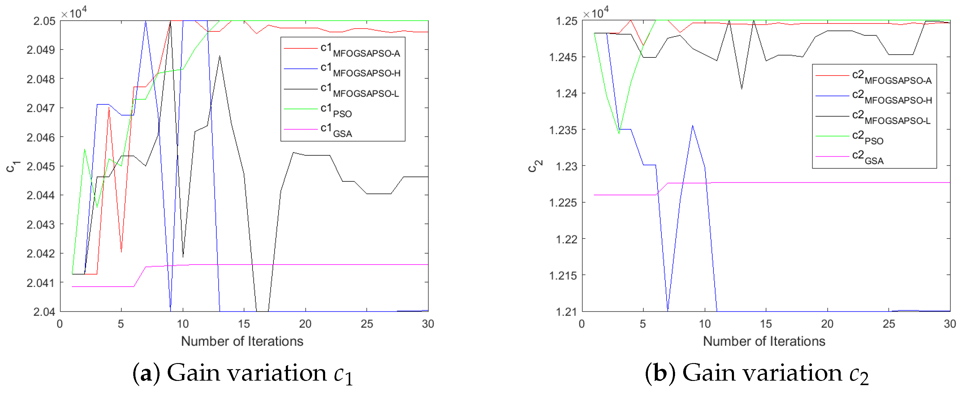
7.4. Evolution of DSMC Gains
7.5. Comparative Analysis of HESS Tracking and Speed Profile
8. Discussion
9. Conclusions
Author Contributions
Funding
Data Availability Statement
Conflicts of Interest
Abbreviations
| EUDC | European Extra Urban Driving Cycle |
| FC | Fuel Cell |
| SC | Super-capacitor |
| DSMC | Dynamic Sliding Mode Control |
| MFO | Moth Flame Optimization |
| GSA | Gravitational Search Algorithm |
| PSO | Particle Swarm Optimization |
| AOA | Archimedes Optimization Algorithm |
| MFOGSAPSO | Moth Flame Optimization with GSA and PSO |
| MFOGSAPSO-A | MFOGSAPSO variant using archimedes sprial function |
| MFOGSAPSO-L | MFOGSAPSO variant using logarithmic spiral function |
| MFOGSAPSO-H | MFOGSAPSO variant using hyperbolic spiral function |
| WPT | Wireless Power Transfer |
| HESS | Hybrid Energy Storage System |
| SMC | Sliding Mode Control |
| ITAE | Integral of Time-weighted Absolute Error |
| EV | Electric Vehicle |
| Symbol | Description |
| DC link output voltage | |
| Fuel cell current | |
| Battery current | |
| Super-capacitor current | |
| Fuel cell output voltage | |
| Battery voltage | |
| , , | Switching control inputs |
| to | Error signals |
| to | HESS side state variables |
| to | Drive side state variables |
| , | Rotor flux components (d-q axis) |
| Rotor angular speed | |
| to | Sliding mode controller gains |
| to | Controller tuning coefficients |
| , | Resistance and inductance of FC |
| , | Resistance and inductance of battery |
| Output capacitance | |
| to | Sliding surfaces in DSMC |
| , | First- and second-time derivatives of variable x |
| ITAE | Integral of Time-weighted Absolute Error |
| RMSE | Root Mean Square Error |
| MAE | Mean Absolute Error |
Appendix A
| Component | Specifications |
|---|---|
| Power sources | |
| PEMFC | 350 V, 250 A, 34 kW |
| UC module | 205 V dc, 2700 F |
| Battery module | 288 V dc, 13.9 Ah, Li-ion |
| Power stage | |
| Inductance , , and | 3.3 mH |
| Inductance’s ESRs , , and | 20 mΩ |
| Output capacitor | 1.66 mF |
| Switching frequency | 20 kHz |
| Component | Specification |
|---|---|
| Motor type | 3-phase induction motor |
| Nominal power | 7.5 kW |
| Nominal voltage | 380 V |
| Nominal frequency | 50 Hz |
| Nominal flux | 1 Wb |
| Nominal power | 7.5 kW |
| 0.93 | |
| 1.633 | |
| 0.076 H | |
| 0.142 H | |
| 0.0018 | |
| 0.099 H | |
| p | 2 |
| J | 0.0111 |
| Coefficients to | ||||||||||||||
| (a) MFOGSAPSO-A | (b) MFOGSAPSO-H | (c) MFOGSAPSO-L | (d) PSO | (e) GSA | ||||||||||
| Coeff. | Values | Coeff. | Values | Coeff. | Values | Coeff. | Values | Coeff. | Values | |||||
| 20,496 | 20,400 | 20,446 | 20,310 | 20,416 | ||||||||||
| 12,497 | 12,100 | 12,496 | 12,345 | 12,277 | ||||||||||
| 20,481 | 20,490 | 20,487 | 20,320 | 20,430 | ||||||||||
| 18,203 | 18,100 | 18,410 | 18,050 | 18,409 | ||||||||||
| 269 | 500 | 500 | 400 | 361 | ||||||||||
| 107 | 100 | 100 | 105 | 109 | ||||||||||
| 720 | 800 | 800 | 710 | 727 | ||||||||||
| 980 | 980 | 980 | 970 | 899 | ||||||||||
| 643 | 600 | 600 | 630 | 714 | ||||||||||
| Coefficients to | ||||||||||||||
| (a) MFOGSAPSO-A | (b) MFOGSAPSO-H | (c) MFOGSAPSO-L | (d) PSO | (e) GSA | ||||||||||
| Coeff. | Values | Coeff. | Values | Coeff. | Values | Coeff. | Values | Coeff. | Values | |||||
| 2670 | 2900 | 2878 | 2630 | 2564 | ||||||||||
| 1 | 1 | 1 | 1 | 1 | ||||||||||
| 2811 | 2900 | 2880 | 2700 | 2583 | ||||||||||
| 0 | 0 | 0 | 0 | 0 | ||||||||||
| 3419 | 3100 | 3504 | 3300 | 3202 | ||||||||||
| 0 | 0 | 0 | 0 | 0 | ||||||||||
| 6895 | 6900 | 6900 | 6750 | 6760 | ||||||||||
| 6406 | 6100 | 6100 | 6300 | 6558 | ||||||||||
| 150 | 150 | 150 | 140 | 125 | ||||||||||
| 150 | 150 | 150 | 140 | 123 | ||||||||||
| 19 | 30 | 23 | 20 | 13 | ||||||||||
| 18 | 30 | 30 | 22 | 16 | ||||||||||
| Control Objective | Metric | MFOGSAPSO-A | MFOGSAPSO-H | MFOGSAPSO-L | PSO | GSA |
|---|---|---|---|---|---|---|
| FC Tracking | ITAE | 59.870123 | 60.678476 | 56.389856 | 61.235678 | 63.452341 |
| RMSE | 0.005712 | 0.005915 | 0.013826 | 0.006812 | 0.007543 | |
| MAE | 0.000602 | 0.000618 | 0.000604 | 0.000625 | 0.000650 | |
| Battery Tracking | ITAE | 58.112345 | 58.881124 | 57.487649 | 60.003489 | 65.273210 |
| RMSE | 0.004879 | 0.005015 | 0.009524 | 0.005823 | 0.006088 | |
| MAE | 0.000488 | 0.000499 | 0.000502 | 0.000523 | 0.000556 | |
| SC Tracking | ITAE | 63.145679 | 64.402142 | 62.836099 | 65.112234 | 68.878172 |
| RMSE | 0.002145 | 0.002232 | 0.003297 | 0.002355 | 0.002476 | |
| MAE | 0.000623 | 0.000647 | 0.000638 | 0.000660 | 0.000693 | |
| DC Bus Voltage Tracking | ITAE | 4739.812345 | 4744.595541 | 4741.607564 | 4770.451234 | 4839.196470 |
| RMSE | 0.232815 | 0.233030 | 0.233008 | 0.233456 | 0.234344 | |
| MAE | 0.058991 | 0.059033 | 0.059011 | 0.059600 | 0.060211 | |
| Speed Tracking | ITAE | 1052.112347 | 1056.605634 | 1100.365536 | 1175.111223 | 1276.189428 |
| RMSE | 0.030990 | 0.031326 | 0.032605 | 0.035734 | 0.037909 | |
| MAE | 0.010998 | 0.011201 | 0.011615 | 0.012477 | 0.013441 |
| Control Objective | Metric | MFOGSAPSO-A | MFOGSAPSO-H | MFOGSAPSO-L | PSO | GSA |
|---|---|---|---|---|---|---|
| FC Tracking | ITAE | 56.060205 | 55.864051 | 56.565690 | 61.235678 | 63.452341 |
| RMSE | 0.005180 | 0.013736 | 0.006369 | 0.006812 | 0.007543 | |
| MAE | 0.000569 | 0.000599 | 0.000580 | 0.000625 | 0.000650 | |
| Battery Tracking | ITAE | 66.626079 | 57.064064 | 57.060708 | 60.003489 | 65.273210 |
| RMSE | 0.005275 | 0.009471 | 0.005224 | 0.005823 | 0.006088 | |
| MAE | 0.000564 | 0.000499 | 0.000485 | 0.000523 | 0.000556 | |
| SC Tracking | ITAE | 65.934049 | 61.288168 | 62.372749 | 65.112234 | 68.878172 |
| RMSE | 0.002238 | 0.003240 | 0.002247 | 0.002355 | 0.002476 | |
| MAE | 0.000662 | 0.000622 | 0.000628 | 0.000660 | 0.000693 | |
| DC Bus Voltage Tracking | ITAE | 4741.355964 | 4740.926209 | 4741.850998 | 4770.451234 | 4839.196470 |
| RMSE | 0.232984 | 0.233003 | 0.232993 | 0.233456 | 0.234344 | |
| MAE | 0.058992 | 0.059002 | 0.059000 | 0.059600 | 0.060211 | |
| Speed Tracking | ITAE | 1084.606471 | 1100.910022 | 1098.115762 | 1175.111223 | 1276.189428 |
| RMSE | 0.032142 | 0.032620 | 0.032535 | 0.035734 | 0.037909 | |
| MAE | 0.011454 | 0.011620 | 0.011593 | 0.012477 | 0.013441 |
| Control Objective | Table A4 (Fractional-Order) | Table A5 (Integer-Order) | Insight |
|---|---|---|---|
| FC Tracking (ITAE) | Best: 56.389856 (MFOGSAPSO-L) | Best: 55.864051 (MFOGSAPSO-H) | Slightly better in integer-order. |
| Battery Tracking (ITAE) | Best: 57.487649 (MFOGSAPSO-L) | Best: 57.064064 (MFOGSAPSO-H) | Comparable performance. |
| SC Tracking (ITAE) | Best: 62.836099 (MFOGSAPSO-L) | Best: 61.288168 (MFOGSAPSO-H) | Integer-order slightly better. |
| DC Bus Voltage (ITAE) | Best: 4741.607564 (MFOGSAPSO-L) | Best: 4740.926209 (MFOGSAPSO-H) | Negligible difference. |
| Speed Tracking (ITAE) | Best: 1100.365536 (MFOGSAPSO-L) | Best: 1100.910022 (MFOGSAPSO-H) | Fractional-order slightly better. |
References
- Yao, E.; Liu, T.; Lu, T.; Yang, Y. Optimization of electric vehicle scheduling with multiple vehicle types in public transport. Sustain. Cities Soc. 2020, 52, 101862. [Google Scholar] [CrossRef]
- Hou, F.; Chen, X.; Chen, X.; Yang, F.; Ma, Z.; Zhang, S.; Liu, C.; Zhao, Y.; Guo, F. Comprehensive analysis method of determining global long-term GHG mitigation potential of passenger battery electric vehicles. J. Clean. Prod. 2020, 125137. [Google Scholar] [CrossRef]
- IEA. Tracking Transport 2020. Available online: https://www.iea.org/energy-system/transport/electric-vehicles (accessed on 12 September 2020).
- Xue, M.; Lin, B.-L.; Tsunemi, K. Emission implications of electric vehicles in Japan considering energy structure transition and penetration uncertainty. J. Clean. Prod. 2021, 280, 124402. [Google Scholar] [CrossRef]
- Rezaei, H.; Abdollahi, S.E.; Abdollahi, S.; Filizadeh, S. Energy management strategies of battery-ultracapacitor hybrid storage systems for electric vehicles: Review, challenges, and future trends. J. Energy Storage 2022, 53, 105045. [Google Scholar] [CrossRef]
- Wang, Y.; Wang, L.; Li, M.; Chen, Z. A review of key issues for control and management in battery and ultra-capacitor hybrid energy storage systems. eTransportation 2020, 4, 100064. [Google Scholar] [CrossRef]
- Panaparambil, S.; Kashyap, Y.; Castelino, R.V. A review on hybrid source energy management strategies for electric vehicle. Int. J. Energy Res. 2021, 45, 19819–19850. [Google Scholar] [CrossRef]
- AlKawak, O.A.; Kumar, J.R.R.; Daniel, S.S.; Reddy, C.V.K. Hybrid method based energy management of electric vehicles using battery super capacitor energy storage. J. Energy Storage 2024, 77, 109835. [Google Scholar] [CrossRef]
- Sankarkumar, R.S.; Natarajan, R. Energy management techniques and topologies suitable for hybrid energy storage system powered electric vehicles: An overview. Int. Trans. Electr. Energy Syst. 2021, 31, e12819. [Google Scholar] [CrossRef]
- Liu, Y.; Zhang, Y.; Yu, H.; Nie, Z.; Liu, Y.; Chen, Z. A novel data-driven controller for plug-in hybrid electric vehicles with improved adaptabilities to driving environment. J. Clean. Prod. 2022, 334, 130250. [Google Scholar] [CrossRef]
- Ramos, G.A.; Costa-Castelló, R. Energy management strategies for hybrid energy storage systems based on filter control: Analysis and comparison. Electronics 2022, 11, 1631. [Google Scholar] [CrossRef]
- Marulasiddappa, H.B.; Pushparajesh, V. Review on different control techniques for induction motor drive in electric vehicle. IOP Conf. Ser. Mater. Sci. Eng. 2021, 1055, 012142. [Google Scholar] [CrossRef]
- Bhat, V.S.; Kumar, V.; Dayanand, N.; Shettigar, A.; Nikhitha. Comparative study of PID control algorithms for an electric vehicle. In Proceedings of the AIP Conference Proceedings, Jaipur, India, 5–6 March 2020; American Institute of Physics Inc.: College Park, MD, USA, 2020; Volume 2236, p. 080001. [Google Scholar]
- Munir, M.F.; Ahmad, I.; Siffat, S.A.; Qureshi, M.A.; Armghan, H.; Ali, N. Non-linear control for electric power stage of fuel cell vehicles. ISA Trans. 2020, 102, 117–134. [Google Scholar] [CrossRef]
- Ji, X.; Ding, S.; Cui, B.; Ding, C.; Wei, X. Barrier function-based nonsingular terminal sliding mode control for path tracking of tractor-like with experimental validation. IEEE Trans. Circuits Syst. II Exp. Briefs 2023, 70, 3024–3028. [Google Scholar] [CrossRef]
- Hwang, H.-Y.; Chen, J.-S. Optimized fuel economy control of power-split hybrid electric vehicle with particle swarm optimization. Energies 2020, 13, 2278. [Google Scholar] [CrossRef]
- Lü, X.; Wu, Y.; Lian, J.; Zhang, Y.; Chen, C.; Wang, P.; Meng, L. Energy management of hybrid electric vehicles: A review of energy optimization of fuel cell hybrid power system based on genetic algorithm. Energy Convers. Manag. 2020, 205, 112474. [Google Scholar] [CrossRef]
- Rashedi, E.; Nezamabadi-Pour, H.; Saryazdi, S. GSA: A gravitational search algorithm. Inf. Sci. 2009, 179, 2232–2248. [Google Scholar] [CrossRef]
- Arora, S.; Singh, S. Butterfly algorithm with Levy flights for global optimization. In Proceedings of the 2015 International Conference on Signal Processing, Computing and Control (ISPCC), Solan, India, 24–26 September 2015; pp. 220–224. [Google Scholar]
- Khan, B.S.; Raja, M.A.Z.; Qamar, A.; Chaudhary, N.I. Design of moth flame optimization heuristics for integrated power plant system containing stochastic wind. Appl. Soft Comput. 2021, 104, 107193. [Google Scholar] [CrossRef]
- Mirjalili, S.; Lewis, A. The whale optimization algorithm. Adv. Eng. Softw. 2016, 95, 51–67. [Google Scholar] [CrossRef]
- Mirjalili, S.; Gandomi, A.H.; Mirjalili, S.Z.; Saremi, S.; Faris, H.; Mirjalili, S.M. Salp swarm algorithm: A bio-inspired optimizer for engineering design problems. Adv. Eng. Softw. 2017, 114, 163–191. [Google Scholar] [CrossRef]
- Qais, M.H.; Hasanien, H.M.; Alghuwainem, S. Enhanced whale optimization algorithm for maximum power point tracking of variable-speed wind generators. Appl. Soft Comput. 2020, 86, 105937. [Google Scholar] [CrossRef]
- Wei, Z.; He, Z.; Yang, F.; Sun, B. A method for optimizing terminal sliding mode controller parameters based on a multi-strategy improved crayfish algorithm. Appl. Sci. 2024, 14, 8085. [Google Scholar] [CrossRef]
- Zhou, Z.; Wang, C.; Zhu, Z.; Wang, Y.; Yang, D. Sliding mode control based on a hybrid grey-wolf-optimized extreme learning machine for robot manipulators. Optik 2019, 185, 364–380. [Google Scholar] [CrossRef]
- Roy, R.G.; Ghoshal, D. Grey wolf optimization-based second order sliding mode control for inchworm robot. Robotica 2020, 38, 1539–1557. [Google Scholar] [CrossRef]
- Rahmani, M.; Komijani, H.; Rahman, M.H. New sliding mode control of 2-DOF robot manipulator based on extended grey wolf optimizer. Int. J. Control Autom. Syst. 2020, 18, 1572–1580. [Google Scholar] [CrossRef]
- Ullah, S.; Hayat, R.; Zeb, K.; Rasheed, A.; Muyeen, S.M. Super twisting sliding mode controller for energy storage system of a novel multisource hybrid electric vehicle: Simulation and hardware validation. Int. J. Hydrogen Energy 2024, 71, 952–963. [Google Scholar] [CrossRef]
- Korada, S.R.; Brinda, R.; Soubache, I.D. Energy management strategy for photovoltaic powered hybrid energy storage systems in electric vehicles. Int. J. Electr. Comput. Eng. 2024, 14, 1228. [Google Scholar]
- Zhang, L.; Wang, Y.; Wang, Z. Robust Lateral Motion Control for In-Wheel-Motor-Drive Electric Vehicles with Network Induced Delays. IEEE Trans. Veh. Technol. 2019, 68, 10585–10593. [Google Scholar] [CrossRef]
- Lu, Z.; Shieh, L.S.; Chen, G.; Coleman, N.P. Simplex Sliding Mode Control for Nonlinear Uncertain Systems via Chaos Optimization. Chaos Solitons Fractals 2005, 23, 747–755. [Google Scholar] [CrossRef]
- Thanok, S.; Parnichkun, M. Longitudinal Control of an Intelligent Vehicle Using Particle Swarm Optimization Based Sliding Mode Control. Adv. Robot. 2015, 29, 525–543. [Google Scholar] [CrossRef]
- Serbencu, A.E.; Serbencu, A.; Cernega, D.C.; Minzu, V. Particle Swarm Optimization for the Sliding Mode Controller Parameters. In Proceedings of the 29th Chinese Control Conference (CCC), Beijing, China, 29–31 July 2010; pp. 1859–1864. [Google Scholar]
- Anand, R.; Mary, P.M. Improved Dynamic Response of DC to DC Converter Using Hybrid PSO Tuned Fuzzy SMC. Circuits Syst. 2016, 7, 946–955. [Google Scholar] [CrossRef][Green Version]
- Soriano, L.A.; Rubio, J.J.; Orozco, E.; Cordova, D.A.; Ochoa, G.; Balcazar, R.; Cruz, D.R.; Meda-Campaña, J.A.; Zacarias, A.; Gutierrez, G.J. Optimization of Sliding Mode Control to Save Energy in a SCARA Robot. Mathematics 2021, 9, 3160. [Google Scholar] [CrossRef]
- Zhou, C.; Liu, X.; Chen, W.; Xu, F.; Cao, B. Optimal Sliding Mode Control for an Active Suspension System Based on a Genetic Algorithm. Algorithms 2018, 11, 205. [Google Scholar] [CrossRef]
- Hasan, M.K.; Mahmud, M.; Habib, A.A.; Motakabber, S.; Islam, S. Review of Electric Vehicle Energy Storage and Management System: Standards, Issues, and Challenges. J. Energy Storage 2021, 41, 102940. [Google Scholar] [CrossRef]
- Ali, N.; Liu, Z.; Armghan, H.; Armghan, A. Super-Twisting Sliding Mode Controller for Maximum Power Transfer Efficiency Tracking in Hybrid Energy Storage-Based Wireless In-Wheel Motor. Sustain. Energy Technol. Assess. 2022, 52, 102075. [Google Scholar] [CrossRef]
- Alsharif, A.; Tan, C.W.; Ayop, R.; Dobi, A.; Lau, K.Y. A Comprehensive Review of Energy Management Strategy in Vehicle-to-Grid Technology Integrated with Renewable Energy Sources. Sustain. Energy Technol. Assess. 2021, 47, 101439. [Google Scholar] [CrossRef]
- Gao, D.; Luo, Z.; Liu, C.; Fan, S. A Survey of Hybrid Energy Devices Based on Supercapacitors. Green Energy Environ. 2023, 8, 972–988. [Google Scholar] [CrossRef]
- Herrera, M.; Camacho, O.; Leiva, H.; Smith, C. An Approach of Dynamic Sliding Mode Control for Chemical Processes. J. Process Control 2020, 85, 112–120. [Google Scholar] [CrossRef]
- Ramirez, B. Strategies for Optimizing Energy Use in EVs. J. Power Sources 2020, 16, 68–75. [Google Scholar]
- Brooks, W. Optimizing Electric Vehicle Performance. IEEE Trans. Transp. Electrif. 2021, 6, 160–167. [Google Scholar]
- Mirjalili, S. Moth-Flame Optimization Algorithm: A Novel Nature-Inspired Heuristic Paradigm. Knowl.-Based Syst. 2015, 89, 228–249. [Google Scholar] [CrossRef]
- Kigsirisin, S.; Miyauchi, H. Short-Term Operational Scheduling of Unit Commitment Using Binary Alternative Moth-Flame Optimization. IEEE Access 2021, 9, 12267–12281. [Google Scholar] [CrossRef]
- Khan, B.S.; Qamar, A.; Ullah, F.; Bilal, M. Ingenuity of Shannon Entropy-Based Fractional Order Hybrid Swarming Strategy to Solve Optimal Power Flows. Chaos Solitons Fractals 2023, 170, 113312. [Google Scholar] [CrossRef]
















Disclaimer/Publisher’s Note: The statements, opinions and data contained in all publications are solely those of the individual author(s) and contributor(s) and not of MDPI and/or the editor(s). MDPI and/or the editor(s) disclaim responsibility for any injury to people or property resulting from any ideas, methods, instructions or products referred to in the content. |
© 2025 by the authors. Published by MDPI on behalf of the World Electric Vehicle Association. Licensee MDPI, Basel, Switzerland. This article is an open access article distributed under the terms and conditions of the Creative Commons Attribution (CC BY) license (https://creativecommons.org/licenses/by/4.0/).
Share and Cite
Qayyum, N.; Khan, L.; Wahab, M.; Mumtaz, S.; Ali, N.; Khan, B.S. Fractional-Order Swarming Intelligence Heuristics for Nonlinear Sliding-Mode Control System Design in Fuel Cell Hybrid Electric Vehicles. World Electr. Veh. J. 2025, 16, 351. https://doi.org/10.3390/wevj16070351
Qayyum N, Khan L, Wahab M, Mumtaz S, Ali N, Khan BS. Fractional-Order Swarming Intelligence Heuristics for Nonlinear Sliding-Mode Control System Design in Fuel Cell Hybrid Electric Vehicles. World Electric Vehicle Journal. 2025; 16(7):351. https://doi.org/10.3390/wevj16070351
Chicago/Turabian StyleQayyum, Nabeeha, Laiq Khan, Mudasir Wahab, Sidra Mumtaz, Naghmash Ali, and Babar Sattar Khan. 2025. "Fractional-Order Swarming Intelligence Heuristics for Nonlinear Sliding-Mode Control System Design in Fuel Cell Hybrid Electric Vehicles" World Electric Vehicle Journal 16, no. 7: 351. https://doi.org/10.3390/wevj16070351
APA StyleQayyum, N., Khan, L., Wahab, M., Mumtaz, S., Ali, N., & Khan, B. S. (2025). Fractional-Order Swarming Intelligence Heuristics for Nonlinear Sliding-Mode Control System Design in Fuel Cell Hybrid Electric Vehicles. World Electric Vehicle Journal, 16(7), 351. https://doi.org/10.3390/wevj16070351

