Abstract
Humus forms and organic matter decomposition are influenced by climate, plants and soil decomposers. Yet, whether different humus forms could be experimentally linked to litter decomposition has still to be fully assessed. To assess the link between humus systems and organic matter decomposition, we worked in two regions of the Swiss Alps (Valais and Ticino) along elevational gradients by following a north/south exposure design. We quantified humus forms macrorests proportion types by the Ponge small-volume method and measured the decomposition of green tea and rooibos tea within the Parasystems and Terrosystems. We found that Parasystems and Terrosystems differed in tea decomposition rates, with a slower decomposition in Parasystems than in Terrosystems. We also observed that elevation, and hence, vegetation type (i.e., forest in the subalpine versus grassland in the alpine), drove humus form distribution, with Parasystems found in the alpine and subalpine in Ticino, while in Valais Parasystems were only found in the alpine and Terrosystems in the subalpine levels. Further analyses are however needed to identify other variables that best correlate with variation in decomposition processes within humus systems, such as soil decomposer community composition.
1. Introduction
Nearly all primary biogeochemical cycles in terrestrial ecosystems predominantly happen within soils, particularly in the uppermost layers known as topsoil. Organic matter decomposition and integration processes primarily occur in these first soil layers [1]. Topsoil layers, including the OL, OF, OH, and A horizons, form the humipedon that exhibits a high degree of organic matter accumulation and decomposition, thus constituting an interaction system and a functional transition between biotic (plant, animal, and microbe residues) and abiotic (rock weathering) components [2]. The amount and quality of the organic matter accumulation in the humipedon are dictated by the surrounding vegetation, while the decomposition of such organic matter is under the influence of soil micro-, meso- and macrofauna [3,4,5], as well as climatic conditions [6,7], resulting in the formation of a distinct sequence of layers called the humus form [5]. Humus forms are thus excellent indicators of biologically mediated organic matter decomposition and integration [8], because they reflect both the dynamic processes of heterotrophic decomposition driven by soil microbial and faunal activities and the stabilization of soil organic matter [8,9].
Several authors proposed simple keys to directly identify and classify humus forms in the field using morphological, biological, and physicochemical features. For this purpose, forest ecosystems, being investigated as early as the nineteenth century, have always served as primary examples for studying humus forms [10,11,12,13,14,15]. For further details, see the review of Chertov et al. [16]. Following the most recent classification, terrestrial humipedons in natural environments are principally divided into Terrosystems and Parasystems, the first being more developed in terms of organic matter decomposition, while the second is characterized by the dominance of wood and root material or the presence of mosses or lichens [17,18]. Terrosystems are further classified into five humus systems (Mull, Moder, Mor, Amphi, and Tangel), which can be themselves declined into lower hierarchical levels called the humus forms [5]. The Parasystems follow the same trend as terrestrial systems (Ligno, Rhizo, Crusto, and Bryoforms) [18]. Variations in the O and A horizons’ thickness and the size of the soil aggregates (miA, meA, and maA) [18,19] are linked to organic matter decay and mixing with the mineral matrix [20,21,22]. Consequently, the Mull system is more efficient in organic matter recycling than Moder, Mor, and Tangel systems [23,24], and Ponge et al. [25] considered it an attractor for terrestrial humus forms in forest environments. The Amphi system is a twin humus form showing both characteristics of Mull (meA and maA horizons) and Moder (presence of OH layer) due to a seasonal alternation between high and low biological activity in Alpine and Mediterranean environments [5]. Except for Amphi, the accumulation in O horizons indicates a dysfunction in the process of organic matter decomposition and incorporation, which may result in a decrease in the carbon stabilization in the soil over a long time [25,26,27]. Moreover, the soil organic carbon persistence can be explained by the functional complexity involving the molecular diversity of the organic matter, the spatial heterogeneity and temporal variability of the soil system, and the biological components [28,29].
At the regional scale, climatic factors and parental material influence humus forms’ spatial location and distribution [6,30,31]. At the local scale, the quantity and quality of litter, the biological activities, the microtopography, the micro- and mesoclimatic conditions, and the physicochemical properties of the A horizon drive all the structuring of humus forms [21], such as along elevation gradients, especially in forest ecosystems [5,18,32]. In Iran, for instance, the Mull system dominates at low elevations, and the Amphi and the Parasystems (Rhizomulls) dominate at subalpine and alpine levels, respectively [27]. These differences, including changes in the thickness and quality of the humus layers, were attributed to variations in climatic conditions along elevation, tree species composition, and the inherent quality and quantity of litter that arrives in the soil. The same trend has been observed in a forest–alpine tundra ecotone of the Swiss Alps: plant cover and soil organic layers are closely interrelated, and the OF layer increases in thickness depending on the exposure and the microtopography [33]. Focusing on soil organisms, Ascher et al. [34] showed along an altitudinal gradient that the species richness of microannelids was higher under warmer conditions and that they were located exclusively in organic layers under colder conditions.
All the previous studies highlight the link between humus forms, pedogenesis factors, pedoclimatic conditions, biological activities, and vegetation cover. However, the organic matter dynamics, i.e., its decomposition and integration in the topsoil relative to the humus system and forms, require further research. In this context, our study aimed at integrating humus systems at several scales of investigation directly in the field, from a refined descriptive approach (survey, soil types, and humus forms) to a functional one focused on organic matter dynamics (teabag experiment, microscopic observation of humus layers). With this holistic perspective, we aimed to compare different humus forms across a range of habitats, spread along elevation gradients, and asked whether litter decomposition could be associated with varying types of humus forms, as predicted by theory [35,36]. We hypothesized that the different proportions of macrorests would generate clusters of similar humus forms [5,37]. Second, we hypothesized that while mesoclimatic conditions would largely explain litter degradation, the rate of litter degradation would also be explained by the type of humus, independently of the geographic location.
2. Material and Methods
2.1. Study Sites
To study the relationship between standardized organic matter decomposition and different types of humus forms, we performed field surveys, in 2020–2021, in two valleys of the Swiss Alps, one in the Southern Swiss Alps, in the canton Ticino (46°27′05.052″ N, 8°49′37.209″ E) and one in the Occidental Swiss Prealps, in the canton Valais (46°11′46.305″ N, 7°00′19.319″ E) (see Figure 1 and Table S1). The climate in Ticino is sub-Mediterranean, while in Valais it is tendentially more subcontinental. In each region, we studied sites placed at two elevations, the subalpine (~1500 m a.s.l.) and alpine (~2100 m a.s.l.) levels, and along two opposing facing slopes (north and south), for a total of 2 regions × 2 elevations × 2 slopes × 3 replicate plots = 24 sites. Moreover, we randomly chose three replicate plots separated by at least 100 m. Plot size varied according to the vegetation type [38]: in the conifer forests of the subalpine zone, the plots’ area was 400 m2 (20 m × 20 m), whereas in the grasslands of the alpine zone, they were 25 m2 (5 m × 5 m). For plant taxonomy we used the Flore de la Suisse [39] and the Flora Helvetica [40]. In sum, we described humus forms in 24 sites.
Figure 1.
Study sites. Map of Switzerland showing the study’s location; transect in the Northern Alps (Lavey-les-Bains, VD), Southern Alps (Faido, TI). The elevation transects were divided into two elevation zones: a subalpine zone (1500 m a.s.l., red circles) and an alpine zone (2100 m a.s.l., blue circles). In both regions, we established a north- and a south-facing altitudinal transect, and at each elevation, we defined three replicate plots (N = 2 regions × 2 expositions × 2 elevation zones × 3 replicates = 24 sites); for sites coordinates, see Table S1.
2.2. Humus Forms and Soils
In each plot, we randomly chose a 1 × 1 m2 zone (ca. in the middle of the plot) to perform a soil profile description following the Référentiel pédologique [14] classification system and the World Reference Base for Soil Resources [41] (Appendix B). The choice of the two classifications allows the most accurate description possible regarding pedogenetic processes. We next classified the humus forms following the classification of Zanella, Ponge, Jabiol, et al. [42]. In addition, a block of 5 × 5 × 15 cm3 was collected in the same spot using the Ponge small-volume method [37]. The material of each topsoil horizon from each block was next stored in 95% ethanol to preserve the structure of organic matter and aggregates. In the laboratory, each layer was spread gently in a Petri dish and then covered with ethanol, taking care not to break the aggregates. The different morphological features of the O and the A layers (macrorests) were identified (see Appendix A) under a binocular lens at 40× magnification and quantified by a point-count method [43]. Then, the relative percentage of each macrorest was calculated [37,44,45]. In the A layer, in addition to horizon depth, we visually assessed the structure, texture, pH Hellige, carbonates occurrence (HCl test), coarse elements, Munsell colors, roots abundance, and soil organisms’ presence and characterized soil pH, soil organic matter content [46,47], cationic exchange capacity [48] in the lab. The presence of organisms (meso- and macrofauna) was recorded by hand when the soil pits were opened; further details are given in Appendix B.
2.3. Teabag Experiment
Following the recommendation of [49], 10 green tea and 10 rooibos tea bags were buried pairwise at a depth of 5 cm in the A layers (Figure S1), in autumn just before the first snowfall in each plot. The burial locations were chosen to represent the general vegetation of the plot [38]. The next spring, after 8 to 9 months, the tea bags were carefully excavated, wiping off adherent soil particles, and dried at 40 °C for at least 48 h. The decomposition rate (k—percent of weight loss per day) for both tea types was next assessed using initial weight (wi), final weight (wf), and burial time as follows: [k = ((wi − wf)/(wf × 100))/burial time].
2.4. Statistical Analysis
We performed all statistical analyses with R software, version 3.5.1 [50].
Bernier and Ponge small-volume method—To visualize the macrorest proportion types and humus forms studied, we computed a descriptive visualization of the different macrorest proportions using the geom_area function of the package ggplot2 [51].
Humus systems and forms—To visualize and analyze humus systems across all plots, we used the algorithms for quantitative pedology (aqp) package [52]. To visualize humus systems’ similarities based on the determined macrorest proportions, we computed a summed, depth-segment-aligned dissimilarity matrix (profile_compare function in the package aqp) at a maximum depth of 40 cm. Based on this dissimilarity matrix, we next computed a divisive hierarchical clustering (diana in the package cluster [53]) and visualized it using the hclust function. To facilitate the analysis, we grouped the different types of macrorests together to obtain 11 groups representing the different types of macro tests observed (see Table 1). Finally, we visualized differences in humus systems and correlations between macrorests using a principal component analysis (PCA), calculated using the ade4 package [54] in R [50].
Table 1.
Macrorests groups. Grouping of different types of macro tests for data analysis. For more details on the different macro test groups, see Appendix A.
Tea litter decomposition (mean k value change) in humus systems and forms—To analyze the relationship between humus forms and tea litter degradation, we organized the humus macroaggregates across the different sites using nonmetric multidimensional scaling (NMDS), onto which we fitted a smooth surface of the k values for both tea types separately (package vegan, [55]). Next, since we highlighted two major humus types across all sites (Parasystem and Terrosystem), we were able to assess the interactive effect of soil type and humus types on k values using a two-way ANOVA.
3. Results
3.1. Soils
In Ticino, soils at the alpine level were classified according to the Référentiel Pédologique and the World Reference Base for Soil Resources, respectively, as Organosols Insaturés; Umbrisols (TNH1, TNH2, and TNH3) and Colluviosols; Colluvic Regosols (TSH1, TSH2, and TSH3) for north-exposed and south-exposed sites, respectively. At the subalpine level, soils were classified as Organosols Holorganiques; Histosols (TNM1 and TNM2) and a Régosol; Leptosol (TNM3) for north-exposed sites, and Organosols Insaturés; Umbrisols (TSM1 and TSM3) and one Régosol; Leptosol (TSM2) for south-exposed sites. In Valais, soils were Brunisols Dystriques (VSM1, VNM1, VNM2, VNM3, VNH3, VSH1, VSH2, and VSH3) and Alocrisols (VNH1 and VNH2). Cambisols dominate at the alpine and subalpine levels for both expositions, except for two Peyrosols: Leptosols (VSM2 and VSM3) (Appendix B). Overall, all our soils were observed on crystalline substrates except for two soils (VSM2 and VSM3) that were found to be on a calcareous substrate (Appendix B).
3.2. Terrosystems and Parasystems Distribution
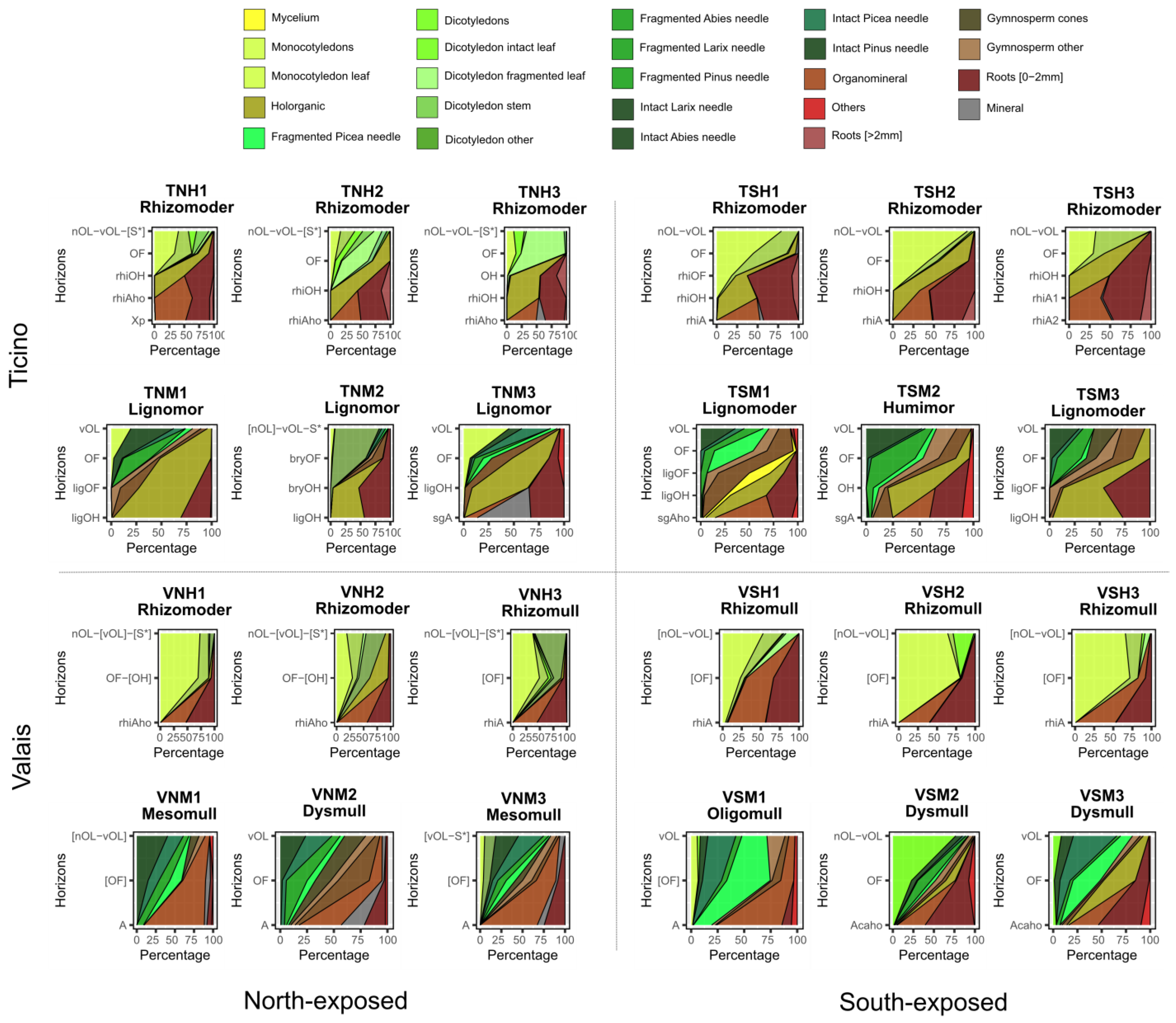
Combining field description and macrorests analysis, we found two Terrosystems (Mulls and one Mor) and two types of Parasystem (Rhizoforms and Lignoforms) (Figure 2). The Mulls were only found in the Valais region, while Mors and Lignoforms restrict themselves to Ticino, except for VSM3. The Rhizoforms were always found at the alpine level. The pairwise dissimilarity tree groups the humus systems relative to the organic matter dynamics revealed by the horizons sequences: Rhizoforms on the left, Lignoforms with one Mor on the right, and Mulls are spread more or less everywhere (Figure 3). All Mulls were less than 15 cm in depth except for VSM2, VNM2, and VSM3, and the thickest humus forms (>22 cm) were two Rhizoforms (TSH1, TSH3), two Lignoforms (TNM1, TSM1) and one Mull (VSM3). The Lignoforms are strongly linked to the organic layers’ thickness and, not surprisingly, to the proportion of wood decay debris and the presence of mycelium (Figure 4). The high ratios of cones and needles favor the Mors. The well-structured A layer (meA and maA) drives the identification of Mulls, while the roots, as expected, explain the Rhizoforms (Figure 4). Moreover, our results suggest that the humus forms’ distribution (Figure 3) varies across elevation (Figure S2) and exposition (Figure S3).
Figure 2.
Illustration of all different humus forms “macrorests” types of proportions for each region and each replicate plot using the small-volume method (Ponge 1984). The Ticino region (T): alpine north-exposed (TNH 1 to 3) and south-exposed (TSH 1 to 3) sites, subalpine north-exposed (TNM 1 to 3) and south-exposed (TSM 1 to 3). The Valais region (V): alpine north-exposed (VNH 1 to 3) and south-exposed (VSH 1 to 3), subalpine north-exposed (VNM 1 to 3) and south-exposed sites (VSM 1 to 3). Groups are based on the 11 macrorest types of the Ponge small-volume method, including Monocotyledon leaves and stem (Monocot), Dicotyledon fragmented leaf, intact leaf, skeletonized leaf, dicotyledon stem (Dicot), fragmented and intact Abies sp., Larix sp., Picea sp., Pinus sp. needle, gymnosperm cones and twig (Needle and Cones), Roots from 0 to 2 mm and >2 mm (Roots), Wood (Wood), Bryophytes, holorganic, mineral, mycelium, organomineral layers, and other (fauna, feces, and undetermined holorganic matter). Colors indicate the different groups of macrorests.
Figure 3.
Divisive hierarchical clustering of 24 humus forms based on the 11 macrorest groups of the Ponge small-volume method, including Monocotyledon leaves and stem (Monocot), Dicotyledon fragmented leaf, intact leaf, skeletonized leaf, dicotyledon stem (Dicot), fragmented and intact Abies sp., Larix sp., Picea sp., Pinus sp. needle, gymnosperm cones and twig (Needle and Cones), Roots from 0 to 2 mm and >2 mm (Roots), Wood (Wood), Bryophytes, holorganic, mineral, mycelium, organomineral layers, and other. Colored circles indicate the humus systems: mulls (purple squares), mors (orange diamonds), lignoforms (green triangles), and rhizoforms (pink circles).
Figure 4.
Humus system and Ponge macrorest analysis. Principal Components Analysis Biplot (PCA-Biplot) illustrates described humus systems as a function of Ponge macrorests’ proportions variables (weighted means). All humus systems are grouped along a recalcitrance gradient from woody and fungal macrorests and mineral components to more organic components. The PCA shows the aggregation and distribution of humus systems along the macrorests’ proportion gradient. Colors indicate the different humus systems: lignoforms (green triangles), mors (orange diamonds), mulls (purple squares), and rhizoforms (pink circles).
3.3. Humus Forms and Their Morphological Features across Regions
In Ticino, we observed 11 Parasystems, including Rhizomoders (n = 6), Lignomoders (n = 2), Lignomors (n = 3), and 1 Terrosystem with a Humimor. At the alpine level, across both slopes, the dominant humus forms were Rhizomoders (TNH1, TNH2, TNH3, and TSH1, TSH2, and TSH3), coupled with a higher proportion of monocotyledons, holorganic matter, and roots for south-facing sites (Figure 2, Appendix B). Rhizoform horizons identified were nOL, vOL, OF, rhiOF, rhiOH, and the rhiA comprised mesoaggregates (meA). Generally, the O horizons were thicker in the south (5 to 8 cm) than the north exposure (4 to 5 cm). At the subalpine level, Parasystems dominate with 3 Lignomors (TNM1, TNM2, and TNM3), 2 Lignomoders (TSM1 and TSM3), and one Terrosystem (TSM2), a Humimor. All humus forms at the subalpine level contain high proportions of needles, gymnosperms, fine holorganic matter, wood, and root debris (Figure 2, Appendix B). The horizons identified were vOL, OF, OH, ligOF, and ligOH, and the A horizon was always single grain (sgA). As observed at the alpine level, the O horizons are generally thicker in the south exposure (4 to 21 cm) than in the north (3 to 24 cm).
In Valais, biological activity and the type of organic matter (no wood debris) lead to more efficient humus forms in terms of organic matter integration and decomposition. Whether north- or south-facing, the humus forms include 6 Parasystems with Rhizomulls (n = 4) and Rhizomoders (n = 2) at the alpine level. Only Terrosystems, with 6 Mulls, were described at the subalpine level with Dysmulls (n = 3), one Oligomull (n = 1), and Mesomulls (n = 2), highlighting an increase in organic matter dynamics. Thus, at the alpine level, the predominant system are the Parasystems with Rhizomulls (VNH3, VSH1, WSH2, and WSH3) and Rhizomoders only in the north-exposed sites (VNH1 and VNH2). All Rhizoforms have a higher proportion of Monocotyledons debris, but south-exposed sites show a higher proportion of organomineral material (i.e., soil aggregates) and roots (Figure 2, Appendix B). The horizons identified were nOL, vOL, and OF, and the A horizon comprised mesoaggregates. In addition, the thickness of O horizons was similar in the south exposure and the north (0.5 to 1.5 cm), which reveals that the organic matter integrates better in Valais than in Ticino. At the subalpine level, only Terrosystems with Mulls were recovered in the forests with an Oligomull (VSM1), two Mesomulls (VNM1 and VNM3), and three Dysmulls (VNM2, VSM2, and VSM3). They all have large proportions of needles and roots (Figure 2, Appendix B). The horizons identified were vOL, OF, and the A horizon was well structured and comprised macroaggregates (maA). The O horizons are generally thicker in the south exposure (1 to 3 cm) than in the north (1 to 2 cm), but the difference is tiny.
3.4. Tea Litter Decomposition
Using NMDS and smooth fitting, we observed that k values decreased when moving from the subalpine to the alpine zone, independently of region and exposition (Figure 5A,B). Moreover, we found a significant effect of the tea type (Figure 6, tea type effect; F1,44 = 753.068, p < 0.001), in which green teas degraded on average 18 times faster than rooibos tea, and that the decomposition rate was 7% higher in Terrosystems than in Parasystems (Figure 6, humus type effect; F1,44 = 6.136, p = 0.017), independently of the tea type (interaction effect; F1,44 = 0.108, p = 0.744).

Figure 5.
Nonmetric multidimensional scaling (NMDS) of teabag decomposition. NMDS ordination with fitted environmental vectors and regression surfaces. The surfaces show smooth trends of the relationship between the (A) rooibos decomposition mean k value and (B) green tea decomposition mean k value for each site. The mean k values represent the mean percent of daily tea weight loss.
Figure 6.
Tea litter degradation according to humus forms. Boxplots represent mean degradation rates (k values) for the two tea types: rooibos (orange) and green tea (green), according to Parasystems and Terrosystems. Letters and stars (***) indicate a significant difference between boxplots (Tukey’s HSD; p < 0.05). Boxplots represent, from bottom to top, minimum, first quartile, median, third quartile and maximum, and black dots represent the outliers.
4. Discussion
Based on an ecosystem approach, we studied the diversity of humus systems in alpine meadows and subalpine forests at several scales by integrating descriptive (vegetation survey, soil types, humus forms) and functional approaches (teabag experiment, macrorests). Except for Rhizoforms, the humus forms reflect the soil evolution processes relative to the geology, the pH, and the soil biota activity. In addition, we found that elevation determines the humus system, while exposure influences the diversity of humus forms, likely mediated by different vegetation types. Moreover, teas degraded faster at the subalpine level but generally quicker in the Terrosystems than in the Parasystems.
4.1. Humus Forms and Soil Pedogenetic Processes
Soils and humus forms result from the parent material transformation occurring in a circumscribed time under the climate and the biota action [56]. It is well known that the humus O and A layers form under the control of soil organisms (bacteria, fungi, pedofauna). At the same time, the deeper horizons are mainly related to physicochemical processes [57,58]. In our study, we observed a relationship between the pedogenetic domain and humus forms, as previously highlighted by Chersich [56].
In Valais, the Mull systems correspond to Brunisols (Cambisols) or Peyrosols (Leptosols) at the subalpine level, and earthworm activities were observed everywhere. The brunification process in Brunisols is indeed often associated with an A layer (biostructured and mediated by earthworms, with clay–iron–humic complexes) and an S layer (subangular aggregates due to nonbiological clay–iron complexes) [14,57,58]. The higher soil pH in the two Peyrosols (Calcaric Leptosols) compared to the other soils on an acidic substrate (schists, loess, sandstone) also improves earthworm activity and, consequently, the formation of soil aggregates and the A horizon thickness (11 and 26 cm for VSM2 and VSM3, respectively). Moreover, the occurrence of high biological activities in soil pockets in the stony horizons (Xpcaho) leading to meso- and macroaggregate formation is often observed in Peyrosols, especially on calcareous substrates (clay–calcium–humic complexes [59]). In Ticino, the bedrock was composed exclusively of gneiss leading to low soil pH (<5; see Appendix B). Such acidic conditions, enhanced by the massive amount of woody litter, are unsuitable for endogeic and anecic earthworms [60]. Organosols (Umbrisols and Histosols) and Lignoforms result from this organic matter accumulation that limits the pedogenesis evolution with only O and A layers [14]. Focusing on the Rhizoforms at the alpine level, they were found independently of the location (Valais and Ticino) on Brunisols and Alocrisols (Cambisols), Colluviosols (Regosols), Organosols (Umbrisols) and Régosol (Leptosol). Earthworms were present only in Valais, confirming their dependence on geology and pH. We assume that the Rhizoforms seem more related to the vegetation cover than the pedogenetic processes. The proportion of Monocotyledons at the alpine level seems to be negatively correlated with biological activity, while the litter from Larix sp. and Abies sp. seems to be beneficial to earthworms’ presence and their bioturbation activity (more organomineral components) at the subalpine level.
4.2. Alpine Meadows: Humus Homogeneity and Organic Matter Accumulation
We observed Parasystems at the alpine level in both regions. In the alpine meadows of Ticino, the decomposers’ activity seems microfauna-oriented in Rhizomoders, with arthropods such as mites and springtails observed in the field. Earthworms were absent in both Carici curvulae–Nardetum and Rhododendro ferruginei–Vaccinetum associations for all north-exposed sites (TNH1, TNH2, and TNH3; for more details, see Table S2, Appendix C). The same trend was observed for south-exposed sites under the Hypochoerido–Nardetum association (TSH1, TSH2, and TSH3), probably due to the high root density and the soil’s thickness. Indeed, the soil instability (Colluviosol; Leptosol), coarse elements (pebbles, sand), and low temperatures of more than a half-year probably favor roots instead of earthworms. In contrast, in Valais, the biota activity was mainly macro- and mesofauna-oriented in Rhizomulls and Rhizomoders, with arthropods and earthworms observed under the Geo montani–Nardetum association for all north-exposed sites (VNH1, VNH2, and VNH3; for more details, see Table S2, Appendix C). On the other hand, on south-exposed sites under Hypochoerido–Nardetum vegetation, only a few arthropods were observed, while earthworms were very abundant (VSH2 and VSH3); for more details, see Table S2, Appendix C. Plant litter is often considered to decompose better in its original environment due to the adaptation of decomposer communities to the phytochemical composition [61,62], but other studies suggest a different outcome as there is a multitude of interactions between plants, decomposers, and climate [63]. Furthermore, Lin et al. [64] found that both aboveground tree species richness and leaves litter composition play a role in litter decomposition regulation [64]. Rosenfield et al. [65] observed that green leaf traits—and not leaves litter traits—accurately predicted litter decomposition [65].
Exposure also impacts biological activity and organic matter mineralization, with thicker rhiOF and rhiOH horizons in the north-exposed sites. Such an accumulation of organic matter directly affects edaphic factors such as soil pH by releasing organic acids and decreasing soil pH with increasing elevation [66]. Zhu et al. [67] showed that the litter decomposition rate positively correlates with mean soil temperature during the plant growing season and the number of freeze–thaw cycles during the winter. In addition, Ascher et al. [34] showed that thermal differences might affect soil biological properties and that microbial biomass was higher at higher elevations. Indeed, soil moisture influences microbial community activities and soil organic matter dynamics [68]. Also, Matteodo et al. [69] showed that organic matter dynamics diverge with depth, with each soil layer having a different organic matter thermal stability, but also that in litter horizons, organic matter quality (lability) was the most important [69]. The Rhizoforms observed at high altitudes in our study have thick rhi layers that might better retain water and favor enzyme activities [70]. The high root density provides also food and habitat for earthworms, as they were present in almost all Rhizoforms in the Valais region.
The teabag experiment helped us compare a standardized litter decomposition rate along elevation gradients [49]. Previous studies confirmed the suitability of this approach in terms of the representativeness of experimental comparisons of local litter with teabag decomposition dynamics [71,72]. As previously demonstrated by Didion et al. [71], we confirmed the slowest decomposition rate at the alpine level and also that rooibos tea degraded slower than green tea [38]. In alpine environments, microtopography can play a decisive role in the spatial distribution of different humus systems and forms [73,74]. Indeed, in our study, we also observe microtopography and plant communities being decisive factors driving humus forms’ distribution in the alpine environment, which was also highlighted by the study of Hellwig et al. [73].
4.3. Subalpine Forests: The Organic Matter Dynamics Vary According to the Vegetation
Overall, the forest ecosystems at the subalpine levels showed a different trend than the alpine meadows. In Ticino, the large amounts of wood debris on the soil surface favor the presence of fungi in the Lignoforms and the Humimor. The soil humidity of the north-exposed sites (TNM1, TNM2, and TNM3) and the forest associations of Larici–Piceetum and Homogyno–Piceetum allow not only the presence of fungi but also lots of mesofauna. On the south-exposed sites (TSM1, TSM2, and TSM3, for more details, see Table S2, Appendix C) under Calluno–Pinetum forest, the mycelium was still abundant, like mesofauna, but without earthworms (for more details, see Table S2, Appendix B and Appendix C). The wood decay fungi are some of the most important decomposers in the forest ecosystem [75,76]. Fukasawa et al. [77] studied fungal community assemblies and substrate quality in different stages of wood decay [77]. They showed that changes in fungal communities and wood quality during wood decomposition affect the fungal diversity–decomposition relationship. These results align with Hellwig and Gómez-Brandón et al. [21] that highlight humus forms having a high potential to indicate soil microbiological properties in a high mountain forest.
In Valais, earthworms act as the primary ecosystem engineers at the subalpine level. The forest canopy and the quality of the litter mediate the distribution of humus forms and systems, in particular by providing favorable conditions for decomposers such as earthworms and arthropods [78,79,80]. The palatability of the litter from Abieti–Fagetum favors the presence of earthworms and mesofauna in the south-exposed sites (VSM1 to 3, for more details, see Table S2, Appendix C). In the north-facing areas (VNM1 to 3), Adenostylo–Abietum creates a cool and fresh local climate ideal for earthworm activities (for more details, see Table S2, Appendix B and Appendix C). Of all the humus forms we described, the Mulls we observed in the Valais region highlight the better organic matter decomposition and integration in soil macro aggregates. Building soil macroaggregates influences humus forms’ functioning (Terrosystems with Oligo-Meso- and Dysmulls) [81]. The teabag experiment confirms the decomposition processes compared to the alpine meadows. However, further investigation is needed on how different soil communities affect organic matter decomposition in Parasystems and Terrosystems.
5. Conclusions
At the interface of vegetation and bedrock, the humipedon mirrors the overarching processes of soil evolution, with variation based on elevation and exposure. Our study confirms that the humipedon is also a good proxy for several ecosystem functions, such as organic matter decomposition and integration in the soil. Variation in organic matter decomposition (teabag experiment) can be explained by different biotic and abiotic factors, such as the soil decomposers’ community, but also the impact of their selective feeding behavior on either rooibos or green tea. It would suggest specialization of organisms for the primary degradation of recalcitrant or labile organic matter, respectively [82], but also soil temperature and edaphic properties. Moreover, variation in tree species composition due to climate change may drastically affect belowground communities and humus forms. Accordingly, future research is needed to investigate the humipedon impact on organic matter decomposition dynamics in the context of climate change.
Supplementary Materials
The following supporting information can be downloaded at: https://www.mdpi.com/article/10.3390/ijpb14030054/s1, Table S1: Sites coordinates; Table S2: Table summarizing soil types, associations and alliances, as well as plant species observed, by site; Figure S1: Concept; Figure S2: Humus forms and elevation; Figure S3: Humus forms and exposition.
Author Contributions
S.S.: conceptualization, methodology. S.S., S.R. and R.-C.L.B.: software, data curation, formal analysis. S.S., M.F. and P.K.: investigation. S.S., R.-C.L.B. and S.R.: writings—original draft preparation. S.S., R.-C.L.B. and S.R.: supervision. S.S.: project administration. S.R. and R.-C.L.B.: funding acquisition. S.S., R.-C.L.B. and S.R.: writing—review and Editing. All authors have read and agreed to the published version of the manuscript.
Funding
This work was financed by Swiss National Science Foundation grants (310030_204811 and 31003A_179481) to S.R., and the APC was funded by the University of Neuchâtel.
Institutional Review Board Statement
Not applicable.
Informed Consent Statement
Not applicable.
Data Availability Statement
The datasets generated during and/or analyzed during the current study are available in the Dryad Digital Repository: https://datadryad.org/stash/share/2GKtlk4f5WPTN4daanQwc358JKWRx9nmbXP8o55IoFE, accessed on 14 June 2023.
Acknowledgments
Amandine Pillonel for her help with soil analysis.
Conflicts of Interest
The authors declare no conflict of interest.
Abbreviations
| TNH1 to 3 | Ticino North High elevation Plot No. 1 to 3 |
| TSH1 to 3 | Ticino South High elevation Plot No. 1 to 3 |
| TNM1 to 3 | Ticino North Mid elevation Plot No. 1 to 3 |
| TSM1 to 3 | Ticino South Mid elevation Plot No. 1 to 3 |
| VNH1 to 3 | Valais North High elevation Plot No. 1 to 3 |
| VSH1 to 3 | Valais South High elevation Plot No. 1 to 3 |
| VNM1 to 3 | Valais North Mid elevation Plot No. 1 to 3 |
| VSM1 to 3 | Valais South Mid elevation Plot No. 1 to 3 |
Appendix A
Ponge small-volume method detailed analysis can be downloaded at: https://datadryad.org/stash/share/2GKtlk4f5WPTN4daanQwc358JKWRx9nmbXP8o55IoFE, accessed on 14 June 2023.
Appendix B
Soil profile and humus form detailed description sheet and lab analysis can be downloaded at: https://datadryad.org/stash/share/2GKtlk4f5WPTN4daanQwc358JKWRx9nmbXP8o55IoFE, accessed on 14 June 2023.
Appendix C
Vegetation survey following Braun–Blanquet can be downloaded at: https://datadryad.org/stash/share/2GKtlk4f5WPTN4daanQwc358JKWRx9nmbXP8o55IoFE, accessed on 14 June 2023.
References
- Lehmann, J.; Bossio, D.A.; Kögel-Knabner, I.; Rillig, M.C. The concept and future prospects of soil health. Nat. Rev. Earth Environ. 2020, 1, 544–553. [Google Scholar] [CrossRef]
- Zanella, A.; Berg, B.; Ponge, J.-F.; Kemmers, R.H. Humusica 1, article 2: Essential bases—Functional considerations. Appl. Soil Ecol. 2018, 122, 22–41. [Google Scholar] [CrossRef]
- Blouin, M. Chemical communication: An evidence for co-evolution between plants and soil organisms. Appl. Soil Ecol. 2018, 123, 409–415. [Google Scholar] [CrossRef]
- Veen, G.F.; Fry, E.L.; Ten Hooven, F.C.; Kardol, P.; Morriën, E.; De Long, J.R. The role of plant litter in driving plant-soil feedbacks. Front. Environ. Sci. 2019, 7, 168. [Google Scholar] [CrossRef]
- Zanella, A.; Ponge, J.-F.; Gobat, J.-M.; Juilleret, J.; Blouin, M.; Aubert, M.; Chertov, O.; Rubio, J.L. Humusica 1, article 1: Essential bases–Vocabulary. Appl. Soil Ecol. 2018, 122, 10–21. [Google Scholar] [CrossRef]
- Ponge, J.-F.; Jabiol, B.; Gégout, J.-C. Geology and climate conditions affect more humus forms than forest canopies at large scale in temperate forests. Geoderma 2011, 162, 187–195. [Google Scholar] [CrossRef]
- Bonifacio, E.; Falsone, G.; Petrillo, M. Humus forms, organic matter stocks and carbon fractions in forest soils of northwestern Italy. Biol. Fertil. Soils 2011, 47, 555–566. [Google Scholar] [CrossRef]
- Ponge, J.-F. Humus forms in terrestrial ecosystems: A framework to biodiversity. Soil Biol. Biochem. 2003, 35, 935–945. [Google Scholar] [CrossRef]
- Marklein, A.R.; Winbourne, J.B.; Enders, S.K.; Gonzalez, D.J.X.; van Huysen, T.L.; Izquierdo, J.E.; Light, D.R.; Liptzin, D.; Miller, K.E.; Morford, S.L.; et al. Mineralization ratios of nitrogen and phosphorus from decomposing litter in temperate versus tropical forests. Glob. Ecol. Biogeogr. 2016, 25, 335–346. [Google Scholar] [CrossRef]
- Muller, P.E. Studier over Skovjord, som bidrag til skovdyrkningens theori. I. Om bogemuld og bogrmor paa sand og ler. Tidsskr Skovbr 1879, 3, 1–124. [Google Scholar]
- Muller, P.E. Studier over Skoyjord. II Om Muld og Mor i Egeskove og paa Heder. Tidsskr Skovbr 1884, 7, 1–232. [Google Scholar]
- Green, R.N.; Trowbridge, R.L.; Klinka, K. Towards a taxonomic classification of humus forms. For. Sci. 1993, 39, a0001–z0002. [Google Scholar] [CrossRef]
- Brêthes, A.; Brun, J.-J.; Jabiol, B.; Ponge, J.; Toutain, F. Classification of Forest Humus Forms: A French Proposal; EDP Sciences: Les Ulis, France, 1995; pp. 535–546. [Google Scholar]
- Baize, D.; Girard, M.-C. Référentiel Pédologique 2008; Editions Quae: Versailles, France, 2009. [Google Scholar]
- Jabiol, B.; Zanella, A.; Ponge, J.-F.; Sartori, G.; Englisch, M.; van Delft, B.; de Waal, R.; Le Bayon, R.-C. A proposal for including humus forms in the World Reference Base for Soil Resources (WRB-FAO). Geoderma 2013, 192, 286–294. [Google Scholar] [CrossRef]
- Chertov, O.G.; Nadporozhskaya, M.A. Humus Forms in Forest Soils: Concepts and Classifications. Eurasian Soil Sci. 2018, 51, 1142–1153. [Google Scholar] [CrossRef]
- Tatti, D.; Fatton, V.; Sartori, L.; Gobat, J.-M.; Le Bayon, R.-C. What does ‘lignoform’ really mean? Appl. Soil Ecol. 2018, 123, 632–645. [Google Scholar] [CrossRef]
- Zanella, A.; Ponge, J.-F.; Fritz, I.; Pietrasiak, N.; Matteodo, M.; Nadporozhskaya, M.; Juilleret, J.; Tatti, D.; Le Bayon, R.-C.; Rothschild, L.; et al. Humusica 2, article 13: Para humus systems and forms. Appl. Soil Ecol. 2018, 122, 181–199. [Google Scholar] [CrossRef]
- Zanella, A.; Ponge, J.-F.; Briones, M.J.I. Humusica 1, article 8: Terrestrial humus systems and forms—Biological activity and soil aggregates, space-time dynamics. Appl. Soil Ecol. 2018, 122, 103–137. [Google Scholar] [CrossRef]
- Golchin, A.; Baldock, J.A.; Oades, J.M. A model linking organic matter decomposition, chemistry, and aggregate dynamics. In Soil Processes and the Carbon Cycle; CRC Press: Boca Raton, FL, USA, 2018; pp. 245–266. [Google Scholar]
- Hellwig, N.; Gómez-Brandón, M.; Ascher-Jenull, J.; Bardelli, T.; Anschlag, K.; Fornasier, F.; Pietramellara, G.; Insam, H.; Broll, G. Humus forms and soil microbiological parameters in a mountain forest: Upscaling to the slope scale. Soil Syst. 2018, 2, 12. [Google Scholar] [CrossRef]
- Witzgall, K.; Vidal, A.; Schubert, D.I.; Höschen, C.; Schweizer, S.A.; Buegger, F.; Pouteau, V.; Chenu, C.; Mueller, C.W. Particulate organic matter as a functional soil component for persistent soil organic carbon. Nat. Commun. 2021, 12, 4115. [Google Scholar] [CrossRef]
- Ponge, J.-F.; Chevalier, R. Humus Index as an indicator of forest stand and soil properties. For. Ecol. Manag. 2006, 233, 165–175. [Google Scholar] [CrossRef]
- Schaefer, M.; Schauermann, J. The soil fauna of beech forests: Comparison between a mull and a moder soil. Pedobiologia 1990, 34, 299–314. [Google Scholar]
- Ponge, J.-F.; Zanella, A.; Sartori, G.; Jabiol, B. Terrestrial Humus Forms: Ecological Relevance and Classification. 2010. Available online: https://hal.science/hal-00521337/document (accessed on 14 June 2023).
- Andreetta, A.; Ciampalini, R.; Moretti, P.; Vingiani, S.; Poggio, G.; Matteucci, G.; Tescari, F.; Carnicelli, S. Forest humus forms as potential indicators of soil carbon storage in Mediterranean environments. Biol. Fertil. Soils 2011, 47, 31–40. [Google Scholar] [CrossRef]
- Bayranvand, M.; Akbarinia, M.; Salehi Jouzani, G.; Gharechahi, J.; Alberti, G. Dynamics of humus forms and soil characteristics along a forest altitudinal gradient in Hyrcanian forest. Iforest-Biogeosci. For. 2021, 14, 26. [Google Scholar] [CrossRef]
- Lehmann, J.; Hansel, C.M.; Kaiser, C.; Kleber, M.; Maher, K.; Manzoni, S.; Nunan, N.; Reichstein, M.; Schimel, J.P.; Torn, M.S. Persistence of soil organic carbon caused by functional complexity. Nat. Geosci. 2020, 13, 529–534. [Google Scholar] [CrossRef]
- Schmidt, M.W.I.; Torn, M.S.; Abiven, S.; Dittmar, T.; Guggenberger, G.; Janssens, I.A.; Kleber, M.; Kögel-Knabner, I.; Lehmann, J.; Manning, D.A.C. Persistence of soil organic matter as an ecosystem property. Nature 2011, 478, 49–56. [Google Scholar] [CrossRef] [PubMed]
- Marland, G.; West, T.O.; Schlamadinger, B.; Canella, L. Managing soil organic carbon in agriculture: The net effect on greenhouse gas emissions. Tellus B Chem. Phys. Meteorol. 2003, 55, 613–621. [Google Scholar] [CrossRef]
- van Breemen, N. Soils as biotic constructs favouring net primary productivity. Geoderma 1993, 57, 183–211. [Google Scholar] [CrossRef]
- Zanella, A.; Bolzonella, C.; Lowenfels, J.; Ponge, J.-F.; Bouché, M.; Saha, D.; Kukal, S.S.; Fritz, I.; Savory, A.; Blouin, M. Humusica 2, article 19: Techno humus systems and global change–conservation agriculture and 4/1000 proposal. Appl. Soil Ecol. 2018, 122, 271–296. [Google Scholar] [CrossRef]
- Bednorz, F.; Reichstein, M.; Broll, G.; Holtmeier, F.-K.; Urfer, W. Humus forms in the forest-alpine tundra ecotone at Stillberg (Dischmatal, Switzerland): Spatial heterogeneity and classification. Arct. Antarct. Alp. Res. 2000, 32, 21–29. [Google Scholar] [CrossRef]
- Ascher, J.; Sartori, G.; Graefe, U.; Thornton, B.; Ceccherini, M.T.; Pietramellara, G.; Egli, M. Are humus forms, mesofauna and microflora in subalpine forest soils sensitive to thermal conditions? Biol. Fertil. Soils 2012, 48, 709–725. [Google Scholar] [CrossRef]
- Kozlova, A.; Martynova, N.; Perfiliev, D.; Ludwig, U. Chemodestructive Fractionation of Humus as an Indicator of the Functional State of Soil Organic Matter. In E3S Web of Conferences 2023; EDP Sciences: Les Ulis, France, 2023; Volume 371, p. 06010. [Google Scholar]
- Mora, J.L.; Molina-Clerencia, M.; Girona-García, A.; Martí-Dalmau, C.; Badía-Villas, D. Factors controlling the buildup of humus and particulate organic matter in European beech and Scots pine stands at their southernmost distribution limits (Moncayo Massif, Spain). Geoderma 2021, 401, 115211. [Google Scholar] [CrossRef]
- Ponge, J.-F. Etude écologique d’un humus forestier par l’observation d’un petit volume, premiers résultats. I. La couche L1 d’un moder sous pin sylvestre. Rev. D’écol. Biol. Sol 1984, 21, 161–187. [Google Scholar]
- Semeraro, S.; Kipf, P.; Le Bayon, R.-C.; Rasmann, S. Solar radiation explains litter degradation along alpine elevation gradients better than other climatic or edaphic parameters. Front. Microbiol. 2023, 14, 1152187. [Google Scholar] [CrossRef]
- Binz, A.; Thommen, E. Flore de la Suisse; F. Rouge: Lausanne, Switzerland, 1941. [Google Scholar]
- Lauber, K.; Wagner, G. Flora Helvetica; Verlag Paul Haupt: Bern, Switzerland, 2001. [Google Scholar]
- IUSS. World Reference Base for Soil Resources. International Soil Classification System for Naming Soils and Creating Legends for Soil Maps, 4th ed.; International Union of Soil Sciences (IUSS): Vienna, Austria, 2022. [Google Scholar]
- Zanella, A.; Ponge, J.-F.; Jabiol, B.; Sartori, G.; Kolb, E.; Le Bayon, R.-C.; Gobat, J.-M.; Aubert, M.; De Waal, R.; Van Delft, B. Humusica 1, article 5: Terrestrial humus systems and forms—Keys of classification of humus systems and forms. Appl. Soil Ecol. 2018, 122, 75–86. [Google Scholar] [CrossRef]
- Bernier, N.; Ponge, J.-F. Humus form dynamics during the sylvogenetic cycle in a mountain spruce forest. Soil Biol. Biochem. 1994, 26, 183–220. [Google Scholar] [CrossRef]
- Jabiol, B.; Baize, D. Guide Pour la Description des Sols; Editions Quae: Versailles, France, 2011. [Google Scholar]
- Jahn, R.; Blume, H.P.; Asio, V.B.; Spaargaren, O.; Schad, P. Guidelines for Soil Description; FAO: Rome, Italy, 2006. [Google Scholar]
- Burke, I.C.; Yonker, C.M.; Parton, W.J.; Cole, C.V.; Flach, K.; Schimel, D.S. Texture, climate, and cultivation effects on soil organic matter content in US grassland soils. Soil Sci. Soc. Am. J. 1989, 53, 800–805. [Google Scholar]
- Allen, S.E.; Grimshaw, H.M.; Parkinson, J.A.; Quarmby, C. Chemical Analysis of Ecological Materials; Blackwell Scientific Publications: Hoboken, NJ, USA, 1974. [Google Scholar]
- Ciesielski, H.; Sterckeman, T.; Santerne, M.; Willery, J.P. Determination of cation exchange capacity and exchangeable cations in soils by means of cobalt hexamine trichloride. Effects of experimental conditions. Agronomie 1997, 17, 1–7. [Google Scholar]
- Keuskamp, J.A.; Dingemans, B.J.J.; Lehtinen, T.; Sarneel, J.M.; Hefting, M.M. Tea Bag Index: A novel approach to collect uniform decomposition data across ecosystems. Methods Ecol. Evol. 2013, 4, 1070–1075. [Google Scholar] [CrossRef]
- R Core Team. R: A Language and Environment for Statistical Computing, version 3.5.1; R Core Team: Vienna, Austria, 2013; Available online: https://www.r-project.org/ (accessed on 14 June 2023).
- Wickham, H.; Chang, W. Package ‘ggplot2’: Create Elegant Data Visualisations Using the Grammar of Graphics, Version 2.1.0. 2016. Available online: https://cran.r-project.org/src/contrib/Archive/ggplot2/ (accessed on 14 June 2023).
- Beaudette, D.E.; Roudier, P.; O’Geen, A.T. Algorithms for quantitative pedology: A toolkit for soil scientists. Comput. Geosci. 2013, 52, 258–268. [Google Scholar] [CrossRef]
- Maechler, M. Finding groups in data: Cluster analysis extended Rousseeuw et al. R Package Version 2019, 2, 242–248. [Google Scholar]
- Dray, S.; Dufour, A.-B. The ade4 Package: Implementing the Duality Diagram for Ecologists. J. Stat. Softw. 2007, 22, 1–20. [Google Scholar] [CrossRef]
- Oksanen, J. Package ‘Vegan’: Community Ecology Package. 2010. Available online: http://vegan.r-forge.r-project.org/ (accessed on 14 June 2023).
- Chersich, S. Pedogenesis: Humus forms and soils under spruce forest by a morphological approach. Appl. Soil Ecol. 2018, 123, 581–587. [Google Scholar] [CrossRef]
- Duchaufour, P. Pédologie: Tome 1: Pédogenèse et Classification; Elsevier Masson: Paris, France, 1977. [Google Scholar]
- Weil, R.; Brady, N. The Nature and Properties of Soils, 15th ed.; Pearson Education: London, UK, 2017. [Google Scholar]
- Gobat, J.-M.; Guenat, C. Sols et Paysages. Types de Sols, Fonctions et Usages en Europe Moyenne; PPUR: Lausanne, Switzerland, 2019. [Google Scholar]
- Edwards, C.A.; Arancon, N.Q.; Bohlen, P.J.; Hendrix, P. Biology and Ecology of Earthworms; Springer: Berlin/Heidelberg, Germany, 2022. [Google Scholar]
- Veen, G.F.; Sundqvist, M.K.; Wardle, D.A. Environmental factors and traits that drive plant litter decomposition do not determine home-field advantage effects. Funct. Ecol. 2015, 29, 981–991. [Google Scholar] [CrossRef]
- Wallenstein, M.D.; Haddix, M.L.; Ayres, E.; Steltzer, H.; Magrini-Bair, K.A.; Paul, E.A. Litter chemistry changes more rapidly when decomposed at home but converges during decomposition–transformation. Soil Biol. Biochem. 2013, 57, 311–319. [Google Scholar] [CrossRef]
- Austin, A.T.; Vivanco, L.; González-Arzac, A.; Pérez, L.I. There’s No Place Like Home? An Exploration of the Mechanisms behind Plant Litter–Decomposer Affinity in Terrestrial Ecosystems. New Phytol. 2014, 204, 307–314. [Google Scholar] [CrossRef]
- Lin, H.; Li, Y.; Bruelheide, H.; Zhang, S.; Ren, H.; Zhang, N.; Ma, K. What drives leaf litter decomposition and the decomposer community in subtropical forests–the richness of the above-ground tree community or that of the leaf litter? Soil Biol. Biochem. 2021, 160, 108314. [Google Scholar] [CrossRef]
- Rosenfield, M.V.; Keller, J.K.; Clausen, C.; Cyphers, K.; Funk, J.L. Leaf traits can be used to predict rates of litter decomposition. Oikos 2020, 129, 1589–1596. [Google Scholar] [CrossRef]
- Badía-Villas, D.; Girona-García, A. Soil humus changes with elevation in Scots pine stands of the Moncayo Massif (NE Spain). Appl. Soil Ecol. 2018, 123, 617–621. [Google Scholar] [CrossRef]
- Zhu, J.; Yang, W.; He, X. Temporal dynamics of abiotic and biotic factors on leaf litter of three plant species in relation to decomposition rate along a subalpine elevation gradient. PLoS ONE 2013, 8, e62073. [Google Scholar]
- Bian, H.; Li, C.; Zhu, J.; Xu, L.; Li, M.; Zheng, S.; He, N. Soil moisture affects the rapid response of microbes to labile organic C addition. Front. Ecol. Evol. 2022, 10, 857185. [Google Scholar] [CrossRef]
- Matteodo, M.; Grand, S.; Sebag, D.; Rowley, M.C.; Vittoz, P.; Verrecchia, E.P. Decoupling of topsoil and subsoil controls on organic matter dynamics in the Swiss Alps. Geoderma 2018, 330, 41–51. [Google Scholar] [CrossRef]
- A’Bear, A.D.; Jones, T.H.; Kandeler, E.; Boddy, L. Interactive effects of temperature and soil moisture on fungal-mediated wood decomposition and extracellular enzyme activity. Soil Biol. Biochem. 2014, 70, 151–158. [Google Scholar] [CrossRef]
- Didion, M.; Repo, A.; Liski, J.; Forsius, M.; Bierbaumer, M.; Djukic, I. Towards harmonizing leaf litter decomposition studies using standard tea bags—A field study and model application. Forests 2016, 7, 167. [Google Scholar]
- Duddigan, S.; Shaw, L.J.; Alexander, P.D.; Collins, C.D. Chemical underpinning of the tea bag index: An examination of the decomposition of tea leaves. Appl. Environ. Soil Sci. 2020, 2020, 6085180. [Google Scholar] [CrossRef]
- Hellwig, N.; Tatti, D.; Sartori, G.; Anschlag, K.; Graefe, U.; Egli, M.; Gobat, J.-M.; Broll, G. Modeling spatial patterns of humus forms in montane and subalpine forests: Implications of local variability for upscaling. Sustainability 2018, 11, 48. [Google Scholar] [CrossRef]
- Zhu, M.; Feng, Q.; Qin, Y.; Cao, J.; Zhang, M.; Liu, W.; Deo, R.C.; Zhang, C.; Li, R.; Li, B. The role of topography in shaping the spatial patterns of soil organic carbon. Catena 2019, 176, 296–305. [Google Scholar]
- Hyde, K.D.; Fryar, S.; Tian, Q.; Bahkali, A.H.; Xu, J. Lignicolous freshwater fungi along a north–south latitudinal gradient in the Asian/Australian region; can we predict the impact of global warming on biodiversity and function? Fungal Ecol. 2016, 19, 190–200. [Google Scholar]
- Riley, R.; Salamov, A.A.; Brown, D.W.; Nagy, L.G.; Floudas, D.; Held, B.W.; Levasseur, A.; Lombard, V.; Morin, E.; Otillar, R. Extensive sampling of basidiomycete genomes demonstrates inadequacy of the white-rot/brown-rot paradigm for wood decay fungi. Proc. Natl. Acad. Sci. USA 2014, 111, 9923–9928. [Google Scholar]
- Fukasawa, Y.; Matsukura, K. Decay stages of wood and associated fungal communities characterise diversity–decomposition relationships. Sci. Rep. 2021, 11, 8972. [Google Scholar]
- Desie, E.; Van Meerbeek, K.; De Wandeler, H.; Bruelheide, H.; Domisch, T.; Jaroszewicz, B.; Joly, F.-X.; Vancampenhout, K.; Vesterdal, L.; Muys, B. Positive feedback loop between earthworms, humus form and soil pH reinforces earthworm abundance in European forests. Funct. Ecol. 2020, 34, 2598–2610. [Google Scholar] [CrossRef]
- Lindahl, B.D.; de Boer, W.; Finlay, R.D. Disruption of root carbon transport into forest humus stimulates fungal opportunists at the expense of mycorrhizal fungi. ISME J. 2010, 4, 872–881. [Google Scholar] [CrossRef]
- Salmon, S. Changes in humus forms, soil invertebrate communities and soil functioning with forest dynamics. Appl. Soil Ecol. 2018, 123, 345–354. [Google Scholar] [CrossRef]
- Yudina, A.; Kuzyakov, Y. Dual nature of soil structure: The unity of aggregates and pores. Geoderma 2023, 434, 116478. [Google Scholar] [CrossRef]
- Daebeler, A.; Petrová, E.; Kinz, E.; Grausenburger, S.; Berthold, H.; Sandén, T.; Angel, R. Pairing litter decomposition with microbial community structures using the Tea Bag Index (TBI). Soil 2022, 8, 163–176. [Google Scholar] [CrossRef]
Disclaimer/Publisher’s Note: The statements, opinions and data contained in all publications are solely those of the individual author(s) and contributor(s) and not of MDPI and/or the editor(s). MDPI and/or the editor(s) disclaim responsibility for any injury to people or property resulting from any ideas, methods, instructions or products referred to in the content. |
© 2023 by the authors. Licensee MDPI, Basel, Switzerland. This article is an open access article distributed under the terms and conditions of the Creative Commons Attribution (CC BY) license (https://creativecommons.org/licenses/by/4.0/).






