Abstract
The importance of public participation in the successful implementation of climate change-related policies has been highlighted in previous research. However, existing environmental behavioral studies have not sufficiently addressed the relationship among perceptions of climate change, living conditions, social demographic factors and environmentally friendly behavior. Therefore, this paper investigates whether environmental perception and other social determinants such as living conditions and the subjective evaluation of social inequality affect environmentally friendly behavior. We use survey data (N = 1500) collected in Mumbai, India, and analyze our hypotheses using a structural equation model (SEM). The empirical results confirm the direct and indirect influences of environmentally related perceptions, the subjective evaluation of living environments, social factors and other demographic characteristics on pro-environmental behavior. In particular, we find a robust positive effect of education level on pro-environmental behavior, where we observe both a direct impact and an indirect impact through positive effects on environmental knowledge. Thus, we confirm the importance of living environment, social equality and education in sustainable urban planning and efforts to mitigate climate change.
1. Introduction
The adverse impacts of global climate change have been increasingly discussed in various disciplines, and the literature addresses both natural and human factors involved in climate change [1]. Given the dual nature of human factors in environmental problems (humans are both the source and the recipients of the adverse effects of such problems), adaptation and mitigation policies should be based extensively on human perception, behavior and well-being. More specifically, climate change-related policies have emphasized the importance of behavioral aspects in terms of public concern and people’s environmentally related behaviors in terms of both adaptation to and mitigation of the changing climate [2,3]. Public acceptance and support through action are crucial for effective policy implementation to increase the efficiency of resource use. Most often, however, either public concern remains low or public perception does not translate into pro-environmental behavior, which in turn can diminish the effectiveness of environmental policies [4,5].
It is crucial for policy makers to understand and consider an environmental policy’s drivers and barriers to evaluate its effectiveness and potential impacts and confront the negative impact of climate change. Psychologists have addressed both the distance issue and the experience of risk as drivers of the public adaptation of pro-environment behavior [6,7,8].
The distance factor refers to people’s spatial distance and/or the physical vulnerability of their living place, whereas the experience factor takes the impact of past events with regard to people’s current perception and behavior into account. Both the slowness of the climate-change process and the difficulty of directly observing climate change seem to greatly reduce people’s motivation to take action to internalize its negative externalities. However, studies have indicated that people will tend to change their behavior in response to extreme weather events and the measurement of short-term, personal costs and benefits [3,5,9]. In addition, the public response to pro-environmental behavior also depends on demographic and regional factors such as age, gender and education level [10].
Although previous studies have demonstrated the influence of past experience and socio-demographic factors on environmental behavior, very little has been done to explain the mechanism to connect public perception of one’s living environment and social factors to environmentally related behavior, especially in the context of developing countries, despite the fact that large cities in developing countries suffer the most from environmental problems.
To bridge the gap in the existing literature, we analyze the impact of living environment and the perception of social factors on environmentally related behavior. We use a survey conducted in Mumbai, India, which is one of the largest cities in the developing countries, to test the following hypotheses: (1) A subjectively evaluated environmental knowledge level positively affects pro-environmental behavior; (2) The perception of resource costs (cost of water, energy and gas) positively impacts pro-environmental behavior; (3) The difficulties in accessing resources influence people’s perception on environmental knowledge and pro-environmental behavior; (4) The satisfaction with the living environment (public goods) influence people’s perception on environmental knowledge and pro-environmental behavior; (5) Perception of social distance and safety has a direct and indirect impact on pro-environmental behavior through one’s perception of environmental knowledge and (6) Self-evaluation of environmental knowledge influence people’s pro-environmental behavior.
The remainder of this paper is organized as follows. Section 2 reviews the relevant literature. Section 3 provides a description of the data, the variables and the empirical method. Section 4 presents the results of a descriptive analysis and a structural equation model. Section 5 concludes with possible policy implications for sustainable urban and regional development as along with policy development to mitigate the adverse effects of climate change.
2. Literature Review
Although climate change is a gradual, long-term process that is difficult to observe on a daily basis, its adverse impacts may take various forms. For example, in the past three decades, extreme weather events such as floods, cyclones, long dry spells and brushfires have become more frequent and have increased in scale. In the future, the risk of disaster is expected to spread to less disaster-prone regions [1,11]. There has been a substantial amount of research on the potential impact of climate change [12,13]. Additionally, there has been a growing literature on policy implementation to deter and mitigate the negative externalities of climate change. More specifically, public perceptions of environmental issues and the public’s level of concern have been found to be an important determinant of the effectiveness of climate change-related policies [6]. However, despite researchers’ and policy makers’ emphasis of the importance of climate change, the level of public concern is not equally heightened throughout the world [14].
Environmental sociologists suggest that people might not engage in environmentally friendly actions because they have an insufficient understanding of the impact of their actions on environmental sustainability and climate change. Several empirical studies have found that the past experience of adverse climate phenomena can influence levels of knowledge and attitudes related to climate change and other environmental issues [15,16,17]. However, Whitmarsh [5] has found the opposite empirical result, that is, flood victims and non-victims have the same level of understanding of climate change. Nevertheless, the environmental knowledge and attitudes are important in sustainable city planning.
Although there is mixed evidence for the relationship between negative shock and knowledge of climate change, the results are relatively more consistent for behavioral changes that are accompanied by climate change-related disasters. People who have a better awareness of climate change and/or have had negative experiences caused by the adverse impact of climate change show a greater concern for environmental issues and tend to alter their behavior [3,18]. Spence et al. [3] have used data from the United Kingdom, showing that people who have experienced floods are more likely to engage in energy-saving activities than their counterparts. Similarly, Niles et al. [19] have found that farmers’ adaptation behavior is heavily influenced by limiting factors such as the lack of water in dry areas. However, behavioral change is limited by financial incentives. For example, people tend to choose energy-efficient items only if the payback time is short compared to that of non-energy-efficient items [9].
In addition to the impact of experiencing climate change-related negative shocks, public perception and environmentally friendly behaviors are affected by geo-specific factors and sociodemographic factors that are often related. As highlighted in Chen et al. [10] and McFarlane and Boxall [20], individual characteristics such as age, gender, level of education and income are key determinants of pro-environmental behavior. Researchers have found robust evidence that females have a greater concern about the environment than men and that they tend to be more involved in pro-environmental activities [21,22,23]. Furthermore, empirical evidence indicates that younger, more educated people are more concerned about the environment [24,25].
In terms of other socioeconomic characteristics, Carrico et al. [24] and Rickard et al. [22] suggest that political ideology is an important factor that may explain variations in the degree of concern about climate change. Rickard et al. [22] also find that public climate change engagement varies with geographical location. Exploring spatial differences, Chen et al. [10] provide evidence that Chinese people who live in large cities are more concerned about the environment than are people who live in smaller cities. This result may be induced by the lack of economic alternatives in smaller economies, which can heighten resource degradation, particularly in the developing world.
The influence of place attachment on pro-environmental behavior has also received important attention in the literature. The place attachment can be due to the attachment of natural factors and social factors [26]. Nevertheless, the satisfaction of the neighborhood may influence on individual’s behavior. Analyzing survey data collected from national park visitors in Australia, Ramkissoon, Smith and Weiler [27] conclude that both place attachment and place satisfaction impact on pro-environmental behavior. Furthermore, the rural community behave similarly; their place attachment positively influences on environmental behavior [28].
The neighborhood and human link may enhance when humans are happy with the neighborhood condition. Subjective wellbeing or residents’ happiness indicates the sustainable development as people move towards more livable areas. In fact, better social and environmental factors are the key determinants of subjective wellbeing. Research shows across Europe cities infrastructure facilities, cultural facilities, air quality as well as social security enhance the happiness [29]. However, little empirical evidence is available on the impact of such factors on environmental behavior.
In summary, the existing research suggests that personal experience of environmental risks can induce behavioral change, which can in turn reduce the negative externalities of climate change. Moreover, public perception and behavior are affected by demographic factors such as age, education, gender, income, and political orientation, along with geographical factors such as the urbanization level and city structures. The empirical evidence highlights the importance of place attachment in environmental responsible behavior. Nevertheless, sustainable city planning aims at improving quality of life in which public perception on environmental and social factors such as neighborhood, infrastructure, safety and inequality receive important status [30]. In the existing literature, techniques such as mediation analysis [3,19] and logit regression [10] have been used to establish causality between personal perceptions and characteristics and pro-environmental behaviors. Moreover, given that most of the literature on this topic is limited to developed countries, we extended the scope of our study to developing countries and investigated the variation in the factors that affect engagement in pro-environmental behavior.
3. Study Area, Data Collection and Analysis
Mumbai is India’s second-largest city and is the capital city of Maharashtra. The estimated population of metropolitan Mumbai is approximately 13.7 million people, with a population density of 21,880/square km. As India’s financial center, Mumbai represents the country’s rapid economic development: forty percent of Indian tax earners reside in Mumbai, and it is the home of half of India’s international trade activities and its stock exchange [31]. Furthermore, average income is comparatively higher in Mumbai, at almost double the Indian per capita gross domestic product (GDP) [32]. Given the economic importance of the area, internal migration and high population growth inevitably bring increased resource utilization. Despite Mumbai’s inherent resources and economic importance of Mumbai, more than 50% of its residents live in slums. Moreover, because India is a fast-growing nation and Mumbai is a fast-growing city, the extent of its environmental degradation and pollution is inevitable. As Yedla [32] reports, Mumbai’s lack of sanitary facilities and clean water, along with its air pollution and solid waste, are associated with its rapid economic development and are becoming serious social issues. Given that Mumbai is an ideal location that could benefit from advances in urban and regional planning, we selected it to test our hypothesis.
Mumbai’s public behavioral responses to climate and environment-related factors were collected through a cross-sectional survey conducted in 2015 (see Figure 1 for the study area). We considered the three strata of dwellers from the city, slums and adjacent rural areas to capture heterogeneity of behavior. First, an internet survey was conducted and then a supplementary personal interview survey was conducted to collect data from the adjacent rural areas. Through internet survey we could collect 500 responses and then we conducted personal interview to collect another 1000 responses for comparison purposes. (People responded through internet survey represent the rich residents in Mumbai city area. However, 50% of residents who lives in slums and those who in rural areas cannot capture through internet survey). For both surveys, we used similar questionnaires and collected 500 respondents from each subgroup (city, rural and slum) to present wider heterogeneity in our sample (N = 1500). The sample for personal interview was drawn randomly. The questionnaire consists of the respondents’ environment-related activities, knowledge of environmental factors, perception of the availability of public resources, social factors and demographic factors. The respondents also answered questions about individual characteristics such as age, education level, gender and marital status. Involvement in pro-environmental activities was considered a dependent variable, whereas subjective knowledge of environmental variables, cost of resource access, satisfaction of infrastructure facilities, social factors and other demographic factors were considered independent variables. We examined the indirect impact of satisfaction with infrastructure facilities given that such facilities mediate public knowledge on climate change. Table 1, Table 2 and Table 3 report the types of questions that were asked and present the constructed variables in more detail, as will be discussed in the next section. Other sociodemographic variables (i.e., age, sex, income, and household size) and two dummies for area (slum and rural) were included in the analysis because previous studies have found that gender, education and age are determinants of pro-environmental behavior [10]. The causality of the constructed variables is represented simply in Figure 2.
Figure 1.
Study area.
Table 1.
Dependent variable—Engage in pro-environmental activities.
Table 2.
Mediator variable.
Table 3.
Independent variables.
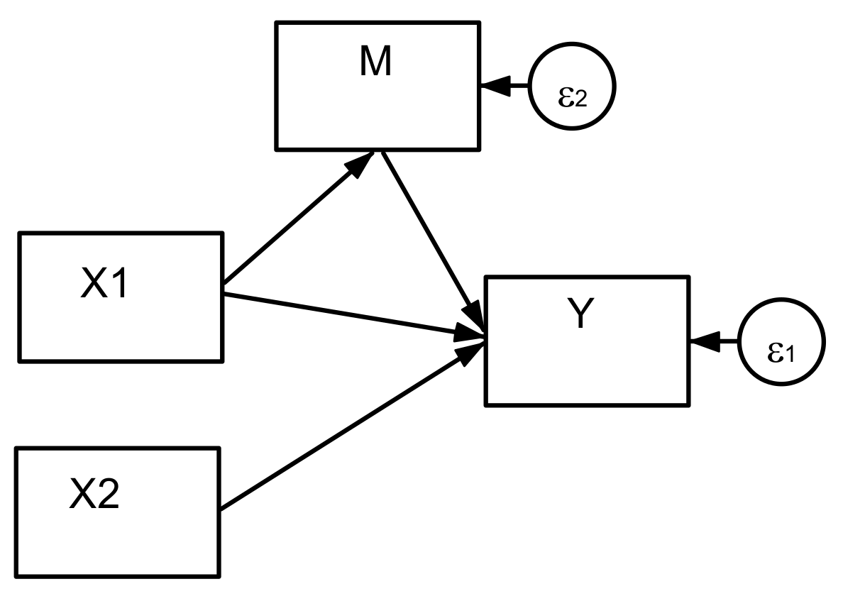
Figure 2.
Empirical model.
A structural equation model (SEM) was developed to evaluate the direct and indirect impacts of satisfactory levels of infrastructure facilities and social factors on pro-environmental behavior. As Figure 2 illustrates, X1 and X2’s direct effect on Y is referred to as a direct effect; however, X1 also has an effect on Y through M, which is referred to as an indirect effect. The causality of all YS, XS and M can be analyzed through a maximum likelihood estimation (MLE) of the SEM. If the dependent variable is Y, the independent variables are X1 and X2 and the mediating variable is M; a mediation analysis for linear model can be written as follows:
where error term and assumed Y and M are continuous variables.
Given the above notation, the direct effect represents ‘a1’ and its indirect effect is ‘a × b’ [33,34,35]. This can be interpreted as a one-unit change of X1 changes in Y by a1 and further changes in Y by ab as a result of the effect of X1 on M (indirect effect). Thus, the indirect effect (I) and the total effect (t) of X1 on Y can be expressed as follows:
I = a × b,
t = a1 + ab.
Depending on the survey questions, the required variables were constructed using principal component analysis (PCA), which is presented in the next section.
4. Results
This section begins with the provision of descriptive statistics for our survey information and construction of the required variables. First, the respondents were asked whether they engaged in one or more listed environmental activities that demonstrate environmentally friendly behavior, and a composite variable was constructed as the dependent variable (see, Table 1). We listed nine statements in relation to waste management, energy saving and environmental protection. Nearly half of the respondents engage in waste-management and energy-saving activities. In line with the previous research [9], these activities provide people with direct short-term benefits. However, people’s involvement in social activities to protect the environment is very low (5–10%); people who reside in slums and rural areas are especially unlikely to be involved in social groups than are people who reside in cities. Nearly 15% of respondents are concerned about protecting animals and the forest, although the figure contains a larger share of city residents. Overall, with regard to the various sub-groups, people who live in cities are more likely to be involved in pro-environmental activities than those who live in slums or rural areas.
Many studies indicate environmental concern motivates public pro-environmental behavior [9] and, therefore, knowledge of environmental variables was considered the main determinant. The public’s environmental concern was judged through several questions and the participants were asked about their level of knowledge of ten given environmental variables (Table 2). For instance, participants were asked to provide their knowledge on depletion of ozone layer in five Likert scale. Next, the desired variable (KWENVT) was created through factor analysis using PCA.
The stated average levels in response to the environmental perception-related question, knowledge (self-evaluated) of environmental variability, are shown in Figure 3. On average, 25% of the respondents’ perception is knowledgeable, whereas 10% participant’s perception is that they do not have knowledge of the given ten statements. In contrast to perception of importance, more than 50% recognize that these environmental factors are important. In brief, the respondents’ knowledge of advanced topics (i.e., ozone layer depletion, and bio diversity) is low, whereas they are very concerned about day-to-day issues (i.e., water and energy). Overall, water pollution is the biggest concern (>50%), whereas the majority of the respondents do not care about biodiversity. It implies that distance between people and nature is widening in line with existing evidence [36]. Another reason may be the level of education to think of complex issues.
Figure 3.
Public perceptions of environmental knowledge. 1: do not have any knowledge to 5: very knowledgeable. KNW1 to KNW10 refers to 1 to 10 statements in Table 2.
In line with the existing research, the perception of climate change is motivated by other factors and thus far, studies on the experience of vulnerability in one’s living areas are common [3,21]. In this study, we assumed that the perception of climate change variables (KWENVT) is mediated by the difficulties and conditions of access to public goods (i.e., water quality and energy supply) and other social factors (i.e., safety and livability).
All other independent variables are presented in Table 3. The participants were asked their perception of the cost of accessing facilities such as energy price, water price and gas prices and ranked their perceptions from 1 (do not care) to 6 (very expensive). We constructed a composite variable using PCA (COST). Difficulties in accessing public goods such as water and energy were listed, and the participants were asked to select their opinion, resulting in the creation of a dummy variable (DIFICUL); if a respondent experienced at least one of the problems from the listed six statements, otherwise stating 1 and 0, he or she was tested for the direct and indirect impacts on their participation in pro-environmental activities. Figure 4 shows that most of the respondents have both serious resource-access problems and serious water-related problems (nearly 50% of respondents). Similarly, dissatisfaction with the conditions of the supply of such services and the surrounding environment was measured using 11 given criteria and derived a rate of dissatisfaction (DISSATIS) through PCA. These two variables are proxies for the public perception of infrastructure facilities. Most of the respondents are not satisfied with the level of water and electricity supply and are concerned about environmental pollution (Figure 5).
Figure 4.
Difficulties in accessing public goods.
Figure 5.
Dissatisfaction with public goods.
Livability (LIVABLE), attachment to the community (COMMUNI) and social safety (SAFETY) were considered social variables that affect pro-environmental behavior and are associated with public perceptions of the environment. These variables are measured based on public opinion, for example, livability: the respondents were asked to select the appropriate number: 1 for not livable to 5 for very livable. Of the respondents, 68% have completed at least a high school education, and they considered that the level of education (EDUC: dummy variable) might have both a direct and an indirect impact on their behavioral changes (see, Carrico et al., 2015). People also take less personal responsibility for protecting the environment because they tend to consider it the government’s job, and thus we included a question in Table 3 (WHOPAY), in which only 28% agreed with that statement.
Other key sociodemographic variables (i.e., age, sex, rural residence, and income) are also considered in this analysis. In terms of demographic variables, 52% are male, the average age is 37 (minimum 18 to maximum 78) and the average household size is five (minimum 1 to maximum 10).
The reliability of validity of data was examined using Cronbach’s alpha test. The estimated Cronbach’s alpha for variables constructed varies from 0.5804 to 0.6752 (Cronbach’s alpha values: COST = 0.6398, DIFICUL = 0.6314, DISSATIS = 0.5981, LIVABLE = 0.6623, COMUNI = 0.6470, SAFETY = 0.6641, EDUC = 0.6122, GENDER = 0.6699, AGE = 0.6555, INCOME = 0.6261, HHSIZE = 0.6387, SLUM = 0.6752, RURAL = 0.5804, INEQU = 0.6504, ITEMS = 0.6156, MARRY = 0.6553, WHOPAY = 0.6495). Since alpha value is greater than 0.5, the constructed data can be used for further analysis.
To test the causality of each variable, we developed the SEM, and the MLE results of the model are reported in Table 4, in which column 2 presents the impact of selective variables on involvement in pro-environmental activities, column 3 presents the impact of selective variables on the mediator (concern about the environment) and finally, the calculated indirect effects are presented. Environmental knowledge (KNENVT), which is our main explanatory variable, has a statistically significant positive impact on pro-environmental behavior (coefficient = 0.108, p < 0.001). These results are in line with results from the previous research [37] indicating that people who are relatively more knowledgeable about the environment will engage in environmentally friendly behavior. This result also implies the importance of environmental awareness programs to encourage environmentally friendly behavior.
Table 4.
Maximum likelihood estimation (MLE) results.
The price of resources, which is a popular economics instrument, was used for resource management despite the fact that price is more inelastic. For instance, the price of water and electricity can increase expectations of higher resource-use efficiency. In this study, we used the perception of the cost of resource access (COST) as a determinant, which does have a significant impact on changing respondents’ behavior (0.0554), along with an increase in climate change-related knowledge (0.0453). The calculated total effect shows a significant positive effect on pro-environmental behavior (0.06029).
The subjective evaluation of conditions of infrastructure have a combined effect on behavior. The difficulties experienced by the respondents in accessing resources such as water, electricity, and gas, along with the condition of roads and paved areas, motivates them to engage in pro-environmental behavior (0.259) while it increases their environmental knowledge (0.256) as respondents evaluated. However, reported dissatisfaction with infrastructure facilities and social factors has a statistically significant (at one percent) negative relationship with knowledge of the environment and a positive relationship with pro-environmental activities, but overall (0.135) has a positive influence on pro-environmental behavior (Table 4). These results are in line with the existing research on the experience of climate change [3], which has found that when people experience difficulties, they tend to change their behavior. Many studies have shown that extreme weather events influence the public to behave in more environmentally friendly ways.
We also hypothesized that social distance or attachment can influence people’s behavior, which was explored through several variables (LIVABLE, COMMUNI, SAFETY, INEQU and WHOPAY). When people are happy with their neighborhood (LIVABLE and COMMUNI), they are more likely to behave in environmentally friendly ways. Thus, social attachment can motivate people both to engage in environmentally friendly behavior (0.0841) and to enhance their knowledge of environmental variability (0.364). Regardless of any inconsistencies (on ENACT and KWENVT), the total effect of residing in a livable society can enhance pro-environmental activities. According to the results, although social safety seems not to be an influence on pro-environmental behavior, a safe society is indirectly important to behavioral change. The participants’ perception of inequality (INEQU) has a significant impact on their behavior; when they suggest that inequality is high, they tend to engage in fewer environmentally friendly activities (−0.144). It is possible that when inequality is higher, people’s cooperative actions tend to decline [38]. Similarly, when people think that environmental costs should be shared equally, they change their behavior positively.
In addition, education level both directly and indirectly motivates respondents to engage in pro-environmental behavior (the coefficients are 0.104 and 0.391, respectively). Moreover, those who use more resources tend to consider sustainability (ITEMSD) more often than their counterparts. Of the other demographic variables, age, marital status and household size do not have a significant impact on pro-environmental behavior. Contrary to the existing literature, this research found that males are more involved in environmental activities than females; however, the interaction variable (AGE × GENDER) shows a negative impact, confirming that young females are more likely to be involved in environmental activities [10].
This study also observes a significant demographic difference suggesting that people who live in cities are more likely to behave in environmentally friendly ways than are those who reside in slums and villages (see variable SLUMS and RURAL in Table 4). People who live in rural areas may attribute a lower priority on environmental problems because they may have limited alternatives for economic activities [10]. People who live in slum (SLUM) are unlikely to have more resources (i.e., fewer ITEMSD) and they are less educated; thus, they may compare their social status and be less concerned about environmental externalities.
5. Conclusions
The empirical results of this research have reasserted the importance of human factors in the effort to confront the adverse impact of climate change and sustainable development. Using originally collected survey data, we found that people’s perceptions of both the overall environment and their living environments have robust effects on pro-environmental behavior. Particularly, we explored the impact of range of socio-economic and neighborhood factors on enhancing their environmental knowledge and environmental friendly behavior. This research emphasizes the fact that subjectively evaluated higher environmental knowledge importantly impacts on people’s environmental behavior. The level of education is an important determinant of enhanced environmental knowledge.
The results indicate that ensuring public safety and decreasing social inequality in communities can motivate pro-environmental behavior. The subjectively evaluated social inequality has negative impacts on people’s environmental responsibility. In fact, social safety may improve social attachment which leads to improve their behavior. Another important finding of this research is the subjectively evaluated condition of public goods on their environmental behavior. The results also imply that improving living conditions through effective public goods provision can narrow the distance between the public actions that are desired by policy makers to effectively tackle environmental problems and people’s perceptions and motivation to engage in environmentally friendly behavior. People are more motivated to make an effort to preserve an environment with which they are satisfied. In addition, people are more likely to engage in positive actions (instead of merely taking from the system) if they feel attachment and responsibility for their community. Importantly this research provides evidence on spatial and community heterogeneity including three strata of the population that can be further explored in future research. People who live in rural, urban and slums behave differently in terms of environmental action.
Thus, to effectively cope with environmental problems, which are increasing in scale and seriousness, especially in the developing countries, policy makers should expand their efforts to elevate general living standards, which in turn will lead to environmentally friendly behavior. Furthermore, in terms of policy implications, the direct and indirect impact of education level is noteworthy. The results indicate that people with higher levels of education are more likely to engage in environmentally friendly actions, a positive impact that is partially caused by an increase in the subjective evaluation of their environmental knowledge, which also positively affects pro-environmental behavior. Education remains the key to sustainable city planning, not only to promote economic activities but also for the improvement and conservation of the environment.
It is important to note that this is the first attempt to investigate the public perception of infrastructure facilities and social factors and the association of that perception with environmental behavior, suggesting that infrastructure status reduces psychological distance. The elevated livability is a key factor in planning sustainable cities [30]. It is also important to recognize the role that can be played by a satisfactory level of infrastructure in promoting environmentally friendly behavior. Furthermore, a livable and safe society is an important determinant of future climate-change policy. In particular, this research discusses the structural factors that influence pro-environmental behavior and that can be renewed through better urban and regional planning. This research adds to the growing literature on behavioral research in the field of climate change and provides evidence that pro-environmental behavior can be motivated by providing better infrastructure and social security.
However, this research is not exempt of limitation, which can be considered in further research. In designing this sort of field research in developing country, the heterogeneity of the population need to be considered. We first collected data through online survey, but a supplementary survey was conducted to capture the missing categories in the society. However, in future research a better sampling procedure is important to capture the heterogeneity. The survey instrument should be used to capture wider range of social attachments. We considered only one big city in the developing world, but spatial heterogeneity can be explored in expanding this research.
Acknowledgments
This work was supported by the following Grant in Aid from the Ministry of Education, Culture, Sports, Science and Technology in Japan (MEXT): Grant in Aid for Specially Promoted Research 26000001. Any opinions, findings, and conclusions expressed in this material are those of the authors and do not necessarily reflect the views of the MEXT.
Author Contributions
All authors contributed equally in writing this paper.
Conflicts of Interest
The authors declare no conflict of interest.
References
- Intergovernmental Panel on Climate Change (IPCC). Climate Change 2014, Synthesis Report. 2014. Available online: http://www.ipcc.ch/pdf/assessment-report/ar5/syr/AR5_SYR_FINAL_SPM.pdf (accessed on 31 March 2016).
- Haden, V.R.; Niles, M.T.; Lubell, M.; Perlman, J.; Jackson, L.E. Global and local concerns: What attitudes and beliefs motivate farmers to mitigate and adapt to climate change? PLoS ONE 2012, 7, e52882. [Google Scholar] [CrossRef] [PubMed]
- Spence, A.; Poortinga, W.; Butler, C.; Pidgeon, N.F. Perceptions of climate change and willingness to save energy related to flood experience. Nat. Clim. Chang. 2011, 1, 46–49. [Google Scholar] [CrossRef]
- Weber, E. What shapes perceptions of climate change? Clim. Chang. 2010, 1, 332–342. [Google Scholar] [CrossRef]
- Whitmarsh, L. Are flood victims more concerned about climate change than other people? The role of direct experience in risk perception and behavioural response. J. Risk Res. 2008, 11, 351–374. [Google Scholar] [CrossRef]
- Lacroix, K.; Gifford, R. Psychological barriers to energy conservation behavior: The role of worldviews and climate change risk perception. Environ. Behav. 2017. [Google Scholar] [CrossRef]
- Gaspar, R. Understanding the reasons for behavioral failure: A process view of psychosocial barriers and constraints to pro-ecological behavior. Sustainability 2013, 5, 2960–2975. [Google Scholar] [CrossRef]
- Williams, L.E.; Bargh, J.A. Keeping one’s distance: The influence of spatial distance cues on affect and evaluation. Psychol. Sci. 2008, 19, 302–308. [Google Scholar] [CrossRef] [PubMed]
- Kollmuss, A.; Agyeman, J. Mind the gap: Why do people act environmentally and what are the barriers to pro-environmental behavior? Environ. Educ. Res. 2002, 8, 239–260. [Google Scholar] [CrossRef]
- Chen, X.; Peterson, M.N.; Hull, V.; Lu, C.; Lee, G.D.; Hong, D.; Liu, J. Effects of attitudinal and socio-demographic factors on pro-environmental behaviour in urban China. Environ. Conserv. 2011, 38, 45–52. [Google Scholar] [CrossRef]
- Otto, F.E.L. Extreme events: The art of attribution. Nat. Clim. Chang. 2016, 6, 342–343. [Google Scholar] [CrossRef]
- Fischer, G.; Shah, M.; Tubiello, F.N.; van Velhuizen, H. Socio-economic and climate change impacts on agriculture: An integrated assessment, 1990–2080. Philos. Trans. R. Soc. Ser. B 2005, 360, 2067–2083. [Google Scholar] [CrossRef] [PubMed]
- Marshall, N.A.; Stokes, C.J.; Webb, N.P.; Marshall, P.A.; Lankester, A.J. Social vulnerability to climate change in primary producers: A typology approach. Agric. Ecosyst. Environ. 2014, 186, 86–93. [Google Scholar] [CrossRef]
- Capstick, S.; Whitmarsh, L.; Poortinga, W.; Pidgeon, N.; Upham, P. International trends in public perceptions of climate change over the past quarter century. WIREs Clim. Chang. 2015, 6, 35–61. [Google Scholar] [CrossRef]
- Hamilton, L.C.; Stampone, M.D. Blowin’ in the wind: Short-term weather and belief in anthropogenic climate change. Weather Clim. Soc. 2013, 5, 112–119. [Google Scholar] [CrossRef]
- Rudman, L.A.; McLean, M.C.; Bunzl, M. When truth is personally inconvenient, attitudes change: The Impact of extreme weather on implicit support for green politicians and explicit climate-change beliefs. Psychol. Sci. 2013, 24, 2290–2296. [Google Scholar] [CrossRef] [PubMed]
- Zaval, L.; Keenan, E.A.; Johnson, E.J.; Weber, E.U. How warm days increase belief in global warming. Nat. Clim. Chang. 2014, 4, 143–147. [Google Scholar] [CrossRef]
- Marshall, B.K.; Picou, J.S.; Bevc, C.A. Ecological disaster as contextual transformation: Environmental values in a renewable resource community. Environ. Behav. 2005, 37, 706–728. [Google Scholar] [CrossRef]
- Niles, M.T.; Lubell, M.; Brown, M. How limiting factors drive agricultural adaptation to climate change. Agric. Ecosyst. Environ. 2015, 200, 178–185. [Google Scholar] [CrossRef]
- McFarlane, B.L.; Boxall, P.C. The role of social psychological and social structural variables in environmental activism: An example of the forest sector. J. Environ. Psychol. 2003, 23, 79–87. [Google Scholar] [CrossRef]
- McCright, A.M. The effects of gender on climate change knowledge and concern in the American public. Popul. Environ. 2010, 32, 66–87. [Google Scholar] [CrossRef]
- Rickard, L.N.; Yang, Z.J.; Schuldt, J.P. Here and now, there and then: How “departure dates” influence climate change engagement. Glob. Environ. Chang. 2016, 38, 97–107. [Google Scholar] [CrossRef]
- Van der Linden, S. The social-psychological determinants of climate change risk perceptions: Towards a comprehensive model. J. Environ. Psychol. 2015, 41, 112–124. [Google Scholar] [CrossRef]
- Carrico, A.R.; Truelove, H.B.; Vandenbergh, M.P.; Dana, D. Does learning about climate change adaptation change support for mitigation? J. Environ. Psychol. 2015, 41, 19–29. [Google Scholar] [CrossRef]
- Klineberg, S.L.; McKeever, M.; Rothenbach, B. Demographic predictors of environmental concern: It does make a difference how it’s measured. Soc. Sci. Q. 1998, 79, 734–775. [Google Scholar]
- Scannell, L.; Gifford, R. The relations between natural and civic place attachment and pro-environmental behavior. J. Environ. Psychol. 2010, 30, 289–297. [Google Scholar] [CrossRef]
- Ramkissoon, H.; Smith, L.D.G.; Weiler, B. Testing the dimensionality of place attachment and its relationships with place satisfaction and pro-environmental behaviours: A structural equation modelling approach. Tour. Manag. 2013, 36, 552–566. [Google Scholar] [CrossRef]
- Takahashi, B.; Selfa, T. Predictors of pro-environmental behavior in rural American communities. Environ. Behav. 2015, 47, 856–876. [Google Scholar] [CrossRef]
- Węziak-Białowolska, D. Quality of life in cities–Empirical evidence in comparative European perspective. Cities 2016, 58, 87–96. [Google Scholar] [CrossRef]
- Garau, C.; Pavan, V.M. Evaluating Urban Quality: Indicators and Assessment Tools for Smart Sustainable Cities. Sustainability 2018, 10, 575. [Google Scholar] [CrossRef]
- Mumbai Business and Industry. Available online: http://www.refermumbai.com/mumbai_facts.php (accessed on 24 March 2016).
- Yedla, S. Dynamics of environmental problems in Mumbai. Clean Technol. Environ. Policy 2006, 8, 182–187. [Google Scholar] [CrossRef]
- Hayes, A.F.; Preacher, K.J. Statistical mediation analysis with a multicategorical independent variable. Br. J. Math. Stat. Psychol. 2014, 67, 451–470. [Google Scholar] [CrossRef] [PubMed]
- Linden, A.; Karlson, K.B. Using mediation analysis to identify causal mechanisms in disease management interventions. Health Serv. Outcomes Res. Methodol. 2013, 13, 86–108. [Google Scholar] [CrossRef]
- Preacher, K.J.; Hayes, A.F. Asymptotic and resampling strategies for assessing and comparing indirect effects in multiple mediator models. Behav. Res. Methods 2008, 40, 879–891. [Google Scholar] [CrossRef] [PubMed]
- Soga, M.; Gaston, K.J. Extinction of experience: The loss of human–nature interactions. Front. Ecol. Environ. 2016, 14, 94–101. [Google Scholar] [CrossRef]
- Evans, L.; Milfont, T.L.; Lawrence, J. Considering local adaptation increases willingness to mitigate. Glob. Environ. Chang. 2014, 25, 69–75. [Google Scholar] [CrossRef]
- Aquino, K.; Steisel, V.; Kay, A. The effects of resource distribution, voice, and decision framing on the provision of public goods. J. Confl. Resolut. 1992, 36, 665–687. [Google Scholar] [CrossRef]
© 2018 by the authors. Licensee MDPI, Basel, Switzerland. This article is an open access article distributed under the terms and conditions of the Creative Commons Attribution (CC BY) license (http://creativecommons.org/licenses/by/4.0/).




