Abstract
The nature of interdependence between states encourages them to establish cooperation in different fields, leading to multiple relations. The policy alignments of states on trade and political relations can be regarded as the most critical agenda in a globalized world. Accounting for the linkages between economic and political issues, this study focuses on the two relational ties, (i) free trade agreements (FTAs) as economic cooperation and (ii) political alliances (PAs) as political cooperation. In addition, it evaluates the coevolution of FTAs and PAs by employing a multiplex stochastic actor-oriented model with longitudinal data of 160 countries during the period from 1990 to 2012. The results show that the presence of a PA inspires the formation of an FTA, but present no clear evidence that the presence of an FTA promotes the formation of a PA. Our analysis also shows that a state prefers to form both FTAs and PAs with trade hub partners that have more FTAs but prefers to form only PAs with political hub partners that have more PAs. This study argues that such asymmetric effects between FTAs and PAs emphasizes the preferences of states for liberalizing trade and connecting with partners that have many FTAs.
1. Introduction
Cooperative phenomena among states occur when they share common goals and similar interests or preferences [1,2]. Under ongoing global integration, enhancing cooperation, and establishing new relational ties with potential partners seem to lie at the heart of almost all states, and more states tend to engage in international cooperation to balance the costs and benefits of cooperation. One important aspect is that states often cooperate in several fields, such as trade, investment, finance, education, and security affairs. The existence of multiple or multiplex relational ties between states creates more complex international systems. This study attempts to evaluate such multiplex relations between states. In particular, we analyze the interconnection of free trade agreements (FTAs) and political alliances (PAs), which are crucial forms of economic and political relations, respectively. FTAs and PAs are the consequences of the decisions of states, creating international networks. Since FTAs and PAs are networks by nature, this study applies social network analysis, which enables us to address the interdependence between states and interactions between the two networks of FTAs and PAs.
Trade agreements, mainly FTAs, have received much attention with the proliferation of reciprocal preferential trade agreements, especially since the early 1990s. With the importance of trading communities, states sign trade agreements with their potential partners for mutual economic benefits, although it is impossible to expect only positive impacts from the agreements [3,4]. At the same time, the formation of PAs has also been acknowledged as important because they are generally expected to solve common political problems and balance the power in the system [5]. Capability aggregation, political fellowship, and political compatibility are possible reasons for the formation of PAs [6]. Since trade and political relations are mutually dependent as strategic measures for governments, the connection between them has been discussed in the fields of economics and international relations [5,7,8,9,10,11,12,13].
Many studies have examined the consequences of trade on political relations. Direct and indirect trades generate political benefits and promote political relations by reducing the likelihood of interstate conflicts [12]. Fordham [5] emphasizes the importance of trade to the formation of PAs by suggesting that powerful states tend to form alliance ties with countries that they have close trade relations with since economic gains from trade could strengthen their power. Conversely, many works have also shown positive effects of political relations on trade [7,9]. Haim [13] emphasizes that states trade more within the same alliance community, and indirect political relations also facilitate bilateral trade. Long [10] states that more trade between allied states can be attributed to security or military concerns of governments and relation-specific mechanisms of firms. However, much of the existing literature has used trade flows to capture trade relations. Since decisions to form an FTA indicate the attributes of member states and their attitudes toward each other, FTAs can be interpreted as the strategic action in shaping the structures of their trade relations. Thus, this study considers FTAs, rather than trade flows, as trade relations.
This study analyzes the dynamics of FTAs and PAs. Since these agreements are characterized as a network, their formations depend on their own network-related properties as well as cross network-related properties, which should be incorporated to discuss the coevolution of FTAs and PAs. In particular, this study addresses two main hypotheses: (i) the dyadic tie in the FTA (PA) network influences the tendency of the dyadic tie in the PA (FTA) network (“cross-network dyadic influences”), and (ii) the popularity of a state in the FTA (PA) network influences the tendency of PA (FTA) ties (“cross-network preferential attachments”). In the context of intrinsic linkages between economic and political issues, states align foreign policies on trade and political relations [10]. More relevant to this study, there can be a dynamic linkage between FTAs and PAs, which are regarded as crucial forms of international cooperation [5,14]. FTAs manifest the positions and preferences in the international trade system, while PAs reveal the political orientation. Moreover, the cooperation of states in a particular field indicates that they regard each other as trustworthy and reliable partners. PAs could alleviate the possibilities of negative externalities from FTAs, and economic gains from FTAs could contribute to political strength. These arguments suggest the existence of cross-network dyadic influences, i.e., FTAs (PAs) promote the formation of PAs (FTAs). In addition, states tend to prefer to form a tie with partners that have already formed more ties [1]. A state’s trade and political relations with partners could reflect its reliability and own capabilities to implement institutional commitments in international cooperation. States with more PAs and FTAs may attract further ties of FTAs and PAs. Due to the interrelation of economic and political issues, the existing network structures of FTAs could affect a state’s decision concerning not only an FTA but also a PA, and similarly, the existing network structures of PAs could affect a state’s decision concerning both agreements. Given these arguments, we expect cross-network preferential attachments, i.e., a state tends to form FTAs with states that have more PAs and to form PAs with states that have more FTAs.
In the international system, the existing ties and characteristics of states can influence the decisions of states to form new ties. Although many studies examine the causes and consequences of international agreements [15,16,17,18,19,20], most of them apply conventional regressions without considering crucial network properties, such as triadic closures and preferential attachments. Recently, several works have incorporated network properties and analyzed the dynamics of international agreements by applying a social network analysis [1,6,21]. Social network analysis enables us to explore the interdependencies among states and address how states choose their prospective partners and how their decisions interact with one another [22]. This study attempts to analyze the possibility of multiplex relations between a pair of states. Multiplex relations can be simply defined as the simultaneous existence of more than one type of relations between two states. In other words, a pair of states may have different types of relational ties simultaneously [23]. However, to the best of our knowledge, few studies have discussed the multiplex relations of networks in the social network framework. Exception may include Warren [24,25] on military alliances and conflicts between states and Milewicz et al. [26] on trade agreements and nontrade issues. This study applies a stochastic actor-oriented model (SAOM), which is increasingly applied to analyze network panel data. Specifically, this study employs the multiplex form of SAOMs to evaluate the multiplex coevolution or dynamics of the two networks of FTAs and PAs, which would be a new contribution of this study to the literature.
2. Trade and Political Relations
Governments formulate their policies with the consideration of economic benefits and political interests since economic issues are closely interconnected to political ones [10,14]. They often play economic and political games and effectively utilize strategic foreign policies regarding trade and political relations to shape their international relations. For the establishment of a new relation, interested or involved states consider all of the possible endogenous and exogenous factors. However, there is no doubt that all states place high priorities on their own national interests in the negotiation processes of cooperation. In addition, balancing economic and political impacts on domestic interests is indispensable for negotiation mechanisms.
Trade matters for political relations and it can convey the power of a state. Trade relations help states create close economic relationships between states by enhancing communication and mutual understanding and facilitating political relations [11]. Trade relations, including indirect trade dependence, also contribute to positive political relations due to the reduction of interstate conflicts [11,12,27]. These arguments suggest that trade relations foster stable political relations, and trade tension leads to offensive political relations, i.e., trade relations between states are an important determinant of political relations.
The consequences of political relations on trade have also been discussed in the literature. By using different measures of political relations, such as militarized interstate disputes and interstate conflicts, many works generally show positive effects of political relations on trade [8,28], although some studies present less clear, or even negative, effects of political relations on trade [9,10]. Gowa and Mansfield [7], Long [10], and Long and Leeds [14] show that states tend to trade more with allied states than with adversaries because of less concern about security externalities arising from trade. Haim [13] suggests that direct and indirect political relations determine trade, and Bagozzi and Landis [20] claim that political ties support the stability of trade. Since trade flow can be regarded as an outcome, states often formulate strategic trade policies to enhance trade with their allied states [10,14]. These arguments suggest that positive political relations would promote trade relations, i.e., political relations are an important determinant of trade relations.
As trade relations, this study focuses on FTAs, through which member states provide market access to each other by reducing tariff and nontariff barriers while imposing different trade policies on nonmember states. FTAs generally result from successful negotiation by states with enthusiasm for national and regional development and they reflect strategic trade policies, indicating their attributes as well as their attitudes toward each other. FTAs often underscore friendships with constructive political relations between states in the sense that they are unlikely to emerge when political tension exists. However, states cannot expect only favorable consequences of FTAs since their benefits may not be equally distributed among member states and among industries within a member state due to FTA-related externalities and participation costs [3,4]. Some industries enjoy the benefits of FTAs at the expense of other industries, which often cause internal conflicts and difficulty in achieving public consensus. Accounting for the benefits and costs of FTAs, several studies have discussed the characteristics that determine the formation of FTAs [17]. Recent studies have emphasized the roles of network-related properties, including preferential attachments and transitive ties, as crucial driving forces for the formation of FTAs [1].
Another component in the study is the formation of PAs as a form of political relations. A variety of definitions of PAs exist in the field of international relations [10]. In general, PAs deliver peaceful relations between states, and PAs in this study include broad measures covering defense, neutrality, nonaggression pacts, and entente [6,29]. The existing literature has proposed that determinants of PA formation vary over time with dynamic properties [5,6,30,31]. Depending on international environments and the depth of relations between states, various factors, such as capability aggregation, political fellowship, and regime types, can be recognized for the formation of PAs [6,25,30,31,32]. States tend to form PAs when they share common threats, common interests, or some similarities in the economic and political senses [5,6]. Similar to FTAs, several studies have also suggested that network-related properties can be crucial driving forces for the formation of PAs [1,6,25].
This study emphasizes the policy alignment of states since governments must explicitly consider a variety of aspects upon the formulation of a specific policy. Policy alignment can be defined as adjusting processes between different policies or adjusting specific policies to other related policies to accomplish the national goals, and thus balancing the costs and benefits of their implementation. For example, trade liberalization may support international political relations but yield adverse effects on some domestic interest groups, so that it often causes domestic and external political issues, requiring careful policy alignment. This study discusses the policy alignment between trade and political relations. Long [10] and Long and Leeds [14] emphasize linkages between economic and political relations. FTAs improve economic benefits and indirectly improve political interests, while PAs improve political interests and indirectly improve economic benefits. Such interconnections lead to multiplex relational ties of FTAs and PAs as strategic measures of trade and foreign policies. Since a set of international agreements is characterized as a network, the formations of FTAs and PAs depend on their own and cross network-related properties. The decisions of states to enter into an FTA would depend on the existing networks of FTAs and PAs and the decisions to form a PA condition would depend on the current networks of PAs and FTAs, i.e., there is coevolution of the two networks of FTAs and PAs.
Many empirical studies on international agreements, including FTAs and PAs, exist in the fields of economics and political science. Most of them have applied conventional econometric analysis and have not extensively incorporated network properties into the models, although the nature of international agreements is a network. However, several studies have applied social network analysis to discuss the roles of trade agreements or political alliances. For trade agreements, Manger et al. [21] examine preferential trade agreements and find that structural arbitrage effects play a substantial role in their formation. Manger and Pickup [33] indicate the relationships between democratization and the formation of preferential trade agreements. Milewicz et al. [26] examine bilateral and plurilateral preferential trade agreements and nontrade issues. For political alliances, Warren [24] shows that states prefer to choose the allies of their allies when forming alliance ties, and Warren [25] examines the coevolution of military alliances, conflicts, and domestic democratization. However, the past literature has examined the patterns of FTAs and PAs independently. This study intends to contribute to the literature on international cooperation by exploring the possibility of multiplex relations between states in the context of policy alignment under economic and political linkages. To the best of our knowledge, our study is the first attempt to empirically analyze the coevolutionary interinfluences between FTAs and PAs.
3. Hypotheses
This section proposes four main hypotheses to discuss the multiplex coevolution of the two networks of FTAs and PAs. The first two are related to conventional features of extradyadic interinfluence within each network: (i) transitive ties or triadic closures and (ii) network popularities or preferential attachments [1,25]. The last two are related to multiplex networks or cross-network effects: (iii) cross-network dyadic influences and (iv) cross-network preferential attachments as extradyadic influences.
3.1. Structural Effects within Each Network
This subsection explains two structural effects within a network: transitive ties and preferential attachments. Transitive ties and preferential attachments could be the most common endogenous network effects because of the importance of third parties and popularities in network evolution. First, concerning transitive tie effects, several studies have emphasized the significant roles of indirect relations or third-party ties in the formation of a new relation [1,6,21,34]. Kinne [1] studies the evolution of international cooperation and suggests a tendency toward closure in a triad when states have a common third party through information and externalities mechanisms. Through information mechanisms, the third-party ties enable states to obtain information about their prospective partners, including their capacities for institutional compliance, trustworthiness, and preferences. Through externalities mechanisms, the third-party ties generate negative externalities related to issue-specific matters, such as trade and national security, under unclosed triads. In the network context, transitive tie effects imply that if relational ties exist between states and and between states and , states and are likely to form a new relational tie (Figure 1).

Figure 1.
Hypothesized network structural effects within each network. Notes: Thick solid lines represent existing FTA ties and thick dashed lines represent potential FTA ties. Thin solid lines represent existing PA ties and thin dashed lines represent potential PA ties.
As trade agreements, FTAs generally enhance trade flow, but they often cause unequal benefits and costs among states and among sectors within a state. Chen and Joshi [3] emphasize the third-party effects (“loss sharing” and “concession erosion” effects) with a focus on the trade-offs involved in forming an FTA and mention that a newly established FTA causes two states to face gains in export profits and consumer surplus, as well as reductions in home profits and tariff revenues. Manger et al. [21] elaborate that the unequal distribution of gains from trade among the “hub” and “spokes” motivates the spokes to establish direct ties with each other rather than linking via the hub. It implies that when the spokes share the same hub (i.e., they are linked via the same hub), they are likely to form an FTA between them directly, closing a triad of countries (triadic closure in the network term). The hub-spoke relationships have become more important in the discussion of the evolution of trade networks, particularly in the context of global value chains (GVCs), where international production and trade are characterized as different stages of the production process across different countries [35,36]. Some large states, like China, form FTAs to solidify their position as a hub of fragmented production networks.
To understand triadic closures in the FTA context, we consider a situation, where a hub state h has FTAs with spoke states i and j. Given the argument that a state enters into FTAs to improve its welfare through increased trade, state h could enhance its welfare through two FTAs with states i and j. However, state i may suffer from trade diversion due to the FTA between states h and j. The FTA between state h and j encourages state h to increase trade with its FTA partner j, perhaps replacing trade with the third state i for trade with the FTA partner j. The increased trade between states h and j may be achieved at the expense of state i. Similarly, state j may also suffer from trade diversion due to the FTA between states h and i. This implies that the gain from two FTAs (FTA between states h and i and FTA between state h and j) will accrue to the hub state h, and the gain of the hub state h may be larger than that of its spokes i and j, which indicates the unequal distribution of gains among the hub and the two spokes. To mitigate such unfavorable conditions, spoke states i and j are encouraged to establish an FTA for trade promotion between them and the enhancement of their welfare. The FTA between spoke states i and j also enables them to restore their market shares in the hub state h, which they lost due to trade diversion associated with the FTAs between states h and i and between states h and j. Consequently, a new FTA between spoke states i and j, closing a triad, will lead to more equal distribution of gains among the hub and spokes. These arguments suggest that spoke states i and j are likely to form an FTA when they are linked to a common third party.
Concerning the PA network, PAs are established to aggregate power and strengthen political fellowships for mutual benefits. Several studies have offered possible justifications for why states choose prospective partners that share a common third party. States evaluate the reliability, trustworthiness, and reputation of their prospective partners through the common third party [1,37]. The sharing of common allies between states demonstrates the states’ attitudes and attributes that are similar to those of the common third party, signaling a similar stance in the system. Maoz et al. [38] introduce the concept of structural balance, suggesting similar patterns of strategic commitments of states to the third parties and noting that states involved in common alliances share similar political perceptions of friends and foes. Cranmer et al. [6] argue that a closed triad generates an equal distribution of political benefits from PAs. With a closed triad, a particular state gains from political relations with its partners in more harmonious ways, indicating that the utility gain from partners in a closed triad is greater than that in an unclosed triad. Thus, the presence of a common third party encourages states to establish a direct PA tie. Given the above arguments, we propose the following two hypotheses related to transitive ties:
H1a
States are likely to form FTAs when they share a common partner.
H1b
States are likely to form PAs when they share a common partner.
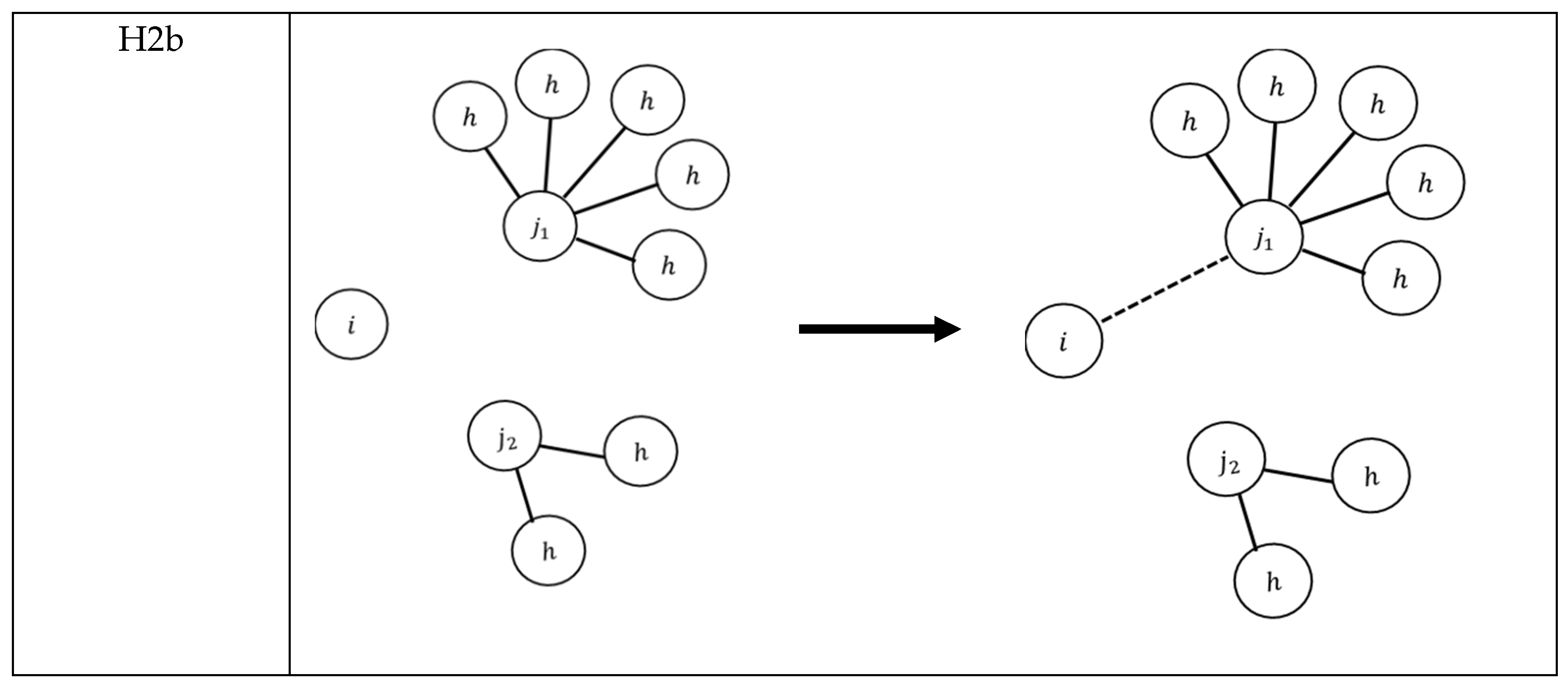
The second structural effect to be examined is preferential attachments. Some studies emphasize the popularity of an actor in the formation of new ties [1,25,39]. In network analysis, popularity is measured by the number of ties or degree centrality. A state’s choice to form a new tie depends on the existing prospective partners’ popularity, commonly known as preferential attachments. The popularity reflects trustworthiness, reliability, and capability to fulfil institutional commitments [1,40]. State gains benefits indirectly from state ’s relations with others, so states with many bilateral ties are attractive to state in the FTA and PA networks (Figure 1).
Concerning FTAs, the high popularity in the FTA network reflects a lucrative market with a strategic position that connects to other international markets. A state prefers to form an FTA with a partner that has more FTAs since it can obtain economic benefits through intensified trade with the more active partner in the FTA network (a partner with more FTAs). The context of hub-and-spoke arrangements should be considered to explain the formation of FTAs in the prevalence of GVCs. It should be noticed that the hub state, in the context of the trade network, is generally characterized as the state that is sourced by many states and supplies its products to the international markets. A state may establish many FTAs strategically to be a regional hub that ensures greater reciprocal market access to its spokes [35,41]. For instance, Japan enters into FTAs to ensure market access and a predictable business environment for its firms, especially large multinational firms involving fragmented production across states [35]. In other words, FTAs could be a strategic activity in the context of GVCs since the hub state attempts to connect to many potential spokes and the spokes also attempt to engage in the global production networks. In such a case, the prevalence of rules of origins (ROOs), a set of rules to determine the nationality or country of origin of goods, would be a great concern. In fact, member states of respective FTAs have arranged to manage the ROO issues by establishing a proper system to issue the country of origin (CO) certificates (or concerned forms) as stipulated in their FTAs. Thus, FTAs are strategic activities of states to enhance their welfare, although there may exist some concerns on restrictive ROOs [35]. These arguments suggest that a state is more likely to establish an FTA with the active hub and that the active hub may also wish to expand its market access or its FTA networks by forming more FTAs with prospective partners.
Regarding PAs, a state tends to choose partners with more PAs. In the context of international relations, a state’s international power is often associated with alliance centrality [39]. A state would enhance political benefits by choosing partners with more PAs due to the political support not only from its ally but also from allies of its ally in solving international issues. For example, states may mitigate security issues by receiving support from a large coalition in cases where they need military support. Therefore, we propose the following two hypotheses related to preferential attachments:
H2a
A state is likely to form an FTA with a state that has more FTAs.
H2b
A state is likely to form a PA with a state that has more PAs.
3.2. Multiplex Network Effects between FTAs and PAs
This subsection explains two multiplex networks or cross-network effects: cross-network dyadic effects and cross-network preferential attachment effects. In social network analysis, multiplexity exists when two actors are linked through more than one type of tie within a given boundary of actors [42]. It indicates not only interdependence among states but also interaction among networks. In this study, a pair of states can form two types of ties, FTAs and PAs. Snijders et al. [43] suggest that participating in one group and sharing the same activities enable states to facilitate information exchanges. During the negotiation and implementation periods of the establishment of new ties, such as FTAs and PAs, involved states could obtain more insightful information about the preferences, capability, and capacity of their partners than they would have obtained without any ties. The existing ties might also allow states to mutually exchange more information about their attributes in the system and their experiences of engaging in other agreements. In addition, trustworthiness and reliability are fundamentals in cooperation mechanisms. A pair of states with an FTA or PA construct mutual trust and assess each other’s reliability through the implementation of institutional commitments to respective agreements or cooperation. These arguments indicate that the presence of one type of tie promotes another type of tie or cooperation, leading to the multiplex relations between states. Figure 2 illustrates the reinforced relationships between two states with two distinct nondirected links, FTAs and PAs.

Figure 2.
Hypothesized multiplex network (or cross-network) effects. Notes: Thick solid lines represent existing FTA ties and thick dashed lines represent potential FTA ties. Thin solid lines represent existing PA ties and thin dashed lines represent potential PA ties.
Specifically, PAs generally ensure less possibility of political conflict or tension that would disrupt private trade and investment transactions. This encourages firms in allied states to search for a more predictable market, which calls for the formation of FTAs to reduce trade barriers and facilitate trade in a more transparent and predictable manner. In addition, trade could increase the dyadic potential military power of allied states, enhancing strong incentives to promote trade between them [8]. To improve aggregate welfare, governments align their trade policies with national security interests, favoring their allied states [10]. Moreover, security policy coordination often promotes cooperation in other policy fields, including trade ties. In the event of trade disputes, states sharing integrated security systems provide informational resources and political pressures to seek cooperation [20,44]. In such an interrelation between foreign policies on trade and political relations, the existing PA can multiply the benefits of the FTA, reducing domestic political costs that arise from different stakeholders. Thus, the tendency of a pair of states to enter into an FTA is higher when the states are politically allied.
Concerning channels from the presence of FTAs to PA formation, Haim [13] claims that economic gains from increased trade can be translated into political power or influence, implying that the governments of states tend to multiply the benefits of FTAs by establishing PAs. In addition, PAs can alleviate concerns about the possibility of negative security externalities associated with increased trade through FTAs [14]. Thus, states that are connected through FTAs are more likely to form PAs to avoid trade-related conflicts, secure close trade relationships, and encourage firms to maintain trading activities with better political relations in a more cooperative manner. Therefore, we propose the following two hypotheses related to cross-network dyadic influences between FTAs and PAs:
H3a
The presence of a PA between states is likely to promote the formation of an FTA.
H3b
The presence of an FTA between states is likely to promote the formation of a PA.
The second cross-network effect is related to preferential attachments. The previous subsection has discussed the preferential attachment effects within each of the two networks of FTAs and PAs, i.e., a state tends to form an agreement with a state that has more agreements. In addition to such within-network effects, this study argues the possibility of preferential attachment effects across the two networks. A state with more ties or high popularity can be considered more attractive on the basis of its trustworthiness, reliability, and capability [1]. The popularity of a state may influence the decisions of other states in one network as well as in another network. Due to interactions of economic and political issues, a state would multiply its economic and political benefits by forming an FTA with partners that have more PAs and forming a PA with partners that have more FTAs.
Given the preferential attachment effects from the PA network to the FTA formation, a state could enhance the benefits and reduce the costs by forming an FTA with partners that have more PAs. If a state establishes an economic link through an FTA with a politically central partner, it can obtain substantive economic benefits associated with trade promotion and information acquisition, as well as political support from the connection with the politically dominant partner. Such a state could also reduce domestic political costs and pressures by convincing different interest groups that an FTA with a partner with more PAs would bring about stable trade benefits because of the lower likelihood of trade volatility in the partner [20]. Thus, a state has an incentive to form an FTA with PA-popular partners.
Regarding the preferential attachment effects from the FTA network to the PA formation, a state could increase political benefits by forming a PA with partners that have more FTAs. Given the recent trend towards more importance of global supply chains under a globalized world, having more FTAs can be considered a signal of influential economic power with more information and credibility, which can often strengthen political and military power. In addition, although PAs are designed to establish close political relations, they also help enhance and stabilize bilateral trade flows because the transparency and policy convergence induced by alliances stabilize private agents’ expectations, deepen economic ties, and promote successful trade dispute settlement [20]. Alliances can help promote and stabilize trade among member states since they are often associated with agreements that oblige alliance members to engage in various forms of economic cooperation, such as trade integration [14]. Such economic cooperation stabilizes trade by mitigating information problems and policy discontinuities that may yield volatile trade and investment [44]. Thus, a state could promote and stabilize trade with, and utilize the influential power of, a highly active or popular state in the FTA network as its PA partner, i.e., a state has an incentive to form a PA with FTA-popular partners. Figure 2 shows that state prefers to form an FTA (a PA) with partner that has more PAs (FTAs). Then, we propose the following two hypotheses related to cross-network preferential attachments:
H4a
A state is likely to establish an FTA with popular states in the PA network.
H4b
A state is likely to establish a PA with popular states in the FTA network.
4. Model Specification and Data
For the analysis of relational data, many studies have applied traditional regression techniques, such as logit and probit models. However, when dependencies of the observations of the dependent variable exist, traditional estimation methods suffer from misspecification issues with biased estimates and might fail to capture strategic interactions between states [1,25,45]. Cooperation between states, through FTAs and PAs in this study, stems from the decisions of states based on their attributes, characteristics of their prospective partners, and the existing network ties. To model endogenous mechanisms of network formation, there are two important classes of statistical models: the exponential random graph model (ERGM) and the stochastic actor-oriented model (SAOM). Both models have been applied to analyze binary networks, where the likelihood of a tie to exist or come about depends on its embedding in configurations or substructures of other ties within the network. Although the two models share similar properties, they differ in the details. Intuitively, the ERGM is regarded as “tie-based”, while the SAOM is regarded as “actor-oriented” (see [46], for more detailed explanation). To analyze the multiplex coevolution between the two networks of FTAs and PAs in a framework incorporating the network structural influences and strategic interaction between states, this study employs a multiplex stochastic actor-oriented model (SAOM) [43,47]. The SAOM treats the networks as dependent variables and models the endogenous and exogenous influences that cause changes in the network structures over time, i.e., changes in the network structure are caused by endogenous network structures and exogenous characteristics of states. To evaluate our hypotheses, we include within-network and cross-network interinfluences in our model. The former is to underline the structural effects within a network, and the latter is to examine the interaction between the two networks.
The SAOM characterizes the international system as a collection of networks evolving from the interdependent decisions of states, and it allows for the functional form of the statistical estimator directly from theoretically-driven assumptions about the utility functions of states [25]. Let denote an matrix representing an FTA network, and let denote an matrix representing a PA network, where and are dichotomous variables representing the FTA and PA ties in force between states and for any dyad-year, respectively. Our analysis is based on a panel study of the two networks, which are observed over time T = () with . We specify both FTA and PA networks as “nondirected” networks, where involved states (actors) jointly determine to form a tie. The nondirected data does not differentiate between senders and receivers, assuming that both ego and alter (two states involved in a tie) have equal contributions to nondirected ties [48]. In our model, FTA and PA networks are specified as codependent variables.
The network objective function determines the probabilities of a relational tie change in the network, given that a state has an opportunity to change a relational tie [49,50]. The state makes decisions based on the objective of maximizing its utility after considering the current structures of the networks and the distributions of covariates. The model assumes that a state considers possible actions and the corresponding changes in its utility once afforded an opportunity to make a choice, and then it chooses the action that is expected to maximize its utility. In this study, the utility of state is captured by the two objective functions of FTA and PA networks with random components, which are, respectively, defined as a linear combination of a set of endogenous network effects and exogenous covariate effects:
where, the functions and represent the model-specified network effects and relevant exogenous covariate effects of state ; and and are the corresponding parameters of the two objective functions, representing the importance of various effects in the model. A positive (negative) estimate indicates that the corresponding effect encourages (discourages) FTAs, and a positive (negative) estimate indicates that the corresponding effect encourages (discourages) PAs. Similar to multinomial logistic regression, the estimate for a given effect is the log odds ratio of the probability that country will choose to form the corresponding tie, given that the only difference is a one-unit change in the effect of interest [48]. In our models, endogenous network effects consist of within-network (structural network) effects and cross-network (multiple network) effects, and exogenous covariate effects consist of exogenous monadic and dyadic covariate effects.
As endogenous within-network effects, we incorporate transitive tie (triadic closures) effects and preferential attachment (in-degree related popularity) effects to evaluate hypotheses 1a, 1b, 2a, and 2b. The transitive tie effect is commonly recognized as a distinct feature in most networks in the sense that friends of friends become friends. It captures the probability of a direct relation between states and that leads to triadic closure [47]. The transitive tie effects for the two networks of FTAs and PAs are defined as:
In addition, the preferential attachment effects capture the tendency of state to form a tie with state with the higher degree centrality and are defined as:
Concerning endogenous cross-network effects, we specify cross-network dyadic effects and cross-network preferential attachment effects to examine the multiplex coevolution of FTA and PA networks in hypotheses 3a, 3b, 4a, and 4b. The cross-network dyadic effects that capture the influence of a dyadic tie in one network on a dyadic tie in another network are described as:
where, and represent the effects of a tie in the PA network on a tie in the FTA network and the effects of a tie in the FTA network on a tie in the PA network, respectively. In addition, the cross-network preferential attachment effects measure the influence of the popularity of state in one network on the decision of state in another network and are defined as:
where, and are the numbers of ties of state in the FTA and PA networks, respectively. The effect captures the tendency of state toward FTA ties with prospective partners that have higher degree centrality in the PA network, and measures the tendency of state i toward PA ties with more attractive partners with higher degree centrality in the FTA network. Following conventional network models, the model incorporates additional endogenous network effects by including the density (outdegree) effect, which is the most basic in network analysis ( and for FTA and PA ties, respectively). In a decision-theoretic approach, this effect reflects the balance of the benefits and costs of an arbitrary relational tie. Given the sparse networks, in most cases, the costs usually outweigh the benefits for a state to establish a relational tie to an arbitrary other state so that a parameter of the outdegree effect has a negative value.
Following conventional network models, our model also considers several exogenous monadic and dyadic covariate effects. As monadic covariates, we include the income level (development) and the democracy measure (regime) in both objective functions. In addition, the models include the trade openness (trade dependency) measured by the ratio of trade flow to GDP for the FTA equation and the national material capability measure (capability) for the PA equation. Specifically, the models include (i) the sum of the covariate-ego and covariate-alter effects and (ii) the covariate-related similarity defined by the sum of the centered similarity scores between a state and other states with which it is tied. The income level of a state captures the development stage and is measured by the log of the real GDP per capita. The democracy measure reflects regime types measured by the Polity IV index [51], which is recoded from 0 to 20 (0 for full autocracy to 20 for full democracy). The national material capability is measured by the widely used Composite Index of National Capability (CINC) based on six components (total population, urban population, iron and steel production, energy consumption, military personnel, and military expenditure). Concerning dyadic covariates, the models include the log of the distance between the capital cities of two states (distance) and the log of bilateral trade flows (trade).
The model estimation uses the longitudinal data covering 160 states over the three-year nonoverlapping periods from 1990 to 2012 (eight waves). Our current focus on the 1990–2012 time period can be justified by the fact that bilateral FTAs were relatively rare prior to the 1990s (or even breaks in the international system due partly to the end of the Cold War). Each of the dependent variables of the nondirected FTA and PA networks comprises an array with the number of countries, , and the number of the sample periods, , where a value of one indicates an FTA (PA) in force between a dyad in a given period and zero otherwise. We extract the data of FTA ties from Mario Larch’s Regional Trade Agreements database [52]. The data of PA ties is extracted from the Correlates of War Formal Interstate Alliance dataset (version 4.0) [53] and CINC index from the Correlates of War National Material Capabilities dataset (version 5.0) [54]. The data of trade dependency and real GDP per capita are obtained from the World Bank’s World Development Indicators (WDI). The data on distance and bilateral trade are obtained from CEPII’s GeoDist database [55] and the Direction of Trade Statistics of the International Monetary Fund (DOTS-IMF), respectively.
This study only considers bilateral agreements. In our sample, as of 2011, the numbers of bilateral and plurilateral FTA ties are 118 and 1245, respectively, and those of bilateral and plurilateral PA ties are 77 and 905, respectively (given the decomposition of plurilateral agreements into their constituent relational ties between two states). The inclusion of plurilateral agreements in bilateral relations may lead to a misleading interpretation since the objective of our study is to examine reciprocal relations with the characteristics of individual states and state pairs. Menon [56] discusses that bilateral PTAs are not equally regarded as plurilateral deals, at least in practice. In addition, Milewicz et al. [26] argue that treating plurilateral agreements as their constituent dyads in a framework of one-mode networks poses methodological problems when the actors’ choices to join plurilateral agreements are analyzed, so that plurilateral agreements networks should be modelled as two-mode networks. Since our main interest is on states’ choices to form reciprocal agreements, our analysis is based on one-mode networks with bilateral FTAs and PAs, rather than plurilateral agreements. This study estimates the models by using the RSiena package, which allows us to empirically analyze the multiplex coevolution of two codependent networks [48,57,58]. Table 1 presents the descriptive statistics of the FTA and PA networks. Figure 3 and Figure 4 show digraphs of the FTA and PA networks in 1990 and 2011, respectively.
Table 1.
Descriptive statistics for bilateral free trade agreement (FTA) and political alliance (PA) networks.
Figure 3.
Digraphs of the FTA networks in 1990 and 2011.
Figure 4.
Digraphs of the PA networks in 1990 and 2011.
5. Empirical Results
Table 2 presents the estimated results of our multiplex SAOMs. The overall maximum convergence ratio is 0.15, and all convergence t-ratios are less than 0.05, which implies that the model attains adequate convergence of the algorithm [48]. To confirm the empirical validity of our results, we conduct two robustness checks. First, we re-estimate the model by controlling for plurilateral FTAs for the FTA equation and plurilateral PAs for the PA equation as exogenous covariate effects. Although our study focuses on bilateral agreements to discuss the formation of bilateral reciprocal agreements, recent studies, such as Milewicz et al. [26], have emphasized the importance of plurilateral or multilateral agreements in a framework of two-mode networks with two types of nodes (i.e., countries and plurilateral agreements). In fact, plurilateral agreements, such as the ASEAN Free Trade Area (AFTA), the North American Free Trade Agreement (NAFTA), and the European Economic Area (EEA), have played crucial roles in promoting trade relations under the prevalence of cross-border transactions by multinational corporations. As the second robustness check, we re-estimate the models based on annual data covering the period from 1990 to 2012 (23 waves), instead of the three-year nonoverlapping data (eight waves) in the baseline estimation. Table 3, Table 4 and Table 5 present the estimated results of the two robustness checks, which are generally consistent with our baseline results in Table 2.
Table 2.
Coevolution of FTAs and PAs, three-year intervals, eight waves (1990 to 2011).
Table 3.
Coevolution of FTAs and PAs, three-year intervals, eight waves (1990 to 2011) after controlling for plurilateral ties.
Table 4.
Coevolution of FTAs and PAs, yearly, 23 waves (1990 to 2012).
Table 5.
Coevolution of FTAs and PAs, yearly, 23 waves (1990 to 2012) after controlling for plurilateral ties.
5.1. Structural Effects within Each Network
Concerning the within-network effects, hypotheses 1a and 1b (transitive ties) and hypotheses 2a and 2b (preferential attachments) receive strong support from our empirical results. The positive and significant parameters for the transitive tie effects, and , suggest that states are more likely to establish FTAs and PAs when they share a common third party. If a state and its prospective partner share at least one common third party in the FTA network, the probability that the state forms an FTA with the partner is increased by a factor of or 1218 percent. Similarly, if a state and its prospective partner share at least one common third party in the PA network, the probability that the state forms a PA with the partner is increased by a factor of or 785 percent. Our results are consistent with the findings of the existing works emphasizing the importance of indirect links or triad closures in the evolution of networks [1,6]. The presence of the common third country plays an important role in FTA and PA formation, which suggests that states prefer triadic closures for the cognitive balance of economic and political power among states.
In addition, the positive and significant parameters for the preferential attachment effects, and , reveal that states are more likely to establish an FTA with popular partners in the FTA network and a PA with popular partners in the PA network. The estimates suggest that a one unit increase in the within-network preferential attachment effect increases the probability of an FTA by a factor of , or 22 percent, and the probability of a PA by a factor of , or 22 percent. As mentioned in Kinne [1], highly popular countries could convey trustworthiness and reliability more credibly than less popular counterparts since the popularity is generally a signal of credibility, and popular countries have more information about their partners’ economic, financial, regulatory, and political conditions. Forming a tie with such a popular partner allows a state to improve its own credibility and to obtain information about not only the partner but also the partner’s partners.
5.2. Multiplex Network Effects between FTAs and PAs
The results of the cross-network effects related to hypotheses 3a and 3b (cross-network dyadic influences) and hypotheses 4a and 4b (cross-network preferential attachments) are rather mixed, depending on the types of the tie formations, as well as the existing networks. For the cross-network dyadic effects, the positive and significant parameter for supports hypothesis 3a, indicating that the presence of a PA between states promotes the formation of an FTA. The presence of a PA between states increases the probability that they form an FTA by a factor of , or 136 percent. On the other hand, the nonsignificant parameter for fails to support hypothesis 3b, which shows no clear evidence that the presence of an FTA inspires the formation of a PA. Our analysis reveals asymmetric results in the sense of a clear association of the existing PA tie with the FTA formation and a less clear association of the existing FTA tie with the PA formation.
Concerning the cross-network dyadic effects from the PA tie to the FTA tie (hypotheses 3a and 3b), our result shows that the existing PA facilitates the formation of an FTA. Less political conflicts among allied states provide firms with sound trade and investment environments and enable them to expand their business to a more predictable market, which calls for the formation of FTAs. In addition, since trade increases the potential political power, allied states have strong incentives to promote trade by forming an FTA [8]. Moreover, the formation of an FTA often requires complex negotiation processes and entails substantial domestic costs, such as those associated with political cleavages among interested groups and changes in trade exposure among protected industries. The presence of a PA often promotes other forms of cooperation, including FTAs, by reducing various domestic costs and alleviating the information problems in foreign policy with transparency and policy convergence [20]. On the other hand, the estimation presents less clear evidence of the cross-network dyadic effects from the FTA tie to the PA tie, i.e., states that have established an FTA are less likely to form a PA. This result appears to confirm the argument that the importance of political power is relatively small under the ongoing economic integration in international relations. Our findings of the asymmetric dyadic effects between FTAs and PAs emphasize global preferences for free trade and suggest that alliances serve as a preliminary step to enter into trade agreements, and once states establish a trade agreement, the importance of forming alliances may diminish for them.
Regarding the cross-network preferential attachment effects (hypotheses 4a and 4b), the nonsignificant parameter for fails to support hypothesis 4a, i.e., there is no clear evidence that states are likely to form an FTA with popular partners in the PA network. In contrast, the positive and significant parameter for supports hypothesis 4b, which confirms that states are likely to form a PA with popular partners in the FTA network. The estimation suggests that a one unit increase in the cross-network preferential attachment effect of the FTA network on the PA formation increases the probability of forming a PA by a factor of , or 124 percent. Similar to the findings of the cross-network dyadic influences, the model presents asymmetric results in the sense of a clear association of the existing FTA popularity with PA formation and a less clear association of the existing PA popularity with FTA formation.
Regarding the cross-network preferential attachment effects from the PA network to FTA formation, the less clear evidence in our results suggests that a state seems to pay less attention to the number of PAs that its prospective partner has when deciding whether to form an FTA. An FTA with partners that have more PAs provides benefits including trade promotion and information acquisition. However, such benefits would not cover the costs of forming an FTA, which consist of negotiation costs and domestic costs. Negotiation with a state with many PAs for the establishment of an FTA is costly, partly because it may take more time for the allied states to adjust their trade policies. Forming an FTA often entails high domestic costs associated with political cleavages among the interest groups that are affected by the FTA [20]. On the other hand, concerning the cross-network preferential attachment effects from the FTA network to the PA formation, the results show that states tend to establish a PA with partners with more FTAs as a strategic policy action. The recent economic integration with global supply chains enables states with more FTAs to play a crucial role as trade hub states and enhance their political power with more information and credibility. This argument supports a state’s preference to form a PA with partners with more FTAs.
In combination with the within-network preferential attachment effects in hypotheses 2a and 2b, the asymmetric effects of cross-network preferential attachments between the FTA and PA networks provide important implications for the policy alignment of governments between FTAs and PAs. Our analysis suggests that a state prefers to form both FTAs and PAs with trade hub partners that have more FTAs but prefers to form only PAs with political hub partners that have more PAs. These results emphasize states’ preferences for popularity in the FTA network. Trade hub states attract partners by means of both trade and political relations, while political hub states attract partners by means of only political relations.
5.3. Exogenous Covariate Effects
Our models also control for exogenous dyadic and monadic covariate effects. Concerning monadic covariate effects, the parameter estimate of the geographical distance is significantly negative in both of the objective functions of the FTA and PA networks, so that two states are more likely to form an FTA and a PA when they are geographically close. The results also show that bilateral trade flows encourage the formation of only FTAs. Regarding monadic covariate effects, we find several important results. First, the parameter estimates of the development similarity are significantly positive for the FTA and PA equations, suggesting that states sharing a similar development stage or income level are more likely to form an FTA and a PA. Second, the parameter estimates of regime are significantly positive, so democratization encourages the formation of FTAs and PAs. Third, the parameter estimate of trade dependence is significantly positive in the FTA equation, indicating that trade integration encourages states to enter into the FTA network. At the same time, the significantly negative estimate of the trade dependence similarity suggests that states that share similar trade openness are less likely to form an FTA.
6. Conclusions
The interaction between states and interinfluences between their policies are the basic foundation for theorizing the possibility of multiple relations between states. The policy alignments of states on trade and political relations can be regarded as the most critical agenda in a complex, globalized world. Accounting for the linkages between economic and political issues, this study has focused on the two types of relational ties: (i) FTAs as economic cooperation and (ii) PAs as political cooperation. The relational ties constitute networks, and the network structures change dynamically. To understand the relationship between trade and political relations, we have discussed the coevolution of FTAs and PAs by employing a multiplex SAOM that enables us to model the dynamic natures of states and their decisions in international relations. In particular, this study has evaluated main hypotheses related to multiplex network effects: (i) cross-network dyadic influences and (ii) cross-network preferential attachments.
Our main results have presented the existence of multiplex network effects as consequences of the policy alignment of states. First, the results have shown that the presence of a PA inspires the formation of an FTA but present no clear evidence that the presence of an FTA promotes the formation of a PA. Given the argument that the importance of political power has diminished under trade integration, such asymmetric dyadic interinfluences between FTAs and PAs emphasize global preferences for trade liberalization. Alliances might be a preliminary step for the establishment of trade agreements, and alliances may not be required once states establish a trade agreement. Second, the analysis has demonstrated that states are likely to form a PA with popular partners in the FTA network, while there is no clear result that states prefer to form an FTA with popular partners in the PA network. Trade hub states attract partners by forming PAs, while political hub states do not attract partners by forming FTAs. This finding reveals states’ preferences for popularity in the FTA network. As a whole, this study has emphasized the significant multiplex network effects as well as the policy alignments of states and the resulting network dynamics, leading to a better understanding of the nature of states in the international relations system. Trade and political relations should be balanced or aligned to achieve the greatest gains from international relations.
As final remarks, we should explain the limitations of our empirical analysis. First, with the importance of global value chains, FTAs would be a more crucial strategic trade policy to encourage multinational and domestic firms to take advantage of international fragmented production. When states negotiate the formation of an FTA, the ROOs provision is often an important issue in the negotiation process. One of the objectives of ROOs is to avoid the situation where firms that export their products from third states benefit from the FTA via the member state with the low tariff. Thus, the prevalence of ROOs may also be related to the FTA network evolution with the heterogeneity of states and products in the world trading system with global value chains. Our empirical models do not explicitly consider such roles of ROOs, so that they should be incorporated into the models to understand the patterns of the FTA formation in a more comprehensive manner. Second, our models have focused on the networks of bilateral FTAs and PAs, treating plurilateral agreements as exogenous covariates in our robustness checks. However, plurilateral agreements can also be considered in the analysis of international relations or international cooperation networks in order to capture the important connections through plurilateral agreements. It is worth conducting research on the evolution of international cooperation networks that includes both bilateral and plurilateral agreements by employing proper models and methodologies. Inclusion of both bilateral and plurilateral agreements would help to develop more insightful arguments, mirroring the complex networks of international relations.
Author Contributions
Conceptualization, Y.M. S.L. and M.K.; methodology, Y.M. and S.L.; software, Y.M. and S.L.; validation, Y.M., S.L. and M.K.; formal analysis, Y.M. and M.K.; investigation, Y.M.; resources, Y.M., S.L. and M.K.; data curation, Y.M.; writing—original draft preparation, Y.M.; writing—review and editing, Y.M. and M.K.; visualization, Y.M.; supervision, M.K.; project administration, Y.M.
Funding
This research received no external funding.
Conflicts of Interest
The authors declare no conflict of interest.
References
- Kinne, B.J. Network Dynamics and the Evolution of International Cooperation. Am. Pol. Sci. Rev. 2013, 107, 766–785. [Google Scholar] [CrossRef]
- Maoz, Z.; Joyce, K.A. The effects of shocks on international networks: Changes in the attributes of states and the structure of international alliance networks. J. Peace Res. 2016, 53, 292–309. [Google Scholar] [CrossRef]
- Chen, M.X.; Joshi, S. Third-country effects on the formation of free trade agreements. J. Int. Econ. 2010, 82, 238–248. [Google Scholar] [CrossRef]
- Kohl, T.; Brakman, S.; Garretsen, H. Do trade agreements stimulate international trade differently? Evidence from 296 Trade agreements. World Econ. 2016, 39, 97–131. [Google Scholar] [CrossRef]
- Fordham, B.O. Trade and asymmetric alliances. J. Peace Res. 2010, 47, 685–696. [Google Scholar] [CrossRef]
- Cranmer, S.J.; Desmarais, B.A.; Kirkland, J.H. Toward a Network Theory of Alliance Formation. Int. Interact. 2012, 38, 295–324. [Google Scholar] [CrossRef]
- Gowa, J.; Mansfield, E.D. Power Politics and International Trade. Am. Pol. Sci. Rev. 1993, 87, 408–420. [Google Scholar] [CrossRef]
- Gowa, J.; Mansfield, E.D. Alliances, Imperfect Markets, and Major-Power Trade. Int. Organ. 2004, 58, 775–805. [Google Scholar] [CrossRef]
- Morrow, J.D.; Siverson, R.M.; Tabares, T.E. The political determinants of international trade: The major powers, 1907–1990. Am. Polit. Sci. Rev. 1998, 92, 649–661. [Google Scholar] [CrossRef]
- Long, A.G. Defense Pacts and International Trade. J. Peace Res. 2003, 40, 537–552. [Google Scholar] [CrossRef]
- Dorussen, H.; Ward, H. Trade networks and the Kantian peace. J. Peace Res. 2010, 47, 29–42. [Google Scholar] [CrossRef]
- Hegre, H.; Oneal, J.R.; Russett, B. Trade does promote peace: New simultaneous estimates of the reciprocal effects of trade and conflict. J. Peace Res. 2010, 47, 763–774. [Google Scholar] [CrossRef]
- Haim, D.A. Alliance networks and trade: The effect of indirect political alliances on bilateral trade flows. J. Peace Res. 2016, 53, 472–490. [Google Scholar] [CrossRef]
- Long, A.G.; Leeds, B.A. Trading for Security: Military Alliances and Economic Agreements. J. Peace Res. 2006, 43, 433–451. [Google Scholar] [CrossRef]
- Grossman, G.M.; Helpman, E. The politics of free-trade agreements. Am. Econ. Rev. 1995, 85, 667–690. [Google Scholar]
- Rotunno, L. Political stability and trade agreements: Evidence for ‘endgame FTAs’. Eur. J. Pol. Econ. 2016, 45, 133–148. [Google Scholar] [CrossRef]
- Baier, S.L.; Bergstrand, J.H. Economic determinants of free trade agreements. J. Int. Econ. 2004, 64, 29–63. [Google Scholar] [CrossRef]
- Baier, S.L.; Bergstrand, J.H. Do free trade agreements actually increase members’ international trade? J. Int. Econ. 2007, 71, 72–95. [Google Scholar] [CrossRef]
- Baier, S.L.; Bergstrand, J.H. Estimating the effects of free trade agreements on international trade flows using matching econometrics. J. Int. Econ. 2009, 77, 63–76. [Google Scholar] [CrossRef]
- Bagozzi, B.E.; Landis, S.T. The stabilizing effects of international politics on bilateral trade flows. Foreign Policy Anal. 2015, 11, 151–171. [Google Scholar] [CrossRef]
- Manger, M.S.; Pickup, M.A.; Snijders, T.A. A Hierarchy of preferences: A longitudinal network analysis approach to PTA formation. J. Confl. Resolut. 2012, 56, 853–878. [Google Scholar] [CrossRef]
- Gallop, M.B. Endogenous networks and international cooperation. J. Peace Res. 2016, 53, 310–324. [Google Scholar] [CrossRef]
- Baumgartner, T.; Burns, T.R. The Structuring of International Economic Relations. Int. Stud. Q. 1975, 19, 126. [Google Scholar] [CrossRef]
- Warren, T.C. The geometry of security: Modeling interstate alliances as evolving networks. J. Peace Res. 2010, 47, 697–709. [Google Scholar] [CrossRef]
- Warren, T.C. Modelling the coevolution of international and domestic institutions: Alliances, democracy, and the complex path to peace. J. Peace Res. 2016, 53, 424–441. [Google Scholar] [CrossRef]
- Milewicz, K.; Hollway, J.; Peacock, C.; Snidal, D. Beyond trade: The expanding scope of the nontrade agenda in trade agreements. J. Confl. Resolut. 2016, 62, 743–773. [Google Scholar] [CrossRef]
- Maoz, Z. Network Polarization, Network Interdependence, and International Conflict, 1816–2002. J. Peace Res. 2006, 43, 391–411. [Google Scholar] [CrossRef]
- Mansfield, E.D.; Bronson, R. Alliances, preferential trading agreements, and international trade. Am. Pol. Sci. Rev. 1997, 91, 94–107. [Google Scholar] [CrossRef]
- Gibler, D.M.; Sarkees, M.R. Measuring alliances: The Correlates of War Formal Interstate Alliance Dataset, 1816–2012. J. Peace Res. 2004, 41, 211–222. [Google Scholar] [CrossRef]
- Simon, M.W.; Gartzke, E. Political System Similarity and The Choice of Allies. J. Confl. Resolut. 1996, 40, 617–635. [Google Scholar] [CrossRef]
- Lai, B.; Reiter, D. Democracy, Political Similarity, and International Alliances, 1816–1992. J. Confl. Resolut. 2000, 44, 203–227. [Google Scholar] [CrossRef]
- Gibler, D.M.; Worlford, S. Alliances, then democracy. J. Confl. Resolut. 2006, 50, 129–153. [Google Scholar] [CrossRef]
- Manger, M.S.; Pickup, M.A. The coevolution of trade agreement networks and democracy. J. Confl. Resolut. 2016, 60, 164–191. [Google Scholar] [CrossRef]
- Maoz, Z.; Terris, L.G.; Kuperman, R.D.; Talmud, I. What Is the Enemy of My Enemy? Causes and Consequences of Imbalanced International Relations, 1816–2001. J. Pol. 2007, 69, 100–115. [Google Scholar] [CrossRef]
- Kawai, M.; Ganeshan, W. Free Trade Agreements in East Asia: A Way toward Trade Liberalization? ADB Briefs, Asian Development Bank: Japan, 2010. [Google Scholar]
- Lejour, A.; Rojas-Romagosa, H.; Veenendaal, P. Identifying Hubs and Spokes in global Supply Chains Using Redirected Trade in Value Adde; Working Paper Series 1670; European Central Bank: Frankfurt/Main, Germany, 2014. [Google Scholar]
- Crescenzi, M.J.; Kathman, J.D.; Kleinberg, K.B.; Wood, R.M. Reliability, Reputation, and Alliance Formation1. Int. Stud. Q. 2012, 56, 259–274. [Google Scholar] [CrossRef]
- Maoz, Z.; Kuperman, R.D.; Terris, L.; Talmud, I. Structural Equivalence and international conflict. J. Confl. Resolut. 2006, 50, 664–689. [Google Scholar] [CrossRef]
- Maoz, Z. Preferential Attachment, Homophily, and the Structure of International Networks, 1816–2003. Confl. Manag. Peace Sci. 2012, 29, 341–369. [Google Scholar] [CrossRef]
- Kinne, B.J. Multilateral Trade and Militarized Conflict: Centrality, Openness, and Asymmetry in the Global Trade Network. J. Pol. 2012, 74, 308–322. [Google Scholar] [CrossRef]
- Puga, D.; Venables, A.J. Preferential trading arrangements and industrial location. J. Int. Econ. 1997, 43, 347–368. [Google Scholar] [CrossRef]
- Ferriani, S.; Fonti, F.; Corrado, R. The social and economic bases of network multiplexity: Exploring the emergence of multiplex ties. Strat. Organ. 2012, 11, 7–34. [Google Scholar] [CrossRef]
- Snijders, T.A.; Lomi, A.; Torló, V.J. A model for the multiplex dynamics of two-mode and one-mode networks, with an application to employment preference, friendship, and advice. Soc. Netw. 2013, 35, 265–276. [Google Scholar] [CrossRef]
- Mansfield, E.D.; Reinhardt, E. International Institutions and the Volatility of International Trade. Int. Organ. 2008, 62, 621–652. [Google Scholar] [CrossRef]
- Hays, J.C.; Kachi, A.; Franzese, R.J. A spatial model incorporating dynamic, endogenous network interdependence: A political science application. Stat. Methodol. 2010, 7, 406–428. [Google Scholar] [CrossRef]
- Stadtfeld, C.; Block, P.; Hollway, J. Dynamic Network Actor Models: Investigating Coordination Ties through Time. Sociol. Methodol. 2017, 47, 1–40. [Google Scholar] [CrossRef]
- Snijders, T.A.; Van De Bunt, G.G.; Steglich, C.E. Introduction to stochastic actor-based models for network dynamics. Soc. Netw. 2010, 32, 44–60. [Google Scholar] [CrossRef]
- Ripley, R.M.; Tom, A.B.; Snijders, Z.B.; Andras, V.; Paulina, P. Manual for RSiena. Available online: http://www.stats.ox.ac.uk/~snijders/siena/RSiena_Manual.pdf (accessed on 13 February 2019).
- Snijders, T.A. Stochastic actor-oriented models for network change. J. Math. Sociol. 1996, 21, 149–172. [Google Scholar] [CrossRef]
- Snijders, T.A.B. The Statistical Evaluation of Social Network Dynamics. Sociol. Methodol. 2001, 31, 361–395. [Google Scholar] [CrossRef]
- Marshall, M.G.; Gurr, T.R.; Jaggers, K. Polity IV: Regime Authority Characteristics and Transitions Datasets. Center for Systemic Peace. Available online: http://www.systemicpeace.org/inscrdata.html (accessed on 2 December 2017).
- Egger, P.; Larch, M. Interdependent preferential trade agreement memberships: An empirical analysis. J. Int. Econ. 2008, 76, 384–399. [Google Scholar] [CrossRef]
- Gibler, D.M. Correlates of War Formal Interstate Alliance Dataset, 1816–2012. 2013. Available online: http://www.correlatesofwar.org/data-sets/formal-alliances (accessed on 1 June 2017).
- Singer, J.D.; Bremer, S.; Stuckey, J. Capability Distribution, Uncertainty, and Major Power War, 1820–1965. In Peace, War, and Numbers; Bruce, R., Ed.; Beverly Hills: Beverly Hills, CA, USA, 1972; pp. 19–48. [Google Scholar]
- Mayer, T.; Zignago, S. Notes on CEPII’s Distances Measures: The GeoDist Database, CEPII Working Paper; Banque de France, December 2011.
- Menon, J. Bilateral trade agreements. Asian-Pac. Econ. Lit. 2007, 21, 29–47. [Google Scholar] [CrossRef]
- Ellwardt, L.; Steglich, C.; Wittek, R. The co-evolution of gossip and friendship in workplace social networks. Soc. Netw. 2012, 34, 623–633. [Google Scholar] [CrossRef]
- Olga, C. Dangerous Liaisons: An endogenous model of international trade and human rights. J. Peace Res. 2016, 53, 409–423. [Google Scholar]
© 2019 by the authors. Licensee MDPI, Basel, Switzerland. This article is an open access article distributed under the terms and conditions of the Creative Commons Attribution (CC BY) license (http://creativecommons.org/licenses/by/4.0/).





