Abstract
At non-signalized marked crosswalks, pedestrian priority is neither well-defined nor well acknowledged by drivers. This paper presents the findings of an investigation on both driver and pedestrian behavior at non-signalized marked crosswalks located on channelized right-turn lanes at intersections in the State of Qatar. Five crosswalks in Doha city were video recorded from discrete locations on a typical working day. The results from the data analysis of 1620 pedestrians’ behavior indicated that waiting behavior, gap acceptance, and crossing speed are complex phenomena and depend upon both pedestrians’ characteristics as well as their crossing characteristics. The drivers’ yielding behavior was mainly linked to pedestrians’ gender and adjacent land use. Low driver yielding rates indicated that significant improvements are required to enhance pedestrian safety. Among pedestrian attributes, gender had the most significant effect on crossing behavior followed by distractions, crossing in a group or alone, and dressing style. Findings of this research will be useful for planners when designing crosswalks at new intersections and during simulations of pedestrian and driver behavior at marked crosswalks on exclusive right-turn lanes. The results of this study will also be directly applicable to the Arabian Gulf countries as they exhibit similar conditions as the State of Qatar.
1. Background
In the State of Qatar, almost all signalized intersections have channelized dedicated right-turn lanes for right-turning vehicles. These exclusive right-turn lanes are provided with marked crosswalks to facilitate safe pedestrian crossing maneuvers. These crosswalks are rarely controlled by traffic signals. Standard zebra markings (white and black lines) are used to indicate the pedestrian crossing area and warning signs are installed to alert drivers that they are approaching a designated crossing location. Globally, pedestrians have the priority at these crosswalks and drivers are expected to yield to them. In the State of Qatar, drivers should stop in front of the crosswalk to allow safe crossing for pedestrians as per Qatar Traffic Law [1]. The drivers may face a fine of 300 Qatari Riyal (approx. 83 USD or 76 EUR) if they do not yield to the waiting/crossing pedestrians [2]. However, in reality, it is observed that the drivers compete with pedestrians over the right of way. Hence, pedestrians commonly have to wait for an appropriate gap to cross at these locations. Because of this, these marked crosswalks do not function properly and can force pedestrians to cross at less safe undesignated locations, which impose additional safety risks. In common with many rapidly growing countries, the State of Qatar has a high percentage of pedestrian fatalities. Between 2005 and 2018, on an average a third of the total road fatalities were pedestrians [3]. The authorities aim to reduce the share of pedestrians to 17% by applying various strategies. To aid this objective, this study investigates the crossing behavior of pedestrians and yielding behavior of drivers at uncontrolled (non-signalized) marked crosswalks located on channelized right-turn lanes. The paper is organized as follows; Section 2 summarizes the past literature, followed by Section 3 which explains the road user behavior at marked crosswalks. Further, Section 4 and Section 5 briefs about data collection process and overview of the data respectively. Subsequently, Section 6 and Section 7 analyses pedestrians’ and drivers’ behavior at marked crosswalks respectively. Finally, Section 8 presents discussion of results, followed by conclusions in the Section 9.
2. Literature Review
Pedestrian crossing behavior is a complex phenomenon. Some studies have investigated the pedestrians crossing at non-designated locations [4,5,6], while other studies have investigated pedestrians crossing at signalized crosswalks [7,8,9,10,11,12,13]. Variables considered include, crossing choice, waiting time, initial reaction time, walking speed, violations, and difference between individuals and groups.
To assess pedestrian safety, pedestrians’ gap acceptance behavior at marked midblock crosswalks was studied [14,15,16]. Further, pedestrians’ crossing behavior, waiting time, and number of attempts at mid-block crossings were modeled for divided and undivided crossings by Hamed [17]. Waiting time, crossing speed, running while crossing, and looking before crossing were compared for three pedestrian subgroups (children alone, adults alone, and adult-child pairs) at four mid-block crosswalks in Beijing, China [18]. Another study investigated the pedestrian crossing patterns at mid-block crosswalks using entry/exit pairs and turning points to determine reasons for curved paths [19]. Lane-based assessment of pedestrian-vehicle conflicts was undertaken using post-encroachment time (PET) between vehicles and pedestrians at a marked midblock crosswalk and the effect of waiting time on PET was also investigated [20,21].
Many studies have assessed the crossing speed at marked crosswalks at junctions and midblock locations. However, to the best of our knowledge, there are only a few studies on pedestrian crossing behavior at crosswalks located at channelized right-turn lanes at intersections. A methodology was presented to determine pedestrian delays for different vehicle arrival rates at exclusive right-turn lanes at an intersection. Rules of conflict models were proposed for pedestrian delay, and pedestrian capacity was determined for two traffic conditions. An Erlang distribution was fitted for vehicles’ headway distribution for unsaturated and saturated release periods using 213 continuous headways (108 for saturated and 102 for unsaturated release periods) observed at an exclusive right-turn lane in China [21].
In addition, the driver yielding behavior is vital for pedestrian safety at non-signalized marked crosswalks. It is an area which needs further research in both developing and developed countries. In previous studies, low driver yielding rates were observed at non-signalized marked crosswalks at mid-blocks and near junctions [22,23,24]. The effect of pedestrians’ gestures, smile, advance yield markings, and low-cost engineering improvements on driver yielding behavior at marked crosswalks was studied by Zhuang and Wu [22], Guéguen et al. [23], Samuel et al. [24], and Sandt et al. [25] respectively. In case of low driver yielding rates, pedestrians must use their own judgment when they cross the road. This involves the assessment of traffic conditions, gap acceptance, and choice of suitable crossing speed which ensure safety.
This study investigates pedestrian and driver behavior at marked crosswalks on channelized right-turn lanes. The characteristics of pedestrians’ crossing behavior, such as waiting time, crossing speed, and accepted gaps, are analyzed along with driver yielding behavior. Additionally, models for pedestrians’ waiting behavior are presented in order to determine the probability of waiting and the duration of waiting time. The scope of this study is limited to pedestrians and motorized vehicles only, additional road users such as cyclists, users of personal mobility vehicles were not included in the analysis as the proportion of these users was minimal.
3. Users’ Behavior at Marked Crosswalks
Figure 1 shows the framework for pedestrians’ crossing behavior at marked crosswalks located on a channelized right-turn lane. In many cases, while approaching the marked crosswalk, a pedestrian analyzes the situation and if they do not see any oncoming vehicle/s, they start crossing without waiting at the sidewalk. If they see any oncoming vehicle while crossing, they accelerate or run to complete the crossing. This can be dangerous if the driver does not yield and continues at the same speed. However, if a pedestrian sees a vehicle or a series of oncoming vehicles, they wait at the sidewalk until they can cross safely. If the oncoming vehicle gives the right of way to the pedestrian by yielding, then the pedestrian starts crossing and completes the crossing maneuver safely; this is the safest crossing scenario. If the oncoming vehicle or series of vehicles do not stop, then the pedestrian must wait for a sufficient gap in the traffic stream before they can start crossing. The longer the pedestrian has to wait, the greater the chances that they will take risks when they cross. Drivers yielding and respecting the pedestrians’ right of way are essential for pedestrian’s safety at these crosswalks.
Figure 1.
Activity diagram showing behavior at marked crosswalk on exclusive right-turn lane at intersections.
Some special cases, which impact pedestrian safety, are summarized below:
- Some pedestrians step down from the sidewalk onto the crosswalk and wait for a gap in the traffic stream. This sometimes compels drivers to yield;
- Sometimes, the pedestrian makes more than one attempt for initiating crossing. This occurs when drivers do not acknowledge the pedestrian’s right of way;
- Some pedestrians start crossing as soon as the approaching vehicle is seen and cross the crosswalk just after a vehicle has passed and before the next one arrives. This is rolling gap acceptance;
- Some pedestrians, who arrive running, maintain the same speed when on the crosswalk. This behavior can be risky, as the pedestrian might not have made accurate judgments about the speed or distance of oncoming vehicles; and
- Some pedestrians appear distracted when they cross. Examples include talking with companions while crossing in groups, using a mobile phone, carrying luggage, grooming, drinking or eating, reading, looking at the surrounding instead of oncoming traffic, searching their bags, carrying a bicycle or umbrella, holding a child’s hand, or pushing a stroller.
From the above observed special cases, only the effect of pedestrians crossing without waiting and distraction were considered in the analysis and pedestrians who waited on the road, rolling gap acceptance, and number of attempts were not considered.
4. Data Collection
Five marked non-signalized crosswalks located on channelized right-turn lanes at signalized intersections in Doha City were selected for this study. The details of the crosswalks are provided in Table 1. The site photos of the selected crosswalk are available in Appendix A. The Lekhwair intersection has office buildings nearby and the Al Rufaa intersection is situated in a commercial area. Similarly, the City Center intersection has office buildings and commercial land use in its vicinity. In contrast, the Al Meena intersection is located in a mostly recreational area. It should be noted that this site has government offices, which are mainly accessed by car, on one side; hence, all pedestrian activity takes place to access the recreational facilities. The details of land use are provided in Table 1. The pedestrian and vehicle movements were video recorded on typical working days when the weather conditions were good. The temperatures during the recording days across all sites varied from 19 °C to 37 °C. The cameras were placed on the top floors of adjacent commercial buildings or hotels to get a clear view of the intersection. Manual data extraction was done for all crosswalks to record pedestrians’ personal attributes and crossing characteristics individually by reviewing the videos multiple times. The data was extracted by two team members who have assessed each other’s work initially and came to a point of mutual agreement before proceeding for main data extraction. This helped to minimize the error in data extraction process. Pedestrian age was noted under four categories; children, young, middle-aged, and elderly. Based on appearance and walking style, each pedestrian was classified into one of the defined age groups. To compute the waiting time and crossing time, the arrival time of a pedestrian was taken as the time at which both of the pedestrian’s feet were at rest on the sidewalk or island. The departure time was defined as the time at which the pedestrian lifted their feet to initiate the crossing maneuver. The time for completion of a crossing was defined as the time at which both the pedestrian’s feet were again on the sidewalk or island. Further, the pedestrian’s hand movements and the directions in which they were facing were used to judge whether they were walking in a group and talking with each other or not. The pedestrians’ crossing direction was recorded because the pedestrians’ visibility might be affected by the curvature of the road and drivers’ focus on the main traffic stream with which they intend to merge, thus reducing their attention for pedestrians crossing toward the intersection. Pedestrians’ crossing location was noted based on three categories: at a crosswalk, near a crosswalk (within 1 m of the crosswalk width), and away from a crosswalk. The pedestrians’ crossing path was also noted as belonging to three categories: perpendicular, oblique, and other. The headways of right-turning vehicles and pedestrians were extracted from video recordings.
Table 1.
Details of land use at studied sites.
5. Data Overview
An overview of vehicle and pedestrian traffic characteristics is shown in Table 2. It was observed that, overall, 18.3% of pedestrians crossed at locations away from a crosswalk and, hence, their start or end times were not available. These include pedestrians crossing at the island marking or at the main roads of an intersection. The proportions of pedestrians crossing outside crosswalks were highest for the Al Rufaa intersection (26.1%) and lowest for the City Center intersection (3.4%). This might be due to locations of access to attractions at the intersections and familiarity with the intersection. It should be noted that the Al Rufaa intersection provides access to small and medium-scaled daily needs shops where residents go multiple times a week. Complete datasets of 620, 449, 280, 126, and 145 pedestrians were used for statistical analysis of the Al Rufaa intersection, City Center intersection, Lekhwair intersection, Al Meena intersection south-east approach, and Al Meena intersection south-west approach, respectively. Table 3 shows the descriptive characteristics of 1620 pedestrians observed at five crosswalks in Doha City. Around 88% of the observed pedestrians were male while about 60% of them belonged to the middle-aged group. Two-thirds (67%) of the observed pedestrians were wearing casual outfits followed by business attire (22%), and traditional clothes (7.5%). Very few blue-collar workers were observed at the selected sites. It is probable that the pedestrians wearing casual clothes were on a shopping or recreational trip, while those in formal and workers’ clothes were walking to or from work or to buy food and drinks. Pedestrian clothing was recorded so that consideration could be given to the crossing behavior of those wearing traditional clothes in the Gulf Cooperation Council (GCC) countries. It had been anticipated that common male and female traditional clothes might limit walking speed. Further, behavior of workers, who mostly come from Asian background and do not have exposure to well-planned transport infrastructure and traffic conditions in GCC, may be different from other pedestrians. In addition, the behavior of local Qatari may differ from non-local pedestrians. Unfortunately, at the study site, few pedestrians with traditional clothes and workers were observed. In addition, observations indicated that almost 40% of the pedestrians were carrying something like baggage or goods, which may have affected their crossing behavior.
Table 2.
Selected crosswalk characteristics.
Table 3.
Pedestrian characteristics at selected crosswalks.
Over a third (37%) of observed pedestrians crossed in a group and the maximum group size was nine. Out of them 73.5%, 14.6%, and 11.9% were crossing in groups of two, three, and four or more, respectively. Previous research has shown that pedestrians who are distracted tend to make less safe crossing decisions [26,27]. For the observed sites, 22.5% of observed pedestrians were distracted while crossing. The main causes of distraction were talking in groups (65.1%), and texting or calling using mobile phones (20.6%). Around 8.2% of pedestrians had more than one type of distraction. It is important to note that the distraction items in Table 3 do not include pedestrians who were using a mobile phone or carrying a bag in their hand. In a previous study, around 30% of the observed pedestrians were under some type of distraction while crossing, out of which 13.5% distractions was because of mobile phone use [28].
6. Pedestrian Behavior Analysis
6.1. Description of Data
Table 4 summarizes the characteristics of pedestrian behavior at the study site. The direction of pedestrians’ crossing indicated that slightly over half (54%) crossed toward the intersection and the remaining pedestrians crossed away from the intersection. Around half of the observed pedestrians crossed at the designated crosswalk and the remaining pedestrians crossed near or away from the crosswalk, even though it is less safe to cross at locations other than designated crosswalks.
Table 4.
Characteristics of pedestrians’ crossing behavior.
Table 5 presents the descriptive statistics of pedestrians’ crossing behavior at the study sites. The waiting time analysis showed that over a third (38%) of the observed pedestrians waited before initiating a crossing maneuver. The average, minimum, and maximum waiting time for pedestrians were 3.8, 0.0, and 132.4 s, respectively. The Kolmogorov–Smirnov (K-S) test showed that the waiting times of pedestrians, who waited before crossing, were distributed according to a Pearson 6 distribution with a test statistic of 0.02621 and significance of 0.7865. The parameters of the distribution were α1 = 1.285, α2 = 2.0271, and β = 8.6461. The details of the distribution are provided in Appendix C.
Table 5.
Descriptive statistics of pedestrians’ crossing behavior.
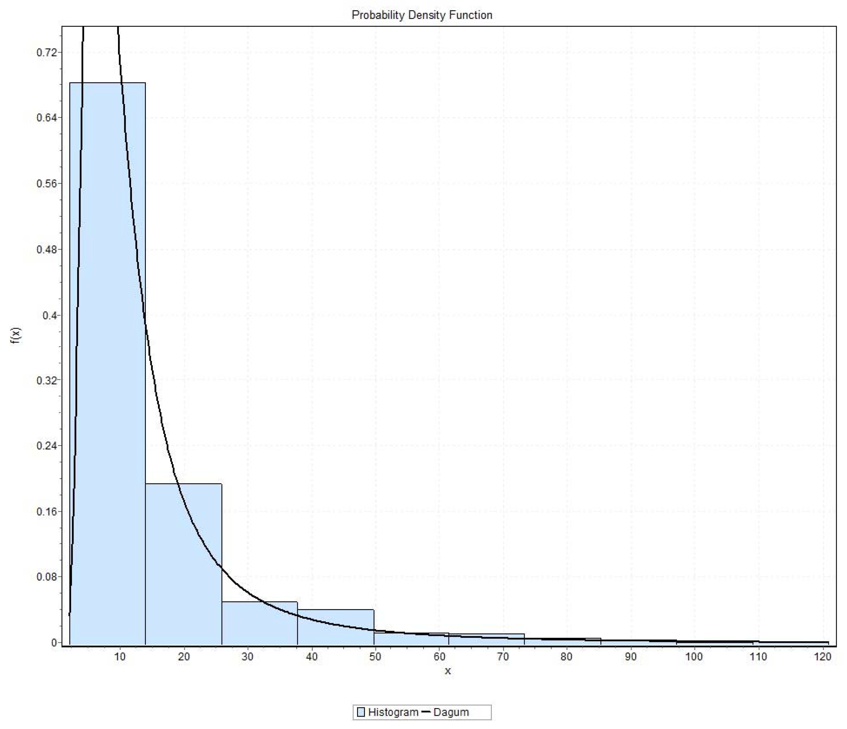
The pedestrian’s crossing time is defined as the time difference between the time when a pedestrian initiates a crossing until the time they complete it. The crossing speed was estimated by dividing the crossing distance by the observed crossing time. The observed average crossing speed was 1.35 m/s and the 15th percentile crossing speed was 1.05 m/s. A study found that the average crossing speed on a crosswalk at channelized right-turn lanes was 1.30 m/s [21]. This was slightly lower than the average crossing speed observed in this study. The crossing speed followed a Burr distribution (test statistic = 0.0301, p = 0.1022) with distribution parameters k = 0.7625, α = 8.0272, and β = 1.2345 (see Appendix C for details). The size of accepted gaps was noted for pedestrians who crossed when traffic was moving. Records where pedestrians crossed when there was either no traffic or queued traffic, were excluded from gap acceptance calculations. In total, 896 pedestrians accepted gaps with average, minimum, and maximum values of 14.55, 2.08, and 120.91 s, respectively. The accepted gaps were determined to follow a Dagum distribution (test statistic = 0.02329, p = 0.70668) with distribution parameters k = 7.4199, α = 1.8244, and β = 2.752 (see Appendix C for details).
6.2. Statistical Analyses
This section presents results of statistical analyses for waiting behavior, crossing speed, and size of accepted gaps. Because of their limited sample size (see Table 3), the age group of elderly pedestrians was excluded from waiting time analysis. Chi-square tests were conducted between various subgroups to check whether the dependent parameters were related to pedestrian characteristics. The analysis of variance (ANOVA) was undertaken using non-parametric Mann-Whitney tests because the distribution of waiting time, crossing speed, and accepted gaps was not normal. The detailed results of statistical analysis are provided in Appendix B. All statistical analyses were undertaken using the IBM SPSS Statistics 23.0 software.
6.2.1. Waiting Behavior
Pedestrians’ waiting behavior was considered in two parts. First, the factors affecting pedestrians’ decisions to wait were considered and second, the differences in time spent waiting for suitable gaps, between various subgroups, were investigated. It is important to investigate factors affecting pedestrians’ decisions to wait because low yielding rates, for drivers, have been observed at marked crosswalks [22,24]. Chi-square tests were conducted between various subgroups to check whether the decision to wait is related to pedestrian characteristics. The results suggested that the waiting decision was not related to pedestrian characteristics such as age group (χ2 = 0.242, p = 0.886) or baggage (χ2 = 0.299, p = 0.584), but was moderately correlated with higher traffic volumes—which is obvious since it can be explained by the fact that pedestrians do not expect drivers to give way under such circumstances (χ2 = 212.137, p = 0.001, ϕ = 0.362) and land use (χ2 = 90.395, p = 0.001, ϕ = 0.236). Almost half of all pedestrians waited at the Al Rufaa intersection, having commercial land use and 19% of pedestrians waited at the Lekhwair intersection with office land use. Further, the proportion of waiting pedestrians was 37% and 30% for the City Center and Al Meena intersections. This indicates that pedestrians are less likely to wait when they are heading to or from work. The decision to wait was also weakly related to gender (χ2 = 14.801, p = 0.001, ϕ = −0.096), distraction (χ2 = 11.144, p = 0.001, ϕ = 0.083), crossing in a group or alone (χ2 = 7.173, p = 0.007, ϕ = 0.067), mobile phone use (χ2 = 4.111, p = 0.043, ϕ = 0.050), dressing style (χ2 = 8.299, p = 0.040, ϕ = 0.072), crossing location (χ2 = 10.893, p = 0.004, ϕ = 0.082), and direction of crossing (χ2 = 15.276, p = 0.001, ϕ = 0.097).
The analysis of times spent waiting for gaps indicated that there was a statistically significant difference between the waiting times of males and females (Z = −2.798, p = 0.005), distracted and non-distracted pedestrians (Z = −2.800, p = 0.001), pedestrians’ crossing direction (Z = −3.288, p = 0.001) and crossing in a group or alone (Z = −2.283, p = 0.022). The average waiting time was 69.2%, 81.7%, 43.8%, and 30.5% longer for females, distracted pedestrians, pedestrians crossing toward an intersection, and pedestrians crossing in groups compared with their counterparts, respectively. The time spent waiting to cross differed for various age groups (χ2 = 20.746, p = 0.001), dressing styles (χ2 = 11.234, p = 0.011), and land use (χ2 = 8.603, p = 0.035) with the lowest waiting times observed for middle-aged pedestrians, pedestrians heading to or from work, and pedestrians at the Lekhwair intersection respectively. There were no links between the time spent waiting for gaps and the use of mobile phones, baggage, and crossing location.
6.2.2. Crossing Speed
The results of ANOVA for various subgroups indicated that there were statistically significant differences in crossing speeds for gender (Z = −6.906, p = 0.001), distracted pedestrians (Z = −7.854, p = 0.001), group (Z = −7.483, p = 0.001), crossing direction (Z = −3.457, p = 0.001), baggage (Z = −3.188, p = 0.001), and conflict (Z = −2.255, p = 0.024). The average crossing speeds were 11.86%, 11.22%, 9.67%, 3.31%, 4.97%, and 2.57% slower for female pedestrians, distracted pedestrians, pedestrians in groups, pedestrians crossing towards intersection, pedestrians with bag, and pedestrians who crossed when traffic was present respectively. Slower crossing speeds have safety implications in terms of additional exposure to conflicting vehicles. Furthermore, the crossing speed for pedestrians age groups (χ2 = 27.922, p = 0.001), crossing path (χ2 = 33.572, p = 0.001), dressing style (χ2 = 13.281, p = 0.004), and land use (χ2 = 160.576, p = 0.001) were also significantly different. The findings for crossing speed related to gender, age and group were similar to the findings obtained for marked midblock crosswalks in Germany and China [29]. There was no link between the use of a mobile phone, crossing location, and waiting decision with the crossing speed.
6.2.3. Size of Accepted Gaps
The analysis of the size of accepted gaps showed that the average values were statistically different when divided by gender (Z = −4.580, p = 0.001), crossing direction (Z = −3.938, p = 0.001), distraction (Z = −3.247, p = 0.001), crossing in a group or alone (Z = −4.496, p = 0.001), mobile phone use (Z = −2.269, p = 0.023), carrying baggage (Z = −2.747, p = 0.006), and waiting (Z = −2.842, p = 0.004). The accepted gaps were 23.4%, 15.3%, 33.9%, 19.8%, 28.8%, 18.5%, and 9.2% higher for females, pedestrians crossing toward intersection, distracted pedestrians, pedestrians in groups, pedestrians without a mobile phone, pedestrians with bags, and pedestrians who did not wait before crossing, respectively. The accepted gaps varied for all age groups (χ2 = 14.845, p = 0.002) and land uses (χ2 = 174.468, p = 0.001). Moreover, there was no significant relationship between the size of the accepted gap and dressing style or crossing location.
6.2.4. Pedestrians’ Waiting Time Model
At the unsignalized marked crosswalks, pedestrians often have to stop in order to accept a suitable gap. The time spent waiting for a suitable gap is a factor in pedestrian safety since low driver yielding rates are observed. This section presents pedestrians’ waiting behavior models using Binary Logistic Regression (BLR) and determines the probability of a pedestrian waiting before crossing. Initially, all relevant variables were included in the model. A stepwise selection of variables was done, using a forward selection method based on the significance of likelihood ratio test, to obtain the final model as shown in Table 6. The significant variables associated with the likelihood of waiting were gender, distraction, crossing direction, presence of pedestrians in the opposite direction, presence of conflict, and land use. The model predicted 71% of the cases correctly. A female pedestrian and a pedestrian who sees another pedestrian on the opposite side of the road are twice as likely to wait compared with their counterparts. In the case of a conflict, a pedestrian has a 5.729 odd of waiting before crossing. Furthermore, a pedestrian at the Al Rufaa intersection had the highest likelihood of waiting compared with other sites.
Table 6.
BLR model for predicting pedestrians’ waiting behavior.
A Multiple Linear Regression (MLR) model was also developed to determine the waiting time for a pedestrian. The waiting time of pedestrians did not follow a normal distribution, but a log transformation of the waiting time did. A stepwise regression analysis was conducted, after entering all the variables, to obtain the linear regression equation. Only the pedestrians that waited before crossing (609 cases) were used for the analysis. The waiting time was predicted using only three variables: number of conflicting vehicles, crossing direction, and age group. The parameter estimates are shown in Table 7. The waiting time reduced if the pedestrian was crossing away from the intersection. This might be due to a greater visibility of oncoming vehicles. Other variables were not statistically significant; hence, they were excluded from the model.
Table 7.
MLR model for pedestrian’s log transformed waiting time.
7. Driver Yielding Behavior Analysis
7.1. Driver Behavior with Respect to Pedestrians
7.1.1. Overview
Table 8 shows the characteristics of driver yielding behavior. The analysis indicated a problem associated with the pedestrians’ right of way. Only 15.4% of observed right-turning vehicles (who faced waiting pedestrians) yielded to give way. This low yielding rate at marked unsignalized crosswalks is in accordance with many other studies in the literature. For instance, in China, yielding rates between 3.5% and 8.6% were reported [22] and in France, it was found that 50.1% of observed drivers did not stop for pedestrians at marked unsignalized crosswalks [24]. These low drivers’ yielding rates highlight the importance of developing innovative countermeasures to improve pedestrian safety at marked crosswalks. This also supports the need for studying pedestrians’ behavior in order to assess safety.
Table 8.
Characteristics of driver yielding behavior.
7.1.2. Statistical Analysis
The yielding behavior of drivers was assessed with respect to various subgroups of pedestrians. The yielding rate was related to land use (χ2 = 39.318, p = 0.001, ϕ = 0.201). The drivers showed the highest yielding rate at the Al Rufaa intersection (28.4%) and the lowest yielding rate (5.1%) at the Al Meena intersection. This may be because the former intersection is used more by pedestrians, hence, drivers expect pedestrians while passing this site, while for the later intersection the opposite is true. The drivers’ yielding behavior was also related to the pedestrians’ gender (χ2 = 4.397, p = 0.036, ϕ = −0.070) with a higher yielding rate for female pedestrians compared with male pedestrians; similar findings were reported by Guéguen et al. [24]. There was no significant relationship between the yielding behavior of drivers and pedestrians’ age, distraction, crossing in a group or alone, mobile phone use, crossing direction, carrying baggage, dressing style, and crossing location. It should be noted that because of the lack of sample size, age group of elderly and children were excluded from the analysis. Most of the vehicles (around 85%) did not yield to pedestrians, some drivers reduced their speed, and some stopped completely to allow pedestrians to cross.
7.2. Driver Behavior Based on Vehicle Type
The proportion of vehicles displaying yielding behavior to pedestrians, those who faced pedestrians, is indicated in Table 8 based on vehicle type. The driver behavior with respect to type of vehicle driven shows whether the yielding behavior is related to the type of vehicle driven, which indicates the income class of the drivers. It was argued that people driving luxury cars are more likely to ignore the pedestrians and the law. This phenomenon is called power paradox [30]. If power paradox exists, lesser proportion of drivers of luxury cars yield to pedestrians compared to drivers of normal cars. Here, the proportion of vehicles yielding to pedestrians were same for Sedan and Sports Utility Vehicles (SUVs). This shows that the power paradox does not exist in the State of Qatar and there are some other factors governing yielding behavior of drivers, which need to be investigated in future. Further, the professional drivers, including taxis, buses, and pickup vehicles, yielded lesser compared to those who were driving personal vehicles. This indicates the need to emphasize pedestrian yielding while driver training programs for professional drivers.
8. Discussion of Results
The results indicated that female pedestrians, distracted pedestrians, and pedestrians crossing in groups undertake safer crossings, by showing a greater tendency to wait before crossing, longer waiting times, and larger accepted gaps, compared to their counterparts. In a previous study, female pedestrians were observed exhibiting a safer behavior by Holland and Hill [31]. On the contrary, distractions showed adverse effects on pedestrian safety in a previous study [26]. Carrying a bag affected the size of accepted gaps positively and pedestrians crossing speed negatively. The dressing style of pedestrians affected their waiting time and crossing speed as expected but dressing style did not affect the gap acceptance phenomenon. The analysis of pedestrians’ mobile phone use showed that although the pedestrians using mobile phones have a higher tendency for waiting, they choose smaller gaps, making their crossings less safe. These findings are similar to the results obtained at marked crosswalks at unsignalized intersections [32]. However, it should be noted that this research observed a lower proportion of mobile phone use than previous studies [14,28]. It would be expected that lower levels of mobile phone use should have a positive impact on road safety.
The crossing location affected pedestrians’ waiting behavior, showing a greater tendency for waiting for pedestrians crossing at the crosswalk. However, the driver yielding behavior did not show any significant differences based on the pedestrians’ crossing location. Pedestrians crossing at crosswalks were more careful when making a crossing decision. In previous studies, the drivers showed a greater tendency of yielding to pedestrians at permissible crossings compared with jaywalkers [33]. The pedestrians’ crossing direction was seen as an important parameter determining their crossing behavior and safety. This is due to the difference in visibility of oncoming traffic for pedestrians as well as drivers, with pedestrians crossing away from an intersection having greater visibility. This greater visibility has led to shorter waiting times, smaller accepted gaps, and higher walking speeds. There was no difference in yielding behavior of drivers of normal cars and luxury cars indicating no clear power paradox existed; however, the drivers of commercial vehicles yielded lesser compared to other drivers.
9. Conclusions
The results of this study indicated that pedestrians’ waiting time, crossing speed, and gap acceptance at marked crosswalks on channelized right-turn lanes are related to pedestrian attributes as well as crossing characteristics. This makes crossing behavior a complex phenomenon. Among pedestrian attributes, gender had the most significant effect on crossing behavior. Gender was followed by distractions, crossing in a group or alone, and dressing style. It should be noted that the category of distracted pedestrians does not include those using a mobile phone but includes those with other distractions such as talking, eating and drinking, and grooming. Further, different sites in areas with different land uses showed significant differences in pedestrian and driver behavior. Presence of conflicting vehicles and land use was most significant in determining the pedestrians’ waiting behavior which can result in safe crossings.
The drivers’ yielding behavior was only related to pedestrian’s gender and adjacent land use. Various strategies need to be identified through future research and employed to encourage drivers to yield more frequently, at all places, and specifically to male pedestrians. Previous research has indicated that advanced yield markings assist drivers scanning for pedestrians and reduce the conflicts between vehicles and pedestrians at marked crosswalks [23,34,35]. Other studies have found that pedestrians’ gestures, smiles, stares, as well as improved infrastructure near pedestrian crossings, do improve driver yielding rates [22,24,36,37,38]. A recent study showed that the drivers yielding rates improved when pedestrians crossed with flags in hand at marked midblock crosswalks [39]. The drivers of commercial vehicles showed lesser tendency of yielding to pedestrians, this should be addressed while driver training. A study with the aim of determining effective strategies to improve driver-yielding behavior in the State of Qatar is proposed as a part of future research. The findings from this research will be useful for planners when designing crosswalks at new intersections and during simulation of pedestrian and driver behavior at marked crosswalks on channelized right-turn lanes, since this problem has not been studied in sufficient detail previously. The results will be directly applicable to the Arabian Gulf countries as they exhibit similar conditions to the State of Qatar. The main limitation of this study is that the pedestrians’ characteristics were determined based on judgement and the specific purpose of the trip was not known. Further, the characteristics such as gender and age groups of the drivers were not determined which can affect the yielding behavior. These limitations can serve as topics for further research.
Author Contributions
Conceptualization, D.M. and M.K.; data curation, D.M. and L.D.; formal analysis, D.M.; funding acquisition, M.K., W.S., and M.A.-S.; investigation, D.M.; methodology, D.M.; project administration, D.M., M.K., Wafaa Saleh, and M.A.-S.; resources, M.K. and M.A.-S.; software, D.M.; supervision, D.M. and M.K.; writing—original draft, D.M.; writing—review and editing, D.M., L.D., M.K., W.S., and M.A.-S.
Funding
This research was funded by Qatar National Research Fund grant number [NPRP 8-365-2-150].
Acknowledgments
This publication was made possible by an NPRP award [NPRP 8-365-2-150] from the Qatar National Research Fund (a member of Qatar Foundation). The statements made herein are solely the responsibility of the authors. The publication of this article was funded by the Qatar National Library.
Conflicts of Interest
Authors declare that there is no conflict of interest.
Appendix A. Site Photos

Figure A1.
Selected crosswalks.
Figure A1.
Selected crosswalks.


Appendix B. Results of Statistical Analysis
Table A1.
Waiting behavior analysis.
Table A1.
Waiting behavior analysis.
| Category | χ2 | p | Phi | Comment |
|---|---|---|---|---|
| Gender | 14.801 | 0.000 | −0.096 | Female pedestrians waited longer than male pedestrians |
| Distraction | 11.144 | 0.001 | 0.083 | Distracted pedestrians waited longer compared to non-distracted pedestrians |
| Group | 7.173 | 0.007 | 0.067 | Pedestrians crossing in groups waited longer compared to pedestrians crossing alone |
| Crossing direction | 15.276 | 0.000 | −0.097 | Pedestrians crossing away from an intersection waited longer compared to pedestrians crossing at an intersection |
| Age group | 0.242 | 0.886 | – | |
| Traffic | 212.137 | 0.000 | 0.362 | Pedestrians facing traffic waited longer compared to pedestrians crossing without traffic or queued traffic |
| Bag | 0.299 | 0.584 | – | |
| Mobile_waiting | 4.111 | 0.043 | 0.05 | Pedestrians using mobile phones waited longer compared to pedestrians crossing without mobile phones |
| Site variation | 90.395 | 0.000 | 0.236 | Pedestrians at the Al Rufaa intersection waited more and those at the Lekhwair intersection waited less compared to other sites. |
| Dressing style | 8.299 | 0.040 | 0.072 | Pedestrians with casual clothes waited longer compared to pedestrians with other dressing styles |
| Crossing location | 10.893 | 0.004 | 0.082 | Pedestrians crossing at a crosswalk waited longer compared to pedestrians crossing near or away from a crosswalk |
Table A2.
Waiting time analysis.
Table A2.
Waiting time analysis.
| Category | Z | p | Comment |
|---|---|---|---|
| Gender | −2.798 | 0.005 | Female pedestrians waited 69.2% longer than male pedestrians. |
| Crossing direction | −3.288 | 0.001 | Pedestrians crossing toward the intersection waited 43.8% longer than pedestrians crossing away from the intersection. |
| Distraction | −2.8 | 0.000 | Distracted pedestrians waited 81.7% longer than non-distracted pedestrians. |
| Group | −2.283 | 0.022 | Pedestrians crossing in groups waited 30.5% longer than pedestrians crossing alone. |
| Mobile_waiting | −0.805 | 0.421 | – |
| Bag | −1.215 | 0.224 | – |
| Crossing location | 2.093 | 0.351 | – |
| Age group | 20.746 | 0.000 | Children and older pedestrians waited longer than middle-aged pedestrians. |
| Dressing style | 11.234 | 0.011 | Pedestrians wearing formal and worker clothes waited for less time than pedestrians dressed casually and traditionally. |
| Site variation | 8.603 | 0.035 | Pedestrians waited the longest at the Al Meena intersection and the shortest at the Lekhwair intersection. |
Table A3.
Crossing speed analysis.
Table A3.
Crossing speed analysis.
| Category | Z | p | Comment |
|---|---|---|---|
| Gender | −6.906 | 0.000 | Male pedestrians walked 13.45% faster than female pedestrians. |
| Age group | 27.922 | 0.000 | Older pedestrians were the slowest and young pedestrians the fastest. |
| Crossing direction | −3.457 | 0.001 | Pedestrians walked 3.42% faster when crossing away from an intersection. |
| Distraction | −7.854 | 0.000 | Non-distracted pedestrians walked 12.64% faster than distracted pedestrians. |
| Group | −7.483 | 0.000 | Pedestrians crossing alone walked 10.71% faster than pedestrians crossing in groups. |
| Mobile_crossing | −1.019 | 0.308 | – |
| Bag | −3.188 | 0.001 | Pedestrians crossing without bags walked 5.23% faster than pedestrians with bags. |
| Crossing location | 4.98 | 0.083 | – |
| Crossing path | 33.572 | 0.000 | Pedestrians crossing using oblique paths were faster than other pedestrians. |
| Wait | −1.602 | 0.109 | – |
| Conflict | −2.255 | 0.024 | Pedestrians crossing with conflict walked 2.57% faster than pedestrians crossing without conflict. |
| Dressing style | 13.281 | 0.004 | Pedestrians wearing worker clothes were the fastest and pedestrians dressed traditionally were the slowest. |
| Site variation | 160.576 | 0.000 | Pedestrians crossed at highest speeds at the Al Rufaa intersection. Pedestrians at the City center site had the lowest crossing speeds. |
Table A4.
Accepted gaps analysis.
Table A4.
Accepted gaps analysis.
| Category | Z | p | Comment |
|---|---|---|---|
| Gender | −4.58 | 0.000 | Females accepted 23.4% larger gaps than males. |
| Age group | 14.845 | 0.002 | Children required the largest gaps in traffic. Middle-aged and young pedestrians accepted the same average gaps. |
| Crossing direction | −3.938 | 0.000 | Pedestrians crossing towards the intersection accepted 15.3% larger gaps than pedestrians crossing away from the intersection. |
| Distraction | −3.247 | 0.001 | Distracted pedestrians accepted 33.9% larger gaps than non-distracted pedestrians. |
| Group | −4.496 | 0.000 | Pedestrians crossing in groups accepted 19.8% larger gaps than pedestrians crossing alone. |
| Mobile_waiting | −2.269 | 0.023 | Pedestrians without a mobile phone accepted 28.8% larger gaps than pedestrians crossing with a mobile phone. |
| Bag | −2.747 | 0.006 | Pedestrians with bags accepted 18.5% larger gaps than pedestrians without bags. |
| Crossing location | 0.144 | 0.931 | – |
| Wait | −2.842 | 0.004 | Pedestrians who did not wait accepted 9.15% larger gaps compared with pedestrians who waited before crossing. |
| Dressing style | 1.448 | 0.694 | – |
| Site variation | 174.468 | 0.000 | The Al Meena site had the largest accepted gaps and the Al Rufaa intersection had the smallest accepted gaps. |
Table A5.
Yielding behavior analysis.
Table A5.
Yielding behavior analysis.
| Category | χ2 | p | Phi | Comment |
|---|---|---|---|---|
| Gender | 4.397 | 0.036 | −0.067 | Drivers yielded more to female pedestrians than male pedestrians |
| Distraction | 0.333 | 0.564 | – | – |
| Group | 3.021 | 0.082 | – | – |
| Crossing direction | 1.267 | 0.26 | – | – |
| Age group | 3.76 | 0.052 | – | – |
| Bag | 3.267 | 0.071 | – | – |
| Mobile_waiting | 0.158 | 0.691 | – | – |
| Site variation | 39.318 | 0.000 | 0.201 | Drivers at the Al Rufaa intersection yielded the most and drivers at the Al Meena intersections yielded the least compared with other sites |
| Dressing style | 2.989 | 0.393 | – | – |
| Crossing location | 1.845 | 0.397 | – | – |
Appendix C. Details of Distributions
An evaluation version of EasyFit 5.6 was used to find out the distribution. The Kolmogorov–Smirnov (K–S) test was used to assess the distribution fit.
Waiting time
For waiting time, the Pearson 6 distribution with test statistic of 0.02621 and significance of 0.7865, were determined. The parameters of the distribution were α1 = 1.285, α2 = 2.0271, and β = 8.6461.
Figure A2.
Pedestrians’ waiting time distribution at marked crosswalks.
Figure A2.
Pedestrians’ waiting time distribution at marked crosswalks.

Crossing speed
For crossing speed, the Burr distribution (statistic = 0.03019, p = 0.10215) with distribution parameters k = 0.7625, α = 8.0272, and β = 1.2345 was determined.
Figure A3.
Pedestrians’ crossing speed distribution at marked crosswalks.
Figure A3.
Pedestrians’ crossing speed distribution at marked crosswalks.

Accepted gap
For accepted gap, the Dagum distribution (statistic = 0.02329, p = 0.70668) with distribution parameters k = 7.4199, α = 1.8244, and β = 2.752 was determined.
Figure A4.
Pedestrians’ accepted gap distribution at marked crosswalks.
Figure A4.
Pedestrians’ accepted gap distribution at marked crosswalks.

References
- QTL. Qatar Traffic Law 19–2007. State of Qatar. 2007. Available online: http://www.almeezan.qa/LawPage.aspx?id=3993&language=en (accessed on 17 January 2017).
- MOI. List of Traffic Violations that can be Settled by Paying Fines. Ministry of Interior, General Traffic Directorate. 2007. Available online: https://www.moi.gov.qa/site/english/departments/traffic/violations/point2.doc (accessed on 2 January 2017).
- National Road Safety Strategy 2018 Qatar Action Plan Sectors 2018–2022; National Traffic Safety Committee: State of Qatar, Doha, January 2018.
- Cherry, C.; Donlon, B.; Yan, X.; Moore, S.E.; Xiong, J. Illegal mid-block pedestrian crossings in China: Gap acceptance, conflict and crossing path analysis. Int. J. Inj. Control Saf. Promot. 2012, 19, 320–330. [Google Scholar] [CrossRef] [PubMed]
- Shaaban, K.; Muley, D.; Mohammed, A.S. Investigation of Gap Acceptance Behavior for Pedestrians Jaywalking at a Wide Midblock Section. In Proceedings of the Transportation Research Board, 95th Annual Meeting, Washington, DC, USA, 10–14 January 2016. [Google Scholar]
- Shaaban, K.; Muley, D.; Mohammed, A.S. Analysis of illegal pedestrian crossing behavior on a major divided arterial road. Transp. Res. Part F 2018, 54, 124–137. [Google Scholar] [CrossRef]
- Ren, G.; Zhou, Z.; Wang, W.; Zhang, Y.; Wang, W. Crossing behaviors of pedestrians at signalized intersections: Observational study and survey in China. Transp. Res. Rec. 2011, 2264, 65–73. [Google Scholar] [CrossRef]
- Lipovac, K.; Vujanic, M.; Maric, B.; Nesic, M. Pedestrian behavior at signalized pedestrian crossings. J. Transp. Eng. 2013, 139, 165–172. [Google Scholar] [CrossRef]
- Koh, P.P.; Wong, Y.D. Gap acceptance of violators at signalised pedestrian crossings. Accid. Anal. Prev. 2014, 62, 178–185. [Google Scholar] [CrossRef] [PubMed]
- Yang, X.; Abdel-Aty, M.; Huan, M.; Peng, Y.; Gao, Z. An accelerated failure time model for investigating pedestrian crossing behavior and waiting times at signalized intersections. Accid. Anal. Prev. 2015, 82, 154–162. [Google Scholar] [CrossRef]
- Alhajyaseen, W.; Iryo-Asano, M. Studying Critical Pedestrian Behavioral Changes for the Safety Assessment at Signalized Crosswalks. Saf. Sci. 2017, 91, 351–360. [Google Scholar] [CrossRef]
- Peters, D.; Kim, L.; Zaman, R.; Haas, G.; Cheng, J.; Ahmed, S. Pedestrian Crossing Behavior at Signalized Intersections in New York City. Transp. Res. Rec. 2015, 2519, 179–188. [Google Scholar] [CrossRef]
- Rosenbloom, T. Crossing at a red light: Behavior of individuals and groups. Transp. Res. Part F 2009, 12, 389–394. [Google Scholar] [CrossRef]
- Arman, M.A.; Rafe, A.; Kretz, T. Pedestrian Gap Acceptance Behavior, A Case Study: Tehran. In Proceedings of the Transportation Research Board 94th Annual Meeting, Washington, DC, USA, 11–15 January 2015. [Google Scholar]
- Pawar, D.S.; Patil, G.R. Pedestrian temporal and spatial gap acceptance at mid-block street crossing in developing world. J. Saf. Res. 2015, 52, 39–46. [Google Scholar] [CrossRef]
- Kadali, B.R.; Vedagiri, P.; Rathi, N. Models for pedestrian gap acceptance behaviour analysis at unprotected mid-block crosswalks under mixed traffic conditions. Transp. Res. Part F 2015, 32, 114–126. [Google Scholar] [CrossRef]
- Hamed, M.M. Analysis of pedestrians’ behavior at pedestrian crossings. Saf. Sci. 2001, 38, 63–82. [Google Scholar] [CrossRef]
- Li, P.; Bian, Y.; Rong, J.; Zhao, L.; Shu, S. Pedestrian Crossing Behavior at Unsignalized Mid-block Crosswalks around the Primary School. Procedia Soc. Behav. Sci. 2013, 96, 442–450. [Google Scholar] [CrossRef]
- Jamil, R.; Xiong, S.; Kong, X.; Zheng, S.; Fang, Z. Pedestrian crossing patterns preference at a non-signalized crosswalk. Procedia Manuf. 2015, 3, 3353–3359. [Google Scholar] [CrossRef]
- Almodfer, R.; Xiong, S.; Fang, Z.; Kong, X.; Zheng, S. Quantitative analysis of lane-based pedestrian-vehicle conflict at a non-signalized marked crosswalk. Transp. Res. Part F 2016, 42, 468–478. [Google Scholar] [CrossRef]
- Chen, Y.H.; Zhang, H.; Qu, Z.W.; Cao, N.B.; Wei, M.L. Pedestrian Crossing Characteristics on Exclusive Right-Turn Lane with Island. In Proceedings of the Transportation Research Board 94th Annual Meeting, Washington, DC, USA, 11–15 January 2015. [Google Scholar]
- Zhuang, X.; Wu, C. Pedestrian gestures increase driver yielding at uncontrolled mid-block road crossings. Accid. Anal. Prev. 2014, 70, 235–244. [Google Scholar] [CrossRef]
- Samuel, S.; Romoser, M.; Gerardino, L.; Hamid, M.; Gómez, R.; Knodler, M.; Collura, J.; Fisher, D. Effect of advance yield markings and symbolic signs on vehicle-pedestrian conflicts: Field evaluation. Transp. Res. Rec. 2013, 2393, 139–146. [Google Scholar] [CrossRef]
- Guéguen, N.; Eyssartier, C.; Meineri, S. A pedestrian’s smile and drivers’ behavior: When a smile increases careful driving. J. Saf. Res. 2016, 56, 83–88. [Google Scholar] [CrossRef]
- Sandt, L.S.; Marshall, S.W.; Rodriguez, D.A.; Evenson, K.R.; Ennett, S.T.; Robinson, W.R. Effect of a community-based pedestrian injury prevention program on driver yielding behavior at marked crosswalks. Accid. Anal. Prev. 2016, 93, 169–178. [Google Scholar] [CrossRef][Green Version]
- Mwakalonge, J.; Siuhi, S.; White, J. Distracted walking: Examining the extent to pedestrian safety problems. J. Traffic Transp. Eng. 2015, 2, 327–337. [Google Scholar] [CrossRef]
- Schwebel, D.C.; Stavrinos, D.; Byington, K.W.; Davis, T.; O’Neal, E.E.; De Jong, D. Distraction and pedestrian safety: How talking on the phone, texting, and listening to music impact crossing the street. Accid. Anal. Prev. 2012, 45, 266–271. [Google Scholar] [CrossRef] [PubMed]
- Thompson, L.L.; Rivara, F.P.; Ayyagari, R.C.; Ebel, B.E. Impact of social and technological distraction on pedestrian crossing behaviour: An observational study. Inj. Prev. 2013, 19, 232–237. [Google Scholar] [CrossRef] [PubMed]
- Jiang, X.; Wang, W.; Bengler, K.; Guo, W. Analyses of pedestrian behavior on mid-block signalized crosswalk comparing Chinese and German cases. Adv. Mech. Eng. 2015, 7. [Google Scholar] [CrossRef]
- Keltner, D. Don’t Let Power Corrupt You. Harvard Business Review. Available online: https://hbr.org/2016/10/dont-let-power-corrupt-you (accessed on 18 August 2019).
- Holland, C.; Hill, R. The effect of age, gender and driver status on pedestrians’ intentions to cross the road in risky situations. Accid. Anal. Prev. 2007, 39, 224–237. [Google Scholar] [CrossRef] [PubMed]
- Pešić, D.; Antić, B.; Glavić, D.; Milenković, M. The effects of mobile phone use on pedestrian crossing behaviour at unsignalized intersections–Models for predicting unsafe pedestrians behaviour. Saf. Sci. 2016, 82, 1–8. [Google Scholar] [CrossRef]
- Zheng, Y.; Chase, T.; Elefteriadou, L.; Schroeder, B.; Sisiopiku, V.P. Modeling vehicle–pedestrian interactions outside of crosswalks. Simul. Model. Pract. Theory 2015, 59, 89–101. [Google Scholar] [CrossRef]
- Gómez, R.; Samuel, S.; Gerardino, L.; Romoser, M.; Collura, J.; Knodler, M.; Fisher, D. Do advance yield markings increase safe driver behaviors at signalized, marked midblock crosswalks? Driving simulator study. Transp. Res. Rec. 2011, 2264, 27–33. [Google Scholar] [CrossRef]
- Fisher, D.; Garay-Vega, L. Advance yield markings and drivers’ performance in response to multiple-threat scenarios at mid-block crosswalks. Accid. Anal. Prev. 2012, 44, 35–41. [Google Scholar] [CrossRef]
- Guéguen, N.; Meineri, S.; Eyssartier, C. A pedestrian’s stare and drivers’ stopping behavior: A field experiment at the pedestrian crossing. Saf. Sci. 2015, 75, 87–89. [Google Scholar] [CrossRef]
- Sucha, M.; Dostal, D.; Risser, R. Pedestrian-driver communication and decision strategies at marked crossings. Accid. Anal. Prev. 2017, 102, 41–50. [Google Scholar] [CrossRef]
- Gitelman, V.; Carmel, R.; Pesahov, F.; Chen, S. Changes in road-user behaviors following the installation of raised pedestrian crosswalks combined with preceding speed humps, on urban arterials. Transp. Res. Part F 2017, 46, 356–372. [Google Scholar] [CrossRef]
- Clark, S.; Coughenour, C.; Bumgarner, K.; de la Fuente-Mella, H.; Reynolds, C.; Abelar, J. The Impact of Pedestrian Crossing Flags on Driver Yielding Behavior in Las Vegas, NV. Sustainability 2019, 11, 4741. [Google Scholar] [CrossRef]
© 2019 by the authors. Licensee MDPI, Basel, Switzerland. This article is an open access article distributed under the terms and conditions of the Creative Commons Attribution (CC BY) license (http://creativecommons.org/licenses/by/4.0/).
