Abstract
This paper focuses on coordination issues related to the green supply chain with capacity constraints and green marketing efforts. We build a two-stage green supply chain, in which the upstream manufacturer has a certain amount of installed capacity to produce green product, yet can expand its capacity through a Cloud Manufacturing (CM) Platform once its existing capacity becomes insufficient, while the downstream retailer expends green marketing effort to promote the green product. In particular, we analyze the interaction between the capacity expansion options of the manufacturer and the green marketing efforts of the retailer. Aiming to mitigate the inefficiency under a decentralized green supply chain, we design a contract that combines cost-sharing and revenue-sharing in green marketing in order to coordinate the supply chain. The results show that: (1) when the manufacturer’s existing capacity falls below a certain threshold, it will choose to expand its capacity. The threshold is related to existing capacity, capacity expansion cost coefficient, green marketing cost coefficient, and sensitivity coefficient of demand to green marketing. (2) Under low capacity, if the capacity expansion cost coefficient is large, a higher consumer environmental awareness or preference for green products will weaken the retailer’s motivation for expending green effort. (3) A contract for cost-sharing and revenue-sharing in green marketing can fully coordinate the green supply chain, whereby the two share proportions are equal and meet certain constraints.
1. Introduction
With the depletion of natural resources and the deterioration of the environment, environmental issues affect all human activities, and environmental protection and sustainability are receiving increasing attention [1,2,3]. Driven by regulations, competition, trends in consumption and social responsibility, enterprises in various industries are implementing their own environmental practices in different ways [4,5]. Producers try to use various methods and technologies to produce green products, e.g., Commonwealth Edison uses a life-cycle management approach to manage materials and equipment; Pepsi-Cola replaces corrugated cartons with reusable plastic transport containers [6]; BASF pharma uses renewable materials for pharmaceutical production [7]. Retailers are trying to reduce carbon emissions in their supply chains through sustainable plans, such as Wal-Mart launching a sustainable platform called Project Gigaton, which aims to reduce carbon dioxide emissions by one billion tons with upstream and downstream partners between 2015 and 2030 [8]. According to Bonini and Oppenheim [9], 87% of respondents were worried about the environmental and social impact of their purchases. More and more consumers are aware of the impact of their purchasing behaviors on the environment, and purchasing green products has becoming an important way for them to fulfill their environmental responsibilities [10].
Nevertheless, on a consumption level, even if consumers are concerned about environmental issues, it is difficult to translate their purchasing intentions into purchasing actions when they have lower willingness to pay [11] or there is a lack of sufficient information about the green products [12]. Meanwhile, although the growth rate of green products is fast, the share of green products in the whole market is still low [13]. There is still large room for further expansion of the green product market.
The manufacturer’s green technology is an essential prerequisite for green products that consumers are willing to buy. Nevertheless, for the manufacturer in the supply chain, its green products still need to go through downstream retailers to reach their final consumers. If consumers have no idea about the green products, or even are not able to accept them, it will be impossible for the firms to achieve their original intentions of environmental protection practices. However, retailers can implement green product promotion or green marketing that will make a key effect on consumers’ shopping decisions on green products.
On the demand side, Hong and Guo [14] believe that environmental responsibility can maintain the sustainability of green supply chain, because responsibility is an inherent incentive that can cultivate a stable consumer market. Environmental education or advertisements are green-marketing tools for retailers to communicate green product information to consumers [2]. They can strengthen consumers’ environmental responsibility, increase consumers’ willingness to pay, and improve the trust relation between the firms and consumers [15,16]. In addition, consumers’ purchase of green products also depends on their knowledge of green products. Different forms of marketing are used by enterprises to transfer knowledge and information about green products to consumers. Examples include paper media (newspapers and magazines), radio media (radio and television) [2], and new media (mobile phone and Internet) [17,18]. Marketing campaigns can help consumers understand the meaning of green products and experience the effect of green products; more shelf space allows consumers to compare and choose green products easily [11]. Various media publicity, retail channel display, and salesman explanations are the main ways available to most consumers for understanding, judging and ultimately choosing green products. We refer to these activities as green marketing efforts, which are effective tools for translating consumers’ green awareness into actual purchasing behavior [19]. This is an important factor to be considered in this paper.
We assume that the manufacturer produces green goods with a certain green technology, that is, the manufacturer’s green technology is exogenously given. In addition, we mainly focus on the influence of the downstream retailer’s green marketing efforts on the green market cultivation or on consumer demand. The reason for this is that it will be difficult for the manufacturer to adjust the technology level in a short time once a certain green technology has been selected. On the contrary, the retailer’s green marketing effort is an endogenous decision-making variable, because it can control the promotion activities’ scale, duration, scope of influence, and channel selection, thus influencing market demand. We therefore only consider green marketing efforts expended by the retailer in promoting the manufacturer’s green product. For example, Walmart, the largest retailer in the world, needs to consider how to expend its marketing efforts to promote green products once its suppliers choose to participate in its green supply chain and produce organic cotton clothing [20].
For the supply side, with the development of information and communication technology (ICT), especially emerging technologies such as Internet of Things (IoTs), Big Data, Cloud Computing and Block Chain (BC), Cloud Manufacturing (CM) based on Industry 4.0 has brought significant changes to the sustainability of manufacturing capacity [21]. Capacity, traditionally, was installed before the demand season; then, production occurs according to the demand forecast information, or to the realized demand. Capacity investment ahead of time puts manufacturers at risk. When demand is too low, the manufacturer will suffer overcapacity; when demand is too high, the manufacturer will experience undercapacity. This is a challenge for the capacity management of a manufacturer. Although manufacturers can avoid risk by means of capacity pooling/trading, such capacity sharing is usually only carried out among enterprises that are familiar with each other [22], due to transaction risk, e.g., inconsistency of technical standards, opportunism, brand dilution, and purchasing defective or counterfeited goods. Furthermore, this sharing has a lack of flexibility. However, in CM mode, ICT such as IoTs and BC can not only connect machines, resources and capacities into CM platform and encapsulate them into various manufacturing cloud services [23], but can also achieve information sharing and transparency [24], which help firms avoid opportunism and purchasing counterfeited goods. Supported by the CM platform, capacity demanders can obtain manufacturing cloud services, which resemble the manner in which water and electricity are consumed [25]. This provides capacity sustainability for manufacturers who are suffering undercapacity, and thus effectively helps manufacturers avoid the impact of demand uncertainty.
In complex environments, the supply chain should consider not only capacity sustainability, but also how to optimize the green marketing efforts mentioned above. However, the two decisions are usually made independently by different players in the supply chain. It is very possible that the supply chain results in a failure of joint optimization of the capacity utilization and green marketing efforts due to the players’ self-interest. Thus, our study aims to investigate the following questions:
- (1)
- If the production of green products is constrained by the manufacturer’s existing capacity, how do supply chain enterprises make decisions regarding the price and green marketing effort to be expended?
- (2)
- If the manufacturer can expand its capacity through the CM platform, how does the manufacturer’s decision to acquire additional capacity interact with the retailer’s decision regarding green marketing effort?
- (3)
- When the manufacturer and retailer make decisions independently, are the advantages of capacity expansion fully utilized? If not, what kind of contract can be used to coordinate the decisions of the manufacturer and retailer so as to make full use of the advantages of capacity expansion?
As we know, the manufacturer’s decisions are affected by the retailer’s decisions, and vice versa. Therefore, the game theoretic setup is a highly appropriate way of modeling the interaction between the two firms’ decisions. Therefore, to address these questions, we formulate a game model of a two-stage supply chain in which an upstream undercapacity manufacturer can obtain additional capacity through the CM platform, while the downstream retailer expends green marketing effort. Then we apply the backward method to solve the game problem and analytically discuss the firms’ decisions. Moreover, coordination contracts are designed to align their decisions. The main contributions of this paper are as follows: based on Industry 4.0, a unified framework model of capacity sustainability is constructed; the enabling role of emerging information technology in the implementation of enterprise green practices is discussed; and a coordination contract for the green supply chain is designed.
The rest of this paper is organized as follows. Section 2 presents the literature review. The problems are mathematically formulated and analyzed for decentralized and centralized cases in Section 3. Section 4 discusses supply chain coordination under a contract for green marketing effort cost and revenue sharing. We conduct the numerical analysis in Section 5, and finally Section 6 concludes this study.
2. Literature Review
Three streams of research are related to this paper: supply chain capacity management, green marketing, and green supply chain coordination.
The first stream of research mainly focuses on capacity management in green supply chains. There is a large literature focused on capacity management in the fields of OM and SCM (see review articles [26,27,28], among others). We only reviewed the literature that was related to capacity management with respect to the green supply chain. Almost all of the literature on the green supply chain assumes infinite capacity, i.e., production capacity constraints are not considered in the models, with the exception of Zhang et al. [29] and Kim and Sim [30]. Zhang et al. [29] explore the influence of consumer environment awareness (CEA) on order decision and supply chain coordination within a two-stage supply chain, where one manufacturer produces two substitutable products: one green product and one traditional non-green product. Their study suggests that the retailer’s profit increases, while the manufacturer’s profit is convex in CEA. However, under an assumption of capacity constraints, our study indicates that the retailer’s profit is concave, while the manufacturer’s profit increases with green sensitivity. To mitigate the double marginalization, they design a return contract to coordinate the supply chain. Furthermore, when considering production capacity constraints, they find that critical capacity points exist. Once the manufacturer’s capacity falls below these critical points, the channel profit and order quantities are negatively changed by the capacity constraint. This result is consistent with ours. However, they assume, in their model, that the existing capacity is the upper boundary of production quantity. This is different from our model, in which the manufacturer can expand their capacity from the CM platform. Kim and Sim [30] investigate the effect of consumer awareness of pollution and supply chain coordination on manufacturers’ efforts to reduce pollution. Their results show that consumer awareness plays an important role in curbing carbon emissions in the supply chain. However, they don’t incorporate the retailer’s efforts into their research. In addition, although a quadratic cost function similar to ours is used in their model, the underlying assumption is still unconstrained capacity. Nevertheless, the quadratic cost function in our research is caused by the manufacturer’s acquisition of additional capacity. Although in the OM domain, Huang et al. [31] and Lu and Chen [32] take capacity expansion into consideration, none of them involve environmental issues. Therefore, there are few studies on green supply chain management involving capacity management. From the perspective of management practice, considering capacity constraint will make the research conclusion more realistic.
The second stream of research is related to green marketing. In 1975, Ecological Marketing was discussed in the workshop of the American Marketing Association (AMA), and then in the late 1980s and early 1990s, green marketing came to prominence [1]. Peattie [33] breaks down the evolution of green marketing into three distinct phases, i.e., Ecological marketing, Environmental marketing and Sustainable marketing. Sustainability is the theme of green marketing in the future. Consumers have an ever-increasing concern about the adverse impact of ecological degradation on their enjoyment of life, thereby prompting firms to employ environmental claims to appeal consumers [2]. Different enterprises in the industry can implement various sustainable practices. For example, manufacturers can invest in reducing emissions through innovations in their production technologies, investment in cleaner technologies, or education of their employees [34]. Unlike manufacturers, retailers are able to implement green practices in various channels, e.g., advertisement, promotion etc., which is the focus of our research. Peattie and Crane [16] find that consumers often lack knowledge and trust in firms’ products. Environmental or green advertising is a major marketing tool used by firms to increase CEA, and is conducive to the transformation of consumption into the purchase of green products [35,36].
The third stream of research is related to coordination issues of the green supply chain. Based on the Triple Bottom Line (TBL) of sustainability [37], our research belongs to a combination of environmental and economic, i.e., Green Supply Chain (GSCM). Ahi and Searcy [38] compare the definitions of GSCM and Sustainable SCM (SSCM) on the basis of a literature review.
The focus in environmental OM is shifted from a local firm’s environmental optimization to the supply chain’s global optimization due to the convergence of sustainability and supply chains [39]. More related research can be found in the study by Rajeev et al. [3], who conducted a literature review on the evolution of sustainability in supply chain management. Green supply chain coordination can enhance the relationship between supply chain members and try to achieve system-wide improvement in terms of profit and environmental performance.
Many studies only consider the manufacturer’s green efforts when designing contracts to coordinate the green supply chain. For example, Ghosh and Shah [40] develop an apparel supply chain model in which the manufacturer carries out green innovation. They show that collaboration between supply chain firms can lead to greater green levels, yet a higher green level may force consumers to face a higher retail price. Ghosh and Shah [5] investigate the effect of cost sharing contracts on product greening level, prices and profits in a supply chain. Their study reveals that cost sharing between supply chain members can increase the profits of the firms and supply chain, and green level. Zhu and He [41] show that wholesale price contracts or green cost sharing contracts alone fail to fully coordinate the supply chain, in particular, there is a failure to coordinate economic and environmental objectives at the same time. To find a coordination contract, sometimes it is necessary to compare and analyze multiple contracts. For example, Subramanian et al. [42] investigate three coordination contracts: price-replacement interval, two-part tariff, and leasing. To encourage firms to engage in green production, Tong and Li [43] investigate two types of investment funding for green, i.e., external government subsidy and internal greening cost-sharing with a partner. Their results show that the greening cost sharing contract, in which the retailer shares a part of the R&D cost of the manufacturer, which will provide the manufacturer with incentive for greener product, can coordinate the supply chain. Song and Gao [44] investigate the effect of revenue sharing contract on the decisions and performances of the green supply chain. The authors show that the green level and the profit of the supply chain are both improved under a re..venue sharing contract. However, in our research, it is impossible to coordinate the supply chain by sharing the cost of green effort or by sharing the revenue separately. Kim and Sim [30] investigate the effect of consumer awareness of the pollution and supply chain coordination on the manufacturer’s effort to reduce pollution. Their results show that supply chain coordination will not work when consumers are environmentally ignorant or sensitive enough. Yang et al. [45] investigate the influence of revenue sharing contracts on the manufacturer’s emission reduction decisions and the firms’ profits. They find that the first-mover advantage will affect the coordination contract; in particular, no matter which firms in the supply chain have the first-mover advantage, revenue sharing fails to coordinate the system.
There are also studies that consider manufacturers and retailers both making green investments at the same time. De Giovanni [46] explicitly considers both manufacturer and retailer investing in green advertising, which aims to increase customer knowledge, awareness and concern regarding environmental issues, and to change their purchasing intentions. However, what they study is the problem in closed-loop supply chains, and they assume that the retail price is a function of the wholesale price, that is, that the retailer has no pricing power. Swami and Shah [6] consider a supply chain consisting of a manufacturer and a retailer, in which both firms expend green effort. They found that the ratio between the two firms’ optimal greening efforts was equal to the ratio between their green sensitivity and the greening cost. Hong and Guo [14] also consider a supply chain similar to that of Swami and Shah [6], within which the manufacturer designs and produces a green product and the retailer promotes the green product through green marketing. Their results indicate that cooperation among green supply chain members can achieve environmental improvements; however, green marketing cost sharing contracts fail to efficiently coordinate the supply chain.
Other studies considering carbon-related factors, e.g., cap-and-trade, carbon tax, and carbon emission, have also studied green supply chain coordination [30,45,47,48,49,50,51], which mainly focus on the manufacturer’s green efforts. In addition, some papers have investigated the decisions made with respect to green supply chains under complex supply chain structures, for example, product substitution between green and non-green products ([29,36,43], among others), and channel competition between two supply chains ([52,53], among others).
Our study differs from the existing literature in two respects. First, other studies have assumed that the manufacturer’s production capacity is unconstrained, or that the existing capacity is the upper boundary that can be achieved for output. However, the manufacturer’s capacity, in our study, is endowed with flexibility through access to cloud manufacturing platforms; that is, once the capacity becomes insufficient, the manufacturer is able to obtain additional capacity at a cost. Second, the main focus of their studies is the manufacturer’s green efforts, while the retailer’s green efforts are emphasized in our study.
3. Model Formulation and Analysis
3.1. Model Description and Assumptions
Consider a supply chain consisting of a risk-neutral manufacturer (M) and a risk-neutral retailer (R). The manufacturer produces a green product using a certain green technology, and the retailer purchases the product and promotes it to the market through green marketing. In this research, we focus on the retailer’s green marketing decisions. That is, the retailer invests in green marketing to promote the green product purchased from the manufacturer. For example, Walmart needs to consider how to expend it marketing effort in order to promote the green products of its suppliers, who have already participated the green supply chain and make use of some kind of green technology [20]. For the manufacturer, given this green technology, we focus on its capability to expand the capacity, which has often been overlooked in previous literature examining the green supply chain.
The principal assumptions are as follows:
Assumption 1.
Demand function. The size of the market demand () is sensitive to retail price (). Meanwhile, the consumers in the market are environmentally conscious; thus, the retailer’s green marketing effort() will also influence the market demand. Intuitively, the higher the price (marketing effort), the lower (higher) the demand. Without loss of generality, we assume that the demand is a linear function of retail price,, and green marketing effort,. Similar types of demand function can also be seen in previous research (e.g., [5,14], among others). The demand function can be given as:
In the above equation,denotes the market demand potential;is the price sensitivity of market demand, andandare both greater than 0. For simplified analysis, we let; and () is the sensitivity of demand to the green marketing effort, or green sensitivity for short. Green sensitivity represents the influence level of green marketing effort on the demand, that is, a greater value of sensitivity implies that more consumers will be attracted by the same effort on the part of the retailer. As shown in Equation (1), the market demand decreases linearly with the retail price, yet increases with the retailer’s green marketing effort.
Assumption 2.
Green marketing cost of the retailer. We only focus on the downstream retailer’s green marketing decisions, rather than those of the upstream manufacturer, which have been the focus of previous literature on the green supply chain. A higher green marketing effort expended by the retailer requires a higher cost, that is, the effect of green marketing on the demand increment is diminishing. Therefore, we assume the cost of green marketing effort to be, whereis the cost coefficient of green marketing effort, or green cost coefficient for short. Such a quadratic form of the cost function is prevalent in previous research (e.g., [5,6,14], among others).
Assumption 3.
Manufacturer’s capability of capacity expansion. The manufacturer’s existing capacity is, and it produces a green product using a given green technology at unit production cost; that is, the manufacturer’s green technology is exogenous and the unit production cost is constant. Then, it sells the green product to the retailer at wholesale price. Thus, we have . In contrast to the existing literature, which investigates the manufacturer’s green decisions, we investigate the impact of the manufacturer’s capacity sustainability, i.e., capacity expansion, on the decisions of the two firms and the performance of the supply chain. In the literature regarding capacity management, lots of research assumes that capacity investment decisions are made in the context of demand uncertainty. After demand realization, the yield will not exceed the quantity of the installed capacity. However, in Cloud Manufacturing mode, the manufacturer is able to access manufacturing resources and capacities for producing green goods shared by other manufacturers on the CM Platform. Once the manufacturer’s capacity for green product is insufficient, it can expand this capacity through the platform.
Assumption 4.
The cost of capacity expansion. The more additional capacity that is obtained, the higher the cost is. The main reason for this lies in the greater degree of effort that will be required in order to coordinate the manufacturing resources and capacity for green production, and the cost of logistics will increase in order to support these operations. In order to model the cost of acquiring additional resources and capacity for green production, we consider an increasing and convex cost structure, that is,, in whichis the cost coefficient for acquiring additional resources and capacities, or expansion cost coefficient for short. Therefore, the total production cost is. Please note that the manufacturer purchases additional capacity only when the retailer’s order is greater than its existing capacity, and additional cost will occur, accordingly.
Assumption 5.
Cost sharing and revenue sharing. In order to mitigate double marginalization under decentralized cases, it is necessary to introduce contracts to coordinate the two supply chain members’ decisions. Cost sharing and revenue sharing contracts are used. To motivate the retailer to expend green marketing effort, the manufacturer can share part of the green marketing cost. We assume the proportion to be. On the other hand, the retailer can also share its revenue with the manufacturer in order to obtain a lower wholesale price. We assume the proportion to be . When , there is no cooperation between the two supply chain members, which corresponds to decentralized case.
Based on the above assumptions, the retailer’s profit function (), without cooperation, can be given as:
The manufacturer’s profit function (), without cooperation, can be expressed as follows:
In the following subsections, we first investigate the decisions made within a decentralized supply chain () in which the supply chain players, under a Stackelberg game framework, maximize their own profits. Specifically, the manufacturer acts as the leader, and supplies product to the retailer with a wholesale price contract; meanwhile, the retailer, acting as a follower, makes decisions with respect to retail price and green marketing effort, and sells the product to the market. Then we analyze the decisions and performance of the centralized supply chain ().
3.2. Decentralized Supply Chain Case (d)
In this subsection, we investigate the decisions and performance of the decentralized supply chain case. The decision sequence of the two firms is as follows. First, the manufacturer determines the wholesale price based on its existing capacity and its options for capacity expansion through the CM Platform. Second, the retailer sets its retail price and green marketing effort level given the manufacturer’s wholesale price. Finally, the manufacturer produces and deliveries the order. Backward induction is used to solve this game problem. That is, the retailer decides on the retail price and green marketing effort given a wholesale price ; then, the manufacturer decides on its wholesale price, anticipating the retailer’s reaction function. Therefore, we formulate the retailer’s problem as follows:
Solving Equation (2), we can determine the retailer’s decisions and demand as follows when :
That is, the retailer will respond to the manufacturer’s decision as in Equations (3) and (4). In addition, we have the following proposition.
Proposition 1.
As a follower, given the manufacturer’s wholesale price, the retailer’s green marketing effort and demand are both decreasing with the manufacturer’s wholesale price; the retail price is nondecreasing withwhen, and is decreasing when
Proof of Proposition 1.
The first-order condition (FOC) of the retailer’s profit with respect to the retail price and green marketing effort is written as , . The Hessian matrix of the retailer’s profit function is addressed as follows. , , when , we derive ,, which implies that the Hessian matrix is negatively defined. Therefore, when , the retailer’s profit is jointly concave in . Let and ; we can obtain the response functions of the retailer with the wholesale price: , . Substituting these two formulas into the demand function Equation (1), we can obtain the retailer’s order quantity . Furthermore, , , . If , ; if , . Thus, Propostion 1 is proved. □
From Proposition 1, we find that the manufacturer’s wholesale price has different effects on the retailer’s two decisions. With respect to green marketing effort, a higher wholesale price will discourage the retailer from expending effort. However, whether the retailer’s price increases or decreases with wholesale price depends on the ratio of green sensitivity and green cost coefficient . A smaller ratio means that consumers are less sensitive to green marketing efforts, or that the green marketing cost coefficient is higher. In a word, it is difficult to implement green marketing. Thus, if the green marketing effort is inefficient or costly, the retailer will be more willing to use a high-price strategy to deal with the manufacturer’s high wholesale price. Otherwise, the retailer will adopt a low-price strategy in order to attract more demand to counter the manufacturer’s high wholesale price.
As a game leader, the manufacturer maximizes their profit by optimally setting the wholesale price, anticipating the retailer’s decisions. We formulate the manufacturer’s decision problem as follows:
By substituting Equation (5) into Equation (6), we then solve the manufacturer’s optimization problem and obtain the following propositions.
Proposition 2.
Let, the optimal decisions and profits of the decentralized supply chain case are as follows, respectively:
- (1)
- Whenand,
- (2)
- Whenand,
Proof of Proposition 2.
When , the retailer’s order quantity will be more than the manufacturer’s existing capacity. To avoid supply shortage and to successfully execute the contract between the two firms, the manufacturer needs to buy additional capacity from the CM platform, that is, we calculate the manufacturer’s profit through the following formula:
□
We derive the FOC of the manufacturer’s profit with the wholesale price, and let it be equal to 0.. The second-order condition is . If , then the manufacturer’s profit function will be concave with their wholesale price . Solving , we obtain the manufacturer’s optimal price . Substitute this wholesale price into Equations (2)–(6), we can obtain the retail price, green marketing effort level, order quantity, and profits of the two supply chain players as shown in Proposition 1(1).
Please note that the optimal values above are obtained under the assumption , that is, . Let , which is a threshold of the manufacturer’s existing capacity; once the manufacturer’s existing capacity falls below the threshold, they will choose to expand their capacity through the CM Platform.
When , the manufacturer’s existing capacity will be above this threshold. The manufacturer will be able to produce the retailer’s order without encountering the capacity constraint. In this situation, we are able to calculate the manufacturer’s profit on the basis of the formula: . We let the FOC of Formula (12) with be equal to 0, that is, . The second-order condition is . If , the manufacturer’s profit function will be concave with the wholesale price. We can obtain the optimal wholesale price as . By substituting this wholesale price into Equations (2)–(6), we are able to obtain the retail price, green marketing effort level, order quantity, and profits of the two supply chain players as shown in Proposition 1(2).
Proposition 3.
(1) If the manufacturer’s existing capacity, and, then
- (a)
- the capacity expansion
- (b)
- , , ,
- (c)
- ,
- (d)
- when, ; when,
- (2)
- if, the manufacturer will not expand its capacity, and the production quantity is
- (3)
Proof of Proposition 3.
We used Mathematica to obtain these results, thus we omit the proof process here. □
Propositions 2 and 3 imply that there is a threshold of the manufacturer’s capacity at which the manufacturer will decide whether or not to expand its capacity. When the existing capacity falls below this threshold, the manufacturer will expand its capacity to satisfy the retailer’s order. The existing capacity, expansion cost coefficient, and green cost coefficient have negative effects on the capacity expansion quantity, yet green sensitivity has a positive effect. If it is free to access additional capacity, the manufacturer will produce at the threshold value. This is equivalent to the case of unconstrained capacity. Therefore, the production quantity will be lower than the threshold as long as the expansion cost coefficient is greater than 0. Zhang et al. [29] also found that there exists a critical capacity point for a manufacturer’s capacity when considering the capacity constraint. However, the manufacturer is not able to expand their capacity in their model, that is, the existing capacity represents the upper boundary of output. This is different from in our model, where the manufacturer is able to expand their capacity through the CM Platform and benefit from this flexibility with respect to capacity.
Green sensitivity () has different effects on the profits of the two firms. A higher green sensitivity will result in a higher green effort from the retailer, which will stimulate greater market demand. In addition, the manufacturer may benefit from this increased demand. As for the retailer, although the higher demand and retail price, brought about by greater green sensitivity, will increase its revenue, it may bear a higher green marketing cost because of the increased green marketing effort. In consequence, whether the retailer is able to benefit from the enhancement of green sensitivity will depend on the value of green sensitivity. When the green sensitivity is high, i.e., , the retailer will undertake too much green marketing cost, and therefore be worse off. This result is different from that of Zhang et al. [29], whose results showed that a retailer’s profit will increase, while the manufacturer’s profit will be convex with CEA. The inconsistency of these two results is mainly due to the different subjects of green decision-making in their study; in particular, the decision-maker in Zhang et al. [29] was the manufacturer, while ours is the retailer.
When the existing capacity is above the threshold, the manufacturer will maintain their production quantity at the threshold, regardless of its existing capacity. The reason for this is that the availability of more capacity to the manufacturer is not necessarily beneficial to it. Specifically, even though greater demand can be met by sufficient capacity, the manufacturer has to set a lower wholesale price for this higher demand. Consequently, the profit resulting from the increased demand may be offset by the reduction in wholesale price. Therefore, the manufacturer will not produce more than the threshold, in order to maintain maximum profit. Similar conclusions were also drawn in Zhang et al. [29] in the case of sufficient capacity. This shows that when production capacity is insufficient, the manufacturer is able to benefit from acquiring additional capacities through the CM platform, but when the production capacity is sufficient, a part of that capacity will be idle, leading to inefficient utilization of production capacity, to a certain extent.
3.3. Centralized Supply Chain Case ()
In this subsection, we investigate the decisions and performance of the supply chain when the supply chain players operate as a whole. We use the superscript to denote the centralized case. The decision-maker, representing the entire supply chain, simultaneously determines the retail price and the green marketing effort , with the aim of maximizing the system’s profit. Thus, the system’s problem can be stated as follows:
Using the same method as in the decentralized case, we can solve the problem of the centralized case. The proposition below presents the optimal solutions of the above problem in Equation (7). In addition, these solutions are the benchmark for designing contracts to coordinate the decentralized supply chain.
Proposition 4.
Let, the optimal decisions and profit of the centralized supply chain case are as follows, respectively:
- (1)
- if, and, , ,
- (2)
- if, and
Proof of Proposition 4.
We use the same method to solve the centralized supply chain case as in the decentralized case, so we omit the proof process here. □
From Proposition 4, it is easy to see that there is also a capacity threshold in the centralized case. If the existing capacity falls below the threshold, the centralized decision-maker will purchase additional capacity from the CM Platform to expand their capacity to the system-wide optimal quantity. The relevant analysis is similar to that in the decentralized case.
Based on a comparison between the centralized and decentralized cases, we can obtain the following proposition. Because the comparison was conducted in Mathematica, we omit the proof process.
Proposition 5.
The decisions and profits under the decentralized and centralized cases have the following relationship:, , .
Proposition 5 demonstrates that the quantity decision, green marketing effort, and total profit under the decentralized case are all lower than those under the centralized case. The reason for this is that there exists double marginalization in the decentralized case, where each member seeks to maximize their own profit. Many researchers have found and discussed this issue in the green supply chain, for example, Xue et al. [51], Zhang et al. [29], and Yang et al. [45]. Therefore, in the following section, we will design appropriate contracts to align the members’ decisions and enhance the members’ profit in order to realize Pareto improvement of the entire supply chain.
4. Supply Chain Coordination
In this section, we will look for a contract that is able to align the decisions of the supply chain members and improve their profits. Proposition 5 shows that the demand satisfied by the supply chain and the green marketing effort expended by the retailer are both lower than the optimal values in the centralized case. Decision misalignment between the two cases causes supply chain inefficiency. To eliminate this inefficiency, the designed contract should meet two requirements: the first one is to align the members’ decisions in the decentralized case with those under the centralized case; and the other one is to make sure that each member is better off. Thus, we will design a contract in accordance with each of the requirements above in turn.
Because , we should design a contract that eliminates the misalignment between the two quantity decisions. Based on this, we first try to employ a green marketing effort cost sharing (GCS) contract, in which the manufacturer shares a fraction of the retailer’s green marketing effort cost, aiming to incentivize greater effort on the part of the retailer. Then we design another contract combining GCS and revenue sharing (RS), named the GC&RS contract, in which the manufacturer shares fraction of the retailer’s effort cost and revenue. The results show that GCS contract can align the two quantity decisions, and the RS contract is able to balance the profits of the two firms. In other words, the GC&RS contract we designed is able to fully coordinate the supply chain, and all members are better off.
4.1. Green Marketing Effort Cost Sharing Contract (GCS)
From the analysis in Section 3, the manufacturer is able to purchase additional capacity from the CM Platform in order to satisfy the increased demand induced by the retailer’s green marketing effort. Based on Proposition 5, we know that the quantity decision in the decentralized case is lower than that in the centralized case. Therefore, we need a contract that is able to motivate the retailer to create more demand. A green cost sharing contract is a kind of contract commonly used in the green supply chain, for example, Ghosh and Shah [5], Zhu and He [41], Tong and Li [43], Hong and Guo [14]. The GCS contract, under which the manufacturer shares a fraction of the retailer’s green cost, provides an incentive for the retailer to attract more consumers through a green marketing effort. According to Assumption 5, the share ratio is . The two firms’ profits under the GCS contract are as follows:
The second item on the right of Equation (14) represents a part of the green marketing cost borne by the retailer. In addition, the other part of the green marketing cost, shared by the manufacturer, is the third item of Equation (15).
Using the same method as before, we are able to obtain the following Equation and proposition when .
Proposition 6.
When the capacity is insufficient, a green marketing effort cost sharing contract will not be able to efficiently coordinate the supply chain, whereby the retailer will expend green marketing effort and the undercapacity manufacturer has the option of purchasing additional capacity from the CM Platform.
Proof of Proposition 6.
We first derive the retailer’s optimal decisions. The FOC of Equation (14) with respect to and can be set to 0, as follows: , . The Hessian matrix is . Please note that the Hessian matrix of the retailer’s profit function is negatively defined for and if . Solving the two equations above, we are able to obtain the retailer’s decisions as a function of the manufacturer’s wholesale price: , . Accordingly, the demand can be represented as: . As mentioned above, when , the optimal quantity decision of the centralized case is . Let , i.e., when quantity alignment has been realized, we are able to obtain the manufacturer’s optimal price decision as follows:
Substituting the equation above into Equations (3)–(5), we obtain the retailer’s optimal decisions , , . Substituting the equations above into Equations (2) and (6), we can obtain the formula: . It is easy to see that once , the GCS contract will fail to efficiently coordinate the green supply chain. Proposition 6 is therefore proved. □
From Equation (16), it is easy to see that once the share proportion is moregreater than 0, the total profit of the two firms will be less than the optimal value of the centralized case, even though the quantity decision is aligned. Furthermore, we find that the green marketing effort under the GCS contract is greater than that under the centralized case. This implies that the GCS contract gives the retailer an excessive incentive to expend green marketing effort. In a word, although the GCS contract is able to improve the green marketing effort, it is not able to maximize the profit of the supply chain. The manufacturer will even suffer from a lower wholesale price. That is, the supply chain is out of balance between economy and environment under this GCS contract. This result is consistent with previous studies. For example, Ghosh and Shah [5] argued that although green cost sharing contracts were able to improve the green level and supply chain performance, they could not achieve this performance in centralized cases. Hong and Guo [14] also regarded cooperation as being able to help improve environmental performance, but suggested that green cost sharing contracts might not benefit all members of the supply chain. Therefore, another way is required to further coordinate the profits of supply chain members. Based on the analysis above, we incorporate a revenue sharing (RS) contract into the GCS contract, aiming to adjust the two firms’ profits.
4.2. Green Marketing Effort Cost Sharing and Revenue Sharing Contract (GC&RS)
Based on the results in Section 4.1, we further design a combined contract in which the manufacturer not only shares in the cost of the retailer’s green marketing efforts, but also shares in the retailer’s sales revenue. Revenue sharing contracts have been used by many researchers to coordinate green supply chains, e.g., Song and Gao [44], Yang et al. [45]. Based on Assumption 5, the proportion of the retailer’s revenue shared by the manufacturer is . Thus, the parts of revenue and green marketing cost of the retailer shared by the manufacturer are and , respectively. The two firms’ profit functions under the GC&RS contract are given as:
Similarly, when and , we can derive the two firms’ optimal decisions and profits:
Proposition 7.
, , , when.
Proof of Proposition 7.
The expressions of the decisions and profits of the two firms are derived using the same method as before. We are able to directly obtain the result by comparing the decisions made under the GS&RS contract with those of the centralized case. □
Based on Proposition 7, above, we found that the GC&RS contract, under the condition , satisfies the first of the requirements of an efficient contract, that is, the decisions of the two firms under the decentralized case are consistent with those of the centralized case. Both green cost sharing and revenue sharing constitute cooperation between firms. However, they are different for the two firms. Green cost sharing is beneficial to the retailer, while revenue sharing is good for the manufacturer. In other words, all members of the supply chain should expect to derive benefit from cooperation.
According to individual rationality, the two firms’ profits under the GC&RS contract need to meet the following relationships, and . We assume that the set of that satisfies the two inequalities is , and and are the maximum and minimum elements of the set, respectively. That is,, and . When , both firms are better off compared with the decentralized case. In other words, the GC&RS contract satisfies another requirement of an efficient contract. Recall that and , which will be used in the following analysis.
When , on the basis of Equations (7) and (8), (17)–(22), we derive the following equations:
When , on the basis of Equations (9) and (10), (17)–(22), we derive the following equations:
The analysis above investigates the supply chain coordination under the condition . When , , we can obtain the following results by using the same method as before.
When , we can obtain the upper and lower bounds of as follows
The results above can be summarized in the following proposition.
Proposition 8.
The GC&RS (, ) contract is able to coordinate the supply chain efficiently when the following conditions are satisfied:
- (1)
- ;
- (2)
- When,; when,; when, .
Proof of Proposition 8.
The first part of Proposition 8 is proved directly by Proposition 7. The second part is proved as follows. When , solving and , we can obtain and . In the same way, we are able to obtain , , and . The solution was performed in Mathematica, thus we omit the process. □
Propositions 6–8 demonstrate that the GCS contract alone is not able to efficiently coordinate the supply chain, even though decision alignment is achieved with respect to quantity. However, the GC&RS contract, which combines green marketing effort cost sharing and revenue sharing, is able to simultaneously coordinate decisions related to both quantity and green marketing efforts. Furthermore, in order to ensure that each firm benefits from the contract, the proportions of cost sharing and revenue sharing, and , should be equal, and their values should be in appropriate intervals according to different values.
5. Results and Insights
In Section 3, we solved the equilibrium decisions for the supply chain with capacity expansion under decentralized and centralized cases, respectively. Based on these equilibrium decisions of centralized case as a benchmark, a coordination contract is designed to coordinate the decisions of the green supply chain enterprises in Section 4. These results enable us to compare and analyze the changes of decisions and profits of the enterprises and supply chain before and after coordination. We can also explore the relevant parameters, e.g., demand sensitivity to green marketing effort, the cost coefficient of capacity expansion and existing capacity, on the decisions and profits of the firms. In the following, we first conduct numerical analysis to verify the correctness of our model we have modeled. Then we present the implications of our research for the theory and management. The following values were assumed: , , , , . When , it is implied that a consumer’s demand is not influenced by the retailer’s green marketing efforts at all; otherwise, the demand will increase with the effort; when , this represents that the cost of purchasing additional capacity through the CM Platform is so high that the manufacturer will give up on expanding its capacity.
5.1. The Impact of and on the Optimal Production Quantity
Due to the similarities in the effect of existing capacity on the optimal production quantities between the decentralized and centralized cases, we only display the figures for the centralized case below.
As shown in Figure 1a,b, break points exist in each line, i.e., and , which are the breakpoints represented by the dashed-line and dotted-line, respectively. They divide the lines into two segments, the oblique line on the left and the horizontal line on the right. We first focus on the oblique line. Please note that is independent of the existing capacity , but increases with . Therefore, for a given value of , i.e., with a fixed break point, the slope of the oblique line will increase with . When , the slope is 1, that is, the capacity cost is so high that the firm will not purchase any additional capacity, and will produce up to its existing capacity (as shown in Figure 1a). Once the firm has the option to expand its capacity through the CM Platform, i.e., the capacity cost is not too high, the firm will produce more than its existing capacity. Meanwhile, we found that a gap between the two oblique lines appears (as shown in Figure 1b), which is different from Figure 1a, where the two oblique lines overlap. To be brief, the oblique line will rotate anti-clockwise with the break point as an axis when increases. For the horizontal lines, the distance between them is dependent on and increases with . In summary, determines the horizontal line’s position, and determines the oblique line’s slope. That is, when the capacity is low, the effect of capacity expansion is significant; when the capacity is high, the effect of the green marketing effort will be significant.
Figure 1.
The optimal production quantity in the centralized case. (a) No capacity expansion. (b) Capacity expansion.
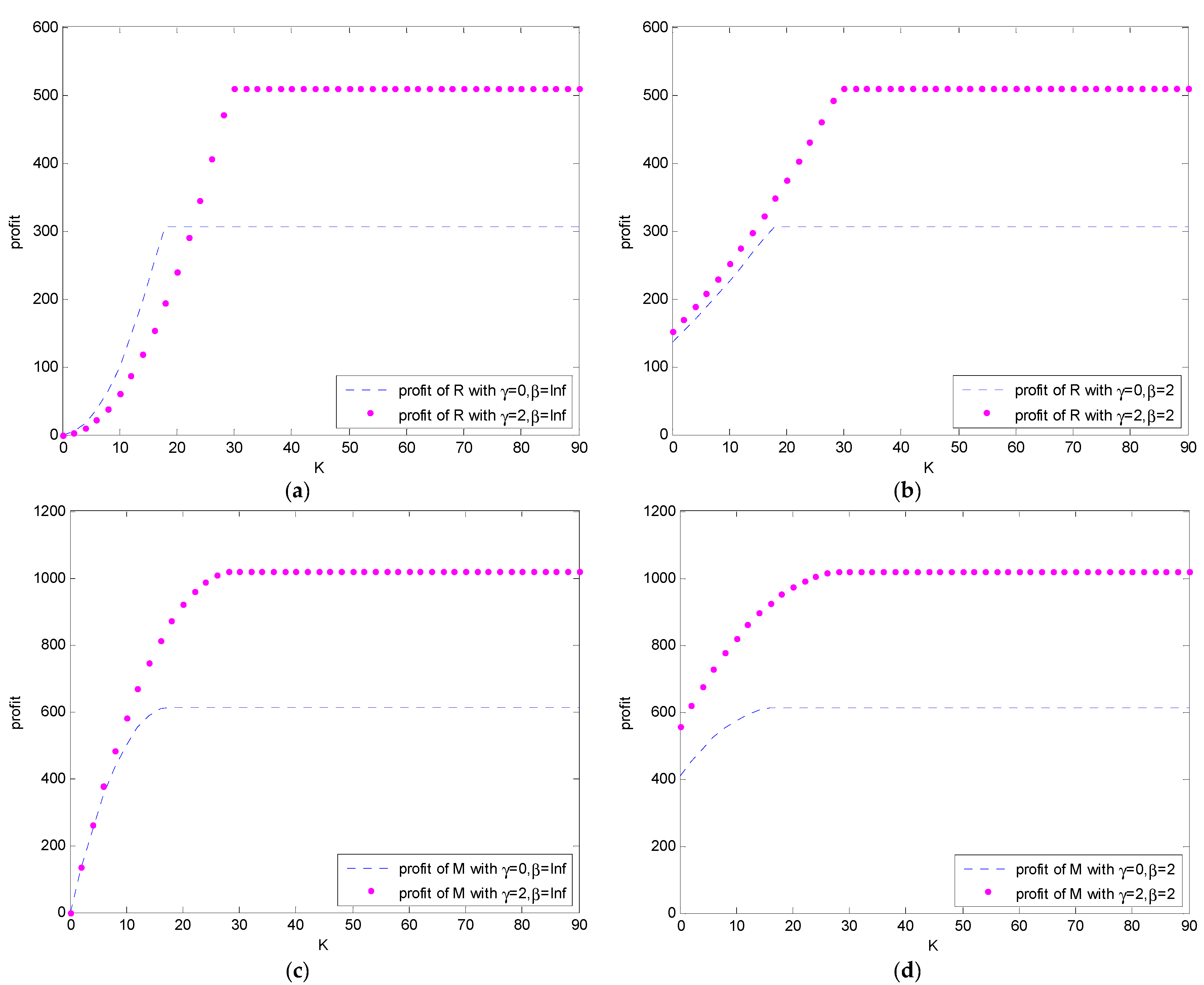
5.2. The Impact of and on the Firms’ Profits
Figure 2 displays the two firms’ profits with various values of and in the decentralized case. There is also a break point in each line. Recall that, when the existing capacity is low, the manufacturer will produce up to its existing capacity if (additional capacity unavailable). In this situation, the retailer’s green marketing efforts will not lead to an increase in production, but instead increase its cost, which may reduce the retailer’s profits. In Figure 2a, we can clearly see that, when the existing capacity is low, the retailer earns a lower profit when undertaking green marketing efforts (dotted line), relative to with no green marketing effort (dashed line). In contrast, the manufacturer earns more profit thanks to the retailer’s green marketing efforts (as shown in Figure 2c). That is, green marketing effort transfers some profits from the retailer to the manufacture.
Figure 2.
The profits of the manufacturer and retailer. (a) Retailer’s profit without capacity expansion. (b) Retailer’s profit with capacity expansion. (c) Manufacturer’s profit without capacity expansion. (d) Manufacturer’s profit with capacity expansion.
When , the manufacturer has the opportunity to use additional capacity. So long as the cost of additional capacity is low enough, such as , the retailer’s profit will increase with its green marketing effort (as shown in Figure 2b). By comparing Figure 2c,d, we can find that the manufacturer’s profit always increases with green marketing effort. Therefore, we draw the conclusion that the availability for purchase of additional capacity is an effective incentive for the retailer to expend green marketing effort when the existing capacity is low.
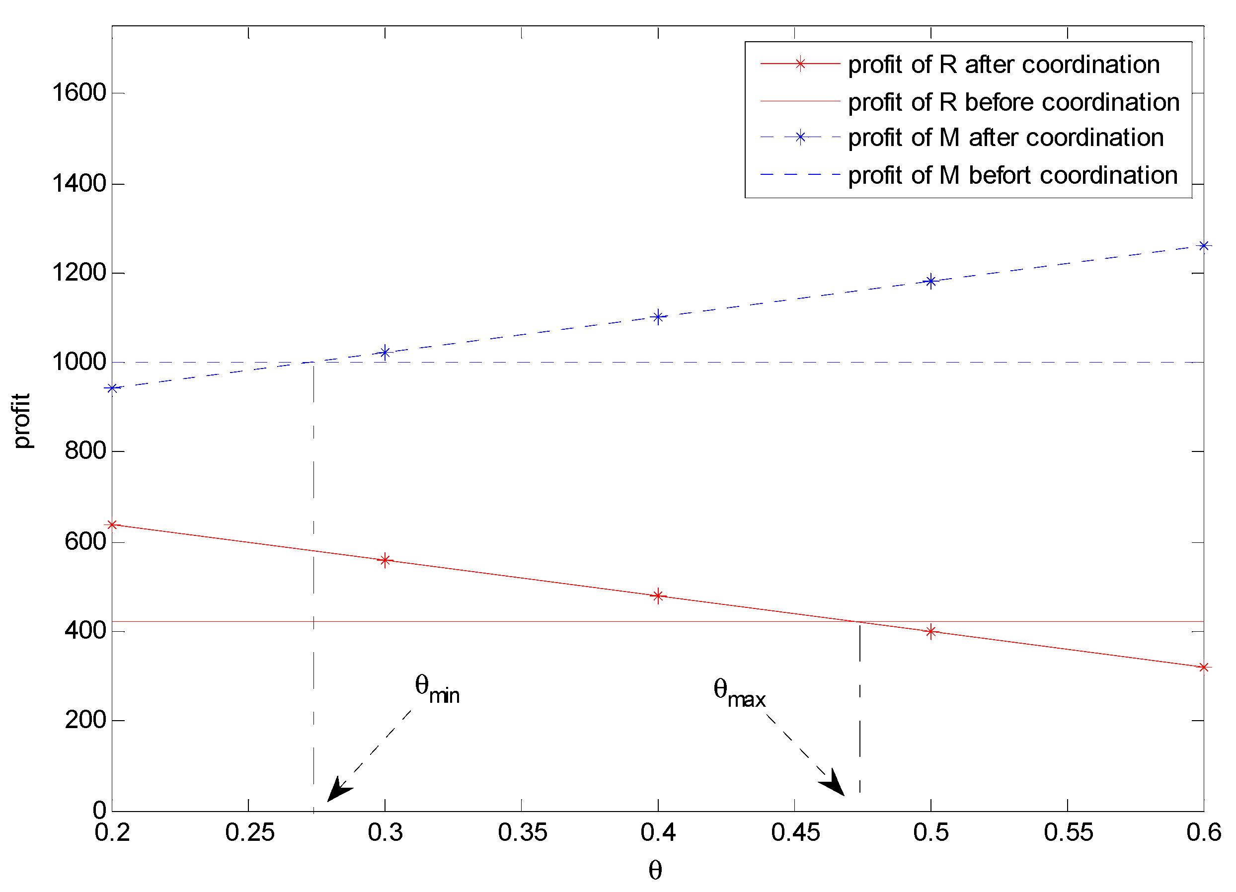
5.3. The Impact of the Share Proportion on the Profits of the Firms
The GC&RS contract only works when the sharing proportion of the cost of the green marketing effort is equal to the sharing proportion of retailer’s revenue, and the proportions should be in correspondingly feasible ranges, depending on the manufacturer’s existing capacity. As shown in Figure 3, when , the manufacturer’s profit under the GC&RS contract is more than that in the decentralized case. However, the retailer’s profit under the GC&RS contract will be lower than in the decentralized case if the becomes too high (e.g., more that ). That will result in the retailer’s giving up their participation in the contract. Therefore, there is a necessary condition .
Figure 3.
The profits of the manufacturer and retailer after coordination.
5.4. The Impact of Existing Capacity on the Upper and Lower Bounds of the Share Proportion
As shown in Figure 4, the parameter of the coordination contract has different feasible ranges depending on the manufacturer’s existing capacity . Recall that, although the supply chain profit after coordination is higher than before, the GC&RS contract does not necessarily coordinate the supply chain if the share proportion is not within the feasible range. In particular, if the share proportion is relatively low, the manufacturer is worse off, ultimately leading to contract failure. We first consider the left area (). To ensure that the manufacturer is not worse off, the retailer needs to share enough profit with the manufacturer. Please note that the manufacturer’s profit reduction is proportional to the retailer’s profit increment, and the ratio of the two profit changes is independent of existing capacity, i.e.,. Therefore, we can use the same share proportion to coordinate the supply chain regardless of existing capacity. For , the production quantity is not affected by the existing capacity. Specifically, the manufacturer will produce the green product without capacity constraint, and its optimal production quantity will be . Obviously, the two firms’ profits are independent of existing capacity once . However, when , the upper and lower bounds of are increasing with existing capacity. In this capacity range, the production quantity will be affected by the existing capacity. Therefore, greater existing capacity will be beneficial to both firms. That is, the higher the existing capacity, the higher the supply chain profit will be after coordination. However, greater demand implies a lower wholesale price on the part of the manufacturer. Thus, it is necessary for more profits to be shared by the retailer in order to offset this loss, that is, the ratio of the profit that the retailer should share with the manufacturer to the retailer’s profit increment, , will increase with existing capacity.
Figure 4.
The upper and lower boundaries of share proportion .
5.5. Implications for Theory and Management
Our research results show that the manufacturer’s existing capacity has an important impact on the decisions of the supply chain enterprise. When the manufacturer has sufficient capacity, the decisions of supply chain enterprises are equivalent to that of enterprises without capacity constraint, which is also the hypothesis of most existing literature. But this hypothesis is too ideal. In reality, enterprises will not only encounter the situation of excess capacity, but also face the situation of insufficient capacity. When the manufacturer’s capacity is insufficient, the retail price and green marketing effort of the downstream retailer will be constrained by the manufacturer’s capacity. Although Zhang et al. [29] and Kim and Sim [30] take into account the capacity constraint in the green supply chain, none of them consider the manufacturer’s capacity sustainability, that is, capacity expansion. Therefore, our study has the following implications, in Theory: (1) Constructing model considering capacity constraint and capacity expansion is more in line with the practical situation, and we can draw conclusions that can not be obtained under no capacity constraint. For example, higher demand sensitivity to green marketing effort is not always beneficial to the retailer; (2) Constructing a unified framework of capacity model is helpful in conducting more comprehensive capacity decision analysis. In Management: (1) It is necessary to design a contract with equal right and responsibility to motivate the supply chain members to participate in the contract; (2) To implement the contract, it is necessary to carefully set contract parameters so that the supply chain members can accept the contract.
6. Conclusions
The green supply chain is a focus of industry attention, but also a hotspot of current research. Previous studies have focused on the coordination of the green supply chain, and have drawn a rich variety of conclusions and insights. The advent of new information technology and its application in the manufacturing industry make it possible for manufacturers to expand their capacities. However, most existing research on the green supply chain is based on the assumption that the capacities of manufacturers are infinite. Meanwhile, few studies consider the impact of green effort on the entire supply chain only from the perspective of the retailer. The current study focuses on these two aspects, that is, we build a game theory model that incorporates the option for the capacity expansion of the manufacturer and the retailer’s green effort; and we discuss the interaction between the decisions of the green supply chain members. On this basis, a coordination contract for the green supply chain is designed.
On the basis of analysis and discussion, we obtain some management implications. (1) Under the decentralized case, there exists a capacity threshold with respect to the manufacturer’s existing capacity that determines whether the manufacturer will expand their capacity. The decision-making of a manufacturer with sufficient capacity is similar to that of a manufacturer with no capacity constraints, as has been studied in most of existing papers ([5,14,40], among others). If the existing capacity is lower than the threshold, the manufacturer will make its capacity expansion decision based on several effects. For example, the negative effect of existing capacity, capacity expansion cost coefficient, and the green marketing cost coefficient on the expanded capacity; and the positive effect of the sensitivity coefficient of demand to green marketing on the expanded capacity. After considering the trade-off between these effects, the manufacturer will then determine whether or not to expand its capacity. (2) Under low capacity, the sensitivity coefficient of demand to green marketing has different effects on the profits of the manufacturer and the retailer. Higher green sensitivity coefficients will result in more demand, and the manufacturer will benefit from capacity expansion. For the retailer, however, when the cost coefficient of capacity expansion is higher, the manufacturer will transfer the cost to the retailer through wholesale price, resulting in the retailer being worse off. That is, consumers’ high environmental awareness or preference for green products will reduce the motivation of the retailer’s green effort. (3) The quantity decision, green decision and system profits under the decentralized case are lower than those under the centralized case. The double marginalization in the decentralized case makes it impossible for the manufacturer and retailer to make optimal decisions with respect to the whole system. Although the manufacturer is able to share part of the retailer’s green marketing costs in order to give the retailer sufficient incentive to implement green marketing efforts, they are still not able to achieve optimal profit for the system, and the additional profits are not able to be effectively distributed between the two players. To address this issue, we designed a contract that combines green marketing cost sharing and revenue sharing in order to effectively align the decisions of the supply chain members. Under this contract, both of them are better off. This shows that it is necessary to deliberately design contract for the green supply chain, for example, considering both environmental and economic efficiency [41], in order to make the relevant enterprises willing to enter into the contract.
This paper attempts to add to the increasing literature on the green supply chain, considering the more realistic background of the green supply chain, namely, the interaction between capacity expansion and green marketing. However, the current research work is also limited by some assumptions, such as deterministic demand, and the upward capacity expansion of the manufacturer when capacity is insufficient. Meanwhile, the analytical results of our game theory model need more real data to be verified. The current study can be extended into several orientations, such as considering decision-making under stochastic demand; the manufacturer also selling their idle capacity via the CM Platform; the incorporation of the competition factor; or exploring these issues from the perspective of empirical research.
Author Contributions
This paper was written by S.C. in collaboration with all co-authors. Conceptualization, S.C.; writing—original draft preparation, S.C.; writing—review and editing, S.C. and X.H.; supervision, B.H.; funding acquisition, X.H.
Funding
This research was funded by the key project of National Natural Science Foundation of China (grant number 71531009) and the key Research Bases of Humanities and Social Sciences in Colleges of Hubei Universities (No. DSS2018024).
Acknowledgments
We are very grateful to the editors of the journal and the three anonymous reviewers for their very valuable comments and helpful suggestions that greatly improve the quality of our paper.
Conflicts of Interest
The authors declare no conflict of interest.
References
- Polonsky, M.J. An introduction to green marketing. Electron. Green J. 1994. Available online: https://escholarship.org/uc/item/49n325b7 (accessed on 5 July 2019).
- Chan, R.Y. Consumer responses to environmental advertising in China. Mark. Intell. Plan. 2004, 22, 427–437. [Google Scholar] [CrossRef]
- Rajeev, A.; Pati, R.K.; Padhi, S.S.; Govindan, K. Evolution of sustainability in supply chain management: A literature review. J. Clean. Prod. 2017, 162, 299–314. [Google Scholar] [CrossRef]
- Wu, Z.; Pagell, M. Balancing priorities: Decision-making in sustainable supply chain management. J. Oper. Manag. 2011, 29, 577–590. [Google Scholar] [CrossRef]
- Ghosh, D.; Shah, J. Supply chain analysis under green sensitive consumer demand and cost sharing contract. Int. J. Prod. Econ. 2015, 164, 319–329. [Google Scholar] [CrossRef]
- Swami, S.; Shah, J. Channel coordination in green supply chain management. J. Oper. Res. Soc. 2013, 64, 336–351. [Google Scholar] [CrossRef]
- Available online: https://pharmaceutical.basf.com/en/Sustainability-Responsible-Care.html (accessed on 7 May 2019).
- Available online: https://sustainablebrands.com/read/supply-chain/walmart-launches-sustainability-platform-to-reducegt-co2-emissions-across-value-chain (accessed on 1 August 2019).
- Bonini, S.M.J.; Oppenheim, J.M. Helping ‘green’ products grow. The McKinsey Quarterly, 8 October 2008; 1–9. [Google Scholar]
- Manget, J.; Roche, C.; Münnich, F. Capturing the Green Advantage for Consumer Companies; The BCG Inc.: Boston, MA, USA, 2009; Available online: https://www.bcg.com/documents/file15407.pdf (accessed on 5 July 2019).
- Joshi, Y.; Rahman, Z. Factors Affecting Green Purchase Behaviour and Future Research Directions. Int. Strat. Manag. Rev. 2015, 3, 128–143. [Google Scholar] [CrossRef]
- Zhong, S.; Chen, J. How Environmental Beliefs Affect Consumer Willingness to Pay for the Greenness Premium of Low-Carbon Agricultural Products in China: Theoretical Model and Survey-based Evidence. Sustainability 2019, 11, 592. [Google Scholar] [CrossRef]
- Bray, J.; Johns, N.; Kilburn, D. An exploratory study into the factors impeding ethical consumption. J. Bus. Ethics 2011, 98, 597–608. [Google Scholar] [CrossRef]
- Hong, Z.; Guo, X. Green product supply chain contracts considering environmental responsibilities. Omega 2019, 83, 155–166. [Google Scholar] [CrossRef]
- McDaniel, S.W.; Rylander, D.H. Strategic green marketing. J. Consum. Mark. 1993, 10, 4–10. [Google Scholar] [CrossRef]
- Peattie, K.; Crane, A. Green marketing: Legend, myth, farce or prophesy? Qual. Mark. Res. Int. J. 2005, 8, 357–370. [Google Scholar] [CrossRef]
- Shankar, V.; Venkatesh, A.; Hofacker, C.; Naik, P. Mobile Marketing in the Retailing Environment: Current Insights and Future Research Avenues. J. Interact. Mark. 2010, 24, 111–120. [Google Scholar] [CrossRef]
- Vaccaro, V.L. B2B green marketing and innovation theory for competitive advantage. J. Syst. Inf. Technol. 2009, 11, 315–330. [Google Scholar] [CrossRef]
- Rahbar, E.; Wahid, N.A. Investigation of green marketing tools’ effect on consumers’ purchase behavior. Bus. Strat. Ser. 2011, 12, 73–83. [Google Scholar] [CrossRef]
- Plambeck, E.L. The greening of Wal-Mart’s supply chain. Supply Chain Manag. Rev. 2007, 11, 18–25. [Google Scholar]
- Zhao, D.; Hao, J.; Cao, C.; Han, H. Evolutionary Game Analysis of Three-Player for Low-Carbon Production Capacity Sharing. Sustainability 2019, 11, 2996. [Google Scholar] [CrossRef]
- Chod, J.; Rudi, N. Strategic Investments, Trading, and Pricing under Forecast Updating. Manag. Sci. 2006, 52, 1913–1929. [Google Scholar] [CrossRef]
- Yu, C.; Xu, X.; Lu, Y. Computer-Integrated Manufacturing, Cyber-Physical Systems and Cloud Manufacturing–Concepts and relationships. Manuf. Lett. 2015, 6, 5–9. [Google Scholar] [CrossRef]
- Zheng, M.M.; Wu, K.; Sun, C.W.; Pan, E. Optimal decisions for a two-echelon supply chain with capacity and demand information. Adv. Eng. Inform. 2019, 39, 248–258. [Google Scholar] [CrossRef]
- Xu, X. From cloud computing to cloud manufacturing. Robot. Comput. Manuf. 2012, 28, 75–86. [Google Scholar] [CrossRef]
- Van Mieghem, J.A. Capacity Management, Investment, and Hedging: Review and Recent Developments. Manuf. Serv. Oper. Manag. 2003, 5, 269–302. [Google Scholar] [CrossRef]
- Wu, S.D.; Erkoc, M.; Karabuk, S. Managing Capacity in the High-Tech Industry: A Review of Literature. Eng. Econ. 2005, 50, 125–158. [Google Scholar] [CrossRef]
- Song, J.-S.; Van Houtum, G.-J.; Van Mieghem, J.A. Capacity and Inventory Management: Review, Trends, and Projections. Manuf. Serv. Oper. Manag. 2019. [CrossRef]
- Zhang, L.; Wang, J.; You, J. Consumer environmental awareness and channel coordination with two substitutable products. Eur. J. Oper. Res. 2015, 241, 63–73. [Google Scholar] [CrossRef]
- Kim, B.; Sim, J.E. Supply Chain Coordination and Consumer Awareness for Pollution Reduction. Sustainability 2016, 8, 365. [Google Scholar] [CrossRef]
- Huang, K.L.; Kuo, C.W.; Lu, M.L. Wholesale price rebate vs. capacity expansion: The optimal strategy for seasonal products in a supply chain. Eur. J. Oper. Res. 2014, 234, 77–85. [Google Scholar] [CrossRef]
- Lu, Q.; Chen, X. Capacity expansion investment of supplier under make-to-order and make-to-stock supply chains. Int. J. Prod. Econ. 2018, 198, 133–148. [Google Scholar] [CrossRef]
- Peattie, K. Towards Sustainability: The Third Age of Green Marketing. Mark. Rev. 2001, 2, 129–146. [Google Scholar] [CrossRef]
- Yalabik, B.; Fairchild, R.J. Customer, regulatory, and competitive pressure as drivers of environmental innovation. Int. J. Prod. Econ. 2011, 131, 519–527. [Google Scholar] [CrossRef]
- Haytko, D.L.; Matulich, L. Green advertising and environmentally responsible consumer behaviors: Linkages examined. J. Manag. Mark. Res. 2008, 1, 2–11. [Google Scholar]
- Basiri, Z.; Heydari, J. A mathematical model for green supply chain coordination with substitutable products. J. Clean. Prod. 2017, 145, 232–249. [Google Scholar] [CrossRef]
- Joyce, A.; Paquin, R.L. The triple layered business model canvas: A tool to design more sustainable business models. J. Clean. Prod. 2016, 135, 1474–1486. [Google Scholar] [CrossRef]
- Ahi, P.; Searcy, C. A comparative literature analysis of definitions for green and sustainable supply chain management. J. Clean. Prod. 2013, 52, 329–341. [Google Scholar] [CrossRef]
- Linton, J.D.; Klassen, R.; Jayaraman, V. Sustainable supply chains: An introduction. J. Oper. Manag. 2007, 25, 1075–1082. [Google Scholar] [CrossRef]
- Ghosh, D.; Shah, J. A comparative analysis of greening policies across supply chain structures. Int. J. Prod. Econ. 2012, 135, 568–583. [Google Scholar] [CrossRef]
- Zhu, W.; He, Y. Green product design in supply chains under competition. Eur. J. Oper. Res. 2017, 258, 165–180. [Google Scholar] [CrossRef]
- Subramanian, R.; Gupta, S.; Talbot, B. Product design and supply chain coordination under extended producer responsibility. Prod. Oper. Manag. 2009, 18, 259–277. [Google Scholar] [CrossRef]
- Tong, Y.; Li, Y. External Intervention or Internal Coordination? Incentives to Promote Sustainable Development through Green Supply Chains. Sustainability 2018, 10, 2857. [Google Scholar] [CrossRef]
- Song, H.; Gao, X. Green supply chain game model and analysis under revenue-sharing contract. J. Clean. Prod. 2018, 170, 183–192. [Google Scholar] [CrossRef]
- Yang, H.; Luo, J.; Wang, H. The role of revenue sharing and first-mover advantage in emission abatement with carbon tax and consumer environmental awareness. Int. J. Prod. Econ. 2017, 193, 691–702. [Google Scholar] [CrossRef]
- De Giovanni, P. Environmental collaboration in a closed-loop supply chain with a reverse revenue sharing contract. Ann. Oper. Res. 2014, 220, 135–157. [Google Scholar] [CrossRef]
- Xiao, Y.; Yang, S.; Zhang, L.; Kuo, Y.-H. Supply Chain Cooperation with Price-Sensitive Demand and Environmental Impacts. Sustainability 2016, 8, 716. [Google Scholar] [CrossRef]
- Xu, X.; He, P.; Xu, H.; Zhang, Q. Supply chain coordination with green technology under cap-and-trade regulation. Int. J. Prod. Econ. 2017, 183, 433–442. [Google Scholar] [CrossRef]
- Yu, W.; Han, R. Coordinating a Two-Echelon Supply Chain under Carbon Tax. Sustainability 2017, 9, 2360. [Google Scholar] [CrossRef]
- Yi, Y.; Li, J. Cost-sharing contracts for energy saving and emissions reduction of a supply chain under the conditions of government subsidies and a carbon tax. Sustainability 2018, 10, 895. [Google Scholar]
- Xue, J.; Gong, R.; Zhao, L.; Ji, X.; Xu, Y. A Green Supply-Chain Decision Model for Energy-Saving Products That Accounts for Government Subsidies. Sustainability 2019, 11, 2209. [Google Scholar] [CrossRef]
- Li, B.; Zhu, M.; Jiang, Y.; Li, Z. Pricing policies of a competitive dual-channel green supply chain. J. Clean. Prod. 2016, 112, 2029–2042. [Google Scholar] [CrossRef]
- Jamali, M.-B.; Rasti-Barzoki, M. A game theoretic approach for green and non-green product pricing in chain-to-chain competitive sustainable and regular dual-channel supply chains. J. Clean. Prod. 2018, 170, 1029–1043. [Google Scholar] [CrossRef]
© 2019 by the authors. Licensee MDPI, Basel, Switzerland. This article is an open access article distributed under the terms and conditions of the Creative Commons Attribution (CC BY) license (http://creativecommons.org/licenses/by/4.0/).



