Abstract
Global climate change is increasingly influencing the economic system. With the frequent occurrence of extreme weather events, the influences of climate change on the economic system are no longer limited to the agricultural sector, but extend to the industrial system. However, there is little research on the influences of climate change on industrial economic systems. Among the different sectors of the industrial economic system, the mining industry is more sensitive to the influences of climate change. Here, taking the mining industry as an example, we analyzed the influences of extreme precipitation on the mining industry using the trans-logarithm production function. In addition, the marginal output elasticity analysis method was employed to analyze the main factors influencing the mining industry. It was found that the mining investment in fixed assets, labor input, and technical progress could promote the development of the mining economy, while the extreme precipitation suppressed the growth of the mining industry. The increase in fixed asset investment and the technical progress could enhance the resistance of the mining industry to extreme precipitation, while there was no indication that labor input can reduce the influences of extreme precipitation.
1. Introduction
Since the concept of climate warming was proposed in 1979, the negative impacts of climate change on sustainable development of the economy have received considerable attention. The Intergovernmental Panel on Climate Change (IPCC) pointed out that climate change would affect the development of the social economy, reduce the productivity level, and slow down the economic growth, thus leading to the fluctuation of economic departments [1]. The influences of climate change on the economic system are mainly reflected in two aspects: Namely the influences of the mean value fluctuation of climate factors and the impacts of extreme weather events. Since extreme climate events are characterized by a strong abruptness, a high destructiveness, and an unpredictable occurrence, they significantly influence the economic system [2].
Almost all industries will be affected by climate change, either directly or indirectly [3]. The Economic and Social Commission for Asia and the Pacific (ESCAP) has analyzed the panel data, including the output values of multiple industries and the climate factors in several Asian countries from 1972 to 2009, and found that the manufacturing industry, the service industry, and especially the agricultural industry, were influenced by air temperature and precipitation [4]. However, as a result of the industrial revolution and the development of science and technology, the proportion of the agricultural output value in the gross domestic product (GDP) decreases, and the influences of agriculture on the economic development under the impacts of the external environment such as disasters, are weakened [5].
The industrial economic system has a huge economic volume, with a high probability to cause large economic losses under the impact of external factors. Dutton has investigated several branches with a high sensitivity to climatic changes according to the GDP data of the US 2000 and concluded that the agricultural sector is most sensitive, followed by the mining industry, the construction industry, the manufacturing industry, the transportation industry, and the service industry [6]. This indicates that the mining industry is one of the industries that are most susceptible to the influences of climate change.
During the fifth comprehensive evaluation of the IPCC, it was detected that only few studies have investigated the influences of climate change on industrial sectors such as the mining and the manufacturing industries, indicating the need for further studies. Based on previous, albeit limited, research, the influences of climate change on the mining economy have both advantages and disadvantages. For example, in some undeveloped high-latitude areas, higher temperatures can accelerate the melting of the ice, facilitating mining activities [7]. However, in some areas suitable for mining, increased temperatures can also lead to the melting of the ice, thus increasing the risk of ice road transportation and, consequently, the transportation costs [8]. There are still considerable uncertainties in terms of the influences of climate change on the mining industry. However, on the whole, the mining operating type and the mining environment largely determine the impacts of the climate [9]. Since the mining industry largely depends on the natural environment, extreme events such as hurricanes, floods, and drought can have considerable impacts [10], and in some countries, these impacts are more pronounced. For example, in Canada, Greece, and Peru, the mining industry accounts for a large proportion of the GDP, with a long industry chain, which means that numerous economic activities are vulnerable to climatic changes and threatened by extreme climate events such as extreme precipitation [11,12,13].
Although there are differences in terms of the sensitivity of extreme precipitation values to temperature differences between regions, increasing temperatures can lead to an increased probability of precipitation [14]. Some scholars have predicted the probability of floods in Greece from 2021 to 2050 under the A1B scenario and found that it increased by 168% [15]. For the road transportation, infrastructure construction losses, reduced power generation, ecological environment destruction and casualties, and mine drainage cost increases [16]. In 2011, some regions in Australia Brisbane suffered continuous precipitation after a case of the millennium drought, when high-intensity precipitation triggered floods, resulting in huge economic losses [17]. Affected by the floods, a vast majority of coal mines in these regions stopped production, which led to sharp cuts in the mining industry in Australia and even affected the growth of the gross national product (GNP) [10,18]. According to the data prediction of the CMIP5, the number of Chile’s mines would decrease gradually with increasing precipitation; with an annual precipitation increase by 10 mm, the number of mines would decrease by at least 50%. When the annual precipitation increases by more than 40 mm, the number of mines would drastically decrease; at a precipitation increase by more than 80 mm, almost all mines in Chile would be shut down, resulting in huge economic losses [19]. Peru is one of the world’s largest mineral export countries, and the mining industry is the pillar industry of its national economy. However, Peru’s mines and mining fields are mostly located in the Andes Mountains at high-elevation areas, making them vulnerable to heavy precipitation and floods. Some scholars have predicted the extreme precipitation change trends of mining areas in Peru in the next 30 years through the HadGEM2-ES model and the ETCCDI climate change index [12], showing that the change trends of extreme precipitation differed among different mining areas. The intensity and frequency of extreme precipitation in the mining areas in northern Peru were higher than those in the mining areas in central Peru, while those in southern Peru would further decrease; based on the results of scenario simulations, extreme precipitation can lead to productivity losses in Peru’s mining industry.
China is a vast country that covers many latitudes and longitudes, which leads to large spatial and temporal regional differences in precipitation. Generally speaking, the feature of precipitation appears to decrease from south to north and from east to west [20]. The annual rainfall of above 800 mm of China is mainly distributed in southern areas. Under the RX5day index, the precipitation of southern China averages from 100 to 150 mm. The precipitation of south-east coastal areas of China can reach up to 350 mm [21]. In addition, there are obvious seasonal differences in the precipitation of China. The precipitation increased significantly in summer. For example, in Xinjiang, the precipitation is mainly concentrated from May to September [22,23]. For the extreme precipitation threshold of China, the threshold value of southern China in summer (Maximum daily precipitation) exceeds 35 mm while that of northern China exceeds 25 mm [21,22].
In the 21st century, along with the rapid development of China’s economy, the mining industry of China has also entered a stage of rapid development. Since 2001, the GDP of China’s mining industry has been increasing by nearly 10 times [24]. However, along with the economic growth, the ecological problems in the mining areas are also increasingly prominent. In particular, the ecological environment in mining areas is fragile, and mine geological disasters happen frequently, leading to various problems. For instance, Zhejiang province was hit by typhoon Saomei. The generated flooding lead to more than 13,700 industrial and mining enterprises to suspend productions. Heavy rain can trigger mudslides and cause serious damage to mine facilities [25]. So far, studies on the influences of extreme precipitation on China’s mining industry are scarce. Against this background, we applied the trans-logarithm production function to investigate the influences of extreme precipitation on the mining industry output value.
2. Research Methods and Data Sources
2.1. Trans-Logarithm Production Function
The production function model reflects the relationship between the input and output of production activities; the mathematical expression proposed by Charles Cobb and Paul Dauglas [26] is as follows:
where Y represents the production value, A represents the technical progress, L represents the labor force, and K represents the capital investment.
The production function model has many forms. Based on the differences in research objects and purposes, different functional forms are used. Referring to related research [3,27], we selected the trans-logarithm production function model and incorporated extreme precipitation as a variable into the trans-logarithm production function to evaluate its influences on the mining industry. The trans-logarithm production function is a flexible production function containing linear and quadratic terms, and two or more variables can be used as input. Structurally, the function belongs to the quadratic response surface; it has strong inclusivity and is easy to be estimated. Its mathematical expression is as follows:
where represents the coefficient of labor force output and capital investment. In this study, we analyzed the influences of precipitation on the mining industry economy and therefore incorporated technical progress and precipitation factors into the trans-logarithm production function to construct the production function model. Its mathematical expression is as follows:
In the production function containing the extreme precipitation factor, represents the total output value of the mining industry, represents the number of employees in the mining industry, represents the investment in fixed assets in the mining industry, represents the research and development funds of the mining industry, and P represents the precipitation intensity.
According to the above formula, we can obtain the marginal output elasticity of each variable as follows:
2.2. Ridge Regression Model
For the ridge regression model, its matrix form is as follows:
where X is an () non-singular matrix, and the unbiased estimator of the parameter can be expressed as follows:
Through the ordinary least square (OLS) method, the that can make the residual sum of the square minimum can be computed. If the computed has multi-collinearity, then X is a non-singular matrix, and the OLS is unstable and unreliable. As a result, the computation result of (X′ X) −1 will be inaccurate. On account of this, Hoerl proposed to add a regularization term kI into the loss function in 1970 [27] to solve the shortcomings of OLS:
Equation (10) is simply the formula of the ridge regression [28], which is a biased estimation regression method that solves the inconformity of the regression coefficient with the actual situation caused by multicollinearity at the expense of sacrificing the unbiasedness and losing some information. In the ridge regression, the k value is the so-called “ridge regression parameter”, and . When , then , and the ridge regression is simply the OLS regression, so is the unbiased estimation of ; when , is the biased estimation of . If we depict the functions corresponding to the k values in the coordinate system, we can obtain the ridge trace curve, and the corresponding graph is the ridge trace graph.
2.3. Data Sources and Data Processing
In this study, with the establishment of the trans-logarithm production function, there are mainly two kinds of indicators, including social-economic data and extreme precipitation data. The social-economic indicators mainly include the GDP, capital, labor force, and technical progress. According to the research of Larsen [3] who evaluated the effects of climate change on the industry of US, the added value of the mining industry was utilized as the output index of mining industry economy; according to the research of Cheng [29], the capital input index was represented by the whole society fixed assets investment in the mining industry. Since many researches utilized the total employees of the manufacturing to represent the labor input [30], we utilized the employee of the mining industry as the labor input index. It is very difficult to find a suitable index to represent technological progress. In the previous research [31], Research and Experimental Development Funds for the Whole Society (R&D funds) was usually adopted as the proxy index. We adopted this research idea. Based on the data integrity and availability published in the Chinese statistical yearbook, we chose the R&D funds for the mining industry to represent technological progress [31]. These data were obtained from the China Statistical Yearbook from 2001 to 2016 [24]. For extreme precipitation indicators, relevant international scholars developed many standard extreme precipitation indicators. For example, Zhang et al. used ETCCDMI indicators to analyze the extreme trend in the Middle East [32]. Based on the literature and the data availability, the selection of extreme precipitation indicators in this paper adopted the method from Zhang [33]. The daily precipitation data from 2001 to 2016 were acquired from the National Meteorological Information Center [34].
The added value of the mining industry and the whole society fixed assets investment in the mining industry were converted into the constant prices, respectively, according to the industrial producer price index and the fixed assets price index based on the prices in 2001. For the precipitation intensity data, we selected the data of daily precipitation of more than 25 mm, mainly according to the grading of precipitation intensity issued by the China National Meteorological Administration (Table 1) [35]. We then screened the daily precipitation data of all weather stations from 2001 to 2016, eliminated the missing values and the precipitation data of less than 25 mm, and computed the average precipitation value of all stations for each year as the extreme precipitation indicator, which was added to the production function as one variable.
Table 1.
Grading of precipitation intensity.
3. Research Results
3.1. Changes in the Mining Industry Output Value and Extreme Precipitation in China
China is the world’s largest energy producer and consumer, and the yields of various mineral resources such as coal, gold, and crude steel are the highest in the world [36]. However, affected by multiple factors such as national policies, resource competition, market demand, natural environment, and climate change, overall, China’s mining industry develops slowly, and the fixed assets investment and the R&D investment related to the mining industry also present a declining trend (Figure 1).
Figure 1.
Change trends of the mining industry and the extreme precipitation from 2001 to 2016.
As shown in Figure 1, the added value of China’s mining industry presented a trend of increasing first and then decreasing, identical with the trends of the fixed assets investment or the R&D investment in the mining industry. To better analyze the change trend of the extreme precipitation from 2001 to 2016, we divided the period into four stages: 2001–2004, 2005–2008, 2009–2012, and 2013–2016. There are many scientific ways to study economic and precipitation trends. Considering the combination of economy and extreme precipitation [37], this paper only carries out a brief descriptive analysis.
From 2001 to 2004, the annual growth rate of the added value of the mining industry was 147.39%, that of the whole society fixed assets investment in the mining industry was 243.73%, and that of the R&D funds was 149.76%. During this period, China’s mining industry entered into a rapid development stage, and the extreme precipitation slightly increased along with fluctuation. From 2005 to 2008, the annual growth rates of the added value of the mining industry, the whole society fixed assets investment in the mining industry, and the R&D funds increased slowly, whereas the total amount of the added value of the mining industry increased continuously. During this period, extreme precipitation also slightly increased along with fluctuation. From 2009 to 2012, the annual growth rates of the added value of the mining industry, the whole society fixed assets investment in the mining industry, and the R&D funds decreased significantly, but the total scale extended continuously, and both input and output increased continuously. During this period, the economic benefit of the mining industry was the highest during the recent 16 years, and extreme precipitation fluctuated considerably. From 2013 to 2016, all indicators presented a trend of negative growth, and the annual growth rates of the added value of the mining industry, the whole society fixed assets investment in the mining industry, and the R&D funds were 21.81%, 28.19%, and 10.7%, respectively. The number of employees in the mining industry decreased year by year along with fluctuation, and the annual growth rate was negative; overall, precipitation intensity varied moderately with small fluctuations and presented a continuously increasing trend.
3.2. Solutions for the Trans-Logarithm Production Function Model
After OLS regression for the model, we found that the variance inflation factor (VIF) of the parameter estimators after regression was large, and that the variables had multicollinearity (by default, there is multicollinearity when the VIF is larger than five, and in some cases, the limitation of the VIF can also be extended to VIF < 10). If we continue to use the OLS for parameter estimation, the variance of the parameters may be larger. Hence, we used ridge regression to estimate parameters. We can draw the ridge trace graph according to the variation of the k values and then determine the optimal k values through the analysis of the change of the ridge trace graph. The selection of k values varied with the changes in the step size. Here, we set the k interval as [0.01,0.2], with a step length of 0.01. Thus, we can draw the ridge trace graph as shown in Figure 2.
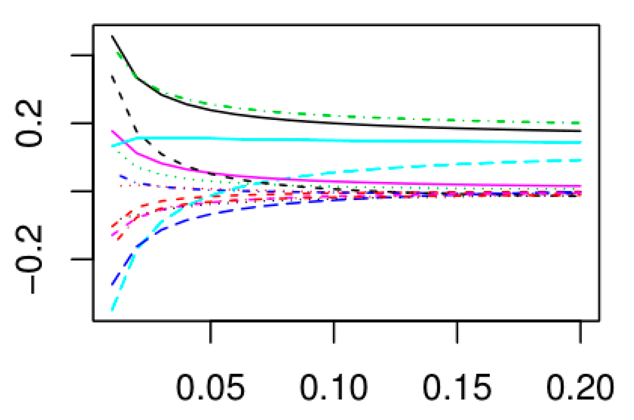
Figure 2.
Ridge trace graph.
The selection of values ensures that the parameters are reasonable and that the positive and negative signs of the regression coefficients are consistent with the actual changes. According to Figure 2, the value tends to be stable when it ranges between 0.04 and 0.05. According to the calculation results, when k takes the value of 0.04, the fitness of the model () is 0.99, indicating a good data fitting degree. Hence, we selected the value as 0.04.
After ridge regression, the significance of each factor is considerably enhanced. From the perspective of the estimated parameters, the values of all parameters are in line with the actual situation (Table 2). Although the significances of some variables are not very high, ridge regression is mainly used to solve the problem of multicollinearity. Therefore, it is considered that the model passed the significance inspection.
Table 2.
Model regression results.
From the perspective of the single factor coefficient, the quadratic term coefficient, and the factor crossover coefficient, the factor coefficient, the quadratic term coefficient, and the crossover coefficient of extreme precipitation and labor force are below zero, indicating that labor force and extreme precipitation both have negative effects on the added value of the mining industry; the coefficients of other factors are positive, indicating that their influences on the added value of the mining industry are positive.
The trans-logarithm production function involves the linear term estimated parameter, the quadratic term estimated parameter, and the factor crossover term estimated parameter, representing the influence on the increase or decrease of the output value of the mining industry, the influence on the increase or decrease of the marginal return of the output value of the mining industry, and the marginal yield between factors, respectively. From the perspective of the linear term estimated parameter, the parameter values of both labor force and extreme precipitation are negative, indicating that the capital investment and the technical progress are conducive to the increase of the output value of the mining industry, while the increase of labor force or extreme precipitation does not facilitate an increase in the output value. From the perspective of the quadratic term estimated parameter, the positive term represents the increasing marginal returns, and the negative one represents the decreasing marginal returns. The parameter values of capital investment and technical progress are positive, while those of labor force and extreme precipitation are negative. This indicates that with the increase in capital investment and technical progress, the output value of the mining industry will increase at an accelerated speed; namely, there will be an increasing marginal return; however, with the increase in labor force and extreme precipitation, the output value of the mining industry will increase at a decreasing speed, showing a decreasing marginal return.
From the perspective of the parameter value of the factor crossover term, the parameter value of capital investment is relative to that of labor force, while technical progress, or extreme precipitation is always positive, indicating that the capital investment and the other three factors have substitution effect. The parameter value of labor force relative to technical progress is positive and negatively correlated with extreme precipitation, indicating that the labor force and technical progress have substitution effect. However, there is no substitution effect with extreme precipitation, the parameter value of technical progress relative to extreme precipitation is positive, indicating that technical progress and extreme precipitation have substitution.
3.3. Factor Marginal Output Elasticity Analysis
Marginal output elasticity measures the use ratio of the factor. By computing the parameter values after ridge regression, the marginal output elasticities of capital, labor force, technical progress, and extreme precipitation can be obtained (Table 3). Among them, the output elasticity of the capital increases year by year, which means that the capital use ratio in the mining industry increases gradually. The output elasticity of the labor force fluctuates slightly, with an overall increase year by year, indicating that the labor use ratio also increases year by year. The variation range of the output elasticity of technical progress is relatively small, with a downward trend in recent years, but overall, the use ratio also increases gradually relative to that in 2001. The marginal output elasticity of extreme precipitation is negative, that is, the increase in extreme precipitation has negative influences on the output value; theoretically speaking, the more the extreme precipitation, the lower the output value of the mining industry.
Table 3.
Marginal output elasticity of each factor from 2001 to 2016.
According to the change trend of the marginal output elasticity of extreme precipitation (Figure 3), from 2001 to 2012, the marginal output elasticity increases gradually, while from 2013, the marginal output elasticity shows a downward trend. Overall, although the marginal output elasticity increases with some fluctuations, it is always negative, indicating that the marginal return is degressive. To better analyze the influences of each factor and crossover factors on the industrial added value of the mining industry, we decompose the marginal output elasticity of extreme precipitation for further analysis.
Figure 3.
Marginal output elasticity of extreme precipitation from 2001 to 2016.
Table 4 provides the contribution values of each factor after the decomposition of the marginal output elasticity of extreme precipitation. Combined with the change trend of the marginal output elasticity of extreme precipitation (Figure 3), the contribution values of capital and technical progress to the marginal output elasticity of extreme precipitation are positive, namely the capital investment in fixed assets and the R&D funds input in the mining industry have the largest contribution to the increase in the marginal output elasticity of extreme precipitation. As Figure 4 shows, the variation range of the capital investment in fixed assets is relatively large, indicating that the contribution degree of the output elasticity of extreme precipitation increases gradually; the variation trajectory of technical progress is relatively gentle, but its contribution value to the marginal output elasticity of extreme precipitation is positive and increases year by year.
Table 4.
Marginal output elasticity of extreme precipitation and its composition.
Figure 4.
Change trend of the marginal output elasticity of extreme precipitation.
From the combination of Table 4 and Figure 4, it can be seen that, from 2001 to 2016, the fluctuations of labor force and precipitation intensity are relatively small, and the corresponding variation trajectories are fairly flat. After decomposition, precipitation intensity and labor force negatively contribute to the marginal output elasticity of extreme precipitation.
4. Discussion
4.1. Influences of Extreme Precipitation on Mining Production
Previous studies have shown that different minerals have different demands for water resources and different sensitivities to precipitation intensity and frequency. For example, some minerals can be extracted only after they have been dissolved, high demand for water. In this sense, water shortages would directly lead to interruptions of mining activities [15]. Although mining activities require abundant water, highly intense and frequent precipitation threatens mining operations [38]. Extreme precipitation can influence the production and operation of mines from several aspects, e.g., affecting labor productivity, reducing investment into the mining industry, and destroying the infrastructure of the mining industry [11,14,39]. Based on the results of questionnaire surveys on mining industry employees in Canada, 20–26% of the respondents believed that floods, storms, and torrential rain affected the mining operations [15]. Fixed asset investment in China’s mining industry has presented a decreasing trend for many years [40]; in addition to policy influences, climate change is also one of the main factors that have led to this development. Mining productivity highly depends on the natural environment. Soil erosion and seawater flooding caused by extreme precipitation can largely threaten mining operations and related facilities [41]. Moreover, climate uncertainty directly affects the mining investments. Extreme weather events also influence the critical infrastructures. Since different sectors of the industrial economy are increasingly connected, the frequency of the chain reaction events increases. For example, a power outage caused by a storm may rapidly affect various industries related to the energy industry, leading to work and production halt [42]. As an important energy industry, the mining industry would inevitably be affected. Related studies also indicate that extreme climate events such as high-intensity extreme precipitation largely destroy buildings, pipelines, and water diversion channels [43] and can readily disrupt the industrial chain of the mining industry, thus causing great impacts on the mining productivity.
Open pit mines are highly sensitive to extreme precipitation. The higher the precipitation intensity, the more significantly the mining production is affected. Heavy and torrential rain can lead to water ponding in the coal mines as well as mass wasting, erosion and to the destruction of transportation and electric power facilities. As a result, mining activities are limited, and the productivity declines [41]. For example, the Collinsville and Newlands coal mines in Australia suffered continuous precipitation and strong storms at the beginning of 2019, operations of coal mines were interrupted, which greatly affected the short-term production [44]. Extreme precipitation may cause disasters such as mine collapses, which threaten the mining operations and the safety of mining workers. At the same time, because the ponding water cannot be discharged in time, permanent damage to the equipment and shorter life expectancy of infrastructure facilities may occur, thus affecting the viability of the mining industry.
4.2. The Reasons Why Factor Input can Change the Added Value of the Mining Industry
Regression analysis (Table 2) shows that the increase in the added value of the mining industry is mainly benefited by capital investment, followed by the labor force input and technical progress, whereas extreme precipitation can cause the decrease of the marginal benefit of the mining industry. Fixed assets commonly refer to buildings, machinery equipment, transportation tools, and other equipment. An increase in the investment in fixed assets, such as the construction of factory buildings and equipment update, can enlarge the scale of the mining industry to a certain extent, enhance the risk resistance ability of the mining industry, and thus improve the output of the mining industry. Moreover, the output elasticity of investment in fixed assets of China’s mining industry is relatively high (Table 3), and the use efficiency of fixed assets is higher, so the returns to scale show an increasing trend. In 2001, the number of employees in the mining industry began to decrease. Although it increased slightly in some years, overall, the total number of employees in the mining industry decreased sharply. In spite of this, the decrease in the number of employees in the mining industry did not decrease the marginal output elasticity of the labor force (Figure 4); on the contrary, the marginal output elasticity of labor force increased gradually. This indicates that the labor force efficiency has significantly been enhanced with the improvement of education and skill levels and with the popularity of mechanization. On the other hand, the decrease in the quantity of labor force indirectly reflects a certain substitutability between technical progress and labor force [45].
The science and technology revolution has promoted the development of science and technology. Large amounts of R&D fund input have made mining activities safer and more effective; the ability of mining operations to respond to disasters and risks, the production efficiency, and the input–output ratio all increased gradually. Technical progress also has positive effects on the increase of the mining industry output value. China’s mining economy is gradually shifting from investment-driven growth to innovation-driven growth under the influences of technical progress [46]. However, from the parameters investigated in the paper, investment is found currently still the main driving force to promote the development of the mining economy. Extreme precipitation is the only factor input with a negative marginal output elasticity. The mining industry requires relatively dry conditions, and extreme precipitation can cause pit collapses, sudden mine flooding, and even water inrush accidents, thus leading to working and production halts. As shown in Figure 3, from 2001 to 2016, the marginal output elasticity of extreme precipitation presented an increasing overall trend, but was always below zero; since 2012, extreme precipitation intensity has been showing an enhancing trend, which affected the increase in the output value of the mining industry.
4.3. Influences of Crossover Factor on the Marginal Output Elasticity of Extreme Precipitation
By partitioning the crossover influencing components of the marginal output elasticity of extreme precipitation (Table 3), it becomes clear that investment in fixed assets and technical progress can make the total marginal output elasticity of extreme precipitation increase, while labor force input and extreme precipitation intensity can make the total marginal output elasticity of extreme precipitation decrease. Since the plus or minus characteristics of crossover coefficients are determined by two factors, it is impossible to verify the relationships among the crossover coefficients of all factors. Hence, we just analyzed the possible reasons for the increase or decrease of the marginal output elasticity of extreme precipitation according to the actual situation. Hereinto, from 2001 to 2016, the capital investment into fixed assets in the mining industry increased rapidly, which means that there was enough money to restore factory buildings and to improve infrastructure facilities, which enhanced the ability of the mining industry to withstand extreme precipitation and thus partially offset the negative impacts of extreme precipitation on the output value of the mining industry. Likewise, the increase in R&D funds in terms of technical progress promoted the research and development of advanced mining tools and drainage equipment and enhanced the ability of the mining industry to withstand extreme precipitation, thus offsetting the negative impacts of extreme precipitation on the output value of the mining industry. Moreover, with the augmentation of technical progress in the mining industry, the ability to withstand the negative impacts of extreme precipitation was also gradually enhanced.
A high precipitation intensity has negative impacts on the output elasticity of extreme precipitation, which leads us to infer that extreme precipitation is not conducive to the economic growth of the mining industry. The crossover coefficient of labor force and extreme precipitation is negative, reflecting that the output efficiency of labor force is affected by extreme precipitation. Mineral mining is labor-intense, while extreme precipitation can reduce the efficiency of workers, so the labor force input fails to offset the negative impacts of extreme precipitation on the mining economy. Based on the contribution of each component of the marginal output elasticity of extreme precipitation, it can be concluded that extreme precipitation itself is the most important factor that leads to a negative value of the marginal output elasticity of extreme precipitation.
Overall, capital investment into fixed assets in the mining industry is the most favorable factor input that offsets the negative impacts of extreme precipitation; it is also one factor input that promotes the increase of the added value of the mining industry. Theoretically speaking, it can reduce the production loss of the mining industry caused by extreme precipitation to constantly increase the fixed asset investment and strengthen technology research and development. Nevertheless, in fact, the amount of investment in fixed assets should be determined according to the economic environment and policy changes.
4.4. Limitations of this Research
There are several limitations of this research. First, due to the limitation of data availability, the sample in this paper is not very big, which would bias the results. Second, due to the lack of available regional data, we adopted the national scale data of China to analyze the influences of extreme precipitation on mining industry. Thus, some regional control variable such as landslides and monsoon was not included into the research. This will generate some uncertainties of the research result. In addition, for the same reason, we cannot explain the differences between the various regions of China, such as the southeast coast and dessert. The extremes of the regional precipitations (Maximum-minimum) and the types of precipitation were also not analyzed in this research due to the same reason. These limitations would lead to that the spatial and temporal dispersion of rainfall generates bulky errors in reduced annual series. Last, there are many methods to assess extreme precipitation. We selected one of them according to our research demand and data availability. The potential demerit of the method assessing extreme precipitation could also generate many uncertainties on our research results.
5. Conclusions
We employed the trans-logarithm production function to analyze the influences of extreme precipitation on the development of China’s mining industry by using the ridge regression model. Extreme precipitation could result in the reduction of output of the mining industry to some extent; with increasing precipitation intensity, the negative effects of extreme precipitation on the mining economy would be aggravated. Factor inputs of capital investment and technical progress could offset the adverse effects of extreme precipitation. The factor inputs could be converted into productivity, thus improving the marginal output elasticity of factor inputs, which is conducive to the ability of the mining industry to withstand natural disasters such as extreme precipitation. Labor force input facilitates the economic growth of the mining industry. However, due to the weak ability of humans to withstand natural disasters, the increase in precipitation intensity would still affect the labor productivity. Hence, labor force input could not neutralize the negative impacts of extreme precipitation.
Author Contributions
Conceptualization, W.S.; Methodology, Y.L. and W.S.; Formal analysis, Y.L.; Investigation, W.S. and Y.L.; Resources, W.S.; Writing—original draft preparation, Y.L.; Writing—review and editing, W.S.; Supervision, W.S.
Funding
This research was funded by the Key Research and Development Program of China (Grant Nos. 2016YFA0602402 and 2018YFC1508801) and the National Natural Science Foundation of China (Grant No. 41671177).
Conflicts of Interest
The authors declare no conflict of interest. The funders had no role in the design of the study; in the collection, analyses, or interpretation of data; in the writing of the manuscript, nor in the decision to publish the results.
References
- IPCC. The Fifth Assessment Report of the Intergovernmental Panel on Climate Change (IPCC); Cambridge University Press: Cambridge, UK, 2013. [Google Scholar]
- Beniston, M. Linking extreme climate events and economic impacts: Examples from the Swiss Alps. Energy Policy 2007, 35, 5384–5392. [Google Scholar] [CrossRef]
- Larsen, P.H. An Evaluation of the Sensitivity of U.S. Economic Sectors to Weather. SSRN. 2006. Available online: https://papers.ssrn.com/sol3/papers.cfm?abstract_id=%20900901 (accessed on 25 November 2019).
- Akram, N. Is climate change hindering economic growth of Asian economies? Asia Pac. Dev. J. 2013, 19, 1–18. [Google Scholar] [CrossRef]
- Berlemann, M.; Wenzel, D. Hurricanes, economic growth and transmission channels. World Dev. 2018, 105, 231–247. [Google Scholar] [CrossRef]
- Dutton, J.A. Opportunities and priorities in a new era for weather and climate services. Bull. Am. Meteorol. Soc. 2002, 83, 1303–1312. [Google Scholar] [CrossRef]
- Lemmen, D.S.; Warren, F.J. Climate Change Impacts and Adaptation: A Canadian Perspective; Natural Resources Canada: Ottawa, ON, Canada, 2004. [Google Scholar]
- Zeuthen, J.W.; Raftopoulos, M. Promises of hope or threats of domination: Chinese mining in Greenland. Extr. Ind. Soc. 2018, 5, 122–130. [Google Scholar] [CrossRef]
- Dolan, C.; Blanchet, J.; Iyengar, G.; Lall, U. A model robust real options valuation methodology incorporating climate risk. Resour. Policy 2018, 57, 81–87. [Google Scholar] [CrossRef]
- Hodgkinson, J.H.; Hobday, A.J.; Pinkard, E.A. Climate adaptation in Australia’s resource-extraction industries: Ready or not? Reg. Environ. Chang. 2014, 14, 1663–1678. [Google Scholar] [CrossRef]
- Ford, J.D.; Pearce, T.; Prno, J.; Duerden, F.; Berrang Ford, L.; Beaumier, M.; Smith, T. Perceptions of climate change risks in primary resource use industries: A survey of the Canadian mining sector. Reg. Environ. Chang. 2009, 10, 65–81. [Google Scholar] [CrossRef]
- Gonzalez, F.R.; Raval, S.; Taplin, R.; Timms, W.; Hitch, M. Evaluation of Impact of Potential Extreme Rainfall Events on Mining in Peru. Nat. Resour. Res. 2018, 28, 393–408. [Google Scholar] [CrossRef]
- Pearce, T.D.; Ford, J.D.; Prno, J.; Duerden, F.; Pittman, J.; Beaumier, M.; Berrang-Ford, L.; Smit, B. Climate change and mining in Canada. Mitig. Adapt. Strateg. Glob. Chang. 2010, 16, 347–368. [Google Scholar] [CrossRef]
- O’Gorman, P.A. Precipitation Extremes Under Climate Change. Curr. Clim. Chang. Rep. 2015, 1, 49–59. [Google Scholar] [CrossRef] [PubMed]
- Damigos, D. Monetizing the impacts of climate change on the Greek mining sector. Mitig. Adapt. Strateg. Global Chang. 2011, 17, 865–878. [Google Scholar] [CrossRef]
- Bonnafous, L.; Lall, U.; Siegel, J. A water risk index for portfolio exposure to climatic extremes: Conceptualization and an application to the mining industry. Hydrol. Earth Syst. Sci. 2017, 21, 2075–2106. [Google Scholar] [CrossRef]
- van den Honert, R.C.; McAneney, J. The 2011 Brisbane Floods: Causes, Impacts and Implications. Water 2011, 3, 1149–1173. [Google Scholar] [CrossRef]
- Government, Q. Chapter 13 Mining. In Queensland Floods Commission of Inquiry; The Premier and Minister for Reconstruction: Brisbane, Australia, 2012; p. 36. [Google Scholar]
- Odell, S.D.; Bebbington, A.; Frey, K.E. Mining and climate change: A review and framework for analysis. Extr. Ind. Soc. 2018, 5, 201–214. [Google Scholar] [CrossRef]
- Wang, L.P.; Wang, X.R.; Wang, W.G. Study and application of comprehensive intensity assessment method for regional precipitation in China. J. Nat. Disasters 2015, 24, 186–194. [Google Scholar]
- Ren, Z.G.; Qiang, F.; Zhu, X.F. Changes of extreme precipitation events in south China from 1961 to 2011. Acta Geogr. Sin. 2014, 69, 640–649. [Google Scholar] [CrossRef]
- Fang, H.; Qiao, Y.T. Temporal and spatial distribution and circulation background of summer extreme precipitation in east China. Acta Trop. Meteorol. Sin. 2019, 35, 517–527. [Google Scholar]
- Ci, H.; Zhang, Q.; Zhang, J.H.; Bai, Y.G.; Liu, J.Y. Temporal and Spatial Characteristics of Extreme Precipitation Process in Xinjiang from 1961 to 2010. Geogr. Res. 2014, 33, 1881–1891. [Google Scholar]
- China Statistics. China Statistical Yearbook of the National Bureau of Statistics; China Statistics Press: Beijing, China, 2006.
- Shi, P.J. Natural Disasters in China; Springer-Verlag Berlin and Heidelberg GmbH & Co. KG: Berlin, Germany, 2016. [Google Scholar]
- Coma, C.W.; Douglas, P.H. A Theory of Production. In Fortieth Annual Meeting of the American Economic Association; American Economic Association: Nashville, TN, USA, 1928; Volume 139, p. 165. [Google Scholar]
- Christensen, L.R.; Jorgenson, D.W.; Lau, L.J. Transcendental Logarithmic Production Frontiers. Rev. Econ. Stat. 1973, 55, 28–45. [Google Scholar] [CrossRef]
- Hoerl, A.E.; Kennard, R.W. Ridge Regression: Applications to Nonorthogonal Problems. Technometrics 1970, 12, 69–82. [Google Scholar] [CrossRef]
- Cheng, L.W.; Xu, Y.; Tao, C.Q. How much loss does factor misplacement bring to Chinese agriculture—Stochastic frontier model based on tranlog production function. J. Manag. 2016, 29, 24–34. [Google Scholar]
- Sun, N. Research on the Economic Impact of Climate Change on Manufacturing. Ph.D. Thesis, Nanjing University of Information Engineering, Nanjing, China, 2001. [Google Scholar]
- Lin, P.; Meng, N.N. Government R&D expenditure and technological innovation efficiency of small and medium-sized enterprises based on empirical evidence of listed enterprises on the new third board of Hebei province. Sci. Technol. Manag. Res. 2018, 38, 150–156. [Google Scholar]
- Zhang, X.; Aguilar, E.; Sensoy, S.; Melkonyan, H.; Tagiyeva, U.; Ahmed, N.; Albert, P. Trends in Middle East climate extreme indices from 1950 to 2003. J. Geophys. Res. Atmos. 2005, 110, D22. [Google Scholar] [CrossRef]
- Zhang, X.Y. Spatiotemporal Characteristics and Risk Analysis of Extreme Precipitation in China. Ph.D. Thesis, Shanghai Normal University, Shanghai, China, 2014. [Google Scholar]
- National Meteorological Information Center. China Daily Data Set of Surface Climatological Data (V3.0); National Meteorological Information Center: Beijing, China, 2006.
- China Meteorological Administration Home Page. Available online: http://www.cma.gov.cn/2011xzt/2012zhuant/20120928_1_1_1_1/2010052703/201212/t20121212_195616.html (accessed on 12 December 2012).
- Ministry of Natural Resources. China Mineral Resources 2018; Geological Publishing House: Beijing, China, 2018.
- Gentilucci, M.; Barbieri, M.; Lee, H.S.; Zardi, D. Analysis of Rainfall Trends and Extreme Precipitation in the Middle Adriatic Side, Marche Region (Central Italy). Water 2019, 11, 1948. [Google Scholar] [CrossRef]
- Kyhn, C.; Elberling, B. Frozen cover actions limiting AMD from mine waste deposited on land in Arctic Canada. Cold Reg. Sci. Technol. 2001, 32, 133–142. [Google Scholar] [CrossRef]
- Adger, W.N.; Vincent, K. Uncertainty in adaptive capacity. C. R. Geosci. 2005, 337, 399–410. [Google Scholar] [CrossRef]
- China Geological Survey, China Mineral Resources Report; Geological Publishing House: Beijing, China, 2016.
- Mason, L.M.; Unger, C.; Lederwasch, A.J.; Razian, H.; Wynne, L.E.; Giurco, D. Adapting to Climate Risks and Extreme: A Guide for Mining and Minerals Industry Professionals; National Climate Change Adaptation Research Facility: Melbourne, Australia, 2013. [Google Scholar]
- Auld, H.; Maclver, D. Changing Weather Patterns, Uncertainty and Infrastructure Risks Emerging Adaptation Requirements. In Proceedings of the IEEE EIC Climate Change Conference, Ottawa, ON, Canada, 10–12 May 2006; pp. 1–10. [Google Scholar]
- Auld, H.; Maclver, D.; Klaassen, J. Adaptation Options for Infrastructure under Changing Climate Conditions. In Proceedings of the IEEE EIC Climate Change Conference, Ottawa, ON, Canada, 10–12 May 2006; pp. 1–11. [Google Scholar]
- Shun Tak Maritime, Heavy Rain Has Hit Australia, Disrupting the Berthing of Coal Shipments. 2019. Available online: http://www.sohu.com/a/293719716_175033 (accessed on 8 February 2019).
- Smithson, C.W. Relative factor usage in canadian mining: Neoclassical substitution or biased technical change. Resour. Energy 1979, 2, 373–389. [Google Scholar] [CrossRef]
- Fan, S.; Yan, J.; Sha, J. Innovation and economic growth in the mining industry: Evidence from China’s listed companies. Resour. Policy 2017, 54, 25–42. [Google Scholar] [CrossRef]
© 2019 by the authors. Licensee MDPI, Basel, Switzerland. This article is an open access article distributed under the terms and conditions of the Creative Commons Attribution (CC BY) license (http://creativecommons.org/licenses/by/4.0/).



