Abstract
Mallorca keeps an age-old biocultural heritage embodied in their appealing landscapes, largely exploited as an intangible tourist asset. Although hotel and real estate investors ignore or despise the peasant families who still persevere in farming amidst this worldwide-known tourist hotspot, the Balearic Autonomous Government has recently started a pay-for-ecosystem-services scheme based on the tourist eco-tax collection that offers grants to farmers that keep the Majorcan cultural landscapes alive, while a growing number of them have turned organic. How has this peasant heritage survived within such a global tourist capitalist economy? We answer this question by explaining the socio-ecological transition experienced from the failure of agrarian capitalism in the island, and the ensuing peasantization process during the first half of the 20th century through a local banking-driven and market-oriented land reform. Then, the early tourist specialization during the second half of the 20th century and the spatial concentration of the Green Revolution only in certain areas of the island meant a deep marginalization of peasant farming. Ironically, only a smallholder peasantry could keep cultivating these sustenance-oriented marginal areas where traditional farming was partially maintained and is currently being reinvigorated by turning organic. Now the preservation of these biocultural landscapes, and the keeping of the ecosystem services it provides to Majorcan society, requires keeping this peasantry alive.
1. Introduction: Peasant Landscapes as Biocultural Heritage
The island of Mallorca became a tourist destination for the European elites very early, during the Belle Époque (1870–1914). During those years the Archduke Ludwig Salvator of Austria in his masterpiece Die Balearen (Leipzig 1869–1884) wrote a detailed description of the peasant biocultural heritage lying behind the appealing landscapes of Mallorca [1,2]. Based on this and in many other sources, historians have long explained how peasant agriculture had historically shaped those Mallorcan cultural landscapes until 1900, enduring the agrarian class structure ruled by big landowners throughout the transition to agrarian capitalism [3]. The evolution towards a tourist hotspot, from the early elite visitors to the mass tourism during the 20th century, has turned agriculture and the local peasantry into marginal entities. However, that biocultural legacy is still endowed in a landscape able to offer a variety of habitats for farm-associated species [4,5,6], even though weakened and endangered by rural abandonment. Agroforest mosaics occupy at present 94% of the island, and urban areas 6% (Figure 1). In this article, we attempt to study the persistence of the peasant biocultural heritage that has remained alive in the agricultural landscapes. The Biocultural approach applied to landscape analysis understands landscape form and function as the result of complex and dynamic nature-culture relationships. Accordingly, agricultural landscapes can be conceptualized as biocultural landscapes that embody former agrarian traditional practices [7,8,9,10]. The Archduke’s book, Die Balearen, compiled the traditional practices about crop systems, varietal plants and seeds, and livestock rearing that peasants had preserved and improved in the late 19th century. All those peasant practices created what now we consider traditional agricultural landscapes. These landscapes combine different crops and varieties that were grown in multiple associations to ensure not only the sustainability of peasant families and communities, but also the sustainability of agroecosystems. The set of peasant practices and knowledge, together with the seeds, livestock breeds, and arboriculture associated with herbaceous crops, and complex agroforest landscapes constitute a valuable heritage that could play an important role in the advance towards a more sustainable agriculture in the near future. Accordingly, the study of the agro-social spaces that peasant communities built and preserved is key for capturing and understanding this peasant cultural heritage [11,12]. Scholars have pointed out that peasant landscapes, seed banks and plant nurseries are the most relevant sources to understand traditional agricultural practices. To a large extent, agricultural traditional practices have been preserved in some areas left aside by capitalism mainstream dynamics, and sometimes they have been recorded and preserved through historical documents and archaeological information, but they have also remained alive in many peasant agricultures worldwide. Lastly, biocultural heritage is a crucial tool for developing a sustainable agriculture and fighting against climate change [8,10,13,14]. In this regard, landscape can be defined as a key indicator to track the persistence of that heritage [15,16].
Figure 1.
Land cover map of Mallorca, 2012. Source: Our own, from Instituto Geográfico Nacional 2015. (https://datos.gob.es/ca/catalogo/e00125901-corine-land-cover-2012-espana, accessed on 7th May 2018).
Natural protected areas currently cover 44% of the island. Agroforest mosaics occupy 94%, and provide the ecological connectivity needed to link protected areas to one another. Hence, biodiversity conservation depends on this agroecological land matrix and wildlife-friendly managed farms [17,18]. Improving the knowledge of the long-term socioecological dynamics experienced by these land-use mosaics, and the people who make them, is crucial to keep this biocultural heritage alive [19,20], and to raise public awareness of their role in stopping and reversing the unsustainable pressures currently exerted by mass tourism [21].
This paper presents a synthesis of these socioecological dynamics in the Mallorca Island for the period 1870–2016, combining multiple sources, fieldwork and previous research. Section 2 explains the impact of the European-wide agrarian crisis from the end of the 19th century to the First World War triggered by the ‘grain invasion’ from North America and other global colonizing frontiers. This led to a peasantization process through the bankruptcy of many big landed estates and the allotment of small plots mediated by a local powerful banker. Section 3 explains why the Francoist dictatorship (1936–1975) did not reverse the expansion of peasant poly-cultural farming, and to what extent the ensuing spread of the Green Revolution had a lessened impact in the island. Section 4 outlines the strong unsustainable trends set forth by the Majorcan tourist hotspot and explains how that deep-rooted peasant biocultural heritage was able to survive. In the conclusion we highlight that landscape is the major footprint of the biocultural heritage and it embodies a full set of resources that will play a key role in the construction of a sustainable agriculture [11].
2. The Majorcan Great Transformation: A ‘Peasant Way’ beyond Agrarian Capitalism (1870–1936)
Mallorca experienced a transition to agrarian capitalism characterized by large estates called ‘possessions’ in Catalan. Since the defeat of the Majorcan peasant revolts of 1391, 1450–1453 and 1521, the peasants’ land dispossession exerted by noblemen and commercial patricians gave rise to a latifundist agrarian class structure that ruled the island up to the end of the 19th century. This landed class devoted their possessions mainly to sheep rearing and olive crops, while exploiting cheap labor. Peasant families could not survive on the wages earned and had to supplement them with the product of their own tiny plots located at the outskirts of the inner agro-towns. As a result, two different agricultural economies competed for the land in early Mallorca: the poly-cultural, labor-intensive peasant farming and the land-extensive farming of large estates. Their combination set a socio-agro-ecological limit to the expanded reproduction of that agrarian class structure that posed an inescapable dilemma to the Majorcan nobility: every time their land rents decreased, they could get fresh cash by offering small allotments to peasants who would pay a greater rent per unit of land by intensifying their farming. Yet this would reduce the supply of wage labor and increase the bargaining power of farmhands and laborers, leading to higher wages that would reduce the large estates’ profitability even more. Moreover, every time that the agrarian surplus stagnated or decreased the different collectors of these agrarian surplus—The noblemen, the Catholic church, an increasingly heavier royal tax burden, and the financial capital which claimed the interest rates on mortgages—Tried to increase their own extraction ratio fighting each other on the peasants’ backs. This put into question the socio-agro-ecological reproducibility of the whole agrarian system of the island [3].
The Spanish Liberal Revolution (1808–1873) brought abolition of feudal rents and jurisdictions, and of the strict settlement (1820 and 1841) that enabled the division of formerly inalienable legacies, together with the changes introduced in mortgages and banking (1861). It also meant greater land taxation—Noble estates included—And expanded commodification and financialization of agriculture in an increasingly globalized economy. This drove many Majorcan noblemen towards bankruptcy and put an end to their domain as a ruling class in favor of an emergent group of capitalists and bankers [22,23]. When these changes took place, Europe experienced the so-called ‘grain invasion’ of cheap cereals and meat coming from the North-American Great Plains and other agricultural frontiers colonized by the European settlers during the First Globalization. The worldwide integration of grain and meat markets, ruled by the Chicago stock market, led to a persistent downtrend of agricultural prices that protectionist trade policies attempted to cope with, such as the ones Spain adopted in 1891 [24,25,26]. The combination of agricultural lower prices with steady or even higher land prices implied a fall in land profitability, and the failure of agrarian capitalism at the end of the 19th and the beginning of the 20th century [27,28,29]. Many big landowners went bankrupt, and had to sell parts of their land, opening a window of opportunity for a peasantization advance that in Mallorca was carried out through a wide banking-driven allotment process without a state-led land reform institutionally settled—contrary to what happened in other parts of Europe and the world at that time [30,31,32]. During that societal turnaround, a more complex cultural landscape arose in the island led by the peasantry know-how, under a novel ruling class that controlled trade and finance [33,34].
Many Majorcan landlords had little capacity to respond to their budgetary crisis both in financial and technical terms. The agrarian economy had to be transformed, but in most cases the old estates were unable to do so. The economy of olive oil-exporting was severely damaged when new industrial products, such as whale and copra oil and kerosene started to replace its use in soap making and machinery lubrication [35]. To sum up, the restoration of the agrarian economy required financial resources and intensive cheap labor, and the Majorcan nobility in bankruptcy lacked both. The proprietors of large possessions met a solution to their financial troubles through selling part of their properties, while keeping a relevant role in the renovated agrarian class structure where they participated with the emergent bourgeoisie in many business projects, as well as in the new liberal political institutions. The merchants and capitalists, as Joan March or Manuel Salas, bought lands and gave abundant credit to troubled landowners to take over a share of their land at a low price through forced evictions. Then, they split the land into small plots and sold them to peasants at much higher price but through a long-lasting payment of small affordable annuities [23,36,37]. This put in motion a large-scale allotment process of Majorcan lands, that expanded across the island the intensive cropping system that already existed confined in the peasant agro-town belts.
At the same time, a vast amount of rural population migrated to new urban-industrial areas of the island, particularly the city of Palma, where wages were higher and social control lower, while many youths of smallholder families had to emigrate to Europe, North Africa and America due to the impact of the end-of-the-century agrarian crisis, and their remittances helped to buy land allotments. Indeed, the villages with the highest ratio of agricultural workers were those with the highest emigration and also with larger numbers of land allotments [38]. This was especially relevant for women workers, who had traditionally picked by hand the olive groves and started to play a new role in textiles and other industries [39,40]. Finally, in the turn of the century, agronomists, agrarian organizations and economic institutions advocated for a modernization project aimed at putting at work most of the land—By introducing intensive crops with the expansion of rain-fed Mediterranean fruit trees and irrigated land—And mobilizing cheap labor—Through easing access to land to peasants who would have to work hard to pay back the debts in which they incurred to buy the land. The ongoing changes in the world trade also triggered this economic transformation of land uses through new specializations in agri-food exports and low capital-intensive manufactures [41].
The allotment of former possessions and the expansion of small peasant farms took place in the most productive areas located in the piedmont and plain zones, corresponding to the administrative districts of Manacor and Inca. In the meantime, the big estates at the mountains and the poor coastal areas were affected very little by peasant allotments, mainly due to geographical factors that lowered profitability under the new farm system—e.g., slope, dryness and poor soil fertility. As a result, most coastal areas, which would be highly priced for tourist uses very soon, were kept in the hands of the Majorcan landed class [37]. The highest dynamism of allotments, and the ensuing peasantization, was developed between 1920 and 1940, coinciding with the economic peak of the new peasant economy oriented towards agri-food export specialization. The size of most of the plots allotted were under 5 ha (Figure 2), bought mainly by peasant families. Land uses were radically transformed with the introduction of intensive rain-fed associated intercropping, and of irrigated crops when possible. While woody crops associated with cereals were more labor intensive than before, the irrigated ones required technical investments for water management which only became affordable for peasants by using traditional windmills [42]. The two most outstanding irrigated areas were located at the Palma’s (W) and Alcúdia’s (NE) basins (see Figure 1), which had been under large desiccation schemes in the second half of the 19th century. The rich soils of the dried-lands were transformed into small farms with an intensive crop system devoted to grow potatoes, hemp, rice, beans and vegetables.
Figure 2.
Land allotments in the three Administrative Districts (A.D.) of Mallorca, 1891–1940 (units: number of plots). Source: Our own, from [33].
The spread of peasant farming from the last quarter of the 19th century to the first half of the 20th century deeply transformed Majorcan landscapes, either from a social or an agroecological standpoint. Figure 2 and Figure 3 reflect the agricultural changes induced by this peasantization turn. First, there was an important increase of agricultural land that rose from 152,000 ha in the late 19th century to 222,000 ha in the 1930s. That increase was made at the expense of forestland, scrubland, and wetlands. A relevant feature was the substitution of olive groves placed in the fertile soils of flat areas, while they only remained in the steeper and less fertile slopes of the mountains [35,43]. The new peasant landscapes were characterized by a rain-fed polyculture where Mediterranean fruit trees—Almond, fig and carob trees—Were associated with herbaceous crops—Cereals, fodder and legumes, plus sheep flocks and pig-rising fed with stubble, green pruning, forest acorns, crop by-products and domestic garbage. Intensive farming was based on intensive cheap labor (family work), and the reduction of the old fallowing land that small peasants replaced by sowing legumes. It was grounded on peasants’ self-exploitation, and probably increased soil nutrients’ mining as well. That complex and multifunctional farming developed by small family farms was precisely the intensive crop system that peasants had formerly grown in small plots at the outskirts of the agro-towns in the 17th and 18th centuries [3,41].
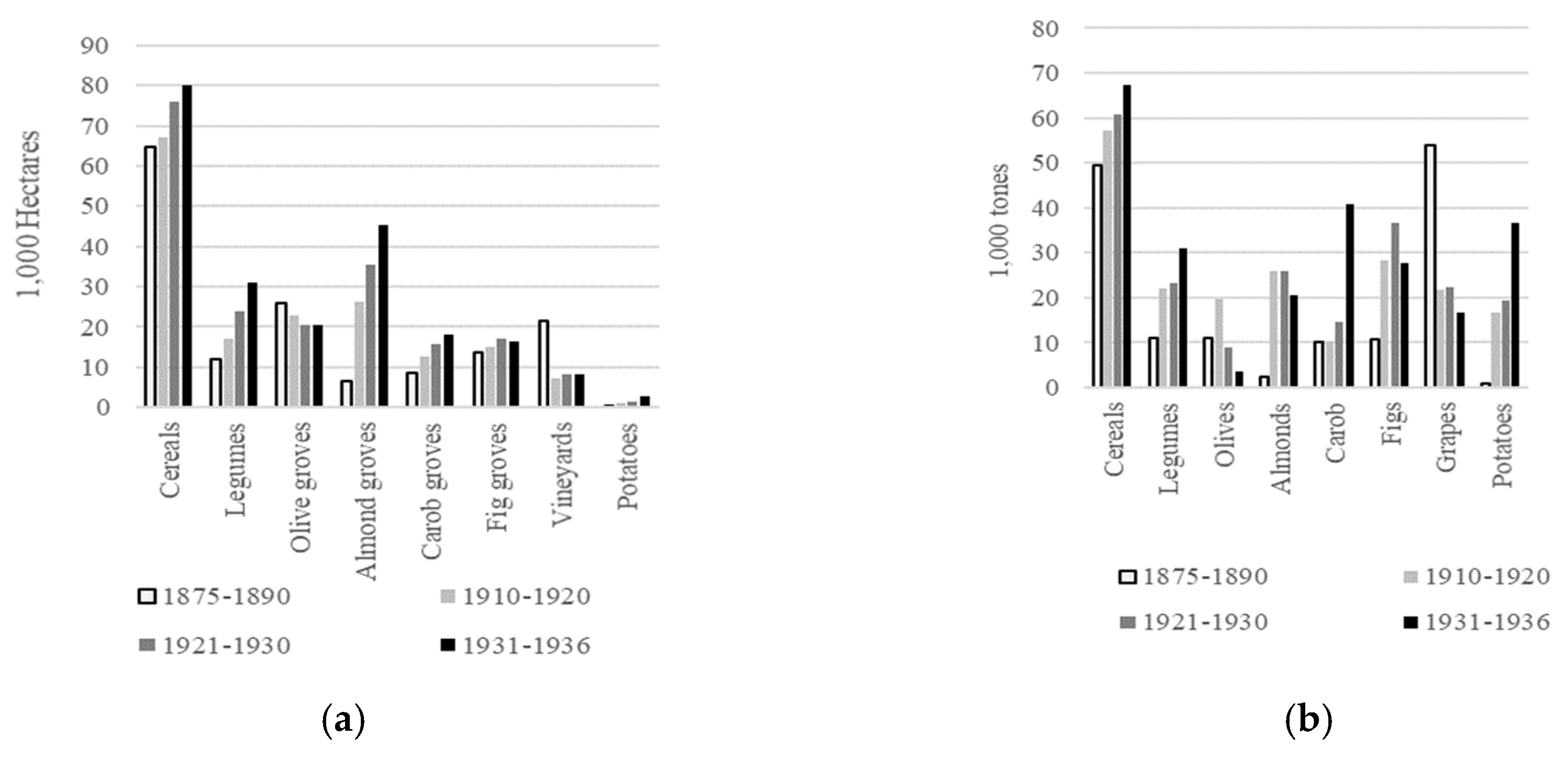
Figure 3.
(a) Annual average agricultural cropland and (b) physical production, 1875–1936. Source: Our own, from [47,48,49,50,51,52].
The novel exported-led crops were driven by external markets, and ruled by a new Majorcan class of traders, bankers and entrepreneurs. Agri-food products became the most salient exports of the island at that time. The composition of the trade balance changed dramatically, from a previous specialization in olive oil mainly exported to French soap making industries in Marseille, and to lubricate the English factories, to a more diversified pattern reflecting the new peasant landscapes. Potatoes, capers, wine, dried apricots and figs, almonds, carobs and other crops were exported to Atlantic and Spanish ports. A remarkable example was the vineyard expansion in a very short time span. The high prices of wine when the Phylloxera plague hit France in the 1870s, and Iberia in the 1880s, triggered a ‘vineyard bubble’ [44,45,46]. Vineyards rose 47% from 15,543 ha in 1860 to a maximum of 22,833 ha in 1889 (Figure 3). These crops were mainly farmed by peasant families in small plots of less than 5 ha, though capitalists also did speculative investments in larger vineyards. In the mid-1880s the world’s wine price dropped due to overproduction, France imposed protectionist measures to foreign wines, and then in 1891 the Phylloxera plague also damaged Majorcan vines. All these factors led to a Majorcan vineyard crisis within the wider agrarian crisis of the turn-of-the-century, affecting many smallholders. Vineyard extension fell down and many stumps were replaced by fruit trees such as almonds (see Figure 3).
Majorcan family farms could earn the cash they needed to pay the annuities of land mortgages through selling almonds, figs, capers and grapes. At the same time grains, legumes, vegetables and carobs provided staple food for their own consumption, and for animal feeding. The peasant economy was highly flexible, combining multiple productive activities for the family sustenance: farming, livestock raising, home manufacturing, and selling their own workforce to big farmers or new industries [53]. Agricultural production increased 45% in physical terms, from a yearly average of 152,800 t/year in the late 19th century to 222,200 t/year in the 1930s (Figure 3). The composition of this agricultural produce changed dramatically, with outstanding increases in legumes used for replenishing soil nutrients, animal feed and staple food; almonds and potatoes mainly oriented to exports; and carob and figs used for animal feed, and raw materials for industry and exports. The market value of agricultural production, in 1900 constant prices, rose 72% from 47 million pesetas in 1900 to 81 million in 1930. The value per unit of cropland grew 45% from 239 pesetas/ha in 1900 to 347 pesetas/ha in 1930. Actually, the Majorcan agricultural productivity measured in money terms ranked amongst the top Spanish regions (Figure 4).
Figure 4.
Agricultural productivity in pesetas/hectare (1900 prices) in Spanish provinces, 1900–1930. Source: Our own, from [54].
The agricultural growth, both in physical and money terms, was due to the increase of cropland area combined with crop intensification via advanced organic farming techniques. These techniques used very little fossil fuels, relied mostly on local organic resources, and raised yields through labor and land use intensification. Therefore, advanced organic farming implied a very predominance of organic resources with a very selective and minimal adoption of industrial inputs and innovations. Intensification accelerated after the First World War, when agrarian wages rose steadily−51% between 1919 and 1925, according to Molina [53]—And some farmers sped up the introduction of biological and mechanical innovations such as modern ploughs, reaper and thresher machines, irrigation engines, and some tractors. In the 1930s the Balearic Islands were one of the most agriculturally mechanized Spanish provinces [54,55]. The First Green Revolution that spread all across Europe was introduced in Spain too, where the roar of WWI did not halt its expansion [56]. However, the industrialization of agriculture and the adoption of Green Revolution techniques took place in variegated forms in the island from the very beginning. Their introduction was different according to institutional factors, such as the size of farm and ownership, and farming practices, such as intensive irrigated cropland or dry-land polyculture with mixed crop species. The large farms that had survived the failure of agrarian capitalism concentrated most of the new machinery and consumed most of the industrial fertilizers. The smallholder farms, which expanded the Mediterranean intercropping agroecology based in increasing land productivity through labor intensification, technical adaptations, extension of draught power with a higher number of mules, and mostly relying on intensive organic farming supplemented with small amounts of external industrial inputs [41]. Majorcan peasant farming was based on advanced organic techniques following a very similar path to Barcelona’s peasant agriculture within the transformations of Catalan agriculture in the aftermath of the fin de sèicle crisis [57].
Crop intensification had serious effects on soil fertility, a key limiting factor being fertilization. Manure was scarce and insufficient to replenish soil nutrients, and the Majorcan agronomists of the time recommended the use of mixed fertilizing techniques combining manure, organic matter, legumes and fallowing with some amounts of chemical and mineral fertilizers. Since the early 20th century chemical fertilizers were spread in Mallorca by La Fertilizadora, a corporation that became one of the largest firms of this sector in Spain and was created, once again, by Joan March. The use of chemical fertilizers multiplied by 2.5 after the WWI, from 15,790 t in 1913 to 38,675 t in 1934, placing Mallorca amongst the Spanish regions with the highest consumption of industrial fertilizers per hectare in the 1930s. Whereas the Spanish average of mineral and chemical fertilization was 16.8 kg/ha and most of the Southern and inner Spain cropland, such as Castilla y León and Castilla-La Mancha, consumed less than 10 kg/ha, Mallorca’s consumption was over 140 kg/ha which was very close to the amount applied in Germany [58,59,60]. Although these fertilizers were also applied in rain-fed crops, their use was much more intensive in irrigated land. Already in the early 1930s, some Majorcan irrigated areas presented problems of water pollution due to the abuse of industrial fertilizers [61].
Peasants’ economic strategy also consisted in the expansion of livestock production, in order to increase revenues to pay back land debts and cover increasing production costs. Livestock grew 56% from 189,154 heads in 1869 to 294,766 in 1934, with 53% corresponding to sheep and 25% to pigs. Pastureland scarcity, which had been the main limiting factor so far, was overcome through the use of rain-fed mixed crops (almond, fig and carob groves mixed with cereals and legumes), and grazing fallows as well as small patches of forestland. Livestock growth was highly linked to the process of land allotments and farm intensification in the search for more profitable ventures. Though, the lack of pastures and irrigated forages were the main bottleneck for keeping this livestock expansion, as it happened all over Spain at that time due to the land cost of sustaining them in the Mediterranean climate and soil conditions [62,63]. After WWI there was a shift in livestock production, with a steady increase of dairy cattle in irrigated areas [45,61].
The unequal distribution of the new agrarian sources of that preamble of the Green Revolution induced Majorcan peasant economies to innovate in their traditional sources, with only some supplements of the new ones. Meanwhile the great landowners resorted deeply to the new sources of mechanization and agrochemicals. The fact that Majorcan agricultural productivity was amongst the top Spanish regions should be understood, among other factors, in terms of the coexistence of different farming systems with and increasing relevance of the peasant agriculture. Peasant farming success was reflected in the spread of peasant crops in most of large estates of the island and the predominance of those crops in Majorcan exports [33]. As in Barcelona province, where agricultural productivity was pretty high, most of Majorcan crops were either exported or consumed by a growing urban and industrial population, Mallorca being a salient industrial Spanish region. Therefore, urbanization and industrialization pushed agricultural intensification too [44,57]. In this regard, Majorcan agriculture contradicts the so-called cliché of the Spanish agriculture long siesta in this period –understood as a situation of slow or dormant development- [64]. Actually, Mallorca’s agriculture was transforming quickly following the same path of the most dynamic Spanish capitalist agricultural regions that did not sleep any siesta in that time [65,66].
3. Peasants into Farmers? The Persistence of Smallholders’ Traditional Farming under the Green Revolution Spread in a Mass Tourism Economy under Franco’s Dictatorship (1939–1975)
The outbreak of the Civil War in 1936 provoked a sudden interruption of that ‘peasant way’ to agrarian capitalism, featured by a socially differentiated combination of advanced organic farming techniques with a rapid but selective introduction of the first Green Revolution innovations. Traditional farm management was revisited in the context of the dictatorship autarchy since external outputs dropped drastically, such as industrial fertilizers and fossil fuels. Landlords increased their rents profiting from the Francoist salary taxation, price control and black market, while smallholder peasants searched for an intensification of family labor [62,67].
The shock of the Civil War (1936–1939) and WWII (1939–1945) blocked the trend of the 1920s and 1930s, when the Majorcan economy had experienced a strong expansion based on agri-food exports, industrial development, urbanization and an early boom of tourism. During Franco’s autarkic economy and international embargo (1939–1953), the fascist authorities turned Mallorca into an agri-food supplier to the Iberian Peninsula, widening its dependence on imports such as fodder and phosphorite [45,68].
Arable land was put under strong stress in order to cope with the Spanish food shortage and the lack of fertilizers. That resulted into furthering soil mining and therefore a deterioration of soil fertility, in contrast with what happened in other parts of Southern Spain [69]. Food scarcity was reinforced with the widespread of smuggling led by large traders in the black market. Harvests suffered from a persistent drought during the 1940s, worsening the precarious social conditions of the time. While most staple crops diminished in the 1940s, fodder production increased to feed livestock in order to ensure the meat intake by the wealthy population and to provide manure. The interruption of foreign trade deepened the agrarian and social crisis in the island. Agricultural production stagnated throughout the 1940s and 1950s to around half million tons (Figure 5), and crop yields were kept around 2.2 t/ha. The most important crops were fodder (31%), fruits (20%), potatoes and other tubers (15%), cereals (13%), and vegetables (12%). Livestock numbers fell down, mainly due to a porcine pest. However, excluding pigs, livestock was kept around 272,000 heads: 63% ovine, 17% equine, 13% caprine and 7% bovine. Mules and horses were largely used again as draught power due to the lack of fuel and machinery [45,70].
Figure 5.
Agricultural physical production in the Balearic Islands, 1939–2016 (unit: million tons). Source: Our own from [71]. Note: The Spanish agricultural statistics are only available for this period at provincial level, i.e., the whole Balearic Islands in this case.
Those 20 years of war and autarky entailed a halt in the spread of the Green Revolution innovations that took place in the first decades of the 20th century on the island. Peasants and large farms had to recover organic methods, and consumption of industrial fertilizers dropped from 0.8 t/ha in the early 1930s to 0.2 t/ha in the 1940s. Then, Francoist authorities complained about the bad management of the 275,000 t/y of available manure in the island. Under this forced resort to organic farming, biocultural landscapes kept their former complex mosaics formed by polyculture plots combined with forestland and pastureland patches [16,70].
In 1953 the US president Eisenhower reconciled with Franco’s dictatorship, ended the embargo and gave technical and political support to the Spanish Economic Stabilization Plan of 1959 that assigned to the Balearic Islands a key role as tourist hotspot [72], while other Spanish areas specialized heavily in agricultural production and fully embraced the Green Revolution farming techniques that featured capitalist agriculture during the post-war period, the so-called second food regime [73]. Since then, the tourism-real estate nexus has been the ruling economic activity and the main driving force of land-use changes in Mallorca. Conversely, Francoist authorities and local elites did not have interest in promoting agriculture, which started a long decay that ran in parallel to the steady touristification of the island. During the 1960s and early 1970s coastal areas nearby Palma were urbanized to host a great number of tourists in hotels. The shift from an agrarian-based capitalist society with some light industries towards a tourism-based one happened at an accelerated pace, impacting dramatically on socioeconomic and spatial dynamics [74]. Urban land almost doubled, from 4777 ha in 1956 to 9188 ha in 1973. The Bay of Palma concentrated the largest tourist resorts, and the city expansion was responsible for most of the urban increase [75]. The changing socioeconomic dynamics gave way to a rapid process of functional urbanization of the island with a growing macrocephaly in the city of Palma [76]. Informal settlements spread at the outskirts of cities and towns, initiating the deterioration of their rich agroecological rings [77].
Yet the rest of the landscape remained much less modified. Landscape ecology metrics confirm that between 1956 and 1973 landscape patterns and ecological processes were still quite preserved, with only a decline in ecological connectivity due to the expansion of urbanization and road networks. Industrialization of agriculture added new socio-metabolic and agroecological changes. On the one hand, agricultural land was progressively abandoned in mountain regions. The substitution of firewood by fossil fuels and electricity implied a sudden reduction of forest activities, leading to a spontaneous expansion of fast-growing forestland towards the abandoned terraces of olive groves and formerly managed holm oak woods. In flatter lands fodder crops gradually replaced cereals and legumes following the general dietary changes of Spain [3,4,16].
Francoist authorities planned a shift from the former autarkic agenda to the new developmentalist one [78]. Even though the political support to Majorcan agriculture was poor and the role of agriculture in terms of rent was diminishing, farming introduced the innovations of the Green Revolution that were spreading in the rest of Spain. Mechanization and chemical fertilization replaced animal draught power and manure (Table 1). However, this was an uneven process and it took place mainly in the irrigated plots of the Sa Pobla-Muro basin intensively cropped with potatoes and vegetables, the Campos basin with dairy farms and Palma basin with vegetable crops and dairy farms [79]. Irrigated farms were endowed with the richest soils of the island, where underground water was massively pumped. Dairy farming expanded with the introduction of Holstein-Friesian cows in Campos and Palma areas. Bovine heads grew 67% from 38,624 in 1962 to 64,552 in 1972. Milk transformation, slaughtering and animal fodder production gained relevance to meet the increasing domestic and tourist demand. Accordingly, fodder led the increase of agricultural produce, attaining 68% of total crops in 1975 (Figure 5) [80,81]. In this regard, Majorcan capitalist agriculture followed the Spanish path from food to feed [62].
Table 1.
Socioeconomic and technical indicators of agriculture and livestock production in the Balearic Islands during the early 1960s and mid-1970s.
Nonetheless, the rain-fed intercropped polyculture and small horticulture practiced by small-scale family farms remained less touched by the Green Revolution. Most peasant farms were kept highly diversified and labor-intensive, multi-functionally managed through mixed organic-industrial systems, mostly programmed towards the family sustenance and only partially market-oriented. That polyculture was located largely in the inner plains with poorer soils. There, land division came to the fore resulting in a high number of medium-size and small plots. Farm allotments experienced a last intense growth in the 1960s, mainly with small plots of less than 1 ha, increasing 28% the number of farms from 32,406 in 1962 (70% of which smaller than 5 ha) to 41,452 in 1972 (77% of which were smaller than 5 ha) [23].
Except for some crops and dairy production, Majorcan agriculture went into a long-lasting profitability crisis (Table 1) and became deeply marginalized under the parallel growth of an increasingly globalized economy based on mass tourism. What featured most the peasant situation was the sharp decrease of their net incomes when they turned into ‘modern’ farmers wholly dependent on markets where they had to sell their products at ever lower prices, and to buy increasingly expensive industrial inputs. In parallel to the process of land fragmentation, the agrarian active population started to decrease (−41%) for the first time in the Balearic Islands from 68,061 people in 1962 (31% of the active population) to 40,047 in 1975 (16% of the active population) [82]. In addition, in 1975, agricultural wages (15,134 pesetas/month) became half the standard average wage (30,394 pesetas/month); and tourist areas drained ever greater numbers of active population. Many family peasants became part-time farmers mainly addressed to spare family cash from buying food, while also searching for an anchoring of their collective identity as peasants. However, some fractions of their crops, such as almonds, continued to be exported towards European countries. The Balearics remained the second province in almond production after Alicante, while Spain accounted for 25% the world production of almonds. Meanwhile tourist food demand was increasingly fulfilled with food imports [83,84].
The conventional standpoint argued that Majorcan agriculture entered under a severe profitability crisis due to the permanence of ‘old peasant structures’, high land allotment, poor capitalization, hard workload, insular costs, little technical knowledge and low integration into the global capitalist circuits. Despite these complaints about the Majorcan agrarian ‘backwardness’, which mirrored the ones made for the whole Spanish agriculture, the local peasantry was actually playing a key role in the preservation of a biocultural heritage imprinted in the remaining cultural landscapes of the island.
4. The Unsustainable Metabolism of a Touristic Hotspot, the Everyday Peasant Resistance, and Organic Farming Prospects (1976–2016)
Tourism has become hegemonic in Mallorca since the 1970s, with dramatic effects on the agrarian economy and rural landscapes that have been integrated within the global tourist circuit of capital [88]. It is not a coincidence that one of the earliest Spanish environmentalist groups appeared in Mallorca in the early 70s. After Franco’s death in 1975, environmentalists have struggled against urban and tourist growth claiming for nature conservation. Thanks to their campaigns, socioecological concerns became a paramount policy issue in the Balearic Islands. Environmentalists, co-working with the everyday peasant efforts to survive, have long claimed for an institutional setting to preserve rural landscapes from urban and tourist transformation [89].
Following the constitution of the autonomous Government of the Balearic Islands in 1983, land use planning froze further expansion of coastal tourist resorts. Yet, that policy diverted urban pressure towards inner rural land [90]. In addition, a set of norms have been passed to limit building in rural land and natural protected areas. Developers followed a double strategy to nullify land-use planning restrictions. Large estates with the highest land conservation category, with a requirement of a minimum extent of 20 ha for enabling new residential buildings, were split into smaller pieces of this size until 1999, when new constructions were prohibited there. Small farms joined to meet the minimum land-size of 1.4 ha requested in ordinary rural land for residential buildings. Accordingly, the average farm extent increased from 8.6 ha in 1982 to 17.2 ha in 2009 (Table 2). Land concentration is not only related to plotting the land for reaching the minimum legal area where to build a house on agricultural land, but also that farmers rented further plots to farm larger units to survive economically. Construction in rural land became particularly intensive before the implementation of even more restrictive land use policies, and rural gentrification became prominent due to real estate foreign investment after the entry of Spain into the European Economic Community in 1985 [91,92].
Table 2.
Socio-economic and technical indicators of agriculture and livestock production in the Balearic Islands in 1982, 1999 and 2009.
The Spatial Planning Directive Act of 1999 restricted urban land increase to 10% of the existing urban extent, which had to be developed in the surroundings of existing settlements. Consequently, the value of the land located in the rich agroecological belts of Majorcan agro-towns increased. At the peak of the last real estate bubble in 2007, Majorcan agricultural land value (20,083 €/ha) nearly doubled the Spanish average (11,070 €/ha), and highly profitable urban land developments have displaced many agricultural uses. This speculative pressure on rural land has been further aggravated with the ascent of short-time rental offered by housing platforms like Airbnb [37,88].
From 1985 onwards, the European Common Agricultural Policy (CAP) has aggravated the farming downturn following the tourist transformation of the Majorcan economy. Under the neoliberal regime of accumulation, the European division of labor implied a specialization of the island’s economy in the real estate-tourism nexus. Majorcan agriculture could not compete in the globalized world where cheap nature—Food, energy, raw materials and labor—Has been crucial for the expansion of financial capitalism [93]. The island social metabolism has been increasingly met through imported materials, which fostered the abandonment of agricultural and manufacturing activities replaced by tourism-related ones. Landscape changes driven by these socioeconomic trends have been widespread in Mallorca, in line with the mainstream ones followed throughout Europe [21,94].
The most salient land use change largely observed and socially contested in Mallorca during the last 40 years has been urban development, whereas the parallel processes of farming and forestry abandonment have not been fully addressed. Landscape analyses have revealed that extensive rain-fed crops are still more or less maintained, but there is a fast retreat of cultivated trees, while forest encroachment occupies marginal lands and stone terraces left abandoned. Despite a big loss of farming and forest management in steep lands, the overall land use pattern of agro-forest mosaics, and the agroecological functioning of cultural landscapes, is still precariously alive in flatter lands [16,95].
Figure 5 shows a steady downturn in agricultural production from the 1990 peak as a result of the EU CAP policy, falling from an average of 1.6 million tonnes between 1976 and 1991 to one million from 1992 to 2016. The resizing of dairy livestock, and the subsequent reduction of fodder crops, has been a major driver behind this decrease. Majorcan dairy farms went into crisis since the early 1970s, further intensified with the adoption of the EU’s milk quotas, set aside subsidies, price increases of imported fertilizers and animal feed, and fierce international price competition [96]. Dairying companies went bankrupt in the 1990s. Hence, dairy farms dropped from 2376 in 1981 to 187 in 2014, and dairy heads from 44,819 to 9227 [97]. That crisis had environmental site-specific causes, particularly the exhaustion of groundwater resources due to water pumping, the subsequent salinization of aquifers and water pollution with nitrates [98].
The EU agricultural subsidies have supported low-intensive farming practices, either through the transformation of irrigated land and fodder crops into rain-fed crops or set-aside lands [99]. Irrigated cropland declined −48% from 24,300 ha in 1982 to 12,670 ha in 2009, while rain-fed cropland has also dropped significantly either converted into forest or urban land (Table 2). Following the reduction of agricultural land and farms, the agrarian active population shrunk −80% from 26,903 people in the early 1980s to 5310 in 2014 [100]. The value of agricultural and animal production declined −73% from 747 million euros in 1982 to 203 in 2009 (in 2010 prices; see Table 2). Though, the external inputs required, mainly for animal feed (50%) and energy supply (28%), amounted 130 million euros in 2009, meaning 64% of the gross agricultural value [101].
Agricultural production also became highly dependent on subsidies that ranged from 14.7% of the net value added in 2000 to 28.3% in 2009. As everywhere in the EU, big landowners have been mostly benefited, although subsidies have also supported peasant farming and landscape maintenance. Particularly, Rural Development Plans have helped peasants in keeping fields with low gainfulness. Even counting with these public aids, the management of rain-fed fruit groves, especially in small plots, has been reduced to pruning and stopping scrubland advancement. This precarious farming has had a negative impact on soil fertility and dry fruit trees health. Most intercropped trees are too old and slowly dying attacked by diseases which take advantage of their weakening, further aggravated by climate change. The progressive abandonment of rain-fed groves of almonds, figs and carobs entails a vanishing of the traditional intercropping landscape mosaics [95,102,103].
The abandonment of olive groves and agro-forest management has led to pine-forest encroachment in the mountains. Fertilization and seeding pastures have ceased, and the associated sheep herding has been gradually withdrawn from steep areas of farmland and woods. As in other Mediterranean regions, forestland expansion has become a new environmental problem [4]. Newly afforested lands have turned highly vulnerable to disturbances, particularly wildfires. The neglect of management also affects the complex dry stone hydraulic systems, deteriorating an age-old ‘landesque capital’ and increasing erosion [16].
Despite these trends, a great deal of the Majorcan countryside is still preserved thanks to the peasant families that pursue working on them, relying more and more on part-time jobs and unpaid labor supported in many cases by an emotional bond with the land [95]. They were only some 9580 farmers in 2013, 67% of them over 60 years old, who could count on the aid of other 7038 family members. Only 1.4% of the population actually sustains the biocultural heritage imprinted in these age-old peasant landscapes [113]. Nonetheless, the undervalued and underpaid labor these peasant families do is essential for the preservation of the rural landscapes that are key non-paid assets intensively exploited by the tourism industry.
Paradoxically, as their parents age and die many of those people who turned their back to peasant life are returning to farming as a recreational activity [114]. After the economic crisis in 2008, and the collapse of the last housing bubble, some of them have even decided to return professionally to farming. Yet farming is only a secondary activity for around 40% of peasant family members [113], and those who live entirely from it usually supplement their earnings with tractor services and/or mechanized harvesting in other farms. Meanwhile, influenced by the Western European life-style and to compete in the global food market, food quality labels have blossomed in Mallorca in the last 15 years [115]. These quality schemes are part of the process of capital differentiation and capture of monopoly rents, being closely linked to the advent of non-agrarian capital into new agricultural commodification frontiers, especially with olive cultivation and vineyards. Exclusive wines and oils are mainly export-oriented towards Northern Europe. On the opposite side, the remaining agricultural production that still try to compete in quantity is carried out only by those companies and large farmers able to put in the market low cost food at the expense of underpaid workers and highly unpaid environmental costs.
With the pretext of the 2008 crisis, a conservative regional government launched a set of measures to promote private investments by easing the regulatory framework with the aim to put all the territory at work. The Tourist Act of 2012 and Agricultural Act of 2014 were highly contested, and finally amended after the regional elections of 2015 when a left-wing coalition came into power [116]. Peasant resistance and organic farming advance are worth mentioning as a contrast with the above-mentioned trends of agricultural restructuring or abandonment since the 1990s. True, organic farming has been somewhat related, generally, to elite production and consumption patterns so far, as elsewhere [117]. However, the current expansion of organic farming cannot be fully understood attending only to that class dimension, since in Mallorca small peasant families run most organic farms. In this regard, organic farms have been built upon the previous family farms where peasant knowledge was still alive. Then, the transition from peasant to organic farming has not been such a big issue since they kept many advanced organic farming techniques and the transition to organic farming has been a chance for family farms to survive. Therefore, there is a very strong link between peasant knowledge as bioculutural heritage and the preservation of traditional peasant farming and the expansion of new organic farming on the island [118]. In addition, peasant farming plays a crucial role in the preservation of Majorcan agroecosystems and biocultural landscapes [16]. Counter to the opinion that organic farming is nothing more than a subsidized activity [119,120], its advance is another expression of the long-lasting resistance of the Majorcan peasantry [3]. Despite the neoliberal policies adopted in 2011 to 2015 by the conservative regional government that removed organic farming subsidies and support to the Balearic Council of Organic Farming (CBPAE), the number of certified farms has not decreased but only stabilized, while the number of organic farmers and agri-food industries has even increased (Figure 6a).
Figure 6.
(a) Comparison of the organic agricultural land evolution of Mallorca, Spain and the world (unit: million hectares); (b) map of the ratio of organic agricultural land over total agricultural land of the Spanish provinces, 2017. Source: own elaboration from (a) Mallorca data [119]; Spanish data [121]; World data [122,123]; (b) MAPAMA (2018) Spanish data on organic agriculture [121] and total agricultural land [124].
The semi-public CBPAE certification has played a key role in the expansion of organic farming, offering to Mallorcan peasants an affordable access to the organic labelling of their products and a successful auditing scheme. The lack of public support by the conservative regional government meant a 33% increase in the fees of organic certification. Budgetary cuts in organic farming were applied as a punishment against farmers’ criticisms to conservative policies [125]. Despite that, the continuing increase of the area under certified organic cultivation, which is far above the pace experienced in the rest of the world and Spain (Figure 6a), corroborates that organic farming is a complex social reality, where subsidies have been important but not determinant. Moreover, we can see how politics do matter and deceleration moments have coincided with conservative governments that pulled the break to stop the expansion of organic farmers’ movement. In 2017 Mallorca had 32,347 ha certificated as organic farms, which represent the 16.2% of the utilized agricultural area (Figure 7), in comparison to the 8.2% of the whole country. If we consider provinces, the Balearic Islands are in the 10th position (Figure 6b) but are the fourth Spanish Autonomous Community with the highest share of land under certified organic farming, after Andalusia (19.6%), Catalonia (19.2%) and Murcia (16.8%).
Figure 7.
Map of organic farms in Mallorca, 2016. Source: Our own elaboration from SIGPAC-2015 and CBPAE.
Despite the relevance of organic farming in the Balearic Islands, where the 82.65% of organic agricultural land is in Mallorca, it is not as such well-known as the Andalusian case [126]. Whereas most organic wine and olive oil are exported, a remarkable amount of organic vegetables and fruits have to be imported because organic local production does not cover consumers’ demand [118]. Actually, as an example of the dynamism of organic farming, Mallorca has the most important direct-selling organic market of Spain. The expansion of organic farming and consumption have run in parallel to a growing interest in protecting and using again local varieties and breeds, as well as the recovering of peasant knowledge [127]. Small-scale farmers, peasants and grass-roots social movements have led that process in a similar way as other ‘vias campesinas’ to preserve landscape and food sovereignty [128,129].
5. Concluding Remarks
The fact that Mallorca still preserves many local varieties of plant species and a bulk of traditional peasant know-how, which the current advance of organic farming is reinvigorating, confirms the importance of the long-term endurance of the Majorcan peasantry and their biocultural heritage. During the First Globalization (1870–1914), the Majorcan society shifted towards an agrarian capitalist accumulation regime based on agri-food exports. It was built upon peasant farming and was heavily controlled by a new commercial and financial capitalist class. In that time, peasants built the Majorcan landscapes that still persist, characterized by rain-fed intercropped polyculture in small plots and the use of mixed organic-low industrial farming techniques. Franco’s dictatorship initially halted the adoption of the Green Revolution innovations, but then the tourist specialization implied a strong push towards agricultural abandonment. Precisely because Mallorca became so early and deeply integrated into the global capitalist markets of tourism, local farmers had to confront a deep economic marginalization.
Alexander Chayanov explained why for peasant family units the price of land is even higher than for any agricultural capitalist investor [130]. Under the logic of a peasant family, land (capital) do not have to yield profits, as well as work is not counted for as a salary. This is because the function of land and labor is not mercantile, but their function is to guarantee the family’s reproduction. Therefore, since they live on and from the land, they have to preserve and transform it to thus sustain the peasant family life. So, the land contains all their peasant life [20,114]. Accordingly, they would never sell it, except if the price becomes so high that—in the limit—equals or even exceeds the opportunity cost of becoming a modest rentier [131]. This is exactly what happened in Mallorca where the urban-tourist land rents exceeded agricultural ones. Agriculture could only survive either in the large estates or in smallholder family units when located far from the great capital gains of urban land speculation. In order to survive, they adopted at first the Green Revolution techniques, but in a rather different manner. Most large estates fully embraced the agro-industrial management trying to compete by selling higher quantities and lowering costs through economies of scale. Some medium and small peasants also tried to do so for a while, but soon discovered that the higher cost of inputs easily cut any possible gain from selling higher yields at lower prices. Instead of searching for unattainable economies of scale, they looked for economies of scope combined with peasant strategies to save external inputs [31,132].
For smallholder peasants, to pursue small-scale cultivation could only make sense as a way of saving costs in their own family consumption, selling the surpluses in local markets. Themselves or their neighbors being the consumers, they were not eager to use many agrochemical inputs. Conversely, they were interested in keeping local varieties to differentiate the quality of their products from the low-cost food imported for tourist consumption. Decades before the proliferation of food labels, most Majorcan families adopted as buyers the habit of searching for ‘Majorcan products’ in local stores. As part-time producers, farmers were also interested in sparing the cost of external inputs relying on their own family work, resources and peasant know-how. Hence, since the mid-20th century they made a very selective adoption of the Green Revolution techniques and implements—A feature also observed in other small-scale Mediterranean farmers [133]. Additionally, when the time of new consumer demands for healthier food and more sustainable agricultural policies came, they were interested in turning into organic. Since their Green Revolution investments had been very low, the opportunity cost of turning into organic was very low too. This also explains that agro-biodiversity loss has been limited or avoided in Mallorca so far beyond the land taken over by urban-tourist developments [4,16]. Indeed, it has had more to do with agricultural abandonment than agro-industrial intensification.
No doubt, Mallorca is a net food importer dependent on overseas trade that covers 60–70% of food consumption. Supermarket and tourist corporations focus their strategies in profit maximization achieved through low cost food imports. Majorcan agriculture has not benefited from the expansion of tourism that has exploited for free its appealing rural landscapes as an intangible asset. The unpaid rural landscape appropriation by tourist investors has been a basic mechanism of capital accumulation by dispossession in the island. In the meantime, though, peasant agriculture has remained a world apart, negatively affected by the direct and indirect impacts of land taken over by hotels, buildings and infrastructures.
Starting from the local food coverage of some 30–40% at present, to what extent could Mallorca reorient its economy and society towards food sovereignty? The challenge is great, but the biocultural heritage provided by the long-term endurance of the Majorcan peasantry is a valuable resource for that aim. The cultural memory of this legacy is embodied in an age-old peasant know-how that has to be reproduced and expanded through an agroecological knowledge dialogue [19]. Another part is embedded in the complex cultural landscapes that remain. Their joint resilience is essential to address the next socio-ecological transition towards a more sustainable agri-food system that would prepare society for the post-fossil and post-tourist era [7,11,19,134]. Recently, the government of the Balearic Islands has established a touristic eco-tax (Act 2/2016) to reinvest the funds in the island environment and society. Another agreement, originally proposed in 2016 by the international research project on Sustainable Farm Systems (SFS), has been enacted by the Balearic Government to devote a share of these public funds raised through the tourist eco-tax to a novel stewardship agreement that subsidizes small- and medium-size farms which provide ecosystem services in their agroecological landscapes [135]. If there is a true prospect for food sovereignty in Mallorca, this Payment for Ecosystem Services scheme can be a good start—Provided that public support and consumers’ decisions actually help to reverse the de-peasantization trends and help start a new re-peasantization aimed at building new agroecological territories in the island [136].
Ivan Murray 1, Gabriel Jover-Avellà 2,*, Onofre Fullana 3 and Enric Tello 4
Author Contributions
For research articles with several authors, a short paragraph specifying their individual contributions must be provided. The following statements should be used “conceptualization, I.M. and G.J.-A.; methodology, I.M. and E.T.; investigation, I.M. and O.F.; writing—Original draft preparation, I.M. and G.J.-A.; writing—Review and editing, E.T. and O.F.; funding acquisition, G.J.-A., E.T.
Funding
This work has been funded by the Spanish projects HAR2014-54891-P and HAR2015-69620-C2-1-P, and the international Partnership Grant SSHRC 895-2011-1020 on ‘Sustainable farm systems: long-term socio-ecological metabolism in Western agriculture’ funded by the Social Sciences and Humanities Research Council of Canada.
Acknowledgments
In this section you can acknowledge any support given which is not covered by the author contribution or funding sections. This may include administrative and technical support, or donations in kind (e.g., materials used for experiments).
Conflicts of Interest
The authors declare no conflict of interest. The funders had no role in the design of the study; in the collection, analyses, or interpretation of data; in the writing of the manuscript, or in the decision to publish the results.
References
- Koohafkan, P.; Altieri, M.A. Globally Important Agricultural Heritage Systems. A Legacy for the Future; Food and Agriculture Organization of the United Nations: Rome, Italy, 2011; Available online: http://worldagriculturalheritage.org/wp-content/uploads/2014/12/GIAHS_Booklet_EN_WEB2011.pdf (accessed on 15 February 2019).
- Koohafkan, P.; De la Cruz, M.J. Conservation and Adaptive Management of Globally Important Agricultural Heritage Systems (GIAHS). J. Resour. Ecol. 2011, 2, 22–29. [Google Scholar]
- Tello, E.; Jover, G.; Murray, I.; Fullana, O.; Soto, R. From Feudal Colonization to Agrarian Capitalism in Mallorca: Peasant Endurance under the Rise and Fall of Large Estates (1229–1900). J. Agrar. Chang. 2018, 18, 483–516. [Google Scholar] [CrossRef]
- Marull, J.; Font, C.; Tello, E.; Fullana, N.; Domene, E.; Pons, M.; Galán, E. Towards an energy–landscape integrated analysis? Exploring the links between socio-metabolic disturbance and landscape ecology performance (Mallorca, Spain, 1956–2011). Landscape Ecology 2016, 31, 317–336. [Google Scholar] [CrossRef]
- Altieri, M. The ecological role of biodiversity in agroecosystems. Agric. Ecosyst. Environ. 1999, 74, 19–31. [Google Scholar] [CrossRef]
- Gliessman, S.R. Agroecology. In Ecological Processes in Sustainable Agriculture; CRC Press: Boca Raton, FL, USA, 2000. [Google Scholar]
- Davidson-Hunt, I.J.; Turner, K.L.; Te Pareake Mead, A.; Cabrera-Lopez, J.; Bolton, R.; Idrobo, C.J.; Miretski, I.; Morrison, A.; Robson, J.P. Biocultural design: A new conceptual framework for sustainable development in rural indigenous and local communities. Surv. Perspect. Integr. Environ. Soc. 2012, 5, 33–45. [Google Scholar]
- Barthel, S.; Crumley, C.L.; Svedin, U. Bio-cultural refugia—Safeguarding diversity of practices for food security and biodiversity. Glob. Environ. Chang. 2013, 23, 1142–1152. [Google Scholar] [CrossRef]
- Ekblom, A.; Shoemaker, A.; Gillson, L.; Lane, P.; Lindholm, K.A. Conservation through Biocultural Heritage—Examples from Sub-Saharan Africa. Land 2019, 8, 5. [Google Scholar] [CrossRef]
- Altieri, M.A.; Toledo, V.M. The agroecological revolution in Latin America: Rescuing nature, ensuring food sovereignty and empowering peasants. J. Peasant Stud. 2011, 38, 587–612. [Google Scholar] [CrossRef]
- Gavin, M.C.; McCarter, J.; Mead, A.; Berkes, F.; Stepp, J.R.; Peterson, D.; Tang, R. Defining biocultural approaches to conservation. Trends Ecol. Evol. 2015, 303, 140–145. [Google Scholar] [CrossRef]
- Hill, R.; Cullen-Unsworth, L.C.; Talbot, L.D.; McIntyre-Tamwoy, S. Empowering Indigenous peoples’ biocultural diversity through World Heritage cultural landscapes: A case study from the Australian humid tropical forests. Int. J. Herit. Stud. 2011, 17, 571–591. [Google Scholar] [CrossRef]
- Graddy, T.G. Regarding biocultural heritage: In situ political ecology of agricultural biodiversity in the Peruvian Andes. Agric. Hum. Values 2013, 30, 587–604. [Google Scholar] [CrossRef]
- Green, D.; Raygorodetsky, G. Indigenous knowledge of a changing climate. Clim. Chang. 2010, 100, 239–242. [Google Scholar] [CrossRef]
- Mauro, A.; Rotherham, I.D. Landscape and biocultural diversity. Biodivers Conserv 2015, 24, 3155–3165. [Google Scholar] [CrossRef]
- Marull, J.; Tello, E.; Fullana, N.; Murray, I.; Jover, G.; Font, C.; Coll, F.; Domene, E.; Leoni, V.; Decolli, T. Long-term bio-cultural heritage: Exploring the intermediate disturbance hypothesis in agro-ecological landscapes (Mallorca, c. 1850–2012). Biodivers. Conserv. 2015, 24, 3217–3251. [Google Scholar] [CrossRef]
- Marull, J.; Tello, E.; Bagaria, G.; Cattaneo, C.; Pino, J. Exploring the links between social metabolism and biodiversity distribution across landscape gradients: A regional-scale contribution to the land-sharing versus land-sparing debate. Scie. Total Environ. 2018, 619–620, 1272–1285. [Google Scholar] [CrossRef]
- Fischer, J.; Brosi, B.; Daily, G.C.; Ehrlich, P.R.; Goldman, R.; Goldstein, J.; Lindenmayer, D.B.; Manning, A.D.; Mooney, H.A.; Pejchar, L.; et al. Should agricultural policies encourage land sparing or wildlife-friendly farming? Front. Ecol. Environ. 2008, 6, 380–385. [Google Scholar] [CrossRef]
- Toledo, V.; Barrera-Bassols, N. La memoria biocultural. La importancia de las sabidurías tradicionales; Icaria: Barcelona, Spain, 2008. [Google Scholar]
- Van der Ploeg, J.D. Peasants and the Art of Farming; Fernwood Publishing: Halifax, UK, 2015. [Google Scholar]
- Ginard, X.; Murray, I. El metabolismo socioeconómico de las Islas Baleares, 1996–2010. In El metabolismo económico regional español; Carpintero, O., Ed.; FUHEM Ecosocial: Madrid, Spain, 2015; pp. 307–383. [Google Scholar]
- Bisson, J. L’homme et la terre aux îles Baléares; Edisud: Aix-en-Provence, France, 1977. [Google Scholar]
- Feo, F. Propiedad rústica en Baleares según el Registro de la Propiedad Expropiable (1933). Pap. De Geogr. 1998, 27, 41–59. [Google Scholar]
- Cunfer, G.; Krausmann, F. Sustaining Agricultural Systems in the Old and New Worlds: A Long-Term Socio-Ecological Comparison. In Long Term Socio-Ecological Research; Singh, S., Haberl, H., Chertow, M., Mirtl, M., Schmid, M., Eds.; Springer: Dordrecht, The Netherlands, 2013; pp. 269–296. [Google Scholar]
- Cronon, W. Nature’s Metropolis: Chicago and the Great West; Norton: New York, NY, USA, 1991. [Google Scholar]
- García, A.; Sanz, J. (Eds.) Reformas y políticas agrarias en la historia de España. Ministerio de Agricultura; Pesca y Alimentación: Madrid, Spain, 1996. [Google Scholar]
- O’Rourke, K.H.; Williamson, J.G. Globalization and History: The Evolution of a 19th Century Atlantic Economy; MIT Press: Cambridge, MA, USA, 1999. [Google Scholar]
- Offer, A. Farm tenure and land values in England c. 1750–1950. Econ. Hist. Rev. 1991, 44, 1–20. [Google Scholar] [CrossRef]
- Koning, N. The Failure of Agrarian Capitalism: Agrarian Politics in the UK, Germany, The Netherlands and the USA, 1846–1919; Routledge: London, UK, 1994. [Google Scholar]
- Edelman, M.; Borras, S.M., Jr. Political Dynamics of Transnational Agrarian Movements; The Schumacher Centre & Practical Action Pub. Ltd.: Rugby, UK, 2016. [Google Scholar]
- Van der Ploeg, J.D. The New Peasantries: Struggles for Autonomy and Sustainability in an Era of Empire and Globalization; Earthscan: London, UK, 2008. [Google Scholar]
- Borras, S.M.; Kay, C.; Lahiff, E. Marked-led Agrarian Reform. Critical Perspectives on Neoliberal Land Policies and the Rural Poor; Routledge: New York, NY, USA, 2008. [Google Scholar]
- Cela-Conde, C.J. Capitalismo y campesinado en la isla de Mallorca; Siglo XXI: Madrid, Spain, 1979. [Google Scholar]
- Manera, C. Las cajas de ahorro y el crecimiento económico en Baleares, 1880–2000. Papeles de economía española 2005, 105/106, 169–187. [Google Scholar]
- Morey, A.; Molina, R. El retroceso del olivar en las Baleares: un itinerario a contracorriente de la evolución española (1800–1960). Hist. Agrar. 2016, 68, 71–101. [Google Scholar]
- Ferrer, P. Joan March. Els inicis d’un Imperi Financer; Editorial Cort: Palma, Spain, 2000. [Google Scholar]
- Murray, I. Geografies del capitalisme balear: Poder, metabolisme socioeconòmic i petjada ecològica d’una superpotència turística. Ph.D. Dissertation, Universitat de les Illes Balears, Palma, Spain, 2012. [Google Scholar]
- Albertí, B. Els moviments migratoris a la Mallorca contemporània (1877–1920). Ph.D. Dissertation, Universitat de les Illes Balears, Palma, Spain, 2017. [Google Scholar]
- Escartin, J.M. El quefer ocult. El mercat de treball de la dona en la Mallorca Contemporània (1870–1940); Documenta Balear: Palma, Spain, 2001. [Google Scholar]
- Molina, R. Treball intensiu, treballadors polivalents (Treball, salaris i cost de la vida, Mallorca, 1860–1936); Govern de les Illes Balears: Palma, Spain, 2003. [Google Scholar]
- Morro, M. L’agricultura mallorquina del segle XX (1891–1960); Lleonard Muntaner: Palma, Spain, 2017. [Google Scholar]
- Cañellas Serrano, N. L’aigua, el vent, la sang. L’ús de les forces tradicionals a Mallorca; Menjavents Edt.: Palma de Mallorca, Spain, 1993. [Google Scholar]
- Gil-Sánchez, L.; Valdés, C.M.; Díaz-Fernández, P. La transformación histórica del paisaje forestal en las islas Baleares; Ministerio de Medio Ambiente: Madrid, Spain, 2003. [Google Scholar]
- Manera, C. Història del creixement econòmic a Mallorca (1700–2000); Lleonard Muntaner: Palma, Spain, 2001. [Google Scholar]
- Azpiroz, L. La economía balear en la era de Franco. La autarquía (1939–1949); La Lucerna: Palma, Spain, 2003. [Google Scholar]
- Pastor, B. La vinya i el vi a la Mallorca de finals del segle XIX. Una revisió del tòpic de la fil·loxera; Lleonard Muntaner: Palma, Spain, 2016. [Google Scholar]
- Carretero, E. Memoria sobre el estado de la agricultura en esta provincial; Junta Provincial de Baleares: Palma, Spain, 1875. [Google Scholar]
- Satorras, F. Memoria sobre el estado de la Agricultura en la Provincia de Baleares; Junta Provincial de Baleares: Palma, Spain, 1887. [Google Scholar]
- Satorras, F. Cultivo y Producción de vid en Baleares; Junta Provincial de Baleares: Palma, Spain, 1888. [Google Scholar]
- Satorras, F. Cultivo y Producción de olivo en Baleares; Junta Provincial de Baleares: Palma, Spain, 1888. [Google Scholar]
- Satorras, F. Memoria sobre el cultivo de cereal y leguminosas en la provincia de Baleares; Junta Provincial de Baleares: Palma, Spain, 1890. [Google Scholar]
- COCIN. Memoria COCIN; Cámara Oficial de Comercio, Industria y Navegación de Mallorca; Ibiza-Formentera y Menorca: Palma, Spain, 1911–1936. [Google Scholar]
- Molina, R. De pan de pobres a sofisticado aditivo. Tecnología e innovación en torno a la industria de la algarroba: El caso balear (1930–2010). Rev. De Hist. Ind. 2012, 49, 147–179. [Google Scholar]
- Gallego, D. Pautas regionales de cambio técnico en el sector agrario español (1900–1930). Cuad. Aragoneses De Econ. 1993, 3, 241–276. [Google Scholar]
- Gingrich, S.; Marco, I.; Aguilera, E.; Padró, R.; Cattaneo, C.; Cunfer, G.; Guzmám, G.; MacFadyen, J.; Watson, A. Agroecosystem energy transitions in the old and new worlds: Trajectories and determinants at the regional scale. Reg. Environ. Chang. 2018, 18, 1089–1101. [Google Scholar] [CrossRef]
- Van Zanden, J.L. The First Green Revolution: The Growth of Production and Productivity in European Agriculture, 1870–1914. Econ. Hist. Rev. 1991, 44, 215–239. [Google Scholar] [CrossRef]
- Garrabou, R.; Pujol, J.; Colomé; Saguer, E. La crisi finisecular i la recomposició del món rural a Catalunya. Recerques 1992, 26, 107–132. [Google Scholar]
- Satorras, F. Abonos minerales instrucciones para su aplicación en Mallorca; Tipografía de B. Rotger: Palma, Spain, 1901. [Google Scholar]
- Roca, J. Modernització agrícola i desenvolupament industrial. El cas de Mallorca (1850–1950). Estud. Baleàrics 1992, 43, 109–118. [Google Scholar]
- Pujol, J. La difusión de los abonos minerales y químicos hasta 1936: El caso español en el contexto europeo. Hist. Agrar. 1998, 15, 143–182. [Google Scholar]
- Rosselló-Verger, V.M. Mallorca. El sur y el sureste. Cámara Oficial de Comercio; Industria y Navegación: Palma, Spain, 1964. [Google Scholar]
- Soto, D.; Infante-Amate, J.; Guzmán, G.I.; Cid, A.; Aguilera, A.; García, R.; González de Molina, M. The social metabolism of biomass in Spain, 1900–2008: From food to feed-oriented changes in the agro-ecosystems. Ecol. Econ. 2016, 128, 130–138. [Google Scholar] [CrossRef]
- Guzmán, G.; González de Molina, M.; Soto-Fernández, D.; Infante-Amate, J.; Aguilera, E. Spanish agriculture from 1900 to 2008: A long-term perspective on agroecosystem energy from an agroecological approach. Reg. Environ. Chang. 2018, 18, 995–1008. [Google Scholar] [CrossRef]
- Simpson, J. Spanish Agriculture: The Long SIESTA, 1765–1965; Cambridge University Press: Cambridge, UK, 1995. [Google Scholar]
- Naredo, J.M. La evolución de la agricultura en España, 4th ed.; Editorial Universidad de Granada: Granada, Spain, 2004. [Google Scholar]
- Pujol, J.; González de Molina, M.; Fernández-Prieto, L.; Gallego, D.; Garrabou, R. El pozo de todos los males. Sobre el atraso en la agricultura española contemporánea; Crítica: Barcelona, Spain, 2001. [Google Scholar]
- Christiansen, T. The Reason Why. The Post Civil-War Agrarian Crisis in Spain; Prensas Universitarias de Zaragoza: Zaragoza, Spain, 2012. [Google Scholar]
- Guzmán, G.; Aguilera, E.; García-Ruiz, R.; Torremocha, E.; Soto, D.; Infante-Amate, J.; González de Molina, M. The agrarian metabolism as a tool for assessing agrarian sustainability, and its application to Spanish agriculture (1960–2008). Ecol. Soc. 2018, 23, 2. [Google Scholar] [CrossRef]
- Vanwalleghem, T.; Infante-Amate, J.; González de Molina, M.; Soto-Fernández, D.; Alfonso-Gómez, J. Quantifying the effect of historical soil management on soil erosion rates in Mediterranean olive orchards. Agric. Ecosyst. Environ. 2011, 142, 341–351. [Google Scholar] [CrossRef]
- JPOESB. Anteproyecto de Ordenación económico-social de Baleares; Junta Provincial de Ordenación Económico-Social de Baleares: Palma, Spain, 1947. [Google Scholar]
- MAPAMA. Anuario de Estadística Agraria 1939-2014; Ministerio de Agricultura y Pesca, Alimentación y Medio Ambiente: Madrid, Spain, 1939–2016. [Google Scholar]
- BIRF. Informe del Banco Internacional de Reconstrucción y Fomento. El desarrollo económico en España; Oficina de Coordinación y Programación Económica: Madrid, Spain, 1962. [Google Scholar]
- McMichael, P. A food regime genealogy. J. Peasant Stud. 2009, 36, 139–169. [Google Scholar] [CrossRef]
- Salvà, P. Las actividades agrarias en las islas Baleares en la etapa del turismo de masas. In El medio rural español. Cultura, paisaje y naturaleza: Homenaje a don Ángel Cabo Alonso; Cabero, V., Llorente, J.M., Plaza, J.I., Pol, C., Eds.; Ediciones Universidad de Salamanca: Salamanca, Spain, 1992; pp. 715–730. [Google Scholar]
- Pons, A.; Rullan, O.; Murray, I. Tourism capitalism and island urbanization: Tourist accommodation diffusion in the Balearics, 1936–2010. Isl. Stud. J. 2014, 9, 239–258. [Google Scholar]
- Quintana, A. El sistema urbano de Mallorca; Editorial Moll: Palma, Spain, 1979. [Google Scholar]
- Pie, R.; Navarro, F. De los ‘establiments’ a las parcelaciones ilegales. Ciudad Y Territ. 1988, 75, 55–80. [Google Scholar]
- CESPB. Perpespectivas de desarrollo económico de la provincia de Baleares (en los próximos cinco años); Consejo Económico Sindical de la Provincia de Baleares: Palma, Spain, 1962. [Google Scholar]
- Binimelis, J.; Ordinas, A. La mecanización del campo en las Islas Baleares (1960–1970). El tránsito de la agricultura tradicional a la industrial. Boletín De La Asoc. De Geógrafos Españoles 2015, 68, 347–368. [Google Scholar] [CrossRef]
- Barceló, B.; Pérez, A. Situación actual y perspectivas de desarrollo de Baleares; Confederación Española de Cajas de Ahorro: Madrid, Spain, 1974. [Google Scholar]
- Anguera, B. La ganadería en Mallorca. El Campo 1985, 100, 35–39. [Google Scholar]
- Barceló, B. La población agraria. El Campo 1985, 100, 43–49. [Google Scholar]
- Salvà, P.; Socias, M. Las residencias secundarias y la agricultura a tiempo parcial. El Campo 1985, 100, 59–62. [Google Scholar]
- Berenguer, E. La agricultura de las Baleares; Consell General Interinsular: Madrid, Spain, 1981. [Google Scholar]
- INE. Censo agrario de España año 1962; INE: Madrid, Spain, 1966. [Google Scholar]
- INE. Censo agrario de España 1972; INE: Madrid, Spain, 1974. [Google Scholar]
- BB. Renta nacional de España y su distribución provincial 1975; Banco de Bilbao: Bilbao, Spain, 1977. [Google Scholar]
- Murray, I.; Yrigoy, I.; Blázquez, M. The role of crises in the production, destruction and restructuring of tourist spaces. The case of the Balearic Islands. Investig. Turísticas 2017, 13, 1–29. [Google Scholar] [CrossRef]
- Rayó, M. L’ecologisme a les Balears; Documenta Balear: Palma, Spain, 2004. [Google Scholar]
- Rullan, O. Las políticas territoriales en las Islas Baleares; Cuadernos geográficos de la Universidad de Granada: Granada, Spain, 2010; Volume 47, pp. 403–428. [Google Scholar]
- Binimelis, J.; Ordinas, A. Paisatge i canvi territorial en el món rural de les Illes Balears. Territoris 2012, 8, 11–28. [Google Scholar]
- Hof, A.; Blázquez, M. The Linkages between Real Estate Tourism and Urban Sprawl in Majorca (Balearic Islands, Spain). Land 2013, 2, 252–277. [Google Scholar] [CrossRef]
- Moore, J.W. Capitalism in the Web of Life; Verso: London, UK, 2015. [Google Scholar]
- Agnoletti, M.; Emanueli, F. (Eds.) Biocultural Diversity in Europe; Springer: New York, NY, USA, 2016. [Google Scholar]
- Binimelis, J.; Ordinas, A. La pagesia illenca als albirs del segle XXI. In Agricultura i postproductivisme a les Illes Balears; El Gall Editor: Pollença, Spain, 2008. [Google Scholar]
- Lucas, A.M. Les activitats agràries, pesqueres i forestals a les Illes Balears; Govern de les Illes Balears: Palma, Spain, 2002. [Google Scholar]
- SEMILLA. Estadístiques de l’agricultura, la ramaderia i la pesca a les Illes Balears Any 2014; Govern de les Illes Balears: Palma, Spain, 2015. [Google Scholar]
- Barceló, J.J. Implicacions ambientals d’un model de ramaderia intensiva. Salinització i ramaderia del boví al terme de Campos. Master’s Dissertation, Universitat de les Illes Balears, Palma, Spain, 2012. [Google Scholar]
- Binimelis, J.; Riera, J. Postproductivisme i PAC. Retirada de terres (set aside) i ajudes al conreu d’herbacis a Mallorca. In Territori, Turisme i Medi Ambient; Grimalt, M., Maroto, M., Eds.; INESE: Palma, Spain, 2003; pp. 19–24. [Google Scholar]
- OT. Fitxes sectorials. Agricultura 2014. Available online: http://observatorideltreball.caib.es/sacmicrofront/archivopub.do?ctrl=MCRST282ZI198864&id=198864 (accessed on 10 December 2018).
- Desco, Y.; Mas, L.L. Estadístiques bàsiques de l’agricultura, la ramaderia i la pesca a les Illes Balears 2009; Govern de les Illes Balears: Palma, Spain, 2009. [Google Scholar]
- Fornés, J. El cultiu de l’ametler a Mallorca. Master’s Dissertation, Universitat de les Illes Balears, Palma, Spain, 2012. [Google Scholar]
- Palacio-Bielsa, A.; Cambra, M.; Martínez, C.; Olmos, A.; Pallás, V.; López, M.M.; Adaskaveg, J.E.; Förster, H.; Cambra, M.A.; Duval, H.; et al. Almond diseases. In Almonds. Botany, Production and Uses; Socias, R., Gradziel, T.M., Eds.; CABI: Boston, FL, USA, 2017; pp. 321–374. [Google Scholar]
- INE. Censo agrario de España 1982; INE: Madrid, Spain, 1984. [Google Scholar]
- IBAE. Cens Agrari 1999. Illes Balears; Govern de les Illes Balears: Palma, Spain, 2002. [Google Scholar]
- INE. Censo agrario de España 2009. 2011. Available online: http://www.ine.es/dyngs/INEbase/es/operacion.htm?c=Estadistica_C&cid=1254736176851&menu=ultiDatos&idp=1254735727106 (accessed on 3 May 2017).
- GB. Dades Balears 1985; Govern Balear: Palma, Spain, 1985. [Google Scholar]
- MAPAMA. Resultados Renta Agraria Regional (serie histórica 1990–2000). 2009. Available online: http://www.mapama.gob.es/es/estadistica/temas/estadisticas-agrarias/economia/cuentas-economicas-agricultura/#para5 (accessed on 22 October 2018).
- Conselleria d’Agricultura i Pesca. Anuari d’Informació Estadística Agropesquera de les Illes Balears; Govern de les Illes Balears: Palma, Spain, 2001. [Google Scholar]
- MAPAMA. Inscripción de maquinaria agrícola 2009. 2009. Available online: http://www.mapama.gob.es/es/agricultura/temas/medios-de-produccion/inscripcion_09_tcm7-1115.pdf (accessed on 22 October 2018).
- GB. Dades Balears 1980; Govern Balear: Palma, Spain, 1980. [Google Scholar]
- Tamames, R.; Lamo, J. Estudio del sector agrario Balear para definir las estrategias a seguir para posibilitar su supervivencia 2007; Govern de les Illes Balears: Palma, Spain, 2007. [Google Scholar]
- INE. Encuesta sobre la estructura de las explotaciones agrícolas 2013. 2014. Available online: http://www.ine.es/dyngs/INEbase/es/operacion.htm?c=Estadistica_C&cid=1254736176854&menu=resultados&idp=1254735727106 (accessed on 17 October 2018).
- Van der Ploeg, J.D. From de-to repeasantization: The modernization of agriculture revisited. J. Rural Stud. 2018, 61, 236–243. [Google Scholar] [CrossRef]
- IQUA. Illes Balears Qualitat. 2016. Available online: http://www.illesbalearsqualitat.es (accessed on 20 November 2018).
- Blázquez, M.; Artigues, A.A.; Yrigoy, I. Crisis y planificación territorial turística neoliberal en las Islas Baleares. Investig. Turística 2015, 9, 24–49. [Google Scholar]
- Halberg, N.; Alrøe, H.F.; Knudsen, M.T.; Kristensen, E.S. (Eds.) Global Development of Organic Agriculture: Challenges and Prospects; CABI: Oxfordshire, UK, 2006. [Google Scholar]
- APAEMA. Anàlisi del sector de la producció agrària ecològica a l’illa de Mallorca. 2008. Available online: http://www.cbpae.org/files/BID_062-Analisi_produccio_agraria_Mallorca_2008.pdf (accessed on 16 March 2019).
- CBPAE. Dades estadistiques de la producción agraria ecològica. Illes Balears 2017. Available online: http://www.cbpae.org/files/EAE_2017.pdf (accessed on 16 March 2019).
- Binimelis, J.; Ginard, A.; Ordinas, A. El procés de mecanització agrària a les Illes Balears durant l’autarquia (1946–1969). Estud. D’història Agrar. 2004, 17, 147–168. [Google Scholar]
- MAPAMA. Agricultura Ecológica. Estadísticas 2017; Ministerio de Agricultura, Pesca, Alimentación y Medio Ambiente: Madrid, Spain, 2018.
- FAOSTAT. Land Use. Agricultural area under organic agriculture. Available online: http://www.fao.org/faostat/en/#data/RL (accessed on 18 March 2019).
- IFOAM-Organics International. The International Federation of Organic Agriculture Movements Annual Reports. Available online: https://www.ifoam.bio/en/our-library/annual-reports (accessed on 18 March 2019).
- MAPAMA. Encuesta sobre Superficies y Rendimientos 2017 (ESYRCE); Ministerio de Agricultura, Pesca, Alimentación y Medio Ambiente: Madrid, Spain, 2017.
- MC. El sector agrari ecològic fa un balanç negatiu d’aquesta legislatura. Ara Balears May 21. 2015. Available online: https://dbalears.cat/balears/2015/05/21/286029/sector-agrari-ecologic-balan-negatiu-aquesta-legislatura.html (accessed on 27 January 2019).
- González de Molina, M. (Ed.) El desarrollo de la agricultura orgánica en Andalucía; Crónica de una experiencia agroecológica: Icaria, Barcelona, Spain, 2009. [Google Scholar]
- Socies, A. Varietats locals de les Illes Balears; Documenta Balear: Palma, Spain, 2013. [Google Scholar]
- Martínez-Torres, M.E.; Rosset, P.M. Diálogo de saberes in La Vía Campesina: Food sovereignty and agroecology. J. Peasant Stud. 2014, 41, 979–997. [Google Scholar] [CrossRef]
- Van der Ploeg, J.D. Peasant-driven agricultural growth and food sovereignty. J. Peasant Stud. 2014, 41, 999–1030. [Google Scholar] [CrossRef]
- Thorner, D.; Kerblay, B.; Smith, R.E.F. (Eds.) AV Chayanov on the Theory of the Peasant Economy; Richard D. Irwin: Homewood, IL, USA, 1966. [Google Scholar]
- Bhaduri, A. The Economic Structure of Backward Agriculture; Academic Press: Cambridge, MA, USA, 1983. [Google Scholar]
- Bernstein, H. Class Dynamics of Agrarian Change; Pluto and University of Michigan Press: Fernwood, MI, USA, 2010. [Google Scholar]
- Moragues-Faus, A. How is agriculture reproduced? Unfolding farmers’ interdependencies in small-scale Mediterranean olive oil production. J. Rural Stud. 2014, 34, 139–151. [Google Scholar] [CrossRef]
- Monteleone, M. Reshaping Agriculture toward a Transition to a Post-Fossil Bioeconomy. In Law and Agroecology; Monteduro, M., Buongiorno, P., Di Benedetto, S., Isoni, A., Eds.; Springer: Berlin, Germany, 2015; pp. 359–376. [Google Scholar]
- CAIB. Resolució del president del Fons de Garantia Agrària i Pesquera de les Illes Balears (FOGAIBA) per la qual es convoquen, per a l’exercici 2017, ajudes de minimis per al manteniment del paisatge agrari de les Illes Balears. BOIB 2017, 147, 39175–39180. [Google Scholar]
- Wezel, A.; Brives, H.; Casagrande, M.; Clément, C.; Dufour, A.; Vandenbroucke, P. Agroecology territories: Places for sustainable agricultural and food systems and biodiversity conservation. Agroecol. Sustain. Food Syst. 2016, 40, 132–144. [Google Scholar] [CrossRef]
© 2019 by the authors. Licensee MDPI, Basel, Switzerland. This article is an open access article distributed under the terms and conditions of the Creative Commons Attribution (CC BY) license (http://creativecommons.org/licenses/by/4.0/).






