Abstract
Soil water and nutrients are major factors limiting crop productivity. In the present study, soil water use efficiency (WUE) and crop yield of millet and soybean were investigated under nine fertilization regimes (no nitrogen (N) and no phosphorus (P) (CK), 120 kg ha−1 N and no P (N1P0), 240 kg ha−1 N and no P (N2P0), 45 kg ha−1 P and no N (N0P1), 90 kg ha−1 P and no N (N0P2), 120 kg ha−1 N and 45 kg ha−1 P (N1P1), 240 kg ha−1 N and 45 kg ha−1 P (N2P1), 120 kg ha−1 N and 90 kg ha−1 P (N1P2), 240 kg ha−1 N and 90 kg ha−1 P (N2P2)) in the Loess Plateau, China. We conducted fertilization experiments in two cultivation seasons and collected soil nutrient, water use, and crop yield data. Combined N and P fertilization resulted in the greatest increase in crop yield and WUE, followed by the single P fertilizer application, and single N fertilizer application. The control treatment, which consisted of neither P nor N fertilizer application, had the least effect on crop yield. The combined N and P fertilization increased soil organic matter (SOM) and soil total N, while soil water consumption increased in all treatments. SOM and total N content increased significantly when compared to the control conditions, by 27.1–81.3%, and 301.3–669.2%, respectively, only under combined N and P application. The combined N and P application promoted the formation of a favorable soil aggregate structure and improved soil microbial activity, which accelerated fertilizer use, and enhanced the capacity of soil to maintain fertilizer supply. Crop yield increased significantly in all treatments when compared to the control conditions, with soybean and millet yields increasing by 82.5–560.1% and 55–490.8%, respectively. The combined application of N and P fertilizers increased soil water consumption, improved soil WUE, and satisfied crop growth and development requirements. In addition, soil WUE was significantly positively correlated with crop yield. Our results provide a scientific basis for rational crop fertilization in semi-arid areas on the Loess Plateau.
1. Introduction
Crop growth and development activities not only require appropriate light, moisture, air, and temperature conditions but also adequate amounts of diverse soil nutrients [1,2]. Considering limited soil nutrient availability, the application of fertilizer to the soil is necessary [3], which would also address current food security challenges by enhancing soil fertility and, in turn, crop yield. The increasing rates of fertilizer application in agricultural production over recent years, with generally low utilization rates, have led to the considerable waste of fertilizer resources, in addition to severe environmental pollution [4,5]. Controlled-release fertilization is an efficient and pollution-free method of fertilization, which addresses the low utilization rate challenge associated with ordinary quick-acting fertilizers, in addition to environmental pollution, and is a potentially effective strategy to ensure the sustainability of land use and efficient crop production [1,3].
Inadequate soil water and soil nutrient levels are the major factors limiting agricultural production in the Loess Plateau [6,7,8]. Agricultural production in such environments should aim at achieving efficient water use [9]. Due to the lack of irrigation water resources in the Loess Plateau, rain-fed agriculture accounts for a large proportion of the agricultural production in the region [5,10]. The considerable fertilizer inputs in the region have promoted crop yield greatly, in addition to the associated economic benefits, and the improvement of soil water use efficiency (WUE) of the cropping systems. Consequently, soil fertilization has become one of the key strategies of achieving higher crop yields in the region [11,12]. Rational fertilization practices that take into account soil water availability, improve soil WUE, and improve crop yield have become key strategies for comprehensive agricultural development on the Loess Plateau [13,14].
Strategies for improving crop yield and soil WUE through rational fertilization under poor water availability conditions have been extensively studied. Numerous studies have demonstrated that appropriate water and fertilization conditions facilitate nutrient absorption by crops which, in turn, facilitate coordinated growth in crops [15,16]. Particularly, nitrogen (N) and phosphorus (P) fertilization could decrease transpiration losses significantly and enhance WUE in crop production on the Loess Plateau [7].
Soil WUE reflects the relationship between crop production and water consumption. It is a comprehensive index for evaluating crop growth suitability, and improving WUE could minimize the consumption of limited water resources, especially in semi-arid areas where precipitation is scarce, with important ecological and economic benefits. In arid areas, the consumption of less water resources could promote sustainable water resource exploitation in ecosystems [3]. Drought stress in the Loess Plateau greatly influences fertilization efficiency in the region [17,18]. Under limited soil water conditions, water availability and N and P fertilization can be exploited collectively to enhance yield and improve crop quality [19]. Fertilization can promote crop growth and development, particularly by promoting the development of shallow roots, and enhancing soil nutrient absorption and utilization efficiency [20,21,22]. Due to crop cultivation and soil erosion, the soil organic matter (SOM) concentrations in dryland farmlands are generally low, and the ability to supply and maintain fertilizer is usually poor. Consequently, the efficient use of water and nutrients is critical for sustainable crop production on the Loess Plateau. However, only a few studies have investigated the effects of fertilization on soil WUE and yield on the Loess Plateau. In the present study, we established split-plot experiments in Ansai County, Shaanxi Province, China. The study region is in a semi-arid/semi-humid climate zone, and major soil and water conservation projects have been implemented in the area [7,8]. The aim of the present study was to investigate the effects of different fertilization regimes on crop yield and WUE on the Loess Plateau, and to determine fertilization strategies that could facilitate sustainable and efficient utilization of water and fertilizer resources in the arid areas of the Loess Plateau. We hypothesized that (1) fertilization significantly increases water use efficiency and crop yield, and (2) the combined application of nitrogen and phosphorus fertilizer has a greater positive effect on soil water use efficiency and crop yield.
2. Materials and Methods
2.1. Basic Geographic Information
The field experiments were conducted in 2017 and 2018 in the middle of the Loess Plateau (36°51′ N, 109°18′ E), at 1068 m above sea level, in an area with a mean annual temperature of 8.8 °C and a mean annual precipitation of 500 mm. The study site falls under the loess hilly and gully area. The soil type is Regosol and the soil nutrient and water loss levels in the area are high. Millet was planted in 2017 and soybeans were grown in 2018. In 2017, the total rainfall in the growth period was 443.1 mm, accounting for 79.46% of the total annual rainfall. In 2018, the total rainfall in the growth period was 503.1 mm, accounting for 93.8% of the total annual rainfall (Figure 1).
Figure 1.
Average monthly precipitation in Ansai County between 2017 and 2018.
Basic soil physical and chemical properties in the study site were measured at a depth of 0–40 cm before fertilization (Table 1). Soil bulk density was measured using a soil bulk sampler and soil pH was measured using a pH meter.
Table 1.
Basic physical and chemical properties of the soil before fertilization.
2.2. Experimental Design and Fertilizer Management
Local heat and moisture conditions dictate that crops are only grown once a year. Millet was planted in 2017 and soybeans were planted in 2018. The millet cultivar was Hongyang 7. The soybean variety planted was Zhonghuang 35. The order of nutrient absorption in millet was N > K > P. There were differences in nutrient concentrations among the millet crop organs, with P and K concentrations being the highest in the fruit, and the N concentrations being the highest in the root system. From the flowering period, the demand for N fertilizer began to increase rapidly to support grain growth. Nitrogen fertilizer could be applied at this period for optimal yield benefits. For every 100 kg of millet produced, 2–5.23 kg N, 0.2–0.75 kg P (P2O5), 1.0–1.98 kg K (K2O) are required. The order of nutrient absorption in soybean was N > K > P. Soybean stakes are more fattening crops, because the formation of nutrients such as protein and fat in soybeans requires high nutrient amounts, especially N, P, and K. For every 100 kg of soybean produced, 5.3–7.2 kg N, 1–1.8 kg P (P2O5), and 1.3–4.0 kg K (K2O) are required.
The experimental site is a rectangular block with an area of 567 m2, with nine fertilizer treatments, each with three replicates, in 3 × 7 m plots (Table 2 and Figure 2 and Figure 3). The N fertilizer was urea, while the P fertilizer was diammonium phosphate. The nine fertilization treatments were as follows: no N and no P applied (CK), 120 kg ha−1 N applied and no P (N1P0), 240 kg ha−1 N applied and no P (N2P0), 45 kg ha−1 P applied and no N (N0P1), 90 kg ha−1 P applied and no N (N0P2), 120 kg ha−1 N and 45 kg ha−1 P applied (N1P1), 240 kg ha−1 N and 45 kg ha−1 P applied (N2P1), 120 kg ha−1 N and 90 kg ha−1 P applied (N1P2), 240 kg ha−1 N and 90 kg ha−1 P applied (N2P2). N fertilizer was applied in two parts; 25% as base fertilizer and 75% at the flowering period, while P fertilizer was applied entirely as base fertilizer. The soil on the Loess Plateau is rich in potassium (K), and the soil total K is relatively high, so that farmers generally apply fertilizers without potassium [23,24]. The millet was fertilized with urea on 27th of April 2017, and supplementary nitrogen fertilizer was added on 3rd of July. Urea fertilizer was added to soybeans on 28th of April 2018, and supplementary nitrogen fertilizer was added on 26th of July.
Table 2.
Experimental design of the different fertilization experiment in Ansai.
Figure 2.
Experimental plot layout. CK: no nitrogen and phosphorus applied; N1P0: 120 kg ha−1 nitrogen and no phosphorus; N2P0: 240 kg ha−1 nitrogen applied and no phosphorus; N0P1: 45 kg P ha−1 phosphorus applied and no nitrogen; N0P2: 90 kg ha−1 phosphorus and no nitrogen; N1P1: 120 kg ha−1 nitrogen and 45 kg ha−1 phosphorus; N2P1: 240 kg ha−1 nitrogen and 45 kg ha−1 phosphorus applied; N1P2: 120 kg ha−1 nitrogen and 90 kg ha−1 phosphorus; N2P2: 240 kg ha−1 nitrogen and 90 kg. ha−1 phosphorus. ha−1 is an area unit, representing per hectare. Kg ha−1 is the amount of fertilizer (by weight) applied per hectare. Consecutive integers (1, 2... 27) indicate the plot number.
Figure 3.
The test field.
2.3. Sampling and Measurement
Soil sample collection method: taking each plot as a unit, the soil sampling point was more than 1 m away from the boundary of the sample plot. Sampling points were randomly selected with an S shape. Surface debris was then removed and soil samples were collected. All soil samples from the same sampling point were combined and were then passed through a 2 mm sieve. Samples were stored and labeled after the relevant sampling information had been recorded. In all the plots, soil samples were collected at 10 cm intervals up to a depth of 100 mm. Soil moisture was measured every 10 cm with a neutron moisture meter up to a depth of 100 cm. The soil samples were transported to the laboratory and were air-dried naturally, plant roots and other impurities removed, and the SOM, soil total N, and soil total P measured. The water consumed by weight was multiplied with the soil bulk density to obtain the water consumption by volume. Crop yield in the plots was expressed per m2, based on three 1 m2 quadrats randomly selected in each plot. Furthermore, soil water consumption was determined using the oven-drying method. SOM, total N, and total P were determined using the H2SO4–K2Cr2O7 method [25], Kjeldahl method [26], and colorimetrically using the ammonium molybdate method [27], respectively. The 2017 millet was harvested on 12th of October, and the 2018 soybean crop was harvested on 4th of October. In 2017, soil moisture content before sowing was measured on 26th of April, and post-harvest moisture was measured on 13th of October. In 2018, soil moisture content before sowing was measured on 20th of April, and post-harvest moisture was measured on 5th of October.
2.4. Calculations and Statistics
The water stored in the soil, water consumption during the crop growing season, and WUE were calculated using the following equations (Equations (1)–(3)):
where Sw (mm) is the sum of soil water stored in different soil layers; Di (g cm−3) is the soil bulk density in different soil layers; Hi (cm) is the soil depth; B is the percentage of soil moisture in weight; ET (mm) is the water consumption during the crop-growing season. W1 (mm) is the water storage at 0–100 cm soil depth during sowing. W2 (mm) is the water stored at 0–100 cm soil depth in the harvesting season; P (mm) is the precipitation during the overall crop growth period; WUE represents water use efficiency (kg ha−1 mm−1); and Y is the crop yield (kg ha−1).No irrigation was carried out during any experimental year. The area where the experiment was carried out was flat. Therefore, the present study ignored soil water run-off and deep drainage.
One-way analysis of variance was used to examine the effects of fertilization treatment on SOM, soil total N, soil total P, soil water consumption, soil WUE, and crop yield (p < 0.05). Before the statistical analyses, we performed tests of normality and homogeneity. A Pearson’s correlation analysis was also performed to explore the relationships among SOM, soil total N, soil total P, soil water consumption, soil WUE, and crop yield. All statistical analyses were performed using IBM SPSS Statistics ver. 26.0 (IBM Corp., Armonk, NY, USA). The differences between the treatments were calculated using the least significant difference test at 0.05 probability level. Figures were illustrated using Origin ver. 9.0 (OriginLab, Northampton, MA, USA).
3. Results
3.1. Soil Nutrients
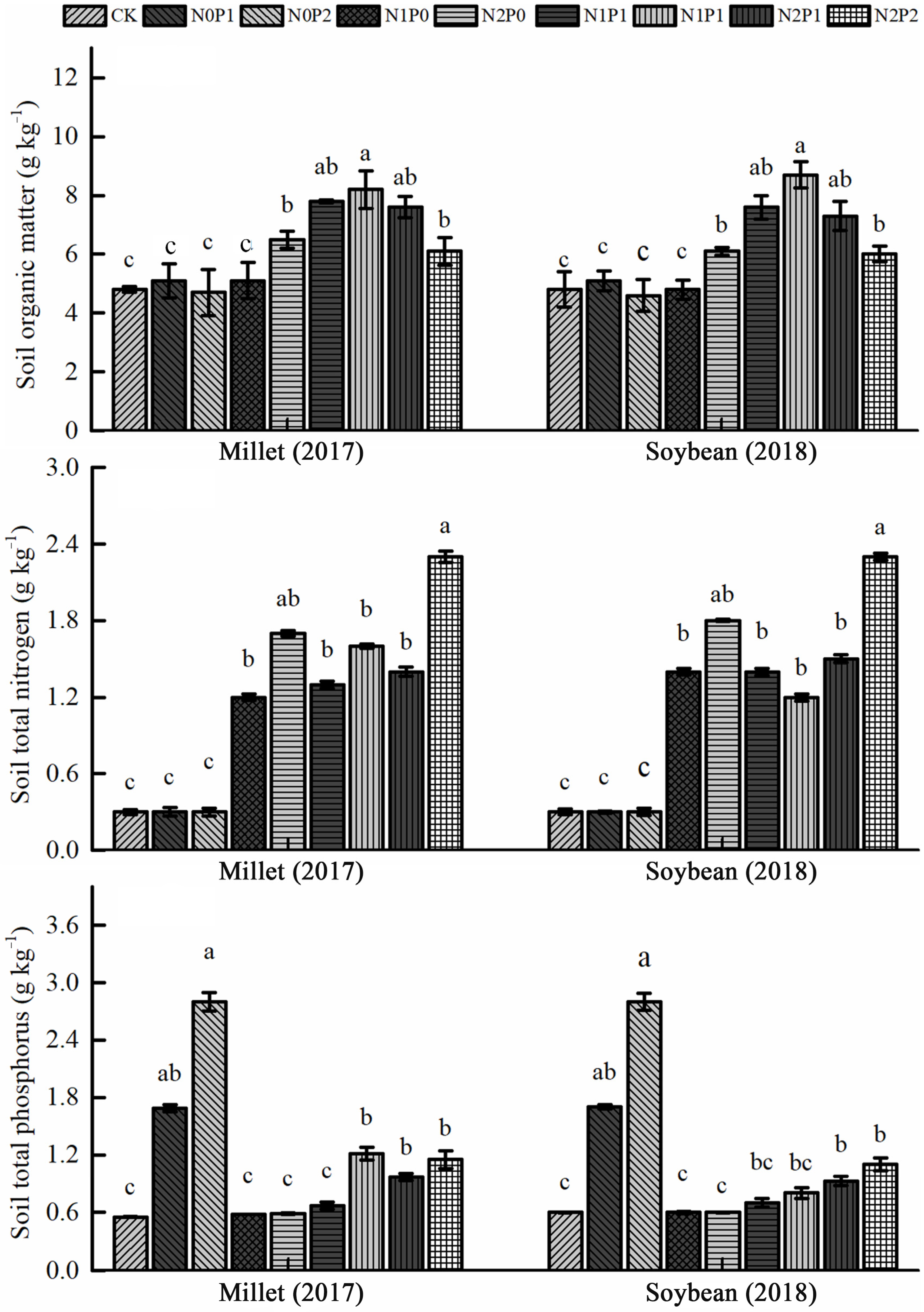
The SOM in N2P0, N1P1, N1P2, N2P1, and N2P2 treatments increased significantly when compared to CK, by 35.4, 62.5, 70.8, 58.3, and 27.1%, in 2017, respectively, and by 27.1, 58.3, 81.3, 52.1, and 25%, in 2018, respectively. Soil total N in N1P0, N2P0, N1P1, N1P2, N2P1, and N2P2 treatments increased significantly when compared to CK, by 300.0, 466.7, 333.3, 433.3, 366.7, and 666.7%, respectively, in 2017, and by 368.2, 502.0, 368.2, 301.3, 401.7, and 669.2%, respectively, in 2018. Soil total P in N2P1, N0P2, N1P2, N2P1, and N2P2 treatments increased significantly when compared to of the concentrations in CK in 2017 and in 2018, by 204.4, 405.2, 118.2, 74.7, and 107.5%, respectively, in 2017, and by 183.3, 366.7, 33.3, 54.0, and 83.3%, respectively, in 2018 (Figure 4).
Figure 4.
Soil nutrients under different fertilization treatments in 2017 and 2018. Notes: bars with the same letter for the same year are not significantly different at p < 0.05. Error bars are standard errors of the means. CK: no nitrogen and no phosphorus; N1P0: 120 kg ha−1 nitrogen applied and no phosphorus; N2P0: 240 kg ha−1 nitrogen and no phosphorus; N0P1: 45 kg P ha−1 phosphorus and no nitrogen; N0P2: 90 kg ha−1 phosphorus and no nitrogen; N1P1: 120 kg ha−1 nitrogen and 45 kg ha−1 phosphorus; N2P1: 240 kg ha−1 nitrogen and 45 kg ha−1 phosphorus; N1P2: 120 kg ha−1 nitrogen and 90 kg ha−1 phosphorus; N2P2: 240 kg ha−1 nitrogen and 90 kg ha−1 phosphorus.
3.2. Water Consumption (ET) and Soil Water Use Efficiency
Water consumption (ET) in the two experimental years was similar across different treatments, and increased after fertilization (Figure 5). In brief, compared to CK, the ET in N0P1, N0P2, N1P0, N2P0, N1P1, N1P2, N2P1, and N2P2 treatments increased by 1.7, 4.7, 2.1, 4.7, 5.5, 6.7, 7.3, and 7.8%, respectively, in 2017, and by 1.6, 2.0, 1.7, 2.1, 2.9, 6.0, 6.3, and 6.5%, respectively in 2018.
Figure 5.
Soil water consumption under different fertilization regimes. Notes: bars with the same letter for the same year are not significantly different at p < 0.05. Error bars are standard errors of the means. CK: no nitrogen and no phosphorus; N1P0: 120 kg ha−1 nitrogen applied and no phosphorus; N2P0: 240 kg ha−1 nitrogen and no phosphorus; N0P1: 45 kg P ha−1 phosphorus and no nitrogen; N0P2: 90 kg ha−1 phosphorus and no nitrogen; N1P1: 120 kg ha−1 nitrogen and 45 kg ha−1 phosphorus; N2P1: 240 kg ha−1 nitrogen and 45 kg ha−1 phosphorus; N1P2: 120 kg ha−1 nitrogen and 90 kg ha−1 phosphorus; N2P2: 240 kg ha−1 nitrogen and 90 kg ha−1 phosphorus.
In 2017, the soil WUE increased overall after fertilization (Figure 6). Compared with CK, the soil WUE in N0P1, N0P2, N1P0, N2P0, N1P1, N1P2, N2P1, and N2P2 treatments increased significantly by 101.8, 153.8, 79.5, 92.0, 440.2, 506.3, 488.4, and 515.2%, respectively, in 2017. In 2018, the soil WUE of N0P1, N0P2, N1P1, N1P2, N2P1, and N2P2 treatments increased significantly after fertilization (Figure 6). Compared with CK, the soil WUE in N0P1, N0P2, N1P1, N1P2, N2P1, and N2P22 treatments increased by 234.9, 318.6, 316.3, 367.4, 318.6, and 458.1%, respectively.
Figure 6.
Soil water use efficiency under different fertilization treatments in 2017 and 2018. Notes: bars with the same letter for the same year are not significantly different at p < 0.05. Error bars are standard errors of the means. CK: no nitrogen and no phosphorus; N1P0: 120 kg ha−1 nitrogen applied and no phosphorus; N2P0: 240 kg ha−1 nitrogen and no phosphorus; N0P1: 45 kg P ha−1 phosphorus and no nitrogen; N0P2: 90 kg ha−1 phosphorus and no nitrogen; N1P1: 120 kg ha−1 nitrogen and 45 kg ha−1 phosphorus; N2P1: 240 kg ha−1 nitrogen and 45 kg ha−1 phosphorus; N1P2: 120 kg ha−1 nitrogen and 90 kg ha−1 phosphorus; N2P2: 240 kg ha−1 nitrogen and 90 kg ha−1 phosphorus.
3.3. Crop Yield
When compared with the yield in CK, in 2017, the crop yields in N0P1, N0P2, N1P0, N2P0, N1P1, N1P2, N2P1, and N2P2 treatments increased by 104.3, 164.4, 82.5, 99.8, 467.3, 543.3, 528.6, and 560.1%, respectively. Similarly, in 2018, the crop yields in N0P1, N0P2, N1P0, N2P0, N1P1, N1P2, N2P1, and N2P2 treatments increased significantly, when compared to the CK treatment, by 5, 17, 237.4, 324.6, 325.9, 392.4, 342.6, and 490.8%, respectively (Figure 7).
Figure 7.
Crop yield under different fertilization treatments in 2017 and 2018. Notes: bars with the same letter for the same year are not significantly different at p < 0.05. Error bars are standard errors of the means. CK: no nitrogen and no phosphorus; N1P0: 120 kg ha−1 nitrogen applied and no phosphorus; N2P0: 240 kg ha−1 nitrogen and no phosphorus; N0P1: 45 kg P ha−1 phosphorus and no nitrogen; N0P2: 90 kg ha−1 phosphorus and no nitrogen; N1P1: 120 kg ha−1 nitrogen and 45 kg ha−1 phosphorus; N2P1: 240 kg ha−1 nitrogen and 45 kg ha−1 phosphorus; N1P2: 120 kg ha−1 nitrogen and 90 kg ha−1 phosphorus; N2P2: 240 kg ha−1 nitrogen and 90 kg ha−1 phosphorus.
3.4. Correlation among Different Parameters
In 2017, the soil water consumption, soil WUE and yield were significantly positively correlated with SOM and soil total N (Table 3). In 2018, only soil water consumption was significantly positively correlated with SOM (Table 3). Soil WUE was significantly positively correlated with yield in the two experimental years (Table 3).
Table 3.
Pearson’s correlations among different parameters.
4. Discussion
Previous studies have demonstrated that fertilization increases nutrient concentrations in cropland soils [28,29]. In the present study, following nine fertilization experiments, we observed that SOM and total N content increased significantly when compared to the control conditions, by 27.1–81.3%, and 301.3–669.2%, respectively, only under combined N and P application, over a two-year period.
Fertilization significantly increased crop yield, hypothesis 1 was confirmed; while combined N and P fertilization (240 kg ha−1 N and 90 kg ha−1 N) resulted in the greatest increase in crop yield, hypothesis 2 was confirmed, after the single P fertilizer application, and single N fertilizer application. The control treatment, which consisted of neither P nor N fertilizer application, had the least effect on crop yield (Figure 7). N and P are essential nutrients for crop growth and development. The absorption and assimilation of N and P influence crop growth and development, and in turn, crop yield [30,31,32].
Studies have also demonstrated that soil bulk density decreases following fertilizer application, resulting in improved effective moisture diffusivity, soil thermal conductivity, and soil gas ratio, which promote crop growth and development [33]. Increased water retention following N and P fertilizer application is conducive to the formation, transfer, and absorption of soil nutrients, and promotes the decomposition of fertilizer, improves fertilizer utilization, reduces soil compaction, improves the tightness of soil particles, and facilitates adequate soil oxygen supply, in addition to reducing root penetration resistance [34]. A previous study reported that N and P fertilizer application in combination did not result in increased crop yields [28], which is inconsistent with the findings of the present study. The inconsistent observations could be due to different climatic conditions, soil texture, and rotation systems in the two studies.
Our results also demonstrate that fertilization can increase soil water consumption and soil WUE, and hypothesis 1 was confirmed. These increased from 1.6–7.8% and 79.5–515.2%, respectively, when compared to CK, following fertilization. Fertilization could increase soil nutrients and increase evapotranspiration rates in the leaves, in turn, improving the upward translocation of deep soil water for absorption and utilization by crops, which would improve soil moisture bioavailability [35]. Fertilization could also increase soil total porosity, total water consumption by crops, and soil WUE [36]. Numerous studies have demonstrated that fertilization practices influence soil water consumption significantly. The application of high rates of N and P fertilizer jointly led to the consumption of higher soil water amounts due to higher crop yield [37], indicating that higher rates of fertilizer application increase soil water consumption. In other studies, high fertilization rates improved soil properties and facilitated root extension to deeper levels and enhanced nutrient supply [38]. Increased root proliferation increases the volume of soil colonized, thereby reducing the probability of plant growth limitation during intermittent periods of drought [39,40].
We observed that using the N–P compound fertilizer (240 kg ha−1 nitrogen and 90 kg ha−1 phosphorus) in the present study, hypothesis 2 was confirmed, making it an appropriate fertilization treatment for improving soil water consumption and soil WUE. This treatment could facilitate the effective exploitation of the limited water resources in dryland regions where efforts are being made to implement sustainable cropping systems for dryland crops. The combined N and P application could promote the formation of a favorable soil aggregate structure (increasing the proportion of water-stable aggregates >0.25 mm in the soil) and improve soil microbial activity, which would, in turn, accelerate fertilizer use, and enhance the capacity of soil to maintain fertilizer supply [41]. Combined N and P fertilization would provide the N required for the growth of vegetative and reproductive organs, thereby increasing yield [42,43]. Combined N and P fertilization could maintain stable pH levels in soil, decrease the rate of soil acidification, improve the rhizosphere environment, and enhance soil capacity to maintain fertilizer supply to crops [44,45]. Furthermore, combined N and P fertilizer application could improve soil pore water and improve the soil micro-ecosystem, which would enhance soil conservation and the capacity to maintain fertilizer supply.
We also observed that soil water consumption, soil WUE, and crop yield were positively correlated with SOM and soil total N in 2017. The results indicated that the soil WUE and crop yield increased with an increase in soil nutrients. However, in 2018, soil WUE and crop yield did not exhibit any correlation with soil nutrients concentration, which could be attributed to changes in the physiological conditions of the planted crops. Soybeans are leguminous plants and have a high N-fixing capacity, so that they are less affected by N nutrient concentrations.
5. Conclusions
Rational fertilizer application could facilitate sustainable and effective exploitation of available rainfall resources. The results of the present study revealed a single application of treatment fertilizer and combined application of N and P fertilizers could increase crop yield and soil water consumption, and improve soil WUE, while satisfying crop growth and development requirements. In addition, combined N and P application (240 kg ha−1 N and 90 kg ha−1 P) increased soil WUE and crop yield in dryland agricultural production to a greater extent, suggesting that the combined application of N and P fertilizer (240 kg ha−1 N and 90 kg ha−1 P) should be promoted in arid and semi-arid areas to enhance agricultural production.
Author Contributions
The research design was completed by Q.L. and H.X. The manuscript was written by Q.L. and X.M. The collection and analysis of samples were performed by G.Z., P.G. and W.S. All authors have read and agreed to the published version of the manuscript.
Funding
This research was supported by the China European Union European Soil-Crop System Water Resources Management Innovation Research Platform (2017YFE0118100), and the National Science Foundation of China (41390463).
Acknowledgments
Many thanks to Wen Zhang for technical assistance in the laboratory work. We would like to thank Pei Ge and Ruixi Liu for providing statistics assistance.
Conflicts of Interest
The authors declare no conflicts of interest.
References
- Chaab, A.; Savaghebi, G.R.; Motesharezadeh, B. Differences in the zinc efficiency among and within maize cultivars in a calcareous soil. Asian J. Agric. Sci. 2011, 3, 26–31. [Google Scholar]
- Eisvand, H.R.; Kamaei, H.; Nazarian, F. Chlorophyll fluorescence, yield and yield components of bread wheat affected by phosphate bio-fertilizer, zinc and boron under late-season heat stress. Photosynthetica 2018, 56, 1287–1296. [Google Scholar] [CrossRef]
- Amoah, A.A.; Masateru, S.; Shuichi, M.; Kengo, I. Effects of soil fertility management on growth, yield, and water-use efficiency of maize and selected soil properties. Commun. Soil Sci. Plant Anal. 2012, 43, 924–935. [Google Scholar] [CrossRef]
- Zhang, L.; Yan, M.; Li, H.; Ren, Y.; Siddique, K.H.M.; Chen, Y.; Zhang, S. Effects of zinc fertilizer on maize yield and water-use efficiency under different soil water conditions. Field Crops Res. 2020, 248, 107718. [Google Scholar] [CrossRef]
- Li, P.; Zhang, J.; Qi, X.; Du, Z.; Guo, W.; Zhang, Y.; Zhao, Z. The responses of soil function to reclaimed water irrigation changes with soil depth. Desalin. Water Treat. 2018, 122, 100–105. [Google Scholar] [CrossRef]
- Hamdy, A.; Ragab, R.; Scarascia-Mugnozza, E. Coping with water scarcity: Water saving and increasing water productivity. Irrig. Drain. 2003, 52, 3–20. [Google Scholar] [CrossRef]
- Xu, H.; Qu, Q.; Li, P.; Guo, Z.; Wulan, E.; Xue, S. Stocks and stoichiometry of soil organic carbon, total nitrogen, and total phosphorus after vegetation restoration in the loess hilly region, China. Forests 2019, 10, 27. [Google Scholar] [CrossRef]
- Xu, H.; Wang, X.; Qu, Q.; Zhai, J.; Song, Y.; Qiao, L.; Liu, G.; Xue, S. Cropland abandonment altered grassland ecosystem carbon storage and allocation and soil carbon stability in the loess hilly region, China. Land Degrad. 2020, 31, 1001–1013. [Google Scholar] [CrossRef]
- Zhang, K.; Greenwood, Q.J.; White, P.J.; Burns, I.J. A dynamic model for the combined effects of N, P and K fertilizers on yield and mineral composition: Description and experimental test. Plant Soil 2007, 298, 81–98. [Google Scholar] [CrossRef]
- Ye, Y.; Liang, X.; Chen, Y.; Liu, J.; Gu, J.; Guo, R.; Li, L. Alternate wetting and drying irrigation and controlled-release nitrogen fertilizer in late-season rice. Effects on dry matter accumulation, yield, water and nitrogen use. Field Crops Res. 2013, 144, 212–224. [Google Scholar] [CrossRef]
- Kwon, S. Application effect of organic fertilizer and chemical fertilizer on the watermelon growth and soil chemical properties in greenhouse. Korean Soc. Environ. Agric. 2020, 31, 1–8. [Google Scholar]
- Guo, Q.; Cheng, C.; Jiang, H.; Liu, B.; Wang, Y. Comparative rates of wind and water erosion on typical farmland at the northern end of the loess plateau, China. Geoderma 2019, 352, 104–115. [Google Scholar] [CrossRef]
- Zhong, Y.; Shangguan, Z. Water consumption characteristics and water use efficiency of winter wheat under long-term nitrogen fertilization regimes in northwest China. PLoS ONE 2014, 9, e98850. [Google Scholar] [CrossRef] [PubMed]
- Yu, H.; Ding, W.; Luo, J.; Geng, R.; Cai, Z. Long-term application of organic manure and mineral fertilizers on aggregation and aggregate-associated carbon in a sandy loam soil. Soil Tillage Res. 2012, 124, 170–177. [Google Scholar] [CrossRef]
- Wang, J.; Liu, W.Z.; Dang, T.H.; Sainju, U.M. Nitrogen fertilization effect on soil water and wheat yield in the Chinese loess plateau. Agron. J. 2013, 105, 143–149. [Google Scholar] [CrossRef]
- Zhang, Y.; Peng, M.; Wang, J.; Gao, Q.; Cao, M.; Yang, Z. Corn yield response to phosphorus fertilization in northeastern China. Agron. J. 2015, 107, 1135–1140. [Google Scholar] [CrossRef]
- Laxminarayana, K.; John, K.S.; Ravindran, C.S.; Naskar, S.K. Effect of lime, inorganic, and organic sources on soil fertility, yield, quality, and nutrient uptake of sweet potato in alfisols. Commun. Soil Sci. Plan. 2011, 42, 2515–2525. [Google Scholar] [CrossRef]
- Tahir, M.; Khan, A.; Batool, M.; Zeeshan, H.M.; Iqbal, M.; Khan, A.G. Effect of dairy manure and rice planting methods on yield, soil quality, water-use efficiency, and economics of rice and succeeding wheat crop. Commun. Soil Sci. Plan. 2012, 43, 1897–1914. [Google Scholar] [CrossRef]
- Belay, A.; Claassens, A.S.; Wehner, F.C. Effect of direct nitrogen and potassium and residual phosphorus fertilizers on soil chemical properties, microbial components and maize yield under long-term crop rotation. Biol. Fert. Soils. 2002, 35, 420–427. [Google Scholar]
- Buwalda, J.G.; Lenz, F. Effects of cropping, nutrition and water-supply on accumulation and distribution of biomass and nutrients for apple-trees on m9 root systems. Physiol. Plantarum. 1992, 84, 21–28. [Google Scholar] [CrossRef]
- Chen, Y.; Liu, L.; Guo, Q.; Zhu, Z.; Zhang, L. Effects of different water management options and fertilizer supply on photosynthesis, fluorescence parameters and water use efficiency of Prunella vulgaris seedlings. Biol. Res. 2016, 49, 12–21. [Google Scholar] [CrossRef] [PubMed]
- Gowing, J.; Rose, D.; Ghamarnia, H. The effffect of salinity on water productivity of wheat under defificit irrigation above shallow groundwater. Agric. Water Manag. 2009, 96, 517–524. [Google Scholar] [CrossRef]
- Wang, X.; Jia, Z.; Liang, L.; Yang, B.; Ding, R.; Nie, J.; Wang, J. Impacts of manure application on soil environment, rainfall use efficiency and crop biomass under dryland farming. Sci. Rep. 2016, 6, 20994. [Google Scholar] [CrossRef]
- Wang, Q.; Chen, H.; Li, H.; Li, W.; Wang, X.; McHugh, A.D.; He, J.; Gao, H. Controlled traffic farming with no tillage for improved fallow water storage and crop yield on the Chinese loess plateau. Soil Till. Res. 2009, 104, 192–197. [Google Scholar]
- Nelson, D.W.; Sommers, L.E. Total carbon, organic carbon and organic matter. In Methods of Soil Analysis, 3rd ed.; John Wiley & Sons: Hoboken, NJ, USA, 1982. [Google Scholar]
- Bremner, J.; Mulvaney, C. Nitrogen-total: Methods of soil analysis chemical methods part 3. Soil Sci. Soc. Am. 1996, 72, 532–535. [Google Scholar]
- Schimel, J.P.; Weintraub, M.N. The implications of exoenzyme activity on microbial carbon and nitrogen limitation in soil: A theoretical model. Soil Biol. Biochem. 2003, 35, 549–563. [Google Scholar] [CrossRef]
- Manna, M.; Swarup, A.; Wanjari, R.; Ravankar, H.; Mishra, B.; Saha, M. Long-term effect of fertilizer and manure application on soil organic carbon storage, soil quality and yield sustainability under sub-humid and semi-arid tropical india. Field Crops Res. 2005, 93, 264–280. [Google Scholar] [CrossRef]
- Zou, Y.; Fan, J. Review on effect of organic fertilizer on soil fertility. Chin. Agric. Sci. Bull. 2013, 29, 12–16. [Google Scholar]
- Yin, Y.; Ying, H.; Zheng, H.; Zhang, Q.; Xue, Y.; Cui, Z. Estimation of NPK requirements for rice production in diverse Chinese environments under optimal fertilization rates. Agric. Forest Meteorol. 2019, 279, 107756. [Google Scholar] [CrossRef]
- Adimassu, Z.; Langan, S.; Johnston, R.; Mekuria, W.; Amede, T. Impacts of soil and water conservation practices on crop yield, run-off, soil loss and nutrient loss in Ethiopia: Review and synthesis. Environ. Manag. 2017, 59, 87–101. [Google Scholar] [CrossRef]
- Lu, J.; Yang, M.; Liu, M.; Lu, Y.; Yang, H. Nitrogen and phosphorus fertilizations alter nitrogen, phosphorus and potassium resorption of alfalfa in the Loess Plateau of China. J. Plant Nutr. 2019, 42, 2234–2246. [Google Scholar] [CrossRef]
- Chen, Y.; Ren, K.; Su, J.; He, X.; Zhao, G.; Hu, B.; Chen, Y.; Xu, Z.; Lin, Y.; Zou, C. Rotation and organic fertilizers stabilize soil water-stable aggregates and their associated carbon and nitrogen in flue-cured tobacco production. J. Soil Sci. Plant Nutr. 2020, 20, 192–205. [Google Scholar] [CrossRef]
- Yan, W.; Zhong, Y.; Shangguan, Z. The relationships and sensibility of wheat c:n:p stoichiometry and water use efficiency under nitrogen fertilization. Plant Soil Environ. 2015, 61, 201–207. [Google Scholar] [CrossRef]
- Ameen, A.; Liu, J.; Han, L.; Xie, G. Effects of nitrogen rate and harvest time on biomass yield and nutrient cycling of switchgrass and soil nitrogen balance in a semiarid sandy wasteland. Ind. Crop. Prod. 2019, 136, 1–10. [Google Scholar] [CrossRef]
- Samuelson, L.; Kane, M.; Markewitz, D.; Teskey, R.; Akers, K.; Stokes, T.; Pell, C.; Qi, J. Fertilization increased leaf water use efficiency and growth of Pinus taeda subjected to five years of throughfall reduction. Can. J. Forest Res. 2018, 48, 227–236. [Google Scholar] [CrossRef]
- Tamaki, M.; Tashiro, T.; Yamamoto, Y. Effects of shading and fertilized nitrogen levels on the growth, yield components and physicochemical properties of rice. Jpn. J. Crop Sci. 1997, 66, 708–709. [Google Scholar] [CrossRef]
- Ma, N.; Li, T.; Wu, C.; Zhang, E. Effect of long-term fertilization on soil enzyme activities and soil physicochemical properties of facility vegetable field. Chin. J. Appl. Ecol. 2010, 21, 1766–1771. [Google Scholar]
- Tang, H.; Xu, Y.; Sun, J. Soil enzyme activities and soil microbe population as influenced by long term fertilizer management under an intensive cropping system. J. Pure Appl. Microbiol. 2014, 8, 15–23. [Google Scholar]
- De Kauwe, M.G.; Medlyn, B.E.; Zaehle, S.; Walker, A.P.; Dietze, M.C.; Hickler, T. Forest water use and water use efficiency at elevated co\r, 2\r,: A model-data intercomparison at two contrasting temperate forest face sites. Glob. Chang. Biol. 2013, 19, 1759–1779. [Google Scholar] [CrossRef]
- Ibrahim, A.; Abaidoo, R.C.; Fatondji, D.; Opoku, A. Hill placement of manure and fertilizer micro-dosing improves yield and water use efficiency in the Sahelian low input millet-based cropping system. Field Crops Res. 2015, 180, 29–36. [Google Scholar] [CrossRef]
- Roland, K.; Lemke, R.; Desjardins, R.L.; Campbell, C.A.; Zentner, R.P.; Steppuhn, H. Nitrogen and phosphorus effects on water use efficiency of spring wheat grown in a semi-arid region of the Canadian prairies. Can. J. Soil Sci. 2012, 4, 573–587. [Google Scholar]
- Liu, J.; Yang, Y.; Gao, B.; Li, Y.; Xie, J. Bio-based elastic polyurethane for controlled-release urea fertilizer: Fabrication, properties, swelling and nitrogen release characteristics. J. Clean. Prod. 2018, 209, 528–537. [Google Scholar] [CrossRef]
- Fan, T.; Stewart, B.; Yong, W.; Junjie, L.; Guangye, Z. Long-term fertilization effects on grain yield, water-use efficiency and soil fertility in the dryland of Loess Plateau in China. Agric. Ecosyst. Environ. 2005, 106, 313–329. [Google Scholar] [CrossRef]
- Edmeades, D.C. The long-term effects of manures and fertilisers on soil productivity and quality: A review. Nutr. Cycl. Agroecosyst. 2003, 66, 165–180. [Google Scholar] [CrossRef]
© 2020 by the authors. Licensee MDPI, Basel, Switzerland. This article is an open access article distributed under the terms and conditions of the Creative Commons Attribution (CC BY) license (http://creativecommons.org/licenses/by/4.0/).






