Abstract
This paper presents the comparison of heavy metals accumulation in spider webs from Agelenidae family (Eratigena atrica and Agelena labyrinthica) and lichens Hypogymnia physodes, exposed to pollution for two months. Webs were obtained from the laboratory-reared spiders and stretched on Petri dish while lichens were transplanted from Stobrawa Landscape Park into the study area. Concentrations of Cu, Zn, Ni, Pb and As were determined in both biomonitors and the elevated values indicated the impact of the copper smelter and surrounding roads. Our study revealed that webs were more sensitive than lichens to emissions of pollutants, and for all of the studied elements, the determined concentrations were much higher for spider webs. The results of similarity tests showed a clear difference among the concentrations of Cu, Zn, Ni and As in lichens and spider webs, with the exception of Pb, suggesting that this element could be accumulated in a similar way by both bioindicators. These differences are probably due to their morphological and ecological dissimilarities suggesting that spider webs should be favorably applied where the use of lichens is improper due to the drought, which is an unfavorable condition for accumulation of elements in lichens, or their limited uptake of elements.
1. Introduction
Biomonitoring of air pollutants with the application of lichens has become very popular over the years [1]. Lichens are an especially good tool for this purpose as they do not have a well-developed cuticle, and they also do not have roots that are able to absorb water and minerals since they are strictly dependent on atmospheric deposition [2]. Lichens have been successfully used for more than 30 years for the assessment of the atmospheric deposition of heavy metals in different areas [3,4].
In industrial or urban sites, the lichens occur rarely or are even absent, therefore the “bags technique” was developed and successfully applied [5]. Bags usually contain nylon mesh with water-washed lichens. The following advantages of this method are underlined: the exactly defined entrapment surface and time of exposure, the possibility of site selection, the defined initial concentrations of pollutants in lichens and general greater efficiency of samples collection, the exclusion of possible contamination deriving from root uptake, which is probable when we use dust fall jars or bulk samplers; and finally, this method is cheap and effective [3]. The biggest drawback of the bag method is that the collection efficiency for various contaminants is not defined. This was studied for mosses [6]. The authors suggest that data reflects relative rates of deposition but cannot be applied as the total atmospheric load of contaminants. Garty et al. [7] indicated another problem connected with applying this matrix, as it could reach a saturation point for the uptake of studied metal, thus, the further accumulation is not possible. Climate and other environmental conditions may also influence the results of biomonitoring with lichens.
On the other hand, spider webs are a quite new tool and they are not as commonly used as other bioindicators, although they are present almost everywhere [8,9,10,11,12]. Unlike lichens, they are common in the natural environment as well as in industrialized urban areas. Webs accumulate pollutants efficiently, therefore they are an excellent source of information on the environment quality.
The major advantages of webs’ application are: common availability of webs, very convenient location (they are usually woven in secluded places) preventing them from being destroyed by weather conditions (rain, wind etc.), low cost, easy samples’ collection and non-invasiveness of studies. Webs are also a non-specific and universal tool as they do not need any preparation before sampling. They are organic, natural and environment-friendly products which do not need to be degraded (no waste production, e.g., used sorbents). Furthermore, spiders can be bred under laboratory conditions and obtained webs can be also used in any place in the same way as lichens or moss bags. Finally, it is also possible to define the exposure time by removing the old web and using only a new construction, or by applying the web obtained in the laboratory.
However, no investigations have focused on the comparison of the accumulation capacity of the two types of organisms so far. Therefore, the aim of our study was to compare these two bioindicators to assess their efficiency and relevance for the bioindication purposes. To accomplish this aim, we determined the selected metals in the vicinity of a copper smelter, which is known for its impact on the air and soil pollution in the studied region.
2. Materials and Methods
2.1. Study Area
The research was carried out in Legnica, western Poland (Figure 1), where a copper smelter and refinery (KGHM) is located. This smelter is known to have an adverse effect on the environment, i.e., air [13] as well as on the soil, in which a high proportion of anthropogenic lead can be noted [14]. Its tasks include many operations, from mining to the manufacture of fabricated metal products. The main products of KGHM are electrolytic copper in the form of cathodes and refined silver and lead. The smelter was opened in 1953 and at the beginning, it emitted fly ash materials, containing large amounts of metals. In the 1980s and 1990s, the emission was significantly reduced [15]. Additionally, between 1995 and 2000, some serious steps were undertaken, and in 2000, the total dust emission was 96.6% smaller comparing to 1995 [13]. Despite this, nowadays, there can be found high amounts of hazardous substances in the studied area. In the Information On Air Quality In The Area Of Legnica City [16], presented by Provincial Inspectorate for Environmental Protection (WIOS), high levels of arsenic were determined when analyzing PM10 particles. What is more, high levels of polycyclic aromatic hydrocarbons (PAHs) were found in the air. The measured mean annual concentration of benzo(a)pyrene was 603% of the target level. According to the Provincial Inspectorate for Environmental Protection report [16] measured lead concentrations decreased by 38%, cadmium by 52% and nickel by 35% when comparing to results from 2005. An increase was observed when analyzing arsenic levels. Compared to 2005, its concentration enlarged by 127% [16].
Figure 1.
Localization of study area and sampling points in the vicinity of copper smelter “Legnica”.
2.2. Materials and Methods
In this study, the transplantation method of lichens and spider webs was performed. The epiphytic lichen Hypogymnia physodes (L.) was chosen as a bioindicator of air pollution studies. This lichen is commonly applied when assessing air quality in Poland [17,18,19], Russia [20], Slovenia [21], and Republic of Macedonia [22] which indicates its usefulness.
Control lichens were collected in Stobrawa Landscape Park (Stobrawski Park Krajobrazowy) and then transplanted for 2 months (August to October 2019) to 10 study sites (SM Table S1), distributed around “Legnica” copper smelter in Legnica (Figure 1). Element content in control lichens samples, performed preliminary, were as follows: 5 ± 1.4 μg/g for Cu, 45 ± 15.5 μg/g for Zn, 1.2 ± 0.53 μg/g for Ni, 9 ± 2.7 μg/g for Pb, 0.2 ± 0.04 μg/g for As. About six branches with lichens, ca. 15 cm long each, were tied up with a fishing line and hung in each sampling point on trees at a height of 1.5 m. After the exposition, lichens were collected, separated from bark of branches and stored in paper bags, pending further investigation. Then, the thalli samples were homogenized. The 0.1 g of each sample was mineralized in 65% HNO3 Sigma Aldrich Suprapur using Velp DKL 8 (digestion for 10 min at 100 °C and then for 50 min at 120 °C) in order to acquire total concentrations of metals. Obtained solutions were filtrated and filled up to 10 mL with ultrapure water in glass volumetric flasks and analyzed with the methods described below.
Spider webs of the Agelenidae family (Eratigena atrica (C.L. KOCH, 1843), Agelena labyrinthica (CLERCK, 1757)) were used for this study. Webs woven by these spiders are characterized by a horizontal flat sheet, built from irregular dense threads, and a funnel-shaped tunnel where the spider hides [23]. The specific construction of the web makes it a good trap for air pollution, even though the webs woven by these spiders are not sticky. Spiders from this family occur in dark corners in houses, basements, as well as in grasses and low bushes. What is more, they can be easily bred in laboratory conditions. Agelenidae do not have the habit of eating their own web [24], which is an important feature, allowing to obtain clean spider web and using it for transplantation in the studied area. Webs of other Agelenids can be also used in such studies [10,11].
To avoid uncontrolled contamination of webs by metals built in the threads, we used webs obtained from laboratory-bred spiders. Samples of already woven webs were stretched over Petri dishes and left for continuous exposure to pollutants in the same locations as lichens, attached with Petri dishes to the branches of trees (SM Table S1). After approximately two months of exposition, all webs were collected using glass baguettes and stored in sterile glass vials pending further analyses. The preliminary concentrations (pre-exposure) for webs produced by spiders in laboratory was previously checked and revealed the absence of studied metals. Samples were conditioned for 24 h at 20 °C and 50% relative humidity and then weighed two times using analytical balance Radwag AS 60/C/2 (accuracy 10-5 g, at a temperature of 23 ± 2 °C and relative humidity of 40 ± 5%). Each sample was mineralized in 65% HNO3 Merck Millipore Suprapur using Velp DKL 8 (digestion for 10 min at 100 °C and then for 50 min at 120 °C). Obtained solutions were filtrated using hard filters and filled up to 10 mL with ultrapure water in glass volumetric flasks and analyzed with the methods described below.
The analyses of mineralized samples were performed at the Department of Environmental Engineering, Opole University of Technology. Cu, Zn, Ni and Pb levels were determined in the solutions in three replications using Flame Atomic Absorption Spectrometry (FAAS) method, while the concentration of As was measured using Hydride Generation Atomic Absorption Spectrophotometry (HG-AAS) technique. The analyses were conducted with the use of spectrophotometer Solaar 6M Thermo. The concentration of metals at studied sites was calculated as the arithmetic mean of three independent samples. Quality check for metals and As analyses were performed with Merck standards in 0.1M HNO3 (Merck). Blank samples were usually below the detection limit. Certified reference materials (CRM 482) were used for metal content determination in the samples and the accuracy of digestion and analytical procedures. The recovery of CRM ranged from 90 to 107%.
Surfer 10.0 was used to construct Figure 1 by using Kriging method, which is recommended and considered as one of the most flexible and accurate methods.
2.3. Contamination Factor
In order to assess the level of contamination in the studied area, contamination factor (CF) was calculated. This index is presented as the ratio of the concentration of elements in lichens in the study area to the level of the same elements in the control, not contaminated, area. Considering the paper by Koroleva and Revunkov [20], in which the results were compared with the samples from uncontaminated area, we used the levels estimated by Darnajoux et al. [25] as background, as the lichens studied by them were taken from a pristine area with the negligible human influence.
To interpret the results, six categories of contamination factor values were introduced in Table 1 [20,26].
Table 1.
Categories of contamination factor.
2.4. Statistics
Firstly, the data were described using descriptive statistics measures. In order to decide whether parametric or non-parametric statistics methods should be applied, the Shapiro–Wilk test [27] was used as the test with the highest power [28]. The null hypothesis was that the collected data are normally distributed and p < 0.01. Since all the concentrations are positive numbers, there was an idea to log-transform data if the null hypothesis should be rejected, however, Feng et al. [29] showed that the conclusions drawn from testing log-transformed data do not have to be relevant for the original data set. Considering this, if the result of the Shapiro–Wilk test indicated rejecting the null hypothesis, a non-parametric test would be used for these series. Otherwise, a parametric test would be used.
Then, the lichens and spider webs’ concentrations of given metal were checked whether both have the same average value or not. Depending on the normality, the Welch’s t-test [30] was used for the samples which were normal and the Wilcoxon signed-rank test was used for [31] the others. For both tests, p < 0.05 was used, with the null hypothesis that lichens and spider webs reveal equality of average values. Since the sample size was small, the critical values for the Wilcoxon signed-rank test were taken from tables [32].
The concentration of the metals was also compared between lichens and spider webs at the given sites. To do this, a cosine similarity was used, which is, in fact, the inner product of two vectors of the same dimension divided by the product of their lengths [33]. The vector of concentrations measured on the lichens for a given site was compared with the vector of concentrations on the spider webs for the same site.
All statistical calculations were done using Python 3.7 with the packages of pandas [34], SciPy [35], Matplotlib [36].
2.5. Meteorological/Environmental Parameters
In general, the year 2019 was extremely hot, with the annual average temperature equal to 10.2 °C. During studies, the monthly average temperatures amounted to 21.2 °C, 15.2 °C and 11.5 °C in August, September and October, respectively. In the terms of precipitation, the year was considered dry. In the study area, west or south-west winds dominate while the north-east winds have the smallest share [37,38].
3. Results
The concentration of five elements (Cu, Zn, Ni, Pb, As) was assessed in lichens and spider webs (Figure 2). Analyzed samples revealed varying concentrations of considered metals, with generally higher results for all elements at spider webs.
Figure 2.
Element concentrations in the H. physodes thallus and on spider webs (μg/g). In the plot, the box represents the interquartile range, whiskers are from the minimum to maximum value, and the median is marked with an orange line.
Comparison of median values shows that the most accumulated element in webs was Zn, then in descending order, Cu > Pb > Ni > As. The similar order was established for lichens. The highest values were obtained for Pb, then Zn > Cu > As > Ni (Figure 2). Median values differed significantly between these two bioindicators but Figure 2 shows that Cu, Zn and Pb were established at higher levels when comparing to As and Ni in lichens and spider webs as well. When comparing the median mass of heavy metals on spider webs and lichens, we noticed that for each element, the accumulation on spider webs was greater than in lichens (Figure 2). The median Cu and Zn concentration on spider webs was about 10 times higher than in lichens. Such a situation was also observed when analyzing Ni and As content (accumulation ratio amounted to 84 and 22, respectively). In the case of Pb, the ratio was the lowest (about 3).
Taking into consideration the location of sampling points, most of the highest values were obtained in point number 8, which is consistent with the prevailing wind direction in this area (west wind), thus, it is probable that the concentration of metals there is elevated. The maximum value of Zn was estimated at point 8 (as well in lichens as on spider webs) reaching 185.17 μg/g and 1955.84 μg/g, respectively. The minimum level of Zn was noticed in point 10 for lichens (92.33 μg/g) and 7 for the spider webs (187.79 μg/g) (Figure 3). The presence of this metal in Legnica was analyzed by Konarski et al. [39]. In their study, the presence of Zn was noted in the closest vicinity of Legnica copper plant as well as in the city center (2 km NE of copper plants) and the concentration was two times higher when analyzing the particles from the copper plant. In our study, Zn was one of the three most frequently observed elements. Generally, Zn can be connected with particulate emissions from motor traffic [40] and it was proposed to be a tracer of vehicle emissions by Goix et al. [41]. Therefore, we also suppose that this factor has an impact in our case, as in the study area there are two big roads with heavy traffic nearby (roads: S3 and 3; Figure 1). Road 3 is a national road, while S3 is an express national road. According to the General Measurement Of Traffic, made in 2015, through road S3 cross about 15,000 motor vehicles daily and through road number 3 cross about 12, 000. What is more, in the study area, there is a provincial road located, with daily traffic around 9000 cars [42].
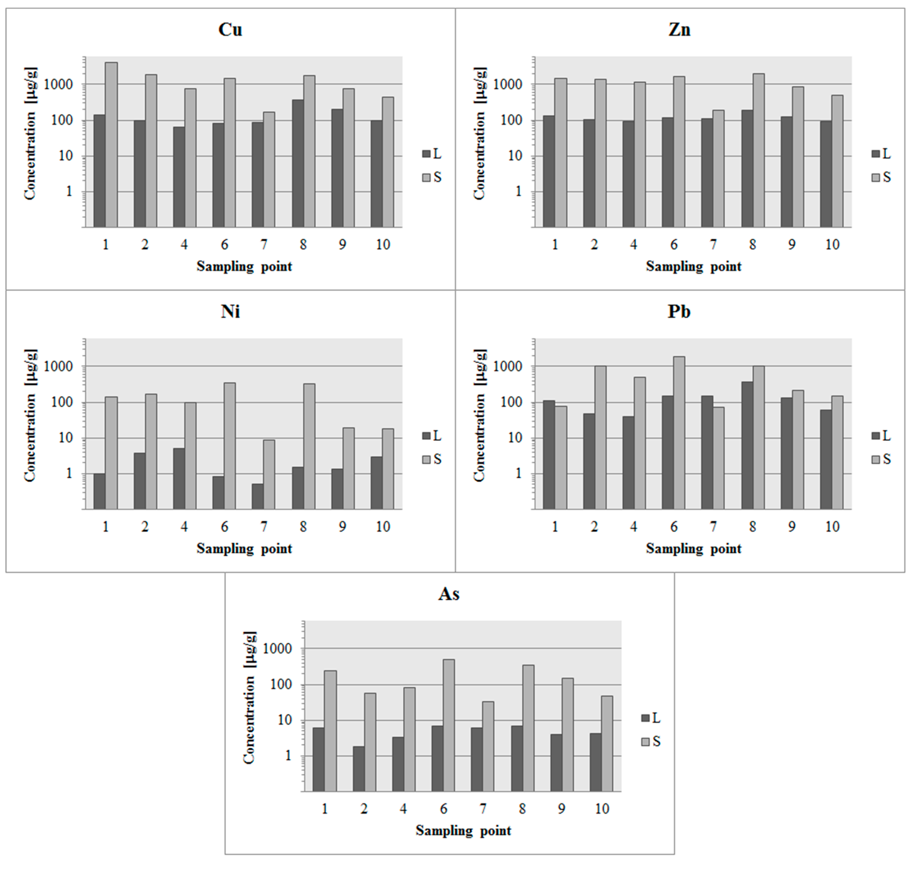
Figure 3.
Comparison of each element concentration in lichens (L) and spider webs (S).
Studies by Konarski [39] showed that there was 340 times less copper in urban aerosol samples (2 km of copper plants) when comparing to the industrial dust. It indicates that high levels of copper in this area might be connected with the processes carried out by copper smelter ”Legnica”. In our research, it was also noticed that in the sampling points, located further away from KGHM, the lowest concentration of Cu was observed (points 3 and 4 for lichens; Figure 3). What is more, two of the highest results were recorded in the sampling points located west of the smelter (points 8 and 9 for lichens, reaching 371.67 and 206 μg/g, respectively). The maximum value of Cu in the spider webs was revealed in sampling point number 1 (4020 μg/g) (Figure 3). The differences between the accumulation in lichens and on spider webs were significant. The deposition of Cu on the spider webs varied between 166.45 and 4020 μg/g while accumulation in lichens ranged from 52 to 371.67 μg/g.
The maximum values of lead were estimated at 356.67 μg/g in sampling point 8 for lichens and at 1869.57 μg/g in sampling point 6 for spider webs (Figure 3). The lowest Pb accumulation in lichens was recorded in points 3 and 4 (the same points as for the lowest Cu content). This might indicate the possible air contamination by copper smelter “Legnica”, whose main products are electrolytic copper and refined lead, only in the nearest parts, close to the smelter. The concentration of lead in lichens varied between 39.5 and 356.67 μg/g, while on spider web, the range was wider with 72.56 to 1869.57 μg/g.
Two of the highest levels of arsenic were found in points 6 and 8 for lichens (6.85 and 6.83 μg/g, respectively) and for spider webs (486.96 and 347 μg/g). The interesting thing is, that spider webs accumulated much bigger amounts of As (range from 33.29 to 486.96 μg/g) comparing to lichens, where accumulation was between 1.80 and 6.85 μg/g (Figure 3).
Additionally, quite large differences were observed between the ranges of accumulated nickel. Concentrations of Ni in lichens varied between 0.5 and 5 μg/g, and on spider webs between 8.54 and 347.83 μg/g. The maximum value of Ni for lichens was determined in point 4, which was inconsistent with the maximum level of Ni accumulated on the spider webs (sampling point 6). The minimal concentration for this element was found in point 7 in the case of both bioindicators (Figure 3).
Based on Figure 3, it can be easily noticed that the maximum values, when examining spider webs, were obtained in points 6 and 8 (both located far from residential buildings; point 6 situated close to mining part of the smelter, on the outskirts of the forest; point 8 positioned about 200 m west from the smelter in the middle of the forest). In the case of Cu, the maximum level for spider webs occurred in sampling point 1 (4020 μg/g). Despite the exact same exposition time, the concentration of analyzed elements in lichens was smaller in almost all cases, when comparing to metals content on spider webs. The exception was recorded only in points 1 and 7 for lead and concentrations in lichens were slightly higher.
3.1. Results of Contamination Factor (CF)
The calculation of CF in our study shows that in the case of Ni and Zn, the contamination is slight. More serious situations are observed for the level of Cu (severe contamination) or Pb which revealed extreme contamination (Table 2). This might confirm the main role of the smelter in the contribution of pollution in this region.
Table 2.
Contamination factor results for lichens.
3.2. Results of the Shapiro–Wilk Test
The sets of metal concentrations in lichens and on spider webs were tested for normality using the Shapiro–Wilk test. The results are presented in Table 3. All the sets, except the set of Cu concentration in lichens, shows no significant difference from the normal distribution (p < 0.01).
Table 3.
Results of the Shapiro–Wilk test for the concentration of elements in lichens and spider webs.
3.3. Results of Tests Comparing Samples
Since only data about Cu concentration do not satisfy normality condition, the Wilcoxon test was used for Cu concentration and the Welch’s t-test for other elements. The results of these tests are presented in Table 4. There is a clear difference between the concentration of Cu, Zn, Ni and As in lichens and on spider webs, while for the Pb, the equality of mean cannot be excluded. This is probably the result of similar ranges of concentration values obtained for both bioindicators as they varied from 39.5 to 1869.57 μg/g, although the values of Pb for lichens were significantly lower than those for spider webs.
Table 4.
Results of the similarity tests between concentration in lichens and on spider webs at given site.
3.4. Results of Cosine Similarity
The sites were also checked whether the concentration in the lichens and concentration in the spider webs are similar or not, as the measure of similarity cosine similarity was used. The results are presented in Table 5. The obtained values show almost excellent agreement for sites 2, 4, 6, and 10, and very good agreement for sites 7, 8, 9. Only at point 1, metals content determined in lichens and on spider webs is not as similar as at sites mentioned previously, however, they are still with good agreement. This is mainly caused by Pb concentration.
Table 5.
The values of cosine similarity between metal concentration in lichens and on spider webs.
Results of similarity analysis between lichens and spider webs at the given site 1, together with results of Welch’s t-test, probably suggest that lichens and spider webs have similar sensitivity as bioindicators for Pb.
4. Discussion
The comparison of two completely different bioindicators, which are spider webs and lichens, have not been conducted before, thus, in the discussion, we are going to focus on comparing our results with other papers concerning either spider webs or lichens.
Analyzing the study conducted by Białońska and Dayan [43], where the lichen transplantation method was used (six months exposition), it can be noted that lichens are an effective tool in assessing the origin of pollution. In their work, the highest Zn and Pb levels were observed in the immediate vicinity of the Zn–Pb smelter “Bolesław” (mean 583 and 123.7 μg/g respectively). The zinc level in our research was almost five times smaller, while lead values were similar in both papers. Smelter “Bolesław” is a bigger smelter comparing to “Legnica”, hence, in the research of Białońska and Dayan [43], Zn concentration was much bigger. The concentration of copper was one order of magnitude higher in the area of Legnica, which is not surprising, as in the studied area there is a copper smelter situated.
The database created by Koroleva and Revunkov [20] is said to be a “reference point” for monitoring studies. They collected wild lichens growing in the Kaliningrad region and Sambian peninsula and then analyses of trace elements concentration in the thalli of lichens were conducted. The exposition time of lichens on pollutants is unknown as the collection of in situ samples was conducted. In the case of Pb, Cu, Ni, Zn, the concentrations were higher in our studies. The differences were much bigger in the case of lead and copper. The content of As in lichens’ thalli was not compared due to the fact that in the Koroleva and Revunkov study [20], this element was not analyzed. Based on their paper, contamination factor was calculated, using element levels noted in North Canada [25] as background. Analyzing our results, the highest CF was recorded for lead (C6), then in descending order, copper (C5), zinc (C3) and nickel (C3). Two out of four calculated contamination factors indicated a serious air pollution problem. Hence, it is supposed that this region is likely affected by anthropogenic emission. In comparison, the Kaliningrad region’s contamination factor was estimated at the C2 category, with exception of two elements, and in the Sambian peninsula, most of the values were classified as C3 [20].
Comparing the accumulation of heavy metals on spider webs with literature results was a little bit more difficult. This is due to the limited number of studies. What is more, in each paper, different elements are considered, distinct spider webs are used and various exposition times are chosen.
Hose et al. [8] carried out analyses of zinc and lead, collected on webs of Badumna socialis and Stiphidion facetum in Australia. They noted 1400 and 800 μg/g for Pb and Zn, respectively, while in this research, it amounted to 613.2 μg/g for Pb and 999.1 μg/g for Zn. The concentration of lead, obtained by Hose et al. [8], was two-fold higher than recorded in this paper. When comparing zinc, higher result was observed in Legnica, despite the fact that the exposition time in our case was three times shorter.
Xiao-li et al. [12] studied the webs of different spider species Achaearanea tepidariorum and Araneus ventricosus. The in situ webs were removed and after seven days, new webs were collected and analyzed for heavy metals contents (Pb, Zn, Cu, Cd). In the case of Pb, Zn and Cu, the levels in the area of Legnica were higher. It must be mentioned that in our study, the exposition time was much longer (two months). Additionally, in Legnica, where the copper smelter and refinery are located, explains why the values of Cu and Pb are one or two orders of magnitude greater in our work.
The comparison with analyses by Rybak [10], conducted in Wroclaw, Poland, seems the most appropriate as the exposition time was the same and collected webs were created by the same family of spiders. In all the cases, heavy metals content was higher in our study (for Ni: 139.7 μg/g and 24 μg/g, for Pb: 613.2 μg/g and 161.1 μg/g, for Zn: 999.1 μg/g and 553 μg/g, in Legnica and Wroclaw respectively). The biggest difference was noted for copper. The mean level of Cu amounted to 93.6 μg/g while its concentration in the present study was estimated at 1412.6 μg/g. Knowing the main pollutants in the area of Legnica, the difference is not that surprising.
Comparing the accumulation on spider webs and in lichens’ thalli with papers mentioned above showed that the values obtained in the area of “Legnica” copper smelter are mostly higher than results presented by other authors. The elevated concentration levels may indicate a serious problem with the air quality in Legnica. This issue needs further investigation to examine if these concentrations of heavy metals can have a negative impact on humans’ health and living organisms.
The interesting thing was observed when comparing these two bioindicators with each other. Lichens are known to be a good tool in assessing air quality and they are widely used. Our results show that the differences in elements’ concentration in lichen thalli may depend on the localization of sampling point and distance from the smelter. Similar observations were noted when analyzing accumulation on spider webs. Additionally, the order of accumulated elements, arranged by quantities, was almost the same in both cases, which gives us a clear signal about the main pollutant in our study area. Even though the exposition time was the same, the significant differences were observed in the orders of magnitude of accumulated elements (Figure 3). The applied statistic tests suggest that lichens and spider webs have similar sensitivity as bioindicators for Pb only. This may lead to the conclusion that spider webs are a more effective bioindicator than lichens. In all the places where concentrations obtained by lichens analyses are low or below the detection limits, spider webs should be used to recheck the air quality. They can give interesting results even if the contamination in lichens is not observed. What is more, the sampling with spider webs could bring more advantages than applying lichens. Previous studies suggest that lichens had a greater affinity for atmophile elements (Hg, Cd, Pb, Cu, V, Zn) than mosses, and mosses’ element composition was additionally influenced by soil, thus, it was necessary to do normalization of total element concentration to selected elements like As or Ti content to assess the origin of elements from the atmosphere [2]. The authors suggest that these two bioindicators cannot be used interchangeably as biomonitors and recommend epiphytic lichens for biomonitoring of atmospheric deposition of trace elements, except S compounds. On the other hand, the comparison between element concentrations in moss and lichen species (Sphagnum capillifolium and Pseudevernia furfuracea) proved that the moss is a more efficient metal accumulator and, unlike lichens, it is not affected by meteorological conditions such as drought [3]. In terms of these findings, the application of spider webs seems to be devoid of such drawbacks.
5. Conclusions
This research was supposed to compare the usefulness of two bioindicators: spider webs and lichens. The median accumulation in transplanted spider webs was far greater when comparing to lichens (in some cases, the differences were about one order of magnitude). Considering these two bioindicators’ ability to accumulate selected elements, spider webs seem a better bio-passive sampler than lichens. Despite such great differences, the order of the most accumulated elements was similar in both cases, which indicates the possible source pollutant in this area. The concentrations of studied elements detected in lichens and spider webs after exposure in bags, and in Petri dishes in the vicinity of smelter, indicate that air is contaminated by trace elements such Cu, Zn, Pb, As and Ni.
The results of the similarity test showed a clear difference between the concentration of Cu, Zn, Ni and As in lichens and spider webs, with the exception of Pb, which suggest that sampling with the use of spider webs could be more efficient as they tend to accumulate higher concentrations of studied metals, thus they are probably more sensitive bioindicators than lichens. The revealed high concentrations of studied metals in both bioindicators confirm that the smelter plays a prominent role in air pollution in Legnica. Moreover, the presence of busy roads in the area may also contribute to emissions of metals.
The study confirms that spider webs are very efficient metal accumulators and could be used in the same way as lichens for bioindication of heavy metals contamination. Hence, we recommend using webs in all the situations when using lichens is improper due to for example lichens limited uptake of analyzed elements, by which the obtained results of accumulation would not be correct. The drought could also affect significantly the results obtained with lichens. Additionally, in the places where results received by analyzing lichens are below the detection limits, spider webs could be used to recheck the air quality. The usefulness of the spider web as a measuring device of mineral pollution in the other seasons of the year (e.g., winter) will be analyzed in further studies.
Supplementary Materials
The following are available online at https://www.mdpi.com/2071-1050/12/19/8066/s1, SM Table S1: Description of sampling points.
Author Contributions
Conceptualization, A.S. and J.R.; methodology, M.B. and T.O.; software, J.S.B.; validation, J.S.B.; formal analysis, J.S.B. and A.S.; investigation, A.S. and J.R.; resources, A.S.; data curation, A.S.; writing—original draft preparation, A.S. and J.R.; writing—review and editing, A.S., J.R., J.S.B., M.B. and T.O.; visualization, J.S.B. and A.S.; supervision, J.R.; project administration, J.R. and A.S.; funding acquisition, J.R. All authors have read and agreed to the published version of the manuscript.
Funding
This research did not receive any specific grant from funding agencies in the public, commercial, or not-for-profit sectors.
Acknowledgments
The investigations were co-financed within the framework of order number 049U/0034/19 with a specific subsidy granted to the Faculty of Environmental Engineering, Wroclaw University of Science and Technology (W-7), by the Minister of Science and Higher Education.
Conflicts of Interest
The authors declare no conflict of interest.
References
- Onianwa, P.C. Monitoring atmospheric metal pollution: A review of the use of mosses as indicators. Environ. Monit. Assess. 2001, 71, 13–50. [Google Scholar] [CrossRef]
- Bargagli, R.; Monaci, F.; Borghini, F.; Bravi, F.; Agnorelli, C. Mosses and lichens as biomonitors of trace metals. A comparison study on Hypnum cupressiforme and Parmelia caperata in a former mining district in Italy. Environ. Pollut. 2002, 116, 279–287. [Google Scholar] [CrossRef]
- Adamo, P.; Giordano, S.; Vingiani, S.; Cobianchi, R.C.; Violante, P. Trace element accumulation by moss and lichen exposed in bags in the city of Naples (Italy). Environ. Pollut. 2003, 22, 91–103. [Google Scholar] [CrossRef]
- Giordano, S.; Adamo, P.; Spagnuolo, V.; Tretiach, M.; Bargagli, R. Accumulation of airborne trace elements in mosses, lichens and synthetic materials exposed at urban monitoring stations: Towards a harmonisation of the moss-bag technique. Chemosphere 2013, 90, 292–299. [Google Scholar] [CrossRef] [PubMed]
- Goodman, G.T.; Roberts, T.M. Plants and soils as indicators of metals in the air. Nature 1971, 231, 287–292. [Google Scholar] [CrossRef]
- Temple, P.J.; McLaughlin, D.L.; Linzon, S.N.; Wills, R. Moss bags as monitors of atmospheric deposition. J. Air Pollut. Control Assoc. 1981, 31, 668–670. [Google Scholar] [CrossRef]
- Garty, J.; Karary, Y.; Harel, J. The impact of air pollution on the integrity of cell membranes and chlorophyll in the lichen Ramalina duriaei (de not.) bagl. transplanted to industrial sites in Israel. Arch. Environ. Contam. Toxicol. 1993, 24, 455–460. [Google Scholar] [CrossRef]
- Hose, G.C.; James, J.M.; Gray, M.R. Spider webs as environmental indicators. Environ. Pollut. 2002, 120, 725–733. [Google Scholar] [CrossRef]
- Rutkowski, R.; Rybak, J.; Rogula-Kozłowska, W.; Bełcik, M.; Piekarska, K.; Jureczko, I. Mutagenicity of indoor air pollutants adsorbed on spider webs. Ecotoxicol. Environ. Saf. 2019, 171, 549–557. [Google Scholar] [CrossRef]
- Rybak, J. Accumulation of major and trace elements in spider webs. Water Air Soil Pollut. 2015, 226, 105. [Google Scholar] [CrossRef]
- Rybak, J.; Sówka, I.; Zwozdziak, A.; Fortuna, M.; Trzepla-Nabagło, K. Evaluation of the usefulness of spider webs as an air quality monitoring tool for heavy metals. Ecol. Chem. Eng. S 2015, 22, 389–400. [Google Scholar] [CrossRef]
- Xiao-Li, S.; Yu, P.; Hose, G.C.; Jian, C.; Feng-Xiang, L. Spider webs as indicators of heavy metal pollution in air. Bull. Environ. Contam. Toxicol. 2006, 76, 271–277. [Google Scholar] [CrossRef] [PubMed]
- Strzelec, Ł.; Niedźwiecka, W. Stan środowiska naturalnego wrejonie oddziaływania hut miedzi. Kierunki zmian. Med. Środowiskowa Environ. Med. 2012, 15, 21–31. [Google Scholar]
- Tyszka, R.; Pietranik, A.; Kierczak, J.; Ettler, V.; Mihaljevič, M.; Medyńska-Juraszek, A. Lead isotopes and heavy minerals analyzed as tools to understand the distribution of lead and other potentially toxic elements in soils contaminated by Cu smelting (Legnica, Poland). Environ. Sci. Pollut. Res. 2016, 23, 24350–24363. [Google Scholar] [CrossRef] [PubMed]
- KGHM Cuprum Sp.z.o.o. Research Center. Monograph of KGHM Polish Copper Company; KGHM Cuprum Sp.z.o.o. Research Center: Wrocław, Poland, 2007. (In Polish) [Google Scholar]
- Wojewódzki Inspektorat Ochrony Środowiska. Informacja o Jakości Powietrza na Obszarze miasta Legnica. 2017. Available online: https://www.wroclaw.pios.gov.pl/pliki/powietrze/powietrze_legnica_2016_wios.pdf (accessed on 25 September 2020).
- Jóźwiak, M. Kumulacja metali ciężkich i zmiany morfologiczne porostu Hypogymnia physodes (L.) Nyl. Monit. Środowiska Przyr. 2007, 8, 51–56. [Google Scholar]
- Kłos, A.; Ziembik, Z.; Rajfur, M.; Dołhańczuk-Śródka, A.; Bochenek, Z.; Bjerke, J.W.; Tømmervik, H.; Zagajewski, B.; Ziółkowski, D.; Jerz, D.; et al. Using moss and lichens in biomonitoring of heavy-metal contamination of forest areas in southern and north-eastern Poland. Sci. Total Environ. 2018, 627, 438–449. [Google Scholar] [CrossRef]
- Ciężka, M.; Górka, M.; Modelska, M.; Tyszka, R.; Samecka-Cymerman, A.; Lewińska, A.; Łubek, A.; Widory, D. The coupled study of metal concentrations and electron paramagnetic resonance (EPR) of lichens (Hypogymnia physodes) from the Świętokrzyski National Park—Environmental implications. Environ. Sci. Pollut. Res. 2018, 25, 25348–25362. [Google Scholar] [CrossRef]
- Koroleva, Y.; Revunkov, V. Air pollution monitoring in the south-east Baltic using the epiphytic lichen Hypogymnia physodes. Atmosphere 2017, 8, 119. [Google Scholar] [CrossRef]
- Poličnik, H.; Franc, B.; Cvetka, R.L. Monitoring of short-term heavy metal deposition by accumulation in epiphytic lichens (Hypogymnia physodes (L.) Nyl.). J. Atmos. Chem. 2004, 49, 223–230. [Google Scholar] [CrossRef]
- Balabanova, B.; Stafilov, T.; Šajn, R.; Baèeva, K. Characterisation of heavy metals in lichen species Hypogymnia physodes and Evernia prunastri due to biomonitoring of air pollution in the vicinity of copper mine. Int. J. Environ. Res. 2012, 6, 779–792. [Google Scholar]
- Foelix, R.F. Biology of Spiders; Oxford University Press: New York, NY, USA, 1996. [Google Scholar]
- Rybak, J.; Olejniczak, T. Accumulation of polycyclic aromatic hydrocarbons (PAHs) on the spider webs in the vicinity of road traffic emissions. Environ. Sci. Pollut. Res. 2014, 21, 2313–2324. [Google Scholar] [CrossRef] [PubMed]
- Darnajoux, R.; Lutzoni, F.; Miadlikowska, J.; Bellenger, J.P. Determination of elemental baseline using peltigeralean lichens from Northeastern Canada (Québec): Initial data collection for long term monitoring of the impact of global climate change on boreal and subarctic area in Canada. Sci. Total Environ. 2015, 533, 1–7. [Google Scholar] [CrossRef] [PubMed]
- Fernández, J.A.; Carballeira, A. Evaluation of contamination by different elements in terrestrial mosses. Arch. Environ. Contam. Toxicol. 2001, 40, 461–468. [Google Scholar] [CrossRef]
- Shapiro, S.S.; Wilk, M.B. An analysis of variance test for normality (complete samples). Biometrika 1965, 52, 591–611. [Google Scholar] [CrossRef]
- Razali, N.M.; Wah, Y.B. No Power comparisons of Shapiro-Wilk, Kolmogorov-Smirnov, Lilliefors and Anderson-Darling tests. J. Stat. Model. Anal. 2011, 2, 21–33. [Google Scholar]
- Feng, C.; Wang, H.; Lu, N.; Chen, T.; He, H.; Lu, Y.; Tu, X.M. Log-transformation and its implications for data analysis. Shanghai Arch. Psychiatry 2014, 26, 105–109. [Google Scholar] [CrossRef]
- Welch, B.L. 1.T.g.o.“Student’s” problem when several different population variances are involved. Biometrika 2013, 34, 28–35. [Google Scholar] [CrossRef]
- Wilcoxon, F. Individual comparisons by ranking methods. Biom. Bull. 1945, 1, 80–83. [Google Scholar] [CrossRef]
- Milton, R.C. An extended table of critical values for the Mann-Whitney (Wilcoxon) two-sample statistic. J. Am. Stat. Assoc. 1964, 59, 925–934. [Google Scholar] [CrossRef]
- Jones, W.P.; Furnas, G.W. Pictures of relevance: A geometric analysis of similarity measures. J. Am. Soc. Inf. Sci. 1987, 38, 420–442. [Google Scholar] [CrossRef]
- McKinney, W. Data structures for statistical computing in Python. In Proceedings of the 9th Python in Science Conference, Austin, TX, USA, 28 June–3 July 2010. [Google Scholar]
- Virtanen, P.; Gommers, R.; Oliphant, T.E.; Haberland, M.; Reddy, T.; Cournapeau, D.; Burovski, E.; Peterson, P.; Weckesser, W.; Bright, J.; et al. SciPy 1.0: Fundamental algorithms for scientific computing in Python. Nat. Methods 2020, 17, 261–272. [Google Scholar] [CrossRef] [PubMed]
- Hunter, J.D. Matplotlib: A 2D graphics environment. Comput. Sci. Eng. 2007, 9, 90–95. [Google Scholar] [CrossRef]
- Instytut Meteorologii i Gospodarki Wodnej Państwowy Instytut Badawczy. Rocznik Meteorologiczny. 2019. Available online: https://danepubliczne.imgw.pl/data/dane_pomiarowo_obserwacyjne/Roczniki/Rocznik%20meteorologiczny/Rocznik%20Meteorologiczny%202019.pdf (accessed on 25 September 2020).
- Główny Inspektorat Ochrony Środowiska, Roczna Ocena Jakości Powietrza w Województwie Dolnośląskim. 2019. Available online: https://www.wroclaw.pios.gov.pl/pliki/powietrze/ocena_roczna_2019.pdf (accessed on 25 September 2020).
- Konarski, P.; Ćwil, M.; Iwanejko, I.; Mierzejewska, A.; Diduszko, R. Morphology of micro- and nanoparticles emitted by copper plants in Western Poland. Thin Solid Films 2004, 459, 86–89. [Google Scholar] [CrossRef]
- Sternbeck, J.; Sjödin, Å.; Andréasson, K. Metal emissions from road traffic and the influence of resuspension—Results from two tunnel studies. Atmos. Environ. 2002, 36, 4735–4744. [Google Scholar] [CrossRef]
- Goix, S.; Resongles, E.; Point, D.; Oliva, P.; Duprey, J.L.; de la Galvez, E.; Ugarte, L.; Huayta, C.; Prunier, J.; Zouiten, C.; et al. Transplantation of epiphytic bioaccumulators (Tillandsia capillaris) for high spatial resolution biomonitoring of trace elements and point sources deconvolution in a complex mining/smelting urban context. Atmos. Environ. 2013, 80, 330–341. [Google Scholar] [CrossRef]
- GDDKiA: 2015. General Measurement of Traffic. Available online: https://www.gddkia.gov.pl/userfiles/articles/g/generalny-pomiar-ruchu-w-2015_15598//SYNTEZA/WYNIKI_GPR2015_DW.pdf (accessed on 4 April 2020).
- Białońska, D.; Dayan, F.E. Chemistry of the lichen Hypogymnia physodes transplanted to an industrial region. J. Chem. Ecol. 2005, 31, 2975–2991. [Google Scholar] [CrossRef]
© 2020 by the authors. Licensee MDPI, Basel, Switzerland. This article is an open access article distributed under the terms and conditions of the Creative Commons Attribution (CC BY) license (http://creativecommons.org/licenses/by/4.0/).


