Abstract
In this paper, we explore users’ intentions to use bike-sharing systems (BSS) compared to traditional competitive transport modes—private car, bus and walking. Fueled by the increasingly rampant growth of shared economy and Information and Communication Technology (ICT), shared mobility is gaining increasing traction. The numbers of shared mobility schemes are rapidly growing worldwide and are accompanied by changes in the traditional vehicle ownership model. In order to pinpoint the factors that strongly affect the willingness to use BSS, a stated preference survey among car and bus users as well as pedestrians was designed and conducted. Binary logit models of the choice between the currently preferred transportation modes and BSSs were developed, for short and long-duration trips, respectively. The results highlight a distinctive set of factors and patterns affecting the willingness to adopt bike-sharing: choice is most sensitive to travel time and cost of the competitive travel options. In general, users are more willing to make the switch to a BSS, especially for short trip durations, when their typical mode of transport becomes more expensive. Bike-sharing also seems to be a more attractive option for certain user socio-demographic groups per mode and trip duration (age, education level, employment status, household income). Trip characteristics such as trip purpose and frequency were also found to affect the willingness to choose BSS. In general, BSS seem to mainly attract bus users and pedestrians, while car users may use BSS more sparingly, mainly for commuting purposes.
1. Introduction
In the last decade, a tremendously intense transition from an “ownership” model to a “shareship” status has occurred in all aspects of global economy. This adaptation is primarily observed in one of the economy’s main pillars, that of transport and mobility. Cohen and Shaheen [1] defined shared mobility as “an innovative transportation strategy that enables users to have short-term access to a mode of transportation (vehicle, bicycle, or other low-speed travel mode) on an as-needed basis”. In a broader context, shared mobility is an umbrella term that encompasses several service models, including bike-sharing, car-sharing, ride-sharing (carpooling, vanpooling), ride-hailing, scooter-sharing, shared parking, public transit services, courier network services (shared trucks, electric vehicles, electric cargo bikes), etc. [1,2]. Shared mobility services are constantly expanding and improving, often by integrating new innovative technologies like autonomous vehicles [3].
Within this framework, over the last two decades, the bike-sharing concept has gradually turned into a mainstream form of urban mobility in numerous cities around the world, providing a viable alternative mode of transport for short or medium urban distances [4,5]. To describe bike-sharing, several definitions have already been provided in the literature [4,6,7]. In this context, Mátrai and Tóth [8] reviewed the already existing definitions of the bike-sharing concept, all of which include some of its core characteristics: bike rental schemes, shared mobility, short-term access, point-to-point urban trips. The anticipated benefits and positive effects of bike-sharing include, traffic congestion alleviation, reduced fuel consumption, emissions reduction and air quality improvement, road safety improvement, physical activity increase and public health improvement, accessibility and multi-modality enhancement, reduced individual mobility costs and quality of urban life, to name a few [9,10,11,12,13]. Considering its expected contribution to a set of key objectives, bike-sharing is broadly believed to be a significant component of sustainable urban mobility [1,5,8,14]. Some studies recognized that bike-sharing, along with an effective public transport system and a demand management policy formulation, may be an important driver for achieving sustainability goals [3,14].
Although bike-sharing systems have existed for about sixty years, the last two decades have witnessed a significant growth and spread of such schemes in many cities across the globe [9]. During their historical evolution, bike-sharing schemes have passed through different stages, having undergone several changes regarding their core characteristics. The evolution of bike-sharing systems could be categorized into four stages, also called “generations” [3,8,15]. The first generation of bike-sharing, also known as “white bikes”, emerged in 1965 in the Netherlands. A few regular bikes were painted white, randomly distributed across the city and provided for public use, free of charge. In the absence of any security measure to prevent bicycles from being stolen or vandalized, the general failure of these systems was inevitable [9,16]. The problems experienced by the first generation bike-sharing systems, stressed the need for a more structured and secure approach, adopted by the second generation systems. The latter, broadly known as “coin-deposit systems”, were initially developed in Denmark in the early 1990s. Although the incorporation of specially designed bikes and coin-deposit docking stations made second generation systems more reliable, bike theft remained a major problem, resulting from low deposit fees and user anonymity [9,16].
The transition to the third-generation bike-sharing, is inseparably linked with the rapid development of Information and Communication Technology—ICT. Third generation systems became increasingly popular, incorporating advanced technologies, such as RFID (Radio-Frequency Identification) and GPS (Global Positioning System), that enabled bicycle and user information tracking. The utilization of such technologies not only helped systems deter bike theft, but also made them capable of monitoring and controlling bike usage. The substantial contribution of ICT to the evolution of the third bike-sharing generation, is reflected in the term “IT-based systems”, which is broadly used to describe such programs. The first typical example of this type of bike-sharing system, was developed in France [5,9,16]. The knowledge gained so far, has already set the scene for an emerging fourth generation bike-sharing model. Such a concept was initially introduced by Shaheen et al. [9], referring to demand-responsive, multi-modal systems with innovative characteristics: electric bicycles, enhanced user interface, integration with public transport, bicycle redistribution innovations, GPS tracking, smartphone applications for real-time information, etc. [4,9,17].
During recent years, a consistently increasing trend towards sustainability and reduced energy consumption has been pursued by existing and developing urban transport policy regulations [18]. Multiple, competing or cooperating solutions have been examining regarding this problem in lieu of car usage, that has been dominating the urban transport landscape for decades with repercussions for environmental, social and economic sustainability. Bike sharing is considered one of the most promising solutions to this problem.
While bike-sharing thrives around the world, its low usage gives a definitive cause for concern and further analysis. For the development of smarter and viable bike-sharing systems, so as to be consolidated as convincing mode choice options, it is important to recognize those factors affecting their usage. Since future demand and long-term sustainability of such systems are in doubt [9], a better understanding of those factors could provide valuable insights for the improvement of their efficiency and promotion of their usage [19].
Literature Review
Several studies have already attempted to identify the factors influencing bike-sharing usage, mainly using revealed preference data, including system-use data and data from specifically designed user surveys. Within this context, various factors broadly considered to affect bike-sharing usage were examined, such as individual socio-demographic characteristics (gender, age, occupation, education level, monthly income, household bicycle ownership, etc.), individual travel patterns (trip mode, travel time, trip purpose, etc.), transportation infrastructure, land-use and built environment characteristics, bike-sharing facilities, as well as environmental conditions.
Largely based on system-use data, a certain number of studies sought to recognize the effect of individual socio-demographic characteristics and travel patterns on bike-sharing usage. Major examples of such papers are presented next.
Shaheen et al. [20] conducted a survey in Hangzhou, China, with the overall aim of capturing the determinants of bike-sharing usage and adoption. Having developed two different questionnaires addressed to bike-sharing members and non-members, the authors examined the potential influence of several factors on bike-sharing usage, which could be grouped into four main categories: travel behavior (travel patterns), sociodemographics, psychographics (attitudes towards cycling conditions and environmental issues), and bike-sharing perception and satisfaction degree. The results suggested that bike-sharing members were likely to be less than 45 years old and have a moderate household income, indicating the potential influence of these two variables on bike-sharing usage. Moreover, bike-sharing membership was found not to be negatively affected by high car ownership rates, while bicycle ownership was found to be positively related to greater interest in bike-sharing.
Fuller et al. [21] used data collected by a random-digit dialing telephone survey, seeking to detect correlations between several factors and BIXI (a bike-sharing scheme in Montreal, Canada) usage. A multi-variate logistic regression analysis was conducted, which led to the identification of significant positive correlations between bike-sharing usage and (a) the closer proximity of home addresses to docking stations, (b) the 18–24 age group, (c) higher levels of education (university educated), (d) the return from work trip purpose and (e) the use of bicycle as the primary mode of transport to work.
Ogilvie and Goodman [22] used system-registration data, seeking to detect inequalities in Barclays Cycle Hire usage, in London UK. The authors examined the relationship between bike-sharing usage levels and various explanatory variables, including gender, income deprivation, etc. To that end, a GIS (Geographic Information System)-based, linear regression as well as a logistic regression analysis were performed, leading to the following outcomes: compared to the general population, system members were more likely to be male and live in relatively wealthy areas or in areas of high cycling prevalence. Considering the lower docking station density found in the deprived areas and the trip frequency of users living there, the lower rates of bike-sharing adoption among these areas were attributed to the docking station location. The demographics of system members were also found to be different to those of the general population, in another study concerning Capital Bikeshare system in Washington, DC, USA [23]. The report came up with significant findings, recognizing that when compared to all commuters in the region, bike-sharing members were more likely to be noticeably younger, male, highly educated and slightly less affluent than regional population. Furthermore, bike-sharing members were more likely to live and work within urban areas.
Based on data coming from a pre-existing household travel survey and CaBi (Capital Bikeshare) system-use data, Buck et al. [24] found that, in regard to demographics, socio-economics and travel patterns, significant differences do exist not only between bike-sharing users and the general population, but also between bike-sharing users and traditional cyclists. The analysis concluded that, when compared to traditional cyclists, bike-sharing users were more likely to be younger and female, belong to lower income groups, own fewer cars and bicycles and cycle for personal and work trips. Moreover, the analysis recognized that bike-sharing users mainly shifted from public transport and walking trips.
Guo et al. [19] applied a bivariate ordered probit modelling approach to explore factors affecting bike-sharing usage and satisfaction among the bike-sharing user population in Ningbo, China. A questionnaire survey was used to collect bike-sharing usage and satisfaction data as well as other variables that include socio-economic characteristics and travel patterns. The survey was carried out among bike-sharing members. The statistical analysis of the results indicated that the usage of bike-sharing was affected by gender, household bicycle/ebike ownership, trip mode, travel time, bike-sharing stations location and users’ perception of bike-sharing. Additionally, the degree of satisfaction with bike-sharing was affected by household income, bike-sharing station location and users’ perception of bike-sharing.
Analyzing system-usage data collected by a survey of users, Yang et al. [25] compared the bike-sharing systems of Beijing, Shanghai and Hangzhou in China, aiming to explore potential differences between trip purpose frequencies. The study did not find a specific trip purpose to be related to increased bike-sharing usage; on the contrary, significant differences in trip purpose were identified across the three cities examined. In Beijing, nearly 45% of users reported bike-sharing usage for journeys to work, compared to 18% for both Shanghai and Hangzhou. On the other hand, in Shanghai, almost 50% of the respondents reported bike-sharing usage for the return from work trip, compared to 29% for Beijing and 23% for Hangzhou. Furthermore, convenience and integration with public transit (metro), were found to be significant factors positively related to bike-sharing usage.
Jensen et al. [26] used bike-sharing ridership data provided by the operator of Lyon’s system, in an attempt to understand cyclists’ average speed and travel characteristics. The authors identified that trip distances between the system’s stations appeared to be shorter compared to the distances that a car user would need to cover in order to travel between these two points. Furthermore, bike-sharing ridership data revealed that the average cyclists’ speed ranged between 10 km/h and 14.5 km/h, which made bicycle travel faster than car travel in inner city areas. The study concluded that travel time was a significant factor influencing bike-sharing usage and consequently, the desired modal shift to bike-sharing is heavily dependent on creating conditions favourable to bike-sharing route choice.
Martin and Shaheen [27] used data from a survey conducted in collaboration with Nice Ride Minnesota and Capital Bikeshare schemes, to explore the shift towards public transit as a consequence of bike-sharing. Data collected were analyzed in conjunction with geospatial data and the respondents were mapped depending on their modal shift towards or away from bus and rail. The study also analyzed respondents’ socio-demographic characteristics related to modal shift (age, gender, household income, education level, etc.), performing cross-tabulation and ordinal regression analysis. A number of different factors were found to be associated with shifting towards public transit, including increased age, being male, living in lower density areas and longer commute distances.
In their review paper, Fishman et al. [28] critically examined previous studies related to bike-sharing, in order to identify knowledge gaps and provide an outline of the global research on bike-sharing. Through an extended literature review, the authors recognized that convenience and value for money were the most significant components in members’ motivation to use bike-sharing schemes. Additionally, private bicycle ownership was identified to be positively related to bike-sharing membership. Lastly, this paper reported that bike-sharing was far from substituting car usage and highlighted a literature gap regarding the perceptions and attitudes of bike-share non-users (especially car users) towards bike-sharing.
Mostly using system-use data, several studies focused on exploring the effect of transport infrastructure, bike-sharing facilities and operations, land use characteristics and weather conditions on bike-sharing usage.
Conducting focus groups with members and non-members and carrying out a thematic analysis for the collected data interpretation, Fishman et al. [29] sought to identify the major barriers and facilitators towards using CityCycle, a bike-sharing system in Brisbane, Australia. The study recognized several factors leading to low bike-sharing usage, including the lack of accessibility/spontaneity, overnight cease of operations of the system, sign-up procedure complexity and safety issues that stemmed from the perceived lack of car driver awareness towards cyclists and poor bicycle infrastructure.
Analyzing system-use data provided by the operator, Buck and Buehler [30] explored determinants of bike-sharing usage regarding the Capital Bikeshare system in Washington, DC, USA. A GIS-based, bivariate correlation as well as a multiple regression analysis were performed, resulting in the identification of a significant correlation between the existence of bicycle lanes and bike-sharing usage. In addition, research findings suggested that population density and mixed land uses were major factors towards encouraging bike-sharing usage.
Cervero and Duncan [31] used factor analysis to take into consideration the urban design and land-use diversity dimensions of the built environment and estimated discrete choice models for bicycles. Data were obtained from the 2000 Bay Area Travel Survey (BATS) and contained information regarding socio-economic characteristics of all household members, as well as their everyday activities, including travel and out-of-home activities. Data on built-environment, density and land-use composition were collected for the year 2000 to match up with BATS travel records. The results from the discrete choice models indicated that weekend and shopping trips were weakly related to bicycling. It was also found that rainfall did not dissuade people from bicycling, while nightfall was more of a barrier. Furthermore, the likelihood of bicycling was found to be increased with the number of bicycles in a person’s household. Finally, mixed land use and balances of residences, jobs and retail services seemed to work in favor of bicycling.
Zhao et al. [32] indicated that bike-sharing ridership and turnover rate tended to increase with urban population, government expenditure and the number of bike-sharing members and docking stations. Rixey [33] also suggested that bike-sharing network-based factors, including access to a comprehensive network of stations, bikeways and proximity to bike stations, were highly important to bike-sharing ridership levels, with the other demographic and built environment variables controlled for. Population and retail employment density, as well as middle income levels, were also critical factors in assessing bike-sharing demand.
The proximity of homes to docking stations and the increase in the number of docking stations in residential neighborhoods, appeared also to have the greatest effect on the likelihood of using a bike-sharing system, based on the study of Bachand-Marleau et al. [34]. Similarly, Wang et al. [35] reported that the number of trips made with bike-sharing systems was associated with the proximity to the central business district, accessibility to trails and distance to other bike-share stations. In line with the aforementioned findings, Faghih-Imani et al. [36] concluded that transportation infrastructure, bike-sharing facilities and weather conditions were all significant factors affecting bike-sharing ridership.
The literature review indicated that previous research on factors influencing bike-sharing usage was largely based on revealed preference data, namely, system-use data. On the contrary, little research evidence exists on the identification of the major factors affecting bike-sharing usage, by using stated preference data.
Campbell et al. [37] employed a stated preference survey to model those factors influencing the choice to switch from an existing transportation mode to bike-share or e-bike-share in Beijing. To that end, a mode choice survey was conducted and the collected data were used to develop a multinomial logit model. The study examined trip characteristics and attributes, as well as environmental and weather conditions in order to answer questions about bike-sharing adoption in Beijing. The results of the multinomial logit model indicated that demand was mainly influenced by measures of effort and comfort (trip distance, temperature, precipitation, poor air quality), whereas user demographics were not found to strongly affect the mode choice of the respondents. Research also concluded that the bike-sharing market in Beijing would mostly attract users from other sustainable modes of transport (walking and public transport), rather than private car.
Using data collected by a combined revealed preference and stated preference survey, Shengchuan and Yuchuan [38] developed structural equation models to explore the major factors affecting mode choice and bike-sharing user satisfaction. The overall aim was to identify potential differences of behavior between bike-sharing users and non-users. The study identified the environment of bike-sharing stations and their proximity to home or metro stations as major factors affecting peoples’ choice to use bike-sharing schemes. On the contrary, bike-sharing usage was found not to be affected by trip purpose, occupation, income and car ownership. Moreover, the discrete selection model developed showed that when compared to environment and distance, cost was found to play a much less important role in peoples’ choice.
Table 1 summarizes the findings of the literature review by grouping factors into six categories; sociodemographic, spatial or infrastructure characteristics, BSS (Bike-Sharing System) characteristics, user behavioral attributes, trip and mobility characteristics and weather/environment characteristics. It also includes a short description of the methods of analysis that were used in each study and the study area.
Table 1.
Review of studies on factors affecting willingness to use Bike Sharing Systems.
From the above-mentioned Table, it can be seen that a large part of the literature has exhaustively gone over factors that affect bicycle choice and the characteristics of existing BSS users. On the other hand, much less has been done to examine the incentives that would be necessary for users of other modes of transport to shift to BSS; this examination poses a different question that might be crucial towards shaping a more sustainable urban mobility future. This research gap has also been identified by the pertinent literature. Are users who belong to certain sociodemographic groups or have certain predispositions more prone towards using a BSS? What levels of cost and time gains would persuade users of different modes of transport to switch to a BSS? Several of the studies have found, or hypothesized, that users that shift towards BSS are mainly pedestrians or public transport users and not car users. Are those values different for car or public transport users? Do they change based on the duration of the trip? This paper aims to answer the above in the shape of three research questions:
- How likely are users with an existing mode choice behavior to shift to a BSS? Does this differentiate among the users with different mode choice?
- Does and to what extent trip duration affect the probability of choosing a BSS? Should urban transport planning policy be reformulated/adapted to the new challenges?
- Which individual factors affect the willingness to choose the BSS in favor of currently preferred (and competitive) modes of transport and in what way?
2. Materials and Methods
2.1. Case Study Area
Located in Northern Greece, Thessaloniki is the second largest city of Greece and one of the major cities in Balkans and the Mediterranean. The Metropolitan area of Thessaloniki covers a geographic area of 1455 km2 and its population exceeds the 1,000,000 inhabitants [39,40]. The only available mass transit option is the bus, while at the same time bicycle usage is very low (less than 5%) and the bicycle infrastructure is limited (almost 12 km of cycleways). Over the last decades, the modal share of private vehicles has increased from 58% to 68% (+10%), while the modal share of public transport has decreased from 40% to 28% (−12%) [41].
The BSS in Thessaloniki began its operation in 2013. To date, it remains private and includes 200 bikes and eight stations, mainly located along the city’s waterfront. The system provides access to its users with an electronic subscriber card and the charge for renting a bicycle includes a cost for accessing the system and a cost for using a bicycle, depending on the usage period. The minimum charge for renting a bicycle is 1€ (for non-registered users) and the maximum permissible duration of each rental is 24 h. The BSS has so far recorded more than 20,000 subscribers. However, in recent years, there has been a reduction in the number of subscribers (−5%) as well as in the average journey time of bicycle trips (−25%) [42,43].
In 2018, a pilot run of a dockless BSS was launched in Thessaloniki. The bicycle fleet is entirely composed of electric bikes which do not require a docking station and can be locked/unlocked using a smartphone app [44]. The promotion of bike-sharing networks has emerged as a priority action for the city of Thessaloniki, as emphasized in the recently published action guide of the “100 Resilient Cities” network entitled “Resilient Thessaloniki: A strategy to 2030” [39].
2.2. Methodology
2.2.1. Data Collection
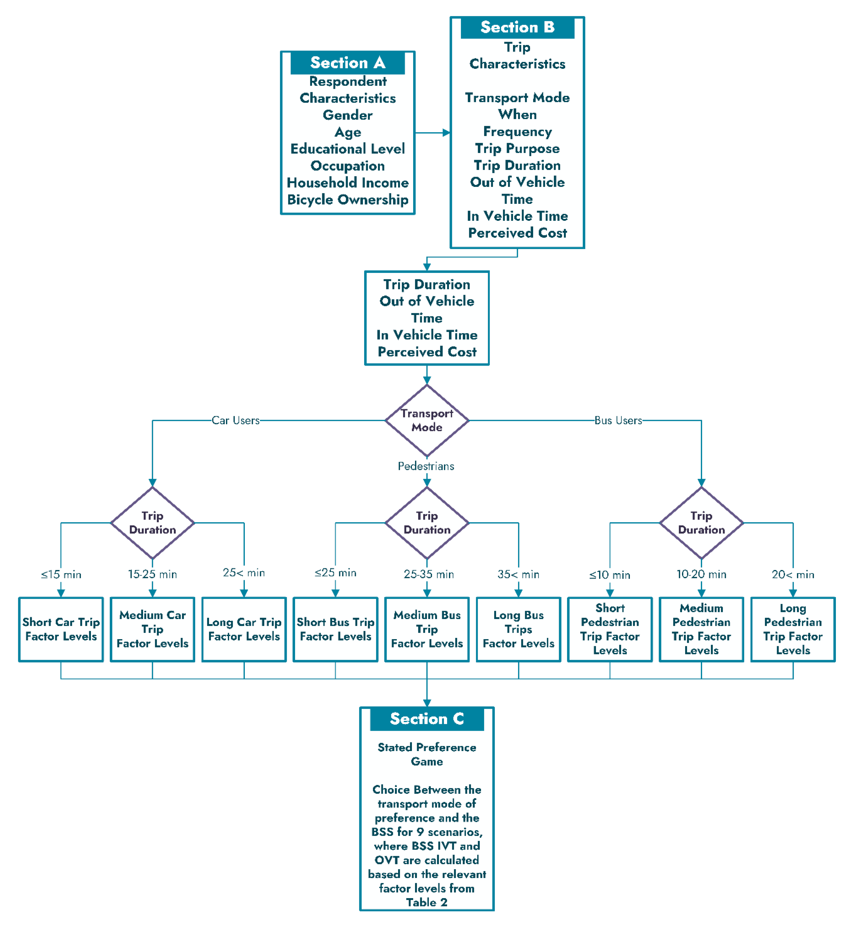
In order to collect the necessary data to quantify the identified research questions, a stated preference survey was designed and created in the limesurvey platform [45]. The survey’s structure is shown in Figure 1 and targeted the users of the two dominant modes of transport in Thessaloniki, the private car and the public bus as well as the pedestrians, which account for the vast majority of trips in the city. The design of the study focuses separately on the 3 main travel choices of the city, since they reflect completely different mobility needs, purposes, flexibility levels, safety and security demands, etc. Multimodal trips were not taken into consideration, since scarcely any multimodal activity takes place in the city (the multimodal transfer rate is equal to 1.0). Users of privately owned bikes were also not included in the survey as they account for an extremely small percentage of the trips in the city [46]. In the first section, respondents were asked about their personal sociodemographic characteristics and whether they own a private bicycle or not. In the second, they were asked about the trip characteristics of their most recent frequently repeated trip, including their estimated or perceived total duration, In Vehicle Time (IVT), Out of Vehicle Time (OVT) and cost. As those terms might have been confusing for many of the respondents, the terms were explained to them in detail in the relevant questions’ descriptions. Afterwards, they are provided with a thorough but concise description of the dockless BSS. Finally, they were presented with a stated preference game, in the form of conjoint tasks and were asked to choose between the BSS and their revealed, currently primary mode of transport (car, public bus or walking) for their most recent frequently repeated trip.
Figure 1.
Survey Structure.
As can be seen in Figure 1, the survey’s stated preference game was adaptively designed and incorporated different scenarios based on the respondent’s answers in the second section of the survey. Depending on their preferred mode of transport and their total trip duration, the stated preference games that were displayed to the respondents were calculated dynamically. Differences between expected OVT, IVT and cost values for the three dominant city transport modes and the BSS alternative were estimated for three trip durations (short, medium and long), by taking into consideration typical elements of a generalized trip cost such as average private car speed in the city, fuel consumption of the average car in the city fleet, average fuel cost, parking fees, maintenance fees and depreciation rates of private cars, average commercial speed of the city buses, average bus stop waiting time, bus fare, average walking speed and average cycling speed. The estimation of those elements, for the specific case of Thessaloniki, was made possible by previously performed traffic analyses, case studies and a macroscopic traffic demand model of the city [46]. Based on those estimations, the factor levels of the BSS trip characteristics were calculated. The BSS IVT and OVT were calculated as percentages of the revealed IVT and OVT for the respondents’ transport mode of preference, while the flat charging rates were used for the BSS cost. The full combination of 3 factors with 3 levels each would be 33 = 3 × 3 × 3 = 27 different choice combinations. In order to reduce the amount of presented choice scenarios, a fractional factorial design with orthogonality and dominance criteria was applied and resulted in 9 games (choice sets). The factor levels used in the stated preference game are shown in Table 2. The respondents were asked to choose between repeating the same trip with their current mode of preference (with the IVT, OVT and Cost they had already revealed) or the alternative option of the dockless BSS choice (with IVT, OVT and cost that change with each game). The differing factor levels of the BSS IVT and OVT, as well as the different pricing of the BSS, based on duration, were mainly used to adjust BSS characteristics and have a much smaller effect on the outcome than different available choices based on previous answers would have. An example of the stated preference game questions can be seen in Figure 2 (The choice the respondents were put up to in the stated preference game, referred to their most recent frequently repeated trip, for which the respondents have already chosen their currently primarily selected mode of transport. So, it is a choice between an option they have already made and a not-yet-implemented mode of transport that would have been soon added to the city’s mobility ecosystem. Only the BSS characteristics changed between the different scenarios of the games). The same type of illustration was chosen for competitive modes, in order to avoid bias. The respondents could see values of the mode characteristics, in terms of time and cost.
Table 2.
Factor Levels of the Stated Preference Game.
Figure 2.
Example of the stated preference games questions as they were presented to the respondents.
Due to the demanding nature of the survey—as it included both terms that many respondents might have been unfamiliar with and a stated preference game—it was decided that data collection should take place on field. Passers-by were randomly approached by interviewers at the city’s main intersections and poles of attraction. The interviewers were carefully trained and were equipped with tablets that loaded the online survey. After the interviews, answers were immediately submitted and stored. In order to avoid early morning peak hour, when the vast majority of the respondents would be too busy on their way to and from work, the interviews took place from 10:00 to 20:00. The interviews took place from April to May 2019 and 500 questionnaires were considered as valid for further analysis. Table 3 shows a comparison between sociodemographic characteristics of the collected sample (gender and age group) and the population of the Thessaloniki regional unit. The ages of the respondents are shifted towards the younger age groups as older age groups were more unwilling to answer the survey.
Table 3.
Sociodemographic sample and population comparison.
2.2.2. Data Manipulation Based on Trip Duration
For the purposes of this paper the “short” and “medium” trip durations, as they can be seen in Table 2, were unified into one category. This was done in order to achieve a more concise and immediate interpretation of the results and because the “short” and “medium” trip duration categories were found to have more coherent mode choice behaviors, compared to the “long” trip category. The thresholds for the short and long trip durations for each mode of transport were decided based on data from a revealed preference survey from the city of Thessaloniki [46]. A duration threshold that split the number of trips with a 2:1 short to long duration ratio was chosen for each mode of transport. Figure 3 shows the distribution of trips by trip duration, while Table 4 shows the relevant ratios. A slightly larger ratio was eventually chosen for the pedestrian trips due to the higher concentration of trips in shorter durations.
Figure 3.
Trip Distribution based on Trip Duration.
Table 4.
Ratio of short duration to long duration trips.
2.2.3. Sample Sizes and Analysis Tools
Out of the 500 responses, 4500 observations/choices were derived and 4167 were eligible to be included in the choice models, as they were the only ones that made a definitive choice of either the BSS or the previously preferred transport mode. Observations that either answered “I don’t know” or “probably” for either one of the choices were not used (representing less than 8% of the total responses).
Table 5 shows the respondents and the observations that were included in each mode- and duration-based sub-sample. Each sub-sample’s size, as can be seen in the table, was considered adequate for model fitting.
Table 5.
Sub-sample sizes.
Binomial choice modeling techniques and, more specifically, a binary logit model [47], were utilized to explore the data. The binary nature of the choice has already mentioned in this section; since responders were asked to choose between their current mode of transport (without any alterations at the trip characteristics) and a BSS alternative, there is no possibility to have shift choices among the available/current modes of transport in the city. The analysis was performed with the use of the R programming language [48]. The data handling, manipulation and the subsequent analysis were performed with the following R packages: Dplyr [49], Plyr [50], Stringr [51], Pscl [52], generalhoslem [53], ROCR [54], epiR [55] and ResourceSelection [56].
3. Results
This section presents the results of the binary logit choice models that have been developed within the framework of the study for each for the three discrete population segments: car users, bus users and pedestrians. Additionally, the above three population segments were further divided into short and long segments based on the trip’s travel time, as stated by the respondents. So, overall, six discrete datasets were examined and a separate binary logit model was developed for each one. Three types of factors were examined; mode specific (cost, time), trip characteristics and socioeconomic. In Table 6, Table 7 and Table 8, the six binary logit choice models are presented, for car users, bus users and pedestrians, respectively. The statistically significant variables in the Tables (those with p-value less than 0.05) are highlighted with bold font. For nominal and ordinal factors, the reference category was set as follows: For Sex, the reference was set as the “Male” category; for Age, the reference category was the interval “18–24 years old”; for Trip Frequency, the reference category was the “Daily” trips; for Trip Purpose, the reference category was the “Work” purpose; and for Household Income, the reference was the interval “0–400 euros”. Finally, two dummy variables were also considered; the first to examine the preferences of higher educated responders (Bsc, Msc and Phd awarded) against those who had primary and secondary education. The second one to examine differences between those who may be considered as having a stable daily trip schedule (university student, employee, business owner) against those who may not (freelancers, pensioner, unemployed, etc.).
Table 6.
Binary Logit Model of Mode Choice between private car and BSS for short and long trip durations for car users.
Table 7.
Binary Logit Model of Mode Choice between bus and BSS for short and long trip durations for bus users.
Table 8.
Binary Logit Model of Mode Choice between walking and BSS for short and long trip durations for pedestrians.
3.1. Car Users Datasets
All the mode-specific variables were found to be statistically significant for the long-duration model, while only OVT of the car and BSS trips were not found to be statistically significant for the short-duration model. Increased BSS cost harshly reduces the probability of preferring the BSS for both trip durations (0.2 and 0.4 of the odds of preferring a car per increased Euro of BSS cost, respectively). Increased car cost makes it more likely to prefer the BSS, which is more profound for the short-duration model (1.19 and 1.07 of the odds of preferring the car per increased Euro of car cost, respectively). Increased IVTs of the BSS decrease the probability of preferring the BSS (0.77 and 0.92 of the odds of preferring a car per increased minute of BSS IVT for the short and long duration model, respectively). Increased IVT of the car increases the probability of preferring the BSS (1.19 and 1.05 of the odds of preferring a car per increased minute of car IVT for the short and long duration model, respectively). On the other hand, increased OVT of the BSS slightly seems to increase the probability of preferring the BSS for the long duration model (1.068 of the odds of preferring the car per increased minute of BSS OVT) and increased OVT of the car seems to decrease the probability of preferring the BSS for the long duration model (0.96 of the odds of preferring a car per increased minute of car OVT).
Regarding trip characteristic variables, both trip frequency and trip purpose were found to be statistically significant for both trip durations. For short-duration trips, car users that repeat the trip 3–5 times a week were less likely to prefer the BSS compared to users that repeat the trip daily. On the other hand, users that repeat the trip less frequently (3–5 times a month) are more likely to prefer the BSS for that trip duration. For long-duration trips, car users that repeat the trip multiple time a day are less likely to prefer the BSS compared to users that repeat the trip daily. For both trip durations, car users are less likely to choose the BSS for trips with entertainment as the trip purpose, compared to commuters. For long-duration trips, trips with “other reasons” as a purpose are also less likely to be done with the BSS rather than the car.
Out of the variables describing the socioeconomic characteristics of the car users, the variables for sex, education level and occupation were statistically significant for both the short and long-duration model, while the users’ age group was statistically significant for the long-duration model. Female users are less likely to prefer the BSS for both trip durations. Having a higher level of education and a stable form of occupation was found to increase the probability of choosing the BSS for short-duration trips but decrease it for long-duration ones. For long-duration trips, all age groups were much less likely to prefer the BSS compared to the reference age group “18–24” (odds ratios ranging from 0.004 to 0.087).
3.2. Bus Users Datasets
IVTs and cost of the BSS and the bus were found to be statistically significant for both trip durations, while only the OVT of the BSS was found to be statistically significant for short-duration trips. Increased BSS cost intensely reduces the probability of preferring the BSS for both trip durations (0.05 and 0.12 of the odds of preferring the bus per increased Euro of BSS cost, respectively). Increased bus cost increases the probability of preferring the BSS for both durations, but to a greater degree for short-duration trips (4.09 and 1.27 of the odds of preferring the bus per increased Euro of bus cost, respectively). Increased IVT of the BSS acts as a deterrent towards bus users preferring it, both for short and long duration trips (0.72 and 0.91 of the odds of preferring the bus per increased minute of BSS IVT, respectively). Increased OVT of the BSS seems to reduce the probability of preferring the BSS for short duration trips (0.81 of the odds of preferring the bus per increased minute of BSS OVT). Increased IVT of the bus increases the probability of the BSS being preferred for both trip durations but more intensely for short duration trips (1.24 and 1.04 of the odds of preferring the bus per increased minute of bus IVT, respectively).
Trip frequency was included in both trip-duration models, while trip purpose was found to be statistically significant only for short-duration trips. Bus users that repeat the trip 3–5 times a week are less likely to prefer the BSS for both short and long-duration trips, compared to users that repeat the trip daily. Bus users that repeat the trip 3–5 times a month were found to be less likely to prefer the BSS just for the short-duration model. Bus users are more likely to prefer the BSS for short-duration trips and for trips with entertainment as the purpose.
Regarding the variables describing the socioeconomic characteristics of the bus users, the variables for the users’ age group, education level and household income were found to be statistically significant for both the short and long-duration models, while the variables of the users’ sex and occupation schedule stability were only statistically significant for the short and long-duration models, respectively. Female bus users have a higher probability of preferring the BSS for short-duration trips. For both trip lengths, certain older age groups of users are less likely to choose the BSS compared to the reference age group “18–24”. More specifically, for short duration trips, the age group “45–54” has 0.29 of the odds of the reference age group “18–24” regarding preferring the BSS. For long duration models, the age group “55–64” has 0.06 of the odds of the age group “18–24” regarding preferring the bus. Having a higher education level makes it more likely to prefer the BSS. Having an occupation with a stable schedule seems to decrease the probability of preferring the BSS for long-duration trips. Users with a higher household income seem more likely to prefer the BSS for short-duration tips and less likely for long-duration trips. For the short duration trips, the household income groups “1201–1600 €” and “1601–2000 €” have 2.46 and 4.16 of the odds of the group “0–400 €”, respectively, regarding preferring the BSS. For longer duration trips, the household income groups “401–800 €” and “1201–1600 €” have 0.41 and 0.16 of the odds of the group “0–400 €”, respectively, regarding preferring the BSS.
3.3. Pedestrian Datasets
Regarding mode-specific variables, the cost and the duration of the BSS trip were found to be statistically important for both the short and long-duration models, while the duration of the trip by foot was only found to be statistically significant for the short-duration model. Increased BSS cost harshly reduces the probability of pedestrians preferring the BSS both for short and long duration trips (0.04 and 0.015 of the odds of preferring to walk per increased Euro of BSS cost, respectively). The increased duration of the BSS trip reduces the probability of being preferred, especially for the short-duration model (0.67 and 0.84 of the odds of preferring to walk per increased minute of BSS time for short and long duration trips, respectively). Increased duration of the trip by foot increased the probability of the BSS being chosen for the short-duration model (1.68 of the odds of preferring to walk per increased minute of walking time).
Trip frequency was only found to be statistically significant for long-duration trips, while trip purpose was found to be statistically significant for both short and long trip duration models. Pedestrians that repeat the trip less frequently (3–5 times a week or 3–5 times a month) are much more likely to prefer the BSS for long-distance trips compared to pedestrians that repeat the trip daily. Pedestrians with education as a trip purpose are more likely to prefer the BSS compared to pedestrians with work as a trip purpose for both trip durations, something that is also observed for pedestrians with “other reasons” as a trip purpose for short-duration trips. For long-duration trips, pedestrians with entertainment as a trip purpose are less like to prefer the BSS.
Regarding the variables describing the socioeconomic characteristics of the pedestrians, the variables for the pedestrians’ age group, occupation schedule stability and household income were statistically significant for both trip length models, while the variables for the users’ level of education and sex were only found to be statistically significant for the short- and long-duration models, respectively. For the short-duration model, pedestrians within the age group of 25–44 have increased probability of preferring the BSS compared to the reference age group of “18–24” (2.4 and 3.89 of the odds of preferring to walk for the age groups “25–34” and “35–44”, respectively, compared to the age group “18–24”), while pedestrians in the age group “45–64” have decreased probability in comparison (0.29 and 0.18 of the odds of preferring to walk for the age groups “45–54” and “55–64”, respectively, compared to the age group “18–24”). For long duration trips, only the age group “55–64” has decreased probability of preferring the BSS compared to the age group “18–24” (0.023 of the odds of preferring to walk). For short duration trips, household incomes of more than 2400 € appear to have increased probabilities of choosing the BSS compared to the reference household income group “0–400 €” (6.98 of the odds of preferring to walk). For longer duration trips, all household income categories except the “2001–2400 €” have increased probabilities of preferring the BSS compared to the reference group (0.001 to 0.058 of the odds of preferring to walk). Female pedestrians are more likely to prefer the BSS for long-duration trips, while the pedestrian’s gender did not seem to affect short-duration trips. Having a stable occupation schedule decreases the chance of preferring the BSS for both trip durations but more intensely so for long-duration trips. In addition, pedestrians with a higher education were less likely to prefer the BSS for short-duration trips but education was found to have no statistically significant effect for long-duration trips.
The variables found to affect the probability of preferring the BSS over each competitive transportation mode, for short and long duration trips, respectively, is visualized in the Venn diagrams of Figure 4 and Figure 5.
Figure 4.
Short distance models’ significant factors per current transport mode.
Figure 5.
Long distance models’ significant factors per current transport mode.
3.4. Models’ Goodness of Fit Tests
The statistical tests undertaken show a good fit of the proposed models. The Hosmer and Lemeshow Goodness of Fit test failed for the long-distance bus users model but literature has shown that the test’s results can be inaccurate for data sets with a number of covariate patterns less than the number of subjects, as is the case for the data of the long-duration model [57].
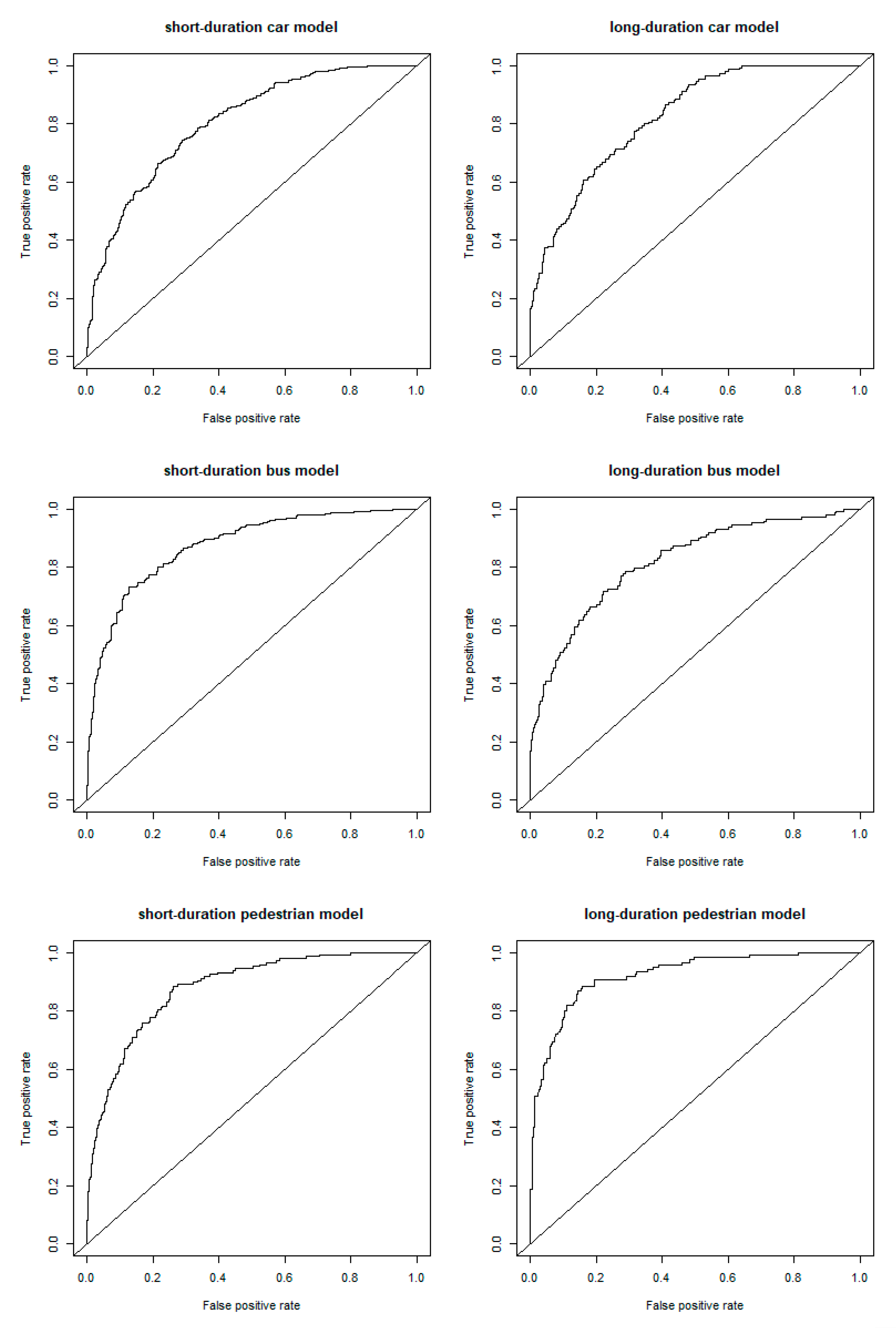
Figure 6 shows the Receiver Operating Characteristic (ROC) curves that have been plotted for all six models and consist of the true positive rate plotted against the false positive rate. The closer the plotted curves are to the left and top borders of the plot and the bigger the Area Under the Curve (AUC) is, the better the predictive capabilities of the model. The models’ AUCs are displayed in Table 9 and show that all of the models are very predictively efficient.
Figure 6.
Receiver Operating Characteristic (ROC) curves of the models.
Table 9.
Model Area Under the Curve (AUC) values.
4. Discussion and Conclusions
4.1. Main Findings
This paper attempts to identify the crucial factors that contribute towards BSS choice, by setting trip duration as a vital stratification parameter for analysis. Through that, various outcomes have been derived that demonstrate BSSs’ potential to substantially become a part of the larger urban ecosystem and replace or supplement traditionally dominant transport modes, both for shorter and longer trips.
The cost of the BSS was found to be statistically significant across all six datasets. While increased BSS cost radically decreases the probability of choosing the BSS across all three modes of transport, the decrease is much more intense for the pedestrian models and the short-duration bus users model, while it is less for the long-duration car users model. For car users, car cost was included in both short and long duration models but was more of a deterrent in the short-duration model. The same can be observed for the bus users’ models but its effect on the short-duration model is larger in magnitude. An increase in bus cost heavily increases the probability of choosing the BSS for short trips. While increased car cost for short trips also increases the probability of choosing the BSS, the increase is much more moderate compared to the bus, showing that car users are more hesitant to make the switch to the BSS due to increased costs compared to bus users and it also indicates that users are more willing to make the switch to an alternative mode of transport for short-duration trips when their typical mode of transport becomes more expensive.
IVT or total time of the BSS trips are included in all models and its increase is a meaningful deterrent to choose the BSS, especially for short-duration trips. At the same time, increased IVT and OVT of car and bus, respectively, increases the probability of choosing the BSS to a smaller degree, more prominently for short duration trips.
Regarding socioeconomic characteristics, older users seem to be more reluctant towards choosing the BSS across modes, while higher household income does not seem to affect different groups of users in the same way. Women car users are less likely to make the switch to the BSS compared to women that use the bus or travel on foot. Having an occupation with a stable schedule increases the probability of preferring the BSS only for short-duration car trips and decreases the probability for all other modes and durations except for short-duration trips by foot, where it was not found to be statistically significant. Bus users and pedestrians, with higher household income, are both more likely to prefer the BSS for short-duration trips and less likely to prefer it for long duration trips, possibly showing that, despite income, the BSS is a more attractive alternative for shorter trips.
Car users are more willing to switch to bike-sharing for commuting, while pedestrians are more willing choose it for entertainment, especially for short-duration trips. Pedestrians are very likely to choose the BSS for trips with education as a purpose.
If bike-sharing is to play an increasingly enhanced role towards a more sustainable urban transportation landscape, it is essential to understand what makes choosing it an attractive alternative. Different and discrete groups of users need to be identified and their separate needs and views of the mode evaluated and taken into consideration. The current paper manages to offer a deeper look into the profile of potential BSS users and the mechanisms behind their decision-making. The potential BSS user is more likely to choose the BSS for short duration trips but is very conscious of the BSS’s cost, especially when walking is a zero-cost alternative. Given enough incentives, including competitive cost and improved level of service—something that requires investments in dedicated bicycle lane infrastructure—they would be more willing to make the switch, and substitute their current mode of preference for a wide range of trip purposes, including both commuting and less frequently repetitive trips.
BSSs’ contribution to increased sustainability or urban mobility is two-fold; it is an active mode of transport, and it is a shared one. The external benefits of bicycle use have been consistently found to be heavily increased compared to the private car and they extend to health benefits, noise reduction, increased safety and environmental pollutants [58]. This difference becomes even more prominent by taking into consideration the heavy usage of cars for short trips in the urban environment. More specifically, a recent traffic study of Thessaloniki showed that approximately 45% of all trips done by car were shorter than 2.5 km [46]. This is an even more pronounced concentration of car trips on the shorter end of the distance spectrum than has been observed elsewhere [59]. Following a quantified approach that highlights the necessary incentives that would convince short trip car users to switch to a more sustainable alternative, provides the necessary insights towards formulating appropriate tools and mechanisms that would convert a good amount of those car trips to bicycle trips. These outcomes can be very productively utilized by policy makers and transportation planners towards formulating new regulations and incentives and setting up an integrated transport and mobility plan. Pricing BSS competitively and providing the necessary infrastructure makes them a time-saving option especially in the most time-sensitive short trips in the dense urban center, will increase usage and make them an even more approachable mobility option, through economies of scale. Municipality or corporation-supported actions that support or even partially fund regular use for commuting for their workers will promote frequent trips during peak-hours, when the increased congestion will make them even more competitive compared to heavily mechanized traffic.
Without a clear and concise image of the way potential users view bike-sharing—which factors affect their willingness to regularly use it and which make it a more daunting alternative—effectively planning for a future that promotes it and strives for its optimal utilization becomes challenging and uncertain. This challenge is getting even greater where a number of new players (e.g., bikes, scooters, etc.) are directly competing with each other without strict and structured regulations.
4.2. Limitations of the Study and Future Research Directions
This study is prone to limitations, such as the longitudinal limited area of the study and the focus on trip and sociodemographic characteristics. This does not take into consideration the behavioral predispositions that make BSS various levels of appealing or even a non-option, all other things considered equal, or practical challenges, such as unpredictable weather conditions and the want or need (depending on trip purpose and health) to abstain from physical exercise. In addition, the collected sample is shifted towards younger age groups compared to the city’s population, due to the relative unwillingness of older age groups to take part in the survey. The difference is more pronounced in the “55–64” and especially in the “>64” age groups, also because Greece is a country with a high average population age. The representativeness of the age group “35–44” is satisfactory as the percentage of the sample is close to that of the population. The younger age groups “18–24” and “25–34” are overrepresented in the sample, possibly because it was easier for younger respondents to take part in the online survey. The stated survey data collection that was used is less reliable than revealed preference alternatives, due to the hypothetical nature of the games in it. The data was collected by trained interviewers and while that method of collection offers some benefits, like better guidance of the respondents through the questions, it is also accompanied by threats, such as social desirability bias that could methodically affect the results, if the respondents felt they were put in a position where they were positively predisposed towards one choice. Furthermore, only the observations that made a non-neutral (“Definitely the Private Car” and “Definitely the BSS”) choice were utilized in the current study. While the observations with a neutral choice (“Probably the Private Car”, “I Don’t Know”, “Probably the BSS”) were a low percentage of the overall sample (less than 8%), it is a limitation of the current study that they were not included. Lastly, some endogeneity bias might have been introduced in the model due to the adaptive nature of the survey and merged the short and medium trip durations into one [60].
It would be beneficial for future research to focus, in greater detail, on the disincentives and deterrents or practical challenges that would make BSS services less appealing for car users, especially for short urban trips. That would allow for potential hurdles on the way to be removed and even alternative business and operating plans to be developed, which are more closely fitted to the users’ needs. Towards that, a multinomial model could be utilized, which makes full use of the possible choices available to the respondents. Moreover, as the city’s mobility ecosystem becomes richer, the interactions between currently dominant modes of transport and the BSS with new modes, like shared ridehailing or shared e-scooters, is very promising.
Author Contributions
Conceptualization, I.P. and I.F.; methodology, I.P. and I.F.; formal analysis, I.F. and A.N.; investigation, I.P., I.F. and E.P.; resources, E.P. and E.V.; data curation, A.N. and E.V.; writing—original draft preparation, I.P., I.F., E.P., A.N. and E.V.; writing—review and editing, I.P., I.F., E.P., A.N. and E.V.; visualization, I.F. and E.P.; supervision, I.P. All authors have read and agree to the published version of the manuscript.
Funding
Part of this study was funded within the framework of the C.H.A.N.G.E. project: “EnhanCing tHe bicycLe-shAre EcoNomy throuGh InnovativE Services & Applications”. This research has been co-financed by the European Regional Development Fund of the European Union and Greek national funds through the operational program Competitiveness, Entrepreneurship and Innovation, under the call RESEARCH – CREATE – INNOVATE (project code: T1EDK- 04582).
Acknowledgments
The authors would like to thank the three anonymous reviewers that evaluated our paper through the peer review system. The time they invested, their constructive criticism and thoughtful and fair comments on the submitted version of our paper made a much-improved version of it possible.
Conflicts of Interest
The authors declare no conflict of interest.
References
- Cohen, A.; Shaheen, S. Planning for Shared Mobility; American Planing Association: Chicago, IL, USA, 2018. [Google Scholar]
- Shared - Use Mobility Center Shared-Use Mobility Reference Guide. Available online: https://sharedusemobilitycenter.org/wp-content/uploads/2015/09/SharedUseMobility_ReferenceGuide_09.25.2015.pdf (accessed on 19 July 2019).
- Turoń, K.; Kubik, A. Economic aspects of driving various types of vehicles in intelligent urban transport systems, including car-sharing services and autonomous vehicles. Appl. Sci. 2020, 10, 5580. [Google Scholar] [CrossRef]
- Midgley, P. Bicycle-Sharing Schemes: Enhancing Sustainable Mobility in Urban Areas; Commission on Sustainable Development: New York, NY, USA, 2011. [Google Scholar]
- Parkes, S.D.; Marsden, G.; Shaheen, S.A.; Cohen, A.P. Understanding the diffusion of public bikesharing systems: Evidence from Europe and North America. J. Transp. Geogr. 2013, 31, 94–103. [Google Scholar] [CrossRef]
- ECF. Factsheet—The Rise of Bicycle Sharing Schemes; EFC: Brussels, Belguim, 2012. [Google Scholar]
- New York City Department for City Planning. Bike-Share. Opportunities in New York City; New York City Department for City Planning: New York, NY, USA, 2009.
- Mátrai, T.; Tóth, J. Comparative Assessment of Public Bike Sharing Systems. Transp. Res. Procedia 2016, 14, 2344–2351. [Google Scholar] [CrossRef]
- Shaheen, S.A.; Guzman, S.; Zhang, H. Bikesharing in Europe, the Americas, and Asia. Transp. Res. Rec. J. Transp. Res. Board 2010, 2143, 159–167. [Google Scholar] [CrossRef]
- Fishman, E.; Washington, S.; Haworth, N.; Watson, A. Factors influencing bike share membership: An analysis of Melbourne and Brisbane. Transp. Res. Part A Policy Pract. 2015, 71, 17–30. [Google Scholar] [CrossRef]
- Ricci, M. Bike sharing: A review of evidence on impacts and processes of implementation and operation. Res. Transp. Bus. Manag. 2015, 15, 28–38. [Google Scholar] [CrossRef]
- Yang, T.; Li, Y.; Zhou, S. System dynamics modeling of dockless bike-sharing program operations: A case study of mobike in Beijing, China. Sustainability 2019, 11, 1601. [Google Scholar] [CrossRef]
- Ban, S.; Hyun, K.H. Designing a User Participation-Based Bike Rebalancing Service. Sustainability 2019, 11, 2396. [Google Scholar] [CrossRef]
- Nikitas, A. How to save bike-sharing: An evidence-based survival toolkit for policy-makers and mobility providers. Sustainability 2019, 11, 3206. [Google Scholar] [CrossRef]
- Shi, J.G.; Si, H.; Wu, G.; Su, Y.; Lan, J. Critical factors to achieve dockless bike-sharing sustainability in China: A stakeholder-oriented network perspective. Sustainability 2018, 10, 2090. [Google Scholar] [CrossRef]
- DeMaio, P. Bike-sharing: History, impacts, models of provision, and future. J. Public Transp. 2009, 12, 41–56. [Google Scholar] [CrossRef]
- Winslow, J.; Mont, O. Bicycle sharing: Sustainable value creation and institutionalisation strategies in Barcelona. Sustainability 2019, 11, 728. [Google Scholar] [CrossRef]
- European Commission Urban Mobility Package. Available online: https://ec.europa.eu/transport/themes/clean-transport-urban-transport/urban-mobility/urban-mobility-package_en (accessed on 20 July 2019).
- Guo, Y.; Zhou, J.; Wu, Y.; Li, Z. Identifying the factors affecting bike-sharing usage and degree of satisfaction in Ningbo, China. PLoS ONE 2017, 12, 1–19. [Google Scholar] [CrossRef] [PubMed]
- Shaheen, S.A.; Zhang, H.; Martin, E.; Guzman, S. China’s Hangzhou Public Bicycle: Understanding Early Adoption and Behavioral Response to Bikesharing. Transp. Res. Rec. J. Transp. Res. Board 2011, 2247, 33–41. [Google Scholar] [CrossRef]
- Fuller, D.; Gauvin, L.; Kestens, Y.; Daniel, M.; Fournier, M.; Morency, P.; Drouin, L. Use of a new public bicycle share program in Montreal, Canada. Am. J. Prev. Med. 2011, 41, 80–83. [Google Scholar] [CrossRef]
- Ogilvie, F.; Goodman, A. Inequalities in usage of a public bicycle sharing scheme: Socio-demographic predictors of uptake and usage of the London (UK) cycle hire scheme. Prev. Med. 2012, 55, 40–45. [Google Scholar] [CrossRef]
- LDA Consulting. Capital Bikeshare 2011 Member Survey Report; LDA Consulting: Washington, DC, USA, 2012. [Google Scholar]
- Buck, D.; Buehler, R.; Happ, P.; Rawls, B.; Chung, P.; Borecki, N. Are Bikeshare Users Different from Regular Cyclists? Transp. Res. Rec. J. Transp. Res. Board 2013, 2387, 112–119. [Google Scholar] [CrossRef]
- Yang, T.; Haixiao, P.; Qing, S. Bike-sharing systems in Beijing, Shanghai and Hangzhou and their impact on travel behaviour. In Proceedings of the Transportation Research Board 90th Annual Meeting, Washington, DC, USA, 23–27 January 2011. [Google Scholar]
- Jensen, P.; Rouquier, J.B.; Ovtracht, N.; Robardet, C. Characterizing the speed and paths of shared bicycle use in Lyon. Transp. Res. Part D Transp. Environ. 2010, 15, 522–524. [Google Scholar] [CrossRef]
- Martin, E.W.; Shaheen, S.A. Evaluating public transit modal shift dynamics in response to bikesharing: A tale of two U.S. cities. J. Transp. Geogr. 2014, 41, 315–324. [Google Scholar] [CrossRef]
- Fishman, E.; Washington, S.; Haworth, N. Bike Share: A Synthesis of the Literature. Transp. Rev. 2013, 33, 148–165. [Google Scholar] [CrossRef]
- Fishman, E.; Washington, S.; Haworth, N. Barriers and facilitators to public bicycle scheme use: A qualitative approach. Transp. Res. Part F Traffic Psychol. Behav. 2012, 15, 686–698. [Google Scholar] [CrossRef]
- Buck, D.; Buehler, R. Bike lanes and other determinants of capital bikeshare trips. In Proceedings of the 91st Transportation Research Board Annual Meeting, Washington, DC, USA, 22–26 January 2012. [Google Scholar]
- Cervero, R.; Duncan, M. Walking, Bicycling, and Urban Landscapes: Evidence from the San Francisco Bay Area. Am. J. Public Health 2003, 93, 1478–1483. [Google Scholar] [CrossRef] [PubMed]
- Zhao, J.; Deng, W.; Song, Y. Ridership and effectiveness of bikesharing: The effects of urban features and system characteristics on daily use and turnover rate of public bikes in China. Transp. Policy 2014, 35, 253–264. [Google Scholar] [CrossRef]
- Rixey, R.A. Station-Level Forecasting of Bikesharing Ridership. Transp. Res. Rec. J. Transp. Res. Board 2013, 2387, 46–55. [Google Scholar] [CrossRef]
- Bachand-Marleau, J.; Lee, B.H.Y.; El-Geneidy, A.M. Better Understanding of Factors Influencing Likelihood of Using Shared Bicycle Systems and Frequency of Use. Transp. Res. Rec. J. Transp. Res. Board 2012, 2314, 66–71. [Google Scholar] [CrossRef]
- Wang, X.; Lindsey, G.; Schoner, J.E.; Harrison, A. Modeling Bike Share Station Activity: Effects of Nearby Businesses and Jobs on Trips to and from Stations. J. Urban Plan. Dev. 2015, 142, 04015001. [Google Scholar] [CrossRef]
- Faghih-Imani, A.; Eluru, N.; El-Geneidy, A.M.; Rabbat, M.; Haq, U. How land-use and urban form impact bicycle flows: Evidence from the bicycle-sharing system (BIXI) in Montreal. J. Transp. Geogr. 2014, 41, 306–314. [Google Scholar] [CrossRef]
- Campbell, A.A.; Cherry, C.R.; Ryerson, M.S.; Yang, X. Factors influencing the choice of shared bicycles and shared electric bikes in Beijing. Transp. Res. Part C Emerg. Technol. 2016, 67, 399–414. [Google Scholar] [CrossRef]
- Shengchuan, J.; Yuchuan, D. Combining Revealed and Stated Preference Methods to Evaluate the Use of Bicycle-Sharing Systems. In Proceedings of the Fourth International Conference on Transportation Engineering, Chengdu, China, 19–20 October 2013. [Google Scholar]
- Thessaloniki, C. Resilient Thessaloniki: A Strategy for 2030; Thessaloniki: Thessaloniki City, Greece, 2017. [Google Scholar]
- Pozoukidou, G. Land use transport interaction models: Application perspectives for the city of Thessaloniki. Spatium 2014, 1, 7–14. [Google Scholar] [CrossRef]
- Thessaloniki Public Transportation. Socio-Economic Study in the Thessaloniki Metro extension to Kalamaria; Thessaloniki: Thessaloniki city, Greece, 2011. [Google Scholar]
- Thessbike. Website of Thessaloniki’s Bike Sharing System. Available online: http://www.thessbike.gr/en/ (accessed on 20 July 2019).
- Katkadikas, R. No TitleManagement and Analysis of Massive Data (Big Data) of the Public Bicycle Users in the City of Thessaloniki by Using the Programming Language R; Aristotle University of Thessaloniki: Thessaloniki, Greece, 2016. [Google Scholar]
- Bikeazy. Website of Bikeazy System. Available online: https://bikeazy.gr/ (accessed on 20 July 2019).
- Limesurvey. Available online: https://www.limesurvey.org/ (accessed on 20 July 2019).
- Politis, I.; Papadopoulos, E.; Fyrogenis, I.; Nikolaidou, A.; Verani, E.; Delivopoulos, G. CHANGE Project Transport Model—Report 2.2; Aristotle University of Thessaloniki, Transport Engineering Laboratory: Thessaloniki, Greece, 2019. [Google Scholar]
- Garson, G.D. Logistic Regression: Binary and Multinomial; Statistical Associates: Asheboro, NC, USA, 2014. [Google Scholar]
- R Core Team. R: A Language and Environment for Statistical Computing; R Core Team: Vienna, Austria, 2018. [Google Scholar]
- Wickham, H.; Francois, R.; Henry, L.; Muller, K. dplyr: A Grammar of Data Manipulation, R Package Version 0.8.3. Available online: https://cran.r-project.org/package=dplyr (accessed on 20 July 2019).
- Wickham, H. The Split-Apply-Combine Strategy for Data Analysis. J. Stat. Softw. 2011, 40, 1–29. [Google Scholar] [CrossRef]
- Wickham, H. Stringr: Simple, Consistent Wrappers for Common String Operations, R Package Version 1.3.0. 2018. Available online: https://CRAN.R-project.org/package=stringr (accessed on 20 July 2019).
- Jackman, S. Pscl: Classes and Methods for R Developed in the Political Science Computational Laboratory, R Package Version 1.4.9. Available online: http://pscl.stanford.edu/ (accessed on 20 July 2019).
- Jay, M. Generalhoslem: Goodness of Fit Tests for Logistic Regression Models, R Package Version 1.3.3. Available online: https://cran.r-project.org/ (accessed on 20 July 2019).
- Sing, T.; Sander, O.; Beerenwinkel, N.; Lengauer, T. ROCR: Visualizing classifier performance in R. Bioinformatics 2005, 21, 3940–3941. [Google Scholar] [CrossRef] [PubMed]
- Stevenson, M.; Nunes, T.; Heuer, C.; Marshall, J.; Sanchez, J.; Thorn-, R.; Reiczigel, J.; Robison-cox, J.; Sebastiani, P.; Solymos, P.; et al. Epir: Tools for the Analysis of Epidemiological Data, R Package Version 0.9–79. Available online: https://cran.r-project.org/package=epiR (accessed on 20 July 2019).
- Lele, S.R.; Keim, J.L.; Solymos, P. ResourceSelection: Resource Selection (Probability) Functions for Use-Availability Data. Available online: https://www.google.com/url?sa=t&rct=j&q=&esrc=s&source=web&cd=&cad=rja&uact=8&ved=2ahUKEwiz6--n9pTsAhVScCsKHXbSDK8QFjAAegQIARAC&url=https%3A%2F%2Fcran.r-project.org%2Fweb%2Fpackages%2FResourceSelection%2FResourceSelection.pdf&usg=AOvVaw16eU8ZwC_4aQ6tDtDzfF-g (accessed on 20 July 2019).
- Bertolini, G.; D’Amico, R.; Nardi, D.; Tinazzi, A.; Apolone, G. One model, several results: The paradox of the Hosmer-Lemeshow goodness-of-fit test for the logistic regression model. J. Epidemiol. Biostat. 2000, 5, 251–253. [Google Scholar] [PubMed]
- Meschik, M. Reshaping City Traffic Towards Sustainability Why Transport Policy should Favor the Bicycle Instead of Car Traffic. Procedia Soc. Behav. Sci. 2012, 48, 495–504. [Google Scholar] [CrossRef]
- Cole, R.; Turrell, G.; Koohsari, M.J.; Owen, N.; Sugiyama, T. Prevalence and correlates of walkable short car trips: A cross-sectional multilevel analysis. J. Transp. Health 2017, 4, 73–80. [Google Scholar] [CrossRef]
- Liu, Q.; Otter, T.; Allenby, G.M. Investigating endogeneity bias in marketing. Mark. Sci. 2007, 26, 642–650. [Google Scholar] [CrossRef]
© 2020 by the authors. Licensee MDPI, Basel, Switzerland. This article is an open access article distributed under the terms and conditions of the Creative Commons Attribution (CC BY) license (http://creativecommons.org/licenses/by/4.0/).





