Abstract
Urbanization and ageing are the two main processes currently shaping the social environment worldwide. In this context, creating senior friendly cities should be an important target, especially in developed countries, which have the highest rates of population over 60 years old. Our study focuses on the use of urban parks and aims to analyze how friendly their planning, design, and use are for elderly people. We used field observation carried out in four case study parks in Bucharest (Romania) to assess the spatial planning and design of urban parks, and to identify the environmental problems. We applied a total of 5752 questionnaires (16% to elderly people) in the majority of Bucharest’s parks in order to analyze the behavior and perception of seniors in contrast with that of the general population. The analysis highlighted the lack of endowments especially planned or designed for seniors and the multiple problems deriving from their interaction with other visitor groups which make them feel disrespected or unsafe. Our study highlights the need for including the needs, demands, and desires of elderly people in decision making processes, with the aim of creating inclusive and senior friendly parks.
1. Introduction
The role of urban parks changes over time as the cities they are found in evolve. Nowadays, urban parks are probably more important than ever, since cities are becoming larger and overcrowded, while lifestyles become increasingly sedentary. Modern urban parks play a critical role in providing and regulating cultural ecosystem services for the urban population.
Urban parks are important elements of city infrastructure, providing numerous and diverse functions and benefits. A not exhaustive list includes positive impacts on health and wellbeing, through recreation, leisure, and sport activities [1]; community development, sense of place, identity, and social cohesion, through cultural activities and providing space and occasion for social interaction and mutual understanding [2]; education, as people can discover plants, animals and natural phenomena or use parks as outdoor classrooms [3]; the economy, as the presence of parks generates investment opportunities, attracts customers, including tourists [4], and increases the price of properties in the vicinity [5,6]; ecosystem functioning, through a range of ecosystem services, from biodiversity conservation to resource production [7], improving air quality (absorbing pollutants, regulating humidity) [8], carbon sequestration, water management (storm water absorption, and run off regulation), and mitigating urban heat islands [9].
Along with urbanization, ageing represents one of the two processes currently shaping the social environment [10]. By 2050 it is expected that the elderly population (over 60 years old) will represent 22% of the world population, a bigger share than that represented by children (under 14 years old) [11]. Europe is leading in these statistics, with a projection of 34% of elderly people by mid-century.
In this context, creating age-friendly cities should represent a priority at the global level. Through their planning and design characteristics, cities should compensate for physical and social changes associated with age [12]. Since green areas represent an important feature in increasing the physical and mental health of elderly people [13], urban parks should integrate elements facilitating their access and use for this category of population. Studies have established that in order to achieve inclusive design for urban parks, three elements are of importance–safety, accessibility and maintenance [14]. Also, of importance are elements like the use of contrasting colors for orientation, adding graphics on signs facilitating understanding, optimizing benches for accessibility from wheelchairs, or ensuring the presence of both sun and shadow parts in relaxation areas [15]. In Romania, given the high percent of elders exposed to poverty, the importance of parks increases since their use is not cost dependent.
A study undertaken in 35 cities [10] showed that many elderly people would prefer a spatial delimitation from crowded urban parks, whether through demarcated areas inside parks or through special green areas that are smaller and quieter than the busy parks. Studies related to elderly people in green areas usually focus on the accessibility of parks, which became a major environmental justice issue [16,17], on the perceived health benefits [18], safety [19], and their preferences for nature based recreation [13].
Urban parks are places where natural and social characteristics intersect and both are considered important [20]. Favoring one to the detriment of the other without careful thought can lead to conflicts based on the urban parks use, management, costs, maintainability, landscaping, etc. Since the urban parks are used in various ways and schedules by concurring visitors, planning has to provide accommodation for all forms of use. Poor urban parks planning translates into overcrowded areas, while other areas are empty, examples including the use of insufficiently large pathways by both walkers and bicycle riders [21], a lack of enclosed space for dog walkers, use of open spaces as improvised sport fields [22], destruction of natural features by overuse or misuse [23], etc., all creating potential for conflicts between the users.
Urban parks are places where numerous and sometimes very different categories of users converge in order to fulfil very specific needs. Categories of users differentiate by age, gender, education, ethnicity, lifestyle, health, or mobility, while uses range from recreation and leisure, sports and physical activities, culture and education to social life, community activities, and alleviating health problems. When the park size is insufficient size, there are too many visitors, and/or there is poor design, the potential for conflictual use increases. Some users are at odds due to the nature of their use of the park, such as dog walkers vs. other park visitors [24] or bicycle riders vs. pedestrians [21]. Conflicts emerge also due to the users’ profile, such as old people vs. young people, due to poor community coherence, misbehavior, or lack of mutual understanding [25].
Studying urban parks functions in order to provide better planning can facilitate social cohesion, since it is where different categories of users interact and get to know each other [26], but also where people find intimacy [27]. Planning of urban parks should also find the right balance between nature and social aspects and endowments, as both are responsible for attracting visitors [20], but also imply specific issues.
Social connection is considered extremely important for elderly users [28,29], so this aspect should be taken into consideration when planning urban parks. The large number of categories of users and uses needs all to be accounted and planned for. Notably, Vierikko et al. (2019) [20] identified more than 50 motivations for park use and over 100 features that people enjoyed during their visits. Urban parks use as a transit area needs to be accommodated through specific designs and features. One of the reasons for visiting parks infrequently was “improper park management” [30], so specific design problems have to be tackled.
There is a serious research gap related to the study of the recreational activities and environmental attributes preferred by the elders, as Wen et al. (2018) indicate in their review [13].
Moreover, most of the existing studies are based on qualitative assessment therefore, not being precise enough to guide practitioners [13]. Our study tries to fill this gap offering a quantitative perspective of the needs, demands, and desires of elders visiting parks in Bucharest and, at the same time, comparing their characteristics with those of younger visitors.
Our study focuses on the use of urban parks and aims to analyze how friendly their planning, design, and use are for elderly people. The objectives of the study are (1) assessing the planning of urban parks in relation with elderly people needs and (2) comparing the behavior and perception of elderly people visiting urban parks with those of other groups of visitors.
2. Materials and Methods
2.1. Study Area
Bucharest is the capital city of Romania, a very dynamic and cosmopolitan city, bearing the signs of both the socialist and the post-socialist periods. The city is located in a plain area characterized by favorable living and building conditions [31], with a temperate climate and access to fresh water. In previous decades, the area was often affected by extreme temperatures [32], in turn increasing the importance of urban green areas. The city is characterized by an average of 108 summer days/year (maximum temperature over 25 °C) and 36.9 tropical days/year (maximum temperature over 30 °C) [33]. Most of the city is the result of centralized planning, which is visible in multistoried blocks of flats forming large socialist neighborhoods [34]. Meanwhile, the peripheries are the result of post-socialist urban development characterized by urban sprawl [35] and land abandonment [36]. Over 41% of the city area is built up [36] while only around 15% is represented by urban green areas [37]. There are 102 parks in the city covering an area of 790.62 ha [37].
Bucharest has a population of 2.13 million inhabitants [38], which equates to a density of around 8000 inhabitants/km2 and an urban park share of 3.7 m2/capita. With the elderly (those over 60 years [39]) making up 24.7% of the population, which is more than double the world average (12% [40]), Bucharest faces serious problems related to ageing. The ageing tendency in Bucharest is especially pronounced (Figure 1) compared with 1992 (the first census after the fall of the socialist regime).
Figure 1.
The elderly population in Bucharest (data source: National Institute of Statistics, 2019 [38]).
2.2. Assessing the Planning of Urban Parks
As a consequence of the climatic characteristics and the fact that the majority of large green area in the city were built before 1990, the majority of parks in Bucharest are usually densely forested. Due to their small surface area and high vegetation coverage inside urban parks, endowments and utilities cannot be identified through cartographic interpretation and analysis [41].
Therefore, in order to assess the planning characteristics of urban parks, we developed a spatial database containing general information (limits, alleys, entrances, lakes), endowments (playgrounds, fitness areas, chess tables, sports areas, fountains, dog-walking areas, bicycle lanes, etc.), facilities (toilets, guard posts, first aid points, drinking fountains) and problems (areas with slopes (higher than 10%), noise, smells, waste, dogs, homeless people etc.) encountered in urban parks.
For each of the identified elements, we assessed the spatial characteristics (length, area), quality of maintenance and upkeep (on a scale from 1 to 5, 1 representing a very poor state and 5 a very good one) and use (on a scale from 1 to 5, 1 representing an empty location and 5 a very crowded one, with the possibility of pointing out an irrelevant moment of observation). The database was populated in the field using the ESRI application Collector for ArcGIS [42] by three different operators. The field survey was undertaken in August 2019, during vegetation season. A guideline containing detailed information about the types of endowments, facilities and problems and the scales for assessing their quality and use was provided to the three operators. To further ensure the uniformity of observations, a validation test involving the mapping of a small surface by all the operators was performed with an 87% similarity rate.
We selected four urban parks in Bucharest (Table 1) and mapped them using Collector for ArcGIS in order to analyze their planning characteristics. Our sample contains parks which are representative for the study: one metropolitan park that is of great importance at the city level, a large municipal park which is at the same time a historic park, a small municipal park and a district park. No transit parks were mapped, since their main utility refers to reaching a destination, not passing the time.
Table 1.
Characteristics of the analyzed urban parks.
Based on the derived spatial database, we calculated indicators (areas with slopes over 10%, number and diversity of endowments and utilities, both general and used by elderly people, distance between entrances, etc.) to establish whether urban parks are planned by taking into account the needs and preferences of elderly people.
Since vegetation and shadow are greatly appreciated characteristics of green areas, especially in cities with a high number of summer and tropical days, such as Bucharest, we also mapped the areas with low to high tree canopies. We used a Sentinel 2A imagine with a 10 m resolution [43] from 28 September 2018 with 0% cloud cover in order to calculate the Normalized Difference Vegetation Index (NDVI). We considered the areas characterized by values between 0.3 and 0.7 as low-to-average tree canopy and those with values over 0.7 to equate to a high-to-total tree canopy [44].
2.3. Analysing the Behaviour and Perception of Elderly People Visiting Urban Parks
We assessed the behavior and perception of elderly people visiting urban parks in order to establish the differences between their needs, demands, and desires, and those of the general population. We developed and administrated a questionnaire between 2007 and 2018 inside parks in Bucharest (including the four parks mapped in order to analyze their planning and design). The questionnaire was administrated in different areas of the parks (on the alleys, near playgrounds, restaurants, sports areas, etc.), both during weekdays and weekends, on warm, sunny days in order to increase the chance of responses, and we randomly selected the respondents. The questionnaire contained 10 questions—six close ended and four open ended.
We gathered information regarding the reasons for choosing the parks (proximity, endowments, accessibility, another motivation), the activities undertaken inside parks (recreation, walking, walking with children or pets, sports, meeting friends, transit, restaurants, or other) as well as the duration (from less than an hour to more than three hours) and frequency (daily, 2–3 times a week, weekly, monthly or accidentally) of visits. The visitors also indicated the mean of transportation they use to reach the park (walking, by bus, tram, metro, car, or bicycle). We were also interested in the aspects the visitors appreciated and especially disliked (collected as open ended questions), the latter representing important potential causes of conflict emergence. For the characterization of the sample, the visitors were asked to provide their address, age, and gender.
The resulting database contained 5752 questionnaires from which 922 administrated to elderly people and 4830 administrated to other categories of visitors. Both samples were gender balanced. In terms of age representation, the elderly sample comprised people aged between 60 and 95 years old, with 67% between 60 and 70 years, a category still active in the labor market and 33% over 70 years old. The sample referring to other categories of visitors comprised of people aged between 14 and 59 years old, with 21% under 20 years old, 39% between 21 and 30 years old, and 25% between 31 and 40 years old. The small percentage of people between 41 and 59 years included in the sample (15%) reflects a small number of people in this age category visiting the parks due to a full schedule and maturity in their personal lives (the majority have older children).
We used descriptive statistics in order to analyze the characteristics of the two groups (elderly population and other categories of visitors). We applied the Pearson chi-square test in order to establish if there are significant differences between the behavior of elderly people and that of the other categories of visitors. We also tested the differences between the elderly population which may still be active in the labor market (under 70 years old) and those with a high probability of developing physical impurities. We applied qualitative document analysis when coding the preferences and dislikes of the two groups and ran frequency tests to establish the main preferences and identified problems.
3. Results
3.1. Main Planning Characteristics of Urban Parks
Field observations in the four case-study parks highlighted a diverse range of endowments (Figure 2), regardless of the surface area or category (metropolitan, municipal, district) of the parks. The number and diversity of endowments are directly correlated with the parks’ surface area; meanwhile, their density is smaller in large parks (Table 2), leaving room for extensive green areas.
Figure 2.
Endowments and problems inside the case-study parks identified during the field analysis.
Table 2.
Indicators that characterize planning in urban parks.
There are no categories of endowments especially created or designed for elderly people (similar to playground areas for children), but chess tables are almost exclusively used by them. They are only found in the two largest parks from our case studies and their surface area is very small. Among the endowments appreciated by the elderly are fitness areas, playgrounds, restaurants, and fountains (as stated in the questionnaires). The best spatially represented category refers to playgrounds, which occupy the largest surfaces among the endowments in all of the studied parks. Fitness areas have generally been newly introduced in the majority of parks, whereas restaurants have increased their surface coverage inside urban parks in recent years.
The best represented utilities in urban parks are toilets and guard posts, which are currently found in all sampled parks. Drinking fountains are scarce, even if they were a common utility inside parks years ago. First aid and e-charging points are very poorly represented.
The analysis of vegetation cover and density revealed that parks in Bucharest have surfaces significantly covered by dense forest like vegetation (from around 49% in Tineretului Park to 74% in Titus Ozon Park) and sparse forest like vegetation (between 24% in Titus Ozon Park and 33% in Tineretului Park). Larger parks have a smaller percentage of surfaces covered by forest-like vegetation, since they usually have waterbodies and a greater number and diversity of endowments which cover larger surfaces.
The field observations highlighted a wide variety of problems inside the parks (Figure 2). We consider that the most important, from the perspective of elderly people, who represent a group with reduced mobility, is related to large surfaces with slopes. Three of the analyzed parks have large surfaces with slopes (around 20% of the park surface) (Table 3). Access between high and low areas in the parks is most commonly provided through stairs (around 10 sets of stairs in each of the three parks), usually in poor condition and without handrails. There is a possibility of detours using ramps (alleys with slope) but walking distances substantially increase for this option.
Table 3.
Indicators that characterize problems in urban parks.
The significant distance between entrances is a problem characterizing large parks, since the recommended walking distance to green areas for low-mobility groups is around 250 m [45]. Other identified problems relate to noise, waste, and smells, which interfere with benefits generated by green areas, degraded infrastructure, which can impose barriers to walking, and areas characterized by insecurity such as the alleys close to lakes.
3.2. Assessment of the Behaviour of Elderly People in Urban Parks
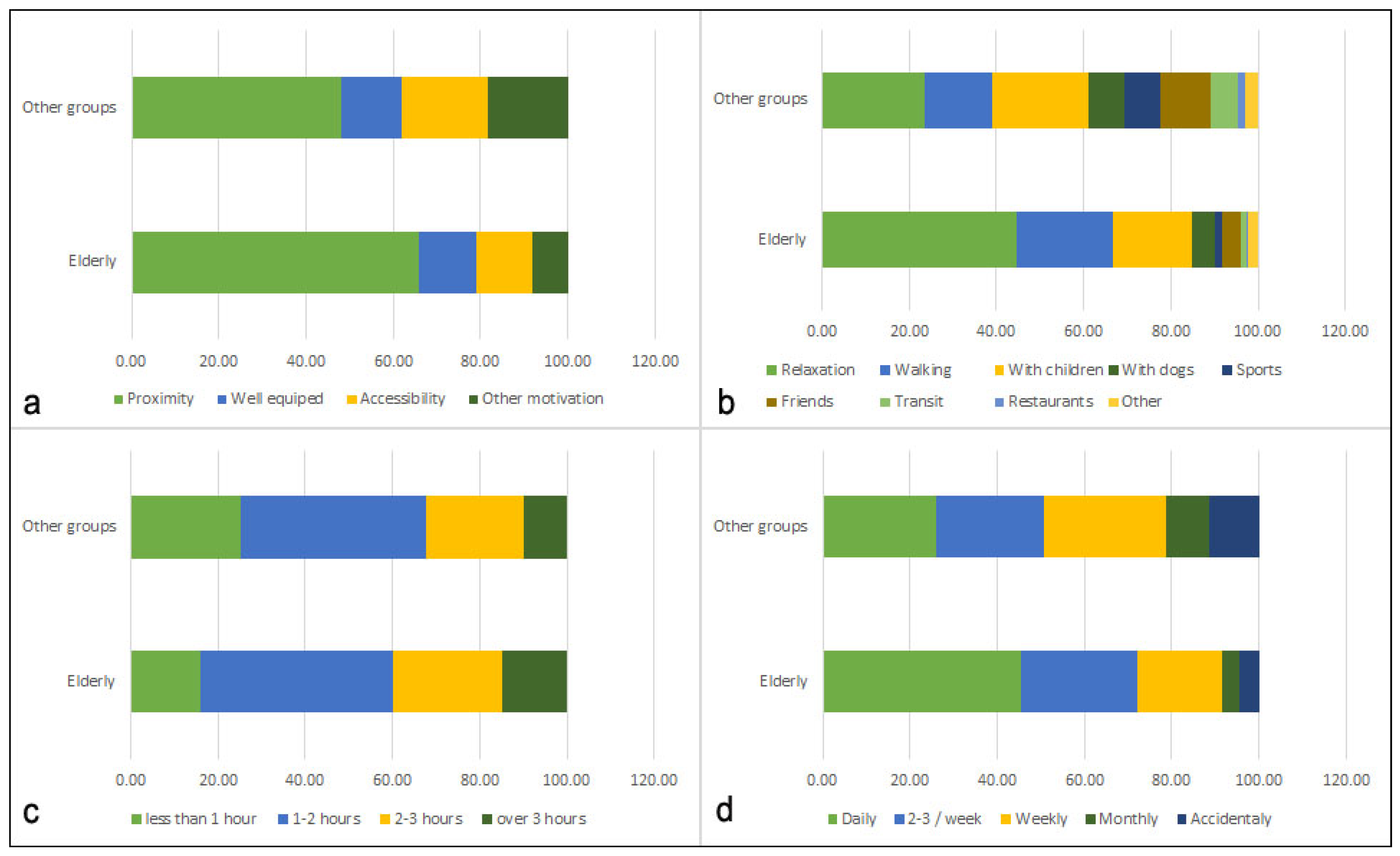
Proximity is the main reason why elderly people chose a park (around 65%), while other categories also take more into account aspects such as accessibility (Figure 3). Elderly people usually prefer passive activities such as relaxation (around 45%), reading, observing nature, feeding animals (usually pigeons) or, sometimes, socializing. When choosing active relaxation, they usually prefer walking alone, accompanied by children or dogs. The other categories of visitors mostly appreciate active recreation and, apart from walking and playing with children and dogs, they prefer taking part in sports and using bicycles, roller skates, or skateboards. They also like to frequent the restaurants inside parks.
Figure 3.
Behavior of the Bucharest urban parks visitors as derived from questionnaires: (a) reason for choosing the parks, (b) preferred activities, (c) duration of visits, (d) frequency of visits.
Elderly people tend to spend more time per visit in urban parks, but the largest share, as in the case of other categories of visitors, stays 1–2 h per visit. However, elderly people spend more time in parks because they visit them with a higher frequency, with almost half of this group making daily visits. A total of 92% of elderly people visit parks at least once a week, in contrast with only 80% of the other categories of visitors. Moreover, around 7% of the other categories of visitors assert they only transit the park in their daily route.
Around 75% of elderly people and 60% of the other categories of visitors walk in order to reach the parks. The remaining 25% of elderly people almost entirely use public overground transportation, while the other categories’ options are more diverse and include the metro, cars, and bicycles.
The results of the Pearson chi-square test (Table 4) show significant differences between elders and other categories of visitors in term of reasons for choosing a specific park, preferred activities, duration and frequency of visits, and means of transportation used to get to the parks. The highest correlations between the appurtenance to a group and behavior were registered in the case of preferred activities (φc = 0.227), frequency of visits, and means of transportation. There are no significant differences between the different categories of elders (under 70 years old vs. over 70 years old), apart from the preferred activities which are slightly correlated with the age group (φc = 0.192).
Table 4.
Results of the Pearson chi-square test.
3.3. Analysis of the Perception of Elderly People Related to Urban Park Use
The results of the questionnaire-based analysis show that elderly people have different perceptions, needs, and desires related to the use of urban parks compared to the other groups of visitors. These differences are reflected in the endowments they use and the ones they prefer inside the parks, what they appreciate and would prefer not to be modified or disturbed, and especially what they dislike.
The group of elderly people identified a smaller diversity of elements that they appreciate inside the urban parks (Figure 4) than that put together by the other categories of visitors. Both groups singled out vegetation (21.4% of elderly people vs. 15.6% of others), cleanness (14.6% vs. 10.2%) and silence (12.7% vs. 11.6%) as the most appreciated aspects, although they are more important to elderly people, representing 48.7% of the expressed answers compared to the other categories of visitors (37.4%). Among the endowments inside the parks, elderly people enjoy the chess tables and playgrounds, although they mostly use the benches and the fitness areas. In contrast, the other groups highly appreciate the sports areas (including the bicycle lanes and roller-skating infrastructure), surfaces and design elements, and the lakes or fountains, as well as intensely using the playgrounds. Both groups appreciate the proximity, clean air, aesthetics, and planning of the parks.
Figure 4.
The elements most appreciated inside urban parks by elderly people.
Elderly people consider that, in planning urban parks, the authorities should install more fitness areas, chess tables, benches, shadowed pavilions, and drinking fountains. In terms of events, the majority of them would welcome the organization of cultural events such as theatre performances, concerts, fairs and chess contests.
A total of 14.3% of the elderly people surveyed and 11.8% of the other categories consider that the parks have no problems. Both groups consider the most important problem inside the parks to be represented by dogs, both stray and accompanied, since they create waste and can be aggressive and unsupervised. Again, elderly people identify fewer problems, the most important being the noise produced by traffic or visitors, dirt and waste, and the lack of benches. The other categories of visitors identified much more diverse problems related to the degradation of infrastructure (especially alleys), crowded areas, the small surface area of some parks, and a limited number of endowments (playgrounds, sports areas, dog-walking areas, bicycle lanes, toilets, etc.).
Elders interviewed in Bucharest’s urban parks identified many concerning safety elements. They referred to insufficient or inefficient security, crime risks, the presence of unsupervised or aggressive dogs, playing ball games outside designed sports areas, using the alleys for cycling and roller skating, and the presence of disadvantaged groups (homeless persons, alcoholics, drug addicts, and even some ethnic groups).
4. Discussion
4.1. Are Urban Parks Senior Friendly?
Our study shows that the planning and design of urban parks in Bucharest are sometimes poorly addressing the specific needs and demands of elderly people. Chess areas, an endowment almost entirely used by elderly people, are not designed to be senior friendly, missing benches with backrest, lighting, shelter or benches for accompanying persons. The elderly also use: fitness areas, which are largely appreciated even if they are not calibrated for the physical capabilities of older people nor their medical problems; playgrounds, which they mostly visit when accompanied by children or in search of socialization, although they are not always properly furnished for the presence of older people; and benches, which are rarely laid out with the aim of encouraging larger groups to interact (e.g., groups of benches surrounding tables like in Carol Park). Clean and functional toilets and drinking fountains, which fulfil bare necessities, both for elderly and the general population, are not always found in appropriate positions and numbers. This last problem was also identified in other areas, like Melville, Australia [10]. Drinking fountains, along with first-aid points are very important during summer, but especially tropical days, when municipalities are obliged by law to ensure water and medical help in the streets. First aid tents are rarely installed inside parks, even if these areas are intensely used in summer.
Larger parks usually have more endowments and spaces for elderly people than smaller ones. Probably because smaller parks are located in highly populated neighborhoods, they are primarily designed to accommodate children, an age group that is much more energic and demanding than the elderly. The size of a park per se is not a factor of interest for the elders, as demonstrated by the questionnaires, because their needs can be accommodated in smaller parks as well.
The field analysis highlighted a great diversity of problems inside urban parks, many of them being noticed by elderly people that filled in the questionnaires. It demonstrated that even in mostly plain park areas there can be significant accessibility hinderance, due to high and medium slope. The access between lower and higher park areas presents important problems like degradation of infrastructure, slippery stairs (because of accumulated mud), and a lack of handrails which may cause accidents involving elderly people, since their mobility is limited. The detour options usually imply longer distances, thereby limiting accessibility to some park areas.
Since elderly people spend more time in urban parks than the general population, they are more bothered by problems that decrease the quality of the ecosystem services they appreciate the most. Therefore, elders in Bucharest, as the ones in Great Britain [46] and Colombia [47] are bothered by overcrowded park areas, vehicular traffic, odors, and smells.
Our study showed that most of the elders chose to reach parks by walking. Our findings are similar to those of Loukaiton-Sideris et al. (2014) [29] who state that walking is the preferred physical activity among elders worldwide. Therefore, elderly people generally choose parks in their proximity or parks easily accessible [17]. In this context there is a serious need to develop green areas suitable for elderly people in close proximity to the residential areas. In Bucharest, pedestrian paths, both inside and outside urban parks, are sometimes degraded and increase the risk of stumbling, a fact associated in the scientific literature with a decrease in physical activity among elders [17]. Maintenance works should focus on levelling and repairing the paths enabling elderly to walk longer distances in confidence and safety. Properly designed and maintained park alleys could encourage elders to try other physical activities, like jogging. Worldwide, elders have expressed their desire to try more diverse physical activities. Municipalities all over the world have started developing senior playgrounds [29], equipped with low impact exercise machines especially designed for elders in terms of safety, movements, and muscle strength. Sometimes these senior playgrounds focus only on their basic function, without including aesthetic and socialization elements. However, they increasingly incorporate pavilions, tables for different games, and socialization corners. Urban parks in Bucharest do not have these new design elements. The fitness equipment is usually scattered along alleyways and is not designed especially for elders, even if they are the age group using them the most.
However, elderly people mostly enjoy passive recreation activities inside parks and therefore they highly appreciate vegetation both from the functional and aesthetic point of view. Elderly people mostly ask for shadow and flowers, while they disapprove of clearings and vandalism. In Bucharest, the vegetation is especially appreciated because of the city’s numerous summer heat waves. Even if some park administrators try to rejuvenate vegetation, there are also problems related with negligent tree grooming, clearings, and dried trees. Since there is some consensus regarding the preferred activities undertaken inside parks, especially passive recreation, we consider that the areas used in common by all age groups should be better designed in order to accommodate all visitors. This action should prove being cost efficient and, in the same time, would increase the potential for social contact.
When planning and designing inclusive urban parks, one should consider both the physical health and social needs of seniors [48]. The latter is highly dependent on the safety elders feel when visiting urban parks. Seniors interviewed in Bucharest’s parks highlighted a high diversity of safety concerns which certainly limit their recreational activities. Their concern are consistent with the ones expressed by elders worldwide [29] and should be addressed with responsibility. A problem characteristic to Bucharest is related to dogs. A questionnaire has covered two different periods—Before 2013 when stray dogs were a big problem in the city, and after 2013 when following a terrible incident involving the death of a child, all stray dogs were gathered from the streets and people started to notice the problems related to owned dogs. The main issue is related to cleanness since, even if regulations have been established fines for people who do not clean up after their dogs [49], they are poorly implemented.
4.2. The Potential of Conflict Emergence Involving Elderly People
The differences in needs, demands, and desires related to the planning and use of urban parks may represent a basis for conflict emergence. Elderly people can be both triggers and the subject of conflicts. They are usually more involved in conflicts between visitors than in those related to the planning and design of urban parks.
Elderly people have a lower potential of being the subject of conflicts. Only a very small number of the general population that filled in the questionnaire identified them as a trigger, and did so because of their attitudes towards visitors engaged in noisy activities, visitors doing sports, or visitors being accompanied by dogs.
The planning actions implemented inside urban parks in Bucharest in the past decade have managed to reduce the potential of conflict emergence between elderly and other categories of visitors by creating special areas for children (playgrounds), dog walkers, and active people (sports areas). Currently, the highest chances for conflicts to emerge involve elders and people using bikes, roller skates, and skateboards on the crowded pathways, or those not cleaning up after their dogs. An emerging problem is related to e-scooters, which were only recently introduced in Bucharest and are used inside parks, especially by night. This would likely remain a problem even if a legislative proposal tries to ban them from all walkable areas. Elders are sometimes involved in conflicts related to the planning of urban parks, some of them stating that they are against clearings, land restitution inside parks, buildings, and projects transforming green areas in other land uses, all of them being known conflicts in Bucharest, with mass media coverage [50].
The current architectural tendencies encourage drastic changes in park landscapes, dynamic and extravagant insertions, and the use of modern materials with the aim of creating vibrant areas. Sometimes they disregard natural elements inside urban parks. The vision of the elderly people supports a more divergent approach. They prefer natural surroundings, silence, safety, and places especially designed to respond to their needs for passive or active recreation. Since people are living longer and the percentage of elderly in the total population is increasing, it makes absolute sense to make cities better suited to the needs of the elderly.
At the moment, in Romania there are no general regulations or policies for planning and designing inclusive parks. Regulations and policies slowly update following the changes in consumption patterns but these changes are not part of an integrative planning process. Moreover, elderly people are not properly represented in focus groups or public participation meetings, meaning their needs, demands, and desires are poorly included in the decision-making process. This poor representation is the public participation process is partially the inheritance of the social structure in which most elders in Romania lived for many years. Further analysis should consider the organization of focus groups in order to assess the characteristics of the Romanian elders. Used together with international best practices, it could help build more senior friendly parks. An extensive spatial study including a greater sample of parks could provide the basis for planning guidelines for different categories of parks.
Limitations of the study are related with the low possibility of validating the answers with the actual behavior of visitors and with their openness for answering personal questions. Moreover, the different training and efficiency of operators resulted in different levels of detail being added to the minimum content of the questionnaire.
5. Conclusions
Planning and designing urban parks should better acknowledge the needs, demands, and desires of all main visitor groups. As the most important green areas in terms of provided ecosystem services and also a scarce resource in compact and dynamic urban areas, urban parks should be planned and designed in order to minimize accidents, conflicts, or areas with low attractiveness. This goal can be achieved by understanding the needs, demands, and desires of all categories of visitors, by close monitorization of attractive elements and problems occurring inside parks, and by promoting inclusive planning, design and management of green area. Parks should be interlinked with the surrounding areas with the aim of providing added value for their utilization.
Author Contributions
Conceptualization, D.A.O. and I.C.I.; Data curation, D.A.O.; Formal analysis, D.A.O.; Funding acquisition, D.A.O.; Investigation, G.O.V. and A.M.P.; Methodology, D.A.O. and A.M.P.; Project administration, D.A.O.; Supervision, D.A.O.; Validation, G.O.V. and A.M.P.; Visualization, D.A.O.; Writing—original draft, D.A.O. and G.O.V.; Writing—review & editing, D.A.O., I.C.I. and M.R.N. All authors have read and agreed to the published version of the manuscript.
Funding
This work was supported by a grant of Ministery of Research and Innovation, CNCS—UEFISCDI, project number PN-III-P1-1.1-PD-2016-2074 “Assessing the social equity of ecosystem services provided by urban green infrastructures”, within PNCDI III.
Acknowledgments
The authors would like to acknowledge the field work carried out by the students of the Faculty of Geography, University of Bucharest (Specialization: Environmental Geography and Master Integrated Assessment of the Environment), which helped with the application of questionnaires.
Conflicts of Interest
The authors declare no conflict of interest. The funders had no role in the design of the study; in the collection, analyses, or interpretation of data; in the writing of the manuscript, or in the decision to publish the results.
References
- Dai, P.; Zhang, S.; Chen, Z.; Gong, Y.; Hou, H. Perceptions of Cultural Ecosystem Services in Urban Parks Based on Social Network Data. Sustainability 2019, 11, 5386. [Google Scholar] [CrossRef]
- Xu, Y.; Matarrita-Cascante, D.; Lee, J.H.; Luloff, A.E. Incorporating Physical Environment-Related Factors in an Assessment of Community Attachment: Understanding Urban Park Contributions. Sustainability 2019, 11, 5603. [Google Scholar] [CrossRef]
- Iojă, I.C.; Gradinaru, S.R.; Onose, D.A.; Vânău, G.O.; Tudor, C.A. The potential of school green areas to improve urban green connectivity and multifunctionality. Urban For. Urban Green. 2014, 13, 704–713. [Google Scholar] [CrossRef]
- Othman, J.; Jafari, Y. Economic Valuation of an Urban Lake Recreational Park: Case of Taman Tasik Cempaka in Bandar Baru Bangi, Malaysia. Sustainability 2019, 11, 3023. [Google Scholar] [CrossRef]
- Park, J.; Lee, D.; Park, C.; Kim, H.; Jung, T.; Kim, S. Park Accessibility Impacts Housing Prices in Seoul. Sustainability 2017, 9, 185. [Google Scholar] [CrossRef]
- Onose, D.A. Modelarea Interdependențelor Dintre Componentele Structurale, Funcțiile Urbane și Calitatea Mediului în Municipiul București; Ed. Etnologica: Bucharest, Romania, 2018. [Google Scholar]
- Nam, J.; Dempsey, N. Food Growing in Parks? Assessing the Acceptability and Feasibility in Sheffield, UK. Sustainability 2018, 10, 2887. [Google Scholar] [CrossRef]
- Xie, Q.; Yue, Y.; Sun, Q.; Chen, S.; Lee, S.-B.; Kim, S.W. Assessment of Ecosystem Service Values of Urban Parks in Improving Air Quality: A Case Study of Wuhan, China. Sustainability 2019, 11, 6519. [Google Scholar] [CrossRef]
- Giedych, R.; Makasymiuk, G. Specific Features of Parks and Their Impact on Regulation and Cultural Ecosystem Services Provision in Warsaw, Poland. Sustainability 2017, 9, 792. [Google Scholar] [CrossRef]
- World Health Organization. Global Age-Friendly Cities: A Guide; World Health Organization: Geneva, Switzerland, 2007. [Google Scholar]
- Department of Economics and Social Affairs—Population Division. Population Ageing; Department of Economics and Social Affairs—Population Division: New York, NY, USA, 2006. [Google Scholar]
- Second World Assembly on Ageing. Madrid International Plan of Action on Ageing; Second World Assembly on Ageing: Madrid, Spain, 2002. [Google Scholar]
- Wen, C.; Albert, C.; von Haaren, C. The elderly in green spaces: Exploring requirements and preferences concerning nature-based recreation. Sustain. Cities Soc. 2018, 38, 582–593. [Google Scholar] [CrossRef]
- Wu, K.C.; Song, L.Y. A case for inclusive design: Analyzing the needs of those who frequent Taiwan’s urban parks. Appl. Ergon. 2017, 58, 254–264. [Google Scholar] [CrossRef]
- De Oliveira Cunha, M.V.P.; Costa, A.D.L.; da Costa Ireland, M. Ergonomic aspects to be considered in planning public spaces destined for elderly people. A J. Prev. Assess. Rehabil. 2012, 41, 3827–3833. [Google Scholar] [CrossRef] [PubMed]
- Guo, S.; Song, C.; Pei, T.; Liu, Y.; Ma, Y.; Du, Y.; Chen, J.; Fan, Z.; Tang, X.; Peng, Y.; et al. Accessibility to urban parks for elderly residents: Perspectives from mobile phone data. Landsc. Urban Plan. 2019, 191, 1036–1042. [Google Scholar] [CrossRef]
- Cheng, L.; Caset, F.; de Vos, J.; Derudder, B.; Witlox, F. Investigating walking accessibility to recreational amenities for elderly people in Nanjing, China. Transp. Res. Part D 2019, 76, 85–99. [Google Scholar] [CrossRef]
- Gikwad, A.; Shinde, K. Use of parks by older persons and perceived health benefits: A developing country context. Cities 2019, 84, 134–142. [Google Scholar] [CrossRef]
- Hong, A.; Sallis, J.F.; King, A.C.; Conway, T.L.; Saelens, B.; Cain, K.I.; Fox, E.H.; Frank, L.D. Linking green space to neighborhood social capital in older adults: The role of perceived safety. Soc. Sci. Med. 2018, 207, 38–45. [Google Scholar] [CrossRef] [PubMed]
- Vierikko, K.; Goncalves, P.; Haase, D.; Elands, B.; Iojă, I.C.; Jaatsi, M.; Pieniniemi, M.; Lindgren, J.; Grilo, F.; Santos-Reis, M.; et al. Biocultural diversity (BCD) in European cities—Interactions between motivations, experiences and environment in public parks. Urban For. Urban Green. 2019, 20, 126501. [Google Scholar] [CrossRef]
- Santos, T.; Mendes, N.; Vasco, A. Recreational activities in urban parks: Spatial interactions among users. J. Outdoor Recreat. Tour. 2016, 15, 1–9. [Google Scholar] [CrossRef]
- Taylor, R.B.; Haberman, C.P.; Groff, E.R. Urban park crime: Neighborhood context and park features. J. Crim. Justice 2019, 64, 101622. [Google Scholar] [CrossRef]
- Gobster, P.H. Visions of nature: Conflict and compatibility in urban park restoration. Landsc. Urban Plan. 2001, 56, 35–51. [Google Scholar] [CrossRef]
- Iojă, I.C.; Rozylowicz, L.; Pătroescu, M.; Niță, M.R.; Vânău, G.O. Dog walkers’ vs. other park visitors’ perception: The importance of planning sustainable urban parks in Bucharest, Romania. Landsc. Urban Plan. 2011, 103, 74–82. [Google Scholar] [CrossRef]
- Seaman, P.; Jones, R.; Ellaway, A. It’s not just about the park, it’s about integration too: Why people choose to use or not use urban greenspaces. Int. J. Behav. Nutr. Phys. Act. 2010, 7, 78. [Google Scholar] [CrossRef] [PubMed]
- Peters, K.; Elands, B.; Bujis, A. Social interactions in urban parks: Stimulating social cohesion? Urban For. Urban Green. 2010, 9, 93–100. [Google Scholar] [CrossRef]
- Hammitt, W.E. Urban forests and parks as privacy refuges. J. Arboric. 2002, 28, 19–26. [Google Scholar]
- Yung, E.H.K.; Ho, W.K.O.; Chan, E.H.W. Elderly satisfaction with planning and design of public parks in high density old districts: An ordered logit model. Landsc. Urban Plan. 2017, 165, 39–53. [Google Scholar]
- Loukaitou-Sideris, A.; Levy-Storms, L.; Brozen, M. Placemaking for an Ageing Population: Gudelines for Senior-Friendly Parks; UCLA Complete Streets Initiative; Luskin School of Public Affairs: Los Angeles, CA, USA, 2014. [Google Scholar]
- Lee, Y.C.; Kim, K.H. Attitudes of citizens towards urban parks and green spaces for urban sustainability: The case of Gyeongsan City, Republic of Korea. Sustainability 2015, 7, 8240–8254. [Google Scholar] [CrossRef]
- Niță, M.R.; Iojă, I.C.; Rozylowicz, L.; Onose, D.A.; Tudor, C.A. Land use consequences of the evolution of cemeterie in the Bucharest Metropolitan Area. J. Environ. Plan. Manag. 2014, 57, 1066–1082. [Google Scholar] [CrossRef]
- Constantinescu, D.; Cheval, S.; Caracas, G.; Dumitrescu, A. Effective monitoring and warning of urban heat island effect on the indoor thermal risk in Bucharest (Romania). Energy Build. 2016, 127, 452–468. [Google Scholar] [CrossRef]
- Administratia Nationala de Meteorologie. Clima Romaniei; Academiei Romane: Bucuresti, Romania, 2008. [Google Scholar]
- Hirt, S.A. Whatever happened to the (post) socialist city? Cities 2013, 32, S29–S38. [Google Scholar] [CrossRef]
- Nuissi, H.; Rink, D.; Couch, C.; Karecha, J. Decline and sprawl: Urban sprawl is not confined to expanding city regions. Urban Sprqwl in Europe: Landscapes. Land Use Chang. Policy 2007, 136–162. [Google Scholar] [CrossRef]
- Grădinaru, S.R.; Iojă, I.C.; Onose, D.A.; Gavrilidis, A.A.; Pătru-Stupariu, I.; Kienast, F.; Hersperger, A. Land abandonment as a precursor of built-up development at the sprqwling periphery of former socialist cities. Ecol. Indic. 2015, 57, 305–313. [Google Scholar] [CrossRef]
- Badiu, D.L.; Onose, D.A.; Niță, M.R.; Lafortezza, R. From “red” to green? A look into the evolution of green spaces in a post-socialist city. Landsc. Urban Plan. 2019, 187, 156–164. [Google Scholar] [CrossRef]
- National Institute of Statistics. Bucharest—Demographic statistics. In Tempo Online Database; National Institute of Statistics: Bucharest, Romania, 2019. [Google Scholar]
- World Health Organization. World Report on Ageing and Health; World Health Organization: Luxembourg, 2015. [Google Scholar]
- World Health Organization. Ageing and Health. Available online: https://www.who.int/news-room/fact-sheets/detail/ageing-and-health (accessed on 29 August 2019).
- Chen, W.; Huang, H.; Dong, J.; Zhang, Y.; Tian, Y.; Yang, Z. Social functional mapping of urban green space using remote sensing and social sensing data. ISPRS J. Prohogrammetry Emote Sens. 2018, 146, 436–452. [Google Scholar] [CrossRef]
- ESRI. Collector for ArcGIS; ESRI: Redlands, CA, USA, 2019. [Google Scholar]
- European Space Agency (ESA). Copernicus Sentinel 2A Image-S2A_MSIL2A_20180928T090731_N0208_R050_T35TMK_20180928T115031; Copernicus Database, Ed.; European Space Agency (ESA): Paris, Frence, 2018. [Google Scholar]
- AGRICOLUS. NDVI and NDMI Vegetation Indices: Instructions for Use. Available online: https://www.agricolus.com/en/indici-vegetazione-ndvi-ndmi-istruzioni-luso/ (accessed on 15 September 2019).
- Oh, K.; JEong, S. Assessing the spatial distribution of urban parks using GIS. Landsc. Urban Plan. 2007, 82, 25–32. [Google Scholar] [CrossRef]
- Sugiyama, T.; Thompson, C.W.; Alves, S. Associations between neighborhood open space attributes and quality of life for older people in Britain. Environ. Behav. 2009, 41, 3–21. [Google Scholar] [CrossRef]
- Parra, D.; Gomez, L.; Fleischer, N.; David Pinzon, J. Built environment characteristics and perceived active park use among older adults: Results from a multilevel study in Bogota. Health Place 2010, 16, 1174–1181. [Google Scholar] [CrossRef] [PubMed]
- Rappe, E.; Kivela, S.L.; Rita, H. Visiting outdoor green environments positively impacts self-rated health among older people in long-term care. Horttechnology 2006, 16, 55–59. [Google Scholar] [CrossRef]
- Local Council of Bucharest. Decision 120/30.06.2010 of the Local Council of Bucharest; Bucharest City Hall, Ed.; Bucharest City Hall: Bucharest, Romania, 2010. [Google Scholar]
- Onose, D.A.; Iojă, I.C.; Niță, M.R.; Badiu, D.L.; Hossu, C.A. Green struggle—Environmental conflicts involving urban green areas in Bucharest city. In Making Green Cities—Concepts, Challenges and Practice; Breuste, J., Artmann, M., Iojă, I.C., Quereschi, S., Eds.; Springer Press: Berlin, Germany, 2020. [Google Scholar]
© 2020 by the authors. Licensee MDPI, Basel, Switzerland. This article is an open access article distributed under the terms and conditions of the Creative Commons Attribution (CC BY) license (http://creativecommons.org/licenses/by/4.0/).



