Abstract
Atria are added to buildings for their aesthetical, environmental, and economic benefits; the appropriate atrium design can enhance an atrium’s thermal performance and the adjacent spaces’ temperatures. However, inappropriate design decisions cause thermal discomfort and consequently, higher energy consumption. Since the Mediterranean climate has diverse climatic conditions around the year, a central atrium with a top-lit skylight is recommended, but during the summer period it can cause overheating, and the insertion of shading elements shrinks the lighting performance: thus, the atrium skylight design is supposed to improve thermal comfort without affecting the lighting level. This study investigated the improvement of thermal performance in the atrium building by the implementation of a double-skin skylight (DSS) to enhance the atrium thermal performance without shading. The research conducted computer simulations with Environmental Design Solutions (EDSL) Tas software sequentially. The study prepared various design strategies, and different proposals were tested and compared in terms of indoor temperatures, with reference to American Society of Heating, Refrigerating and Air-Conditioning Engineers (ASHRAE-55). The implementation of DSS achieved an average of 77% comfort in working hours around the year with different opening percentages according to the outdoor conditions. Moreover, results show that changing the DSS glazing materials did not affect the thermal performance of the atrium.
1. Introduction
Statistics show that buildings consume more than one-third of global energy. With the recent worldwide awareness of calls for sustainability and energy-efficiency, architects and designers have tended to employ building designs with passive design strategies to achieve the best indoor environments with the minimum energy consumption; energy can be saved by the employment of intelligent automation systems which adjust the indoor conditions to achieve user satisfaction and lower energy consumption simultaneously [1,2,3], and these automated systems should be addressed and tested comprehensively in the early design stages [4]. Among indoor environmental conditions, thermal comfort has been considered the most important factor directly affecting building users’ performance, and explicit performance regression can be noticed due to thermal discomfort [5,6]. In general, indoor environmental conditions (thermal, visual, acoustic, and air-quality) have been studied individually; however, thermal perception might be strongly affected by other components (particularly light color, as changing the light properties can improve the thermal sensation of users). Previous studies revealed that cooler lights with higher correlated color temperatures (CCT) result in a cooler thermal perception, and vice-versa [7,8]. For institutional buildings in general and libraries in particular, a comfortable indoor environment is one of the main criteria for a successful design [9].
Recently, atria have received popular acceptance in modern architecture, especially in deep-plan buildings for their aesthetical, environmental, and economic benefits [10,11,12,13]. However, the use of atria is not limited to the buildings themselves: they may expand to form an urban design by gathering different buildings within the urban context [14]. A well-integrated atrium design with building spaces improves the indoor environment by enhancing visual and thermal comfort, as well as saving energy [15]. The optimum atrium design utilizes natural ventilation for providing comfortable indoor temperatures to reduce energy consumption. Although the atrium could have an infinite number of configurations, the design decision is supposed to be taken considering the function and the climatic conditions [16].
2. Atrium Design and Thermal Performance
The modern atrium emerged in temperate climates; since then, it has been widely used in different climates regardless of their climatic characteristics. Since atria generally suit cold and temperate climates, hot climates with high solar radiation are challenging. In the tropics, atria with side-lit skylights are mostly recommended [11,15,16,17,18,19,20,21,22,23,24].
In diverse climatic regions like the Mediterranean, atria can work effectively around the year, since winter temperatures are close to the cold regions where the atrium proves its efficiency, while summer benefits the stack ventilation [25]. Top-lit atria are preferable for day-lighting, especially during cloudy days; however, the problem with this type of atrium lies in overheating during the cooling period [26]. While the insertion of shading devices was suggested as a solution to overcome this problem, it also reduces natural lighting performance in the atrium space and the adjacent spaces as well [27]. However, proper natural ventilation of the atrium could overcome this problem [15].
Different architectural passive design strategies have been implemented to overcome indoor discomfort. A double-skin envelope is one of these techniques, which utilizes the addition of an extra layer to the original facade or roof to improve the indoor thermal performance that consequently increases the thermal acceptance [28,29,30,31,32]. Besides, well-designed natural ventilation strongly improves indoor comfort temperatures and shows a wide range of comfortable indoor temperatures [33,34].
Previous studies have revealed the relevance of indoor environmental conditions to atrium design parameters, including natural day-lighting, heat gain and energy consumption [35]. These parameters basically depend on climatic conditions that vary from one region to another [15], and thus, the atrium design is supposed to be developed accordingly. The optimum atrium design achieves the best indoor conditions with the least energy consumption [16,36].
Several studies considered the atrium position within the building an influential factor in energy consumption [17,37], whereas the selection of this is made based on design considerations and the space’s function. For atrium roofs and skylights, Abuseif and Gou (2018) asserted that the building’s thermal performance is directly affected by their design alternatives [30], while Abdullah and Wang (2012) mentioned that changing the roof form can enhance the atrium performance [18]. On the other hand, the unchecked design parameters correlated to interior thermal comfort will lead to excessive heat gain and increase the greenhouse effect [38]. Laouadi (2002) tested different skylight forms in cold climates and concluded that the pitched skylight improves solar heat gain [17]. Even though side-lit atria are preferable for the tropical climate, top-lit atria increase the air velocity at the openings [15,39]. Mirrahimi’s (2016) study concluded that atrium opening design strongly affects the thermal behavior and the airflow pattern [40]. Wang and Abdullah (2011) tested changing the openings’ size and concluded that increasing the inlet-to-outlet ratio above one enhances the atrium’s thermal comfort due to the air pressure differences [19]. Moosavi (2015) suggested the inlet-to-outlet ratio should be >15 to optimize the atrium cooling process and increasing the stack effect under tropical climates [22]. Other studies have declared that inappropriate glazing materials for skylights will cause undesired indoor conditions, since their optical and thermal properties are the dominant influencers of indoor lighting and thermal behavior [36,38]. Sunanda (2018) mentioned that providing the desired day-lighting and simultaneously mitigating heat transfer are the reference criteria for glazing surface selection [23]. Galal (2019) confirmed that the SHGC and U-value determine the amount of heat flux and consequently the thermal behavior [35]; Raji and others (2016) recommended low values for hot climates as well [41].
Previous studies explored atrium thermal performance under tropical climates, which receive intense solar radiation around the year, whereas fewer studies have investigated the Mediterranean climate with its diverse climatic characteristics [25,42].
2.1. Atrium Thermal Pefrormance
Lately, research on the sustainability of buildings has highlighted the atrium’s energy-saving potential. This potential comes from the atrium’s ability to recruit other architectural elements to obtain users’ comfort with the help of natural resources; proper design of atria mitigates and sometimes eliminates the use of mechanical equipment [42]. Douvlou (2004) conducted a study of atrium thermal performance in the Mediterranean climate by testing different design parameters, and concluded that the central atrium is mostly recommended; however, during the cooling period shading devices should be used to avoid overheating. Moreover, the opening’s size should be controlled to adjust the ventilation rates according to the outdoor climatic conditions [42]. On the other hand, in a previous study, Douvlou and Pitts (2000) confirmed that the insertion of shading elements reduces the obtained natural lighting in the atrium and the adjacent spaces as well [27]. Palma Rojas (2013) assumed that the atrium works effectively around the year in the same climate, since it works as a buffer zone in winter, while it can benefit night ventilation in summer. Results indicated that more than two-thirds energy-saving can be achieved with a fully shaded atrium operating full day ventilation [25]. Regarding atrium skylight materials, Galal (2019) recommended the low-E glass for the best thermal performance in the coastal zone of Lebanon [35]. Previous studies have confirmed the overheating problem during summer in this climate and proposed the use of shading devices, but the installation of shading elements reduces natural lighting at the same time, which is one of the main purposes of the atrium.
In the tropics, Moosavi (2015) tested different passive strategies in a multi-storey atrium with a southern facade, and concluded that operating natural ventilation decreased the indoor temperatures and humidity levels [22]. Ab Ghafar and others (2019) tested different materials and forms of atrium skylights; the study concluded that the northern and more inclined skylight consumes less energy [11]. Another study tested a lateral atrium with double-skin facade and concluded that atrium thermal performance can be improved by the openings’ size and position design [43].
Natural ventilation has been considered as an effective strategy to improve indoor air quality and thermal comfort [33,44]; thus, this strategy is supposed to be designed according to the exterior climatic conditions, which vary from one region to another [45]. Since it mainly depends on the air movement between the outdoors and the indoors, achieving comfortable thermal conditions requires higher ventilation rates than improving the quality of indoor air does [37], and designing the building openings by placing the inlets and the outlets defines the air movement inside the space [46]. For this purpose, Fini and Moosavi (2016) concluded that a combination of tilted and vertical atrium walls, in the lower and upper floors, respectively, achieve adequate ventilation rates at different levels [37]. Li and others (2014) confirmed that the wind direction strongly affects the atrium airflow, and the airflow cannot be improved by changing the openings’ sizes [47]. Another study on the thermal performance of a naturally ventilated atrium with a solar chimney reported comfortable results [16]. Previous research, focusing on atrium thermal performance in tropical climates, which receive high solar radiation throughout the year, used side-lit atria, whereas atrium thermal performance in the Mediterranean climate, where top-lit atria are preferable, has received less study. Moreover, in this climate, the overheating problem was handled by the insertion of shading devices that directly reduce the atrium’s visual performance.
2.2. Double-Skin Envelopes
According to Mirrahimi (2016), the main function of the building envelope is to define and protect the interior spaces from the exterior conditions. Therefore, it works as an external barrier to the indoor environment as well as to provide comfort [40]. External climatic conditions must be the prominent factor in envelope design decisions [48]. Architects and designers attempt to overcome the undesired thermal effects of huge transparent building envelopes by adding an extra layer of glass. This second layer proved to be efficient in improving the thermal performance within different environments, and this efficiency varies depending on the climatic conditions in which it is used [29]. The double-skin envelope, which has been studied widely for both transparent facades [28,29,49,50,51] and conventional solid roofs [30,52,53,54], proved its efficiency regarding thermal comfort. However, the implementation of a double-skin envelope for glazing roofs and skylights has not been investigated.
This study describes a new application of double-skin envelopes to central atria, which basically uses the horizontal skylights to improve the indoor thermal conditions without reducing the lighting level, with low energy consumption. Therefore, adequate thermal comfort can be achieved for different spaces regardless of their orientation. As a result, this study attempts to investigate atrium performance improvement, regarding the thermal comfort of a top-lit atrium under a diverse climate such as the Mediterranean, without reducing the lighting performance by inserting shading devices. Hence, this study hypothesized that employing the double-skin skylight (DSS) would achieve comfortable conditions in the atrium building around the year, without affecting the lighting level in the Mediterranean climate. This would increases the benefit of the greenhouse effect during the heating period, and enhance the stack effect by operating the appropriate scheduled natural ventilation in the cooling period. Therefore, the study was conducted to develop the thermal performance of the atrium and the adjacent spaces by passive design strategies, which sequentially test the implementation of double-skin skylights (DSS) by changing the cavity openings’ percentage and the skylight glazing materials, respectively, in addition to investigating different ventilation strategies during the cooling period by applying night ventilation and changing the inlet percentage, respectively. The study tested indoor comfort temperatures by employing the adaptive model of the international standard ASHRAE-55 [55] for the adjacent spaces of a naturally ventilated central atrium building (located in Famagusta city in North Cyprus). The main concept in the adaptive approach is the ability of the human body to exchange its temperature with the surroundings to achieve balance. This allows obtaining of a wider range of thermal comfort than the given values static approach. On the other hand, studies have confirmed that naturally ventilated spaces show a wider range of acceptable temperatures than spaces with AC systems [56]. Therefore, this method is used for predicting thermal comfort in buildings with natural ventilation strategies [34].
3. Materials and Methods
This study employed a dynamic thermal simulation program, EDSL Tas 9.4.4, to run sequential computer simulations with the aim of improving the indoor thermal conditions for atrium buildings by applying different scenarios. Results were obtained in terms of monthly comfortable working hours (WH) for the building, and compared referring to the adaptive model ASHRAE-55 standard, since this standard is specialized for naturally ventilated buildings [55]. However, this model can be considered an average model due to the existence of the large transparent facades, which may affect the obtained results. Figure 1 illustrates the research outline.
Figure 1.
Research outline.
3.1. EDSL Tas Software
This study used the EDSL Tas 9.4.4 simulation software tool [57]. This software package has a 3D modeler, a Tas building simulator, and a results reviewer, in addition to other applications. This program has a high capacity to perform hourly dynamic thermal simulation for complex buildings. The program recorded a series of the thermal states in the form of hourly results.
For the Mean Radiant Temperature TMRT, the EDSL Tas software calculates this value as a weighted average of the zone’s surface temperatures, modified by the effects of radiant gains (plant, incidental gains and the diffuse component of solar gains), whereas the operative temperature to is been calculated as the average of the dry bulb temperature and the mean radiant temperature. Both temperatures are displayed in degrees Celsius (°C).
3.2. Gazimagusa-North Cyprus Climate Zone
The Köppen climate classification describes North Cyprus’s weather as a Mediterranean climate with Csa classification [58]. According to this classification, the first two letters (Cs) represent a mild temperate climate with dry summers while the third letter (a) refers to the hot summer category, with summer temperature ≥ 22 °C. As the city of Gazimagusa is located on the eastern coast of the island, the weather in such coastal cities has high temperatures and relative humidity, with an average yearly temperature of 19.3 °C. Table 1 shows the monthly average temperature and wind speed for Gazimagusa city.
Table 1.
Monthly average temperature and wind speed for Gazimagusa city [59].
3.3. Building Description
The studied case is the main Library of the Eastern Mediterranean University (EMU) in Gazimagusa city. The building consists of four floors with a square plan measuring 40.9 m × 40.9 m. In addition to the entrance, the ground level, as well as the first floor, are not connected to the atrium. The second and third floors mainly connect to a central atrium that is surrounded with open reading spaces. The atrium space is located in the middle of a square floor plan with dimensions 15.2 m × 15.2 m at the second-floor level with 7.15 m height. Moreover, the atrium is top-lit by a skylight. Figure 2 and Figure 3 present the studied zones’ plans, sections, and elevations. Table 2 defines the reading spaces’ (RS) orientations and properties, and Table 3 shows the physical and thermal properties of the used building materials including opaque and transparent elements.
Figure 2.
Second and third floors plans of the reading spaces- Ozay Oral library/ EMU.
Figure 3.
Ozay Oral library: 1: Sections, 2 and 3: Elevations/ EMU.
Table 2.
Definitions, orientation, areas and properties for the studied reading spaces.
Table 3.
Physical and thermal properties for the building materials, including opaque and transparent elements.
Building windows: the second floor has 80 openable windows with dimensions 1.1 m × 1.5 m for each window, in groups of 10 windows in each exterior elevation for the open spaces. Moreover, a total number of 12 windows were divided into two groups of 6 windows in the solid exterior facades of the semi-opened spaces, with dimensions 0.9 m × 1.5 m for each window.
3.4. Design Strategies
In this study, different group’s models of a naturally ventilated building were simulated sequentially, with variable selection based on the related previous literature; two seasonal scenarios compare the existing building with different variants of double-skin skylight (DSS), changing the cavity outer openings ratio and the DSS glazing materials, as well as operating different ventilation strategies. The results are presented in the form of a monthly percentage of thermally comfortable working hours relative to the total monthly working hours (WH) for the different building spaces, with both 80% and 90% acceptability limits, according to the standard. The number of comfortable working hours was then calculated. The total monthly working hours was calculated according to the library schedule for weekdays and weekends, from 9:00 a.m. to 10:00 p.m., and from 10:00 a.m. to 8:00 p.m., respectively, which recorded a total of 4796 WH. Table 4 shows the total monthly working hours of the library.
Table 4.
Monthly working hours in Ozay Oral library.
3.4.1. Seasonal Design Strategy
This strategy was designed seasonally based on the outdoor climatic conditions, which basically control the opening percentage according to the outdoor temperatures. During winter, while the outer temperature is low, opening the side windows will not improve the indoor temperature; therefore, the building windows were opened 1%. For this study, the winter period is divided into two intervals: from the beginning of January to the end of April, and from October until the end of December. During summer, opening the windows enhances the air movement in the building. The arrangement of these openings defines the airflow inside the building. In this study, initially, the building side windows were opened 10% during the WH for weekdays and weekends from 9:00 am to 10:00 pm and from 10:00 am to 8:00 pm, respectively. In this study, the summer period extends from the beginning of May until the end of October; this schedule creates a total area of 13.2 m2 for air openings.
3.4.2. Double-Skin Skylight (DSS) Design Strategy
An extra glazed layer of low-E glass with a 1.538 W/m²·°C U-value was inserted above the original 6 mm clear-glass skylight, to form a cavity between the two glazed layers. This gap aims to heat the upper air, which stimulates the air extraction from the upper openings during summer. Moreover, in wintertime, the heated air insulates the external climatic conditions. Regarding the previous studies, the narrower the cavity is, the greater airflow; thus, a 35 cm cavity width was selected for this study. For the cavity fenestration design, lateral windows with dimensions of 0.25 m × 5.9 m each were placed in the four sides of the cavity. The interior glazing layer of DSS has three openings of 1.3 m × 2.0 m at a height of 10.3 m from the second-floor level. The existence of these openings aims the extraction of hot air from the atrium space to the cavity. The total air outlet area was 7.8 m2. The initial ratio between inlets and outlets was determined based on literature recommendations.
3.4.3. Ventilation Design Strategy
Since previous studies have proven the efficient role of night ventilation in indoor temperatures decreasing in the Mediterranean climate, this study tested the efficiency of operating night ventilation besides day ventilation. For the building fenestration, increasing the ratio between the inlets and the outlets improves indoor thermal comfort, which is caused by high pressure differences; hence, this strategy was chosen. Table 5 and Figure 4 clarify the design strategies and the applied methodology.
Table 5.
Design strategies and the tested scenarios.
Figure 4.
Research methodology flowchart.
3.5. Adaptive Thermal Comfort-Standard ASHRAE-55
This standard is employed for the thermal comfort evaluation in naturally ventilated buildings which achieve the following conditions: (i) the prevailing mean outdoor temperature ranges >10 °C and <33 °C; (ii) the proposed spaces are naturally ventilated without using any mechanical heating or cooling; (iii) occupants who use the spaces for not less than 15 min have metabolic rates ranging between 1.0 and 1.3 met. Moreover, (iv), they are free to adapt their clothing to the indoor and/or outdoor temperatures within the range 0.5–1.0 clo. In this study, the studied case archives the pre-mentioned standard criteria. Table 6 presents average monthly temperatures and wind speed during the year in Gazimagusa, with 80% and 90% acceptability maximum and minimum operative temperatures.
Table 6.
Gazimagusa average monthly temperatures; wind speed during the year; 80% and 90% acceptability maximum and minimum operative temperatures.
The acceptable indoor operative temperature, according to ASHRAE-55 standard [55], uses the 80% acceptability limits from the equations below:
Upper 80% acceptability limit (°C) = 0.31 tpma (out) + 21.3,
Lower 80% acceptability limit (°C) = 0.31 tpma (out) + 14.3
These limits are used when the air speed is less than 0.3 m/s, or when the indoor operative temperature is lower than 25 °C, even if the wind speed is more than the accepted limit. In case of air speed more than 1.2 m/s and average operative temperature more than 25 °C, the upper acceptability limit will be increased 2.2 °C according to the standard [55].
4. Simulation Results and Analysis
This section presents the results of the sequential simulation based on the pre-mentioned design strategies; the first and the second groups’ simulation results will be explained, respectively. Table 7 summarizes the results of the 18 simulations by recording the average percentages of comfortable working hours for the second- and the third-floor spaces within 80% and 90% acceptability limits, according to the ASHRAE-55 standard [55].
Table 7.
Average results for the second- and the third-floor spaces within 80% and 90% acceptability limits.
4.1. Simulation Group 1
In this group, the designed double-skin skylight (DSS) was investigated in two steps; the first part included testing the DSS cavity fenestration according to the seasonal design strategy, which uses different opening percentages according to the outdoor climatic conditions. During winter, the inlets were opened 1% only, due to the low outdoor temperatures, whereas the cavity openings were totally closed to trap the hot air in the cavity. On the other hand, during summer, when natural ventilation is needed, the building openings (inlets) were 10% open initially during the working hours of the library, while the cavity openings were tested with different scenarios, ranging from fully closed cavity windows to fully opened cavity windows, with 25% intervals. The cavity windows were opened all the time during summertime. The reading spaces’ results are compared between the existing building and the DSS case-building seasonally. The second simulation tested the impact of changing the DSS glazing materials, based on the previous simulation’s results; therefore, the least comfortable winter and summer months from the last step were tested by changing the glazing materials in different scenarios, as was mentioned in Table 5.
4.1.1. Cavity Fenestration Results
The effect of changes in the cavity fenestration was tested seasonally by changing the windows’ opening percentages according to the outdoor climatic conditions, and results were recorded monthly. The next sections present the outcomes for winter and summer, respectively; similar simulation outcomes are not repeated.
After reviewing the simulation results and referring to the ASHRAE standard [55], Figure 5 and Table 7 show winter period simulation results for the existing building and the DSS case, which recorded the same outcomes for the 80% acceptability limit. It can be clearly noticed that April presents the highest performance regarding the total thermally comfortable hours in both cases. During April, all second-floor spaces show thermal comfort in 98% of WH, whilst the third-floor spaces present full comfort in WH.
Figure 5.
Winter period comfortable WH percentage for the existing building and the DSS case within the 80% acceptability limits.
On the other hand, the least numbers of comfortable hours are found in January. An average of one-third only of the total WH were comfortable for the second-floor spaces; however, the third-floor spaces readings fluctuate between 20% and 30% comfortable WH. Furthermore, the second- and third-floor southern spaces record the highest comfort hours among all the spaces. The atrium space average temperature was recorded at only 18 °C, while the upper part was higher, with a recorded temperature of 1 °C in a single skylight case. Although applying the DSS increased the cavity temperature to 39 °C and 27 °C during April and January, respectively, the atrium average temperature recorded the same values with and without DSS.
Table 7 presents the percentages of the reading spaces’ comfort hours within the 90% acceptability limits during winter, with the single and double-skin skylight cases. April readings show the best comfort behavior whereas January readings record the least values. The third-floor spaces achieve a slight increase above 90% in thermally comfortable WH, whilst the second-floor spaces achieve lower values; the northern-east and northern-west spaces record the lowest thermally comfort hours, 85% of WH. January results show that only 12% comfortable WH can be achieved in the second- and third-floor spaces.
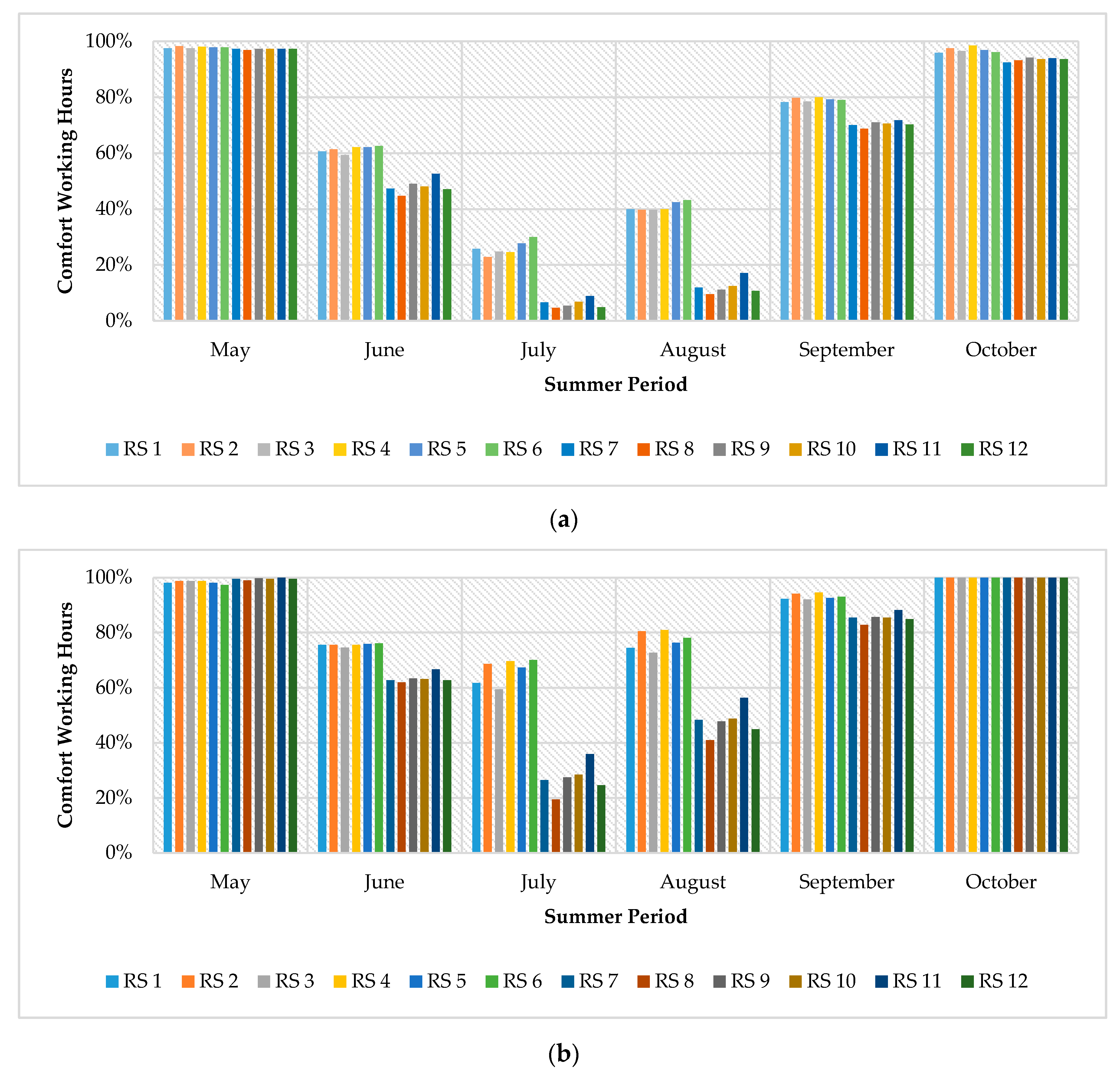
During summer, which extends from May to October, the existing building was tested first. Later on, a simulation was run for the existing case of the single skylight with the opened roof, and then the different DSS fenestration scenarios were tested. Changing the cavity openings from a fully closed window to 75% opened windows did not record a remarkable difference in the comfortable working hours. Results are compared in terms of comfortable operative temperatures. Figure 6a,b and Table 7 present the summer period comfortable WH Percentage for (a) the existing building and (b) the DSS case with fully opened cavity within the 80% acceptability limits. May and October show the best thermal performance. The implementation of DSS achieved fully comfortable WH during October for both floors, in addition to for the third-floor spaces during May. Regarding the atrium space temperature, the average temperature recorded was 27 °C in the existing case as well as for the same case with the opened roof.
Figure 6.
Summer period comfortable WH percentage for (a) the existing building and (b) the fully opened DSS cavity, within the 80% acceptability limits.
On the other hand, In July, comfort operative temperatures, to, were the least during the summer. By applying the DSS and opening the cavity window totally, the comfort operative temperatures improved during July to reach 66% and 27% of the total WH for the second and third floors, respectively, however, the atrium temperature recorded a 1 °C reduction.
The percentages of comfortable WH for the reading spaces within the 90% acceptable limits for different scenarios are presented in Table 7. October represents the best comfort behavior in this category, whereas July readings are considered the worst. Comfortable operative temperatures were improved by opening the cavity windows 100% for both floors, and reached more than 90% in May and October.
4.1.2. DSS Glazing Materials
This step tested the effect of changing the glazing materials of the two layers of the skylight, based on the previous simulation results. January and July presented the fewest comfortable WH during winter and summer, respectively, thus, in this stage, three different scenarios for the DSS were tested and compared; results are presented in Table 7.
Results show that changing the DSS glazing materials did not affect the comfortable WH during January for the 80% acceptability ranges, whereas using both clear glass layers increased the comfortable WH by 1% from the existing building in only some spaces. Interestingly, the atrium average temperature was recorded at 18 °C and 20 °C for the lower level and upper level, respectively, for all materials scenarios.
During July, changing the DSS glazing materials did not affect the comfortable WH for the 80% and 90% acceptability ranges, whereas using both Low-e glass layers increased the comfortable WH by 1% from the existing building, in only some spaces. Using both clear glass layers decreased the comfortable WH slightly. Changing DSS glazing materials resulted in the same average temperature in the atrium, 32 °C, while the average cavity temperature was 38 °C.
4.2. Simulation Group 2
In this group, two design parameters related to the building ventilation strategy were tested, which were night ventilation and changing the building inlets, respectively. The library with the previous design decisions (fully opened cavity windows, Low-e external glass layer, and clear glass internal layer) was tested in different sequential scenarios for summer period; since May and October reached more than 95% comfortable WH, these months are excluded in this section. Moreover, the winter period is excluded.
4.2.1. Night Ventilation
This part of the study focused on summer months with lower comfortable WH, which were July, August, June, and September. This section presents only the July results; the results for the other three months are shown in Table 7.
Figure 7 shows the outcomes of applying night ventilation to the building during July. The effect of operating night ventilation on third-floor comfortable WH was strong, especially in July and August. Moreover, the atrium average temperature was 32 °C, whereas the cavity average temperature recorded was 37 °C.
Figure 7.
July performance with and without night ventilation.
Results illustrate that operating night ventilation during this period increased the comfortable WH for the studied spaces. As September already recorded high comfortable WH, night ventilation slightly increased the comfortable WH during this month. Although June and September recorded a slight increase in the comfortable WH by operating the night ventilation, the third-floor spaces showed higher improvement in the comfortable WH during June within the 90% acceptability limits.
4.2.2. Building Fenestration Design
Based on the previous section’s results, operating night ventilation increases the thermal comfortable WH percentage in the reading spaces for the second and third floors. For September, the reading spaces’ achieved comfortable WH in more than 90% of WH, thus, this month was not tested in this simulation group. In this section, the simulations were run with fully opened cavity windows as well as operating night ventilation during three summer months: July, August, and June. In this part of the simulation, the façade openings (inlets) on the second floor were changed to half-opened (50%), or fully-opened (100%). Results are displayed in Figure 8 for the July outcomes; the other months are presented in Table 7.

Figure 8.
July performance with changing inlet openings within: (a) 80% and (b) 90% acceptability limits.
The thermal behavior of the reading spaces was improved by increasing the inlet size. It can be noticed that increasing the inlet size increased the comfortable WH during the three summer months for both the 80% and 90% acceptability limits of the ASHRAE-55 standard [55]. Increasing the inlet size greatly improved the comfortable temperatures during July, which reached an average of 80% and 60% comfortable WH for the second- and third-floor spaces, respectively. Moreover, the third-floor spaces recorded higher differences regarding comfortable temperatures especially, in July and August.
5. Discussion
During the winter, which extends from January to April, and from November to December, the same thermal performance was recorded in both of the existing buildings and the DSS proposal, as can be seen in Figure 9 and Figure 10.
Figure 9.
Winter period average comfort performance, with changing cavity fenestration within the 80% and 90% acceptability limits for the second and third floors.
Figure 10.
Summer period average comfort performance with changing cavity fenestration within the 80% and 90% acceptability limits for the second and third floors.
During this period, the lateral facades’ windows were 1% opened, while the DSSs’ windows were totally closed due to the low outdoor temperatures. Simulation results indicate that adding the extra layer of skylight even when the upper windows are closed did not change the thermal performance for the reading spaces which directly connect to the atrium space. Regarding the atrium space thermal behavior, the implementation of DSS did not change the indoor temperature for both the second and third atrium levels. Whereas the cavity temperatures ranged between 27 °C and 39 °C for January and April, respectively, the DSS addition only elevated the upper part’s temperature, while the atrium space kept the same temperatures for all cases. Thus, the atrium temperature was not influenced by the high cavity temperature, which explains the same performance DSS the reading spaces’ thermal behavior.
In general, the third-floor spaces-reached a higher average of comfortable WH compared with the second-floor spaces; this floor difference can be explained by the existence of the void spaces around the third floor which disconnect the reading spaces from the curtain wall, which directly causes heat loss to the outdoors. Furthermore, the eastern and southern spaces for both floors recorded higher comfortable WH over the other spaces. On the other hand, changing the DSS glazing materials did not affect the DSS cavity’s temperature, or the thermal performance of the reading spaces attached to the atrium space; a 1% average comfortable WH difference was shown by testing various scenarios of DSS glazing materials.
Figure 10 summarizes the summer period, with changing cavity fenestration performance within the 80% and 90% acceptability limits compared with the existing building, with and without the opened roof. For the summer months with high performance, which are May and October, even though those two months achieved high comfort temperatures in the existing building case, the insertion of DSS achieved full comfortable WH for both floors. Regarding the lower-performance months, September revealed a 15% increase in the comfortable WH for both floors from the existing building for the 80% acceptability category, where the second-floor comfort hours exceeded 90% WH. It can be noticed that July, August, and June recorded the least comfortable hours during summer, respectively. Opening the roof of the existing building improved the comfortable WH in differentiated values, whereas the implementation of DSS enhanced the results. Although May’s performance had no positive effect on the second floor, the third-floor performance improved to exceed an average of 90% comfortable WH. The average comfortable WH were increased by 25% within this category during June and September for the two floors. However, the comfortable WH were elevated by an average of 33% during July and August for the second-floor spaces, whereas the third floor’s comfortable WH did not go beyond 13% and 6% in August and July, respectively.
It can be also generalized that the second-floor spaces during summer have more comfortable WH than the third floor, and that can be related to the windows’ existence at this level. Regarding the orientation, the north-western, north-eastern, and southern spaces recorded a higher number of comfortable WH. Even though the upper atrium recorded a 2 °C decrease, the air movement through the spaces to the atrium benefited from the stack effect and the atrium average temperatures were decreased by 2–3 °C, which consequently decreased the spaces’ temperatures. The results of materials testing during the cooling season did not reveal a noticeable change in comfortable WH, since the cavity temperature was not affected by materials changing, thus the ventilation rate was not progressed too. However, Low-E glass for both DSS layers recorded a slightly better performance, whereas the clear glass showed the worst.
Night ventilation results revealed that operating the night ventilation improved the thermal performance for both the second- and third-floor spaces, where all the second floor zones showed an average of 75%, 83%, and 77% comfortable WH in July, August, and June, respectively. Moreover, the effect of night ventilation significantly increased the comfortable WH in September. As a result, operating night ventilation enhances the comfortable WH for the two floors. Temperature reductions can be explained by the removal of the re-radiated heat from the building’s elements during the night by air movement, with the help of the atrium stack effect, which consequently reduces the indoor temperature significantly.
The last simulation part tested changes in building fenestration: changing the building windows’ openings from half-opened to fully open slightly increased the comfortable WH in the second-floor spaces. Additionally, this change enhanced the comfortable WH of the third floor, as can be seen in July, which became 10 times better than the existing building case within the 80% acceptability limits. The three months tested with changed inlet sizes revealed a remarkable enhancement in comfortable WH, which reached averages of 82% and 67% comfortable WH for the second and third floors, respectively, during the hottest three months. Furthermore, 65% and 45% WH achieved the 90% acceptable comfort temperatures in the second and the third floors, respectively, during the pre-mentioned period. The comfortable temperatures recorded greater progress in the third-floor spaces. Thermal performance enhancement was caused by increasing the pressure differences between the inlets in the lower level and the outlets in the cavity openings, which develops suction of the hot air from inside as well as utilizing the vertical air movement due to the stack effect of the atrium. Figure 11 shows the improvement in comfortable WH during July for the second and third floors with different scenarios; the results of August and June are presented in Table 7.
Figure 11.
Thermal performance for the second and third floors with different scenarios for July.
The implementation of DSS decreased the atrium average temperature by 3–4 °C. Figure 12 shows an example of the air movement, which is measured in kilograms per second (kg/s), and indoor temperature changes in degrees Celsius (°C), on the 21st of July at 2:00 p.m., where the wind speed was 4.9 m/s with a south-east wind direction for: (a) the existing case, (b) the DSS with initial openings of 10%, and (c) the DSS with fully opened building windows scenario, respectively; these results were obtained from EDSL Tas. The existing building section shows the high temperatures of the atrium space and the reading zones, where the stagnant hot air cannot be extracted, while the airflow increased for the southern space by applying the DSS with the cavity windows totally open, which reduces the operative temperatures, in addition to increasing the air extraction from the upper cavity by the stack effect aided by the wind effect. Finally, increasing the inlets’ size progresses the airflow inside the building, which consequently reduces the operative temperatures.
Figure 12.
Air movement and indoor temperatures change in 21st of July at 2:00 pm with different scenarios.
For the whole-year performance, Figure 13 shows that comfortable WH were significantly increased during the cooling period, while the heating period kept the same performance for both floors.
Figure 13.
(a) Second floor, and (b) third. Annual improvement of comfortable working hours within 80% acceptability limits.
6. Conclusions
A well-designed atrium utilizes natural forces to achieve environmental and economic benefits with respect to the exterior climatic conditions; one or more passive design techniques can be used for this purpose. Pre-design evaluation of these strategies can predict the building’s performance to give the chance for better solutions. In this study, a central top-lit atrium with DSS has been designed and evaluated, and different proposals have been categorized for improving the thermal comfort in the Mediterranean climate.
The building achieved 77% comfortable WH during the whole year by applying the DSS. However, the second-floor spaces recorded an average of 82% comfortable WH. Applying DSS can achieve total comfortable WH for one-fourth of the year (three months) by changing the opening sizes based on the outdoor climatic conditions, whereas increasing the ventilation rate with greater opening sizes and whole-day ventilation can achieve an average of 80% comfortable WH for the hottest three summer months. Even though the DSS did not improve the winter period thermal performance, the warm winter months like April achieved full comfortable WH, whilst other winter months reached an average of 70% comfortable WH by closing the building windows. January results cannot be improved by utilizing the atrium design; thus, heating systems should be used.
Conducting this research brought recommendations to the scene to be studied in future work. Some of these recommendations are:
- The possibility of evaluating different skylight designs and changing the width of the cavity, as well as testing other glass types and properties. Moreover, different forms and shapes and the possibility of an inclined skylight could be tested.
- Combining the evaluation of visual comfort with thermal comfort for the DSS.
- The possibility of integrating the DSS with other passive design strategies to improve winter performance.
- Conducting further studies related to the atrium design in the Mediterranean climate with different configurations.
- Verifying thermal analysis with subjective investigations such as field experiments and surveys.
Author Contributions
R.S. and H.Z.A. prepared and designed the concept for this article; R.S performed the experiments, simulations, and wrote the manuscript; H.Z.A. supervised, provided sources, comments, and suggestions for the paper. All authors have read and agreed to the published version of the manuscript.
Funding
This research received no external funding.
Conflicts of Interest
The authors declare no conflict of interest.
References
- Shaikh, P.H.; Nor, N.B.M.; Nallagownden, P.; Elamvazuthi, I.; Ibrahim, T. A review on optimized control systems for building energy and comfort management of smart sustainable buildings. Renew. Sustain. Energy Rev. 2014, 34, 409–429. [Google Scholar] [CrossRef]
- Lee, S.; Park, S.H.; Yeo, M.S.; Kim, K.W. An experimental study on airflow in the cavity of a ventilated roof. Build. Environ. 2009, 44, 1431–1439. [Google Scholar] [CrossRef]
- Tabesh, T.; Sertyesilisik, B. An Investigation into Energy Performance with the Integrated Usage of a Courtyard and Atrium. Buildings 2016, 6, 21. [Google Scholar] [CrossRef]
- Fantozzi, F.; Hamdi, H.; Rocca, M.; Vegnuti, S. Use of automated control systems and advanced energy simulations in the design of climate responsive educational building for mediterranean area. Sustainability 2019, 11, 1660. [Google Scholar] [CrossRef]
- Frontczak, M.; Wargocki, P. Literature survey on how different factors influence human comfort in indoor environments. Build. Environ. 2011, 46, 922–937. [Google Scholar] [CrossRef]
- Sarbu, I.; Pacurar, C. Experimental and numerical research to assess indoor environment quality and schoolwork performance in university classrooms. Build. Environ. 2015, 93, 141–154. [Google Scholar] [CrossRef]
- Toftum, J.; Thorseth, A.; Markvart, J.; Logadóttir, Á. Occupant response to different correlated colour temperatures of white LED lighting. Build. Environ. 2018, 143, 258–268. [Google Scholar] [CrossRef]
- Alfano, F.D.A.; Bellia, L.; Fragliasso, F.; Palella, B.I.; Riccio, G. Thermal comfort and visual interaction: A subjective survey. In IOP Conference Series: Materials Science and Engineering; IOP Publishing: Bristol, UK, 2019; p. 042061. [Google Scholar] [CrossRef]
- Ibrahim, S.H.; Baharun, A.; Abdul Manan, M.D.; Abang Adenan, D.A. Importance of thermal comfort for library building in Kuching, Sarawak. Int. J. Energy Environ. 2013, 4, 1003–1012. [Google Scholar]
- Hung, W.Y.; Chow, W.K. A Review on Architectural Aspects of Atrium Buildings. Archit. Sci. Rev. 2001, 44, 285–295. [Google Scholar] [CrossRef]
- Ab Ghafar, N.; Gadi, M.; Adam, M. Evaluation of thermal and solar performance in atrium buildings using sequential simulation. Energy Environ. 2019, 30, 969–990. [Google Scholar] [CrossRef]
- Modirrousta, S.; Boostani, H. Analysis of Atrium Pattern, Trombe Wall and Solar Greenhouse on Energy Efficiency. Procedia Eng. 2016, 145, 1549–1556. [Google Scholar] [CrossRef]
- Liang, N.; Kong, Q.; Cao, Y.; Zheng, W.; Yang, Q. Thermal Performance of an Atrium with Hybrid Ventilation and cooled air supply. In IOP Conference Series: Earth and Environmental Science; IOP Publishing: Bristol, UK, 2019; Volume 268. [Google Scholar] [CrossRef]
- Pitts, A. Thermal Comfort in Transition Spaces. Buildings 2013, 3, 122–142. [Google Scholar] [CrossRef]
- Baharvand, M.; Hamdan, M.; Ahmad, B.; Safikhani, T. Thermal Performance of Tropical Atrium. Sci. J. Riga Tech. Univ. Environ. Clim. Technol. 2013, 12, 34–40. [Google Scholar] [CrossRef]
- Hussain, S.; Oosthuizen, P.H. Numerical investigations of buoyancy-driven natural ventilation in a simple atrium building and its effect on the thermal comfort conditions. Appl. Therm. Eng. 2012, 40, 358–372. [Google Scholar] [CrossRef]
- Laouadi, A.; Atif, M.R.; Galasiu, A. Towards developing skylight design tools for thermal and energy performance of atriums in cold climates. Build. Environ. 2002, 37, 1289–1316. [Google Scholar] [CrossRef]
- Abdullah, H.; Wang, F. Design and low energy ventilation solutions for atria in the tropics. Sustain. Cities Soc. 2012, 2, 8–28. [Google Scholar] [CrossRef]
- Wang, F.; Abdullah, A.H. Investigating thermal conditions in a tropic atrium employing CFD and DTM techniques. Int. J. Low-Carbon Technol. 2011, 6, 171–186. [Google Scholar] [CrossRef]
- Moosavi, L.; Ghafar, N.; Mahyuddin, N. Investigation of Thermal Performance for Atria: A Method Overview. In MATEC Web of Conferences; EDP Sciences: Les Ulis, France, 2016; Volume 66, p. 00029. [Google Scholar] [CrossRef]
- Moosavi, L.; Mahyuddin, N.; Ab Ghafar, N.; Azzam Ismail, M. Thermal performance of atria: An overview of natural ventilation effective designs. Renew. Sustain. Energy Rev. 2014, 34, 654–670. [Google Scholar] [CrossRef]
- Moosavi, L.; Mahyuddin, N.; Ghafar, N. Atrium cooling performance in a low energy office building in the Tropics, a field study. Build. Environ. 2015, 94, 384–394. [Google Scholar] [CrossRef]
- Sunanda, W.; Budiarto, R.; Budiarto, R. Performance of Glazing Materials for Atrium in Hot & Humid Climate. MATEC Web Conf. 2018, 186, 02007. [Google Scholar] [CrossRef][Green Version]
- Moosavi, L.; Mahyuddin, N.; Ghafar, N.; Zandi, M.; Bidi, M. Numerical prediction of thermal and airflow conditions of a naturally ventilated atrium and validation of CFD models. J. Renew. Sustain. Energy. 2018, 10, 065101. [Google Scholar] [CrossRef]
- Palma Rojas, D. Atrium building design: Key aspects to improve their thermal performance on the Mediterranean climate of Santiago de Chile. Int. J. Low-Carbon Technol. 2013, 9, 327–330. [Google Scholar] [CrossRef]
- Ahmad, M.H.; Rasdi, M.T.H.M. Design Principles of Atrium Buildings for the Tropics; Penerbit UTM: Johor, Malaysia, 2000. [Google Scholar]
- Douvlou, E.D.; Pitts, A. Glazed spaces in the Mediterranean climate: Design of glazing and shading devices in atria. Archit. City Environ. Proc. PLEA 2000, 292–293. [Google Scholar]
- Barbosa, S.; Ip, K. Predicted thermal acceptance in naturally ventilated office buildings with double skin façades under Brazilian climates. J. Build. Eng. 2016, 7, 92–102. [Google Scholar] [CrossRef]
- Barbosa, S.; Ip, K.; Southall, R. Thermal comfort in naturally ventilated buildings with double skin façade under tropical climate conditions: The influence of key design parameters. Energy Build. 2015, 109, 397–406. [Google Scholar] [CrossRef]
- Abuseif, M.; Gou, Z. A Review of Roofing Methods: Construction Features, Heat Reduction, Payback Period and Climatic Responsiveness. Energies 2018, 11, 3196. [Google Scholar] [CrossRef]
- Omar, I.; Joseph, V.; Etienne, V.; Damien, D.; Idriss, A.I. Energy Saving Potential with a Double-Skin Roof Ventilated by Natural Convection in Djibouti. Energy Procedia 2017, 140, 361–373. [Google Scholar] [CrossRef]
- Bianco, V.; Diana, A.; Manca, O.; Nardini, S. Numerical investigation of an inclined rectangular cavity for ventilated roofs applications. Therm. Sci. Eng. Prog. 2018, 6, 426–435. [Google Scholar] [CrossRef]
- Omrani, S.; Garcia-hansen, V.; Capra, B.R.; Drogemuller, R. Effect of natural ventilation mode on thermal comfort and ventilation performance: Full-scale measurement. Energy Build. 2017, 156, 1–16. [Google Scholar] [CrossRef]
- Hien, W.N.; Gabriela, O.; Tan, E.; Jusuf, S.K. Indoor Thermal Comfort Assessment of Naturally Ventilated Atriums in Singapore. J. Archit. Built Environ. 2017, 44, 53–59. [Google Scholar] [CrossRef][Green Version]
- Galal, K.S. The impact of atrium top materials on daylight distribution and heat gain in the Lebanese coastal zone. Alexandria Eng. J. 2019, 58, 659–676. [Google Scholar] [CrossRef]
- Aldawoud, A. The influence of the atrium geometry on the building energy performance. Energy Build. 2013, 57, 1–5. [Google Scholar] [CrossRef]
- Fini, S.; Moosavi, A. Effects of ‘wall angularity of atrium’ on ‘buildings natural ventilation and thermal performance’ and CFD model. Energy Build. 2016, 121, 265–283. [Google Scholar] [CrossRef]
- Al-Obaidi, K.M.; Ismail, M.A.; Rahman, A.M. A review of skylight glazing materials in architectural designs for a better indoor environment. Mod. Appl. Sci. 2014, 8, 68–82. [Google Scholar] [CrossRef]
- Wang, L.; Huang, Q.; Qi, Z.; Xu, H.; Yuen, R.K.K. Role of atrium geometry in building energy consumption: The case of a fully air-conditioned enclosed atrium in cold climates, China. Energy Build. 2017, 151, 228–241. [Google Scholar] [CrossRef]
- Mirrahimi, S.; Mohamed, M.F.; Haw, L.C.; Ibrahim, N.L.N.; Yusoff, W.F.M.; Aflaki, A. The effect of building envelope on the thermal comfort and energy saving for high-rise buildings in hot-humid climate. Renew. Sustain. Energy Rev. 2016, 53, 1508–1519. [Google Scholar] [CrossRef]
- Raji, B.; Tenpierik, M.J.; Van Den Dobbelsteen, A. An assessment of energy-saving solutions for the envelope design of high-rise buildings in temperate climates: A case study in the Netherlands. Energy Build. 2016, 124, 210–221. [Google Scholar] [CrossRef]
- Douvlou, E.D. Climatic Responsive Design & Occupant Comfort: The Case of the Atrium Building in A Mediterranean Climate. Ph.D. Thesis, The University of Sheffield, Sheffield, UK, 2004. [Google Scholar]
- Tanaka, H.; Okumiya, M.; Tanaka, H.; Young, G.; Watanabe, K. Thermal characteristics of a double-glazed external wall system with roll screen in cooling season. Build. Environ. 2009, 44, 1509–1516. [Google Scholar] [CrossRef]
- Jomehzadeh, F.; Nejat, P.; Calautit, J.K.; Yusof, M.B.M.; Zaki, S.A.; Hughes, B.R.; Yazid, M.N.A.W.M. A review on windcatcher for passive cooling and natural ventilation in buildings, Part 1: Indoor air quality and thermal comfort assessment. Renew. Sustain. Energy Rev. 2017, 70, 736–756. [Google Scholar] [CrossRef]
- Chen, Y.; Tong, Z.; Malkawi, A. Investigating natural ventilation potentials across the globe: Regional and climatic variations. Build. Environ. 2017, 122, 386–396. [Google Scholar] [CrossRef]
- Chenari, B.; Carrilho, J.D.; Gameiro, M. Towards sustainable, energy-efficient and healthy ventilation strategies in buildings: A review. Renew. Sustain. Energy Rev. 2016, 59, 1426–1447. [Google Scholar] [CrossRef]
- Li, Z.R.; Ai, Z.T.; Wang, W.J.; Xu, Z.R.; Gao, X.Z.; Wang, H.S. Evaluation of airflow pattern in wind-driven naturally ventilated atrium buildings: Measurement and simulation. Build. Serv. Eng. Res. Technol. 2014, 2, 139–154. [Google Scholar] [CrossRef]
- Al-Obaidi, K.M.; Ismail, M.; Abdul Rahman, A.M. A study of the impact of environmental loads that penetrate a passive skylight roofing system in Malaysian buildings. Front. Archit. Res. 2014, 3, 178–191. [Google Scholar] [CrossRef]
- Yasa, E. Evaluation of the Effect of the Different Distances between Two Facades Natural Ventilation on Atrium Buildings with DSF and PMV-PPD Comfort. Procedia Eng. 2015, 121, 667–674. [Google Scholar] [CrossRef]
- Alibaba, H.Z.; Ozdeniz, M.B. Energy Performance and Thermal Comfort of Double-Skin and Single-Skin Facades in Warm-Climate Offices. J. Asian Archit. Build. Eng. 2016, 15, 635–642. [Google Scholar] [CrossRef]
- Alberto, A.; Ramos, N.M.M.; Almeida, R.M.S.F. Parametric study of double-skin facades performance in mild climate countries. J. Build. Eng. 2017, 12, 87–98. [Google Scholar] [CrossRef]
- Zheng, D.; Li, Y.; Liu, C.; Qi, H.; Liu, X. Numerical analysis on thermal performance of naturally ventilated roofs with different influencing parameters. Sustain. Cities Soc. 2016, 22, 86–93. [Google Scholar] [CrossRef]
- Roslan, Q.; Ibrahim, S.H.; Affandi, R.; Mohd Nawi, A.; Mohd, N.B. A literature review on the improvement strategies of passive design for the roofing system of the modern house in a hot and humid climate region. Front. Archit. Res. 2016, 5, 126–133. [Google Scholar] [CrossRef]
- Susanti, L.; Homma, H.; Matsumoto, H. A naturally ventilated cavity roof as potential benefits for improving thermal environment and cooling load of a factory building. Energy Build. 2011, 43, 211–218. [Google Scholar] [CrossRef]
- ASHRAE. ANSI/ASHRAE Standard 55—Thermal Environmental Conditions for Human Occupancy; American National Standard Institute (ANSI) and American Society of Heating, Refrigerating, and Air-Conditioning Engineers (ASHRAE): Atlanta, GA, USA, 2017. [Google Scholar]
- Lau, S.S.Y.; Zhang, J.; Tao, Y. A comparative study of thermal comfort in learning spaces using three different ventilation strategies on a tropical university campus. Build. Environ. 2019, 148, 579–599. [Google Scholar] [CrossRef]
- EDSL. TAS Theory Manual; Environmental Design Solutions Ltd. (EDSL): Stony Stratford, UK, 2019; Available online: http://www.edsl.net/main/Support/Documentation.aspx (accessed on 2 February 2019).
- Chen, D.; Chen, H.W. Using the Köppen classification to quantify climate variation and change: An example for 1901–2010. Environ. Dev. 2013, 6, 69–79. [Google Scholar] [CrossRef]
- Climate Consultant Download Page. Available online: http://www.energy-design-tools.aud.ucla.edu/climate-consultant/request-climate-consultant.php (accessed on 11 November 2019).
© 2020 by the authors. Licensee MDPI, Basel, Switzerland. This article is an open access article distributed under the terms and conditions of the Creative Commons Attribution (CC BY) license (http://creativecommons.org/licenses/by/4.0/).













