Rotating Microtab Implementation on a DU91W250 Airfoil Based on the Cell-Set Model
Abstract
:1. Introduction
2. Materials and Methods
2.1. Introduction to the Cell-Set Model
2.2. Numerical Setup
2.3. Rotating MT Configurations
3. Results
3.1. Aerodynamic Performance
3.2. Velocity Field Analysis
3.3. Pressure Distributions
4. Conclusions
- The cell-set model is a very flexible and adaptive method to model flow control devices such as microtabs, flaps, vortex generators or Gurney flaps. Basically, the procedure to implement the cell-set model consists of building a set of cells taking the desired geometry as a reference and generating a new region, which is split from the main fluid domain. This model permits the user to conduct straightforward modifications to the geometries to be meshed without having to re-mesh the computational domain. Subsequently, mesh calculation times are saved by using this method.
- ○
- Furthermore, the cell-set method is considered to be appropriate for computational testing of trailing edge rotating microtab geometry, as the dimensions and location can be changed freely.
- As may seem obvious, all the results that are obtained with the cell-set model involve a relative error compared with the results of a fully mesh model for the same geometry, since for most cases, the created shape of cells is a stepped pattern. Considering that the transversal section of a microtab is simple compared with other flow control devices, the cell-set model is a suitable solution for microtab modeling in two-dimensional simulations.
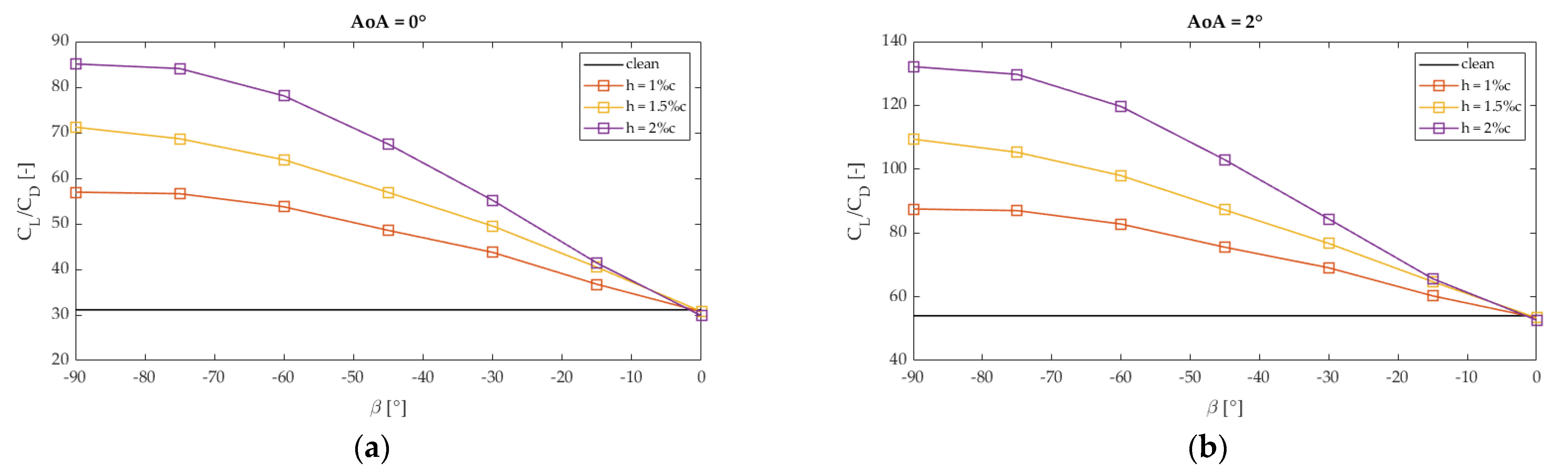
- In terms of aerodynamic performance of the DU91W250 airfoil with a rotating microtab implemented on it, the following conclusions were deduced:
- ○
- All the studied microtab lengths generate similar performance curve shapes when the angle of attack is changed and when the tab rotates.
- ○
- Clean and β = 0° aerodynamic performance curves show similar values for the studied microtab lengths.
- ○
- An increase of the rotating angle β produces an enhancement of the CL/CD ratios, and this effect is more noticeable for larger microtab lengths than for the shorter ones. It was observed that from β = −60° to β = −90°, the curves start to stabilize, reaching very similar performance ratios.
- ○
- All the configurations except the β = 0° cases produce higher CL/CD ratios than the clean DU91W250 profile. A maximum performance ratio of CL/CD = 164.10 was reached with the β = −90° and h = 2% microtab configuration, at 6° of angle of attack.
- ○
- All the performance curves illustrated an asymptotic trend to the clean horizontal lines when the microtab went from a vertical (β = −90°) to a horizontal (β = 0°) orientation.
- The velocity field around the trailing edge area was qualitatively analyzed for the optimum case among the studied configurations (AoA = 6° and h = 2%) with different β angles in order to visualize the effect of the microtab rotation. The generated wake shows a progressive evolution as the microtab rotates: The low velocity area is smaller for tab orientations near β = 0°, and it gradually increases as the β angle approximates −90°. At this point, the rotating tab behaves as a Gurney flap located on the pressure side of the airfoil, since both would have the same orientation.
- Pressure distributions along the streamwise direction of the DU19W250 airfoil were studied for the optimum case. The variation of β involves a gradual change of the pressure gap in the trailing edge. The most noticeable pressure change was achieved when passing from at β = 0° to β = −15°. The pressure distribution was altered along the whole profile: Low β values involved lower pressure differences between suction and pressure sides of the airfoil.
- Future studies are being developed on the cell-set matter. Passive and active flow control device modeling is a source of high interest in terms of wind turbine optimization. In addition, three-dimensional airfoil scenarios are being considered for coming studies on the cell-set matter.
Supplementary Materials
Author Contributions
Funding
Institutional Review Board Statement
Informed Consent Statement
Data Availability Statement
Acknowledgments
Conflicts of Interest
Nomenclature
| Definition | Unit | |
| MT | Microtab | - |
| CS | Cell-set | - |
| GF | Gurney Flap | - |
| CFD | Computational fluid dynamics | - |
| VG | Vortex generator | - |
| RANS | Reynolds-averaged Navier–Stokes | - |
| HAWT | Horizontal axis wind turbine | - |
| NREL | National Renewable Energy Laboratory | - |
| c | Airfoil chord length | m |
| β | Microtab angle | ° |
| h | Microtab length | % of c |
| SST | Shear stress transport | - |
| Re | Reynolds number | - |
| Local air density | kg/m3 | |
| Dynamic viscosity | Pa∙s | |
| Freestream velocity | m/s | |
| Freestream static pressure | Pa | |
| Freestream stagnation pressure | Pa | |
| AoA | Angle of attack | deg |
| Global relative error | % | |
| CL | Lift coefficient | - |
| CD | Drag coefficient | - |
| CL/CD | Lift-to-drag ratio | - |
| Pressure coefficient | - |
Appendix A
| CS MT Configuration | |||
|---|---|---|---|
| Case No. | Case | β (°) | h (%c) |
| 1.X | DU91W250_clean_AoAX | no MT | no MT |
| 2.X | DU91W250_CSMT_b0_h1_AoAX | 0 | 1 |
| 3.X | DU91W250_CSMT_b15_h1_AoAX | −15 | 1 |
| 4.X | DU91W250_CSMT_b30_h1_AoAX | −30 | 1 |
| 5.X | DU91W250_CSMT_b45_h1_AoAX | −45 | 1 |
| 6.X | DU91W250_CSMT_b60_h1_AoAX | −60 | 1 |
| 7.X | DU91W250_CSMT_b75_h1_AoAX | −75 | 1 |
| 8.X | DU91W250_CSMT_b90_h1_AoAX | −90 | 1 |
| 9.X | DU91W250_CSMT_b0_h15_AoAX | 0 | 1.5 |
| 10.X | DU91W250_CSMT_b15_h15_AoAX | −15 | 1.5 |
| 11.X | DU91W250_CSMT_b30_h15_AoAX | −30 | 1.5 |
| 12.X | DU91W250_CSMT_b45_h15_AoAX | −45 | 1.5 |
| 13.X | DU91W250_CSMT_b60_h15_AoAX | −60 | 1.5 |
| 14.X | DU91W250_CSMT_b75_h15_AoAX | −75 | 1.5 |
| 15.X | DU91W250_CSMT_b90_h15_AoAX | −90 | 1.5 |
| 16.X | DU91W250_CSMT_b0_h2_AoAX | 0 | 2 |
| 17.X | DU91W250_CSMT_b15_h2_AoAX | −15 | 2 |
| 18.X | DU91W250_CSMT_b30_h2_AoAX | −30 | 2 |
| 19.X | DU91W250_CSMT_b45_h2_AoAX | −45 | 2 |
| 20.X | DU91W250_CSMT_b60_h2_AoAX | −60 | 2 |
| 21.X | DU91W250_CSMT_b75_h2_AoAX | −75 | 2 |
| 22.X | DU91W250_CSMT_b90_h2_AoAX | −90 | 2 |
References
- IEA—International Energy Agency. Available online: https://www.iea.org (accessed on 23 December 2020).
- Aramendia-Iradi, I.; Fernandez-Gamiz, U.; Sancho-Saiz, J.; Zulueta-Guerrero, E. State of the Art of Active and Passive Flow Control Devices for Wind Turbines. DYNA 2016, 91, 512–516. [Google Scholar]
- González-Salcedo, Á.; Croce, A.; Arce León, C.; Nayeri, C.N.; Baldacchino, D.; Vimalakanthan, K.; Barlas, T. Blade Design with Passive Flow Control Technologies. In Handbook of Wind Energy Aerodynamics; Stoevesandt, B., Schepers, G., Fuglsang, P., Yuping, S., Eds.; Springer International Publishing: Cham, Switzerland, 2020; pp. 1–57. ISBN 978-3-030-05455-7. [Google Scholar]
- Soto-Valle, R.; Bartholomay, S.; Manolesos, M.; Nayeri, C.; Paschereit, C.O. Airfoil Shaped Vortex Generators applied on a Research Wind Turbine. In AIAA Scitech 2021 Forum; American Institute of Aeronautics and Astronautics: Reston, VA, USA, 2021. [Google Scholar]
- Bach, A.B.; Holst, D.; Nayeri, C.N.; Paschereit, C.O. Transitional Effects of Active Micro-Tabs for Wind Turbine Load Control. In Proceedings of the ASME Turbo Expo 2013: Turbine Technical Conference and Exposition, San Antonio, TX, USA, 3–7 June 2013; pp. 10–1115. [Google Scholar]
- Gerontakos, P.; Lee, T. Dynamic Stall Flow Control via a Trailing-Edge Flap. AIAA J. 2006, 44, 469–480. [Google Scholar] [CrossRef]
- Kamps, L.; Brücker, C.; Geyer, T.F.; Sarradj, E. Airfoil Self Noise Reduction at Low Reynolds Numbers Using a Passive Flexible Trailing Edge. In Proceedings of the 23rd AIAA/CEAS Aeroacoustics Conference; American Institute of Aeronautics and Astronautics, Denver, CO, USA, 5–9 June 2017. [Google Scholar]
- Castellani, F.; Astolfi, D.; Piccioni, E.; Terzi, L. Numerical and Experimental Methods for Wake Flow Analysis in Complex Terrain. J. Phys. Conf. Ser. 2015, 625, 012042. [Google Scholar] [CrossRef] [Green Version]
- Astolfi, D.; Castellani, F.; Berno, F.; Terzi, L. Numerical and Experimental Methods for the Assessment of Wind Turbine Control Upgrades. Appl. Sci. 2018, 8, 2639. [Google Scholar] [CrossRef] [Green Version]
- Cooperman, A.; Chow, R.; Johnson, S.; van Dam, C. Experimental and Computational Analysis of a Wind Turbine Airfoil with Active Microtabs. In 49th AIAA Aerospace Sciences Meeting including the New Horizons Forum and Aerospace Exposition; Aerospace Sciences Meetings; American Institute of Aeronautics and Astronautics: Reston, VA, USA, 2011. [Google Scholar]
- Gruschwitz, E.; Schrenk, O. A Simple Method for Increasing the Lift of Airplane Wings by Means of Flaps; NASA: Washington, DC, USA, 1933. [Google Scholar]
- Liu, L.; Padthe, A.K.; Friedmann, P.P. Computational Study of Microflaps with Application to Vibration Reduction in Helicopter Rotors. AIAA J. 2011, 49, 1450–1465. [Google Scholar] [CrossRef] [Green Version]
- Friedmann, P.; Padthe, A.; Liu, L. Numerical Evaluation of Microflaps for On Blade Control of Noise and Vibration. In Proceedings of the 52nd AIAA/ASME/ASCE/AHS/ASC Structures, Structural Dynamics and Materials Conference, American Institute of Aeronautics and Astronautics, Denver, CO, USA, 4–7 April 2011. [Google Scholar]
- Lee, T.; Su, Y.Y. Lift Enhancement and Flow Structure of Airfoil with Joint Trailing-Edge Flap and Gurney Flap. Exp. Fluids 2011, 50, 1671–1684. [Google Scholar] [CrossRef]
- Bofeng, X.; Junheng, F.; Qing, L.; Chang, X.; Zhenzhou, Z.; Yue, Y. Aerodynamic Performance Analysis of a Trailing-Edge Flap for Wind Turbines. J. Phys. Conf. Ser. 2018, 1037, 022020. [Google Scholar] [CrossRef] [Green Version]
- van Dam, C.P.; Chow, R.; Zayas, J.R.; Berg, D.E. Computational Investigations of Small Deploying Tabs and Flaps for Aerodynamic Load Control. J. Phys. Conf. Ser. 2007, 75, 012027. [Google Scholar] [CrossRef] [Green Version]
- Errasti, I.; Fernández-Gamiz, U.; Martínez-Filgueira, P.; Blanco, J. Source Term Modelling of Vane-Type Vortex Generators under Adverse Pressure Gradient in OpenFOAM. Energies 2019, 12, 605. [Google Scholar] [CrossRef] [Green Version]
- Florentie, L.; Hulshoff, S.J.; van Zuijlen, A.H. Adjoint-Based Optimization of a Source-Term Representation of Vortex Generators. Comput. Fluids 2018, 162, 139–151. [Google Scholar] [CrossRef]
- Chillon, S.; Uriarte-Uriarte, A.; Aramendia, I.; Martínez-Filgueira, P.; Fernandez-Gamiz, U.; Ibarra-Udaeta, I. JBAY Modeling of Vane-Type Vortex Generators and Study on Airfoil Aerodynamic Performance. Energies 2020, 13, 2423. [Google Scholar] [CrossRef]
- Ibarra-Udaeta, I.; Portal-Porras, K.; Ballesteros-Coll, A.; Fernandez-Gamiz, U.; Sancho, J. Accuracy of the Cell-Set Model on a Single Vane-Type Vortex Generator in Negligible Streamwise Pressure Gradient Flow with RANS and LES. J. Mar. Sci. Eng. 2020, 8, 982. [Google Scholar] [CrossRef]
- Portal-Porras, K.; Fernandez-Gamiz, U.; Aramendia, I.; Teso-Fz-Betoño, D.; Zulueta, E. Testing the Accuracy of the Cell-Set Model Applied on Vane-Type Sub-Boundary Layer Vortex Generators. Processes 2021, 9, 503. [Google Scholar] [CrossRef]
- Ballesteros-Coll, A.; Fernandez-Gamiz, U.; Aramendia, I.; Zulueta, E.; Lopez-Guede, J.M. Computational Methods for Modelling and Optimization of Flow Control Devices. Energies 2020, 13, 3710. [Google Scholar] [CrossRef]
- Ballesteros-Coll, A.; Fernandez-Gamiz, U.; Aramendia, I.; Zulueta, E.; Ramos-Hernanz, J.A. Cell-Set Modelling for a Microtab Implementation on a DU91W(2)250 Airfoil. Energies 2020, 13, 6723. [Google Scholar] [CrossRef]
- Jonkman, J.; Butterfield, S.; Musial, W.; Scott, G. Definition of a 5-MW Reference Wind Turbine for Offshore System Development; NREL/TP-500-38060; NREL: Golden, CO, USA, 2009; p. 947422. [Google Scholar]
- Siemens Star CCM+ Version 14.02.012. Available online: https://www.plm.automation.siemens.com/global/en/ (accessed on 3 February 2020).
- Sørensen, N.N.; Mendez, B.; Munoz, A.; Sieros, G.; Jost, E.; Lutz, T.; Papadakis, G.; Voutsinas, S.; Barakos, G.N.; Colonia, S.; et al. CFD Code Comparison for 2D Airfoil Flows. J. Phys. Conf. Ser. 2016, 753, 082019. [Google Scholar] [CrossRef] [Green Version]
- Thompson, J.F.; Warsi, Z.U.A.; Mastin, C.W. Numerical Grid Generation: Foundations and Applications; Elsevier Science (North-Holland Publishing Co.): New York, NY, USA, 1985; ISBN 978-0-444-00985-2. [Google Scholar]
- Vinokur, M. On One-Dimensional Stretching Functions for Finite-Difference Calculations. J. Comput. Phys. 1983, 50, 215–234. [Google Scholar] [CrossRef] [Green Version]
- Fernandez-Gamiz, U.; Zulueta, E.; Boyano, A.; Ramos-Hernanz, J.; Lopez-Guede, J. Microtab Design and Implementation on a 5 MW Wind Turbine. Appl. Sci. 2017, 7, 536. [Google Scholar] [CrossRef]
- Aramendia, I.; Fernandez-Gamiz, U.; Zulueta, E.; Saenz-Aguirre, A.; Teso-Fz-Betoño, D. Parametric Study of a Gurney Flap Implementation in a DU91W(2)250 Airfoil. Energies 2019, 12, 294. [Google Scholar] [CrossRef] [Green Version]
- Menter, F.R. Two-Equation Eddy-Viscosity Turbulence Models for Engineering Applications. AIAA J. 1994, 32, 1598–1605. [Google Scholar] [CrossRef] [Green Version]
- Timmer, W.A.; van Rooij, R. Summary of the Delft University Wind Turbine Dedicated Airfoils. J. Sol. Energy Eng. 2003, 125, 488–496. [Google Scholar] [CrossRef]









Publisher’s Note: MDPI stays neutral with regard to jurisdictional claims in published maps and institutional affiliations. |
© 2021 by the authors. Licensee MDPI, Basel, Switzerland. This article is an open access article distributed under the terms and conditions of the Creative Commons Attribution (CC BY) license (https://creativecommons.org/licenses/by/4.0/).
Share and Cite
Ballesteros-Coll, A.; Portal-Porras, K.; Fernandez-Gamiz, U.; Zulueta, E.; Lopez-Guede, J.M. Rotating Microtab Implementation on a DU91W250 Airfoil Based on the Cell-Set Model. Sustainability 2021, 13, 9114. https://doi.org/10.3390/su13169114
Ballesteros-Coll A, Portal-Porras K, Fernandez-Gamiz U, Zulueta E, Lopez-Guede JM. Rotating Microtab Implementation on a DU91W250 Airfoil Based on the Cell-Set Model. Sustainability. 2021; 13(16):9114. https://doi.org/10.3390/su13169114
Chicago/Turabian StyleBallesteros-Coll, Alejandro, Koldo Portal-Porras, Unai Fernandez-Gamiz, Ekaitz Zulueta, and Jose Manuel Lopez-Guede. 2021. "Rotating Microtab Implementation on a DU91W250 Airfoil Based on the Cell-Set Model" Sustainability 13, no. 16: 9114. https://doi.org/10.3390/su13169114
APA StyleBallesteros-Coll, A., Portal-Porras, K., Fernandez-Gamiz, U., Zulueta, E., & Lopez-Guede, J. M. (2021). Rotating Microtab Implementation on a DU91W250 Airfoil Based on the Cell-Set Model. Sustainability, 13(16), 9114. https://doi.org/10.3390/su13169114

