Abstract
This study was carried out to assess the morphological characteristics, fruit quality, and antioxidant levels in sucrose ester-coated ‘Harmony’ plumcots (Prunus salicina Lindl. × P. armeniaca L.). Fruit samples in the control group were left untreated, with two further groups undergoing coating either after 0 days of cold storage (0 d CS) or after 7 days of cold storage (7 d CS) to evaluate changes in post-harvest quality at three-day intervals throughout 12 days of room temperature storage (12 DAS). Coating treatment significantly reduced fruit respiration during storage time in the 0 d CS samples, with this being attributed to the clogging of pores in peel stomata and lenticel, as observed on the fruits under scanning electron microscopy; however, the same effect was not observed in the 7 d CS samples from fruits with a high initial CO2 concentration. The coating delayed fruit softening and discoloration during storage in the 0 d CS samples, extending the shelf-life of the fruits for approximately 9 days. However, the coating treatment was found to reduce total flavonoid and anthocyanin content at 6 DAS and 12 DAS in both groups.
1. Introduction
Plumcot (Prunus salicina Lindl. × P. armeniaca L.) trees are likely a naturally interspecific hybrid originating between Japanese plum (Prunus salicina Lindl.) and apricot (P. armeniaca L.) trees a long time ago [1,2,3,4,5,6]. There has been an increasing consumer demand for plumcot fruit due to their high bioactive compound content, total flavonoid content, total phenol content, abundance of vitamins A and C, and abundance of mineral nutrients considered important to human health and prevention of disease [5,7]. New plumcot cultivars have been actively selected, from ‘Harmony’ varieties in 2007, ‘Tiffany’ in 2010, and ‘Symphony’ in 2011, by The National Horticultural Research Institute of South Korea. However, the post-harvest handling and storage of plumcot fruit has proven difficult for farmers due to its typical climacteric type as a prunus fruit species [2,3,5].
‘Harmony’ plumcots are widely cultivated in S. Korea and typically harvested at 30–50% red skin coloration in July [3,8]. The fruits soften and decay rapidly at room temperature within two to five days due to accelerating internal concentrations of ethylene and CO2 [3,4,8,9,10,11,12,13,14,15]; however, 1-methylcyclopropene has been effective in controlling fruit ripening and the resulting softening, skin color change, and acidity in ‘Harmony’ fruits [8], but is not seen as a desirable additive by consumers, with additive-free food in increasing global demand [12]. Cold storage for several days at temperatures lower than 8 °C has been seen to increase the risk of chilling injury in stone fruits, resulting in internal browning, breakdown, and discoloration of the flesh [16], with fruits requiring novel post-harvest care at room temperature to prevent post-harvest loss.
The components of edible films are mainly based on natural biopolymers, protein, polysaccharide, and lipid compounds, which create a thin layer on the fruit surface and have been shown to extend the shelf-lives of early apple cultivars as well as those of citrus, European pears, pineapple, papaya, grapes, strawberry, and stone fruit [10,11,12,13,14,15,17,18,19,20,21,22,23,24,25,26,27,28,29,30,31,32]. The natural coatings limit moisture and solute migration into the fruit tissue but do not consistently regulate diffusion of CO2 gas across various fruit species [10,11,12,13,14,15,17,18,19,20,21,22,23,24,25,26,27,28,29,30,31,32], with no data available for the the post-harvest behavior of coated plumcots. A sucrose monoester coating mixed with palmitate and stearate has been observed to form a semi-permeable modified atmosphere, successfully reducing fruit quality loss in early apple cultivars for up to 28 days, mitigating anaerobic conditions and off-flavors [22,25].
This study was carried out to investigate fruit quality in coated ‘Harmony’ plumcots by examining the plants’ morphological characteristics, antioxidant levels, and susceptibility to physiological disorders, as well as examining sucrose ester application during storage to effectively slow the fruit ripening process.
2. Materials and Methods
2.1. Fruit Collection
Approximately 500 ‘Harmony’ plumcot samples were collected at harvest with a 30% to 50% red skin coloration from a packing house in a commercial orchard located in Yeongcheon, South Korea, on 30 June 2021 (Figure 1A,B). The fruit samples were immediately transferred to a laboratory at an agricultural experiment station at Daegu Catholic University in Gyeongsan, South Korea. Two methods of applying coating were adopted and evaluated for their effectiveness in prolonging post-harvest fruit quality after room temperature (25.0 ± 0.5 °C/60 ± 5% relative humidity (RH)) storage for 12 days, using two fruit sample groups; one group was from fruit immediately transferred from the packing house (after 0 d CS), while the other was kept for seven days in commercial cold storage (5.0 ± 0.5 °C/80 ± 5% RH; after 7 d CS) and then coated.
Figure 1.
‘Harmony’ plumcot trees grown on a Y-trellis (panel A) and the fruits prior to harvest (panel B).
2.2. Coating Treatment
Fruit samples collected after 0 d CS and after 7 d CS were dipped into water as a control (uncoated control) and into a solution of 2.0% edible additives based on a mixture of sucrose monoesters of fatty acid (Naturcover Conservation Extra, Decco, Inc., Valencia, Spain) for 5 min as a coating, and then air-dried according to the method of Jung and Choi [25]. The coating material consisted of 15.0% (w/v) ethanol, 5.0% (w/v) alpha-D-Glucopyranoside, beta-D-fructofuranosyl, mixed palmitates and stearates, and 2.0% water (w/v) [25].
Peel samples from control and coated fruits were taken for observation of their morphological structure at 6 DAS according to the method of Jung and Choi [25]. The epicuticular structure (5 × 5 × 2 mm) from a 2 mm thick section of peel was analyzed under scanning electron microscopy (SEM; SU-3500, Hitachi Co., Ltd., Tokyo, Japan), with a voltage of 10 kV and at 50, 100, and 500× zoom.
2.3. Fruit Quality Parameters
An analysis of all quality parameters was conducted using five fruits from the control and coated groups at each sampling time at three-day intervals throughout 12 days of room temperature storage (12 DAS) typical of when fruit is exhibited to consumers in supermarkets. This was done for both groups, those treated with coating after 0 d CS, and for those coated after 7 d CS, using 300 fruit samples from each group. All fruits were kept without packaging during the storage.
Each fruit was kept in a 3000-mL plastic film bag containing a digital CO2 electronic sensor capable of measuring between 0–1000 mL−1 kg−1 h−1 (XE-2000 Multi-function, XEAST Co., Ltd., Shenzhen, China) that was placed inside for one hour to monitor concentrations of CO2 inside the fruit tissue [25].
Fresh fruit weight was measured with an electronic balance (EB-430HU, Shimadzu Co., Ltd., Tokyo, Japan). The weight loss percentage was calculated using the following equation: weight loss (%) = ((initial fruit weight-weight at sampling date)/initial fruit weight) × 100.
Three sections from the middle points of the fruit were thinly peeled to determine flesh firmness using a hand-held penetrometer mounted on a test stand with 8-mm diameter cylindrical tip (FR-5105, Lutron electronic enterprise Co., Ltd., Taipei, Taiwan). The fruits were freshly squeezed using a cloth to prepare total soluble solids (TSS) at 100-fold dilution and acidity observed using a Brix-acidity meter (GMK-706R, G-WON Hitech Co., Ltd., Seoul, Korea). The TSS/acid ratio, the ratio between sugars and acids in the plumcot and an important indication of fruit quality, was determined by dividing TSS and acidity values.
The sensory quality of each fruit was evaluated by four semi-trained persons on a hedonic scale (1–5 scale from worst to best) for sweetness, sourness, and fruit overall acceptability according to Novianti et al. [29].
Fruit decay incidence was determined through visual assessment of the external fruit surface to evaluate development of gray mold using a modified version of the method outlined in Zhang et al. [33], using the following rating: 0 = absent; 1 = slight (1% ≤ surface ≤ 30%); 2 = moderate (30% ≤ surface ≤ 70%); 3 = severe (70% ≤ surface ≤ 100%) during storage.
Fruit peel color was measured at three points on the equatorial region of the peel and expressed in terms of parameters L*, a*, and b* using a digital colorimeter with its 8 mm measuring aperture color analyzer (FR-5105, X-Rite, Inc., Grand Rapids, MI, USA). The parameter L* represents lightness, ranging between values 0–100 (black–white, respectively). Positive values of a* (−a* = greenness) and b* (−b* = blueness) indicate reddish and yellowish colors, respectively.
2.4. Total Flavonoid and Anthocyanins
Total flavonoid content was measured through colorimetric assay based on the procedure described by Chang et al. [34]. Then, 5g of fresh fruit tissue was dissolved in 20 mL of a solution of 80% ethanol and then centrifuged at 3000× g for 20 min. The supernatant was transferred into a 10 mL volumetric flask containing 4 mL of distilled water and 0.4 mL of 5% NaNO2 for 5 min, which was then added to 0.4 mL of 10% AlCl3 for 6 min and additionally to 2 mL of 4% NaOH, which was made up to a final volume of 10 mL with distilled water. The solution was measured colorimetrically at a wavelength of 510 nm using a UV-visible spectrophotometer (UV-1800 spectrophotometer, Shimadzu Scientific Instruments, Inc., Kyoto, Japan) to determine total flavonoid content.
The total anthocyanin content of the flesh tissue was measured using a modified pH differential method [35]. Then, 1.0 g of fresh tissue was added to 10 mL of 80% methanol solution with 0.1% HCl at 150 rpm for 2 h before being centrifuged at 3000× g for 20 minutes. The resulting 3.0 mL of supernatant was then divided between 5 mL of two different buffers, 0.025 M potassium chloride at pH 1.0 and 0.4 M sodium acetate at pH 4.5, for 30 min of incubation. The extract was colorimetrically analyzed at an absorbance wavelength of 510 nm using a UV-visible spectrophotometer (UV-1800 spectrophotometer, Shimadzu Scientific Instruments, Inc., Kyoto, Japan).
2.5. Statistical Analysis
All statistical data analyses were conducted using Minitab software v. 15.1 (Minitab, Inc., State College, PA, USA). One-way analysis of variance was used to determine treatment effect, followed by Duncan’s multiple range test on all the main effect means at p < 0.05. Data over time were shown as means ± standard errors.
3. Results and Discussion
3.1. Fruit Morphological Characteristics and Respiration
A porous surface was observed in the microstructure of the control fruits at 14 DAS via SEM (Figure 2A,C,E). The coated fragments of sucrose monoester did not completely retain cohesive films for lenticel and stomata on the epidermal cells (Figure 2B,D,F). This lack of adhesion was most likely due to an uneven application of the coating due to the hairy skin of the fruit, along with strong climacteric behavior, and substantial physical changes from fruit shrivel, which consequently reduced adhesion of the fragments at 14 days after storage [18,19,20]. The sucrose monoester with palmitate had previously been observed to be effective in studies on the smooth peel of bananas and apples over 30 days, as it uniformly covered the surface with small fragments [19,25,27].
Figure 2.
Scanning electron microscope images showing cuticles of control (uncoating) ‘Harmony’ plumcot fruit with 50× (panel A), 100× (panel C), and 500× (panel E) zoom and of coating fruit with 50× (panel B), 100× (panel D), and 500× (panel F) zoom.
CO2 concentrations in all fruits increased at 3 DAS and decreased at 9 DAS after 0 d CS (Figure 3A) and at 12 DAS after 7 d CS (Figure 3B) in a typical climacteric phase previously observed in ‘Harmony’ plumcot stored at 10 °C and 20 °C [8]. This ripening of the stone fruit species is associated with a rapid increase in ethylene production, resulting in the development of skin coloration, flavor changes, and softening, shortening fruit shelf-life [20,22,33]. Coating treatment significantly reduced fruit CO2 concentrations at room temperature after 0 d CS because it would have formed a barrier to CO2 and O2 exchange between the plumcot fruit and the air, as previously reported in studies of edible coated fruits [20,22,30,33]. However, coating after 7 d CS was not considerably effective at decreasing fruit CO2 concentrations from 6 DAS to 12 DAS. This may have been caused by the acceleration of the ripening process while experiencing mild cold stress at a temperature below 8 °C for 7 days [16].
Figure 3.
Respiration rates in control (uncoated; panel A) ‘Harmony’ plumcot fruits and coated fruits (panel B) with coating applied either 0 days after cold storage (After 0 d CS) or 7 days after cold storage (After 7 d CS) at 0, 3, 6, 9, and 12 days of room temperature storage (DAS), respectively. Bars represent error of the means, when larger than the dimension of the symbol; ns and * indicate nonsignificant and significant differences between control and coating treatments at p < 0.05, respectively.
3.2. Fruit Quality
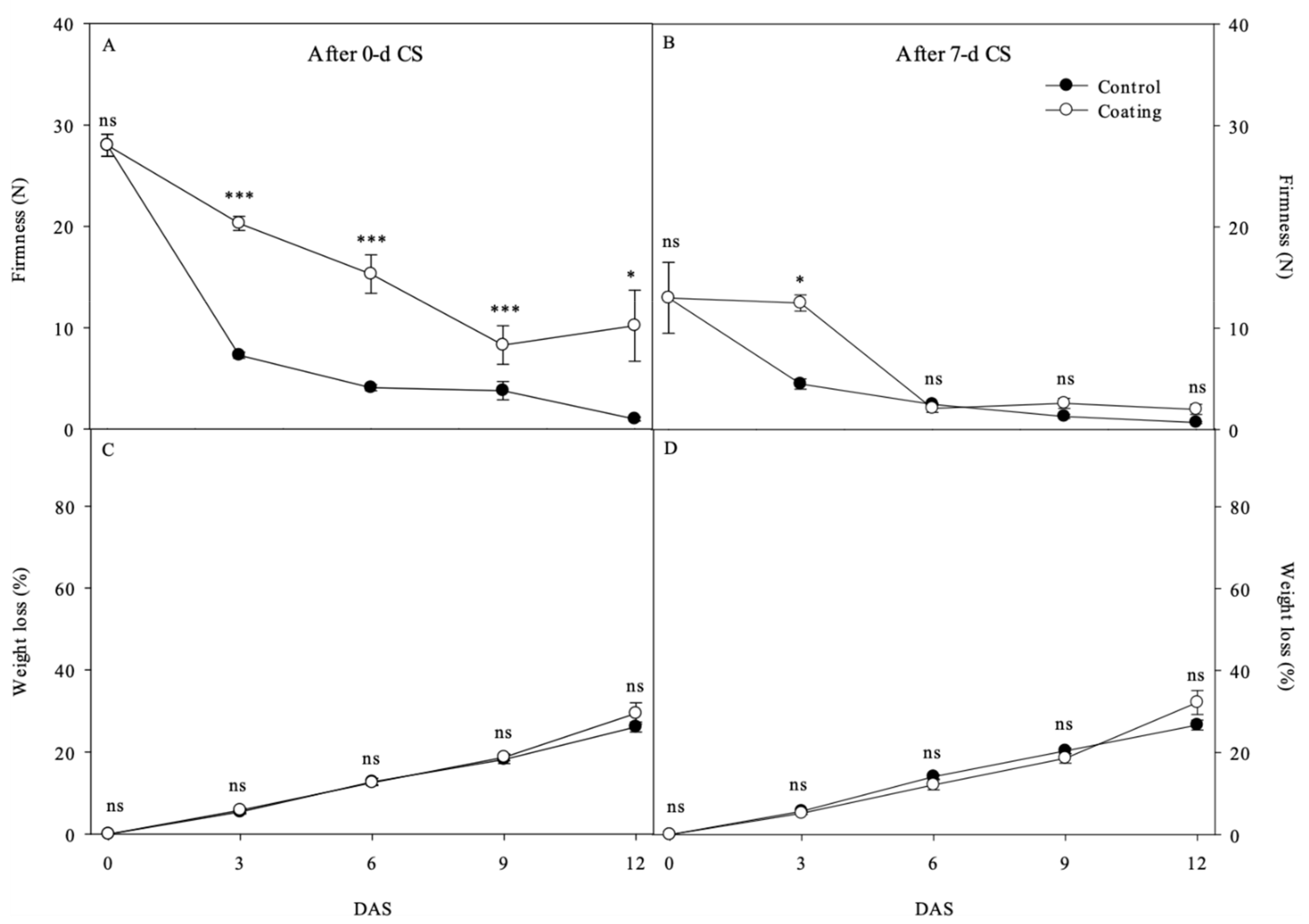
Flesh firmness is the prime factor in determining consumer acceptance and freshness of stone fruits [12,36]. The coated fruits retained significantly higher flesh firmness than those of control fruits from 3 DAS to 12 DAS after 0 d CS (Figure 4A) by limiting oxygen levels that degrade enzymes in cell walls of the stone fruits [12,33], previously reported for studies with apple, banana, and pear fruits coated with sucrose esters [19,20,21,22,25,27]. However, the coating did not maintain the fruit firmness after 7 d CS from 6 DAS to 12 DAS (Figure 4B), mostly due to the elevated respiration rate at 0 DAS and the delayed treatment of the coating. Flesh weight loss did not significantly differ between the treated fruits during storage either after 0 d CS (Figure 4C) or after 7 d CS (Figure 4D), although the edible coating has typically reduced weight loss in many other stone fruits through blocking fruit surface pores and reducing transpiration [10,11,12,13,14,15]. Flesh weight loss in all fruits rapidly increased between 26 and 32% at 12 DAS and promoted active respiration and transpiration, consequently reducing the treatment’s effect during storage time, previously addressed in the literature [10,11,12,13,14,15].
Figure 4.
Fruit firmness (panels A,B) and weight loss (panels C,D) in control (uncoated) ‘Harmony’ plumcot fruits and coated fruits with coating applied either 0 days after cold storage (After 0 d CS) or 7 days after cold storage (After 7 d CS), respectively, at 0, 3, 6, 9, and 12 days of room temperature storage (DAS). Bars represent error of the means, when larger than the dimension of the symbol. ns, *, and *** indicate nonsignificant and significant differences between control and coating treatments at p < 0.05 and p < 0.001, respectively.
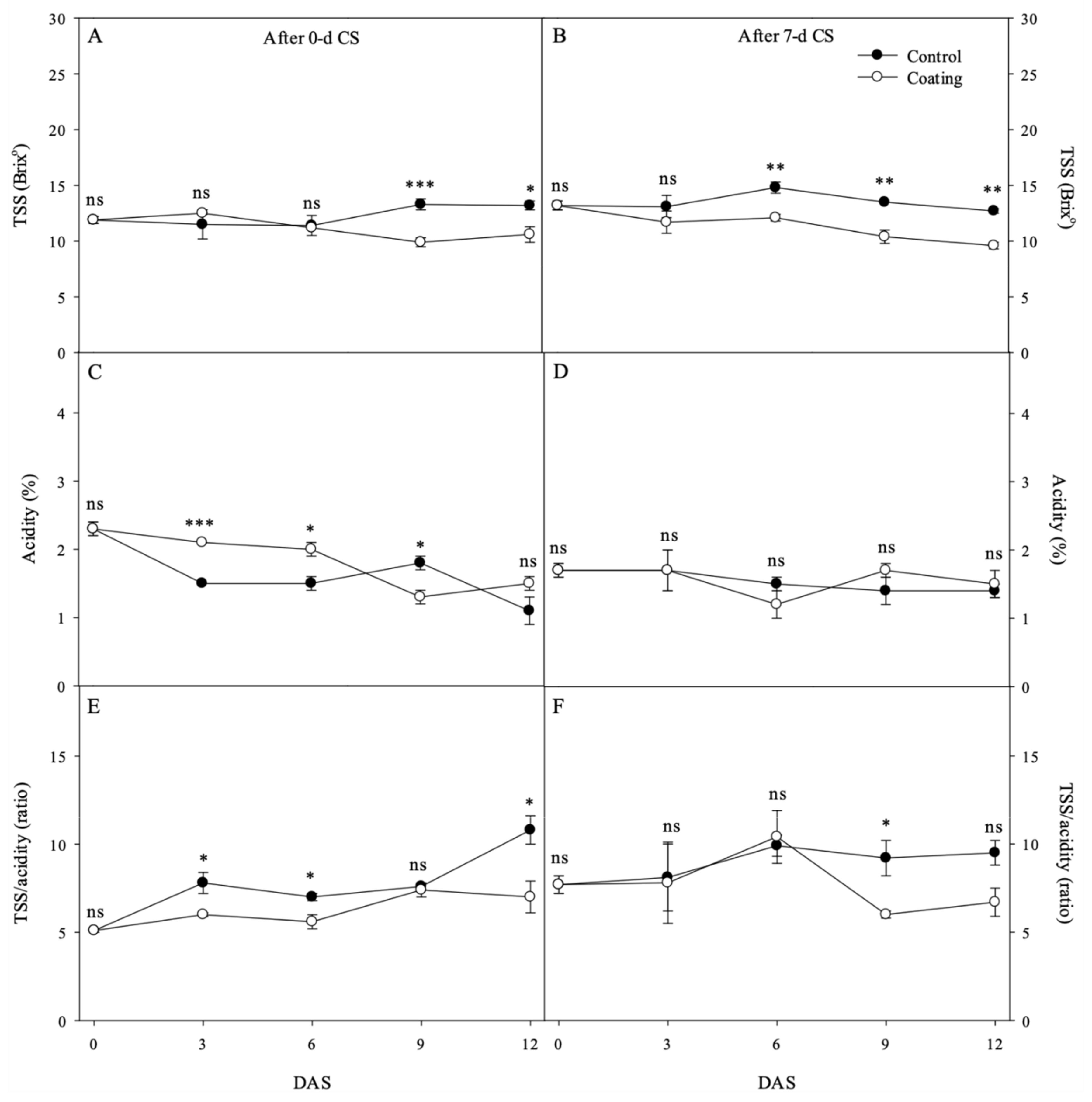
TSS, the components of soluble sugars and organic acids in the fruit juice, was generally higher in the control fruits at later storage periods after 0 d CS (Figure 5A) and after 7 d CS (Figure 5B) than in coated fruits. Low oxygen concentrations in coated fruits delayed starch degradation into TSS and inhibited Krebs cycle activity related to titratable acidity [17,18] which was observed as higher acidity in coated fruits at 3 DAS and 6 DAS after 0 d CS (Figure 5C) but were not confirmed in after 7 d CS samples (Figure 5D). TSS:acidity ratio increased in the control fruits at 3, 6, and 12 DAS in after 0 d CS samples (Figure 5E) and at 9 DAS in after 7 d CS (Figure 5F) with higher values more likely to decrease shelf-life of the different plum cultivars on the previously published research [12,15,36].
Figure 5.
Total soluble solids (TSS; panels A,B), acidity (panels C,D), and TSS/acidity ratio (panels E,F) in control (uncoated) ‘Harmony’ plumcot fruits and in coated fruits with coating applied either 0 days after cold storage (After 0 d CS) or 7 days after cold storage (After 7 d CS), respectively, at 0, 3, 6, 9, and 12 days of room temperature storage (DAS). Bars represent error of the means, when larger than the dimension of the symbol. ns, *, **, and *** indicate nonsignificant and significant differences between control and coating treatments at p < 0.05, p < 0.01, and p < 0.001, respectively.
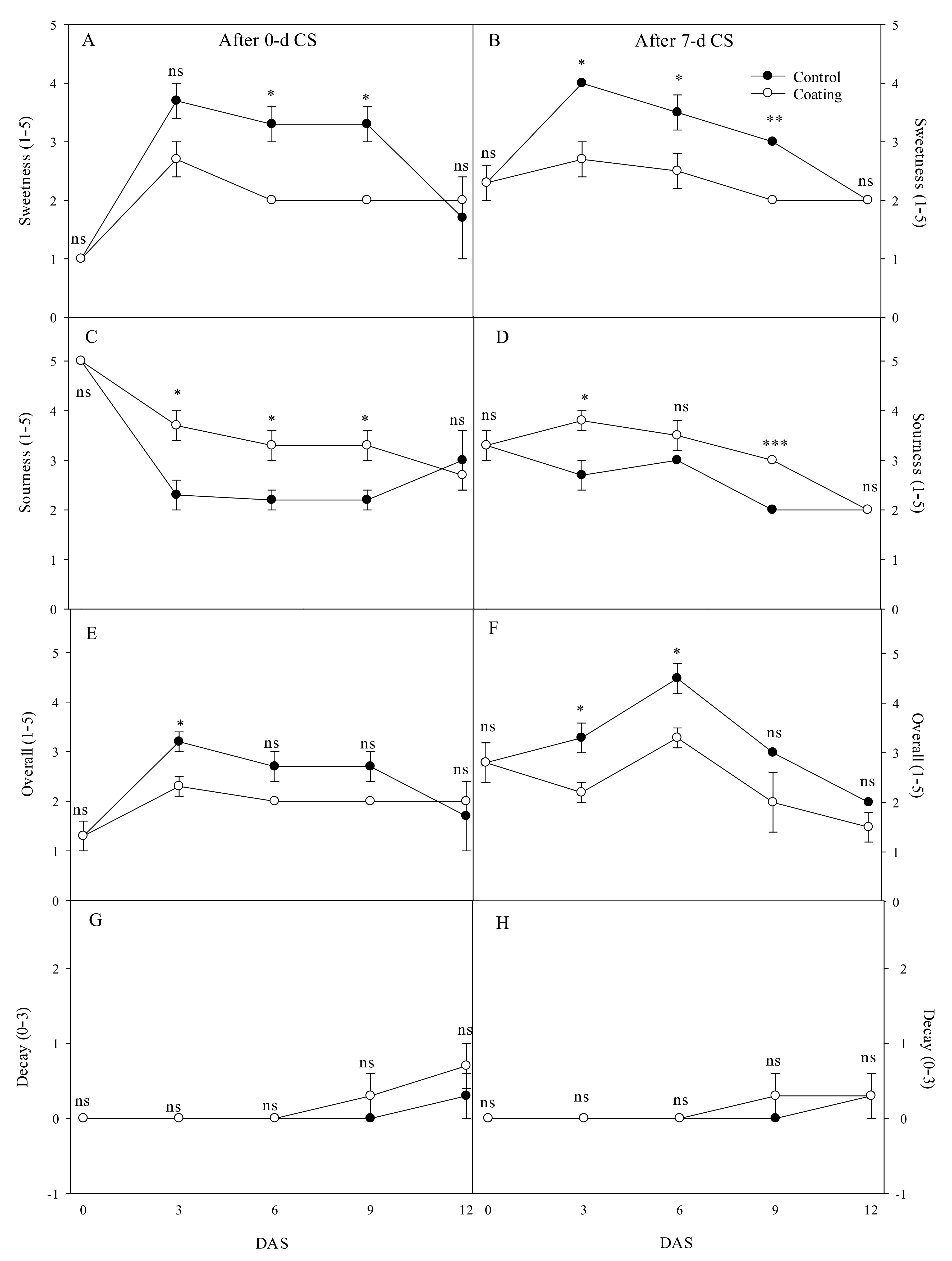
Control fruits were sweeter and less sour than those of coated fruits both after 0 d CS (Figure 6A,C) and after 7 d CS (Figure 6B,D), improving overall taste (Figure 6E,F). This is attributed to organic acids acting as a respiratory substrate causing rapid ripening [17,18,36], while reducing sourness for later storage periods. This seasonal sensory evaluation is helpful in assessing sweetness or sourness of fruits and edible fruit quality during storage [37]. Neither TSS or the SSC/TA ratio are highly recommended for assessing peach fruit quality and consumer preference as the fruit firmness and water content could be partially affected by environmental factors [29,36,37]. Volatiles added to coating substrates have led to to decreased rates of microbial growth and degradation in strawberry and stone fruits, preventing fruit softening [12,31], but has not been confirmed effective on coated plumcot fruits and their more rapid ripening process (Figure 6G,H).
Figure 6.
Sweeetness (panels A,B), sourness (panels C,D), overall quality (panels E,F), and decay (panels G,H), in control (uncoated) ‘Harmony’ plumcot fruits and in coated fruits with coating applied either 0 days after cold storage (After 0 d CS) or 7 days after cold storage (After 7 d CS), respectively, at 0, 3, 6, 9, and 12 days of room temperature storage (DAS). Bars represent error of the means, when larger than the dimension of the symbol. ns, *, **, and *** indicate nonsignificant and significant differences between control and coating treatments at p < 0.05, p < 0.01, and p < 0.001, respectively.
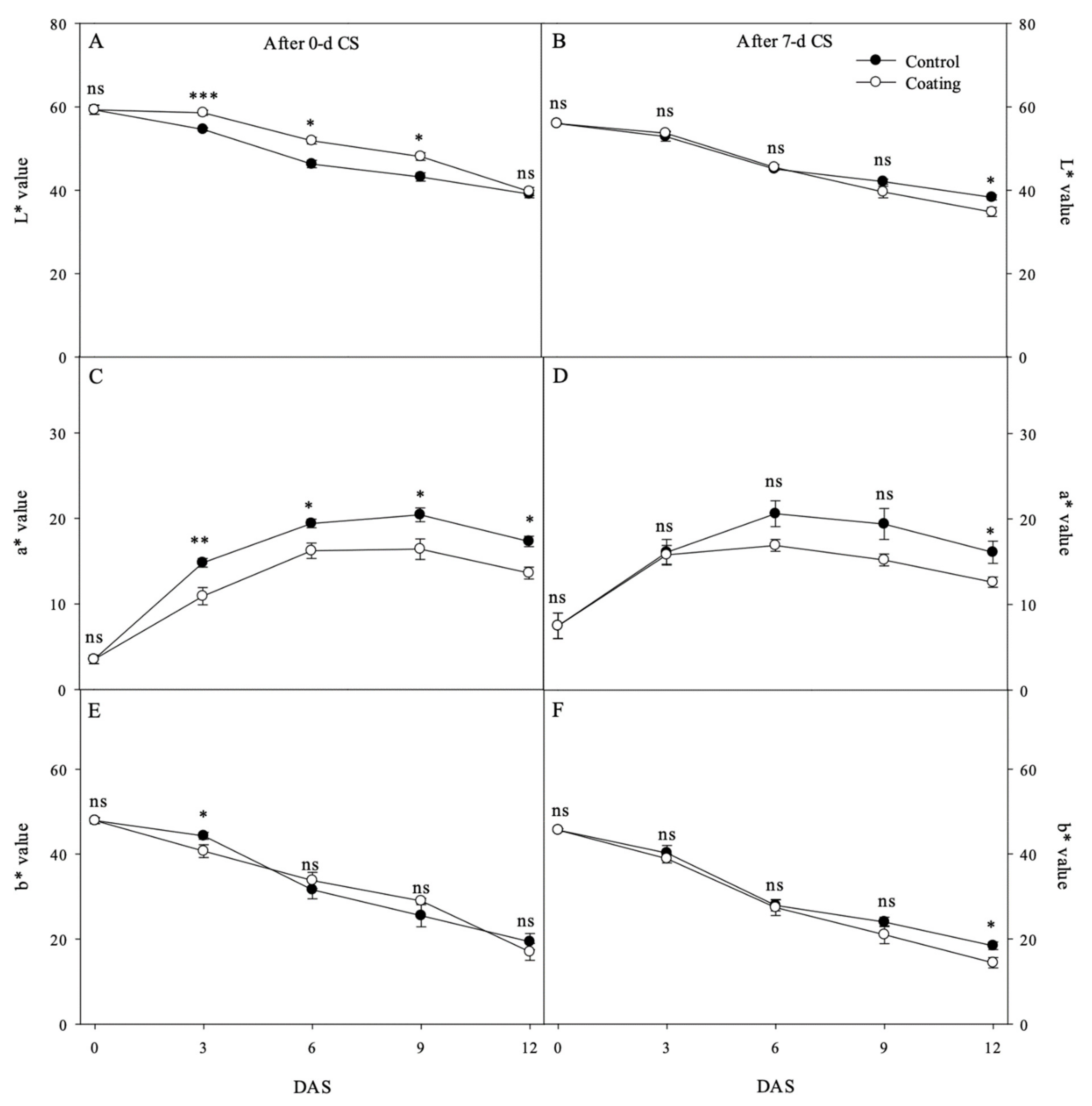
The values of L* and b* on the peel decreased in all fruits during the storage time, with increased values observed for a* (Figure 7A–F and Figure 8A,B). Coating treatment maintained the bright green color of the fruit surface after 0 d CS by retarding fruit senescence, as previously shown in ‘Harmony’ plumcots [8]. However, coating did not affect fruit surface color during storage in after 7 d CS, presumably due to coating proving ineffective at preventing the activity of anthocyanin synthesis [12,33].
Figure 7.
Color L* (panels A,B), a* (panels C,D), and b* (panels E,F) values of flesh tissue in control (uncoated) ‘Harmony’ plumcot fruits and in coated fruits with coating applied either 0 days after cold storage (After 0 d CS) or 7 days after cold storage (After 7 d CS), respectively, at 0, 3, 6, 9, and 12 days of room temperature storage (DAS). Bars represent error of the means, when larger than the dimension of the symbol. ns, *, **, and *** indicate nonsignificant and significant differences between control and coating treatments at p < 0.05, p < 0.01, and p < 0.001, respectively.
Figure 8.
‘Harmony’ plumcot fruits with control (top) or with coating applied (bottom) 0 days after cold storage (panel A) and 7 days after cold storage (panel B).
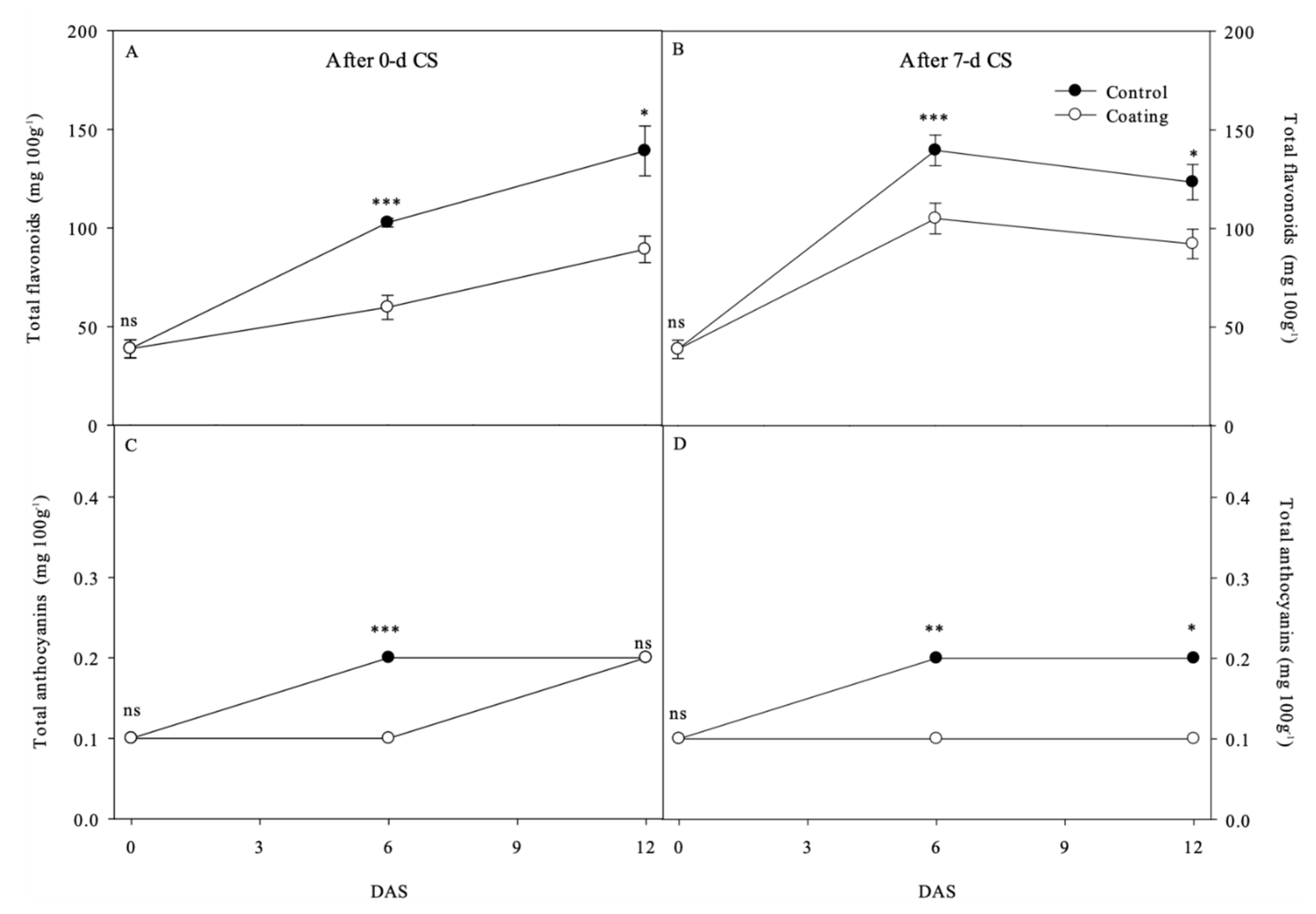
3.3. Total Flavonoid and Anthocyanins
The coating treatment reduced total flavonoid and anthocyanin content in fruit tissue at 6 DAS and 12 DAS both in after 0 d CS (Figure 9A,C) and in after 7 d CS (Figure 9B,D). The coating would have been effective in reducing oxygen availability between the fruit and the air, reducing the activity of critical enzymes for anthocyanin synthesis, phenylalanine ammonia-lyase and flavanone synthase [12,14,33,34]. The main color changes in the plums were also correlated to the anthocyanin pigmentation as well as chlorophyll alterations [14], found to be involved in the low a* values and anthocyanins in coated fruits. However, coated strawberry fruit placed in low CO2 concentrations showed increased levels of anthocyanin and total phenols, caused by the oxidation of ascorbic acid [31], probably due to their non-climacteric characteristic ethylene-insensitive pathway. Total flavonoid content increased at 12 DAS after 0 d CS (Figure 9A) and 6 DAS after 7 d CS (Figure 9B), with the highest levels of approximately 140 mg·g−1 in control fruits associated with oxidative stress at room temperature mentioned earlier in the literature [12,14,26,33,34].
Figure 9.
Total flavonoid (panel A,C) and anthocyanin content (panel B,D) in control (uncoated) ‘Harmony’ plumcot fruits and in coated fruits with coating applied either 0 days after cold storage (After 0 d CS) or 7 days after cold storage (After 7 d CS), respectively, at 0, 3, 6, 9, and 12 days of room temperature storage (DAS). Bars represent error of the means, when larger than the dimension of the symbol. ns, *, **, and *** indicate nonsignificant and significant differences between control and coating treatments at p < 0.05, p < 0.01, and p < 0.001, respectively.
4. Conclusions
Immediately following harvest, plumcot fruits are susceptible to spoiling quickly during storage and distribution, significantly affecting fruit distribution to distant markets, and which is exacerbated by the lack of cold storage facilities in many developing countries [22,25,38]. Our research showed that a mixture of sucrose monoesters and volatile compounds could extend fruit shelf-life up to 9 days after 0 d CS by limiting the oxygen absorbed by the climacteric fruits compared with the control group, and could be easily used as a post-harvest treatment in plumcot fruits and other prunus fruit species during hot and humid weather. However, further research is needed to investigate the potential post-harvest effects of the coating application at different concentrations, and to acquire more detailed information on why delayed application did little to influence the post-harvest performance of fruits affected by cold stress and internal ethylene biosynthesis.
Author Contributions
Conceptualization, S.-K.J.; Data curation, S.-K.J.; Formal analysis, S.-K.J.; Investigation, S.-K.J.; Methodology, H.-S.C.; Writing—original draft, H.-S.C. All authors have read and agreed to the published version of the manuscript.
Funding
This research received no external funding.
Institutional Review Board Statement
Not applicable.
Informed Consent Statement
Not applicable.
Data Availability Statement
Not applicable.
Acknowledgments
This work was supported by research grants from Daegu Catholic University.
Conflicts of Interest
The authors declare no conflict of interest.
References
- Jun, J.H.; Kwon, J.H.; Chung, K.H. ‘Harmony’ plumcot. J. Am. Pomol. Soc. 2011, 65, 47–51. [Google Scholar]
- Kwon, J.H.; Nam, E.Y.; Jun, J.H.; Chung, K.H.; Yun, S.K.; Kim, S.J.; Do, Y.S. Asian plum diversity based on phenotypic traits in republic of Korea. Korean J. Plant Res. 2018, 31, 254–267. [Google Scholar]
- Kwon, J.H.; Choi, H.J.; Nam, E.Y.; Yun, S.K.; Kim, S.J.; Lee, J.S. Postharvest characteristics of plumcot cultivars bred in Republic of Korea. Acta Hortic. 2020, 1290, 191–195. [Google Scholar] [CrossRef]
- Ledbetter, C.A.; Peterson, S.J.; Burgos, L. Variability of horticultural characteristics among plumcot [hybrid of Prunus armeniaca and P. salicina] progenies. J. Genet. Breed. 1994, 48, 117–124. [Google Scholar]
- Nam, E.Y.; Jun, J.H.; Chung, K.H.; Kwon, J.H.; Yun, S.K.; Yun, I.K.; Cho, K.H. ‘Tiffany’ red-fleshed plumcot. HortScience 2016, 51, 1304–1307. [Google Scholar] [CrossRef]
- Okie, W.R. Spring Satin plumcot. J. Am. Pomol. Soc. 2005, 59, 119–124. [Google Scholar]
- Gómez, E.; Ledbetter, C.A. Development of volatile compounds during fruit maturation: Characterization of apricot and plum × apricot hybrids. J. Sci. Food Agric. 1997, 74, 541–546. [Google Scholar] [CrossRef]
- Lim, B.S.; Yun, S.K.; Nam, E.Y.; Chun, J.P.; Cho, M.A.; Chung, D.S. Effects of storage temperature and 1-MCP treatment on postharvest quality in plumcot hybrid cv. Harmony. Hortic. Sci. Technol. 2013, 31, 203–210. [Google Scholar] [CrossRef][Green Version]
- Martínez-Romero, D.; Bailén, G.; Serrano, M.; Guillén, F.; Valverde, J.M.; Zapata, P.; Castillo, S.; Valero, D. Tools to maintain postharvest fruit and vegetable quality through the inhibition of ethylene action: A Review. Crit. Rev. Food Sci. Nutr. 2007, 47, 543–560. [Google Scholar] [CrossRef]
- Bai, E. Physicochemical changes in ‘Santa Rosa’ plum fruit treated with melatonin during cold storage. J. Food Meas. Charact. 2019, 13, 1713–1720. [Google Scholar]
- Eum, H.L.; Hwang, D.K.; Linke, M.; Lee, S.K.; Zude, M. Influence of edible coating on quality of plum (Prunus salicina Lindl. cv. ‘Sapphire’). Eur. Food Res. Technol. 2009, 229, 427–434. [Google Scholar] [CrossRef]
- Riva, S.C.; Opara, U.O.; Fawole, O.A. Recent developments on postharvest application of edible coatings on stone fruit: A review. Sci. Hortic. 2020, 262, 1–10. [Google Scholar] [CrossRef]
- Thakur, R.; Pristijono, P.; Golding, J.B.; Stathopoulos, C.E.; Scarlett, C.J.; Bowyer, M.; Singh, S.P.; Vuong, Q.V. Development and application of rice starch based edible coating to improve the postharvest storage potential and quality of plum fruit (Prunus salicina). Sci. Hortic. 2018, 237, 59–66. [Google Scholar] [CrossRef]
- Valero, D.; Díaz-Mula, H.M.; Zapata, P.J.; Guilléna, F.; Martínez-Romero, D.; Castillo, S.; Serrano, M. Effects of alginate edible coating on preserving fruit quality in four plum cultivars during postharvest storage. Postharvest Biol. Technol. 2013, 77, 1–6. [Google Scholar] [CrossRef]
- Zhang, L.; Chen, F.; Lai, S.; Wang, H.; Yang, H. Impact of soybean protein isolatechitosan edible coating on the softening of apricot fruit during storage. LWT Food Sci. Technol. 2018, 96, 604–611. [Google Scholar] [CrossRef]
- Lee, E.J. Chilling injury and phytochemical composition of peach fruits as affected by high carbon dioxide treatment before cold storage. Hortic. Environ. Biotechnol. 2014, 55, 190–195. [Google Scholar] [CrossRef]
- Ali, A.; Muhammad, M.T.M.; Sijam, K.; Siddiqui, Y. Effect of chitosan coatings on the physicochemical characteristics of Eksotika II papaya (Carica papaya L.) fruit during cold storage. Food Chem. 2011, 124, 620–626. [Google Scholar] [CrossRef]
- Bai, J.; Baldwin, E.A.; Hagenmaier, R.D. Coating selection for apples other than ‘Delicious’. Postharvest Biol. Technol. 2003, 28, 381–390. [Google Scholar] [CrossRef]
- Bhardwaj, C.L.; Jones, H.F.; Smith, L.H. A study of the migration of externally applied sucrose esters of fatty acids through the skin of banana, apple and pear fruits. J. Sci. Food Agric. 1984, 35, 322–331. [Google Scholar] [CrossRef]
- Dhall, R.K. Advances in edible coatings for fresh fruits and vegetables: A review. Crit. Rev. Food Sci. Nutr. 2013, 53, 435–450. [Google Scholar] [CrossRef] [PubMed]
- Drake, S.R.; Fellman, J.K.; Nelson, J.W. Postharvest use of sucrose polyesters for extending the shelf-life of stored ‘Golden Delicious’ apples. J. Food Sci. 1987, 52, 1283–1285. [Google Scholar] [CrossRef]
- Flores-López, M.L.; Cerqueira, M.A.; de Rodríguez, D.J.; Vicente, A.A. Perspectives on utilization of edible coatings and nano-laminate coatings for extension of postharvest storage of fruits and vegetables. Food Eng. Rev. 2016, 8, 292–305. [Google Scholar] [CrossRef]
- Hasan, S.M.K.; Nicolai, B. Quality of pears with permeability of bio-freshTM edible coatings. Afr. J. Food Sci. 2014, 8, 410–418. [Google Scholar]
- Hwang, Y.S.; Lee, J.C.; Chun, J.P. Effect of fruit coatings on the marketable quality in ‘Tsugaru’ apples during storage and simulated marketing. J. Agric. Sci. 1992, 19, 136–144. [Google Scholar]
- Jung, S.K.; Choi, H.S. Fruit quality and antioxidant activities of yellow-skinned apple cultivars coated with natural sucrose monoesters. Sustainability 2021, 13, 2423. [Google Scholar] [CrossRef]
- Lee, J.H.; Min, S.C.; Song, K.B. Effects of edible coating on the quality change in ‘Hongro’ apples during storage. J. Appl. Biol. Chem. 2015, 58, 61–64. [Google Scholar] [CrossRef][Green Version]
- Momen, M.N.; Tatsumi, Y.; Shimokawa, K. Effects of coating treatment with sucrose fatty acid esters on the ripening of Cavendish banana. Food Preserv. Sci. 1997, 6, 315–320. [Google Scholar] [CrossRef][Green Version]
- Nimitkeatkai, H.; Srilaong, V.; Kanlayanarat, S. Effect of edible coating on pineapple fruit quality during cold storage. Acta Hortic. 2006, 712, 643–648. [Google Scholar] [CrossRef]
- Novianti, C.; Dwivany, F.M. Chitosan-based edible coating prolongs Musa troglodytarum L. (‘Pisang Tongkat Langit’) fruit shelf-life and changes the ACS1 and ACO1 gene expression profile. Pertanika J. Trop. Agric. Sci. 2020, 43, 563–581. [Google Scholar]
- Tharanathan, R.N. Biodegradable films and composite coatings: Past, present and future. Trends Food Sci. Technol. 2003, 14, 71–78. [Google Scholar] [CrossRef]
- Wang, S.Y.; Gao, H. Effect of chitosan-based edible coating on antioxidants, antioxidant enzyme system, and postharvest fruit quality of strawberries (Fragaria x aranassa Duch.). LWT Food Sci. Technol. 2013, 52, 71–79. [Google Scholar] [CrossRef]
- Xuan, H.; Streif, J. Effect of pre- and postharvest application of ‘Biofresh’ coating on the keepability of apple fruits. Acta Hortic. 1987, 513, 483–492. [Google Scholar]
- Zhang, S.; Li, Y.; Pei, F. Carbon monoxide fumigation improved the quality, nutrients, and antioxidant activities of postharvest peach. Int. J. Food Sci. 2014, 2014, 834150. [Google Scholar] [CrossRef] [PubMed]
- Chang, C.C.; Yang, M.H.; Wen, H.M.; Chern, J.C. Estimation of total flavonoid content in propolis by two complementary colorimetric methods. J. Food Drug Anal. 2002, 10, 178–182. [Google Scholar]
- Lee, J.M.; Durst, R.W.; Wrolstad, R.E. Determination of total monomeric anthocyanin pigment content of fruit juices, beverages, natural colorants, and wines by the pH differential method: Collaborative study. J. AOAC Int. 2005, 88, 1269–1278. [Google Scholar] [CrossRef] [PubMed]
- Crisosto, C.H.; Crisosto, G.; Neri, F. Understanding Tree fruit quality based on consumer acceptance. Acta Hortic. 2006, 712, 183–189. [Google Scholar] [CrossRef]
- Lopez, G.; Behboudian, M.H.; Echeverria, G.; Girona, J.; Marsal, J. Instrumental and sensory evaluation of fruit quality for ‘Ryan’s Sun’ peach grown under deficit irrigation. HortTechnology 2011, 21, 712–719. [Google Scholar] [CrossRef]
- Chen, H.Y.; Jiang, L.F.; Zeng, J.H.; Huo, Y.R.; Li, Y.X. Combination of carnauba wax-based coating and 1-methylcyclopropene (1-MCP) maintains better ‘‘Fuji’’ apple qualities during storage at low temperature. J. Food Process. Preserv. 2020, 44, 921–925. [Google Scholar] [CrossRef]
Publisher’s Note: MDPI stays neutral with regard to jurisdictional claims in published maps and institutional affiliations. |
© 2021 by the authors. Licensee MDPI, Basel, Switzerland. This article is an open access article distributed under the terms and conditions of the Creative Commons Attribution (CC BY) license (https://creativecommons.org/licenses/by/4.0/).








