Abstract
Soil contamination with Ni poses serious ecological risks to the environment. Several members of the Salix genus have the ability to accumulate high concentrations of Ni in their aerial parts, and thus can be used for the remediation of Ni-contaminated soils. Interestingly, the efficacy of Ni phytoextraction by Salix may be improved by the acidification of rhizosphere with rhizosphere acidifying bacterial strains. Therefore, the aim of this study was to assess the efficacy of bacterial strain Bacillus sp. ZV6 in the presence of animal manure (AM) and leaf manure (LM) for enhancing the bioavailability of Ni in the rhizosphere of Salix alba via reducing the pH of rhizosphere and resultantly, enhanced phytoextraction of Ni. Inoculation of Ni-contaminated soil with strain ZV6 significantly increased plant growth as well as Ni uptake by alba. It was found that the addition of AM and LM resulted into a significant increase in plant growth and Ni uptake by alba in Ni-contaminated soil inoculated with ZV6 stain. However, the highest improvements in diethylene triamine penta-acetic acid (DTPA) extractable Ni (10%), Ni removal from soil (54%), Ni bioconcentration factor (26%) and Ni translocation factor (13%) were detected in the soil inoculated with ZV6 along with the addition of LM, compared to control. Similarly, the enhancements in microbial biomass (92%), bacterial count (348%), organic carbon (organic C) (57%) and various enzymatic activities such as urease (56%), dehydrogenase (32%), β-glucosidase (53%), peroxidase (26%) and acid phosphatase (38%) were also significantly higher in the soil inoculated with ZV6 along with the addition of LM. The findings of this study suggest that the inoculation of Ni-contaminated soils with rhizosphere acidifying bacteria can effectively improve Ni phytoextraction and, in parallel, enhance soil health.
1. Introduction
Soil contamination with heavy metals (HMs) is caused by massive human activities such as smelting and mining of ores, electronic waste, industrial effluents, agrochemicals, military exercises and burning of fossil fuels [1]. Contamination of soil with Ni also results from lithogenic sources [2]. Regardless of the importance of Ni as a micronutrient at low concentrations, higher levels of Ni in soil pose severe environmental risks to plants, animals, humans, and water bodies. Considering these severe environmental risks, there is an urgent need to identify and optimize soil remediation technologies to manage Ni-polluted soils [2].
While addressing the limitations of traditional remediation approaches for Ni-polluted soils [3,4], one of the promising remediation approaches is phytoremediation by using Ni hyperaccumulator plants [5,6]. Due to the production of high biomass, this approach is becoming popular among the researchers in recent years [7]. Moreover, these plants can accumulate a large quantity of Ni (>1000 µg g−1 dry weight) in their aerial parts without indicating toxicity symptoms [8,9]. Numerous researchers have confirmed the phenomenal potential of several species of willows (Salix) for the phytoextraction of Ni from contaminated soils [10,11,12].
The efficiency of Ni phytoextraction depends on several factors such as Ni bioavailability in the soil, soil physicochemical properties, environmental conditions, adaptation of the plants in terms of their survival and growth rate, and soil conditions such as drought, salinity, and waterlogging [12,13]. Apart from these factors, the pH of soil also plays a vital role in enhancing Ni bioavailability in the soil for its efficient removal by the phytoextraction [13]. Previously, several organic acids (OAs) and elemental sulfur have been used to increase the bioavailability of Ni in the soil and it’s phytoextraction. However, several limitations such as high cost of these soil additives, leaching of Ni to groundwater, and its harmful effects on soil health may impede the success of the phytoextraction process [14,15].
Lowering the pH of rhizosphere is known to improve the bioavailability of HMs as well as their removal from the soil by different plants [1,15]. Interestingly, several species of plant growth promoting rhizobacteria(s) [PGPR(s)] have the ability to secrete chelators such as OAs and siderophores which reduce soil pH and enhance the plant available fraction of HMs in soil and their removal by the plants [16,17,18]. Phytoextraction assisted with PGPRs can improve growth and regulate the uptake of Ni in hyperaccumulator plants grown in Ni-contaminated soils [19,20,21]. Furthermore, the efficiency of the bacterial population for the removal of pollutants such as HMs from the contaminated soil can be increased by providing them with readily available sources of carbon and essential nutrients in the soil [22,23,24].
To date, insufficient research has been conducted about the role of rhizosphere acidifying PGPRs on reducing soil pH, exclusively in the Salix alba rhizosphere, and resultantly enhanced the phytoextration of Ni. In addition, the role of LM and AM, as sources of carbon and essential nutrients, for enhancing the activities of rhizosphere acidifying PGPRs and their effects on enhanced Ni phytoextraction by Salix is still unexplored. Therefore, a pot experiment was performed with the objectives: (1) to investigate the role of rhizosphere acidifying PGPRs for reducing soil pH, exclusively in the rhizosphere of Salix alba; (2) to evaluate the effect of reduced rhizosphere soil pH on the bioavailability and phytoextraction of Ni and; (3) to explore bio-stimulating role of LM and AM for enhancing the efficacy of Ni phytoextraction by Salix alba from a Ni-polluted soil formerly receiving Ni-rich effluents from an electroplating industry.
2. Materials and Methods
2.1. Isolation of the Bacterial Strain ZV6
The strain ZV6 was isolated from a rhizospheric soil and tested for its potential to lower the pH in the aqueous and soil media. For estimating the potential of the strain ZV6 to lower pH in the aqueous media, it was allowed to grow in Nutrient Broth Medium [Meat extract (1.0 g L−1), peptone (5.0 g L−1), Sodium chloride (5.0 g L−1), Yeast extract (2.0 g L−1)] and Lauria Bertani Medium [Sodium chloride (5.0 g L−1), Tryptone (10.0 g L−1), Yeast extract (5.0 g L−1)]. These sterilized media were inoculated with the strain ZV6 to develop an initial optical density (OD600) of 0.05. In an incubator, the flasks were placed (28 °C, 150 rpm). The bacterial growth and the pH of the media were monitored over the incubation period (72 h). For the pot experiment, the optical density (OD600) of the bacterial culture was maintained at 1.0.
2.2. Analysis of Ni-Polluted Soil
We collected soil samples (0–20 cm depth) from an arable land in Pakistan (31°40′18.5″ N 74°06′31.3″ E) polluted from the effluents of an electroplating industry. The homogenized air-dried soil sample was passed through a sieve with a diameter of 2 mm to remove debris and stones. Physicochemical characteristics of this soil were determined after shade-drying. The soil properties are represented in Table 1.
Table 1.
Physicochemical properties of the experimental soil [2].
2.3. LM and AM Sources
Leaf manure and AM were purchased from Subhani Seeds (Office 506, Continental Trade Centre (CTC), Block 8, Clifton, Karachi, Pakistan) through https://www.daraz.pk/ (accessed on 1 June 2020). The properties of LM and AM are present in Supplementary Table S1. The composition of AM varies among animal type such as cattle, pigs, sheep, and poultry. Furthermore, other factors such as the age of animal, gender, health condition, feed stock used and rearing conditions also effect the composition of AM [25]. Similarly, the variations in the composition of LM are affected by leaf tenderness [26], nutrients in leaf, the involvement of earthworms and microorganisms during composting process [26,27], the ratio between carbon and nitrogen in the leaf, the source from where the leaves were obtained [28], composting time and the method used [29].
2.4. Pot-Scale Experiment
After the arrangement of LM, AM and the preparation of bacterial inoculum, the Ni-polluted soil was treated solely with LM, AM, and bacterial inoculum as well as a combination of LM and AM with bacterial inoculum (Table 2). The required quantities of LM, AM and bacterial inoculum were uniformly mixed with a small amount of soil by using spatula in a bucket. This homogenous mixture was amalgamated with the remaining soil using a mechanical shaker. After completing this process, 3 kg of soil was poured in the drained plastic container (9″ × 7″) with great care according to the treatment plan (Table 2). The experiment was run in triplicates. These pots were positioned in a randomized design. Afterward, the water was added manually in the pots and the soil was allowed to attain the ambient moisture status which was suitable for the plantation of Salix cuttings. Healthy Salix cuttings (length ≈ 12 cm, diameter ≈ 0.4 cm) were collected from Qadir Bukhsh nursery, Faisalabad, Pakistan. After that, each cutting was dipped in Indole-3-butyric acid gel (BOOST rooting gel, bought from sky seeds, Lahore, Pakistan) to promote rooting. Onward, one Salix cutting was cautiously placed into the soil in each pot. The cuttings of Salix sprouted after five days of their sowing in the soil. Depending on the climatic conditions, the experimental pots were regularly watered during the growth period. The plants were allowed to grow for 70 days. Before plants harvesting, the plant height (PtH) was measured by using a measuring tape.
Table 2.
Treatment plan of the pot study.
2.5. Termination of Pot Experiment
The above ground portion of the plants were harvested by using a plant cutter. Later, the roots were cautiously retrieved from the soil and flushed thoroughly using tap water to remove soil particles adhered to the surface of roots. Root fresh weight (RFRW) and shoot fresh weight (SFRW) were determined instantly. To obtain dry weight (DRW), roots and shoots were oven-dried at 70 °C. This desiccated biomass was cleared through a 0.5 mm sieve after pulverizing in a milling machinery (IKA Werke, Staufen, Germany).
2.6. Analysis
2.6.1. Status of Ni in Plant Portions and Soil
Open flask digestion method was used to digest 1 g of ground roots and shoots in a mixture of HNO3 and HClO4 (2:1, v/v) [30]. Nickle concentrations in roots and shoots were estimated through the quantification of Ni in their digests on ICP−MS (PerkinElmer’s NexION® 2000). The translocation factor (TF) and bioconcentration factor (BCF) values for Ni in Salix were calculated by following ratio Formulas (1) and (2) [31]:
BCF = [Ni] shoot/[Ni] soil
TF = [Ni] shoot/[Ni] root
Here, the Ni concentrations in roots and shoots were expressed in mg kg−1 DRW while the concentrations of Ni in the soil (total) as mg kg−1 DRW soil. In addition, the % removal of Ni from the soil was calculated via the Formula (3) [32].
Ni removed from the soil (%) = Ni contents in plants kg−1 soil/total Ni kg−1 soil × 100
The bioavailable concentration of Ni in the soil was extracted with DTPA solution (0.005 M) [33]. Afterward, the ICP−MS was used to determine the concentration of Ni in DTPA-extract.
2.6.2. Assessment of Chlorophyll-a, Chlorophyll-b and Relative Water Content (RWTC)
Chlorophyll-a and chlorophyll-b in leaves were determined as described by Hiscox and Israelstam [34]. A 1 g sample of fresh leaf was homogenized in 20 mL of methanol chloroform water (12:5:3) and the Chlorophyll-a and Chlorophyll-b were measured at 664.5 nm and 647.4 nm, respectively, using a UV-Visible spectrophotometer (Analytik Jena SPECORD 200 PLUS).
We used equation 4 to compare turgid weight (TRW), RWTC, dry weight (DRW) and fresh weight (FRW) of leaves. Fresh leaves were initially weighed on a weighing balance and then were placed in dark for 24 h in deionized water. Later, the RWTC was calculated by the following formula [35].
RWTC (%) = [(FRW − DRW)/(TRW − DRW)] × 100
2.6.3. Soil Enzymes
Dehydrogenase activity was measured by mixing 1 g of soil with 50 µL glucose solution (10 g L−1), 1 mL TRIS buffer, and 0.2 mL 2,3,5-triphenyl tetrazolium chloride, followed by incubation at 35 °C for 24 h. The soil was then extracted with 10 mL methanol and the concentration of Triphenylformazan in this soil extract was spectrophotometrically measured (λmax 485 nm). The results were expressed as µmol INTF (iodonitrophenylformazan) g−1 h−1. The activity of phosphomonoesterase enzyme was determined according to the methods described by Paz-Ferreiro et al. [36] and Eivaz & Tabatabai [31]. A standard curve was drawn and it was observed that there was no substrate restriction in the reaction. The activities of alkaline phosphatase and β-glucosidase were measured by the methods of Eivazi and Tabatabai [37]. For β-glucosidase, we used ρ-nitrophenyl-β-D-glucopyranoside as a substrate while ρ-nitrophenyl phosphate for phosphatase enzymes. This reaction blend was kept at 37 °C for 1 h. Later, Tris (pH = 12, 0.02 mol L−1) was added to pause the activity of β-glucosidase while a mixture of CaCl2 and NaOH (0.5 mol L−1 each) was added to halt the alkaline phosphatase reaction. Then, the substrate cleavage was generated for ρ-nitrophenol glucoside (by β-glucosidase) and ρ-nitrophenyl phosphate (by phosphatase) that were recorded at 464 nm and 505 nm, respectively, using a UV-Visible spectrophotometer. The results were expressed as µmol PNF (p-nitrophenyl-β-D-glucopyranoside) g−1 h−1. Kandeler and Gerber [38] methodology was used to measure the urease activity in the soil. For this purpose, 1 g moist soil was blended with 0.5 mL of urea solution and 4 mL of borate buffer (pH = 10) in reaction flasks. This mixture was incubated for 2 h. After 30 min, 1 M KCl (6 mL) was mixed, and later, sodium dichloroisocyanurate, Na salicylate/NaOH and deionized water were added in the filtrate. This mixture was placed at room temperature for 30 min to determine the ammonium content before estimating the optical density at 690 nm using a UV-Visible spectrophotometer. Acid phosphatase activity (mg PNP kg−1 h−1) was estimated following the method of Tabatabai and Bremner [39]. The p-nitrophenol retrieved from 1.0 g of soil was calculated after 1 h of its incubation with a 0.025 M p-nitrophenyl phosphate substrate at 37 °C in 0.17 M universal buffer (4 mL) at pH 5. The results were expressed as mg PNP (p-nitrophenyl phosphate disodium) kg−1 h−1.
3. Results
3.1. Characterization of Rhizospheric Acidifying Bacterial Strain Bacillus sp. ZV6
The plant growth-promoting acidifying bacterial isolate ZV6 was isolated from maize rhizosphere. The BLASTn analysis of the 16S rDNA gene of this bacterial strain indicated that this strain had more than 98% homology with the genus Bacillus. Moreover, in a phylogenetic tree constructed by neighbor-joining method, this strain was grouped with the Bacilli strains (Supplementary Figure S1). Based on the BLASTn and the phylogenetic analyses, this bacterial strain was designated as Bacillus sp. ZV6 (GenBank Accession No. OM920551). The strain ZV6 had an excellent potential to reduce the pH of the medium. While studying the growth and the potential to reduce the pH in nutrient broth and LB broth media, the strain ZV6 was found to grow efficiently in both media and significantly reduce their pH (Supplementary Figure S2). As a result of the growth of the strain ZV6, the pH of the nutrient broth medium was reduced from 7.4 to 5.4 over an incubation period of 72 h. Over the same incubation period, the pH of the LB medium was reduced from 5.5 to 7.0.
3.2. Changes in pH of Rhizosphere and Bulk Soils
The pH of the rhizospheric soil ranged from 7.02 to 8.02, while from 7.51 to 8.20 for bulk soil (Figure 1). Except for LM and AM, remaining treatments remarkably decreased the pH of bulk and rhizospheric soils as compared with the control. Surprisingly, the decrease in pH values of the bulk and rhizospheric soils was recorded by 0.69 and 0.98 units in the B + LM treatment.
Figure 1.
Variations in pH values of bulk and rhizospheric soils as affected by adding LM, AM, and Bacillus sp. ZV6 inoculum. Values denoted by the same letter do not differ significantly (p < 0.05). The error bars show the standard error of the mean (n = 3).
3.3. Growth, Biomass, Chlorophyll and Relative Water Contents
The growth of the plants in terms of PtH, shoot DRW and root DRW were found to range from 81.1 to 98.3 cm, from 5.36 to 6.76 g pot−1, and from 1.32 to 1.56 g pot−1, respectively (Table 3). The B, B + LM and B + AM treatments significantly enhanced PtH, shoot DRW, and root DRW of plants as compared to control plants. The highest increments in PtH by 21% and 15% as well as root DRW by 18% and 14% were found in B + LM and B + AM treatments, respectively. The B + LM treatment also resulted in the maximum significant increase in shoot DRW by 26%, compared to control.
Table 3.
Plant height (A), shoot DRW (B), root DRW (C), chlorophyll-a (D), chlorophyll-b (E) contents, and RWTC (F) of Salix after applying bacteria and organic amendments (LM and AM) in a Ni-contaminated soil. Values denoted by the same letter do not differ significantly (p < 0.05). The error bars show the standard error of the mean (n = 3).
The contents of chlorophyll-a, chlorophyll-b and RWTC in leaves ranged from 1.25 to 1.60, from 0.90 to 1.26 mg g−1 FRW, and from 72.1% to 85.0%, respectively (Table 3). With exception of AM, all other treatments significantly (p < 0.05) amplified the contents of chlorophyll-a and chlorophyll-b, relative to control. Interestingly, the maximal augmentation in chlorophyll-a by 28% and 22%, while in chlorophyll-b by 41% and 31% were observed in B + LM and B + AM treatments, respectively. Except LM and AM, the remaining treatments significantly elevated RWTC in leaves as compared with control. The maximal augmentation in RWTC contents in the leaves by 18%, 13%, and 10% was observed in B + LM, B + AM, and B treatments, relative to untreated control.
3.4. Ni Distribution in Salix, BCF and TF Values, and Ni Removed from the Soil
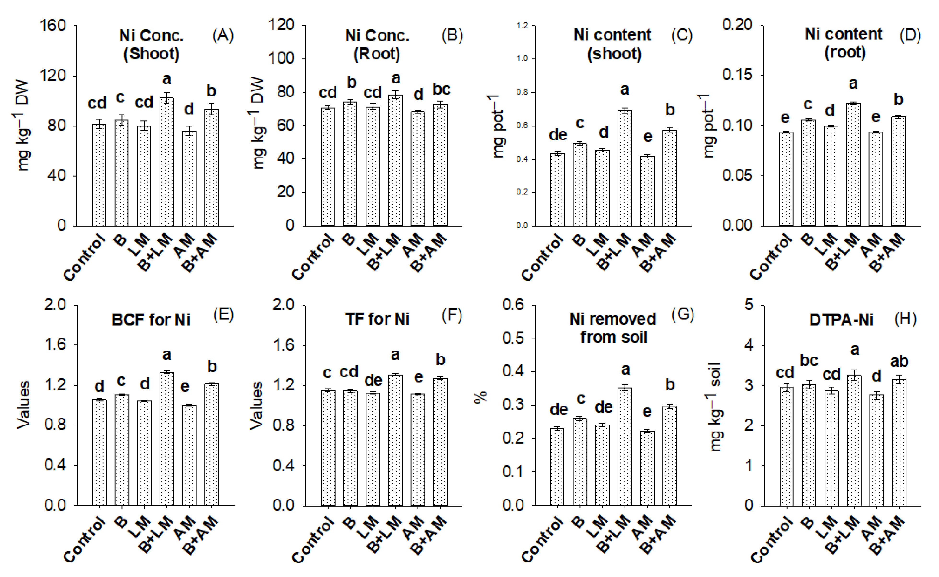
As shown in Figure 2, the Ni concentrations in shoots and roots ranged from 81.4 to 102.3 mg kg−1 DRW and from 70.6 to 78.3 mg kg−1 DRW, respectively. However, the contents of Ni in shoots and roots were ranging from 0.42 to 0.69 and from 0.09 to 0.12 mg pot−1, respectively. Besides LM and AM, the other treatments significantly augmented Ni concentrations in plant shoots and roots, whereas, except AM treatment, the contents of Ni in roots and shoots were increased compared to control. The maximum increase in the concentrations of Ni in shoots and roots by 26% and 11%, respectively, were found in B + LM treatment compared to the control.
Figure 2.
The concentrations of Ni in shoot (A) and root (B), contents of Ni in shoot (C) and root (D), BCF (E) and TF (F) values of Ni, DTPA–Ni (H) and Ni removal from the soil (G) as affected by adding LM, AM and Bacillus sp. ZV6 inoculum in Ni-contaminated soil. Values denoted by the same letter do not differ significantly (p < 0.05). The error bars show the standard error of the mean (n = 3).
The BCF and TF values for Ni ranged from 1.00 to 1.33 and from 1.12 to 1.31, while Ni removed from soil and DTPA−Ni from 0.22 to 0.35% and from 2.77 to 3.26 mg kg−1 soil, respectively, among all of the treatments (Figure 2). Compared to control, all treatments increased Ni removed from the soil and DTPA–Ni, except for LM and AM. The highest increments by 54% and 10% in the values of Ni removed from soil and DTPA–Ni, respectively, were observed in B + LM treatment, compared to control.
3.5. Soil Enzymatic Activities, Bacterial Count, Microbial Biomass, and Organic C
The data associated with the activities of dehydrogenase, β-glucosidase, acid phosphatase, urease, and peroxidase were in the ranges from 1.31 to 1.73 µmol INTF g−1 h−1, from 0.19 to 0.29 µmol PNF g−1 h−1, from 23.3 to 32.2 mg PNP kg−1 h−1, from 2.20 to 3.43 µmol N–NH4+ g−1 h−1, and from 7.30 to 9.21 mol g−1 h−1, respectively, in post-harvest soil (Figure 3). Each treatment significantly enhanced the activities of all soil enzymes, except for AM treatment, in case of β-glucosidase, acid phosphatase, and peroxidase activities, compared to control. Interestingly, the highest increments up to 32%, 56%, 53%, 38%, and 26%, in the activities of dehydrogenase, urease, β-glucosidase acid phosphatase, and peroxidase were noted in B + LM treatment relative to the control.
Figure 3.
Activities of dehydrogenase (A), β-glucosidase (B), urease (C), acid phosphatase (D), peroxidase (E), bacterial count (F), microbial biomass (G) and organic C (H) as affected by adding LM, AM, and Bacillus sp. ZV6 inoculum. Values denoted by the same letter do not differ significantly (at p < 0.05). The error bars show the standard error of the mean (n = 3).
Data of bacterial count, microbial biomass, and organic C content in the post-harvest soil ranged from 229.1 to 1026.3 × 103 CFU g−1 dry soil, from 151.6 to 291.7 mg kg−1 soil, and from 0.46 to 0.73 g kg−1 soil in whole treatments (Figure 3). Each treatment significantly augmented the bacterial count, microbial biomass, and organic C content compared to control. The highest increments by 348% and 57% in the bacterial count and organic C were found in B + LM treatment, while microbial biomass was augmented up to 92% and 83% in B + LM and B + AM treatments, respectively, compared to the control.
4. Discussion
4.1. Changes in pH of Broth Media and the Salix Bulk and Rhizospheric Soil Portions
In this study, a plant growth-promoting bacterial strain Bacillus sp. ZV6 having the potential to reduce the pH of the aqueous media was isolated from the rhizosphere of maize plant. The isolation of the strain ZV6 will be a new addition in the potential plant-growth-promoting and pH reducing bacterial strains belonging to genus Bacillus, which is one of the most studied and ubiquitous genera for multiple beneficial functions in the environment [40,41,42]. The strain ZV6 showed an excellent potential to reduce the pH in the aqueous media and the soil. A similar decrease in pH in response to bacterial inoculation has also been reported for a few other Bacilli bacterial strains, including Bacillus aryabhattai, Bacillus pumilus and Bacillus cereus [41,43]. Another study reported that the Ni-resistant bacteria significantly reduced the pH of soil [44]. One of the possible reasons for the reduction of pH of the media as well as the soil in response to the bacterial growth might be the production and release of OAs by the bacterial strains, which results in acidification of the soil as well as aqueous media [45]. Such acidification of the soil results into an improvement in the availability of nutrients to the plants.
After the experiment, the lowest pH values of both bulk and rhizosphere portions of soil were found in B + LM treatment. Furthermore, the pH value of rhizospheric soil was 0.4 unit lower than the bulk soil in B + LM treatment (Figure 1). Previous studies have reported lower pH values of rhizosphere soil in rice [46] and mung bean [1], compared to the bulk soil portion. Likewise, bacterial inoculum resulted in significant reductions in the values of rhizosphere soil pH than bulk soil of Brassica juncea [1]. Furthermore, the inoculation of PGPRs contributed to the acidification of rhizosphere soil than the bulk soil of different plants [46,47]. The lower values of rhizospheric soil pH in comparison with bulk soil pH are as a result of the balance among the release of H+ and HCO3− (OH−) in plant roots which is dependent on the ratio of uptake of cations and anions. Higher uptake of anions by the roots results in the excretion of higher concentrations of HCO3− than H+ which results in the elevation of rhizosphere soil pH. However, the acidification of rhizosphere soil occurs when higher concentrations of cations are taken up by the roots than anions [48]. Since the LM was rich in cationic nutrients (Supplementary Table S1), the higher uptake of cations by Salix roots resulted in the secretion of H+ which resulted in the acidification of rhizosphere. Furthermore, lower value of rhizosphere soil pH when compared to bulk soil pH in Salix alba is also attributed to the secretion of several low-molecular weight organic acids (LMWOAs) such as oxalic acid, formic acid, malonic acid, lactic acid, malic acid, acetic acid, maleic acid, citric acid, fumaric acid, and succinic acid in the vicinity of rhizosphere [49].
4.2. Growth, Biomass, Chl-a, Chl-b, and RWTC
In our experiment, the highest significant improvements in the PtH, shoot DRW, and root DRW, chlorophyll-a, chlorophyll-b and RWTC in Salix were observed in B + LM treatment, compared to control (Table 3). A previous study has reported that addition of LM (5 ton ha−1) significantly improved plant growth and yield parameters of Capcicum annuum L. [50]. Similarly, Ni resistant PGPR (Kluyvera ascorbate), under the toxicity of Ni, Pb and Zn, was shown to enhance the development of tomato, Indian mustard and canola [51]. In another field study, okra growth and yield as well as the concentrations of K, Ca, Fe, Zn, Cu and vitamin C were improved in the pods of okra after amending the soil with green manure [52]. Previously, inoculation of Ni-contaminated soil with two PGPRs (Bacillus sp. CIK-516 and Stenotrophomonas sp. CIK-517Y) improved radish (Raphanus sativus) biomass and chlorophyll contents [19]. Furthermore, improvements in fresh and dry biomass of Eruca sativa grown in Ni-contaminated soil due to the inoculation of Pseudomonas putida was also reported [51,53]. Likewise, in a pot study, the addition of LM in the soil showed significant positive influences on the growth and yield of okra including PtH, fruit length, fruits number plant−1 and individual fruit weight [54].
Leaf manure acts as an alternate to chemical fertilizers for increasing the fertility status as well as chemical, biological and physical properties of the soil by the virtue of providing OM, essential nutrients and beneficial microorganisms to the soil [50]. Moreover, LM also supports the release of nutrients from the soil via several processes [55]. Organic manure amendments contain both organic and mineral ingredients that are vital for plant growth and the activation of biochemical phenomenon in the plants, such as metabolism, photosynthesis and chlorophyll production, thereby boosting the plant quality parameters and productivity [56,57]. All of these mechanisms improve the availability of essential nutrients and water to the plants [57]. Furthermore, PGPRs have been proven to enhance the plant yield, growth and root morphology [58]. The release of siderophores and phytohormones such as auxins by PGPRs positively influence the growth of plants [58]. Several previous studies also indicate that the growth and activities of the PGPRs are also enhanced as a result of organic amendments which ultimately result into further improvements in plant growth and physiological parameters [35,59].
4.3. Ni Distribution in Salix Plant, Values of BCF and TF, and Ni Removed from the Soil
The highest significant values of Ni concentrations and its contents in the roots and shoots, BCF, TF, Ni removed from the soil and DTPA-Ni were found in B + LM treatment as compared to control (Figure 2). The plants could be identified as accumulators (1 < BCF < 10) or hyperaccumulators (BCF > 10 and TF > 1) and excluders (BCF < 1 and TF < 1) of Ni based on their BCF and TF values [60]. The TF value higher than 1 shows that the metal has been translocated from the roots to the aerial portions of the plants [61]. In our experiment, the maximum BCF and TF values were observed in the B + LM treatment since, as noted, this treatment resulted in the highest DTPA-extractable Ni from the soil. Willow plants have been extensively examined for their ability to translocate metals from roots to aerial portions [62] and have already been reported for significantly higher mean TF values for Cd (1.709–11.37), confirming the capacity of willows to transport a large quantity of Cd from roots to aerial portions. Similarly, Yang et al. [63] found that leaf TF values for Cu and Zn exceeded one in four willow clones, and also that accumulation and translocation in woody species were specific metal-dependent. A study depicted that use of hyperaccumulator with PGPR can enhance the accumulation of Ni in shoot and root of plant [64]. Likewise, Yang et al. [63] found that hyperaccumulators have the ability to uptake higher concentrations of HMs to the aerial parts of the plants compared to roots. While enhanced phytoextraction can help the plants to accumulate HMs, plants also have an intrinsic system for insoluble HMs absorption via root exudates. Root exudates act as HMs reductases around the rhizosphere, with the inherent ability to decrease metal-organic complexes generated in the soil to transform these to free ions or metal complexes, allowing the roots to assimilate them more easily. Metal-hyperaccumulating plants possess unique inherent regulatory mechanisms that enable the plants to retain or hyperaccumulate surplus levels of HMs in various above-ground tissues instead of accumulating them in the root system. The capacity of hyperaccumulators to accumulate excessive metals is partly due to the constitutive amplification of metal carriers and the tendency to translocate HMs swiftly from the roots to aerial parts. Metal ligands perform essential functions in metal hyperaccumulating plants as well. Such metal hyperaccumulating plants could be used to remediate metal-contaminated soils [65].
4.4. Soil Enzymatic Activities, Bacterial Count, Microbial Biomass, and Organic C
Significantly, the highest activities of soil enzymes, microbial count, microbial biomass, and organic C were found in the B + LM treatment (Figure 3). Soil enzymes such as β-glucosidase, dehydrogenase, urease, acid phosphatase and peroxides are primarily secreted by soil microorganisms. Previous study has reported that the inoculation of microbes into HMs polluted soils enhances the activities of soil enzymes in them [66]. Likewise, it was observed that arbuscular mycorrhizal fungi and Bacillus subtilis BS1 inocula enhance the soil enzymatic activities [67]. Interestingly, another study reported that bacteria, algae, fungi and protozoa secrete soil enzymes such as urease, cellulose dehydrogenase and invertase [68]. Moreover, the inoculation of Serratia spp. increases the bacterial count and microbial population in a Ni-polluted soil [69]. Likewise, the total number of bacteria were increased in a soil after receiving a bacterial inoculum [70]. Enzymes support plant growth and development via several processes such as mineralization of soil OM and mobilization of soil nutrients from fixed pools to make them available to the plants [71]. Furthermore, it has been reported that higher magnitude of bacterial root colonization leads to higher secretions of the enzymes [72]. Similarly, microbial biomass C depicts the overall activities of soil microorganisms [73]. The LM was rich in mineral nutrients and had higher contents of organic C (Supplementary Table S1). Supplementation of Ni-polluted soil with LM significantly increased the bacterial colonies via providing them essential nutrients and carbon source (Figure 3). It has been reported that the presence of bacteria communities and their root colonization have significant effects on the soil enzymatic activities [74]. Consequently, bacterial inoculation in HMs-stressed soil can result in higher enzymatic activities mainly due to the ability of bacteria to secrete more enzymes in the soil [72].
5. Conclusions
Results of this study reveals that the pH lowering capability of the PGPR Bacillus sp. ZV6 might be exploited not only to improve the growth of the Salix alba in the Ni contaminated soils but also its Ni phytoextraction capability. The use of LM, as an organic amendment, results into a significant improvement in the potentials of the bacterial strain as well as Salix alba for the enhancement of Ni phytoextraction from a Ni-contaminated soil and biological health of soil. Hence, the novel findings of this study could be helpful in designing green strategies for the remediation of soils contaminated with Ni and other HMs.
Supplementary Materials
The following supporting information can be downloaded at: https://www.mdpi.com/article/10.3390/su14126975/s1, Figure S1: Neighbour joining phylogenetic tree of Bacillus sp. ZV16.; Figure S2: Growth of Bacillus sp. ZV16 in Nutrient Broth and LB broth media, and its impact on pH.; Table S1: Properties of leaf manure (LM) and animal manure (AM).
Author Contributions
Formal Analysis, Z.A.V.; experimental planning, M.I. and S.H.; methodology, M.I. and K.L.; funding acquisition, S.H. and D.A.A.F.; writing original draft, Z.A.V. All authors have read and agreed to the published version of the manuscript.
Funding
The research was funded by research support of Government College University Faisalabad as well as by Researchers supporting project number (RSP-2021/190), King Saud University, Riyadh, Saudi Arabia.
Institutional Review Board Statement
Not applicable.
Informed Consent Statement
Not applicable.
Data Availability Statement
Not applicable.
Acknowledgments
The authors would like to acknowledge the Department of Environmental Sciences & Engineering, Government College University Faisalabad for providing the research facilities and funding to conduct this research. The authors also extend their appreciation to the Researchers supporting project number (RSP-2021/190), King Saud University, Riyadh, Saudi Arabia.
Conflicts of Interest
The authors declare no conflict of interest.
References
- Rasool, B.; Ramzani, P.M.A.; Zubair, M.; Khan, M.A.; Lewińska, K.; Turan, V.; Iqbal, M. Impacts of oxalic acid-activated phosphate rock and root-induced changes on Pb bioavailability in the rhizosphere and its distribution in mung bean plant. Environ. Pollut. 2021, 280, 116903. [Google Scholar] [CrossRef] [PubMed]
- Shahbaz, A.K.; Iqbal, M.; Jabbar, A.; Hussain, S.; Ibrahim, M. Assessment of nickel bioavailability through chemical extractants and red clover (Trifolium pratense L.) in an amended soil: Related changes in various parameters of red clover. Ecotoxicol. Environ. Saf. 2018, 149, 116–127. [Google Scholar] [CrossRef]
- Ali, H.; Khan, E.; Sajad, M.A. Phytoremediation of heavy metals—Concepts and applications. Chemosphere 2013, 91, 869–881. [Google Scholar] [CrossRef] [PubMed]
- Liu, S.J.; Jiang, J.Y.; Wang, S.; Guo, Y.P.; Ding, H. Assessment of water-soluble thiourea-formaldehyde (WTF) resin for stabilization/solidification (S/S) of heavy metal contaminated soils. J. Hazard. Mater. 2018, 346, 167–173. [Google Scholar] [CrossRef]
- Pardo, T.; Rodríguez-Garrido, B.; Saad, R.F.; Soto-Vázquez, J.L.; Loureiro-Viñas, M.; Prieto-Fernández, Á.; Echevarria, G.; Benizri, E.; Kidd, P.S. Assessing the agromining potential of Mediterranean nickel-hyperaccumulating plant species at field-scale in ultramafic soils under humid-temperate climate. Sci. Total Environ. 2018, 630, 275–286. [Google Scholar] [CrossRef]
- Saad, R.F.; Kobaissi, A.; Machinet, G.; Villemin, G.; Echevarria, G.; Benizri, E. Crop rotation associating a legume and the nickel hyperaccumulator Alyssum murale improves the structure and biofunctioning of an ultramafic soil. Ecol. Res. 2018, 33, 799–810. [Google Scholar] [CrossRef]
- Houzelot, V.; Laubie, B.; Pontvianne, S.; Simonnot, M.O. Effect of up-scaling on the quality of ashes obtained from hyperaccumulator biomass to recover Ni by agromining. Chem. Eng. Res. Des. 2017, 120, 26–33. [Google Scholar] [CrossRef]
- Nkrumah, P.N.; Baker, A.J.; Chaney, R.L.; Erskine, P.D.; Echevarria, G.; Morel, J.L.; van der Ent, A. Current status and challenges in developing nickel phytomining: An agronomic perspective. Plant Soil 2016, 406, 55–69. [Google Scholar] [CrossRef] [Green Version]
- Van der Ent, A.; Baker, A.J.; Reeves, R.D.; Pollard, A.J.; Schat, H. Hyperaccumulators of metal and metalloid trace elements: Facts and fiction. Plant Soil 2013, 362, 319–334. [Google Scholar] [CrossRef]
- Atma, W.; Larouci, M.; Meddah, B.; Benabdeli, K.; Sonnet, P. Evaluation of the phytoremediation potential of Arundo donax L. for nickel-contaminated soil. Int. J. Phytoremediat. 2017, 19, 377–386. [Google Scholar] [CrossRef]
- Drzewiecka, K.; Mleczek, M.; Gąsecka, M.; Magdziak, Z.; Budka, A.; Chadzinikolau, T.; Kaczmarek, Z.; Goliński, P. Copper and nickel co-treatment alters metal uptake and stress parameters of Salix purpurea × viminalis. J. Plant Physiol. 2017, 216, 125–134. [Google Scholar] [CrossRef]
- Pajević, S.; Borišev, M.; Nikolić, N.; Arsenov, D.D.; Orlović, S.; Župunski, M. Phytoextraction of heavy metals by fast-growing trees: A review. Phytoremediation 2016, 3, 29–64. [Google Scholar]
- Sheoran, V.; Sheoran, A.S.; Poonia, P. Factors affecting phytoextraction: A review. Pedosphere 2016, 26, 148–166. [Google Scholar] [CrossRef]
- Guo, Z.; Gao, Y.; Cao, X.; Jiang, W.; Liu, X.; Liu, Q.; Chen, Z.; Zhou, W.; Cui, J.; Wang, Q. Phytoremediation of Cd and Pb interactive polluted soils by switchgrass (Panicum virgatum L.). Int. J. Phytoremediat. 2019, 21, 1486–1496. [Google Scholar] [CrossRef]
- Iqbal, M.; Puschenreiter, M.; Oburger, E.; Santner, J.; Wenzel, W.W. Sulfur-aided phytoextraction of Cd and Zn by Salix smithiana combined with in situ metal immobilization by gravel sludge and red mud. Environ. Pollut. 2012, 170, 222–231. [Google Scholar] [CrossRef]
- Wood, J.L.; Liu, W.; Tang, C.; Franks, A.E. Microorganisms in heavy metal bioremediation: Strategies for applying microbial-community engineering to remediate soils. AIMS Bioeng. 2016, 3, 211–229. [Google Scholar] [CrossRef]
- Yahaghi, Z.; Shirvani, M.; Nourbakhsh, F.; De La Pena, T.C.; Pueyo, J.J.; Talebi, M. Isolation and characterization of Pb-solubilizing bacteria and their effects on Pb uptake by Brassica juncea: Implications for microbe-assisted phytoremediation. J. Microbiol. Biotechnol. 2018, 28, 1156–1167. [Google Scholar] [CrossRef] [PubMed] [Green Version]
- Manoj, S.R.; Karthik, C.; Kadirvelu, K.; Arulselvi, P.I.; Shanmugasundaram, T.; Bruno, B.; Rajkumar, M. Understanding the molecular mechanisms for the enhanced phytoremediation of heavy metals through plant growth promoting rhizobacteria: A review. J. Environ. Manag. 2020, 254, 109779. [Google Scholar] [CrossRef] [PubMed]
- Akhtar, M.J.; Ullah, S.; Ahmad, I.; Rauf, A.; Nadeem, S.M.; Khan, M.Y.; Bulgariu, L. Nickel phytoextraction through bacterial inoculation in Raphanus sativus. Chemosphere 2018, 190, 234–242. [Google Scholar] [CrossRef]
- Durand, A.; Piutti, S.; Rue, M.; Morel, J.L.; Echevarria, G.; Benizri, E. Improving nickel phytoextraction by co-cropping hyperaccumulator plants inoculated by plant growth promoting rhizobacteria. Plant Soil 2016, 399, 179–192. [Google Scholar] [CrossRef]
- Ghasemi, Z.; Ghaderian, S.M.; Rodríguez-Garrido, B.; Prieto-Fernández, Á.; Kidd, P.S. Plant species-specificity and effects of bioinoculants and fertilization on plant performance for nickel phytomining. Plant Soil 2018, 425, 265–285. [Google Scholar] [CrossRef]
- Park, J.H.; Lamb, D.; Paneerselvam, P.; Choppala, G.; Bolan, N.; Chung, J.W. Role of organic amendments on enhanced bioremediation of heavy metal (loid) contaminated soils. J. Hazard. Mater. 2011, 185, 549–574. [Google Scholar] [CrossRef]
- Chen, M.; Xu, P.; Zeng, G.; Yang, C.; Huang, D.; Zhang, J. Bioremediation of soils contaminated with polycyclic aromatic hydrocarbons, petroleum, pesticides, chlorophenols and heavy metals by composting: Applications, microbes and future research needs. Biotechnol. Adv. 2015, 33, 745–755. [Google Scholar] [CrossRef]
- Sun, W.; Zhang, S.; Su, C. Impact of biochar on the bioremediation and phytoremediation of heavy metal (loid) s in soil. Adv. Bioremediat. Phytoremediat. 2018, 149, 183. [Google Scholar]
- Cáceres, R.; Malińska, K.; Marfà, O. Nitrification within composting: A review. Waste Manag. 2018, 72, 119–137. [Google Scholar] [CrossRef]
- Dubey, L.; Dubey, M.; Jain, P. Role of green manuring in organic farming. Plant Arch. 2015, 15, 23–26. [Google Scholar]
- Tamele, R.A.; Ueno, H.; Toma, Y.; Morita, N. Nitrogen recoveries and nitrogen use efficiencies of organic fertilizers with different C/N ratios in maize cultivation with low-fertile soil by 15N method. Agriculture 2020, 10, 272. [Google Scholar] [CrossRef]
- Adediran, J.A.; Taiwo, L.B.; Sobulo, R.A. Effect of organic wastes and method of composting on compost maturity, nutrient composition of compost and yields of two vegetable crops. J. Sustain. Agric. 2003, 22, 95–109. [Google Scholar] [CrossRef]
- Wagh, S.P.; Gangurde, S.V. Effect of cow-dung slurry and Trichoderma spp. on quality and decomposition of teak and bamboo leaf compost. Res. J. Agric. For. Sci. 2015, 2320, 6063. [Google Scholar]
- Jones, J.B., Jr.; Case, V.W. Sampling, handling, and analyzing plant tissue samples. Soil Test. Plant Anal. 1990, 3, 389–427. [Google Scholar]
- Lu, Y.; Yao, H.; Shan, D.; Jiang, Y.; Zhang, S.; Yang, J. Heavy metal residues in soil and accumulation in maize at long-term wastewater irrigation area in Tongliao, China. J. Chem. 2015, 2015, 628280. [Google Scholar] [CrossRef] [Green Version]
- Tauqeer, H.M.; Hussain, S.; Abbas, F.; Iqbal, M. The potential of an energy crop “Conocarpus erectus” for lead phytoextraction and phytostabilization of chromium, nickel, and cadmium: An excellent option for the management of multi-metal contaminated soils. Ecotoxicol. Environ. Saf. 2019, 173, 273–284. [Google Scholar] [CrossRef]
- Lindsay, W.L.; Norvell, W. Development of a DTPA soil test for zinc, iron, manganese, and copper. Soil Sci. Soc. Am. J. 1978, 42, 421–428. [Google Scholar] [CrossRef]
- Hiscox, J.D.; Israelstam, G.F. A method for the extraction of chlorophyll from leaf tissue without maceration. Can. J. Bot. 1979, 57, 1332–1334. [Google Scholar] [CrossRef]
- Hafez, M.; Abo El-Ezz, S.F.; Popov, A.I.; Rashad, M. Organic amendments combined with plant growth-promoting rhizobacteria (Azospirillum brasilense) as an eco-friendly by-product to remediate and enhance the fertility of saline sodic-soils in Egypt. Commun. Soil Sci. Plant Anal. 2021, 52, 1416–1433. [Google Scholar] [CrossRef]
- Paz-Ferreiro, J.; Fu, S.; Méndez, A.; Gascó, G. Interactive effects of biochar and the earthworm Pontoscolex corethrurus on plant productivity and soil enzyme activities. J. Soils Sediments 2014, 14, 483–494. [Google Scholar] [CrossRef]
- Eivazi, F.; Tabatabai, M.A. Glucosidases and Galactosidases in Soils. Soil Biol. Biochem. 1988, 20, 601–606. [Google Scholar] [CrossRef]
- Kandeler, E.; Gerber, H. Short-term assay of soil urease activity using colorimetric determination of ammonium. Biol. Fertil. Soils 1988, 6, 68–72. [Google Scholar] [CrossRef]
- Tabatabai, M.A.; Bremner, J.M. Use of p-nitrophenyl phosphate for assay of soil phosphatase activity. Soil Biol. Biochem. 1969, 1, 301–307. [Google Scholar] [CrossRef]
- Zhao, K.; Penttinen, P.; Zhang, X.; Ao, X.; Liu, M.; Yu, X.; Chen, Q. Maize rhizosphere in Sichuan, China, hosts plant growth promoting Burkholderia cepacia with phosphate solubilizing and antifungal abilities. Microbiol. Res. 2014, 169, 76–82. [Google Scholar] [CrossRef]
- Ramesh, A.; Sharma, S.K.; Sharma, M.P.; Yadav, N.; Joshi, O.P. Plant growth-promoting traits in Enterobacter cloacae subsp. dissolvens MDSR9 isolated from soybean rhizosphere and its impact on growth and nutrition of soybean and wheat upon inoculation. Agric. Res. 2014, 3, 53–66. [Google Scholar] [CrossRef]
- Kisiel, A.; Kępczyńska, E. Medicago truncatula Gaertn. as a model for understanding the mechanism of growth promotion by bacteria from rhizosphere and nodules of alfalfa. Planta 2016, 243, 1169–1189. [Google Scholar] [CrossRef] [Green Version]
- Yu, X.; Liu, X.; Zhu, T.H.; Liu, G.H.; Mao, C. Isolation and characterization of phosphate-solubilizing bacteria from walnut and their effect on growth and phosphorus mobilization. Biol. Fertil. Soils 2011, 47, 437–446. [Google Scholar] [CrossRef]
- Abou-Shanab, R.I.; Delorme, T.A.; Angle, J.S.; Chaney, R.L.; Ghanem, K.; Moawad, H.; Ghozlan, H.A. Phenotypic characterization of microbes in the rhizosphere of Alyssum murale. Int. J. Phytoremediat. 2003, 5, 367–379. [Google Scholar] [CrossRef]
- Adele, N.C.; Ngwenya, B.T.; Heal, K.V.; Mosselmans, J.F.W. Role of plant growth promoting bacteria in driving speciation gradients across soil-rhizosphere-plant interfaces in zinc-contaminated soils. Environ. Pollut. 2021, 279, 116909. [Google Scholar] [CrossRef]
- Zeng, T.; Khaliq, M.A.; Li, H.; Jayasuriya, P.; Guo, J.; Li, Y.; Wang, G. Assessment of Cd availability in rice cultivation (Oryza sativa): Effects of amendments and the spatiotemporal chemical changes in the rhizosphere and bulk soil. Ecotoxicol. Environ. Saf. 2020, 196, 110490. [Google Scholar] [CrossRef]
- Hinsinger, P.; Bengough, A.G.; Vetterlein, D.; Young, I.M. Rhizosphere: Biophysics, biogeochemistry and ecological relevance. Plant Soil 2009, 321, 117–152. [Google Scholar] [CrossRef]
- Rengel, Z. Availability of Mn, Zn and Fe in the rhizosphere. J. Soil Sci. Plant Nutr. 2015, 15, 397–409. [Google Scholar] [CrossRef] [Green Version]
- Magdziak, Z.; Mleczek, M.; Rutkowski, P.; Goliński, P. Diversity of low-molecular weight organic acids synthesized by Salix growing in soils characterized by different Cu, Pb and Zn concentrations. Acta Physiol. Plant 2017, 39, 137. [Google Scholar] [CrossRef]
- Reddy, G.B.; Babu, A.J.; Supriya, R.A.; Swetha, C.S.; Sravanthi, M.; Rao, T.M. Estimation of Nickel from the Poultry Organs Surrounding Tirupati, Andhra Pradesh, India. Int. J. Sci. Environ. Technol. 2017, 6, 1934–1939. [Google Scholar]
- Burd, G.I.; Dixon, D.G.; Glick, B.R. Plant growth-promoting bacteria that decrease heavy metal toxicity in plants. Can. J. Microbiol. 2000, 46, 237–245. [Google Scholar] [CrossRef]
- Adekiya, A.O.; Agbede, T.M.; Aboyeji, C.M.; Dunsin, O.; Ugbe, J.O. Green manures and NPK fertilizer effects on soil properties, growth, yield, mineral and vitamin C composition of okra (Abelmoschus esculentus (L.) Moench). J. Saudi Soc. Agric. Sci. 2019, 18, 218–223. [Google Scholar] [CrossRef]
- Kamran, M.A.; Eqani, S.A.M.A.S.; Bibi, S.; Xu, R.K.; Monis, M.F.H.; Katsoyiannis, A.; Bokhari, H.; Chaudhary, H.J. Bioaccumulation of nickel by E. sativa and role of plant growth promoting rhizobacteria (PGPRs) under nickel stress. Ecotoxicol. Environ. Saf. 2016, 126, 256–263. [Google Scholar] [CrossRef]
- Khatun, M.F.; Chowdhury, M.A.H.; Islam, M.S.; Haider, S.M.S.; Talukder, M.Z.A. Effects of different tree leaf litters on growth and yield of Okra in Madhupur Forest Soil. Int. J. Exp. Agric. 2010, 1, 5–11. [Google Scholar]
- Sharma, M.; Reynnells, R. Importance of soil amendments: Survival of bacterial pathogens in manure and compost used as organic fertilizers. Microbiol. Spectr. 2016, 4, 4. [Google Scholar] [CrossRef] [Green Version]
- Ewees, M.S.; Abdel Hafeez, A.A.A. Response of maize grain yield to a partial substitution of N-mineral by applying organic manure, bio-inoculation and elemental sulphur as an alternative strategy to avoid the possible chemical pollution. Egypt. J. Soil Sci. 2010, 50, 141–166. [Google Scholar]
- Ullah, N.; Ditta, A.; Imtiaz, M.; Li, X.; Jan, A.U.; Mehmood, S.; Rizwan, M. Appraisal for organic amendments and plant growth-promoting rhizobacteria to enhance crop productivity under drought stress: A review. J. Agron. Crop Sci. 2021, 207, 783–802. [Google Scholar] [CrossRef]
- Baig, K.S.; Arshad, M.; Khalid, A.; Hussain, S.; Abbas, M.N.; Imran, M. Improving growth and yield of maize through bioinoculants carrying auxin production and phosphate solubilizing activity. Soil Environ. 2014, 33, 159–168. [Google Scholar]
- Benidire, L.; Madline, A.; Pereira, S.I.A.; Castro, P.M.L.; Boularbah, A. Synergistic effect of organo-mineral amendments and plant growth-promoting rhizobacteria (PGPR) on the establishment of vegetation cover and amelioration of mine tailings. Chemosphere 2021, 262, 127803. [Google Scholar] [CrossRef]
- Naeem, I.; Masood, N.; Turan, V.; Iqbal, M. Prospective usage of magnesium potassium phosphate cement combined with Bougainvillea alba derived biochar to reduce Pb bioavailability in soil and its uptake by Spinacia oleracea L. Ecotoxicol. Environ. Saf. 2021, 208, 111723. [Google Scholar] [CrossRef] [PubMed]
- Sajad, M.A.; Khan, M.S.; Bahadur, S.; Shuaib, M.; Naeem, A.; Zaman, W.; Hazrat, A. Nickel phytoremediation potential of some plant species of the Lower Dir, Khyber Pakhtunkhwa, Pakistan. Limnol. Rev. 2020, 20, 13–22. [Google Scholar] [CrossRef]
- Tőzsér, D.; Harangi, S.; Baranyai, E.; Lakatos, G.; Fülöp, Z.; Tóthmérész, B.; Simon, E. Phytoextraction with Salix viminalis in a moderately to strongly contaminated area. Environ. Sci. Pollut. Res. 2018, 25, 3275–3290. [Google Scholar] [CrossRef] [PubMed]
- Yang, W.D.; Wang, Y.Y.; Zhao, F.L.; Ding, Z.L.; Zhang, X.C.; Zhu, Z.Q.; Yang, X.E. Variation in copper and zinc tolerance and accumulation in 12 willow clones: Implications for phytoextraction. J. Zhejiang Univ. Sci. B 2014, 15, 788–800. [Google Scholar] [CrossRef] [PubMed] [Green Version]
- Cabello-Conejo, M.I.; Becerra-Castro, C.; Prieto-Fernández, A.; Monterroso, C.; Saavedra-Ferro, A.; Mench, M.; Kidd, P.S. Rhizobacterial inoculants can improve nickel phytoextraction by the hyperaccumulator Alyssum pintodasilvae. Plant Soil 2014, 379, 35–50. [Google Scholar] [CrossRef]
- Sytar, O.; Ghosh, S.; Malinska, H.; Zivcak, M.; Brestic, M. Physiological and molecular mechanisms of metal accumulation in hyperaccumulator plants. Physiol. Plant. 2021, 173, 148–166. [Google Scholar] [CrossRef] [PubMed]
- Yu, S.; Bai, X.; Liang, J.; Wei, Y.; Huang, S.; Li, Y.; Dong, L.; Liu, X.; Qu, J.; Yan, L. Inoculation of Pseudomonas sp. GHD-4 and mushroom residue carrier increased the soil enzyme activities and microbial community diversity in Pb-contaminated soils. J. Soils Sediments 2019, 19, 1064–1076. [Google Scholar] [CrossRef]
- Tang, X.; Liu, B.; Deng, Q.; Zhang, R.; Li, X.; Xu, H. Strengthening detoxication impacts of Coprinus comatus on nickel and fluoranthene co-contaminated soil by bacterial inoculation. J. Environ. Manag. 2018, 206, 633–641. [Google Scholar] [CrossRef]
- Antonious, G.F. Biochar and animal manure impact on soil, crop yield and quality. In Agricultural Waste and Residues; Aladjadjiyan, A., Ed.; IntechOpen: London, UK, 2018; pp. 45–67. [Google Scholar]
- Li, X.; Dong, S.; Yao, Y.; Shi, W.; Wu, M.; Xu, H. Inoculation of bacteria for the bioremediation of heavy metals contaminated soil by Agrocybe aegerita. RSC Adv. 2016, 6, 65816–65824. [Google Scholar] [CrossRef]
- Stämmler, F.; Gläsner, J.; Hiergeist, A.; Holler, E.; Weber, D.; Oefner, P.J.; Gessner, A.; Spang, R. Adjusting microbiome profiles for differences in microbial load by spike-in bacteria. Microbiome 2016, 4, 28. [Google Scholar] [CrossRef] [Green Version]
- Khan, M.A.; Ramzani, P.M.A.; Zubair, M.; Rasool, B.; Khan, M.K.; Ahmed, A.; Ali Khan, S.; Turan, V.; Iqbal, M. Associative effects of lignin-derived biochar and arbuscular mycorrhizal fungi applied to soil polluted from Pb-acid batteries effluents on barley grain safety. Sci. Total Environ. 2020, 710, 136294. [Google Scholar] [CrossRef]
- Nosheen, A.; Yasmin, H.; Naz, R.; Bano, A.; Keyani, R.; Hussain, I. Pseudomonas putida improved soil enzyme activity and growth of kasumbha under low input of mineral fertilizers. Soil Sci. Plant Nutr. 2018, 64, 520–525. [Google Scholar] [CrossRef]
- Li, L.; Xu, M.; Eyakub Ali, M.; Zhang, W.; Duan, Y.; Li, D. Factors affecting soil microbial biomass and functional diversity with the application of organic amendments in three contrasting cropland soils during a field experiment. PLoS ONE 2018, 13, e0203812. [Google Scholar] [CrossRef] [Green Version]
- Kucharski, J.; Boros, E.; Wyszkowska, J. Biochemical Activity of Nickel-Contaminated Soil. Pol. J. Environ. Stud. 2009, 18, 1039–1044. [Google Scholar]
Publisher’s Note: MDPI stays neutral with regard to jurisdictional claims in published maps and institutional affiliations. |
© 2022 by the authors. Licensee MDPI, Basel, Switzerland. This article is an open access article distributed under the terms and conditions of the Creative Commons Attribution (CC BY) license (https://creativecommons.org/licenses/by/4.0/).


