Root Water Uptake Patterns for Nitraria during the Growth Period Differing in Time Interval from a Precipitation Event in Arid Regions
Abstract
:1. Introduction
2. Materials and Methods
2.1. Study Area
2.2. Collection and Determination of Samples
2.3. Multivariate Linear Mixed Model Method
3. Results and Discussion
3.1. Evaluation of Isotopic Signatures
3.2. Isotopic Vertical Profiles of Soil Water
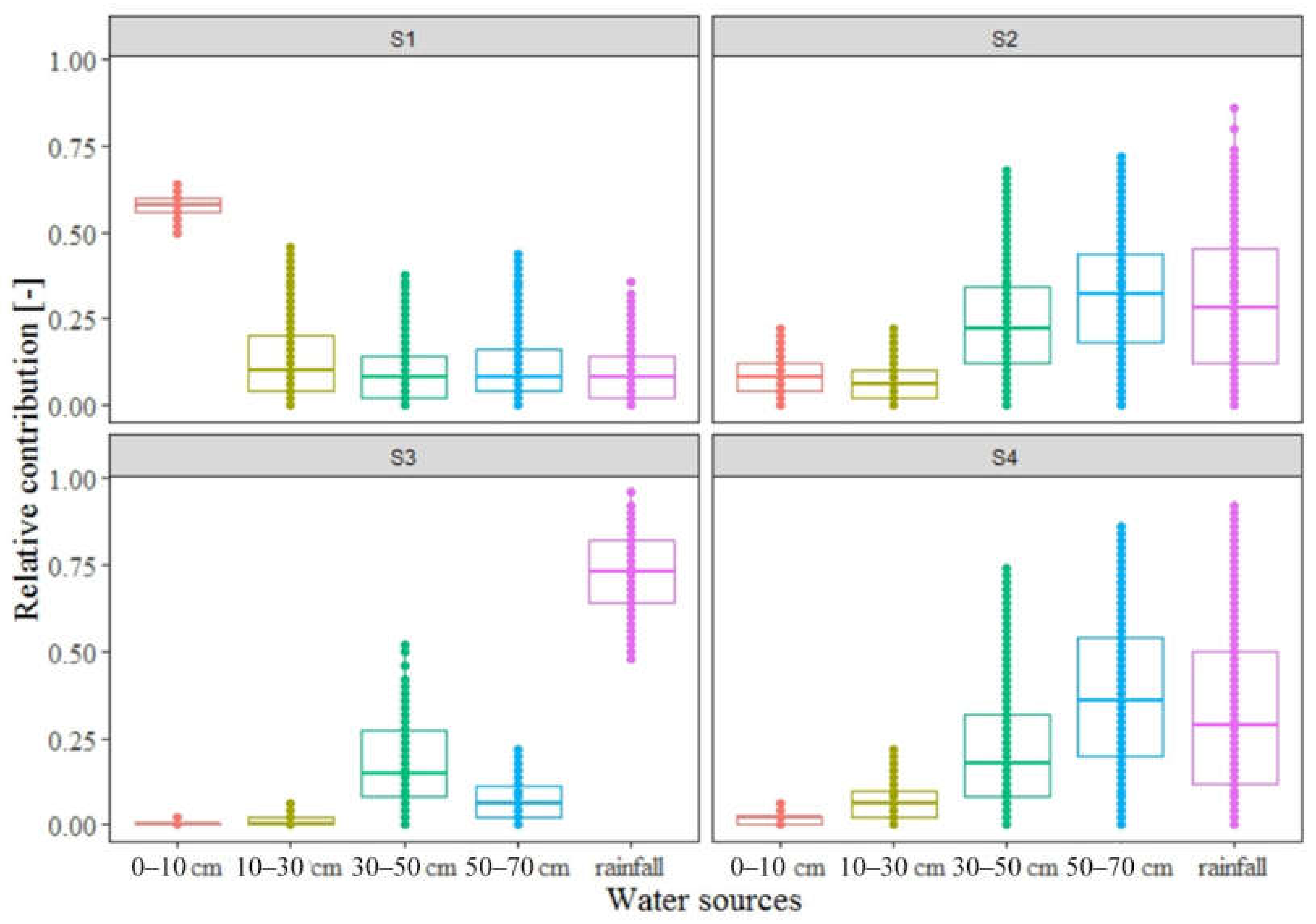
3.3. Water Uptake Patterns of Nitraria
4. Conclusions
Author Contributions
Funding
Institutional Review Board Statement
Informed Consent Statement
Data Availability Statement
Conflicts of Interest
References
- Beyer, M.; Koeniger, P.; Gaj, M.; Hamutoko, J.T.; Wanke, H.; Himmelsbach, T. A Deuterium-based labeling technique for the investigation of rooting depths, water uptake dynamics and unsaturated zone water transport in semiarid environments. J. Hydrol. 2016, 533, 627–643. [Google Scholar] [CrossRef]
- Youri, R.; Mathieu, J. Reviews and syntheses: Isotopic approaches to quantify root water uptake: A review and comparison of methods. Biogeosciences 2017, 14, 2199–2224. [Google Scholar]
- Xu, J.; Guo, Z.Y.; Li, Z.; Li, F.J.; Xue, X.K.; Wu, X.R.; Zhang, X.M.; Li, H.; Zhang, X.D.; Han, Q.F. Stable oxygen isotope analysis of the water uptake mechanism via the roots in spring maize under the ridge–furrow rainwater harvesting system in a semi-arid region. Agric. Water Manag. 2021, 252, 106879. [Google Scholar] [CrossRef]
- Germon, A.; Laclau, J.P.; Robin, A.; Jourdan, C. Tamm Review: Deep fine roots in forest ecosystems: Why dig deeper? For. Ecol. Manag. 2020, 466, 118135. [Google Scholar] [CrossRef]
- Eamus, D.; Zolfaghar, S.; Villalobos-Vega, R.; Cleverly, J.; Huete, A. Groundwater-dependent ecosystems: Recent insights, new techniques and an ecosystem-scale threshold response. Hydrol. Earth Syst. Sci. Discuss. 2015, 12, 4677–4754. [Google Scholar]
- Bertrand, G.; Goldscheider, N.; Gobat, J.M.; Hunkeler, D. Review: From multi-scale conceptualization to a classification system for inland groundwater-dependent ecosystems. Hydrogeol. J. 2012, 20, 5–25. [Google Scholar] [CrossRef] [Green Version]
- Beyer, M.; Hamutoko, J.T.; Wanke, H.; Gaj, M.; Koeniger, P. Examination of deep root water uptake using anomalies of soil water stable isotopes, depth-controlled isotopic labeling and mixing models. J. Hydrol. 2018, 566, 122–136. [Google Scholar] [CrossRef]
- Barbeta, A.; Peñuelas, J. Relative contribution of groundwater to plant transpiration estimated with stable isotopes. Sci. Rep. 2017, 7, 10580. [Google Scholar] [CrossRef] [Green Version]
- Berry, Z.C.; Evaristo, J.; Moore, G.; Poca, M.; Steppe, K.; Verrot, L.; Asbjornsen, H.; Borma, L.S.; Bretfeld, M.; Hervé-Fernández, P.; et al. The two water worlds hypothesis: Addressing multiple working hypotheses and proposing a way forward. Ecohydrology 2017, 11, e1843. [Google Scholar] [CrossRef]
- Pierret, A.; Maeght, J.-L.; Clément, C.; Montoroi, J.-P.; Hartmann, C.; Gonkhamdee, S. Understanding deep roots and their functions in ecosystems: An advocacy for more unconventional research. Ann. Bot. 2016, 4, 130. [Google Scholar] [CrossRef] [Green Version]
- Brum, M.; Vadeboncoeur, M.A.; Ivanov, V.; Asbjornsen, H.; Saleska, S.; Alves, L.F.; Penha, D.; Dias, J.D.; Aragão, L.E.O.C.; Barros, F.; et al. Hydrological niche segregation defines forest structure and drought tolerance strategies in a seasonal Amazon forest. J. Ecol. 2019, 107, 318–333. [Google Scholar] [CrossRef] [Green Version]
- Knighton, J.; Conneely, J.; Walter, M.T. Possible increases in flood frequency due to the loss of Eastern Hemlock in the Northeastern United States: Observational insights and predicted impacts. Water Resour. Res. 2019, 55, 5342–5359. [Google Scholar] [CrossRef]
- Brinkmann, N.; Eugster, W.; Buchmann, N.; Kahmen, A. Species-specific differences in water uptake depth of mature temperate trees vary with water availability in the soil. Plant. Biol. 2019, 21, 71–81. [Google Scholar] [CrossRef] [Green Version]
- Gómez-Navarro, C.; Pataki, D.E.; Bowen, G.J.; Oerter, E.J. Spatiotemporal variability in water sources of urban soils and trees in the semiarid, irrigated Salt Lake Valley. Ecohydrology 2019, 12, e2154. [Google Scholar] [CrossRef]
- Antunes, C.; Barradas, M.C.D.; Zunzunegui, M.; Vieira, S.; Pereira, Â.; Anjos, A.; Correia, O.; Pereira, M.J.; Máguas, C. Contrasting plant water-use responses to groundwater depth in coastal dune ecosystems. Funct. Ecol. 2018, 32, 1931–1943. [Google Scholar] [CrossRef]
- Jiang, S.X.; An, F.B.; Ma, J.P.; Zhao, P.; Liu, H.J.; Liu, S.J. Water sources of Nitraria tangutorum nebkhas and its response to ecological water transfer in Qingtu lake in lower reaches of Shiyang river. J. Arid. Land Resour. Environ. 2019, 33, 176–182, (in Chinese with English abstract). [Google Scholar]
- Li, Y.F.; Yu, J.J.; Lu, K.; Wang, P.; Zhang, Y.C.; Du, C.Y. Water sources of Populus euphratica and Tamarix ramosissima in Ejina Delta, the lower reaches of the Heihe River, China. Chin. J. Plant. Ecol. 2017, 41, 519–528, (in Chinese with English abstract). [Google Scholar]
- Debandi, G.; Rossi, B.E.; Villagra, P.E.; Giantomasi, M.A.; Mantován, N.G. Spatial and temporal synchronicity in the phenological events of Prosopis flexuosa in the Central Monte Desert. Rev. De La Fac. De Cienc. Agrar. 2020, 52, 148–160. [Google Scholar]
- Duran-Llacer, I.; Arumí, J.L.; Arriagada, L.; Aguayo, M.; Rojas, O.; González-Rodríguez, L.; Rodríguez-López, L.; Martínez-Retureta, R.; Oyarzún, R.; Singh, S.K. A new method to map groundwater-dependent ecosystem zones in semi-arid environments: A case study in Chile. Sci. Total Environ. 2022, 816, 151528. [Google Scholar] [CrossRef] [PubMed]
- Meglioli, P.A.; Villagra, P.E.; Aranibar, J.N.; Magliano, P.N.; Jobbagy, E.G. Sensitivity of groundwater levels and chemistry to partial removal of vegetation in Prosopis woodlands of the Monte Desert, Argentina. J. Hydrol. 2021, 598, 128264. [Google Scholar] [CrossRef]
- Phillips, D.L.; Gregg, J.W. Source partitioning using stable isotopes: Coping with too many sources. Oecologia 2003, 136, 261–269. [Google Scholar] [CrossRef]
- Duan, D.Y.; Ouyang, H. Application of stable hydrogen and oxygen isotope in analyzing plant water use sources. Ecol. Environ. 2007, 16, 655–660. [Google Scholar]
- Ellsworth, P.Z.; Williams, D.G. Hydrogen isotope fractionation during water uptake by woody xerophytes. Plant. Soil 2007, 291, 93–107. [Google Scholar] [CrossRef]
- Xing, D.; Xiao, J.J.; Han, S.Y.; Peng, G.H.; Fu, W.T.; Jia, Y.L. Water absorption source analysis of mulberry roots based on stable isotopes in rocky desertification area. Trans. Chin. Soc. Agric. Eng. 2019, 35, 77–84. [Google Scholar]
- Liu, J.R.; Song, X.F.; Yuan, G.F.; Sun, X.M.; Yang, L.H. Stable isotopic compositions of precipitation in China. Tellus B 2014, 66, 39–44. [Google Scholar] [CrossRef] [Green Version]
- Xing, X.; Chen, H.; Zhu, J.; Chen, T. Water sources of five dominant desert species in Nuomuhong area of Qaidam Basin. Acta Ecol. Sin. 2014, 34, 6277–6286. [Google Scholar]
- Zhou, T.H.; Zhao, C.Y.; Wu, G.L.; Jiang, S.W.; Yu, Y.X.; Wang, D.D. Application of stable isotopes in analyzing the water sources of Populus euphratica and tamarix ramosissima in the upstream of tarim river. J. Desert Res. 2017, 37, 124. [Google Scholar]
- Wang, Y.Y.; Chen, Y.P. Research progress in water uptake models by plant roots. Acta Prataculturae Sin. 2017, 26, 214–225. [Google Scholar]
- Ceperley, N.; Mande, T.; Rinaldo, A.; Parlange, M.B. Evidence of hydraulic lift for pre-rainy season leaf out and dry-season stem water enrichment in Sclerocarya birrea, a tropical agroforestry tree. EGU Gen. Assem. Conf. Abstr. 2014, 16, 8261. [Google Scholar]
- Yuan, G.F.; Zhang, P.; Xue, S.S.; Zhuang, W. Change characteristics in soil water content in root zone and evidence of root hydraulic lift in Tamarix ramosissima thickets on sand dunes. Chin. J. Plant. Ecol. 2012, 36, 1033–1042, (in Chinese with English abstract). [Google Scholar] [CrossRef]
- Du, J.H.; Yan, P.; Dong, Y.X. The progress and prospects of nebkhas in arid areas. J. Geogr. Sci. 2010, 5, 712–728. [Google Scholar] [CrossRef]




Publisher’s Note: MDPI stays neutral with regard to jurisdictional claims in published maps and institutional affiliations. |
© 2022 by the authors. Licensee MDPI, Basel, Switzerland. This article is an open access article distributed under the terms and conditions of the Creative Commons Attribution (CC BY) license (https://creativecommons.org/licenses/by/4.0/).
Share and Cite
Dong, H.; Hao, J.; Chen, Z.; Zhang, G.; Yan, M.; Wang, J. Root Water Uptake Patterns for Nitraria during the Growth Period Differing in Time Interval from a Precipitation Event in Arid Regions. Sustainability 2022, 14, 8203. https://doi.org/10.3390/su14138203
Dong H, Hao J, Chen Z, Zhang G, Yan M, Wang J. Root Water Uptake Patterns for Nitraria during the Growth Period Differing in Time Interval from a Precipitation Event in Arid Regions. Sustainability. 2022; 14(13):8203. https://doi.org/10.3390/su14138203
Chicago/Turabian StyleDong, Haibiao, Jing Hao, Zongyu Chen, Guanghui Zhang, Mingjiang Yan, and Jinzhe Wang. 2022. "Root Water Uptake Patterns for Nitraria during the Growth Period Differing in Time Interval from a Precipitation Event in Arid Regions" Sustainability 14, no. 13: 8203. https://doi.org/10.3390/su14138203
APA StyleDong, H., Hao, J., Chen, Z., Zhang, G., Yan, M., & Wang, J. (2022). Root Water Uptake Patterns for Nitraria during the Growth Period Differing in Time Interval from a Precipitation Event in Arid Regions. Sustainability, 14(13), 8203. https://doi.org/10.3390/su14138203
