Abstract
Spatio-temporal changes to the eco-environmental quality index (EQI) and determination of their spatial differentiation characteristics are important bases for land management and ecological environment protection. This study evaluates the changes in EQI and its spatial distribution characteristics with reference to the three dominant functions of land use, namely “production-ecology-living” (PEL), based on the interpretation of land use remote sensing data in 2000, 2010 and 2018. The spatial diversity of ecological environment quality and its driving factors were quantitatively analyzed by gravity center transfer, cold and hot spot analysis, and the GeoDetector model. The results showed that: (1) The transformation of land in Ningxia from 2000 to 2018 mainly manifested by the increase in industrial and mining production land (IMPL), urban living land (ULL) and rural living land (RLL), and the decrease of grassland ecological land (GEL), especially in the north of Ningxia. (2) The ecological environment quality decreased slightly during the research period, but there was an improvement trend in the north. High environment quality values were concentrated in the Liupan Mountain area in the south of Ningxia, while the low values were mainly in the desert areas of Shapotou County and Zhongning County in the west. (3) The interaction between land use intensity and topographic factors led to spatial change in EQI in the research area. Effects of land use intensity are the dominant factor, reflecting the degree of impact of human activities on natural ecosystems. Our results suggest that topographic factors and human disturbances should be fully taken into account in future land and spatial development decisions to minimize human-ecological conflicts.
1. Introduction
Land is the basic element and carrier of human survival [1]. Land use/land cover change (LULCC) has become an increasingly hot research topic in natural science [2], land science [3], agricultural science [4] and other related disciplines [5]. Studies not only pay attention to the space-time patterns and processes [6], the driving force and driving mechanism of LULCC [7,8], but also to the simulation and sustainable utilization of LULCC [9,10,11]. Since the 1990s, China has achieved tremendous results in its economic development. However, economic development has led to a profound transformation of land resources and brought on a series of serious environmental problems. For example, in the process of rapid urbanization, industrialization and land development, the land use structure is modified as large-scale land development activities are implemented while ignoring the value of ecological services. This may lead directly to resource loss and ecological degradation [12]. In this context, it is very important for regional ecological security and optimization of land and space to accurately grasp the evolution and spatial differentiation mechanism of land use transformation. Different land use types have various functions, but they are mainly controlled by their dominant functions [13]. The dominant function of land use is the mutual transformation of the three major functions of land use: production, living and ecology [14]. At the structural level, limited land resources undergo quantitative and spatial redistribution among various dominant functions. Based on the production-ecology-living (PEL) classification system of dominant functions of land use, land use transformations can be connected with regional transformation and development [15]. Therefore, the ecological environment problems caused by land use transformation are essentially caused by an imbalance in the PEL land use space [16].
Many evaluation models for ecological environment quality have been established. Guo [17] comprehensively evaluated the environmental quality changes of the land management area in the Chaohu Lake basin by principal component analysis based on indicators of land use changes. Robati [18] constructed the Sustainable Urban Quality Composite Index (SUQCI) from climate, land use, natural disasters, and other variables, and quantitatively analyzed the sustainability of urban environmental quality in 22 districts of Tehran. Yang [19] selected nine factors for wetland areas, land use type, elevation, slope, etc. to establish a comprehensive evaluation index system to evaluate ecological vulnerability of wetlands. Although comprehensive evaluation methods have been developed, the construction of evaluation indexes is greatly hampered by scale, time and regional variations [20]. Currently, with the development of 3S and other spatial visualization technologies, progress is being made in measuring the ecological effects of land use. Indicators such as vegetation cover index (NDVI) [21] and ecological capacity (ESC) [22] are used to monitor the vegetation and reflect changes in the quality of regional ecological exchange. In addition, LULCC data based on remote sensing interpretation are used to measure ecological environment quality, such as improved remote sensing ecological index (MRSEI) [23], ecosystem service value (ESV) [24], etc. The interpretation of remote sensing image data focuses on a certain ecological perspective, which to some extent reflects the different ecological characteristics of land use. Previous studies mainly evaluated land use by primary classification, while ignoring the functional attributes of land use itself [25,26]. In order to better understand the functional changes caused by land use changes and to evaluate an eco-environmental quality index (EQI), this study attempts to describe the characteristics of the spatial evolution of the regional ecological environment from the PEL perspective in terms of the dominant land use functions.
Different studies have shown that human activity is the main driving mechanism leading to changes in EQI [26,27,28]. These drivers are primarily determined by correlation analysis or by qualitative and semi-quantitative methods. Therefore, there is limited research on driving mechanisms behind spatial variable distribution characteristics. The GeoDetector model can be used not only to spatially analyze the explanatory ability of each driving factor, but also to detect the interaction of different factors and analyze whether different factors have significant differences on spatial variable distribution characteristics [29]. Therefore, it is widely used for soil science studies [30], detection/prevention of landslides [31], environmental science [32], urban expansion [33], and public health [34].
Ningxia is an essential ecological security barrier in Northwest China, but it is ecologically fragile, is surrounded by arid and rainless sandy areas on three sides, and has limited resource carrying capacity which leads to unstable improvement of EQI. Monitoring the changes of EQI in Ningxia, identifying important areas of change, and elucidating the spatial heterogeneity and driving mechanisms of EQI are significant for understanding the regional ecological environment, rationalizing the use of land resources, restoring and managing the ecological environment as well as providing a scientific basis for the formulation of territorial spatial planning under ecological security conditions. The key objectives of the study were as follows: (1) analyze the dynamic change pattern of PEL in Ningxia from 2000 to 2018; (2) evaluate EQI changes caused by PEL land conversion and explore its spatial differentiation laws; and (3) quantify the driving factors of EQI spatial differentiation.
2. Materials and Methods
2.1. Study Area
Ningxia is located in the northwest of China’s Loess Plateau (Figure 1a) in the upper reaches of the Yellow River Basin (Figure 1d), and has a total area of 66,400 km2. It is located at latitude 35°14′–39°23′ N, longitude 104°17′–107°39′ E. The elevation of the whole region ranges between 956 and 3531 m. The terrain gradually tilts from southwest to northeast. The terrain is narrow and long from north to south (Figure 1b). It consists of three sub-regions: the Yellow River Diversion Irrigation Area in the north, an arid zone in the middle, and a mountainous area in the south [35] (Figure 1c). Ningxia has a dry continental climate with little rain and snow throughout the year. Most of the precipitation is concentrated in the summer. The average annual precipitation is about 150–600 mm, and precipitations gradually decrease from south to north. The annual average temperature is 5–9 °C. Ningxia shows a transition from hydraulic erosion to wind erosion from south to north. Its surface form is complex and diverse, with high mountains and widely distributed hills, as well as alluvial plains due to stratigraphic subsidence and alluvial deposits by the Yellow River, and terraces and sand dunes. Ningxia is located in the fragile ecological environment area of northern China, with poor ecosystem stability and weak ability to resist natural disasters and man-made damage. The region is also facing a series of environmental problems, such as soil erosion in the southern mountainous area, desertification in the central area and soil salinization in the northern area. Therefore, it is important to maintain and improve the ecological environment of Ningxia and make it an ecological security barrier in Northwest China.
Figure 1.
Location of Ningxia: (a) geographical location of Ningxia, (b) regional elevation map, (c) three subregions, and (d) main regional water systems.
2.2. Data Source and Description
2.2.1. Data Source
Given the accessibility and continuity of the data, we selected land use data for 2000, 2010, and 2018 after the implementation of the Grain for Green policy. The data were obtained from the resource and environmental science data center of the Chinese Academy of Sciences with an accuracy of more than 85% (Land use data were selected for the years 2000, 2010 and 2018. http://www.resdc.cn accessed on 1 September 2021, resolution 30 m × 30 m).
2.2.2. Classification of PEL Land Based on Land Use Types
This study establishes the PEL land use classification scheme based on the basic principles of top-down and functional classification, using the existing land classification system to classify PEL land. The EQI of secondary land classification was assigned by an expert scoring method [25], and the EQI of PEL land classification was assigned by an area weighting method (Table 1).
Table 1.
Land use classification and its EQI.
2.2.3. Land Use Transfer Matrix
In ArcGIS 10.2, algebraic superposition of different units of land use was performed, and two adjacent units were selected to perform algebraic operations to obtain the map value of land function transformation [36]. The equation is as follows:
where T is the land use unit code for the study period, and A and B are the land use unit codes at the beginning and end of the period, respectively.
2.3. Regional Eco-Environmental Quality Index
Differences in mapping scale will have a great influence on the results [37]. After repeated experiments to select the appropriate scale, the research area was sampled at equal intervals with a square grid of 1500 m × 1500 m, and nearly 30,000 grids were obtained. Taking into account the ecological environment quality and area of PEL land in each ecological unit, the environmental quality status of each regional ecological unit was quantitatively characterized as:
where EQIi is the EQI of the i-th ecological unit, Ri is the EQI of the i-th type of land in the ecological unit, Aki is the area of the type i in the k-th ecological unit, Ak is the area of the k-th ecological unit, and N is the number of different land types in the ecological unit.
The EQI of each ecological unit in the study area was calculated, and the EQI in the study area was spatially interpolated by the Kriging method. The ecological units were characterized by five levels, namely, lower quality area (EQI < 0.2), low quality area (0.2 < EQI ˂ 0.35), Medium quality area (0.35 < EQI ˂0.5), high quality area (0.5 < EQI ˂ 0.65), and higher quality area (EQI > 0.65).
The change in regional ecological quality due to PEL land use change is expressed in terms of ecological contribution ratio, as follows:
where LEI is the ecological contribution rate; LEt+1 and LEt are the EQI of PEL land use change types at the initial and final stages, respectively; LA is the change area; and TA is the total area.
LEI = (LEt+1 − LEt)LA/TA
2.4. EQI Spatial Heterogeneity and Driving Force Analysis
2.4.1. EQI Center of Gravity Migration Model
The center of gravity is a physical concept, which represents the spatial geographical equilibrium point of a region. The center of gravity of the EQI changes at different times, and the migration of the center of gravity can reflect the spatial trajectory of EQI evolution [38]. The formula is as follows:
where EQIti represents EQI at time t of grid i, Xi and Yi represent the geographical center coordinates of grid i, n represents the total number of grids, and Xt and Yt are the center of gravity coordinates of EQI in Ningxia at time t.
2.4.2. Statistics-Based Hotspots Analysis of EQI
In this study, hot spot analysis was used to identify the hot spots and cold spots of regional EQI. A hot spot area belonged to an EQI improvement cluster area, while a cold spot area belongs to an EQI deterioration cluster area.
2.4.3. GeoDetector Model
In this study, we used factor detection in the GeoDetector model to measure the explanatory power of x (influence factor) on y (EQI in this study); differences in the spatial distribution of each factor on y attributes were judged using ecological detection; and interactions between factors were assessed using interaction detection, and its degree of explanation is expressed as q-value. Specific details can be found in the article by Wang et al. [34].
The spatial pattern of regional EQI is formed under the comprehensive action of many factors. This study selects 14 factors from three aspects of the natural environment, social economy and regional location to explore the formation mechanism of the spatial pattern of EQI in Ningxia (Table 2). The data presented in Table 2 were obtained from the Resource and Environmental Science Data Center of the Chinese Academy of Sciences (The years of these data all correspond to the data of land use. http://www.resdc.cn accessed on 1 September 2021) and processed by ArcGIS 10.2. Among them, land use intensities were attributed to different land use types according to the method proposed by Han [39]. The formula is as follows:
where LUI is the land use intensity index, Pi is the i-th level of land use intensity in the study area (i=1, 2, 3, 4, 5); Qi is the percentage of area occupied by the i-th level of land use type in the study area, and n is the number of land use intensity classifications in the study area.
Table 2.
Index system of GeoDetector model.
3. Results
3.1. Land Use Change of PEL in Ningxia
3.1.1. PEL Land Change
In Ningxia, ecological land was the predominant type in 2000, 2010 and 2018 (Table 3). Overall, the area of Agricultural production land (APL) decreased by 761.3 km2, while the area of Industrial and mining production land (IMPL) increased more than 9 times to 919.9 km2. The area of Forest ecological land (FEL) increased by 450.1 km2, while the area of Grassland ecological land (GEL) decreased by 982.7 km2, and the Water ecological land (WEL) and Other ecological land (OEL) changed little. The area of living land expanded year by year, of which the Urban living land (ULL) and Rural living land (RLL) increased by 330 km2 and 313.4 km2, respectively.
Table 3.
Classification and area of PEL land in Ningxia (km2).
Spatially (Figure 2), APL was mainly distributed along the Yellow River and Qingshui River, more specifically in the most concentrated irrigation areas from the Yellow River, including Qingtongxia City, Yongning County and other counties (districts) in northern Ningxia. IMPL is dotted around in Huinong County and Dawukou District in the north, Litong District and Yanchi County in the northeast, Zhongning County and Qingtongxia City in the northwest. Woodland is mainly distributed in Helan County in the north and Jingyuan County in the south. Helan Mountain and Liupan Mountain are located in these two counties, respectively. In addition, there was a small amount of woodland in Yanchi County and Lingwu County. GEL was distributed primarily in north-central Ningxia and on both sides of the Yellow River. OEL were concentrated in Shapotou District and Zhongning County in Northwest Ningxia, in which the Tengger desert is located. ULL was distributed in the center of each county (District), Jinfeng District and Xingqing District concentrating the most ULL. RLL was scattered around ULL.
Figure 2.
Spatial distribution of PEL land in Ningxia.
3.1.2. Tupu Analysis of PEL Land in the Ningxia from 2000 to 2018
From 2000 to 2018, there were significant differences in transformation between Tupu units. From 2000 to 2010, the areas of transformation from APL and GEL to OEL uses reached 2530.6 km2 and 2058.8 km2, respectively (Figure 3). The most obvious changes in Tupu units from 2000 to 2010 were the transformation from APL to GEL (code 1-4) and the transformation from GEL to APL (code 4-1), accounting for 23.21% and 17.19% of the total transformation area of PEL, respectively (Table 4). At the same time, the area of mutual transformation between GEL and OEL accounted for nearly 6%. From 2010 to 2018, the transformation areas of APL and GEL to OEL use reached 1113.3 km2 and 1697.5 km2, respectively. The most obvious changes in Tupu units from 2010 to 2018 were the transformation from APL to GEL (code 1-4) and the transformation from GEL to APL (code 4-1), accounting for 22.11% and 16.97% of the total transformation area of PEL land, respectively. At the same time, GEL was transformed into OEL and IMPL by 342.63 km2 and 305.45 km2, accounting for 8.76% and 7.81%, respectively. In addition, according to Figure 4, from 2000 to 2018, the increase of ULL (code 7) and RLL (code 8) was mainly caused by the transformation of APL. The transformation of APL and GEL into OEL was larger than that of OEL, resulting in the reduction of APL and GEL.
Figure 3.
(a) Change process of PEL land in Ningxia from 2000 to 2010. (b) Change process of PEL land in Ningxia from 2010 to 2020. (Note: taking an example, codes 1-8 represent APL to RLL. The number on the left side of the figure represents the total area transferred from a certain land type to another. The number on the right represents the total area of this land transferred from other land types).
Table 4.
Ranking of major PEL land transfer in Ningxia from 2000 to 2018.
Figure 4.
Spatial distribution of EQI in Ningxia in 2000, 2010 and 2018.
3.2. Impact of PEL Land Use Transformation on EQI in Ningxia from 2000 to 2018
3.2.1. PEL Land Use Change
Our measurements showed that EQI in Ningxia remained stable on the whole during the period 2000 to 2018. The average EQI in 2000, 2010 and 2018 were 0.392, 0.402 and 0.388 respectively. The low quality and medium quality areas accounted for more than 79% each year (Table 5). EQI in Ningxia increased slightly from 2000 to 2010, thanks to the reduction of low-quality areas, and decreased from 2010 to 2018, mainly due to the reduction of higher-quality areas. Spatially, EQI in Ningxia has obvious spatial differences. The EQI was generally high in the south and low in the north (Figure 4). The lower quality areas were mainly concentrated in Zhongning and Shapotou counties in the northwestern part of Ningxia. The low quality areas were mainly located in several counties (districts) of Shizuishan City and Yinchuan City. EQI is affected by the expansion of urbanization and the expansion of mining industry. Medium quality areas accounted for the largest proportion, being distributed throughout the middle and south of Ningxia. The distribution of high quality lots were relatively scattered, mainly in the Helan Mountains in the north and the Liupan Mountains in the south.
Table 5.
Proportion of different levels of EQI area.
3.2.2. Center of Gravity Trajectory of EQI
Ningxia EQI center of gravity remains basically stable (Figure 5). In 2000, the center of gravity of EQI was located in Litong county. In 2010, EQI moved 2.78 km to the southwest to Hongsibao County, and in 2018, EQI moved 7.92 km to the northeast to Litong County, indicating that EQI in northeast Ningxia improved significantly from 2010 to 2018, while EQI in southwest China deteriorated. Due to the short migration path of EQI, this phenomenon was not obvious.
Figure 5.
Evolution track of center of gravity of EQI in Ningxia from 2000 to 2018.
3.2.3. Evolution Characteristics of Cold and Hot Spot Patterns of EQI Change
The global Moran index was used to test whether the distribution of EQI is random, discrete or agglomerated. In the case of a concentrated distribution, the local Moran index could be used to calculate the cold and hot spot distribution area of EQI. The Z value of all years in 2000, 2010 and 2018 was greater than 5, p < 0.01 (Figure 6). Therefore, the spatial distribution of EQI in Ningxia showed significant aggregation characteristics from 2000 to 2018, with a spatial positive correlation mode, that is, the area with high value is more likely to have high value, and the area with low value is more likely to have low value. The global Moran index in 2000, 2010, and 2018 was 0.2697, 0.2796, and 0.1967, respectively. With the passage of time, the aggregation characteristics first increased and then decreased.
Figure 6.
EQI spatial autocorrelation.
Figure 7 shows the spatial distribution characteristics of EQI hot and cold spots in Ningxia in 2000, 2010 and 2018. Hot spot areas overlapped with areas with relatively high EQI, mainly including high-quality areas; the cold spot area overlaps with the area with relatively low EQI, mainly including low quality areas. In 2000, the hot spot “high high” gathering areas were mainly distributed in Jingyuan County, Longde County, Pengyang County, Yuanzhou County in the south of Ningxia, Tongxin County and Hongsibao County in the middle of Ningxia; and cold spot “low low” agglomeration areas were distributed in Shapotou County and Zhongning County in Western Ningxia. In 2010, the hot spot “high high” agglomeration area and cold spot “low low” agglomeration area changed greatly compared to 2000. Some areas of Hongsibao County and Tongxin County changed from hot spot area to sub hot spot area and non-characteristic area, and Shapotou County and Zhongning County in the west changed from cold spot area to non-characteristic area. In 2018, there were fewer hot spots and cold spots than in 2000 and 2010. Some areas of Jingyuan County, Longde County, Pengyang County and Yuanzhou County in the south of Ningxia changed from hot spots to sub hot spots, and the “low low” cold spots only appeared in a small part of Pingluo County in the north. On the whole, the aggregation of EQI was getting gradually worse, especially in the “low low” aggregation area of cold spots. At the same time, the distribution of hot spots and cold spots was relatively scattered, which was related to the relatively scattered distribution of high and low values of EQI.
Figure 7.
Ningxia 2000–2018 EQI Cold and Hot Spot Changes.
The results of the Ningxia Ecological Function Area and the cold and hot spot analysis are further overlaid in Figure 7. The blue color is the ecological functional area of land, mainly the desert grassland ecological area and the plain irrigated agricultural ecological subarea, where land sanding and salinization are serious and EQI is consequently low. The red color is the high ecological functional area, mainly the water conservation ecological functional area and the soil erosion control ecological functional area, which have high EQI. The results show that the aggregation effect of low ecological function areas gradually weakened from 2000 to 2018 (the result of cold spot analysis), and the aggregation effect of high ecological function areas also became weaker (the result of hot spot analysis), indicating that the improvement and deterioration of EQI in the study area coexisted.
3.3. Analysis of Driving Mechanism of EQI
3.3.1. Single Factor Contribution Rate
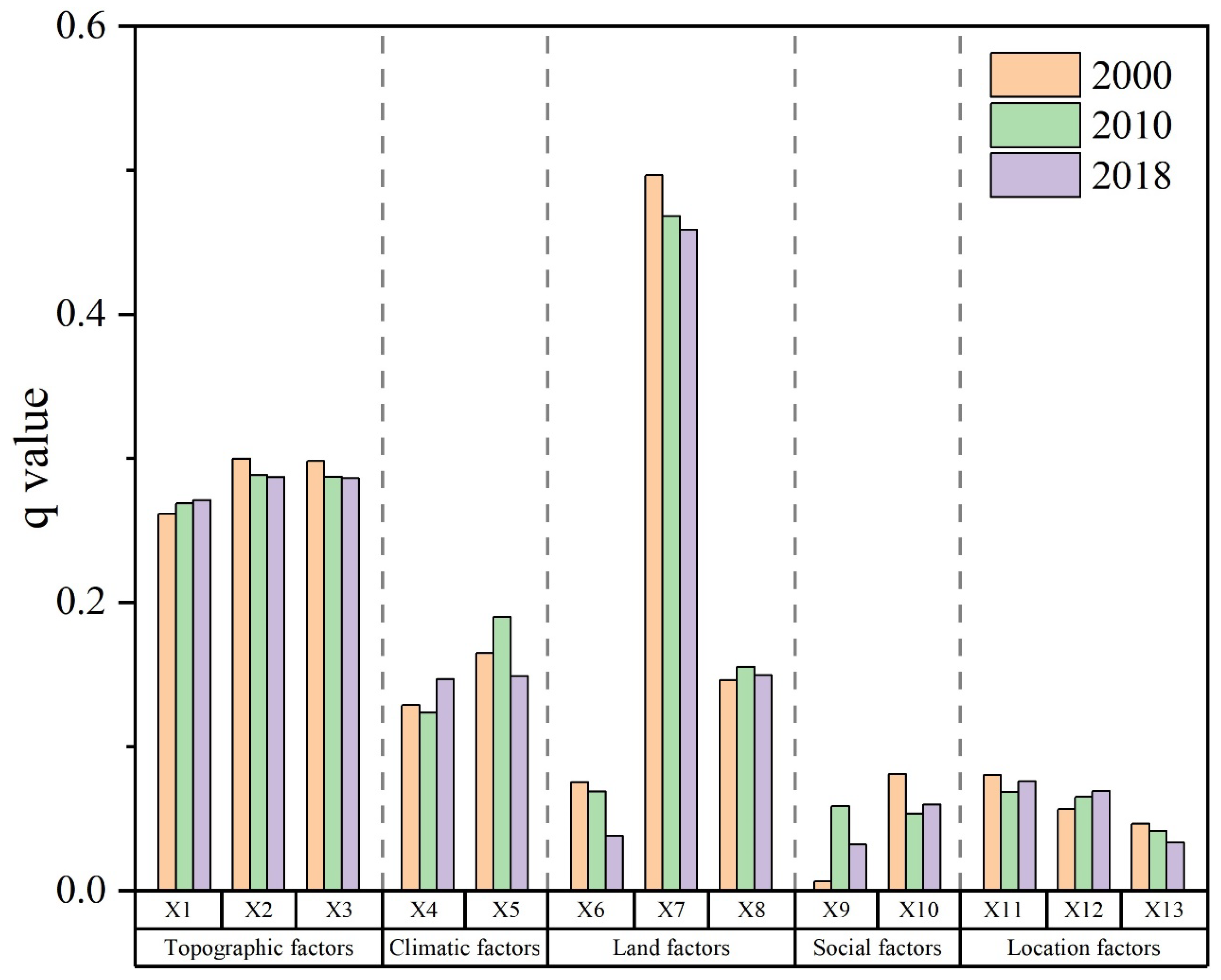
Land use intensity was the largest driving factor, with q values above 0.45 in 2000, 2010 and 2018 (Figure 8). The explanatory power of altitude, slope and topographic factors to EQI in Ningxia are similar, with q value higher than 0.2. Climate factors include rainfall and temperature, with explanatory power of EQI in Ningxia more than 0.1. Compared with land factors, terrain factors and climate factors, the q values of regional location and social factors are below 0.1, which have weak explanatory power for the spatial distribution of EQI in Ningxia, with regional location factors having a slightly better explanatory power than social factors. Overall, the relative importance of each driving factors is: land use intensity (X7), slope (X2), relief amplitude (X3), altitude (X1), precipitation (X5), soil type (X8), temperature (X4), distance from railway (X11), NDVI (X6), distance from highways (X12), average GDP (X10), distance from river (X13) and population density (X9).
Figure 8.
The q value of EQI impact factors in 2000, 2010 and 2018. (q value represents the proportion that can be explained by X—impact factor—in the spatial distribution of EQI in this study, which is significant at the level of 0.05.).
3.3.2. Significant Difference Analysis of Driving Factors
The effects of altitude (X1) and relief amplitude (X3) in topographic factors on the spatial distribution of EQI in 2000, 2010 and 2018 were significantly different from other indicators (Table 6). There was no significant difference between slope (X2) and relief amplitude (X3), but there was a significant difference with other indicators. Among the climate factors, in 2018, the impact of temperature (X4) on the spatial distribution of EQI was not significantly different from the impact of precipitation (X5) and soil type (X8), while the impact of precipitation (X5) was not significantly different from that of soil type (X8). Among land factors, land use intensity (X7) was the most important impact index of EQI in Ningxia. Its impact on the spatial distribution of EQI in Ningxia is significantly different from all other indexes. Meanwhile, the influence of NDVI (X6) on the spatial distribution of EQI varied greatly in different years. In 2000, there was no significant difference between NDVI (X6), spatial distribution of EQI, ground average GDP (X10) and distance from railway (X11). In 2010, there was no significant difference between NDVI (X6) and population density (X9), average ground GDP (X10), distance from railway (X11) and distance from expressway (X12). The significance analysis results of population density (X9) and average ground GDP (X10) in social factors and distance from railway (X11), distance from highways (X12) and distance from river (X13) in location factors are different in the three study periods. Among them, there was a significant difference between population density (X9) in 2000 and other indicators; in 2010, there was a significant difference between 2010 and distance from river (X13); and there is no significant difference between 2018 and distance from river (X13). There was a significant difference between the distance from the railway (X11) and the distance from the river (X13) in 2010 and 2018. The distance from the highways (X12) is only seen in 2000 and there was no significant difference from the distance from river (X13).
Table 6.
Statistical significance of driving factors in 2000, 2010 and 2018 (confidence level 95%).
3.3.3. Driver Interaction Analysis
The interactive detection effect showed that the driving factors had a synergistic enhancement effect on EQI in Ningxia, which can be seen in two ways: two factor enhancement, and nonlinear enhancement (Figure 9). The interaction between all driving factors was higher than for any single driving factor, especially for the social factors and location factors. The action value of a single factor was less than 0.1, but when interacting with terrain factors, climate factors and land factors, the explanatory power of EQI was significantly improved. The explanatory power of the interaction of land use intensity with other drivers on the spatial distribution of EQI was above 0.5 and was enhanced by both factors. The interaction between altitude, slope, and relief amplitude also improved the explanatory power of EQI in Ningxia, especially the interaction with rainfall in climate factors which was close to 0.5. The explanatory power of temperature and precipitation in climate factors alone was less than 0.2, and increase when interacting with other factors. In addition, the interaction between population density, average GDP (social factor), distance from railway, distance from expressway and river (location factors) and other driving factors also improve the explanatory power of EQI in Ningxia. To sum up, the influence of each driving factor on EQI was not independent, but interactive. At the same time, the interaction of multiple factors on EQI was not a simple superposition process, but are mutually enhanced in a nonlinear way.
Figure 9.
Interaction of different influencing factors on EQI (* indicates two-factor-enhanced interaction, others indicate nonlinear enhanced interaction).
4. Discussion
4.1. EQI Change and PEL Land Use Function Change
Complex dynamic transformations have taken place between different types of PEL land in the study area and different functional land in the same category. These transformations were more intense in the 2000−2010 than in the 2010−2018 period (Figure 10). APL and GEL accounted for more than 80% of the total area of the study area (Table 3), and they were most frequently interconverted to each other (Figure 3). FEL area increased marginally from 2000 to 2010 and then stabilized, largely due to the results of ecosystem protection policies, such as the “natural forest protection plan” [43] (from 1998) and the “returning farmland to forest plan” [44] (from 1999). These measures increased the area of FEL by 450.1 km2, mainly converted from APL, GEL and OEL (Figure 3). In addition, due to the growth of population and intensive grazing of livestock, the area of APL and GEL decreased year by year, while the area of IMPL and ULL and RLL continued to increase. The increase in ULL and RLL was mainly due to the occupation of APL, as the cultivated land around urban agglomerations and counties (districts) is increasingly occupied for human habitation [45] (Figure 10). In addition, due to the “returning farmland to blue (water or wetland)” policy, a certain amount of APL and GEL have become WEL permanently. Generally speaking, increased urbanization has caused irreversible damage to cultivated land, but at the same time, IMPL, ULL and RLL and other land types (such as APL and GEL) also transformed into each other (Figure 10). With the implementation of APL occupation and compensation balance policies, a certain amount and quality of cultivated land is supplemented by other forms.
Figure 10.
Spatial transformation process of PEL land in the study area from 2000 to 2010 and from 2010 to 2018.
Changes in PEL land use functions can lead to changes in EQI, either improvement or deterioration (Table 7). For example, when IMPL is transformed into FEL and GEL, the regional EQI is improved. Research shows that FEL and WEL have high ecological functions and play a decisive role in the improvement of regional EQI [46,47]. However, the proportion of FEL and WEL in Ningxia is only 5% and 2%, respectively. Thus, the average EQI of Ningxia is only 0.394, reflecting medium quality. EQI in the study area is high in the south and low in the north (Figure 5), mainly due to an increase in APL and IMPL in the north (Figure 3). From 2000 to 2010, EQI in the study area increased from 0.392 to 0.402; and from 2010 to 2018, EQI decreased to 0.388. Transfer of APL and OEL to GEL is the main factor in improving EQI, with a contribution ratio of more than 60%. At the same time, the transfer of OEL, APL and GEL to FEL also improved EQI to a certain extent. Conversely, a significant factor in the deterioration of the regional EQI is due to the encroachment of APL, OEL and IMPL on the GEL area, accounting for more than 65% of the negative regional EQI impact. The transfer of FEL to other land and the transfer of APL to ULL also caused the deterioration of EQI to a certain extent, especially in 2010–2018. The transfer of FEL to APL and OEL accounted for 4.42% and 3.86% of the negative effect of EQI, respectively, resulting in the decrease of EQI in 2018.
Table 7.
Contribution rate of main PEL land function transformation to EQI in Ningxia.
In general, the improvement trend of EQI in the study area is slightly less than the deterioration trend. Although in general the value of EQI is maintained at about 0.4, and the ecological quality maintains a relative balance, the local deterioration of the environment cannot be ignored. In particular, the migration of rural populations led to the emergence of “hollow villages“ and the abandonment of rural settlements. At the same time, due to the implementation of the policy of “poverty alleviation in other places”, land resources were further occupied [48]. This overload and high intensity land resource development is bound to cause ecological imbalance.
4.2. Spatial Heterogeneity and Driving Mechanism of EQI
The patterns of spatial changes in regional EQI and its drivers are the basis for constructing and managing regional ecological security [49]. Our results showed that EQI in northern Ningxia tended to improve, consistently with other studies [50,51]. The hot spot area in Ningxia overlaps with the high value of EQI. Conversely, the cold spot area of EQI overlaps with the low value of EQI. The high-value EQI area is mainly located in the southern Liupan Mountain area of Jingyuan County. The forest coverage rate of Liupan Mountain is over 70%, which is an important water-containing forest base in Ningxia. With the rise of tourism, Liupan Mountain is increasingly disturbed by human activities [51], resulting in the reduction of the area of the “high high” hot spot in 2018. The low EQI concentration areas are distributed in Shapotou District and Zhongning County. It is bordered by the Tengger Desert in the northwest, and the EQI is low. Through the trajectory of the center of gravity of EQI, we find that the center of gravity of Ningxia EQI remains basically stable (Figure 5), albeit with a sign of it moving to the northeast. To some extent, yhis may reflect the trend of EQI changes in the whole region i.e., the EQI in the northeast has improved, which is consistent with our results based on the cold and hot spot analysis (Figure 7) in which we superimposed the ecological functional areas in the study area: the EQI cold spot areas were mainly concentrated in the northern low ecological functional areas, and conversely, the EQI hot spot areas were mainly concentrated in the southern high ecological functional areas. With the passage of time, the aggregation effect of the cold spot low ecological function areas gradually weakened, reflecting that the EQI of low ecological function areas was gradually improving; the aggregation effect of the hot spot high ecological function areas also gradually weakened, reflecting that the EQI of high ecological function areas was impacted. In summary, the superposition of the cold and hot spot analysis results and ecological functional areas can further identify the degree of EQI deterioration and improvement in the process of LPE land transformation, which helps to promote the fine management and precise governance of land resources.
The single factor and interaction tests showed that the spatial heterogeneity of EQI in Ningxia is the result of multifactorial interactions, in which the land use intensity is the main driving factor, reflecting the impact of human activities on the ecosystem. Changes of land use intensity influence the temporal and spatial distribution of biodiversity and resources, and then destroys the structure, function and stability of ecosystems [52]. In this context, the area of ecological land gradually decreases, regional land use intensity increases, and regional EQI decreases. The terrain factor is the second most important driving factor affecting EQI. Terrain factors include elevation, slope and relief. It is generally understood that vegetation and even the whole ecosystem change significantly with the change in altitude. Topographic relief was also an important consideration for the development of human society. The higher the elevation, the greater the topographic relief. On the one hand, relief causes higher frequency of geological disasters, and on the other hand, difficulties in infrastructure construction. Therefore, terrain factors directly or indirectly affected EQI. When human activities, i.e., land use intensity, interact with topographic factors, it significantly enhanced the explanatory power of regional EQI spatial and temporal variance. This is consistent with the results by Liu and Yang [19,41].
4.3. Policy Recommendations
Our results on the driving mechanisms of EQI in Ningxia showed that the synergy of human activities, topography and natural factors together led to the spatial differentiation characteristics of EQI. Since 2003, Ningxia has started a region-wide grazing closure. The grazing ban has seriously affected the industrial development and income growth of local people. In order to realize the transformation of ecological benefits to economic benefits, the local government has developed numerous tourism and sightseeing projects. On the one hand, the conversion of ecological benefits to economic benefits is realized; on the other hand, the disturbance of the ecological environment is increased to a certain extent. Therefore, for developing tourism in the Ningxia Nature Reserve, management planning should be adopted to divide the reserve into areas, such as closed areas, restricted areas, display areas and buffer areas. In addition, comprehensive management measures should be employed and adapted according to local conditions, taking topographic factors and human interference into full consideration. Reasonable control of the intensity of human interference with the ecological environment is an effective way to maintain regional ecological security. Meanwhile, with the growth of population, the continuous expansion of cities is inevitable. The constraints of the ecological red line should be considered comprehensively; overall land and space planning should be organically integrated; and priority should be given to the development of multi-functional mixed spaces such as ecological life advantage type, ecological production advantage type and three life balance types [53]. This would allow a gradual resolution of the contradictory pressures of human social development and ecological environment preservation. Finally, the method adopted in this study is equally applicable to the assessment of EQI in other regions and can provide a good theoretical basis for relevant government decisions.
5. Conclusions
Based on the remote sensing data of land use in Ningxia, this study measured the ecological and environmental effects caused by land use changes in Ningxia. Using the PEL land classification system, the spatial distribution of EQI in Ningxia showed a general distribution of “high in the south and low in the north”, which revealed the ecological and environmental effects caused by changes in land structure and function during the land use change process. Among them, the encroachment of APL, IMPL, ULL and RLL on GEL and FLL is the main reason for the deterioration of EQI. In general, the change of PEL land is the direct cause of the change of ecosystem structure and function, and the deterioration of EQI can be mitigated to a certain extent by the contingent integration of land and spatial master plans. Meanwhile, in this study, we tried to solve the spatial distribution and influencing factors of EQI in Ningxia by using hotspot analysis and a geographic probe model. The EQI in the study area showed a “high high” and “low low” aggregation effect in space. By superimposing the ecological functional areas, it was found that this aggregation effect gradually diminished over time due to anthropogenic disturbance, mainly manifested as a simultaneous decrease of low and high ecological functional areas. Finally, the interaction of land use intensity and topographic factors explained most of the spatial variation of EQI. The research methods and results can help promote the refined management and rational allocation of land resources in Ningxia and provide references for other regions in northwest China. At the same time, this study still lacks a comprehensive consideration of the visual model of land resources (in terms of management practices, inputs and outputs, etc.) and other aspects. Future research needs to consider in an integrated manner the impact on EQI of explicit and implicit pattern changes of land resources, natural and socio-economic factors, and policy regulation.
Author Contributions
Y.X. and P.L.: conceptualization and writing—original draft; J.P.: data curation and methodology; Y.X. and Y.Z.: formal analysis and editing; X.D. and X.C.: investigation; Y.X. and J.C.: software; Z.Y.: funding acquisition and supervision. All authors have read and agreed to the published version of the manuscript.
Funding
This study was financially supported by the National Natural Science Foundation of China (SBZZ-J-2021-13).
Institutional Review Board Statement
Not applicable.
Informed Consent Statement
Not applicable.
Data Availability Statement
Not applicable.
Conflicts of Interest
The authors declare no conflict of interest.
References
- Varghese, N.; Singh, N.P. Linkages between land use changes, desertification and human development in the Thar Desert Region of India. Land Use Policy 2016, 51, 18–25. [Google Scholar] [CrossRef]
- Hansen, M.C.; Potapov, P.V.; Pickens, A.H.; Tyukavina, A.; Hernandez-Serna, A.; Zalles, V.; Turubanova, S.; Kommareddy, I.; Stehman, S.V.; Song, X.-P.; et al. Global land use extent and dispersion within natural land cover using Landsat data. Environ. Res. Lett. 2022, 17, 034050. [Google Scholar] [CrossRef]
- Wei, H.; Xiong, L.; Tang, G.; Strobl, J.; Xue, K. Spatial-temporal variation of land use and land cover change in the glacial affected area of the Tianshan Mountains. Catena 2021, 202, 105256. [Google Scholar] [CrossRef]
- Bajocco, S.; Smiraglia, D.; Scaglione, M.; Raparelli, E.; Salvati, L. Exploring the role of land degradation on agricultural land use change dynamics. Sci. Total Environ. 2018, 636, 1373–1381. [Google Scholar] [CrossRef]
- De Rosa, M. Land Use and Land-use Changes in Life Cycle Assessment: Green Modelling or Black Boxing? Ecol. Econ. 2018, 144, 73–81. [Google Scholar] [CrossRef]
- Simwanda, M.; Murayama, Y. Spatiotemporal patterns of urban land use change in the rapidly growing city of Lusaka, Zambia: Implications for sustainable urban development. Sustain. Cities Soc. 2018, 39, 262–274. [Google Scholar] [CrossRef]
- Shao, Y.; Jiang, Q.; Wang, C.; Wang, M.; Xiao, L.; Qi, Y. Analysis of critical land degradation and development processes and their driving mechanism in the Heihe River Basin. Sci. Total Environ. 2020, 716, 137082. [Google Scholar] [CrossRef]
- Xu, E.; Zhang, H.; Yao, L. An Elevation-Based Stratification Model for Simulating Land Use Change. Remote Sens. 2018, 10, 1730. [Google Scholar] [CrossRef] [Green Version]
- Yin, D.; Li, X.; Li, G.; Zhang, J.; Yu, H. Spatio-Temporal Evolution of Land Use Transition and Its Eco-Environmental Effects: A Case Study of the Yellow River Basin, China. Land 2020, 9, 514. [Google Scholar] [CrossRef]
- Chaudhary, S.; Wang, Y.; Dixit, A.M.; Khanal, N.R.; Xu, P.; Yan, K.; Liu, Q.; Lu, Y.; Li, M. Eco-Environmental Risk Evaluation for Land Use Planning in Areas of Potential Farmland Abandonment in the High Mountains of Nepal Himalayas. Sustainability 2019, 11, 6931. [Google Scholar] [CrossRef] [Green Version]
- Yang, Y.; Chen, J.; Lan, Y.; Zhou, G.; You, H.; Han, X.; Wang, Y.; Shi, X. Landscape Pattern and Ecological Risk Assessment in Guangxi Based on Land Use Change. Int. J. Environ. Res. Public Health 2022, 19, 1595. [Google Scholar] [CrossRef]
- Rao, Y.; Zhou, M.; Ou, G.; Dai, D.; Zhang, L.; Zhang, Z.; Nie, X.; Yang, C. Integrating ecosystem services value for sustainable land-use management in semi-arid region. J. Clean. Prod. 2018, 186, 662–672. [Google Scholar] [CrossRef]
- Verburg, P.H.; van de Steeg, J.; Veldkamp, A.; Willemen, L. From land cover change to land function dynamics: A major challenge to improve land characterization. J. Environ. Manag. 2009, 90, 1327–1335. [Google Scholar] [CrossRef]
- Long, H.; Zhang, Y.; Ma, L.; Tu, S. Land Use Transitions: Progress, Challenges and Prospects. Land 2021, 10, 903. [Google Scholar] [CrossRef]
- Long, H.; Qu, Y. Land use transitions and land management: A mutual feedback perspective. Land Use Policy 2018, 74, 111–120. [Google Scholar] [CrossRef]
- Chen, H.; Yang, Q.; Su, K.; Zhang, H.; Lu, D.; Xiang, H.; Zhou, L. Identification and Optimization of Produc-tion-Living-Ecological Space in an Ecological Foundation Area in the Upper Reaches of the Yangtze River: A Case Study of Jiangjin District of Chongqing, China. Land 2021, 10, 863. [Google Scholar] [CrossRef]
- Guo, B.; Fang, Y.; Jin, X.; Zhou, Y. Monitoring the effects of land consolidation on the ecological environmental quality based on remote sensing: A case study of Chaohu Lake Basin, China. Land Use Policy 2020, 95, 104569. [Google Scholar] [CrossRef]
- Robati, M.; Monavari, S.M.; Majedi, H. Urban environment quality assessment by using composite index model. Environ. Prog. Sustain. Energy 2015, 34, 1473–1480. [Google Scholar] [CrossRef]
- Yang, X.; Liu, S.; Jia, C.; Liu, Y.; Yu, C. Vulnerability assessment and management planning for the ecological environment in urban wetlands. J. Environ. Manag. 2021, 298, 113540. [Google Scholar] [CrossRef] [PubMed]
- Yang, T.; Zhang, Q.; Wan, X.; Li, X.; Wang, Y.; Wang, W. Comprehensive ecological risk assessment for semi-arid basin based on conceptual model of risk response and improved TOPSIS model-a case study of Wei River Basin, China. Sci. Total Environ. 2020, 719, 137502. [Google Scholar] [CrossRef]
- Pettorelli, N.; Vik, J.O.; Mysterud, A.; Gaillard, J.-M.; Tucker, C.J.; Stenseth, N.C. Using the satellite-derived NDVI to assess ecological responses to environmental change. Trends Ecol. Evol. 2005, 20, 503–510. [Google Scholar] [CrossRef]
- Balzan, M.V.; Caruana, J.; Zammit, A. Assessing the capacity and flow of ecosystem services in multifunctional landscapes: Evidence of a rural-urban gradient in a Mediterranean small island state. Land Use Policy 2018, 75, 711–725. [Google Scholar] [CrossRef]
- Zhu, D.; Chen, T.; Wang, Z.; Niu, R. Detecting ecological spatial-temporal changes by Remote Sensing Ecological Index with local adaptability. J. Environ. Manag. 2021, 299, 113655. [Google Scholar] [CrossRef] [PubMed]
- Pan, N.; Guan, Q.; Wang, Q.; Sun, Y.; Li, H.; Ma, Y. Spatial Differentiation and Driving Mechanisms in Ecosystem Service Value of Arid Region: A case study in the middle and lower reaches of Shule River Basin, NW China. J. Clean. Prod. 2021, 319, 128718. [Google Scholar] [CrossRef]
- Liu, Y.; Huang, X.; Yang, H.; Zhong, T. Environmental effects of land-use/cover change caused by urbanization and policies in Southwest China Karst area—A case study of Guiyang. Habitat Int. 2014, 44, 339–348. [Google Scholar] [CrossRef]
- Zhang, S.; Yang, P.; Xia, J.; Qi, K.; Wang, W.; Cai, W.; Chen, N. Research and Analysis of Ecological Environment Quality in the Middle Reaches of the Yangtze River Basin between 2000 and 2019. Remote Sens. 2021, 13, 4475. [Google Scholar] [CrossRef]
- Chen, Y.; Xu, F. The optimization of ecological service function and planning control of territorial space planning for ecological protection and restoration. Sustain. Comput. Inform. Syst. 2022, 35, 100748. [Google Scholar] [CrossRef]
- Yi, L.; Chen, J.; Jin, Z.; Quan, Y.; Han, P.; Guan, S.; Jiang, X. Impacts of human activities on coastal ecological environment during the rapid urbanization process in Shenzhen, China. Ocean Coast. Manag. 2018, 154, 121–132. [Google Scholar] [CrossRef]
- Wang, J.-F.; Zhang, T.-L.; Fu, B.-J. A measure of spatial stratified heterogeneity. Ecol. Indic. 2016, 67, 250–256. [Google Scholar] [CrossRef]
- Zhao, Y.; Deng, Q.; Lin, Q.; Zeng, C.; Zhong, C. Cadmium source identification in soils and high-risk regions predicted by geographical detector method. Environ. Pollut. 2020, 263, 114338. [Google Scholar] [CrossRef]
- Jia, W.-J.; Wang, M.-F.; Zhou, C.-H.; Yang, Q.-H. Analysis of the spatial association of geographical detector-based landslides and environmental factors in the southeastern Tibetan Plateau, China. PLoS ONE 2021, 16, e0251776. [Google Scholar] [CrossRef]
- Wang, X.; Meng, Q.; Zhang, L.; Hu, D. Evaluation of urban green space in terms of thermal environmental benefits using geographical detector analysis. Int. J. Appl. Earth Obs. Geoinf. 2021, 105, 102610. [Google Scholar] [CrossRef]
- Liu, Y.; Cao, X.; Li, T. Identifying Driving Forces of Built-Up Land Expansion Based on the Geographical Detector: A Case Study of Pearl River Delta Urban Agglomeration. Int. J. Environ. Res. Public Health 2020, 17, 1759. [Google Scholar] [CrossRef] [PubMed] [Green Version]
- Wang, J.F.; Hu, Y. Environmental health risk detection with GeogDetector. Environ. Model. Softw. 2012, 33, 114–115. [Google Scholar] [CrossRef]
- Xu, J.; Wang, S.; Xiao, Y.; Xie, G.; Wang, Y.; Zhang, C.; Li, P.; Lei, G. Mapping the spatiotemporal heterogeneity of ecosystem service relationships and bundles in Ningxia, China. J. Clean. Prod. 2021, 294, 126216. [Google Scholar] [CrossRef]
- Chen, W.; Zhao, H.; Li, J.; Zhu, L.; Wang, Z.; Zeng, J. Land use transitions and the associated impacts on ecosystem services in the Middle Reaches of the Yangtze River Economic Belt in China based on the geo-informatic Tupu method. Sci. Total Environ. 2020, 701, 134690. [Google Scholar] [CrossRef] [PubMed]
- Sudhira, H.S.; Ramachandra, T.V.; Jagadish, K.S. Urban sprawl: Metrics, dynamics and modelling using GIS. Int. J. Appl. Earth Obs. Geoinf. 2004, 5, 29–39. [Google Scholar] [CrossRef]
- Wang, Y.; Xia, T.; Shataer, R.; Zhang, S.; Li, Z. Analysis of Characteristics and Driving Factors of Land-Use Changes in the Tarim River Basin from 1990 to 2018. Sustainability 2021, 13, 10263. [Google Scholar] [CrossRef]
- Zenglin, H.; Qiqi, M.; Xiaolu, Y.; Wenzhen, Z. Spatial and temporal relationships between land use intensity and the value of Ecosystem Services in northern Liaodong Bay over the past 30 years. Acta Ecol. Sin. 2020, 40, 2555–2566. [Google Scholar]
- Gao, S.; Dong, G.; Jiang, X.; Nie, T.; Yin, H.; Guo, X. Quantification of Natural and Anthropogenic Driving Forces of Vegetation Changes in the Three-River Headwater Region during 1982–2015 Based on Geographical Detector Model. Remote Sens. 2021, 13, 4175. [Google Scholar] [CrossRef]
- Liu, C.; Wang, C.; Li, Y.; Wang, Y. Spatiotemporal differentiation and geographic detection mechanism of ecological security in Chongqing, China. Glob. Ecol. Conserv. 2022, 35, e02072. [Google Scholar] [CrossRef]
- Peng, W.; Kuang, T.; Tao, S. Quantifying influences of natural factors on vegetation NDVI changes based on geographical detector in Sichuan, western China. J. Clean. Prod. 2019, 233, 353–367. [Google Scholar] [CrossRef]
- Zhou, T.; Shen, W.; Qiu, X.; Chang, H.; Yang, H.; Yang, W. Impact evaluation of a payments for ecosystem services program on vegetation quantity and quality restoration in Inner Mongolia. J. Environ. Manag. 2021, 303, 114113. [Google Scholar] [CrossRef]
- Xu, Z.; Wei, H.; Fan, W.; Wang, X.-C.; Huang, B.; Lu, N.; Ren, J.; Dong, X. Energy modeling simulation of changes in ecosystem services before and after the implementation of a Grain-for-Green program on the Loess Plateau—A case study of the Zhifanggou valley in Ansai County, Shaanxi Province, China. Ecosyst. Serv. 2018, 31, 32–43. [Google Scholar] [CrossRef]
- Li, W.; Wang, D.; Li, H.; Liu, S. Urbanization-induced site condition changes of peri-urban cultivated land in the black soil region of northeast China. Ecol. Indic. 2017, 80, 215–223. [Google Scholar] [CrossRef]
- Fei, L.; Shuwen, Z.; Jiuchun, Y.; Liping, C.; Haijuan, Y.; Kun, B. Effects of land use change on ecosystem services value in West Jilin since the reform and opening of China. Ecosyst. Serv. 2018, 31, 12–20. [Google Scholar] [CrossRef]
- Talukdar, S.; Singha, P.; Mahato, S.; Praveen, B.; Rahman, A. Dynamics of ecosystem services (ESs) in response to land use land cover (LU/LC) changes in the lower Gangetic plain of India. Ecol. Indic. 2020, 112, 106121. [Google Scholar] [CrossRef]
- Luiz, O.R.; Mariano, E.B.; da Silva, H.M.R. Pro-Poor Innovations to Promote Instrumental Freedoms: A Systematic Literature Review. Sustainability 2021, 13, 13587. [Google Scholar] [CrossRef]
- Chen, T.; Feng, Z.; Zhao, H.; Wu, K. Identification of ecosystem service bundles and driving factors in Beijing and its sur-rounding areas. Sci. Total Environ. 2020, 711, 134687. [Google Scholar] [CrossRef]
- Hu, P.; Li, F.; Sun, X.; Liu, Y.; Chen, X.; Hu, D. Assessment of Land-Use/Cover Changes and Its Ecological Effect in Rapidly Urbanized Areas—Taking Pearl River Delta Urban Agglomeration as a Case. Sustainability 2021, 13, 5075. [Google Scholar] [CrossRef]
- Han, X.; Wang, P.; Wang, J.; Qiao, M.; Zhao, X. Evaluation of human-environment system vulnerability for sustainable de-velopment in the Liupan mountainous region of Ningxia, China. Environ. Dev. 2020, 34, 100525. [Google Scholar] [CrossRef]
- Li, Q.; Zhang, X.; Liu, Q.; Liu, Y.; Ding, Y.; Zhang, Q. Impact of Land Use Intensity on Ecosystem Services: An Example from the Agro-Pastoral Ecotone of Central Inner Mongolia. Sustainability 2017, 9, 1030. [Google Scholar] [CrossRef] [Green Version]
- Lian, X. Review on Advanced Practice of Provincial Spatial Planning: Case of a Western, Less Developed Province. Int. Rev. Spat. Plan. Sustain. Dev. 2018, 6, 185–202. [Google Scholar] [CrossRef] [Green Version]
Publisher’s Note: MDPI stays neutral with regard to jurisdictional claims in published maps and institutional affiliations. |
© 2022 by the authors. Licensee MDPI, Basel, Switzerland. This article is an open access article distributed under the terms and conditions of the Creative Commons Attribution (CC BY) license (https://creativecommons.org/licenses/by/4.0/).









