Abstract
Work engagement, work efficacy and performance are key concepts in today’s human resources field, impacting both personal and organisational levels. However, not many studies investigate them in a core professional area: pre-university teachers. After measuring the work engagement, work efficacy and work performance variables of teachers, we identified the differences in teachers’ work engagement, work efficacy and work performance according to their seniority in education and the position of the high school in the top national rankings. Our paper’s focus is on exploring the relationship between work engagement and work performance among pre-university teachers from Romanian high schools. This relationship is analysed both directly and indirectly by including work efficacy as a mediating factor. A sample of 817 Romanian high school teachers participated in this study (questionnaire applied in April 2021). The results can lead to a better understanding of human resources behaviour, and, on this basis, to the formulating of human resource policies in the educational field.
1. Introduction
The relationship between economic and social evolution and the education system is the subject of many studies, debates and initiatives of responsible factors. Additionally, as the 21st century puts us in front of unprecedented challenges, a proper education is perceived as the way we can change the world. For this to happen, the education systems in all countries are reforming by massively integrating technology, becoming flexible and innovative and setting goals that are much better correlated and integrated into the environment in which they operate. This shifts our focus to the sustainable development of education [1]. One of the main pillars of this concept regards the set of new competencies a teacher needs to acquire. However, we believe that quality changes cannot be obtained unless we take a comprehensive look at the current state of facts.
Education systems best reflect people’s spirit in various countries. For many nations, the educational ideal consists of the free, integral and harmonious development of human individuality in forming an autonomous and creative personality. The education system is increasingly concerned with raising teachers’ performance, work engagement and efficacy. Increasing teachers’ performance is perhaps the safest direction for a better acquisition of skills in the learning process. It is essential to know the teachers’ strengths and aspects related to their working style that could be improved. From this perspective, teacher evaluation is vital in enhancing the teaching process’s efficiency and raising educational standards [2].
Our endeavour is supported by the assiduous work of our fellow researchers, who have engaged in the way of digging information about teachers’ work performance [3], work engagement [4], work efficacy [5,6] and the connections between them [7,8,9,10,11,12]. The work carried out by a teacher has many peculiarities that give uniqueness to this occupation and the resources needed by the person who will perform it. Research over the past decade has shown that teaching is an emotionally, physically and intellectually demanding job [13]. Additionally, the interest in teachers’ work engagement has flourished in recent years [14], since there is a clear relationship between teachers’ behaviour, beliefs and emotional dimension and the results obtained by students. Moreover, researches also note that engaged teachers can play a decisive role in the success and efficiency of the schools in which they work [7].
The research on this paper’s main concepts particularised on Romanian teachers or on teachers from non-English speaking countries is scarce. For instance, few studies provide a solid starting point for research on teachers’ engagement in a context where little is known about teachers’ patterns and levels of motivational profiles [4,15].
Therefore, in this paper, we have chosen to investigate the levels of the work engagement, work performance and work efficacy of Romanian pre-university teachers, as well as the link between these concepts, so that we can suggest ideas for future educational development. The results of the present study highlight the specificity of these concepts in the pre-university education system in Romania and the connection between work engagement and teacher performance in a particular niche of the education system in order to offer support that can be used in the educational reform process.
2. Literature Review
2.1. Work Performance, Work Engagement and Work Efficacy: Content, Role and Interdependencies
2.1.1. Work Performance
The concept of work performance refers to the achievement of organisational goals through the work carried out. Performance can be viewed from three perspectives: (1) as a result of an action’s success or even the action itself; (2) as an ability to remain in a permanent dynamic state due to constant effort; (3) as a representation of an ideology of progress, effort or permanent desire for improvement [16]. Additionally, from the literature, we could identify two main dimensions of performance: task performance (technical performance) and contextual performance (interpersonal performance) [17].
A review of the performance’s thinking evolution shows that, in the early 1990s, employee performance was primarily related only to the notion of efficiently carrying out the work tasks, whereas, by the end of the same decade, the attention had shifted to the employee’s behaviour. The 2000s brought a research shift, and job performance was studied in relation to factors such as the employees’ level of adaptability and their degree of proactivity, in relation to simple work tasks, but also in crises or in more creative contexts, such as imagining new solutions. Last but not least, performance has been studied by various researchers in terms of civic spirit and its manifestation at work, through evidence of loyalty to the organisation, fair play spirit to colleagues and a conscientious and consistent way of fulfilling tasks. All of the information that literature provides us with shows a sustained preoccupation with both the clarification of the notion and its quantification. Between 1994 and 2000, in the United States, statistically speaking, a new article appeared on average every 5 h, every day of the working week [18]. As expressed in Figure 1, there has been a positive trend for the search interest toward the concept performance management. Numbers represent the search interest relative to the highest point (100 showing the peak popularity, and 50 meaning that the term is half as popular).
Figure 1.
Scopus (Worldwide)—Search interest for the concept performance management (Google Trends, 2004—present, accessed 4 August 2022).
Some authors provide a possible explanation for the emphasis on employee performance research [19]. Both the competitive context and the permanent desire to develop organisations lead to a continuing interest in increasing performance. Thus, it becomes natural to enrich the theoretical knowledge related to performance. Furthermore, most quantitative studies put an emphasis on the implications of employee performance on the economic and financial status of the organisation. Therefore, the concept of work performance per se is approached in association with that of performance appraisal.
Regarding performance evaluation, literature is abundant on the topic. Some authors consider the following stages for the performance evaluation process: (1) goal setting, (2) establishing the necessary tools, (3) data collection, (4) the analysis and interpretation of data and (5) action based on the results [18]. Other authors [20] consider that it is essential for the employees to participate and have their own perception of the performance appraisal process, since they have unique relevant input that cannot be observed by the appraiser. Thus, when the employee participates in the evaluation process, both the quality and the amount of information gathered increase, which will lead to a more accurate and valid evaluation. In addition, it is essential to add that the active involvement of the employees in the evaluation process helps them to feel motivated and satisfied [21]. The Workplace Performance Measurement Scale was developed as a tool to investigate the employee’s perception of their own performance on nine levels [3,22,23].
Employee engagement is one of the factors playing a crucial role in gaining organisational competitiveness [24]. Most researchers agree that the ultimate goal for an organisation that wants its employees to be work-engaged is to achieve a corporate performance [25,26]. Therefore, it is clear that the popularity of work engagement is not accidental given that organisations need to survive and succeed in a globalised and increasingly competitive world. These aspects can be ensured through the engagement of employees in work, which generates not only individual but also organisational performance [27].
2.1.2. Work Engagement
Employee engagement is a crucial concept in the current landscape of the ever-changing organisational environment [9,28,29,30]. The concept has also gained momentum in the last decade [8], and one of the aspects that has led to its growing popularity is the trend known as positivity in the workplace.
Work engagement is also an important indicator of the quality of professional life [7]. The concept of work engagement appeared in 1990. The article “Psychological Conditions of Personal Engagement and Disengagement at Work” was published in the Academy of Management Journal [31] under the guidance of the American professor William Kahn. This article is important because it was the first to analyse the concept of work engagement and because, for more than a decade since its publication, it was the only scientific paper that dealt with the concept [31]. Wollard and Shuck highlight four perspectives on the concept of work engagement [30]: the “need–satisfaction” approach [32]; the “antithesis of burnout” approach [33]; the “satisfaction–engagement” approach [34]; the multidimensional approach [28].
Bedarkar and Pandita reviewed the main definitions given to the concept of work engagement over the years [8]. By carefully looking at the literature, they came to the conclusion that there is still no unanimously accepted and all-encompassing definition of employee engagement in academia. Starting with spontaneous participation in a role and the visible investment of attention and muscular effort [35], the concept also comprises psychological safety, psychological significance and psychological availability. Furthermore, one of the most frequently cited definitions in specialised research views engagement as a positive state of mind in relation to work that is characterised by vitality, dedication and absorption [36].
In parallel with the approach of defining the concept of employee work engagement, the literature has focused on explaining the premises that lead to its manifestation.
Last but not least, the increased popularity of the concept of work engagement is also due to its positive consequences on the organisation [28,34]. The engaged employees are seen as the most important asset and provide positive organisational results, such as: proactive behaviour [37]; intellectual and emotional commitment to the organisation [38,39]; reduced frequency of absenteeism caused by illness [40]; civic behaviour toward the organisation [41]; and financial and business results, such as: increased productivity [42]; increased levels of customer satisfaction and loyalty [34]; turnover increase [43].
Towards the end of the 2000s, the literature [44] stated that work-engaged employees is still a relatively new concept and that the underlying factors may be different from those that provide results such as: job satisfaction or commitment to the organisation.
A meta-analysis conducted by Gallup [42] indicates that organisations in the first half of the rankings regarding the level of employee engagement also have twice the chances of success, measured by indicators such as customer satisfaction, productivity or profitability.
It is assumed that employees engaged in their work have higher energy levels, are enthusiastic about the work carried out and are fully involved in what they do [44]. Engagement is the foundation for an increased individual and organisational performance, and also for the sustainable development of an organisation [45,46].
2.1.3. Work Efficacy
Regarding work efficacy, many specialists have studied the phenomenon of the self-assessment of efficacy. The Latin maxim “Possunt, quia posse videntur”, meaning “I can because I think I can”, provides a definition of one’s own perception of efficacy [47]. In addition, self-efficacy is seen as the individual’s confidence in their own abilities to mobilise their cognitive resources and motivation in order to successfully carry out the necessary actions to perform tasks in a given context [48]. In light of social cognitive theory [49], individuals assess their ability to successfully cope with new challenges and how they can develop a positive perception of their own efficacy in a particular field.
Thus, individuals with a positive perception of their level of efficacy are those who have higher confidence in their ability to work successfully on any task and set more significant goals to achieve, invest more energy, work longer hours and cope better with professional failure than people with a negative perception of their efficacy [50].
Many authors also investigate the relationship of the concept of individual perception of one’s own efficacy with other concepts in the field of human resources. It was found that there is a close relationship between job satisfaction and self-efficacy [51]. In addition, self-efficacy seems to have a mediating effect in relation to civic spirit and job satisfaction [52]. At the same time, both the positive perception of efficacy and engagement in work lead to individuals’ professional performance [51]. Thus, self-efficacy becomes a recognised mechanism for its power to influence the individual’s motivation, performance and well-being [47].
2.2. The Education System and Its Need for Work Performance, Work Engagement and Work Efficacy
The essence of the work carried out by a teacher is the instructional process. However, the internalisation of knowledge by students usually happens as a result of two premises [53]: (1) the teacher’s need to master the subject, both theoretically and practically, and (2) the teacher’s mastery of didactic–pedagogical knowledge, doubled by a constant self-questioning regarding the teaching style.
A series of studies have concluded that part of the teachers’ performance is due to their students’ skill level [54]. This fact shows us the complexity of a teacher’s work, one to which countless factors contribute, hence the difficulty in characterising and evaluating it.
Regarding the predictors of teachers’ professional performance, various researchers [55,56,57] have shown that emotional balance, personality type, cognitive skills, social skills and mentality are all influencing factors. At the same time, research has strengthened the place of scientific knowledge and skills among the predictors of teachers’ professional performance. However, there is no uniformity or generally accepted pattern of teacher performance [58]. It is also noted that the personality of a teacher is often a central area of research on this topic [59,60].
Some studies follow the constructs of teachers’ self-efficacy, workplace engagement and job satisfaction from the perspective of future teachers or of people who are in the early stages of their careers [61]. Furthermore, concepts are analysed in the literature based on predefined profiles of teachers: rigid, normal, adapted and enthusiastic. It was noted that the teachers in the category of adapters had the highest scores when assessing self-efficacy [14]. Last but not least, it seems that a high initial level of teachers’ self-efficacy is a good predictor of job satisfaction [62].
Given that the teaching activity is the gravity centre of the teachers’ performance and defines, at the same time, the essence of the teaching profession, the teachers’ performance needs to be evaluated and systematically observed [63].
Concerning the European Union’s point of view, the indicators usually used to measure both the teachers’ and universities’ performance are student results, costs with staff in a university, level of training, results obtained by the educational institution in evaluations and quality of the infrastructure [64].
Understanding the mechanism of teachers’ work engagement appears to be essential, as their attitudes and levels of commitment are further passed on to their pupils or students [65].
Another reason behind the intensification of research on the topic is the increase in various costs, such as social, educational or financial ones. Recent studies show that the degree of employee work engagement is generally very low, and teachers are no exception [66]. The careful study of this phenomenon can provide valuable answers both for the development of public policies and for the costs’ optimisation in higher educational institutions, which often have the structure of very large organisations in terms of their autonomy.
When exploring the dimension of pedagogical engagement, the intellectual, social, academic, professional and personal perspectives are all to be taken into account [67]. In addition, the degree of a teacher’s engagement is directly related to teaching methods, students and their learning process [68]. They understand through the teacher’s engagement, the level of behavioural, emotional and cognitive participation during teaching and the degree of interest shown for students and their learning process. On the other hand, some experts claim that a teacher’s engagement is primarily due to self-efficacy, a quality that will lead over time to a deep commitment and high performance [69].
Furthermore, regarding the specifics of this professional category, European societies need a generation of teachers who can educate children who will live in the age of digitalisation and globalisation [13]. In a world where the average age of pre-university teachers is 44 years old, and, of those in Romania, 43 years old [70], it is crucial to investigate the level of engagement of this professional category in the current context. Therefore, the level of teachers’ engagement is an international concern [15], and there is a need to intensify research on the level of employees’ work engagement and the factors that lead to its increase or decrease [7].
Starting with the famous question of whether being a teacher is a job or a vocation, some studies [71,72] indicate that teachers’ work requires a level of social engagement that is rarely encountered in other professions. By social engagement, we mean the energy dedicated to establishing relationships. It has also been concluded that teachers who devote energy to forming warm relationships based on understanding and support with their students tend to have higher levels of well-being and lower levels of stress and exhaustion [73].
What can be felt on an empirical level, namely that many of those who choose the teaching profession do it mainly to be able to work with pupils or students, has been confirmed by a series of studies [74,75]. The authors of these studies stated that analysing, measuring and drawing conclusions about the level of teachers’ work engagement without introducing social engagement towards students into the equation would mean eliminating one of the most important aspects of their work.
Engagement is researched only on the hypothesis that it acts as a mediator for other aspects of a teacher’s life, such as satisfaction and well-being [76]. In fact, these last two aspects are mostly found in the Romania studies, along with studies on motivation [77], the level of burnout [78] or those that measure the level of students’ engagement [79].
Research showed that the type of contract under which a Romanian pre-university teacher is employed does not significantly influence the level of work engagement [80]. Moreover, it was found that the level of engagement was very high in general, which is in line with other evidence that suggests that teachers in the Romanian pre-university environment show a high level of work engagement.
2.3. The Present Study—Research Objectives and Hypotheses
The main purpose of this research is to investigate the relationship between the concepts of employee engagement and work performance in the case of employees in the Romanian pre-university education system. In accordance with the main purpose of the research, we set the following objectives:
- Objective O1: Measuring the work engagement, work efficacy and work performance variables of teachers. This measurement is necessary to achieve the other objectives presented below.
- Objective O2: Identifying the differences in teachers’ work engagement, work efficacy and work performance according to their seniority in education and the position of the high school in the top national rankings. Our motivation behind choosing the seniority variable in education is to highlight the generation to which teachers belong. We also want to investigate the link between the position of a high school in the national charts, which is, respectively, a characteristic of the job, and the levels of engagement, performance and efficacy of a teacher.
- Objective O3: Highlighting the relationship between work engagement and work performance. This objective, once fulfilled, will be a valuable basis for projections related to the future evolution of the relationship between the two concepts and for finding ways to increase the performance in the Romanian education system.
Following the above-stated objectives, we have built five scientific hypotheses to be tested.
Age and experience could be key factors in gaining important information about teachers; however, not many studies address the matter [81,82]. In our understanding, seniority in the Romanian pre-university system comes after 20 years of teaching. This amount of time allegedly brings for a teacher a greater capacity in dealing with all aspects of their work, as well as enjoying more of the benefits brought by the experience gained. The higher salary associated with higher seniority might also count, although the relationship between pay and job satisfaction is debatable [83].
Hypothesis H1
—Teachers with a higher seniority have higher work engagement, efficacy and performance levels than those with less seniority.
Working conditions have always been a factor that has mattered in the professional life of someone. A number of studies [84,85] credited the idea that school working conditions impact various aspects of a teacher’s life. Taking into consideration that, in the educational field, schools are ranked according to the students’ admission marks and their final exams’ passing rate, we considered that work efficacy, performance and engagement might be influenced by this feature.
Hypothesis H2
—Teachers from high schools with higher admission marks have higher levels of work engagement, work efficacy and performance than those from high schools with lower admission marks.
Hypothesis H3
—Teachers from high schools with higher final exam pass rates have higher work engagement, work efficacy and performance levels than those from high schools with lower final exam pass rates.
Despite the concept’s popularity and its positive relationship to organisational performance, only a few studies examine the relationship between work engagement and performance at the organisational level [86]. Sometimes, employee engagement was seen as the result of performance management and performance measurement [87], whereas, in other studies, employee engagement is one of the factors influencing work performance and productivity [7,8]. More recent research complements this vision that employee engagement leads to organisational performance by bringing into question the importance of human resource management systems within organisations [9]. Thus, through a series of practices that lead to increased employee motivation, skills and opportunities that can be accessed within the company, employee work engagement increases, directly influencing the organisational performance.
Hypothesis H4
—Teachers’ perceived work performance is influenced by their level of work engagement.
More recently, a number of studies began to throw light on the mediating effect of efficacy in various aspects [10,11,12], as it is positively correlated with aspects that generate well-being and negatively correlated with aspects that generate stress.
Hypothesis H5
—Efficacy is a mediating factor between engagement and performance.
3. Materials and Methods
3.1. Participants
The population that this research investigates comprised pre-university teachers from high schools in Romania. We consider that this professional category is insufficiently studied given its importance in society.
For the purpose of obtaining data about pre-university high school teachers, we built a database with the e-mail addresses of high schools from each of the Romania’s counties. This process was based solely on the information provided by Google search engine and the high schools’ websites. The next step we took was to send all of those high schools an email asking them to distribute the questionnaire among their employed teachers, using a call-to-action motto “Teachers’ opinion matter”. We used the motto as we considered that our potential subjects needed extra motivation in order to take part at the survey, given the indirect route that they were approached by us. Thereafter, during April 2021, a holiday month in Romania, the emails were sent and a number of 817 valid answers were received.
Within this population, we were able to analyse, based on a questionnaire, a sample of 817 participants with very good territorial representation (the counties of Romania) and from various curricular areas (language and communication, mathematics and science, people and society, technologies, arts, counselling, physical education and special education.
Regarding the gender of respondents, there was a significantly higher percentage of female respondents (668 respondents—81.8%) compared to male ones (149 respondents—18.2%), which is in line with the trend at European level of gender representation in the pre-university high school education system.
The largest number of respondents was the 40–49 age group (mean = 47, standard deviation = 10.8). These data are also in line with the data published by Eurostat for 2018, which indicates the 40–44 age group as the most numerous among teachers in Romania.
The distribution by seniority intervals in education, constructed following the specific intervals for the inclusion of teachers in the Romanian salary scales, indicated that most respondents, at almost 50%, do have between 20 and 35 years of teaching experience in the Romanian education system, which indicates their vast experience in working with students.
By looking at the admission marks and final exam pass rates of the high schools in which our respondents teach, a relatively uniform distribution can be observed between all levels at which an educational unit can be found according to these two criteria. However, there was a slightly higher representation of teachers who teach at good and very good high schools.
3.2. Measures
The questionnaire used for this study totalled 70 questions, in four sections. The first section of the questionnaire consisted of 13 questions in order to identify respondents: questions that address socio-demographic and professional characteristics. The following sections covered the Teachers’ Sense of Efficacy Scale, the Engaged Teachers’ Scale and Griffin’s Performance Scale. Considering the fact that we operated with the translation of the instruments into Romanian, it was necessary to verify their reliability. We used the McDonald’s omega coefficient to express the internal consistency of each dimension [88] and we did not need to remove any items.
3.2.1. Teachers’ Sense of Efficacy Scale
This instrument consists of 24 questions that primarily determine the level of teachers’ self-work-efficacy. According to the authors of this scale [5], the concept of “efficacy” reflects a construct that shows the teacher’s ability to organise and implement work tasks necessary for the successful completion of teaching activities in specific conditions. They consider that the efficacy of a teacher comprises three dimensions, respectively:
- (a)
- Efficacy in determining student involvement—expresses the teacher’s ability to organise the learning activity in such a way that students show involvement;
- (b)
- Efficacy in developing training strategies—expresses the teacher’s ability to create learning activities appropriate to the characteristics of his/her students;
- (c)
- Efficacy in managing the students’ class—expresses the teacher’s ability to organise and manage the activities during the course.
Based on the understanding of these concepts, the Teachers’ Sense of Efficacy Scale aims to measure teachers’ perception of their own level of efficacy, i.e., their own judgment regarding the ability to engage all students in the study process, the use of a variety of instructional strategies and successful classroom management. The Teachers’ Sense of Efficacy Scale has aroused the scientific community’s interest, with several studies validating its effectiveness and correctness [6,89,90]. Thus, we considered it relevant and wanted to include it in our research, given that a high degree of efficacy can lead to an increased performance (Appendix A.1). Table 1 shows the values of the McDonald’s internal consistency coefficient ω for the three dimensions.
Table 1.
Reliability of the Teachers’ Sense of Efficacy Scale.
3.2.2. Engaged Teachers’ Scale
Another famous scale, the Utrecht Work Engagement Scale (UWES), was adapted to the particularities of the teaching profession [4] in an instrument called the Engaged Teachers’ Scale (ETS). The innovation of this tool is the redefinition of work engagement through four dimensions that would more accurately characterise the work of a teacher:
- The cognitive dimension—the absorption and intellectual dedication that a teacher shows when carrying out their professional activity;
- The emotional dimension—the energy dedicated by a teacher in the direction of experiencing positive feelings at the time of professional activity;
- The social dimension—the relationship with co-workers—the energy dedicated by a teacher in the direction of the relationship with his/her peers;
- The social dimension—the relationship with the students—the energy dedicated by a teacher in the direction of establishing meaningful and long-term relationships with his/her students.
The instrument is a scale with 16 questions, where each of the four dimensions presented above is made up of 4 items (Appendix A.2). Table 2 shows the values of McDonald’s internal consistency coefficient ω for each of the four dimensions.
Table 2.
Reliability of the Engaged Teachers’ Scale.
3.2.3. Griffin’s Performance Scale
This instrument consists of 18 questions that primarily serve the purpose of determining the level of the work performance of teachers [3]. The concept of work performance is divided into three sub-dimensions, which are as follows:
- Proficiency—shows the extent to which an individual fulfils their formal work tasks;
- Adaptivity—indicates the extent to which an individual complies with changes in the workplace or responsibilities;
- Proactivity—describes how the individual acts on their own to anticipate or initiate changes at the organisational level or related to their work responsibilities.
All of these three sub-dimensions are related to individual behaviour. To the same extent, the instrument aims to measure the perception of the level of performance in the workplace on three levels where the individual manifests themselves, at the individual level, at the level of the team and at the organisational level. Thus, the model proposed by Griffin et al. becomes a matrix with nine elements that investigates each sub-dimension of performance on each of the three levels [3].
In the questionnaire used for this research, we used an adapted variant of the scale for measuring performance at work, which takes into account the particularities of the work submitted by a teacher (Appendix A.3). Thus, we made the following changes:
- Replacing the term “organisation” with “school”—given that all respondents work in schools, respectively, a well-defined space, which is delimited from the rest of organisations or companies by their own well-defined characteristics;
- Excluding questions related to the individual in relation to the team—given that a teacher does not work in a proper team, but his/her work primarily has an individual component by preparing the activities to be carried out in class with students. Secondly, the interaction component with the organisation (school) is strongly present, considering the accumulation of activities that involve interactions with other colleagues, principals and school administrative staff.
Therefore, the result was an adapted scale, totalling 18 questions, with nine questions for each of the two kept dimensions: the individual performance of the teacher and the performance as a member of the school. Table 3 shows the values of McDonald’s internal consistency coefficient ω for the two dimensions.
Table 3.
Reliability of the Teachers’ Performance Scale.
3.3. Design and Procedure
Once the investigated population and the questionnaire used were established, a database was built with the e-mail addresses of all state high schools in Romania. This approach was based solely on information obtained from the Internet, with the help of the Google search engine and the contact details published on the websites of the educational institutions. Subsequently, e-mails were sent to all schools in the database, asking them to further disseminate the questionnaire to their teachers, under the urging “Teachers’ opinion matters”. We considered that potential participants in the study should be persuaded by an impact message, given the indirect way that the questionnaire reached them.
The e-mails were sent in April 2021 to the educational institutions present in the database. Despite the fact that the research took place in a challenging period, namely a school holiday, during an unpredictable school year due to the COVID-19 pandemic, a total of 817 responses were received.
4. Results
4.1. Descriptives
In Table 4, we present a series of descriptive statistical data for the analysed variables (C.E. = cognitive engagement, E.E. = emotional engagement, S.E.-C. = social engagement with co-workers, S.E.-S. = social engagement with students, E.S.E. = efficacy in student engagement, E.C.M. = efficacy in classroom management, E.I.S. = efficacy in instructional strategies, P.-I. = individual performance, P.-M. = performance as a member of the school).
Table 4.
Descriptive statistics.
For all dimensions, the value of the Shapiro–Wilk probability is less than 0.001. Therefore, the variables are not normally distributed, and non-parametric tests are used in the next section.
4.2. Hypothesis Testing
4.2.1. Hypothesis H1. Teachers with Higher Seniority Have Higher Work Engagement, Efficacy and Performance Levels Than Those with Less Seniority
The entire group of respondents was divided into two subgroups: teachers with more than 20 years of experience in education and teachers with less than 20 years of experience in education (Table 5).
Table 5.
Distribution of respondents—seniority in education.
In order to test the H1 hypothesis, given that the data distribution is not normal, we used the non-parametric Mann–Whitney test (Table 6).
Table 6.
Mann–Whitney test—differences depending on seniority in education.
We observe, based on the data in Table 6 above, that the hypothesis is partially confirmed. Thus, cognitive engagement, social engagement with co-workers, efficacy in classroom management, efficacy in instructional strategies and performance as a member of the school have higher values for teachers with more than 20 years of teaching experience (p-value < 0.05). However, although there are statistically significant differences, and therefore there is sufficient evidence to support this claim, these differences are relatively small, noting that the value of the rank-biserial correlation coefficient is close to 0.1. Finally, in Table 7 we present the mean, standard deviation and standard error for the five dimensions for which the hypothesis was confirmed and, therefore, there are statistically significant differences between the two groups.
Table 7.
Descriptive statistics for groups of teachers under and over 20 years of teaching experience.
In conclusion, Hypothesis H1 is partially confirmed and we propose the following explanations, illustrated in Table 8:
Table 8.
Potential factors contributing to the confirmation of hypothesis H1.
4.2.2. Hypothesis H2. Teachers from High Schools with Higher Admission Marks Have Higher Levels of Work Engagement, Work Efficacy and Performance than Those from High Schools with Lower Admission Marks
In order to test this hypothesis, the group of respondents was divided into three subgroups: teachers who teach in high school with an average admission mark below 7, those who teach in high school with an average admission mark between 7 and 8.5 and those who teach in high school with an average admission mark over 8.5 (Table 9).
Table 9.
Distribution of respondents—average admission marks in the high schools teachers work with.
In order to test hypothesis 2 and the differences between the three groups, we used the non-parametric Kruskal–Wallis test (Table 10).
Table 10.
Kruskal–Wallis test—the average of admission marks in the high schools teachers work with.
There are statistically significant differences between the three groups for the following dimensions: cognitive engagement, social engagement with co-workers, efficacy in student engagement, efficacy in classroom management and efficacy in instructional strategies (p-value < 0.05). However, the effect size, which we evaluated based on the values of ε2, is small, since for none of the dimensions is a value threshold of 0.06 reached. For the dimensions with statistically significant differences, we present the descriptive statistical values (Table 11).
Table 11.
Descriptive statistics—differences depending on the average admission marks in the high schools teachers work with.
Therefore, Hypothesis H2 is partially confirmed, for only five of the nine dimensions analysed and, especially, the size of the differentiating effect is higher for teachers who are working with high schools with admission average marks over 8.5. Thus, we propose the following explanations in Table 12:
Table 12.
Potential factors contributing to the confirmation of hypothesis H2.
4.2.3. Hypothesis H3. Teachers from High Schools with Higher Final Exam Pass Rates Have Higher Work Engagement, Work Efficacy and Performance Levels than Those from High Schools with Lower Final Exam Pass Rates
The entire group of respondents was divided into three subgroups: teachers who teach in a high school with a final exam pass rate below 40%, those who teach in a high school with a final exam pass rate between 40% and 90% and those who teach in a high school with a final exam pass rate over 90%. The distribution of respondents is presented in Table 13.
Table 13.
Distribution of respondents—the pass rate for the final exam in the high schools teachers work with.
In order to test Hypothesis H3 and the differences between the three groups, we used the non-parametric Kruskal–Wallis test (Table 14).
Table 14.
Kruskal–Wallis test—the final exam pass rates in the high schools teachers work with.
We can observe that there are statistically significant differences between the three groups only for the following three dimensions: efficacy in student engagement, efficacy in classroom management and efficacy in instructional strategies. In addition, the size of the effect, which we evaluated based on the values ε2, is small for the dimensions of efficacy in classroom management and efficacy in instructional strategies, and there is an average size of the effect for efficacy in student engagement. Table 15 shows the descriptive statistics for the dimensions with statistically significant differences.
Table 15.
Descriptive statistics—differences depending on the final exam pass rates in the high schools teachers work with.
Therefore, Hypothesis H3 is partially confirmed, for only the three dimensions of work efficacy, and the effect is generally small, with only an average one being observed concerning the efficacy in student engagement. It is also noted that the variability is higher for teachers who teach in high schools with a lower pass rate. In addition, as the pass rate for the baccalaureate exam increases in the high schools where they teach, the variability decreases. Thus, we propose the following explanations (Table 16).
Table 16.
Potential factors contributing to the confirmation of hypothesis H3.
4.2.4. Hypothesis H4—Teachers’ Perceived Work Performance Is Influenced by Their Level of Work Engagement
In order to test this hypothesis, we used multiple linear regression with a dependent variable (performance) and four independent variables (the four dimensions of work engagement).
Given that the performance variable is made up of two dimensions, individual performance and performance as a member of the organisation (school), we used two regression models.
Thus, the first model (M1) that we built consisted of four independent variables, namely the four dimensions of work engagement, and a dependent variable, individual performance (Table 17, Table 18 and Table 19).
Table 17.
Linear regression—M1—model summary.
Table 18.
Linear regression—M1—ANOVA.
Table 19.
Linear regression—M1—coefficients.
The model is statistically significant (p < 0.05) and 42.8% of the variation in individual teachers’ performance is explained by the four dimensions of work engagement. The regression equation can be written as follows:
Individual performance = 6.895 + 0.678 * cognitive engagement + 0.263 * emotional engagement + 0.309 * social engagement with co-workers + 0.512 * social engagement with students.
Moreover, the most significant influence is the dimension of cognitive engagement. This result suggests that the individual performance of the teacher is primarily dictated by his or her level of cognitive engagement. In our case, this aspect can be interpreted as the level of individual training used for their work.
The second model (M2) consists of four independent variables, namely the four dimensions of work engagement, and a dependent variable, the performance of teachers as members of a school (Table 20, Table 21 and Table 22).
Table 20.
Linear regression—M2—model summary.
Table 21.
Linear regression—M2—ANOVA.
Table 22.
Linear regression—M2—coefficients.
The model is statistically significant (p < 0.05) and 35.5% of the variation in individual teachers’ performance is explained by the four dimensions of work engagement. The regression equation can be written as follows:
Performance as a member of a school = 6.935 + 0.337 * cognitive engagement + 0.289 * emotional engagement + 0.727 * social engagement with co-workers + 0.341 * social engagement with students.
Thus, the dimension of social engagement with co-workers has the most significant influence. This result suggests the idea that, as a member of a team, performance is predominantly influenced by all other members of the group. In the case of our model, the level of engagement of a teacher towards his/her colleagues influences their performance as members of the school they belong to.
We can finally conclude that Hypothesis H4 is confirmed and that the teachers’ perceived level of work performance is influenced in varying proportions by the level of the different dimensions of engagement.
4.2.5. Hypothesis H5—Efficacy Is a Mediating Factor between Engagement and Performance
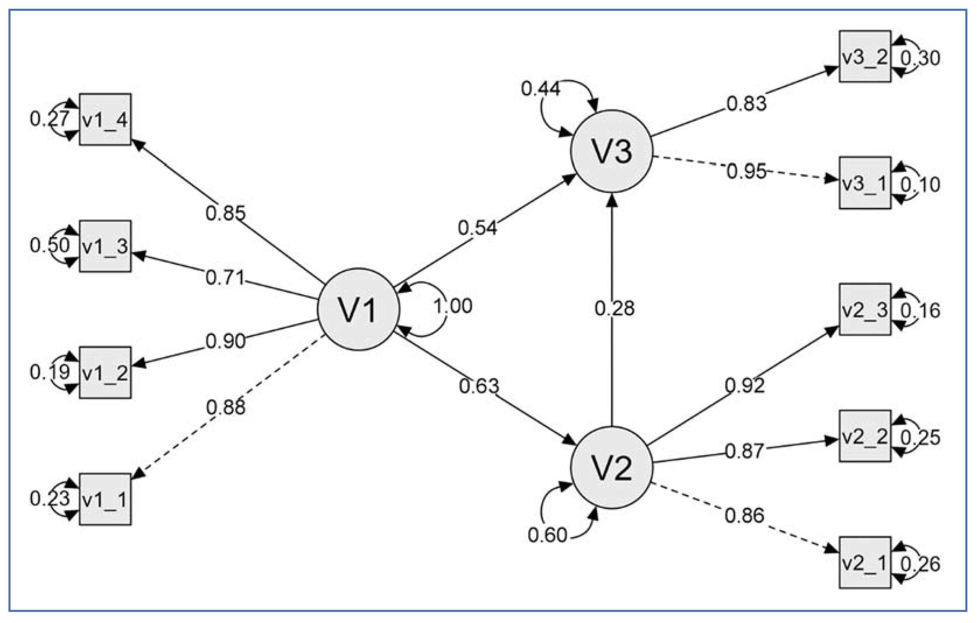
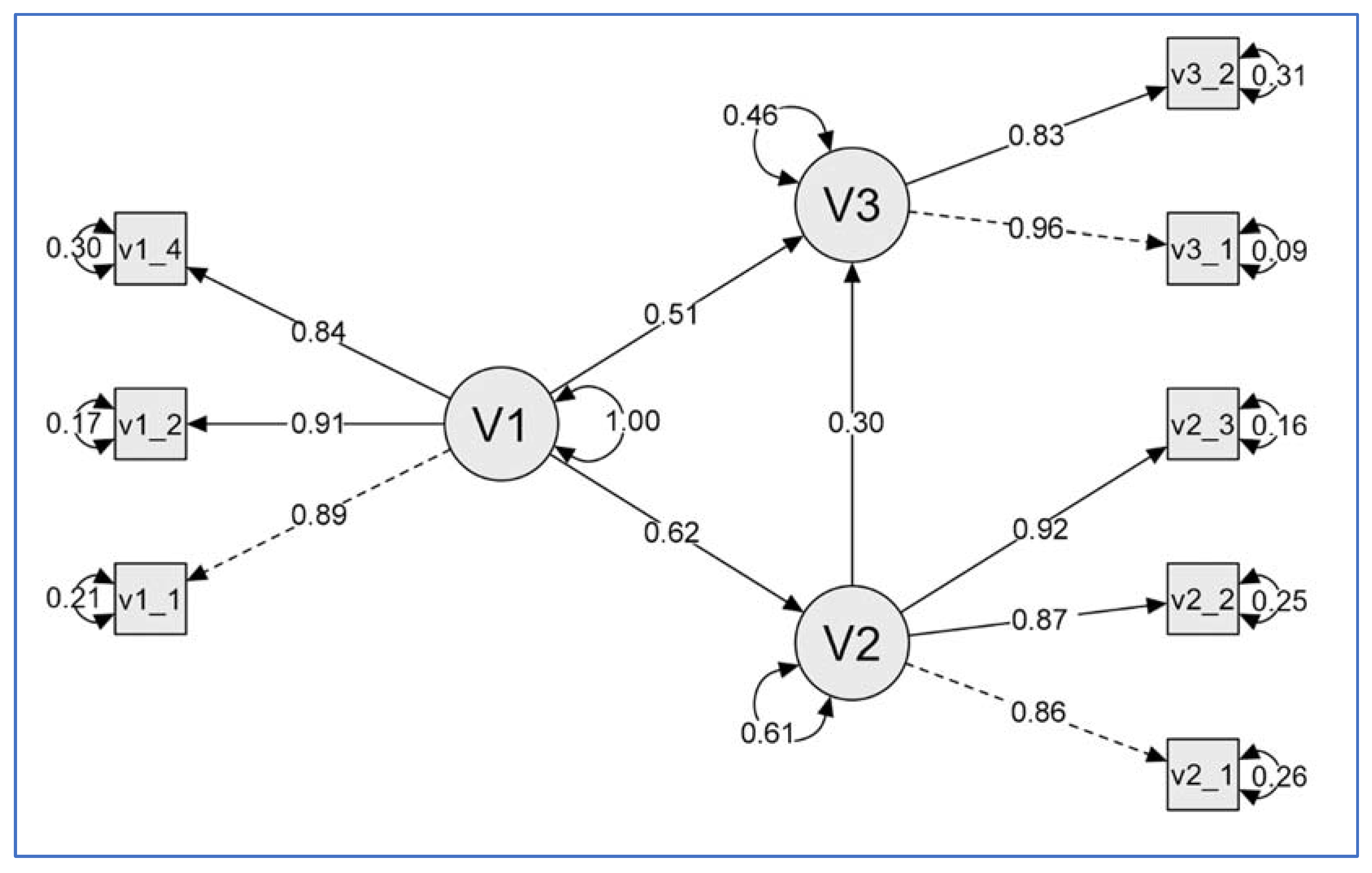
We considered that, beyond the direct relationship between engagement and performance in work, we can study this connection indirectly through the help of mediating factors. Thus, considering the definition of work efficacy highlighted in the previous subchapters, we considered that efficacy can play a mediating role in the relationship between engagement and work performance, as shown visually in Figure 2.
Figure 2.
Work engagement and work performance—the mediating role of efficacy.
In order to test this hypothesis, we used structural equation modelling.
The structural equation model SEM 1 took into account all dimensions of engagement, efficacy and performance, as defined in the previous sections. However, model 1 indicated only an acceptable fit. Consequently, we decided to build a second model, SEM 2, where the obtained results were more relevant (Table 23).
Table 23.
Structural equation modelling—model fit indices.
The fundamental difference between SEM 1 and SEM 2 is that, from the calculations of the second one, we eliminated the dimension of social engagement with co-workers. The motivation that guided us to this change was that the work of a teacher does not have, in its essence, the interaction and close collaboration with colleagues, which was confirmed by the teachers themselves, considering that the respondents’ answers to the questionnaire were based on self-assessment.
Based on the data presented in Table 23, we can observe that the values of CFI and TLI are higher than 0.95 in both models. In addition, the value of the RMSEA parameter for the first model is 0.09, so it slightly exceeds the threshold value of 0.08, whereas, for the M2 model, its value is equal to 0.074, an acceptable value.
Figure 3 and Figure 4 present the path diagrams for the two models. In the calculation of the M2 model, engagement is defined by only three of its dimensions, lacking the social dimension of the relationship with co-workers.
Figure 3.
Path diagram SEM 1.
Figure 4.
Path diagram SEM 2.
- V1 = Engagement(v1_1 = Emotional engagement, v1_2 = Cognitive engagement, v1_3 = Social engagement—co-workers, v1_4 = Social engagement—students);
- V2 = Efficacy(v2_1 = Efficacy—student engagement, v2_2 = Efficacy—classroom management, v2_3 = Efficacy—instructional strategies);
- V3 = Performance(v3_1 = Performance—individual, v3_2 = Performance—social).
Latent variables (Engagement, Efficacy and Performance) are measured through a series of sub-dimensions, as explained above. Numbers written near each sub-dimensions were obtained by standardising variables before estimation.
V3 (Performance) is an endogenous variable that receives two impacts—one from V1 (Engagement), and the other one from V2 (Efficacy). We wanted to see if latent variable 1 (Engagement) has an indirect effect through variable 2 (Efficacy) in addition to the direct effect on variable 3 (Performance). The numbers placed near the three arrows indicating the relationships between the three variables are the standardised estimates that have been calculated based on the variances of the latent variables.
Both models validate the role of the mediator of work efficiency in the relationship between involvement and performance. However, the biggest part of the total effect remains the direct one:
- In the first model—Figure 3—the direct effect is 0.54, which is quite large, whereas the indirect effect is only 0.63 x 0.28 = 0.18; total effect = 0.54 + 0.18 = 0.72 (proportion of indirect effect = 25%);
- In the second model—Figure 4—the direct effect is 0.51, which is again quite large, whereas the indirect effect is also smaller, 0.62 x 0.30 = 0.19; total effect = 0.51 + 0.19 = 0.70 (proportion of indirect effect = 27%);
- The second model has smaller errors, as indicated by comparing the two models (Table 23), which shows the fact that, if we eliminate the social dimension—the relationship with colleagues—from the variable of work engagement, the mediation relationship is actually stronger.
Thus, we can say that Hypothesis H5 is confirmed, but the indirect effect is quite small. Engagement has a direct influence on performance, but also an indirect one, through efficacy.
5. Discussions
5.1. Trends and Recommendations Regarding the Evolution of Pre-University Education System
The obtained results provide valuable information based on which we can observe a series of trends that currently characterise the Romanian pre-university education system from the human resources management point of view.
High school teachers in the Romanian pre-university environment perceive themselves as having high levels of work engagement, work efficacy and work performance; thus, we notice a good trend, namely, that teachers have confidence in their professional skills. In the short run, this confidence can yield results. Still, we draw attention to the danger of self-sufficiency that can curb the desire for continuous development throughout the career and adaptation to generational and social change.
In order for these results not to generate a negative evolution of the professional quality of the teachers, the recommendation we offer is the formalisation of the self-evaluation activities and their development with constant periodicity in the Romanian schools. This practice could also be doubled by a series of individual discussions that each teacher should have with another more experienced colleague or even the school counsellor so that they receive constant feedback on their challenges.
Hypothesis H1—Teachers with a higher seniority have higher work engagement, efficacy and performance levels than those with less seniority—was partially validated only for the dimensions: cognitive engagement, social engagement with co-workers, efficacy in classroom management, efficacy in instructional strategies and performance as a member of the school.
The trend we observe in this case is that longer seniority in education indicates a higher professional experience and stability and predictability in planning the teaching-evaluation activities. We believe that the main explanation refers to the experience and competence coming from higher seniority, but another reasoning may also be taken into account, as there is a higher salary level in the case of higher seniority, and this variable is known to influence performance, even if some studies have shown that this is not always the case [83]. While this was our hypothesis, it is interesting to note that some studies suggested that the teachers’ years of experience showed nonlinear relationships with all three self-efficacy factors, increasing from early career to mid-career and then falling afterwards [81]. Our research design is simpler, and is only partially in line with the above mentioned work. It is important to underline that, in Romania, teachers with more than 20 years of teaching experience are usually hired under indefinite work contracts, which suggests a mental comfort regarding the safety of the workplace and the possibility of developing long-term projects. Moreover, given the quite low salary level in the educational sector in Romania, the difference might count. No matter the explanation, these aspects suggest that, with the evolution of work experience, the teachers’ work efficacy level increases, but specific dimensions of work engagement and work performance tend not to depend on the teaching seniority.
These results allow us to recommend that experienced human resources be used for mentoring and knowledge transfer programs to teachers with less experience in teaching in order to standardise how the educational act is performed.
Hypothesis H2—Teachers from high schools with higher admission marks have higher levels of work engagement, work efficacy and performance than those from high schools with lower admission marks—was also only partially validated for the dimensions: cognitive engagement, social engagement with co-workers, efficacy in classroom management, efficacy in instructional strategies and efficacy in students engagement. These results show that high schools with higher average admission marks can be more attractive workplaces for teachers. Working with better students can be more challenging, more attractive and ultimately more stimulating for the level of engagement and efficacy with which they perform their job. A more competitive environment is generally useful, which is in line with previous literature [84,85]. This aspect can turn into fierce competition for vacancies in “better” high schools. It can also create an imbalance in the concentration of good and motivated professionals only in this type of high school. On the other hand, there is a concentration of teachers lacking engagement and efficacy in “worst” high schools. In the long run, this could be a factor of the inequality of opportunity in quality education for students studying in high schools with lower average admission marks.
However, we also note that the dimensions of teachers’ work performance do not differ significantly from a statistical point of view, depending on the average admission of the high school that they teach. We consider this to be encouraging because it suggests that teachers perceive themselves as performing and make the necessary effort regardless of the level of students they work with.
Through these results, we suggest the possibility of implementing exchanges of good practices between teachers from all types of high schools because they can learn from each other’s challenges. We also suggest implementing programs through which teachers learn to manage the challenges of working with the types of students in “poor high schools” (i.e., students with learning difficulties, students from disadvantaged backgrounds, etc.). In this way, we believe that teachers’ perception of their level of engagement and efficacy in work would increase, as they would no longer feel that their professional efforts are misdirected.
Hypothesis 3—Teachers from high schools with higher final exam pass rates have higher work engagement, work efficacy and performance levels than those from high schools with lower final exam pass rates—was partially validated only for the dimensions: efficacy in classroom management, efficacy in instructional strategies and efficacy in students’ engagement. We notice that the dimensions of work efficacy are the only ones for which there are statistically significant differences when we differentiate the teachers according to the pass rate at the final exam of the high school they work with. Given that the efficacy of the work also depends on the other half of the educational act, the students, it is natural that, where students are actively interested in passing the exam, the teacher’s work is also perceived at a higher level of efficacy. Findings are in line with previous literature, as school working conditions matter [84,85].
We also observe on a positive note that the level of the teachers’ work engagement does not differ, which means that the effort with which they devote themselves to preparing their students for the final exam remains constant regardless of their abilities. In addition, their perception of their own performance is not affected by the exam pass rate, which suggests that teachers are realistic about the mix between the work they carry out and the work carried out by students for the success of the exam.
Based on the results obtained, we allow ourselves to conclude that this differentiation criterion is not the most relevant, given that teachers have similar levels of engagement and perceived performance regardless of the level of high school.
Hypothesis H4—Teachers’ perceived work performance is influenced by their level of work engagement—was validated by the multiple linear regression method used in two models (because performance has two main dimensions—individual performance and performance as a member of the school). As previous literature suggested [7,8], employee engagement is one of the factors influencing work performance.
In our first model, M1, the regression had a dependent variable, individual performance, and four independent variables, respectively, the four dimensions of work engagement. In the second model, M2, the regression had a dependent variable, performance as a member of an organisation (school), and the same four independent variables. Both constructed models provided statistically significant results, which allows us to observe that the work performance perceived by teachers is significantly influenced by their level of work engagement.
Decision makers should consider that 42.8% of the individual performance perceived by a teacher is due to their level of work engagement. Moreover, the biggest influence is the one of cognitive engagement. We consider that this result is of significant value, so decision makers should permanently allocate funds for the continuous development of teachers, as well as for their initial training programmes. In addition, maintaining a climate in which continuous development is encouraged, exchanging good practices, adapting to the new paradigms of society and understanding the changing mentality of the new generations and the challenges it brings—all of these elements are fundamental pillars for increasing the level of cognitive engagement of teachers and ultimately their individual performance.
On the other hand, in terms of the results for the second regression model, 35.5% of a teacher’s performance as a member of an organisation (school) is explained by their level of work engagement. The biggest influence is the one of social engagement with co-workers. Therefore, we suggest increasing the level of knowledge and interaction between teachers through teambuilding sessions, good practice exchange sessions between members of various departments and shadow programs between more experienced teachers and those at the beginning of their career.
Hypothesis 5—Efficacy is a mediating factor between engagement and performance—was validated using structural equations modelling. Again, we developed two models. SEM 1 took into account all of the dimensions observed in our research, whereas, in SEM 2, we decided to eliminate the dimension of social engagement with co-workers, considering that the essence of a teacher’s work does not depend on the degree of closeness and collaboration with colleagues in the school. Thus, efficacy is a mediating factor between engagement and performance, especially when engagement is not defined through the dimension of social engagement with co-workers. The second model had better fitting indices.
Other authors have proven the mediating role of efficacy in various other similar relationships [10,11,12]. Our study shows that the level of efficacy plays a vital role in explaining the relationship between a teacher’s levels of engagement and performance. Thus, decision makers who want and can contribute to increasing the level of efficacy of a teacher must be supported in this endeavour because its implications are important and favourable.
5.2. Limitations and Future Research Directions
It is important to note that this scientific research has been subject to certain constraints:
- Research directions were outlined before the beginning of the COVID-19 pandemic;
- Empirical research was conducted during the COVID-19 pandemic, which led to important changes in the Romanian education system and teachers’ beliefs, and, unfortunately, we did not have the opportunity to quantify these issues;
- The tools chosen for this research measure the respondents’ own perception, which gives a high degree of subjectivity;
- In this study, we took into account only one part of the teacher–student partnership in the process of learning, without addressing the key actor, which is the student.
Given the above aspects, with priority given to the limitations of our research, we are aware of the possibility of refining the current study and launching some future research directions:
- -
- The use of other empirical research methodologies allowing for an increase in the level of objectivity;
- -
- Including an analysis of the impact of the COVID-19 pandemic on the work engagement, work efficacy and work performance of teachers in the research objectives;
- -
- Developing a new study in which we can mirror the perception of students to the perception of teachers in order to have a wider perspective;
- -
- Extending the research to teachers from other school cycles;
- -
- Deepening the understanding of the causality between the levels of engagement and work performance by taking into account other potential mediators besides efficacy;
- -
- Deepening the understanding of the differences in the levels of work engagement, performance and efficacy by looking at other differentiating factors between teachers (i.e., gender, location of the educational institution, etc.).
6. Conclusions
Through this paper, we managed to attain our three main objectives: (1) we measured the work engagement, work efficacy and work performance variables of teachers, (2) we identified differences in teachers’ work engagement, work efficacy and work performance according to their seniority in education and the position of the high school in the top national rankings and (3) we highlighted the relationship between work engagement and work performance, with work efficacy as a mediating variable.
Organisational performance is one of the most important aspects in terms of the success of an entity, but also an essential variable in management research. The international business community acknowledges that evaluating employee performance has an important impact on organisational success, as it empowers employees, investigates and corrects poor performance and strengthens those who perform poorly. There is also an intense concern on the part of both academia and the business world for the development of tools to measure the work performance of employees. In recent years, the employee has been at the centre of efforts related to evaluating and managing work performance.
There is also a concern in the scientific community about teachers’ work performance. Still, given the importance of this professional group in society, we conclude that studies could be more numerous, more innovative and more correlated with current realities.
The essence of a teacher’s work lies in the activity of teaching students, but part of their performance is also due to the level of the skills of the students that are learning. As a result, the complexity of a teacher’s work leads to a difficult process of characterising and evaluating the performance of their work. Consequently, research in recent years has intensified in analysing the perception of teachers’ self-efficacy.
The interest in studying teachers’ work engagement has only flourished in the last years, after a period in which a significant gap was observed compared to professionals from other sectors. The reasons behind the intensification of the study of teachers’ work engagement seem to be related to how teachers pass on their attitudes to students, the results that students obtain and the social and educational costs of teachers’ retention in the system.
Based on the recommendations that we have suggested, we believe that our approach brings to the surface qualitative information to support the development of this professional category. This study’s results are important for many stakeholders, such as the Romanian Ministry of Education, but also their counterparts from other countries, school principals, NGOs, the teachers themselves, parents and students. Improving the teachers’ work performance should be a common goal for society as a whole.
Author Contributions
Conceptualisation, S.I.M., C.R. and A.D.; formal analysis, S.I.M. and C.R.; investigation, S.I.M. and C.R.; methodology, C.R.; project administration, S.I.M.; resources, A.D. and S.T.; supervision, A.D.; writing—original draft, S.I.M. and A.D.; writing—review and editing, C.R. and S.T. All authors have read and agreed to the published version of the manuscript.
Funding
This research received no external funding.
Institutional Review Board Statement
The study was conducted in accordance with the Declaration of Helsinki, and approved by the National Center for Comparative Management Studies, Faculty of Management, Bucharest University of Economic Studies, 17 December 2020.
Informed Consent Statement
Informed consent was obtained from all participants involved in the study.
Data Availability Statement
Not applicable.
Conflicts of Interest
The authors declare no conflict of interest.
Appendix A
Appendix A.1. Teachers’ Sense of Efficacy Scale (Five Point Likert Scale)
Statements belonging to the efficacy in student engagement dimension
- How much can you do to get through to the most difficult students?
- How much can you do to help your students think critically?
- How much can you do to motivate students who show low interest in school work?
- How much can you do to get students to believe they can do well in school work?
- How much can you do to help your students value learning?
- How much can you do to foster student creativity?
- How much can you do to improve the understanding of a student who is failing?
- How much can you assist families in helping their children do well in school?
Statements belonging to the efficacy in classroom management dimension
- How much can you do to control disruptive behavior in the classroom?
- To what extent can you make your expectations clear about student behavior?
- How well can you establish routines to keep activities running smoothly?
- How much can you do to get children to follow classroom rules?
- How much can you do to calm a student who is disruptive or noisy?
- How well can you establish a classroom management system with each group of students?
- How well can you keep a few problem students form ruining an entire lesson?
- How well can you respond to defiant students?
Statements belonging to the efficacy in instructional strategies dimension
- How well can you respond to difficult questions from your students?
- How much can you gauge student comprehension of what you have taught?
- To what extent can you craft good questions for your students?
- How much can you do to adjust your lessons to the proper level for individual students?
- How much can you use a variety of assessment strategies?
- To what extent can you provide an alternative explanation or example when students are confused?
- How well can you implement alternative strategies in your classroom?
- How well can you provide appropriate challenges for very capable students?
Appendix A.2. Teachers’ Work Engagement Scale (Five Point Likert Scale)
Cognitive engagement
- You try your hardest to perform well while teaching.
- While teaching, you really “throw” yourself into your work.
- While teaching you pay a lot of attention to your work.
- While teaching, you work with intensity.
Emotional engagement
- You are excited about teaching.
- You feel happy while teaching.
- You love teaching.
- You find teaching fun.
Social engagement: Students
- In class, you show warmth to your students.
- In class, you are aware of your students’ feelings.
- In class, you care about the problems of your students.
- In class, you are empathetic towards your students.
Social engagement: colleagues
- At school, you connect well with your colleagues.
- At school, you are committed to helping your colleagues.
- At school, you value the relationships you build with your colleagues.
- Aschool, you care about the problems of your colleagues.
Appendix A.3. Griffin’s Work Performance Scale (Five Point Likert Scale)
Statements belonging to the individual task proficiency dimension
- You carried out the core parts of your job well.
- You completed your core tasks well using the standard procedures.
- You ensured your tasks were completed properly.
Statements belonging to the individual task adaptability dimension
- You adapted well to changes in core tasks.
- You coped with changes to the way you have to do your core tasks.
- You learned new skills to help you adapt to changes in your core tasks.
Statements belonging to the individual task proactivity dimension
- You initiated better ways of doing your core tasks.
- You come up with ideas to improve the way in which your core tasks are done.
- You made changes to the way your core tasks are done.
Statements belonging to the organization member proficiency dimension
- You presented a positive image of the school to other people
- You defended the school if others criticized it.
- You talked about the school in positive ways.
Statements belonging to the organization member adaptability dimension
- You responded flexibly to overall changes in the school (e.g., changes in management).
- You coped with changes in the way the school operates.
- You learnt skills or acquired information that helped you adjust to overall changes in the school.
Statements belonging to the organization member proactivity dimension
- You made suggestions to improve the overall effectiveness of the school (e.g., by suggesting changes to administrative procedures)
- You involved yourself in changes that are helping to improve the overall effectiveness of the school.
- You come up with ways of increasing efficiency within the school.
References
- Rich, B.L.; Lepine, J.A.; Crawford, E.R. Job engagement: Antecedents and effects on job performance. Acad. Manag. J. 2010, 53, 617–635. [Google Scholar] [CrossRef]
- Rieckmann, M. Education for Sustainable Development Goals. Learning Objectives; Unesco Publishing: Paris, France, 2017. [Google Scholar]
- OECD. Teacher Evaluation: A Conceptual Framework and Examples of Country Practices. In Proceedings of the Paper Presented at the OECD-Mexico Workshop, Towards a Teacher Evaluation Framework in Mexico: International Practices, Criteria and Mechanisms, Mexico City, Mexico, 1–2 December 2009. [Google Scholar]
- Griffin, M.A.; Neal, A.; Parker, S.K. A new model of work role performance: Positive behavior in uncertain and interdependent contexts. Acad. Manag. J. 2007, 50, 327–347. [Google Scholar] [CrossRef]
- Klassen, R.M.; Yerdelen, S.; Durksen, T.L. Measuring Teacher Engagement: Development of the Engaged Teachers Scale (ETS). Front. Learn. Res. 2013, 1, 33–52. [Google Scholar] [CrossRef]
- Tschannen-Moran, M.; Hoy, A.W. Teachers’ Sense of Efficacy Scale Instrument. Teach. Teach. Educ. 2001, 17, 783–805. [Google Scholar] [CrossRef]
- Duffin, L.C.; French, B.F.; Patrick, H. The Teachers’ Sense of Efficacy Scale: Confirming the factor structure with beginning pre-service teachers. Teach. Teach. Educ. 2012, 28, 827–834. [Google Scholar] [CrossRef]
- Gülbahar, B. The Relationship between Work Engagement and Organizational Trust: A Study of Elementary School Teachers in Turkey. J. Educ. Train. Stud. 2017, 5, 149. [Google Scholar] [CrossRef]
- Bedarkar, M.; Pandita, D. A Study on the Drivers of Employee Engagement Impacting Employee Performance. Procedia Soc. Behav. Sci. 2014, 133, 106–115. [Google Scholar] [CrossRef]
- Tensay, A.T.; Singh, M. The nexus between HRM, employee engagement and organizational performance of federal public service organizations in Ethiopia. Heliyon 2020, 6, e04094. [Google Scholar] [CrossRef]
- Huang, S.; Yin, H.; Lv, L. Job characteristics and teacher well-being: The mediation of teacher self-monitoring and teacher self-efficacy. Educ. Psychol. 2019, 39, 313–331. [Google Scholar] [CrossRef]
- Huang, S.; Yin, H.; Jin, Y.; Wang, W. More Knowledge, More Satisfaction with Online Teaching? Examining the Mediation of Teacher Efficacy and Moderation of Engagement during COVID-19. Sustainability 2022, 14, 4405. [Google Scholar] [CrossRef]
- Schwarzer, R.; Hallum, S. Perceived teacher self-efficacy as a predictor of job stress and burnout: Mediation analyses. Appl. Psychol. 2008, 57, 152–171. [Google Scholar] [CrossRef]
- Van Wingerden, J.; Poell, R. Meaningful work and resilience among teachers: The mediating role of work engagement and job crafting. PLoS ONE 2019, 14, e0222518. [Google Scholar] [CrossRef] [PubMed]
- Perera, H.N.; Granziera, H.; McIlveen, P. Profiles of teacher personality and relations with teacher self-efficacy, work engagement, and job satisfaction. Pers. Individ. Dif. 2018, 120, 171–178. [Google Scholar] [CrossRef]
- Yerdelen, S.; Durksen, T.L.; Klassen, R.M. An International Validation Of The Engaged Teachers’ Scale. Teach. Teach. 2018, 24, 673–689. [Google Scholar] [CrossRef]
- Bourguignon, A. The Multiple Functions of Accounting Vocabulary—An Example of Performance. Account. Control. Audit. 1997, 3, 89–101. [Google Scholar]
- Ispas, A. The Perceived Leadership Style and Employee Performance in Hotel Industry—A Dual Approach. Int. Rev. De Manag. Comp. Int. 2012, 13, 294–304. [Google Scholar]
- Neely, A. Business Performance Measurement. Theory and Practice. In Unifying Theories and Integrating Practice; Cambridge University Press: Cambridge, UK, 2007. [Google Scholar]
- Lefter, V.; Deaconu, A. Managementul Resurselor Umane. Teorie Si Practica, 1st ed.; Editura Economica: Bucurest, Romaina, 2008. [Google Scholar]
- Roberts, G.E. Employee performance appraisal system participation: A technique that works. Public Pers. Manag. 2002, 31, 333–341. [Google Scholar] [CrossRef]
- Atkins, P.W.B.; Wood, R.E. Self- versus others’ ratings as predictors of assessment center ratings: Validation evidence for 360-degree feedback programs. Pers. Psychol. 2002, 55, 871–904. [Google Scholar] [CrossRef]
- Fischmann, G.; Sulea, C.; Kovacs, P.; Iliescu, D.; De Witte, H. Qualitative and quantitative job insecurity: Relations with nine types of performance. Psihol. Resur. Um. Rev. Asoc. Psihol. Indusstriala Si Organ. 2015, 13, 152–164. [Google Scholar]
- Radu, C.; Deaconu, A.; Misu, S.I.; Triculescu, M. The Impact of Work Investment on Performance. Amfiteatru Econ. 2020, 22, 1103–1120. [Google Scholar] [CrossRef]
- Nair, M.S.; Salleh, R. Linking Performance Appraisal Justice, Trust, and Employee Engagement: A Conceptual Framework. Procedia-Soc. Behav. Sci. 2015, 211, 1155–1162. [Google Scholar] [CrossRef]
- Singh, S.P.; Karki, J. The Impact of Job Engagement and Organizational Commitment on Organisational Performance. Int. J. Bus. Manag. 2015, 3, 49–55. [Google Scholar]
- Ogbonnaya, C.; Valizade, D. High performance work practices, employee outcomes and organizational performance: A 2-1-2 multilevel mediation analysis. Int. J. Hum. Resour. Manag. 2016, 29, 239–259. [Google Scholar] [CrossRef]
- Alfes, K.; Shantz, A.D.; Truss, C.; Soane, E.C. The link between perceived human resource management practices, engagement and employee behaviour: A moderated mediation model. Int. J. Hum. Resour. Manag. 2013, 24, 330–351. [Google Scholar] [CrossRef]
- Shuck, M.B.; Wollard, K.K. A Historical Perspective of Employee Engagement: An Emerging Definition. In Proceedings of the Eighth Annual College of Education & GSN Research Conference, Miami, FL, USA; 2009; pp. 133–139. [Google Scholar]
- Wollard, K.K.; Shuck, B. Antecedents to employee engagement: A structured review of the literature. Adv. Dev. Hum. Resour. 2011, 13, 429–446. [Google Scholar] [CrossRef]
- Kahn, W. Psychological Conditions of Personal Engagement and Disengagement at Work. Acad. Manag. J. 1990, 33, 692–724. [Google Scholar]
- Maslach, C.; Schaufeli, W.B.; Leiter, M. Job Burnout. Annu. Rev. Psychol. 2001, 52, 397–422. [Google Scholar] [CrossRef]
- Harter, J.K.; Schmidt, F.L.; Hayes, T.L. Business-unit-level relationship between employee satisfaction, employee engagement, and business outcomes: A meta-analysis. J. Appl. Psychol. 2002, 87, 268–279. [Google Scholar] [CrossRef]
- Saks, A.M. Antecedents and consequences of employee engagement. J. Manag. Psychol. 2006, 21, 600–619. [Google Scholar] [CrossRef]
- Goffman, E. Encounters; Penguine University Books: Harmondsworth, UK, 1961. [Google Scholar]
- Schaufeli, W.B.; Salanova, M.; Gonzalez Roma, V. Bakk the measurement of engagement and burnout: A two sample confirmatory factor analytic approach. J. Happiness Stud. 2002, 3, 71–92. [Google Scholar] [CrossRef]
- Salanova, M.; Llorens, S.; Cifre, E.; Martínez, I.M.; Schaufeli, W.B. Perceived collective efficacy, subjective well-being and task performance among electronic work groups: An experimental study. Small Gr. Res. 2003, 34, 43–73. [Google Scholar] [CrossRef]
- Shaw, K. An engagement strategy process. Strateg. Commun. Manag. 2005, 9, 26. [Google Scholar]
- Richman, A. Everyone Wants an Engaged Workforce How Can You Create It? Workspan 2006, 49, 36–39. [Google Scholar]
- Bakker, A.B. An evidence-based model of work engagement. Curr. Dir. Psychol. Sci. 2011, 20, 265–269. [Google Scholar] [CrossRef]
- Whittington, J.L.; Galpin, T.J. The engagement factor: Building a high-commitment organization in a low-commitment world. J. Bus. Strategy 2010, 31, 14–24. [Google Scholar] [CrossRef]
- Sorenson, S. How Employee Engagement Drives Growth. Gall. Bus. J. 2013, 1, 41–44. [Google Scholar]
- Schneider, B.; Macey, W.; Barbera, K.; Martin, N. Driving customer satisfaction and financial success through employee engagement. People Strateg. 2009, 32, 22–27. [Google Scholar]
- Macey, W.H.; Schneider, B. The Meaning of Employee Engagement. Ind. Organ. Psychol. 2008, 1, 3–30. [Google Scholar] [CrossRef]
- Demerouti, E.; Nachreiner, F.; Bakker, A.B.; Schaufeli, W.B. The job demands-resources model of burnout. J. Appl. Psychol. 2001, 86, 499–512. [Google Scholar] [CrossRef]
- Kim, W.; Kolb, J.A.; Kim, T. The Relationship Between Work Engagement and Performance: A Review of Empirical Literature and a Proposed Research Agenda. Hum. Resour. Dev. Rev. 2013, 12, 248–276. [Google Scholar] [CrossRef]
- Barbaranelli, C.; Fida, R.; Paciello, M.; Tramontano, C. ‘Possunt, quia posse videntur’: They can because they think they can. Development and validation of the Work Self-Efficacy scale: Evidence from two studies. J. Vocat. Behav. 2018, 106, 249–269. [Google Scholar] [CrossRef]
- Stajkovic, A.D.; Luthans, F. Social cognitive theory and self-efficacy: Goin beyond traditional motivational and behavioral approaches. Organ. Dyn. 1998, 26, 62–74. [Google Scholar] [CrossRef]
- Bandura, A. Social Foundations of Thoughts and Action: A Social Cognitive Theory; Prentice Hall: Englewood Cliffs, NJ, USA, 1986. [Google Scholar]
- Heuven, E.; Bakker, A.B.; Schaufeli, W.B.; Huisman, N. The role of self-efficacy in performing emotion work. J. Vocat. Behav. 2006, 69, 222–235. [Google Scholar] [CrossRef]
- Yakın, M.; Erdil, O. Relationships Between Self-Efficacy and Work Engagement and the Effects on Job Satisfaction: A Survey on Certified Public Accountants. Procedia-Soc. Behav. Sci. 2012, 58, 370–378. [Google Scholar] [CrossRef]
- Cetin, F. The Roles of Self-efficacy and Locus of Control in the Intrapreneurship. Bus. Econ. Res. J. 2011, 2, 69–85. [Google Scholar]
- do ceu Roldão, M. Função docente: Natureza e construção do conhecimento profissional. Rev. Bras. Educ. 2007, 12, 94–103. [Google Scholar] [CrossRef]
- Cook, J.B.; Mansfield, R.K. Task-specific experience and task-specific talent: Decomposing the productivity of high school teachers. J. Public Econ. 2016, 140, 51–72. [Google Scholar] [CrossRef]
- Sutton, R.E. Emotional regulation goals and strategies of teachers. Soc. Psychol. Educ. 2004, 7, 379–398. [Google Scholar] [CrossRef]
- Ebmeier, H.; Ng, J. Development and field test of an employment selection instrument for teachers in urban school districts. J. Pers. Eval. Educ. 2005, 18, 201–218. [Google Scholar] [CrossRef]
- Zhang, L. fang Do personality traits make a difference in teaching styles among Chinese high school teachers? Pers. Individ. Dif. 2007, 43, 669–679. [Google Scholar] [CrossRef]
- Beijaard, D.; Meijer, P.C.; Morine-Dershimer, G.; Tillema, H.; Laursen, P.F. The Authentic Teacher. In Teacher Professional Development in Changing Conditions; Kluwer Academic Publisher: Dordrecht, The Netherlands, 2005; pp. 199–212. [Google Scholar]
- van der Wal, M.M.; Oolbekkink-Marchand, H.W.; Schaap, H.; Meijer, P.C. Impact of early career teachers’ professional identity tensions. Teach. Teach. Educ. 2019, 80, 59–70. [Google Scholar] [CrossRef]
- Burke, P.; Stets, J. Identity Theory; Oxford University Press: Oxford, UK, 2009. [Google Scholar]
- McLennan, B.; McIlveen, P.; Perera, H.N. Pre-service teachers’ self-efficacy mediates the relationship between career adaptability and career optimism. Teach. Teach. Educ. 2017, 63, 176–185. [Google Scholar] [CrossRef]
- Granziera, H.; Perera, H.N. Relations among teachers’ self-efficacy beliefs, engagement, and work satisfaction: A social cognitive view. Contemp. Educ. Psychol. 2019, 58, 75–84. [Google Scholar] [CrossRef]
- Vinhais, P.; Abelha, M. Supervision and Appraisal of Foreign Language Teachers’ Performance. Procedia-Soc. Behav. Sci. 2015, 174, 783–790. [Google Scholar] [CrossRef][Green Version]
- Lung, M.; Alexandra, N.L. Financing Higher Education in Europe: Issues and Challenges. Procedia-Soc. Behav. Sci. 2012, 51, 938–942. [Google Scholar] [CrossRef]
- Roth, G.; Assor, A.; Kanat-Maymon, Y.; Kaplan, H. Autonomous Motivation for Teaching: How Self-Determined Teaching May Lead to Self-Determined Learning. J. Educ. Psychol. 2007, 99, 761–774. [Google Scholar] [CrossRef]
- Wasilowski, S. Employee Engagement in Higher Education. J. Soc. Sci. Res. 2018, 12, 2699–2712. [Google Scholar] [CrossRef]
- Pittaway, S.M. Student and staff engagement: Developing an engagement framework in a faculty of education. Aust. J. Teach. Educ. 2012, 37, 3. [Google Scholar] [CrossRef]
- Kangas, M.; Siklander, P.; Randolph, J.; Ruokamo, H. Teachers’ engagement and students’ satisfaction with a playful learning environment. Teach. Teach. Educ. 2017, 63, 274–284. [Google Scholar] [CrossRef]
- Linnenbrink, E.A.; Pintrich, P.R. The role of self-efficacy belief in student engagment and learning in the classroom. Read. Writ. Q. 2003, 19, 119–137. [Google Scholar] [CrossRef]
- OECD. TALIS 2018 Results (Volume I): Teachers and School Leaders as Lifelong Learners; OECD: Paris, France, 2019. [Google Scholar] [CrossRef]
- Pianta, R.; Hamre, B.; Allen, J.A. Teacher-Student Relationships and Engagement: Conceptualizing, Measuring, and Improving the Capacity of Classroom Interactions. In Handbook of Research on Student Engagement; Springer: Boston, MA, USA, 2012; pp. 365–386. [Google Scholar] [CrossRef]
- Roorda, D.L.; Koomen, H.M.Y.; Spilt, J.L.; Oort, F.J. The influence of affective teacher-student relationships on students’ school engagement and achievement: A meta-analytic approach. Rev. Educ. Res. 2011, 81, 493–529. [Google Scholar] [CrossRef]
- Jennings, P.A.; Greenberg, M.T. The prosocial classroom: Teacher social and emotional competence in relation to student and classroom outcomes. Rev. Educ. Res. 2009, 79, 491–525. [Google Scholar] [CrossRef]
- Watt, H.M.G.; Richardson, P.W. Motivational factors influencing teaching as a career choice: Development and validation of the FIT-choice scale. J. Exp. Educ. 2007, 75, 167–202. [Google Scholar] [CrossRef]
- Mișu, S.I. Teacher′s work engagement—Change and adaptation during COVID-19. Bus. Excell. Manag. 2020, 10, 243–255. [Google Scholar] [CrossRef]
- Colomeischi, A.A. Teachers′ Life Satisfaction and Wellbeing: Engagement Influences. In Proceedings of the 15th Ed. International Conference on Sciences of Education, Studies and Current Trends in Science of Education, Suceava, Romania, 9–10 June 2017; LUMEN: Suceava, Romania, 2018; Volume 2, pp. 139–150. [Google Scholar] [CrossRef]
- Truta, C. Emotional Labor and Motivation in Teachers. Procedia-Soc. Behav. Sci. 2014, 127, 791–795. [Google Scholar] [CrossRef]
- Bria, M.; Spânu, F.; Bəban, A.; Dumitraşcu, D.L. Maslach Burnout Inventory—General Survey: Factorial validity and invariance among Romanian healthcare professionals. Burn. Res. 2014, 1, 103–111. [Google Scholar] [CrossRef]
- Mișu, S.I.; Ghenu, C.I. Drivers of Engagement for the PhD Students who Perform Teaching Activities. In Proceedings of the NORDSCI International Conference on Social Sciences, Conference Proceedings Book 1, Athens, Greece, 19 August 2019; NORDSCI: Athens, Greece, 2019; Volume 2, pp. 19–27. [Google Scholar]
- Mişu, S.I. Indefinite vs. fixed-term work contracts: The impact over the teachers’ work-engagement. Proc. Int. Conf. Bus. Excell. 2020, 14, 893–905. [Google Scholar] [CrossRef]
- Klassen, R.M.; Chiu, M.M. Effects on teachers’ self-efficacy and job satisfaction: Teacher gender, years of experience, and job stress. J. Educ. Psychol. 2010, 102, 741–756. [Google Scholar] [CrossRef]
- Penrose, A.; Perry, C.; Ball, I. Emotional intelligence and teacher self efficacy: The contribution of teacher status and length of experience. Issues Educ. Res. 2017, 17, 107–126. [Google Scholar]
- Judge, T.A.; Piccolo, R.F.; Podsakoff, N.P.; Shaw, J.C.; Rich, B.L. The relationship between pay and job satisfaction: A meta-analysis of the literature. J. Vocat. Behav. 2010, 77, 157–167. [Google Scholar] [CrossRef]
- Ingersoll, R. Teacher Turnover and Teacher Shortages: An Organizational Analysis. Am. Educ. Res. J. 2001, 38, 499–534. [Google Scholar] [CrossRef]
- Toropova, A.; Myrberg, E.; Johansson, S. Teacher job satisfaction: The importance of school working conditions and teacher characteristics. Educ. Rev. 2021, 73, 71–97. [Google Scholar] [CrossRef]
- Bakker, A.B.; Demerouti, E. The Job Demands-Resources model: State of the art. J. Manag. Psychol. 2007, 22, 309–328. [Google Scholar] [CrossRef]
- Smith, M.; Bititci, U.S. Interplay between performance measurement and management, employee engagement and performance. Int. J. Oper. Prod. Manag. 2017, 37, 1207–1228. [Google Scholar] [CrossRef]
- Ravinder, E.B.; Saraswathi, A.B. Literature Review of Cronbach alpha coefficient (A) and Mcdonald’s Omega Coefficient (Ω). Eur. J. Mol. Clin. Med. 2020, 7, 2943–2949. [Google Scholar]
- Fives, H.; Buehl, M.M. Examining the factor structure of the teachers’ sense of efficacy scale. J. Exp. Educ. 2009, 78, 118–134. [Google Scholar] [CrossRef]
- Çapa, Y.; Çakıroğlu, J.; Sarıkaya, H. The Development and Validation of a Turkish Version of the Teachers’ Sense of Efficacy. Educ. Sci. 2005, 30, 74–81. [Google Scholar]
Publisher’s Note: MDPI stays neutral with regard to jurisdictional claims in published maps and institutional affiliations. |
© 2022 by the authors. Licensee MDPI, Basel, Switzerland. This article is an open access article distributed under the terms and conditions of the Creative Commons Attribution (CC BY) license (https://creativecommons.org/licenses/by/4.0/).



