Next Article in Journal
Mainstreaming Ecosystem-Based Disaster Risk Reduction: Towards a Sustainable and Just Transition in Local Development Planning in Rural South Africa
Next Article in Special Issue
Environmental Risk from Organic Residues
Previous Article in Journal
Protecting Power Transmission Systems against Intelligent Physical Attacks: A Critical Systematic Review
Previous Article in Special Issue
Synergizing Microbial Enriched Municipal Solid Waste Compost and Mineral Gypsum for Optimizing Rice-Wheat Productivity in Sodic Soils
 
 
Font Type:
Arial Georgia Verdana
Font Size:
Aa Aa Aa
Line Spacing:
Column Width:
Background:
Article

Influence of Organic Amendments on Soil Carbon Sequestration Potential of Paddy Soils under Two Irrigation Regimes

by
Sabina Yeasmin
1,*,
Assaduzzaman
1,
Md. Shirajul Kabir
1,
Md. Parvez Anwar
1,
A. K. M. Mominul Islam
1 and
Tahsina Sharmin Hoque
2
1
Agro Innovation Laboratory, Department of Agronomy, Bangladesh Agricultural University, Mymensingh 2202, Bangladesh
2
Department of Soil Science, Bangladesh Agricultural University, Mymensingh 2202, Bangladesh
*
Author to whom correspondence should be addressed.
Sustainability 2022, 14(19), 12369; https://doi.org/10.3390/su141912369
Submission received: 24 July 2022 / Revised: 22 September 2022 / Accepted: 24 September 2022 / Published: 28 September 2022
(This article belongs to the Special Issue The Sustainability of Agricultural Soils)

Abstract

:
Soil organic carbon (OC) is one of the most important soil components regulating soil quality, fertility and agronomic productivity as well as the global carbon (C) cycle. Soil acts as a sink for global C, which can be influenced by the water regime and organic matter (OM) management in field. The aim of this study is to evaluate the effect of the application of different organic amendments on C sequestration in paddy soils under contrasting irrigation regimes. A 4-month pot experiment was conducted under net house conditions and the treatments were composed of two organic amendments: rice straw (RS) and poultry manure (PM); four application rates of amendment: 0 g (control), 2.5 g, 5.0 g and 15.0 g kg−1 soil; and two irrigation regimes: (i) continuous waterlogging condition (CWL) and (ii) alternate wetting and drying (AWD). After the incubation period, soil samples were collected from the pot and isolated into labile (>53 µm) and mineral-associated (<53 µm) OM. Bulk (before and after incubation) and fractionated soil samples were analyzed for OC, total nitrogen (N), C:N ratio; and C sequestration percentage was calculated. Relatively higher amounts of soil OC were present in CWL condition (1.23%) than AWD (1.13%). The C sequestration potential also showed the similar trend (CWL: 47% > AWD: 35%). This was explained by the induced aerobic condition in between the anerobic condition in AWD and the continuous anaerobic condition in CWL which resulted in a difference in OM decomposition. The mineral-associated OM fraction (<53 µm) was higher in the CWL condition than AWD condition which also indicated the importance of the chemical stabilization of OC (OC bound to minerals) in the CWL condition. The application of PM led to a significant increase (45%) in C sequestration potential than RS (37%). This could be attributed to C:N ratio and probable biochemical composition of amendments which resulted in lower decomposability of PM than RS, and also in line with the higher distribution of OC in mineral-bound OM than labile fraction. The application of higher organic amendments did not increase OC content, and declined C sequestration potential in soils as the microbial activity presumably did not match with the amendment amount. Overall, C sequestration potential was higher with 5 g PM kg−1 soil application under CWL-irrigated paddy soil. The findings indicated the need to pay more attention to the selection of the proper type and rate of organic amendments for higher C sequestration in soil under a specific irrigation system for sustainable agriculture.

1. Introduction

The quantity of carbon (C) stored in soils is important on a global scale since the sequestration of C in soil reduces atmospheric CO2 load, and thus soil plays a crucial role in the global C budget [1,2]. Nevertheless, whether the soils will perform as a major sink or as a source of CO2 is vastly reliant on land use and management practices. Therefore, global climate change concerns have led to a rise in attention in assessing the impact of land and crop managements on soil C sequestration [3,4]. Land use and management practices, including wet or dry land cropping [5], puddled or non-puddled soil conditions [6], selection of crops or cropping pattern [7], addition or no-addition of organic matter or retention of stubble [8] typically lead to an impact on soil organic C (OC) [9,10].
More than half of the world’s population feeds on paddy rice, and respective paddy soils cover ~11% of total cropland area [11]. Generally, paddy soils are intentionally flooded and puddled, and soils remain submerged. The anerobic conditions for growing rice, decelerate soil OC mineralization [5,12], but may increase CH4 emission significantly (approximately 11%) [13]. In recent decades, different water-saving irrigation technology such as alternate wetting and drying (AWD) has been introduced to contribute to sustainable water use. This technology could also contribute to the reduction of CH4 emissions [14]. However, non-saturated, anerobic conditions in this technology of paddy cultivation may result in enhancing CO2 emissions via increased mineralization [15,16].
Storage of soil OC in agricultural systems is an equilibrium between C incorporations from crop residues, organic amendments and C losses, mainly as CO2 released to the atmosphere produced during decomposition of organic matter (OM) [17]. For centuries, OM has been returned to agricultural soils, straight from crop remains or indirectly as compost/manure as a way of nourishing the crops plants and preserving the desired soil OC content to aid soil overall health benefits [18]. Organic matter improves soil aggregation, reduces compaction, enhances C sequestration and nutrient availability, and increases water infiltration and retention capacity [19]. It is estimated that increasing OM contents in soils up to a 2 m depth by 5–15% may decline atmospheric CO2 concentrations by 16–30% [20,21]. Bronick and Lal [22] reported an increment in soil OC content and consequent higher formation of soil aggregates with the application of poultry manure (PM). The incorporation of OM into cultivated soils with low OC content is expected to have advantages for improved soil physical characteristics and nutrient recycling with related financial gains for farmers [22]. Both returning crop remains and the addition of farmyard manure were advised to boost soil fertility and to assist sustainable production. Besides climate and soil properties, soil C sequestration is also influenced by some other main factors, such as, quantity and quality of C input, crop, residue and soil managements, etc. [23,24,25]. In different agro-ecosystems, variations in OM management practices can have diverse impacts on soil OC sequestration. Hence, it is imperative to understand how these factors influence soil OC sequestration to find and adapt the most appropriate OM management practice for a sustainable agricultural system. Therefore, this experiment studied the type and incorporation rates of OM on soil OC sequestration under two irrigation regimes of paddy cultivation with the following objectives: (i) to evaluate the effect of the type of application OM amendments on soil OC sequestration under different water conditions; (ii) to assess the effect of the rate of OM amendment on soil OC sequestration.

2. Materials and Methods

2.1. Site Details

Soil samples were collected from three fields (Figure 1) representing long-term paddy cultivated land located at the Agronomy Field Laboratory, Bangladesh Agricultural University, Mymensingh, Bangladesh (24°43′08.1″ N 90°25′36.6″ E and at an altitude of 18 m). The area belongs to Old Brahmaputra Floodplain Agro-ecological Zone and has non-calcareous dark grey soil. The climate of this study site is sub-tropical, characterized by a wet summer and dry winter.

2.2. Sample Collection and Preparation

Three adjacent paddy fields (cropping pattern: rice-rice) were selected for sampling, which were being cultivated for more than thirty years. Surface soils (0–20 cm) were collected following random sampling from 12 points per field and then bulked to make a composite sample for each field separately (Figure 1 and Figure S1). The samples were then air dried, ground, passed through 2 mm sieve and stored in airtight containers.
Poultry manure (PM) and rice straw (RS) were selected as animal and plant organic amendment sources, respectively. These OMs were collected from the Poultry Farm and Agronomy Field Laboratory, Bangladesh Agricultural University, respectively. These organic samples were air-dried, crushed, sieved (2 mm) and stored in airtight containers.

2.3. Incubation Experimental Set Up

The experiment was conducted under controlled net house settings with three replications following a factorial-based randomized block design. Composite soils from three separate fields used as three replications. As indicated above, two types of OM amendments, i.e., PM and RS, were incorporated with collected soils at four rates (0, 2.5, 5.0 and 15.0 g dry weight kg−1 soil). Plastic pots holding 10 kg soils (air-dried, 2 mm) were used to mimic a 20 cm field soil depth. The PM and RS of each were mixed homogenously with soil according to the treatment combination. For each amendment rate, two pots were used as repeats. After that, the treated soils were incubated under two soil water (irrigation) regimes: (i) continuous waterlogging (CWL) and (ii) alternate wetting and drying (AWD), and at ambient temperature for 4 months to simulate OM decomposition in paddy fields under a conventional flood and modified water-saving irrigation method, respectively (Figure S1). The total number of pots used in the incubation is 96 (3 field soils × 2 amendments × 4 rates × 2 water regimes × 2 reps) For CWL, pots were flooded to a depth of a few cm for ¾th of the total incubation period, and for AWD, pots were submerged (a few cm of waters at the surface level) for every 2 weeks and then allowed to dry up for another 1 week, and then re-submerged for 2 weeks; this wetting and drying cycle was continued for ¾th of the total incubation period. Regular weeding was practiced at 15–20-day intervals when needed. Finally, after the incubation period, soils were sampled from three random points of the pots using a small soil auger and processed for further analysis.

2.4. Physical Fractionation of Soil

Incubated bulk soils were physically fractionated based on the method developed by Cambardella and Elliott [26] with some modification. Twenty grams of air-dried, 2 mm sieved soils were taken in 250 mL plastic bottles, and 70 mL of sodium hexametaphosphate was added at a concentration of 5.0 g L−1. The mixture was then shaken on a horizontal shaker at 130 rpm for 15 h. Then, the entire content of the bottle was transferred on a 53 μm sieve and rinsed with distilled water. The material retained on the sieve was defined as particulate OM (POM: >53 μm), and the material passed through the sieve was defined as mineral-associated OM (MOM: <53 μm). The whole process was repeated twice. All recovered fractions were oven dried at 40 °C for 72 h, ground, weighed and kept in airtight plastic vials for further analysis.

2.5. Sample Analyses

2.5.1. General Characterization of Bulk Soil and Organic Amendment

Bulk soils were analyzed for reaction (pH), electrical conductivity (EC), texture and carbonate. Soil pH and EC measurements were conducted following a 1:5 soil–water suspension ratio [27,28]. Carbonate and bicarbonate were analyzed via titration process [29]. Particle size distribution was analyzed using the hydrometer method [30].
Organic amendments were also analyzed for pH and EC using a 1:5 soil–water ratio [27,28]. All analytical measurements of soil/organic amendment samples were done in duplicate.

2.5.2. Organic Carbon and Nitrogen Analysis

Organic C and total nitrogen (N) content of organic amendments, bulk soils and fractionated soils were determined. In the case of bulk soil samples, OC and N contents were determined prior and after the incubation. Organic matter content in the organic amendment materials were determined by the dry ashing method using a muffle furnace at 550–600 °C for 24 h [31]. The OM content then converted to OC content by dividing it with the van Bemmelen factor of 1.73 [32]. For the total C content of the soil samples, oxidizable C was first determined using the Walkley and Black [33] method and then converted to total OC by applying factor 1.3. Total N content was assessed via the micro Kjeldahl process [34]. The total C represents the OC in the soils since there was no inorganic C (carbonate) present in the soils.

2.6. Carbon Sequestration Potential Calculation

The OC content in bulk soil was measured before starting the incubation, i.e., the initial/native OC (OCi) as well as at the end of the incubation, final OC (OCf). According to the initial and final OC contents, C sequestration percentage was calculated for each treatment as [35]:
C   Sequestration   Percentage   = OC f OC i OC i × 100

2.7. Statistical Analysis

Two-way analysis of variance (ANOVA) was performed to find out the effect of irrigation regime and OM amendment type on bulk soil OC, total N, C:N ratio and C sequestration percentage, and one-way ANOVA was done to see the effect of different amendment rates on the similar parameters of bulk soils for a specific amendment type application under a particular irrigation regime. One-way ANOVA was also performed to check the impact of the irrigation regime and amendment type on soil fractions’ parameters. Differences among treatment means were compared using a Least Significant Difference test. All the statistical analyses were done with the R software package (3.5.3).

3. Results

3.1. General Characterization of Soil and Organic Matter Amendments

Soil is non-saline (EC 0.0475 dS m−1) and neutral in reaction (pH 7.3) (Table 1). The texture was silty loam with 55% silt, 37% sand and 9% clay content. Organic C and total N contents in soil were 0.831% and 0.078%, respectively, with C:N ratio of 10.7 (Table 1).
The OM amendments had significant differences in their chemical composition (Table 2). Both of the OMs were acidic in pH, 5.8 for RS and 6.6 for PM (Table 2). The EC value of the PM was ten times higher than the EC of RS (0.251 dS m−1). Although the OC content was not very different (43.5−49.7%), the total N content in the PM was 4 times higher than that in the RS (0.84%). The C:N ratios of PM and RS were 12.4 and 59.4, respectively.

3.2. Organic Carbon and Nitrogen

3.2.1. Bulk Soils

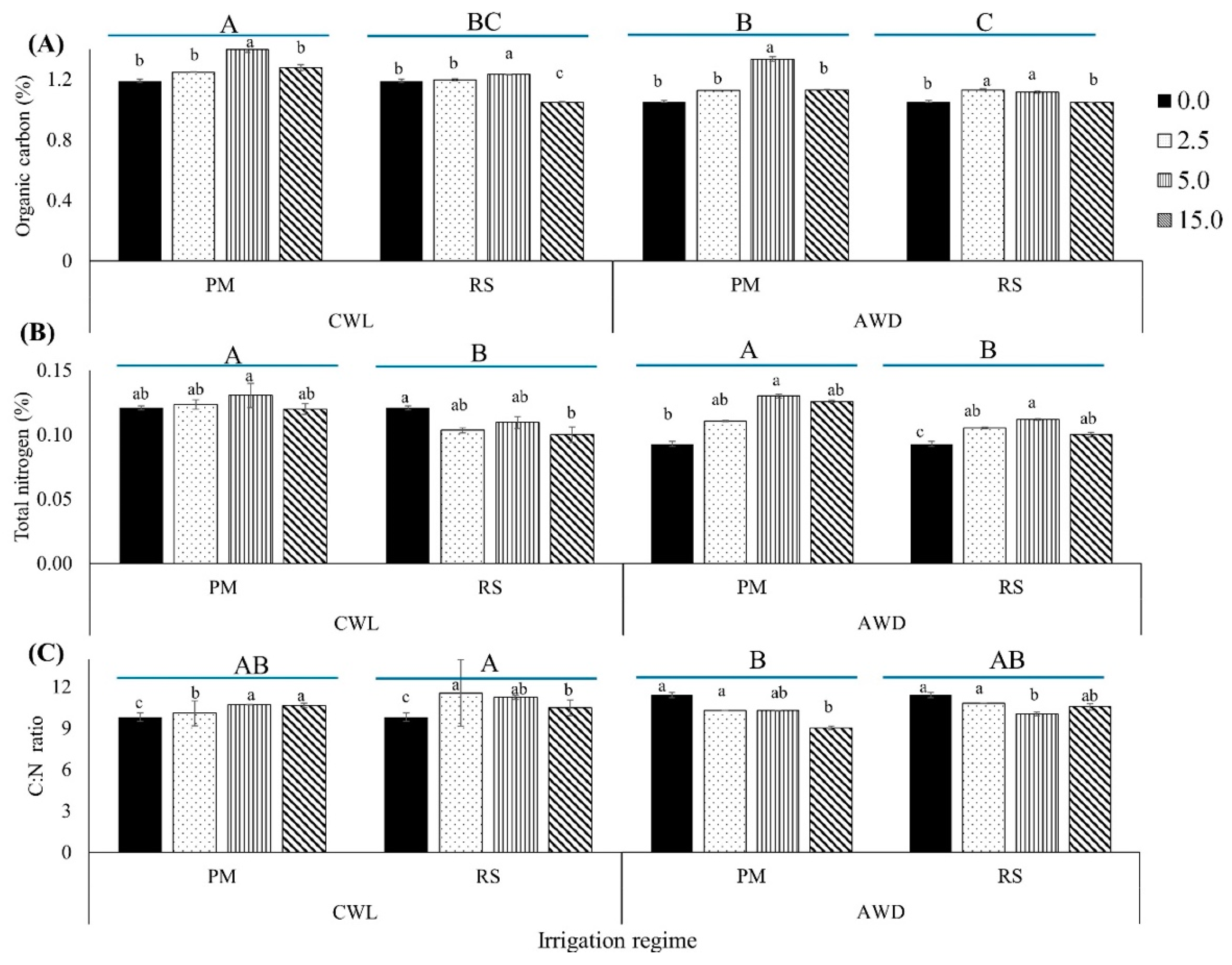
Organic C content in the incubated soils ranged between 1.04 and 1.40% irrespective of OM amendments and irrigation regimes (Figure 2A). Irrigation regime had a significant effect on the OC, total N and C:N ratio (Figure 2, Table S1). Between irrigation regimes, CWL soils contained higher OC (1.23%) than AWD soils (1.13%), with or without any amendments (Figure 2A, Table S1). After incubation, there was an increase in OC even in the control, i.e., without any amendments (CWL: 0.83 to 1.19 and AWD: 0.83 to 1.05%). Between the two amendment types, the application of PM resulted in significantly (Table S1) more OC (1.13–1.40%) than the RS application (1.05–1.20%). Taking into account the interaction effect of both irrigation regime and organic amendment, PM application under the CWL condition showed the highest amount of OC in the soils (Table S2) than other combinations. Considering the rate of organic amendments, the application of the highest amount did not significantly increase OC compared to the corresponding lower amount of amendment (Figure 2A, Table S3), and in all cases OC content was the highest when 5 g amendment kg−1 soil was applied.
Total N content ranged from 0.093 to 0.131%, and its trend was quite similar to OC (Figure 2B), slightly higher in the CWL irrigation regime (average 0.12%) than the AWD (average 0.11%). Total N increased after incubation in both control and with organic amendments. Application of PM resulted in significantly higher N (0.111–0.141%) than in control (0.093–0.121%) or with the use of RS (0.100–0.112%) (Table S1). In the case of PM, with an application rate of 5.0 g kg−1, soil had significantly greater N than the other rates of the same amendment or overall application rates of RS (Figure 2B, Table S3).
The C:N ratio of incubated soils ranged from 9.8 to 11.6 (Figure 2C). On average, soils from CWL conditions had a relatively wider C:N ratio than the soils of AWD, and use of RS significantly increased the C:N ratio compared to PM application (Figure 2C, Table S1).

3.2.2. Physically Fractionated Soils

Mass, Organic Carbon and Total Nitrogen Distribution

After four months of incubation, collected samples from the specific treatments were physically fractionated into two fractions, <53 µm and >53 µm. On a mass basis, the <53 µm fraction was less abundant (21–41%) than the >53 µm fractions (40–74%) in both irrigation regimes and organic amendments (Table 3). Considering the irrigation regimes, both had somewhat similar mass proportion; however, soils under the CWL condition had a slightly lower range of mass proportion for smaller fraction (<53 µm: 21–38%) compared to the AWD (<53 µm: 35–41%). Between the OM amendments, the PM application resulted in more abundance (26–41%) of <53 µm fraction than the RS application (21–36%), and the proportion in <53 µm fraction decreased in all cases with the highest rate of amendment application.
The distribution of OC in the fractions was higher in >53 µm (39–73%) than the smaller fraction (18–52%) irrespective of both irrigation regimes and organic amendments (Table 3). Considering the irrigation regimes, both the regimes had quite similar range of OC proportion in <53 µm, however, CWL soils had slightly higher range (24–52%) than AWD (18–45%). In the case of PM application, the OC proportions were 29–50% and 50–62%, and in the case of RS, it was 18–46% and 53–73% for <53 µm and >53 µm, respectively. Overall, in almost all cases, the application of 5 g organic amendment kg−1 soil resulted in a higher OC proportion, with few exceptions.
The distribution of N in the fraction (<53 µm: 18–47% and >53 µm: 40–78%) and between the irrigation regimes and organic amendments followed the similar trend as the OC proportion (Table 3). The proportion was higher in the <53 µm fraction with PM application compared to the RS application in both irrigation regimes.

Organic Carbon and Total Nitrogen Contents

The percentage of OC in <53 µm and >53 µm fractions ranged from 0.55 to 1.74 and 0.97 to 1.37, respectively (Figure 3A), irrespective of irrigation regimes and organic amendments. The impact of irrigation regime was significant for the smaller fraction (<53 µm) but not for larger fractions (Table S4). The average OC percentage of the two irrigation regimes ranged between 1.09–1.42 with the order of: CWL > AWD. Overall, PM application resulted in relatively higher OC in both fractions than RS application, although the difference was not statistically significant (Table S5). Considering the rate of organic amendments, the OC content was very inconsistent between the fractions for irrigation regimes and amendments type.
Total N in the fractions ranged from 0.06–0.16% and 0.07–0.14% in the <53 µm and >53 µm, respectively (Figure 3B), for both irrigation regimes and amendments. Although N values were quite similar (0.10–0.12%), there were significant differences in N values of <53 µm fraction for irrigation regime impact (CWL: 0.13% and AWD: 0.09%, Table S4). Considering the amendment type, there was no significant difference in total N% (Table S5).
On average, the <53 µm fractions had a C:N ratio of 8.3–16.3, and the ratio was 7.0–14.6 in >53 µm fractions (Figure 3C). The ratio in the irrigation regimes followed the order of CWL > AWD. The differences in the ratios between the organic amendments and their rate of applications were inconsistent.

3.3. Carbon Sequestration Potential of Soils

The percentage of C sequestration was calculated for each treatment, based on the initial and final soil OC contents. Carbon sequestration percentage of the bulk soils ranged from 25 to 68% and was significantly influenced by the irrigation regimes and the type and application amount of OM (Figure 4, Tables S1 and S3). A higher C sequestration percentage was observed in the CWL condition (47.4%) than in AWD soils (35.2%). Between the amendment types, PM application caused more C sequestration (45%) than the application of RS (37%), and considering the rate of application, 5 g kg−1 soil resulted in a higher percentage than 2.5 and 15 g per kg−1 soil application of the amendments. Considering both the irrigation regime and amendment type, PM application under CWL condition showed the highest C sequestration potential of soils (Table S2).

4. Discussion

4.1. Effect of the Type and Application Rate of Organic Amendments on Soil Organic Carbon

It was found that almost all of the organic amendments and their application rates combination significantly affected the final soil OC content (Figure 2A). It is obvious that the addition of OM did not result in equal soil OC change. During the decomposition process of these (i.e., PM and RS) OM amendments, diverse quantities of OC were expected to be added to the soils [36], which could be explained by the variation of OC content and C:N ratio of the amendments. In some earlier investigations, a straight relation between OM application rates and final soil OC content was described [23,24,37]. However, some studies also reported a nonlinear relationship between these two parameters [25,38]. Additionally, besides the type and applied amount of OM, soil properties and native OC contents also play a vital role in C stock [23,39].
Application of PM and RS to the soils led to a significant increment of soil OC content (Figure 2), which was more prominent with PM incorporation than with RS. The C:N ratio of RS was wider than that of the PM (Table 2), and this ratio has been ascribed to the decomposability of OM [40]. Majumder et al. [40] reported that narrower C:N ratios were linked with greater OM decomposition rates. This finding is inconsistent with the results of this present study, which could be explained by the biochemical compound composition of the applied amendments. It was reported that PM may compose of amide, polysaccharides and higher aromatic compounds [41,42], whereas RS may consist of cellulose, lignins and polyphenols [35,40]. The presence of these different compounds in the amendments could qualitatively and quantitatively vary depending on their substrate ingredients, decomposition state, etc. Although it is beyond the capacity of the study, it could be assumed that PM might have a more complex compound (such as aromatics) in their structure which could be more resilient to the microbial decomposition than the compounds present in RS. Thus, PM application might slow down the OM decomposition rate compared to the RS, which resulted in higher soil OC for the prior amendment type. Overall, the accumulation of OC in the soil after OM amendment application was most likely influenced by their biochemical composition and decomposition rates [35].
Generally, a higher increase in soil OC content after the application of a higher rate of OM is expected [43]. However, in this experiment, the highest rate of added OM amendment did not increase the soil OC compared to the lowest addition (Figure 2A, Table S3). This could be due to a lack of microbial population or their activities against the large amount of applied OM. Carney and Matson [44] also mentioned the importance of microbial abundance in soil OC mineralization. So, blind application of a higher amount of available OM amendments to the soil might not always be beneficial.

4.2. Impact of Irrigation Regime on Soil Organic Carbon Content

Paddy soil is an anthropogenic soil, and its evolution and formation are highly influenced by tillage operation, irrigation, nutrient (inorganic and organic fertilizers) and residue management [45,46]. Conventionally irrigated paddy rice cultivation required an estimated 34–43% of the total world’s irrigation water, which is about 24−30% of the whole world’s established freshwater resources per year (http://www.knowledgebank.irri.org/, accessed on 1 June 2022). Although water-saving technology such as AWD reduces the irrigation water demand for paddy cultivation, this may induce consequences on soil OC and N [15,47,48,49], and on long-term soil health. These changes (loss of OC and N) may often be explained by the introduction of aerobic conditions during the growing period of a crop which alters soil processes and chemistry [15]. Under continuous anaerobic situations, both the decomposition of amended OM and mineralization of native soil OC are slower compared to those under aerobic or alternate aerobic-anaerobic conditions [16,50]. This statement is also true for the soil OC variations in CWL and AWD conditions, soils of the CWL irrigation regime showed relatively higher OC than the AWD condition (Figure 2A).

4.3. Labile vs. Stable Organic Matter: Potentiality in Terms of Soil Organic Carbon Sequestration

Continuous waterlogged conditions showed relatively higher C sequestration potential (Figure 4) than the AWD condition. This is consistent with the existing literature where continuous saturated paddy soils have been reported to have greater OC storage and sequestration potential compared to the dryland crop fields [51]. Higher perseverance of OC in CWL paddy soils than in dry cropland had been often attributed to the aggregate stability (i.e., physical protection) [46] and/or chemical protection (i.e., interactions of OC with minerals (free oxyhydrates)) [52] or to chemical recalcitrance [36]. In this present study, the mass abundance and OC distribution of mineral-associated OM fraction (<53 µm) was relatively higher in the CWL condition than the AWD condition (Table 3 and Figure 3A). We know that in mineral-associated Oms, organic compounds are chemically bound to the mineral surfaces which make the OMs less decomposable by the microbes. The result of this study is also consistent with the chemical stabilization method, i.e., mineral–OC interactions. However, the mechanism underlying the long-term accumulation of OC in paddy fields has not been well documented yet [53]. Nevertheless, preferential accumulation of OC in continuous submerged paddy soils is explained by the slower decomposition of OM than well-drained or alternately drained soil [15].
A relatively higher abundance of mineral-associated OM (<53 µm fraction) from PM application suggested that the application of PM was more likely to enhance relatively higher OC accumulation in soil than the RS application. Although the lower C:N ratio of PM can cause a higher microbial decomposition of OM, the microbial processed organic substance can be accumulated and persistent in soil for the long term [54] through mineral–OC associations. This is in line with the higher C sequestration potential of PM applied soils than the RS application (Figure 4).
The higher rate of OM amendment use did not result in higher C sequestration percentage (Figure 4). This could again be because of an insufficient microbial population size or activities compared to the amount of applied OM amendment. That is why, with a high rate of amendments, the C proportion in the partially decomposed OM (labile fraction >53 µm) has increased and the opposite happened in mineral-associated OM fractions (<53 µm) (Table 3). However, it should be noted that this was a short-term study just to simulate OM decomposition in a single season of paddy cultivation. This time frame could also be a reason for these results since C stabilization is a slow process.

5. Conclusions

Organic C, total N contents and C:N ratios of soils under two different irrigation regimes were significantly influenced by the type and application rate of organic amendments. After 4 months of incubation of soils with different rates of organic amendments, there was an increase of OC in soils. Between two irrigation regimes, the CWL condition showed relatively higher soil OC than the AWD condition. The C sequestration percentage was also higher in the CWL condition than AWD soils. The presence of continuous moisture in the CWL condition increases the anaerobic state and decreases the microbial activity, which may result in the lowering of the OM decomposition and ultimately could decrease the CO2 emissions into the environment. After the fractionation of the soils, CWL soils had slightly higher OC than AWD in mineral-associated OM fraction (<53 µm), which was more prominent in the PM-applied soils. Between the two amendment types, the PM application resulted in more OC and total N than the RS application irrespective of irrigation regimes, and the 5 g PM kg−1 soil application added the highest OC to the soil. This was explained by the substrate nature (mainly C:N ratio) of the amendments and presumed proportion of microbial population: the OM amount.
Overall, the application of PM resulted in a substantial increase in soil OC content compared to RS application. The use of a higher amount of organic amendments did not increase OC content, and even reduced the C sequestration potential of soils. Between the two irrigation regimes, soils from the CWL condition stored higher amounts of OC than the AWL-irrigated soils. The outcomes of this study indicated the need to consider the role of the irrigation system and organic amendment management for higher C sequestration in paddy soil for the sake of sustainable agriculture.

Supplementary Materials

The following supporting information can be downloaded at: https://www.mdpi.com/article/10.3390/su141912369/s1. Figure S1. Graphical details of all experimental steps. Table S1. Effect of irrigation regime and organic amendment on soil organic carbon, total nitrogen, C:N ratio and carbon sequestration. Table S2. Interaction effect of irrigation regime and organic amendment on soil organic carbon, total nitrogen, C:N ratio and carbon sequestration. Table S3. Effect of organic amendment rate of a specific amendment type on soil organic carbon, total nitrogen, C:N ratio and carbon sequestration under particular irrigation regime. Table S4. Effect of irrigation regime on organic carbon, total nitrogen and C:N ratio of two soil fractions (<53 and >53 µm). Table S5. Effect of organic amendment type on organic carbon, total nitrogen and C:N ratio of soil fractions (<53 and >53 µm) irrespective to irrigation regimes.

Author Contributions

Conceptualization: S.Y.; Formal Analysis: S.Y., A., M.S.K. and A.K.M.M.I.; Investigation: S.Y., A. and M.S.K.; Resources: S.Y., A.K.M.M.I. and M.P.A.; Supervision, Project Administration and Funding Acquisition: S.Y.; Writing—Original Draft Preparation, S.Y., A. and M.S.K.; Writing—Review and Editing: M.P.A., A.K.M.M.I. and T.S.H.; Visualization: S.Y. and M.S.K. All authors have read and agreed to the published version of the manuscript.

Funding

This research was funded by the Bangladesh Agricultural University Research System (BAURES), grant number 2018/611/BAU.

Institutional Review Board Statement

Not applicable.

Informed Consent Statement

Not applicable.

Data Availability Statement

The authors confirm that the data supporting the findings of this study are available within the article and in the supplementary information. The data presented in this study are available on request from the corresponding author.

Acknowledgments

The corresponding author gratefully acknowledges the financial support of the Bangladesh Agricultural University Research System (BAURES) (Project No# 2018/611/BAU) for carrying out this research. The authors thank the editor and anonymous reviewers for their constructive comments and suggestions, which led to substantial improvements of this paper.

Conflicts of Interest

The authors declare that they have no conflict of interest. The funders had no role in the design of the study; in the collection, analyses, or interpretation of data; in the writing of the manuscript; or in the decision to publish the results.

References

  1. Eshel, G.; Fine, P.; Singer, M.J. Total soil carbon and water quality: An implication for carbon sequestration. Soil Sci. Soc. Am. J. 2007, 71, 397–405. [Google Scholar] [CrossRef]
  2. Kiem, R.; Kögel-Knabner, I. Refractory organic carbon in particle-size fractions of arable soils II: Organic carbon in relation to mineral surface area and iron oxides in fractions <6 μm. Org. Geochem. 2002, 33, 1699–1713. [Google Scholar] [CrossRef]
  3. Adesodun, J.K.; Odejimi, O.E. Carbon-nitrogen sequestration potentials and structural stability of a tropical Alfisol as influenced by pig-composted manure. Int. Agrophys. 2010, 24, 333–338. [Google Scholar]
  4. Lal, R.; Follett, R.F.; Kimble, J.M. Achieving soil carbon sequestration in the United States: A challenge to the policy makers. Soil Sci. 2003, 168, 827–845. [Google Scholar] [CrossRef]
  5. Xie, Z.; Zhu, J.; Liu, G.; Cadisch, G.; Hasegawa, T.; Chen, C.; Sun, H.; Tang, H.; Zeng, Q. Soil organic carbon stocks in China and changes from 1980s to 2000s. Glob. Chang. Biol. 2007, 13, 1989–2007. [Google Scholar] [CrossRef]
  6. Alam, K.; Biswas, W.; Bell, R.W. Life cycle assessment of global warming mitigation potential of novel and conventional rice production technologies in the Eastern—Gangetic plains. J. Clean Prod. 2016, 112, 3977–3987. [Google Scholar] [CrossRef]
  7. Luo, Z.; Wang, E.; Sun, O.J. Soil carbon change and its responses to agricultural practices in Australian agro-ecosystems: A review and synthesis. Geoderma 2010, 155, 211–223. [Google Scholar] [CrossRef]
  8. Chan, K.Y.; Heenan, D.P.; Oates, A. Soil carbon fractions and relationship to soil quality under different tillage and stubble management. Soil Tillage Res. 2002, 63, 133–139. [Google Scholar] [CrossRef]
  9. Du, Z.; Ren, T.; Hu, C. Tillage and residue removal effects on soil carbon and nitrogen storage in the North China Plain. Soil Sci. Soc. Am. J. 2010, 74, 196–202. [Google Scholar] [CrossRef]
  10. Hou, R.; Ouyang, Z.; Li, Y.; Tyler, D.D.; Li, F.; Wilson, G.V. Effects of tillage and residue management on soil organic carbon and total nitrogen in the North China Plain. Soil Sci. Soc. Am. J. 2012, 76, 230–240. [Google Scholar] [CrossRef]
  11. Maclean, J.L.; Dawe, D.C.; Hardy, B.; Hettel, G.P. Rice Almanac: Source Book for the Most Important Economic Activity on Earth, 3rd ed.; CABI Publishing: Wallingford, UK, 2002; p. 253. [Google Scholar] [CrossRef]
  12. Wu, J. Carbon accumulation in paddy ecosystems in subtropical China: Evidence from landscape studies. Eur. J. Soil Sci. 2011, 62, 29–34. [Google Scholar] [CrossRef]
  13. Ciais, P.; Sabine, C.; Bala, G.; Bopp, L.; Brovkin, V.; Canadell, J.; Chhabra, A.; DeFries, R.; Galloway, J.; Heimann, M.; et al. Carbon and Other Biogeochemical Cycles. In Climate Change 2013: The Physical Science Basis. Contribution of Working Group I to the Fifth Assessment Report of the Intergovernmental Panel on Climate Change; Cambridge University Press: Cambridge, UK; New York, NY, USA, 2013. [Google Scholar]
  14. Wassmann, R.; Papen, H.; Rennenberg, H. Methane emission from rice paddies and possible mitigation strategies. Chemosphere 1993, 26, 201–217. [Google Scholar] [CrossRef]
  15. Livsey, J.; Kätterer, T.; Vico, G.; Lyon, S.W.; Lindborg, R.; Scaini, A.; Da, C.T.; Manzoni, S. Do alternative irrigation strategies for rice cultivation decrease water footprints at the cost of long-term soil health? Environ. Res. Lett. 2019, 14, 074011. [Google Scholar] [CrossRef]
  16. Moyano, F.E.; Manzoni, S.; Chenu, C. Responses of soil heterotrophic respiration to moisture availability: An exploration of processes and models. Soil Biol. Biochem. 2013, 59, 72–85. [Google Scholar] [CrossRef]
  17. Bird, S.B.; Herrick, J.E.; Wander, M.M.; Wright, S.F. Spatial heterogeneity of aggregate stability and soil carbon in semi-arid rangeland. Environ. Pollut. 2002, 116, 445–455. [Google Scholar] [CrossRef]
  18. Balashov, E.; Kren, J.; Prochazkova, B. Influence of plant residue management on microbial properties and water-stable aggregates of two agricultural soils. Int. Agrophys. 2010, 24, 9–14. [Google Scholar]
  19. Ohu, J.O.; Mamman, E.; Mustapha, A.A. Impact of organic material incorporation with soil in relation to their shear strength and water properties. Int. Agrophys. 2009, 23, 155–162. [Google Scholar]
  20. Baldock, J.A. Composition and cycling of organic carbon in soil. In Nutrient Cycling in Terrestrial Ecosystems; Springer: Berlin/Heidelberg, Germany, 2007; pp. 1–35. [Google Scholar] [CrossRef]
  21. Kell, D.B. Breeding crop plants with deep roots: Their role in sustainable carbon, nutrient and water sequestration. Ann. Bot. 2011, 108, 407–418. [Google Scholar] [CrossRef] [PubMed]
  22. Bronick, C.J.; Lal, R. Manuring and rotation effects on soil organic carbon concentration for different aggregate size fractions on two soils in northeastern Ohio, USA. Soil Tillage Res. 2005, 81, 239–252. [Google Scholar] [CrossRef]
  23. Gross, A.; Glaser, B. Meta-analysis on how manure application changes soil organic carbon storage. Sci. Rep. 2021, 11, 5516. [Google Scholar] [CrossRef]
  24. Masmoudi, S.; Magdich, S.; Rigane, H.; Medhioub, K.; Rebai, A.; Ammar, E. Effects of compost and manure application rate on the soil physico-chemical layers properties and plant productivity. Waste Biomass Valori. 2020, 11, 1883–1894. [Google Scholar] [CrossRef]
  25. Wiesmeier, M.; Mayer, S.; Paul, C.; Helming, K.; Don, A.; Franko, U.; Steffens, M.; Kögel-Knabner, I. CO2 Certificates for Carbon Sequestration in Soils: Methods, Management Practices and Limitations; BonaRes Data Centre (Leibniz Centre for Agricultural Landscape Research (ZALF)): Rothamsted, UK, 2020. [Google Scholar] [CrossRef]
  26. Cambardella, C.A.; Elliott, E.T. Particulate soil organic-matter changes across a grassland cultivation sequence. Soil Sci. Soc. Am. J. 1992, 56, 777–783. [Google Scholar] [CrossRef]
  27. Jackson, M.L. Soil Chemical Analysis; Prentice Hall: Hoboken, NJ, USA, 1962; 498p. [Google Scholar]
  28. Page, A.L.; Miller, R.H.; Keeney, D.R. Methods of Soil Analysis (part 2). Chemical and Microbiological Properties. Am. Soc. Agron. Soil Sci. Soc. Am. 1982, 2, 643–698. [Google Scholar]
  29. Rowell, D.L. Soil Science: Methods and Applications; Prentice Hall: Harlow, UK, 1994. [Google Scholar]
  30. Bouyoucos, G.J. Hydrometer method improved for making particle size analyses of soils 1. Agron. J. 1962, 54, 464–465. [Google Scholar] [CrossRef]
  31. Nelson, D.W.; Sommers, L.E. Total carbon, organic carbon, and organic matter. In Methods of Soil Analysis Part 3—Chemical Methods 5.3; Soil Science Society of America, American Society of Agronomy: Madison, WI, USA, 1996; pp. 961–1010. [Google Scholar] [CrossRef]
  32. Piper, C.S. Soil and Plant Analysis; Adelaide Univ. Hassel Press: Melbourne, Australia, 1950; 368p. [Google Scholar]
  33. Walkley, A.; Black, I.A. An examination of the Degtjareff method for determining soil organic matter, and a proposed modification of the chromic acid titration method. Soil Sci. 1934, 37, 29–38. [Google Scholar] [CrossRef]
  34. Bremner, J.M. Total Nitrogen. In Methods of Soil Analysis: Part 2 Chemical and Microbiological Properties, 9.2; American Society of Agronomy: Madison, WI, USA, 1965; pp. 1149–1178. [Google Scholar]
  35. Mahmoodabadi, M.; Heydarpour, E. Sequestration of organic carbon influenced by the application of straw residue and farmyard manure in two different soils. Int. Agrophys. 2014, 28, 169–176. [Google Scholar] [CrossRef]
  36. Song, Z.; Yang, G.; Guo, Y.; Zhang, T. Comparison of two chemical pretreatments of rice straw for biogas production by anaerobic digestion. BioResources 2012, 7, 3223–3236. [Google Scholar]
  37. Fabrizio, A.; Tambone, F.; Genevini, P. Effect of compost application rate on carbon degradation and retention in soils. Waste Manag. 2009, 29, 174–179. [Google Scholar] [CrossRef] [PubMed]
  38. Nieto, O.M.; Castro, J.; Fernández, E.; Smith, P. Simulation of soil organic carbon stocks in a Mediterranean olive grove under different soil-management systems using the RothC model. Soil Use Manag. 2010, 26, 118–125. [Google Scholar] [CrossRef]
  39. Yeasmin, S.; Jahan, E.; Molla, M.; Islam, A.K.M.; Anwar, M.; Or Rashid, M.; Chungopast, S. Effect of land use on organic carbon storage potential of soils with contrasting native organic matter content. Int. J. Agron. 2020, 2020, 8042961. [Google Scholar] [CrossRef]
  40. Majumder, B.; Mandal, B.; Bandyopadhyay, P.K.; Gangopadhyay, A.; Mani, P.K.; Kundu, A.L.; Mazumdar, D. Organic amendments influence soil organic carbon pools and rice–wheat productivity. Soil Sci. Soc. Am. J. 2008, 72, 775–785. [Google Scholar] [CrossRef]
  41. Daramy, M.A.; Kawada, R.; Oba, S. What is the threshold carbonization temperature for sustainable preservation of the good nitrogen supply ability of chicken manure? Sustainability 2020, 12, 3306. [Google Scholar] [CrossRef]
  42. Merlin, N.; Nogueira, B.A.; Lima, V.A.D.; Santos, L.M.D. Application of fourier transform infrared spectroscopy, chemical and chemometrics analyses to the characterization of agro-industrial waste. Quím. Nova 2014, 37, 1584–1588. [Google Scholar] [CrossRef]
  43. Wu, L.; Wood, Y.; Jiang, P.; Li, L.; Pan, G.; Lu, J.; Chang, A.C.; Enloe, H.A. Carbon sequestration and dynamics of two irrigated agricultural soils in California. Soil Sci. Soc. Am. J. 2008, 72, 808–814. [Google Scholar] [CrossRef]
  44. Carney, K.M.; Matson, P.A. Plant communities, soil microorganisms, and soil carbon cycling: Does altering the world belowground matter to ecosystem functioning? Ecosystems 2005, 8, 928–940. [Google Scholar] [CrossRef]
  45. Freixo, A.A.; Machado, P.L.; Santos, H.P. Soil organic carbon and fractions of a Rhodic Ferralsol under the influence of tillage and crop rotation systems in southern Brazil. Soil Tillage Res. 2002, 64, 221–230. [Google Scholar] [CrossRef]
  46. Yang, C.; Yang, L.; Ouyang, Z. Organic carbon and its fractions in paddy soil as affected by different nutrient and water regimes. Geoderma 2005, 124, 133–142. [Google Scholar] [CrossRef]
  47. Ladha, J.K.; Reddy, C.K.; Padre, A.T.; van Kessel, C. Role of nitrogen fertilization in sustaining organic matter in cultivated soils. J. Environ. Qual. 2011, 40, 1756–1766. [Google Scholar] [CrossRef]
  48. Tan, X.; Shao, D.; Liu, H.; Yang, F.; Xiao, C.; Yang, H. Effects of alternate wetting and drying irrigation on percolation and nitrogen leaching in paddy fields. Paddy Water Environ. 2013, 11, 381–395. [Google Scholar] [CrossRef]
  49. Xiang, S.R.; Doyle, A.; Holden, P.A.; Schimel, J.P. Drying and rewetting effects on C and N mineralization and microbial activity in surface and subsurface California grassland soils. Soil Biol. Biochem. 2008, 40, 2281–2289. [Google Scholar] [CrossRef]
  50. Witt, C.; Cassman, K.G.; Olk, D.C.; Biker, U.; Liboon, S.P.; Samson, M.I.; Ottow, J.C.G. Crop rotation and residue management effects on carbon sequestration, nitrogen cycling and productivity of irrigated rice systems. Plant Soil 2000, 225, 263–278. [Google Scholar] [CrossRef]
  51. Pan, G.; Xu, X.; Smith, P.; Pan, W.; Lal, R. An increase in topsoil SOC stock of China’s croplands between 1985 and 2006 revealed by soil monitoring. Agric. Ecosyst. Environ. 2010, 136, 133–138. [Google Scholar] [CrossRef]
  52. Zhou, P.; Song, G.; Pan, G.; Li, L.; Zhang, X. Role of chemical protection by binding to oxyhydrates in SOC sequestration in three typical paddy soils under long-term agro-ecosystem experiments from South China. Geoderma 2009, 153, 52–60. [Google Scholar] [CrossRef]
  53. Huang, S.; Rui, W.; Peng, X.; Huang, Q.; Zhang, W. Organic carbon fractions affected by long-term fertilization in a subtropical paddy soil. Nutr. Cycl. Agro-Ecosyst. 2010, 86, 153–160. [Google Scholar] [CrossRef]
  54. Spielvogel, S.; Prietzel, J.; Kogel-Knabner, I. Soil organic matter stabilization in acidic forest soils is preferential and soil type-specific. Eur. J. Soil Sci. 2008, 59, 674–692. [Google Scholar] [CrossRef]
Figure 1. Soil sampling area map of Agronomy Field Laboratory, Bangladesh Agricultural University, Mymensingh, Bangladesh. Colored dots represent sampling points in the field.
Figure 1. Soil sampling area map of Agronomy Field Laboratory, Bangladesh Agricultural University, Mymensingh, Bangladesh. Colored dots represent sampling points in the field.
Sustainability 14 12369 g001
Figure 2. (A) Organic carbon, (B) total nitrogen contents and (C) C:N ratios of soils under two irrigation regimes (CWL = continuous waterlogged, AWD = alternate wetting and drying) affected by the type (PM = poultry manure and RS = rice straw) and application rate (control (0), 2.5, 5.0 and 15.0 g kg−1 soil) of organic amendments. Data showing here are the mean of the three replications after four months of incubation experiment and vertical bars represent the standard error of the replicates. Different uppercase letters on the clustered columns indicate significant differences between organic amendment type × irrigation regime and lowercase letters indicate significant differences between organic amendment rates for specific amendment under particular irrigation regime.
Figure 2. (A) Organic carbon, (B) total nitrogen contents and (C) C:N ratios of soils under two irrigation regimes (CWL = continuous waterlogged, AWD = alternate wetting and drying) affected by the type (PM = poultry manure and RS = rice straw) and application rate (control (0), 2.5, 5.0 and 15.0 g kg−1 soil) of organic amendments. Data showing here are the mean of the three replications after four months of incubation experiment and vertical bars represent the standard error of the replicates. Different uppercase letters on the clustered columns indicate significant differences between organic amendment type × irrigation regime and lowercase letters indicate significant differences between organic amendment rates for specific amendment under particular irrigation regime.
Sustainability 14 12369 g002
Figure 3. (A) Organic carbon, (B) total nitrogen content and (C) C:N ratios of two soil organic matter fractions (<53 and >53 µm) under two irrigation regimes (CWL = continuous waterlogged, AWD = alternate wetting and drying) affected by the type (PM = poultry manure and RS = rice straw) and application rate (control (0), 2.5, 5.0 and 15.0 g kg−1 soil) of organic amendments. Data showing here are the mean of two samples after four months of incubation experiment and vertical bars represent the standard error of the replications.
Figure 3. (A) Organic carbon, (B) total nitrogen content and (C) C:N ratios of two soil organic matter fractions (<53 and >53 µm) under two irrigation regimes (CWL = continuous waterlogged, AWD = alternate wetting and drying) affected by the type (PM = poultry manure and RS = rice straw) and application rate (control (0), 2.5, 5.0 and 15.0 g kg−1 soil) of organic amendments. Data showing here are the mean of two samples after four months of incubation experiment and vertical bars represent the standard error of the replications.
Sustainability 14 12369 g003
Figure 4. Carbon sequestration percentage of the bulk soils under two irrigation regimes (CWL = continuous waterlogged, AWD = alternate wetting and drying) affected by the type (PM = poultry manure, RS = rice straw) and application rate (control (0), 2.5, 5.0 and 15.0 g kg−1 soil) of organic matters. Data showing here are the mean value of three replications. Carbon sequestration potential (%) = (Initial C in soil—Final C in soil after incubation)/initial C × 100. Vertical bars represent the standard error of the replications (n = 3). Different uppercase letters on the clustered columns indicate significant differences between organic amendment type × irrigation regime and lowercase letters indicate significant differences between organic amendment rates for specific amendment under particular irrigation regime.
Figure 4. Carbon sequestration percentage of the bulk soils under two irrigation regimes (CWL = continuous waterlogged, AWD = alternate wetting and drying) affected by the type (PM = poultry manure, RS = rice straw) and application rate (control (0), 2.5, 5.0 and 15.0 g kg−1 soil) of organic matters. Data showing here are the mean value of three replications. Carbon sequestration potential (%) = (Initial C in soil—Final C in soil after incubation)/initial C × 100. Vertical bars represent the standard error of the replications (n = 3). Different uppercase letters on the clustered columns indicate significant differences between organic amendment type × irrigation regime and lowercase letters indicate significant differences between organic amendment rates for specific amendment under particular irrigation regime.
Sustainability 14 12369 g004
Table 1. General properties (mean ± standard error) of the soils studied in this experiment.
Table 1. General properties (mean ± standard error) of the soils studied in this experiment.
pHEC (dS m−1)OCTotal NC:N ratioParticle Sizes (%)Texture
(1:5 H2O)(%)SandSiltClay
7.3 ± 0.010.0475 ± 0.000.831 ± 0.000.078 ± 0.0010.7 ± 0.0337 ± 0.5055 ± 0.509 ± 0.00Silty loam
Note. EC = electrical conductivity, OC = organic carbon, N = nitrogen.
Table 2. General properties (mean ± standard error) of the organic amendments used in this experiment.
Table 2. General properties (mean ± standard error) of the organic amendments used in this experiment.
Organic Amendment TypepHEC
(dS m−1)
OCTotal NC: N Ratio
(1:5 H2O)(%)
Poultry manure6.6 ± 0.06 a2.19 ± 0.07 a43.52 ± 0.09 b3.52 ± 0.01 a12.4 ± 0.05 b
Rice straw5.8 ± 0.04 b0.251 ± 0.00 b49.77 ± 0.35 a0.84 ± 0.0 b59.4 ± 0.24 a
Note. EC = electrical conductivity, OC = organic carbon, N = nitrogen. In column, means followed by different letters are significantly different.
Table 3. Proportion (% of the initial) of mass, organic carbon (OC), total nitrogen (N) in physical fractions (<53 and >53 µm).
Table 3. Proportion (% of the initial) of mass, organic carbon (OC), total nitrogen (N) in physical fractions (<53 and >53 µm).
Irrigation
Regime
Organic Amendments Type and Application Rate
(g kg−1 Soil)
MassOCNRecovery (%)
% of the Initial
<53 µm>53 µm<53 µm>53 µm<53 µm>53 µm
CWLControl38 ± 2.5240 ± 2.1752 ± 3.1139 ± 1.0943 ± 3.4740 ± 0.9078 ± 0.49
PM2.532 ± 0.2458 ± 0.8250 ± 1.1550 ± 0.0147 ± 2.6372 ± 1.9190 ± 0.58
PM5.037 ± 0.7362 ± 0.5933 ± 1.2663 ± 0.9641 ± 1.8654 ± 0.5699 ± 1.32
PM15.026 ± 0.5969 ± 0.5929 ± 1.0762 ± 0.3818 ± 2.0846 ± 0.8196 ± 0.00
RS2.531 ± 0.2652 ± 0.4746 ± 0.1153 ± 0.2944 ± 2.3155 ± 1.3683 ± 0.20
RS5.022 ± 0.3762 ± 0.2430 ± 0.2570 ± 0.9529 ± 1.2752 ± 0.0684 ± 0.13
RS15.021 ± 0.3574 ± 1.2024 ± 0.1373 ± 0.5326 ± 1.5652 ± 1.2395 ± 0.85
AWDControl41 ± 0.7754 ± 1.5236 ± 0.2745 ± 0.4130 ± 0.5841 ± 0.6796 ± 1.75
PM2.541 ± 0.0658 ± 0.6545 ± 0.3251 ± 0.5342 ± 0.6949 ± 1.2999 ± 0.68
PM5.039 ± 0.0855 ± 0.0534 ± 0.6852 ± 0.8535 ± 1.2351 ± 0.0095 ± 0.14
PM15.038 ± 0.2048 ± 0.1533 ± 0.0251 ± 0.1122 ± 0.1850 ± 0.2286 ± 0.05
RS2.536 ± 0.1663 ± 0.0836 ± 0.1959 ± 0.1737 ± 0.3461 ± 1.0199 ± 0.25
RS5.036 ± 0.7062 ± 0.4733 ± 0.1360 ± 0.3533 ± 1.2868 ± 0.3698 ± 0.23
RS15.035 ± 0.7965 ± 1.1418 ± 1.6166 ± 0.3820 ± 0.1578 ± 1.8099 ± 0.35
Note. CWL = continuous waterlogged condition, AWD = alternate wetting and drying, PM = poultry manure, and RS = rice straw; rate of organic amendment = control (0), 2.5, 5.0 and 15.0 g kg−1 soil. Data presented here are the mean value ± standard error of the replicates. Here, proportion of mass (% of the initial) = (weight of fraction/initial bulk soil weight) × 100; proportion of OC (or N) = (OC or N) in the fraction/bulk soil OC or N) × 100; recovery % = (total weight of two fractions/initial bulk soil weight taken for fractionation) × 100.
Publisher’s Note: MDPI stays neutral with regard to jurisdictional claims in published maps and institutional affiliations.

Share and Cite

MDPI and ACS Style

Yeasmin, S.; Assaduzzaman; Kabir, M.S.; Anwar, M.P.; Islam, A.K.M.M.; Hoque, T.S. Influence of Organic Amendments on Soil Carbon Sequestration Potential of Paddy Soils under Two Irrigation Regimes. Sustainability 2022, 14, 12369. https://doi.org/10.3390/su141912369

AMA Style

Yeasmin S, Assaduzzaman, Kabir MS, Anwar MP, Islam AKMM, Hoque TS. Influence of Organic Amendments on Soil Carbon Sequestration Potential of Paddy Soils under Two Irrigation Regimes. Sustainability. 2022; 14(19):12369. https://doi.org/10.3390/su141912369

Chicago/Turabian Style

Yeasmin, Sabina, Assaduzzaman, Md. Shirajul Kabir, Md. Parvez Anwar, A. K. M. Mominul Islam, and Tahsina Sharmin Hoque. 2022. "Influence of Organic Amendments on Soil Carbon Sequestration Potential of Paddy Soils under Two Irrigation Regimes" Sustainability 14, no. 19: 12369. https://doi.org/10.3390/su141912369

APA Style

Yeasmin, S., Assaduzzaman, Kabir, M. S., Anwar, M. P., Islam, A. K. M. M., & Hoque, T. S. (2022). Influence of Organic Amendments on Soil Carbon Sequestration Potential of Paddy Soils under Two Irrigation Regimes. Sustainability, 14(19), 12369. https://doi.org/10.3390/su141912369

Note that from the first issue of 2016, this journal uses article numbers instead of page numbers. See further details here.

Article Metrics

Back to TopTop