Efficient Degradation of 4-Acetamidoantipyrin Using a Thermally Activated Persulfate System
Abstract
1. Introduction
2. Material and Methods
2.1. Chemicals
2.2. Experimental Procedures
2.3. Analytical Methods
2.4. Response Surface Methodology Analysis
3. Results and Discussion
3.1. Degradation of 4-AAA Using Thermally Activated PDS with Changes of Single Reaction Conditions
3.2. Optimization of 4-AAA Degradation Conditions in Thermally Activated PDS System
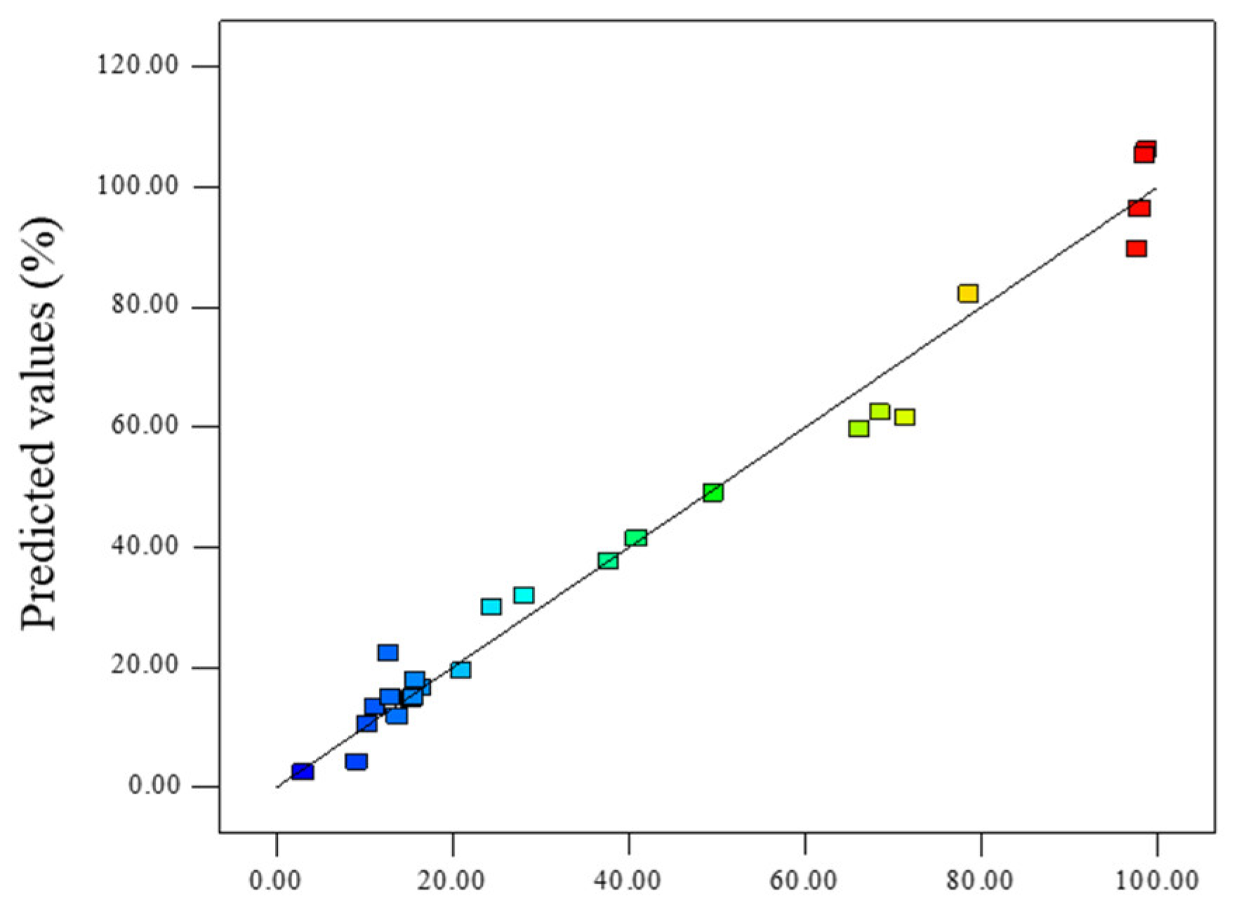
3.2.1. Predicting the Optimal 4-AAA Degradation Conditions with Response Surface Methodology
3.2.2. Analyzing the Interaction of Reaction Conditions for 4-AAA Degradation Using Response Surface Methodology
3.3. Exploration of Reaction Mechanism of 4-AAA in Thermally Activated PDS Systems
3.3.1. Identifying the Major Reactive Species for 4-AAA Degradation
3.3.2. Identifying the Degradation Intermediates of 4-AAA Using Thermally Activated PDS
3.4. Effects of Water Constitutions on Degradation of 4-AAA Using Thermally Activated PDS
4. Conclusions
Supplementary Materials
Author Contributions
Funding
Institutional Review Board Statement
Informed Consent Statement
Data Availability Statement
Conflicts of Interest
References
- Yang, Y.; Ok, Y.S.; Kim, K.-H.; Kwon, E.E.; Tsang, Y.F. Occurrences and removal of pharmaceuticals and personal care products (PPCPs) in drinking water and water/sewage treatment plants: A review. Sci. Total Environ. 2017, 596, 303–320. [Google Scholar] [CrossRef]
- Archer, E.; Petrie, B.; Kasprzyk-Hordern, B.; Wolfaardt, G.M. The fate of pharmaceuticals and personal care products (PPCPs), endocrine disrupting contaminants (EDCs), metabolites and illicit drugs in a WWTW and environmental waters. Chemosphere 2017, 174, 437–446. [Google Scholar] [CrossRef] [PubMed]
- Gomez, M.J.; Sirtori, C.; Mezcua, M.; Fernandez-Alba, A.R.; Aguera, A. Photodegradation study of three dipyrone metabolites in various water systems: Identification and toxicity of their photodegradation products. Water Res. 2008, 42, 2698–2706. [Google Scholar] [CrossRef] [PubMed]
- Gómez, M.J.; Gómez-Ramos, M.M.; Malato, O.; Mezcua, M.; Férnandez-Alba, A.R. Rapid automated screening, identification and quantification of organic micro-contaminants and their main transformation products in wastewater and river waters using liquid chromatography–quadrupole-time-of-flight mass spectrometry with an accurate-mass database. J. Chromatogr. A 2010, 1217, 7038–7054. [Google Scholar] [CrossRef] [PubMed]
- Heeb, F.; Singer, H.; Pernet-Coudrier, B.; Qi, W.; Liu, H.; Longree, P.; Muller, B.; Berg, M. Organic micropollutants in rivers downstream of the megacity Beijing: Sources and mass fluxes in a large-scale wastewater irrigation system. Environ. Sci. Technol. 2012, 46, 8680–8688. [Google Scholar] [CrossRef]
- Wiegel, S.; Aulinger, A.; Brockmeyer, R.; Harms, H.; Loffler, J.; Reincke, H.; Schmidt, R.; Stachel, B.; von Tumpling, W.; Wanke, A. Pharmaceuticals in the river Elbe and its tributaries. Chemosphere 2004, 57, 107–126. [Google Scholar] [CrossRef]
- Evgenidou, E.N.; Konstantinou, I.K.; Lambropoulou, D.A. Occurrence and removal of transformation products of PPCPs and illicit drugs in wastewaters: A review. Sci. Total Environ. 2015, 505, 905–926. [Google Scholar] [CrossRef]
- Wielens Becker, R.; Ibanez, M.; Cuervo Lumbaque, E.; Wilde, M.L.; Flores da Rosa, T.; Hernandez, F.; Sirtori, C. Investigation of pharmaceuticals and their metabolites in Brazilian hospital wastewater by LC-QTOF MS screening combined with a preliminary exposure and in silico risk assessment. Sci. Total Environ. 2020, 699, 134218. [Google Scholar] [CrossRef]
- Bai, X.; Liang, W.; Sun, J.; Zhao, C.; Wang, P.; Zhang, Y. Enhanced production of microalgae-originated photosensitizer by integrating photosynthetic electrons extraction and antibiotic induction towards photocatalytic degradation of antibiotic: A novel complementary treatment process for antibiotic removal from effluent of conventional biological wastewater treatment. J. Environ. Manag. 2022, 308, 114527. [Google Scholar] [CrossRef]
- Kamaruddin, M.A.; Ibrahim, M.H.; Thung, L.M.; Emmanuel, M.I.; Niza, N.M.; Shadi, A.M.H.; Norashiddin, F.A. Sustainable synthesis of pectinolytic enzymes from citrus and Musa acuminata peels for biochemical oxygen demand and grease removal by batch protocol. Appl. Water Sci. 2019, 9, 68. [Google Scholar] [CrossRef]
- Asghar, M.A.; Zhu, Q.; Sun, S.; Peng, Y.; Shuai, Q. Suspect screening and target quantification of human pharmaceutical residues in the surface water of Wuhan, China, using UHPLC-Q-Orbitrap HRMS. Sci. Total Environ. 2018, 635, 828–837. [Google Scholar] [CrossRef]
- Favier, M.; Dewil, R.; Van Eyck, K.; Van Schepdael, A.; Cabooter, D. High-resolution MS and MS(n) investigation of ozone oxidation products from phenazone-type pharmaceuticals and metabolites. Chemosphere 2015, 136, 32–41. [Google Scholar] [CrossRef]
- Sieira, B.J.; Quintana, J.B.; Cela, R.; Rodil, R. Reaction of phenazone-type drugs and metabolites with chlorine and monochloramine. Sci. Total Environ. 2021, 757, 143770. [Google Scholar] [CrossRef]
- Rastogi, A.; Al-Abed, S.R.; Dionysiou, D.D. Sulfate radical-based ferrous–peroxymonosulfate oxidative system for PCBs degradation in aqueous and sediment systems. Appl. Catal. B Environ. 2009, 85, 171–179. [Google Scholar] [CrossRef]
- Giannakis, S.; Lin, K.-Y.A.; Ghanbari, F. A review of the recent advances on the treatment of industrial wastewaters by Sulfate Radical-based Advanced Oxidation Processes (SR-AOPs). Chem. Eng. J. 2021, 406, 127083. [Google Scholar] [CrossRef]
- Kim, M.S.; Lee, K.-M.; Kim, H.-E.; Lee, H.-J.; Lee, C.; Lee, C. Disintegration of Waste Activated Sludge by Thermally-Activated Persulfates for Enhanced Dewaterability. Environ. Sci. Technol. 2016, 50, 7106–7115. [Google Scholar] [CrossRef]
- Anipsitakis, G.P.; Dionysiou, D.D. Transition metal/UV-based advanced oxidation technologies for water decontamination. Appl. Catal. B-Environ. 2004, 54, 155–163. [Google Scholar] [CrossRef]
- Wang, J.; Wang, S. Activation of persulfate (PS) and peroxymonosulfate (PMS) and application for the degradation of emerging contaminants. Chem. Eng. J. 2018, 334, 1502–1517. [Google Scholar] [CrossRef]
- Yang, Y.; Jiang, J.; Lu, X.; Ma, J.; Liu, Y. Production of Sulfate Radical and Hydroxyl Radical by Reaction of Ozone with Peroxymonosulfate: A Novel Advanced Oxidation Process. Environ. Sci. Technol. 2015, 49, 7330–7339. [Google Scholar] [CrossRef]
- Wei, Z.; Villamena, F.A.; Weavers, L.K. Kinetics and Mechanism of Ultrasonic Activation of Persulfate: An in Situ EPR Spin Trapping Study. Environ. Sci. Technol. 2017, 51, 3410–3417. [Google Scholar] [CrossRef]
- Shakeri, E.; Mousazadeh, M.; Ahmadpari, H.; Kabdasli, I.; Jamali, H.A.; Graça, N.S.; Emamjomeh, M.M. Electrocoagulation-flotation treatment followed by sedimentation of carpet cleaning wastewater: Optimization of key operating parameters via RSM-CCD. Desalination Water Treat. 2021, 227, 163–176. [Google Scholar] [CrossRef]
- Li, J.; Zou, J.; Zhang, S.; Cai, H.; Huang, Y.; Lin, J.; Li, Q.; Yuan, B.; Ma, J. Sodium tetraborate simultaneously enhances the degradation of acetaminophen and reduces the formation potential of chlorinated by-products with heat-activated peroxymonosulfate oxidation. Water Res. 2022, 224, 119095. [Google Scholar] [CrossRef] [PubMed]
- Cai, H.; Zou, J.; Lin, J.; Li, Q.; Li, J.; Huang, Y.; Yang, H.; Yuan, B.; Ma, J. Elimination of acetaminophen in sodium carbonate-enhanced thermal/peroxymonosulfate process: Performances, influencing factors and mechanism. Chem. Eng. J. 2022, 449, 137765. [Google Scholar] [CrossRef]
- Cai, H.; Zou, J.; Lin, J.; Li, J.; Huang, Y.; Zhang, S.; Yuan, B.; Ma, J. Sodium hydroxide-enhanced acetaminophen elimination in heat/peroxymonosulfate system: Production of singlet oxygen and hydroxyl radical. Chem. Eng. J. 2022, 429, 132438. [Google Scholar] [CrossRef]
- Guo, Y.; Liang, H.; Bai, L.; Huang, K.; Xie, B.; Xu, D.; Wang, J.; Li, G.; Tang, X. Application of heat-activated peroxydisulfate pre-oxidation for degrading contaminants and mitigating ultrafiltration membrane fouling in the natural surface water treatment. Water Res. 2020, 179, 115905. [Google Scholar] [CrossRef]
- Li, J.; Liu, Q.; Ji, Q.Q.; Lai, B. Degradation of p-nitrophenol (PNP) in aqueous solution by Fe-0-PM-PS system through response surface methodology (RSM). Appl. Catal. B-Environ. 2017, 200, 633–646. [Google Scholar] [CrossRef]
- Naghdali, Z.; Sahebi, S.; Mousazadeh, M.; Jamali, H.A. Optimization of the Forward Osmosis Process Using Aquaporin Membranes in Chromium Removal. Chem. Eng. Technol. 2019, 43, 298–306. [Google Scholar] [CrossRef]
- Umamaheswari, J.; Bharathkumar, T.; Shanthakumar, S.; Gothandam, K.M. A feasibility study on optimization of combined advanced oxidation processes for municipal solid waste leachate treatment. Process Saf. Environ. Prot. 2020, 143, 212–221. [Google Scholar] [CrossRef]
- Furman, O.S.; Teel, A.L.; Watts, R.J. Mechanism of Base Activation of Persulfate. Environ. Sci. Technol. 2010, 44, 6423–6428. [Google Scholar] [CrossRef]
- Anipsitakis, G.P.; Dionysiou, D.D. Radical generation by the interaction of transition metals with common oxidants. Environ. Sci. Technol. 2004, 38, 3705–3712. [Google Scholar] [CrossRef]
- Luo, C.; Gao, J.; Wu, D.; Jiang, J.; Liu, Y.; Zhou, W.; Ma, J. Oxidation of 2,4-bromophenol by UV/PDS and formation of bromate and brominated products: A comparison to UV/H2O2. Chem. Eng. J. 2019, 358, 1342–1350. [Google Scholar] [CrossRef]
- Tsitonaki, A.; Petri, B.; Crimi, M.; Mosbaek, H.; Siegrist, R.L.; Bjerg, P.L. In Situ Chemical Oxidation of Contaminated Soil and Groundwater Using Persulfate: A Review. Crit. Rev. Environ. Sci. Technol. 2010, 40, 55–91. [Google Scholar] [CrossRef]
- Ghauch, A.; Tuqan, A.M. Oxidation of bisoprolol in heated persulfate/H2O systems: Kinetics and products. Chem. Eng. J. 2012, 183, 162–171. [Google Scholar] [CrossRef]
- Fan, Y.; Ji, Y.; Kong, D.; Lu, J.; Zhou, Q. Kinetic and mechanistic investigations of the degradation of sulfamethazine in heat-activated persulfate oxidation process. J. Hazard. Mater. 2015, 300, 39–47. [Google Scholar] [CrossRef]
- Hu, C.-Y.; Hou, Y.-Z.; Lin, Y.-L.; Deng, Y.-G.; Hua, S.-J.; Du, Y.-F.; Chen, C.-W.; Wu, C.-H. Investigation of iohexol degradation kinetics by using heat-activated persulfate. Chem. Eng. J. 2020, 379, 122403. [Google Scholar] [CrossRef]
- Oh, S.-Y.; Kim, H.-W.; Park, J.-M.; Park, H.-S.; Yoon, C. Oxidation of polyvinyl alcohol by persulfate activated with heat, Fe2+, and zero-valent iron. J. Hazard. Mater. 2009, 168, 346–351. [Google Scholar] [CrossRef]
- Yang, S.; Wang, P.; Yang, X.; Shan, L.; Zhang, W.; Shao, X.; Niu, R. Degradation efficiencies of azo dye Acid Orange 7 by the interaction of heat, UV and anions with common oxidants: Persulfate, peroxymonosulfate and hydrogen peroxide. J. Hazard. Mater. 2010, 179, 552–558. [Google Scholar] [CrossRef]
- Yazici Guvenc, S. Optimization of COD removal from leachate nanofiltration concentrate using H2O2/Fe+2/heat—Activated persulfate oxidation processes. Process Saf. Environ. Prot. 2019, 126, 7–17. [Google Scholar] [CrossRef]
- Neta, P.; Madhavan, V.; Zemel, H.; Fessenden, R.W. Rate Constants and Mechanism of Reaction of SO4.- with Aromatic Compounds. J. Am. Chem. Soc. 1977, 126, 7–17. [Google Scholar]
- Buxton, G.V.; Greenstock, C.L.; Helman, W.P.; Ross, A.B. Critical Review of rate constants for reactions of hydrated electrons, hydrogen atoms and hydroxyl radicals (-OH/O- in Aqueous Solution. J. Phys. Chem. Ref. Data 1988, 17, 513–886. [Google Scholar] [CrossRef]
- Neta, P.; Huie, R.E.; Ross, A.B. Rate Constants for Reactions of Inorganic Radicals in Aqueous-Solution. J. Phys. Chem. Ref. Data 1988, 17, 1027–1284. [Google Scholar] [CrossRef]
- Sun, Z.; Wang, X.; Liu, C.; Fang, G.; Chu, L.; Gu, C.; Gao, J. Persistent Free Radicals from Low-Molecular-Weight Organic Compounds Enhance Cross-Coupling Reactions and Toxicity of Anthracene on Amorphous Silica Surfaces under Light. Environ. Sci. Technol. 2021, 55, 3716–3726. [Google Scholar] [CrossRef] [PubMed]
- Nagarajan, V.; Fessenden, R.W. Flash photolysis of transient radicals. 1. X2- with X = Cl, Br, I, and SCN. J. Phys. Chem. 1985, 89, 2330–2335. [Google Scholar] [CrossRef]
- McElroy, W.J. A laser photolysis study of the reaction of sulfate(1-) with chloride and the subsequent decay of chlorine(1-) in aqueous solution. J. Phys. Chem. 1990, 94, 2435–2441. [Google Scholar] [CrossRef]
- Fang, J.; Fu, Y.; Shang, C. The roles of reactive species in micropollutant degradation in the UV/free chlorine system. Environ. Sci. Technol. 2014, 48, 1859–1868. [Google Scholar] [CrossRef]
- Yang, Y.; Lu, X.; Jiang, J.; Ma, J.; Liu, G.; Cao, Y.; Liu, W.; Li, J.; Pang, S.; Kong, X.; et al. Degradation of sulfamethoxazole by UV, UV/H2O2 and UV/persulfate (PDS): Formation of oxidation products and effect of bicarbonate. Water Res. 2017, 118, 196–207. [Google Scholar] [CrossRef]
- Lei, X.; Lei, Y.; Guan, J.; Westerhoff, P.; Yang, X. Kinetics and Transformations of Diverse Dissolved Organic Matter Fractions with Sulfate Radicals. Environ. Sci. Technol. 2022, 56, 4457–4466. [Google Scholar] [CrossRef]
- Vasiliadou, I.A.; Sanchez-Vazquez, R.; Molina, R.; Martinez, F.; Melero, J.A.; Bautista, L.F.; Iglesias, J.; Morales, G. Biological removal of pharmaceutical compounds using white-rot fungi with concomitant FAME production of the residual biomass. J. Environ. Manag. 2016, 180, 228–237. [Google Scholar] [CrossRef]






| Variables | Code | Coded Levels | ||||
|---|---|---|---|---|---|---|
| −2 | −1 | 0 | 1 | 2 | ||
| Temperature (°C) | A | 40 | 50 | 60 | 70 | 80 |
| pH | B | 3 | 5 | 7 | 9 | 11 |
| [4-AAA]0:[PDS]0 | C | 1:20 | 1:30 | 1:40 | 1:50 | 1:60 |
| Number | Temperature (°C) | pH | [4-AAA]0:[PDS]0 | Removal Rate of 4-AAA (%) |
|---|---|---|---|---|
| 1 | 40 | 3 | 1:20 | 9.12 |
| 2 | 70 | 11 | 1:40 | 66.28 |
| 3 | 50 | 11 | 1:30 | 13.72 |
| 4 | 70 | 7 | 1:50 | 71.39 |
| 5 | 70 | 3 | 1:60 | 68.51 |
| 6 | 40 | 11 | 1:50 | 15.76 |
| 7 | 50 | 5 | 1:20 | 3.07 |
| 8 | 40 | 5 | 1:40 | 11.26 |
| 9 | 50 | 7 | 1:40 | 15.43 |
| 10 | 50 | 9 | 1:60 | 21.05 |
| 11 | 60 | 11 | 1:60 | 37.70 |
| 12 | 80 | 5 | 1:60 | 98.87 |
| 13 | 60 | 5 | 1:50 | 28.21 |
| 14 | 60 | 7 | 1:20 | 12.94 |
| 15 | 60 | 3 | 1:30 | 12.70 |
| 16 | 40 | 9 | 1:30 | 10.26 |
| 17 | 80 | 11 | 1:20 | 78.60 |
| 18 | 80 | 7 | 1:30 | 97.60 |
| 19 | 60 | 9 | 1:40 | 24.52 |
| 20 | 40 | 7 | 1:60 | 15.51 |
| 21 | 70 | 5 | 1:30 | 49.59 |
| 22 | 80 | 3 | 1:40 | 98.02 |
| 23 | 80 | 9 | 1:50 | 98.56 |
| 24 | 50 | 3 | 1:50 | 16.43 |
| 25 | 70 | 9 | 1:20 | 40.89 |
| Source | Sum of Squares | df | Mean Square | F Value | p Value Prob > F | |
|---|---|---|---|---|---|---|
| Y—removal of 4-AAA | 26,387.49 | 9 | 2931.94 | 81.61 | <0.0001 | highly significant |
| A—temperature | 19,217.62 | 1 | 19,217.62 | 534.92 | <0.0001 | highly significant |
| B—initial pH | 35.16 | 1 | 35.16 | 0.98 | 0.3382 | |
| C—PDS concentrations | 1035.57 | 1 | 1035.57 | 28.82 | <0.0001 | highly significant |
| AB | 1.59 | 1 | 1.59 | 0.044 | 0.8361 | |
| AC | 91.55 | 1 | 91.55 | 2.55 | 0.1313 | |
| BC | 2.24 | 1 | 2.24 | 0.062 | 0.8062 | |
| A2 | 3134.93 | 1 | 3134.93 | 87.26 | <0.0001 | highly significant |
| B2 | 3.86 | 1 | 3.86 | 0.11 | 0.7477 | |
| C2 | 77.03 | 1 | 77.03 | 2.14 | 0.1638 | |
| Residue | 538.89 | 15 | 35.93 | |||
| Cor Total | 26,926.38 | 24 |
| Temperature (°C) | [4-AAA]0:[PDS]0 | pH | Degradation Efficiency of 4-AAA (%) | |
|---|---|---|---|---|
| Predicted Value | Experimental Value | |||
| 79.24 | 1:56 | 3.73 | 100.718 | 98.38 |
| 79.53 | 1:47 | 7.34 | 100.418 | 98.48 |
| 79.11 | 1:58 | 11.00 | 106.152 | 94.34 |
| No. | Retention Time (min) | Structural Formula | Formula | Exact Mass (M) | [M + 1]+ |
|---|---|---|---|---|---|
| P-235 | 5.951 | ![]() | C12H14N2O3 | 234.10044 | 235 |
| P-165 | 4.797 | ![]() | C9H12N2O | 164.09000 | 165 |
| P-262 | 5.067 | ![]() | C13H15N3O3 | 261.11134 | 262 |
| System | Reaction Conditions | Reaction Rate Constant | References |
|---|---|---|---|
| 4-AAA/solar UV | [4-AAA]0 = 10 mg L−1, freshwater, 250 W m−2 | k = 0.025 h−1 | [3] |
| 4-AAA/O3 | [4-AAA]0 = 2.4 µM, pH 7 with phosphate buffer (50 mM), [4-AAA]0:[O3]0 = 2:1, 1:1, 1:2, 1:4, 1:8 | kO34-AAA = 7 × 104 M−1 s−1 | [12] |
| 4-AAA/white-rot fungal biomass | [4-AAA]0 = 50 mg L−1, [fungal sludge]0 = 250 mg L−1, 209 °C | 40% removal in 7 days. | [48] |
| 4-AAA/Cl2 | [4-AAA]0 = 1 µg mL−1, [Cl2]0 = 10 µg mL−1, pH = 5.7, 7, 8.3 | kCl24-AAA = 195 M−1 s−1 (pH 5.7) | [13] |
Publisher’s Note: MDPI stays neutral with regard to jurisdictional claims in published maps and institutional affiliations. |
© 2022 by the authors. Licensee MDPI, Basel, Switzerland. This article is an open access article distributed under the terms and conditions of the Creative Commons Attribution (CC BY) license (https://creativecommons.org/licenses/by/4.0/).
Share and Cite
Wang, Q.; Li, S.; Wang, X.; Li, Z.; Zhan, Y.; Chen, C. Efficient Degradation of 4-Acetamidoantipyrin Using a Thermally Activated Persulfate System. Sustainability 2022, 14, 14300. https://doi.org/10.3390/su142114300
Wang Q, Li S, Wang X, Li Z, Zhan Y, Chen C. Efficient Degradation of 4-Acetamidoantipyrin Using a Thermally Activated Persulfate System. Sustainability. 2022; 14(21):14300. https://doi.org/10.3390/su142114300
Chicago/Turabian StyleWang, Qinghong, Siyu Li, Xin Wang, Zhuoyu Li, Yali Zhan, and Chunmao Chen. 2022. "Efficient Degradation of 4-Acetamidoantipyrin Using a Thermally Activated Persulfate System" Sustainability 14, no. 21: 14300. https://doi.org/10.3390/su142114300
APA StyleWang, Q., Li, S., Wang, X., Li, Z., Zhan, Y., & Chen, C. (2022). Efficient Degradation of 4-Acetamidoantipyrin Using a Thermally Activated Persulfate System. Sustainability, 14(21), 14300. https://doi.org/10.3390/su142114300



