Study on Cyclic Bearing Capacity of Suction Pile Based on Equivalent Cyclic Creep Model
Abstract
1. Introduction
2. Cyclic Triaxial Tests of Soft Clay
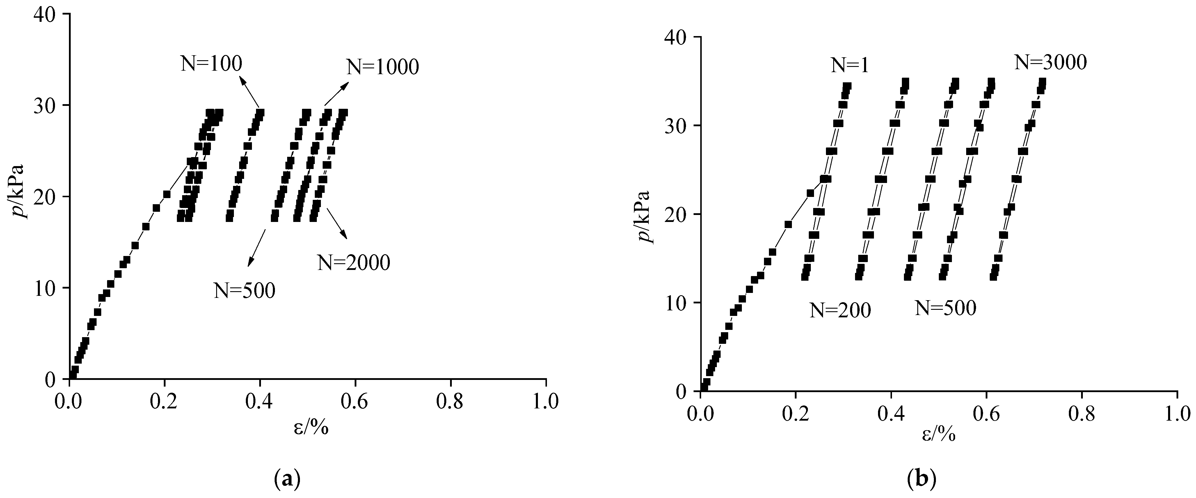
2.1. Strain Softening Results
2.2. Strain Hardening Results
3. Strain Softening and Hardening Index
3.1. Strain Softening Index
3.2. Strain Hardening Index
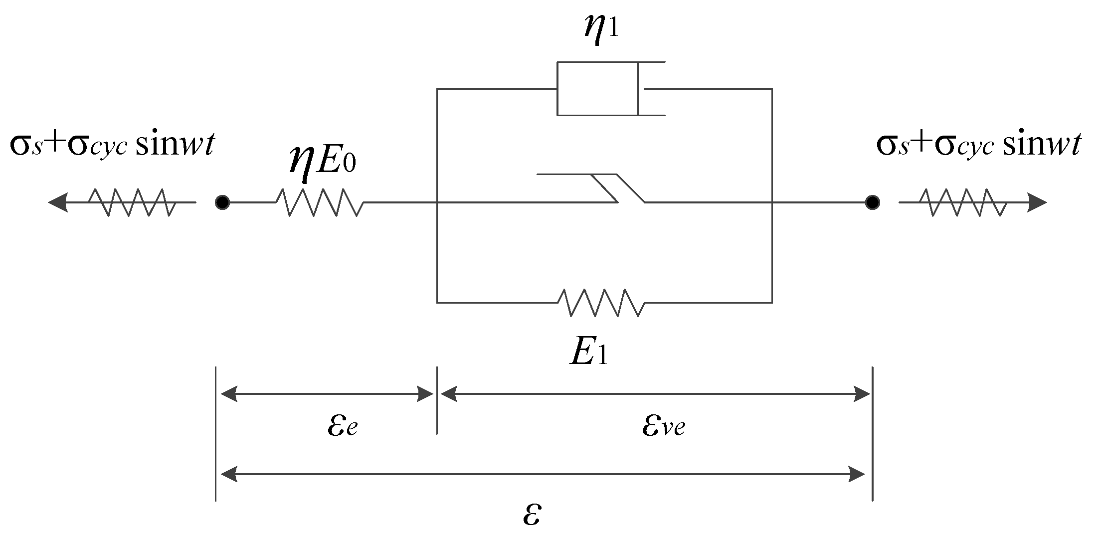
4. Equivalent Cyclic Creep Model
5. Conclusions
- (1)
- In the process of cyclic loading, the strain development not only exhibits the strain softening phenomenon, but also the strain hardening phenomenon, depending on the different values of static deflection stress. Therefore, a strain softening index and strain hardening index were proposed to describe the cyclic characteristics of soil.
- (2)
- An equivalent cyclic creep model was established in consideration of the strain hardening index to describe the cyclic cumulative deformation and strain hardening characteristics of soil. Simultaneously, the results obtained using the proposed method were in reasonably good agreement with the measured results. Therefore, the equivalent cyclic creep model can be used to analyze the strain accumulation and strain hardening process of soft clay.
- (3)
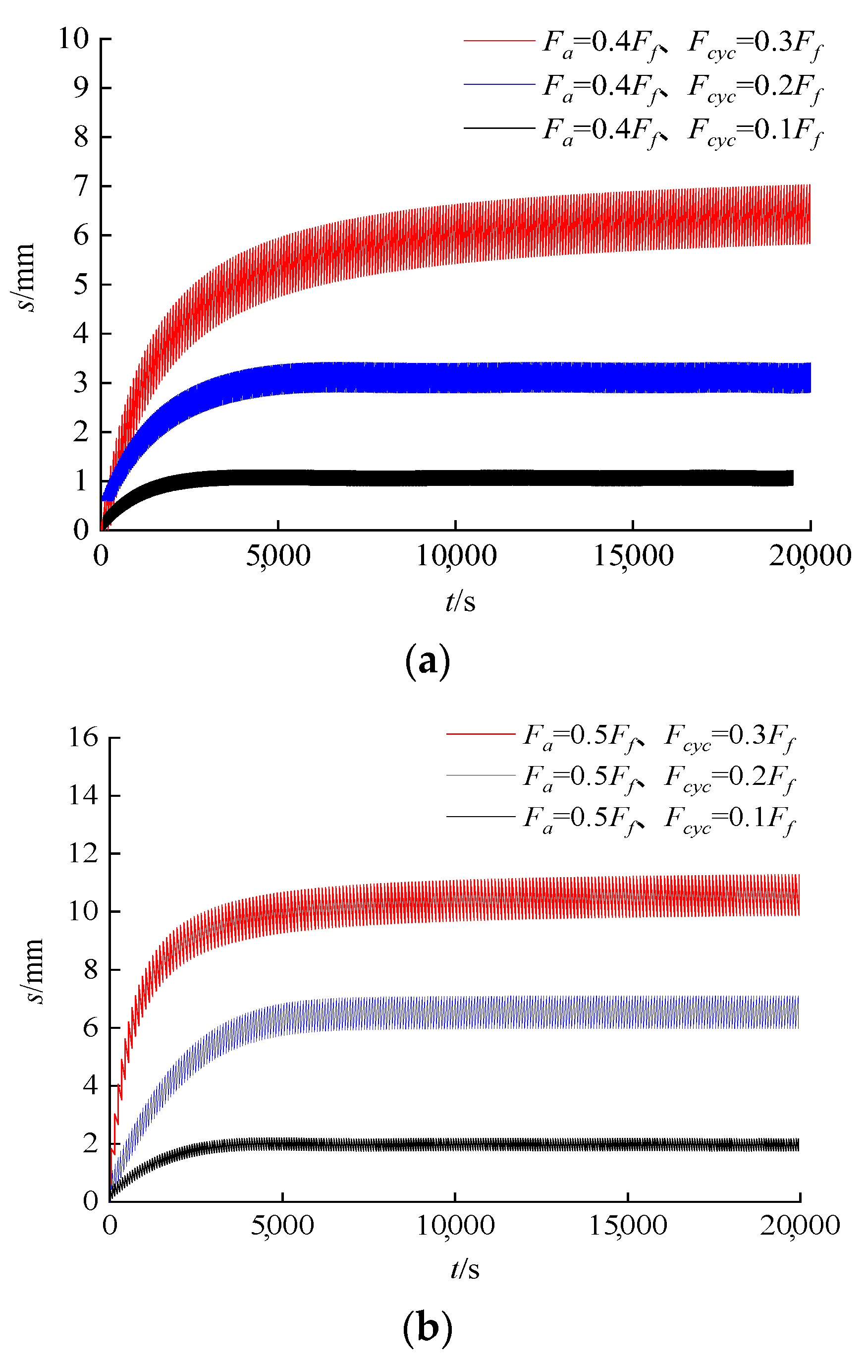
- The equivalent cyclic creep model was applied to analyze the cyclic bearing characteristics of the suction pile. The results show that the finite element results were consistent with the model test results. This can provide a new method for analyzing the cyclic characteristics of soft clay and the cyclic cumulative deformation characteristics of suction piles.
Author Contributions
Funding
Institutional Review Board Statement
Informed Consent Statement
Data Availability Statement
Conflicts of Interest
References
- Zhang, Y.; Andersen, K.H.; Jeanjean, P. Verification of a framework for cyclic p-y curves in clay by hindcast of Sabine River, SOLCYP and centrifuge laterally loaded pile tests. Appl. Ocean Res. 2020, 97, 102085. [Google Scholar] [CrossRef]
- Kong, D.; Liu, Y.; Deng, M.; Zhao, X. Analysis of influencing factors of lateral soil resistance distribution characteristics around monopile foundation for offshore wind power. Appl. Ocean Res. 2020, 97, 102106. [Google Scholar] [CrossRef]
- Tong, D.; Liao, C.; Jeng, D.S.; Wang, J. Numerical study of pile group effect on wave-induced seabed response. Appl. Ocean Res. 2018, 76, 148–158. [Google Scholar] [CrossRef]
- Zhang, Y.; Andersen, K.H.; Jeanjean, P.; Mirdamadi, A.; Gundersen, A.S.; Jostad, H.P. A framework for cyclic p-y curves in clay and application to pile design in GoM. In Proceedings of the OSIG SUT Conference, London, UK, 12–14 September 2017. [Google Scholar]
- Andersen, K.H. Bearing capacity under cyclic loading-offshore, along the coast, and on land. Can. Geotech. J. 2009, 5, 513–535. [Google Scholar] [CrossRef]
- Huo, H.F.; Lei, H.Y. Cyclic properties of normal consolidated clay under coupled effect of static and dynamic stresses. Chin. J. Rock Mech. Eng. 2015, 34, 1288–1295. [Google Scholar]
- Mitchell, R.J.; King, R.D. Cyclic loading of an Ottawa area champlain sea clay. Can. Geotech. J. 2011, 1, 52–63. [Google Scholar]
- Liu, X.M. Experimental Study on Characteristics of K0-Consolidated Stiff Clay under Traffic Loading Conditions; Zhejiang University: Hangzhou, China, 2020. [Google Scholar]
- Zhuang, H. Experimental Study on Cyclic Behavior of Wenzhou Reconstituted Soft Clay under Different Stress Histories; Wenzhou University: Wenzhou, China, 2021. [Google Scholar]
- Zhou, J.; Gong, X.N. Study on strain softening insaturated soft clay under cyclic loading. China Civ. Eng. J. 2000, 6, 75–78. [Google Scholar]
- Matasovic, N.; Vucetic, M. A pore pressure model for cyclic straining of clay. Soils Found. 1992, 3, 156–173. [Google Scholar] [CrossRef]
- Yao, M.L.; Nie, S.L.L. A model for calculation deformation of saturated soft clay. Chin. J. Hydraul. Eng. 1994, 7, 51–55. [Google Scholar]
- Cai, Y.Q.; Liu, W.; Xu, C.J.; Huang, H.C. Cyclic stress-strain relationship of soft clay based on modified Iwan model. Chin. J. Geotech. Eng. 2007, 9, 1314–1319. [Google Scholar]
- Idriss, I.M.; Singh, R.D.; Dobry, R. Nonlinear behavior of soft clays during cyclic loading. J. Soil Mech. Found. 1978, 12, 1427–1447. [Google Scholar] [CrossRef]
- Wang, J.; Cai, Y.Q. Study on accumulative plastic under cyclic strain model of soft clay loading. Chin. J. Rock Mech. Eng. 2008, 2, 331–338. [Google Scholar]
- Monismith, C.L.; Ogawa, N.; Freeme, C.R. Permanent deformation characteristics of subgrade soils due to repeated loading. Transp. Res. Rec. 1975, 537, 1–17. [Google Scholar]
- Li, D.; Selig, E.T. Cumulative plastic deformation for fine-grained subgrade soil. J. Geotech. Eng. 1996, 12, 1006–1013. [Google Scholar] [CrossRef]
- Chai, J.C.; Miura, N. Traffic-load-induced permanent deformation of road on soft subsoil. J. Geotech. Geo. Eng. 2002, 11, 907–916. [Google Scholar] [CrossRef]
- Huang, M.S.; Li, J.J.; Li, X.Z. Cumulative deformation behavior of soft clay in cyclic undrained tests. Chin. J. Geotech. Eng. 2006, 7, 891–895. [Google Scholar]
- Hyde, A.F.L.; Brown, S.F. The plastic deformation of a silty clay under creep and repeated loading. Geotechnique 1976, 1, 173–184. [Google Scholar] [CrossRef]
- Yasuhara, K.; Hirao, K.; Hyde, A.F. Effects of cyclic loading on undrained strength and compressibility of clay. Soils Found. 1992, 1, 100–116. [Google Scholar] [CrossRef]
- Wang, Y.Z.; Qi, J.L.; Dong, Y.H.; Long, Y.C. Research on cumulative deformation of saturated soft clay under cyclic loads. J. Waterw. Harb. 2017, 3, 286–290. [Google Scholar]
- Zhu, D.F.; Huang, H.W.; Yin, J.H. Cyclic creep behavior of saturated soft clay. Chin. J. Geotech. Eng. 2005, 9, 1060–1064. [Google Scholar]
- Zhu, W.B.; Dai, G.L.; Wang, B.C.; Gong, W.M.; Sun, J.; Hu, H. Study on cyclic characteristics and equivalent cyclic creep model of the soft clay at the bottom of suction caisson foundation. Rock Soil Mech. 2022, 43, 466–478. [Google Scholar]

























| Type | Confining Pressure σ3 (kPa) | Loading Rate (kPa/min) | Frequency (Hz) | Static Deflection Stress Ratio | Cyclic Deflection Stress Ratio |
|---|---|---|---|---|---|
| Consolidation | 50/100/150 | 0.1 | - | 0/0.4/0.5/0.6/0.8 | - |
| Cyclic loading | 50/100/150 | - | 0.1 | 0.4/0.5/0.6 | 0.1/0.2/0.3 |
| 0.1 | 0 | 0.3/0.4/0.5/0.6 |
Publisher’s Note: MDPI stays neutral with regard to jurisdictional claims in published maps and institutional affiliations. |
© 2022 by the authors. Licensee MDPI, Basel, Switzerland. This article is an open access article distributed under the terms and conditions of the Creative Commons Attribution (CC BY) license (https://creativecommons.org/licenses/by/4.0/).
Share and Cite
Huang, K.; Zhu, W.; Liu, X.; Yao, Z.; Zhang, Y.; Yan, S.; Guo, X.; Dai, G. Study on Cyclic Bearing Capacity of Suction Pile Based on Equivalent Cyclic Creep Model. Sustainability 2022, 14, 15152. https://doi.org/10.3390/su142215152
Huang K, Zhu W, Liu X, Yao Z, Zhang Y, Yan S, Guo X, Dai G. Study on Cyclic Bearing Capacity of Suction Pile Based on Equivalent Cyclic Creep Model. Sustainability. 2022; 14(22):15152. https://doi.org/10.3390/su142215152
Chicago/Turabian StyleHuang, Kang, Wenbo Zhu, Xin Liu, Zhongyuan Yao, Yu Zhang, Shu Yan, Xiaojiang Guo, and Guoliang Dai. 2022. "Study on Cyclic Bearing Capacity of Suction Pile Based on Equivalent Cyclic Creep Model" Sustainability 14, no. 22: 15152. https://doi.org/10.3390/su142215152
APA StyleHuang, K., Zhu, W., Liu, X., Yao, Z., Zhang, Y., Yan, S., Guo, X., & Dai, G. (2022). Study on Cyclic Bearing Capacity of Suction Pile Based on Equivalent Cyclic Creep Model. Sustainability, 14(22), 15152. https://doi.org/10.3390/su142215152

