Numerical Analysis on the Optimization of Evaporative Cooling Performance for Permeable Pavements
Abstract
:1. Introduction
2. Materials and Methods
2.1. Heat Transfer Theory
- The materials are assumed as homogeneous and isotropic, and thermal deformation is ignored.
- Heat loss by viscosity dissipation and pressure changes is ignored.
- Heat transfer in pores is neglected.
- The heat exchange satisfies local equilibrium.
2.2. Explanation of Modeling
2.2.1. Geometrical and Physical Parameters
2.2.2. Boundary Conditions
2.2.3. Validation Model
3. Results
3.1. Effect of Thermal Material Parameters on Cooling
3.1.1. Reflectivity
3.1.2. Emissivity
3.1.3. Specific Heat Capacity
3.1.4. Thermal Conductivity
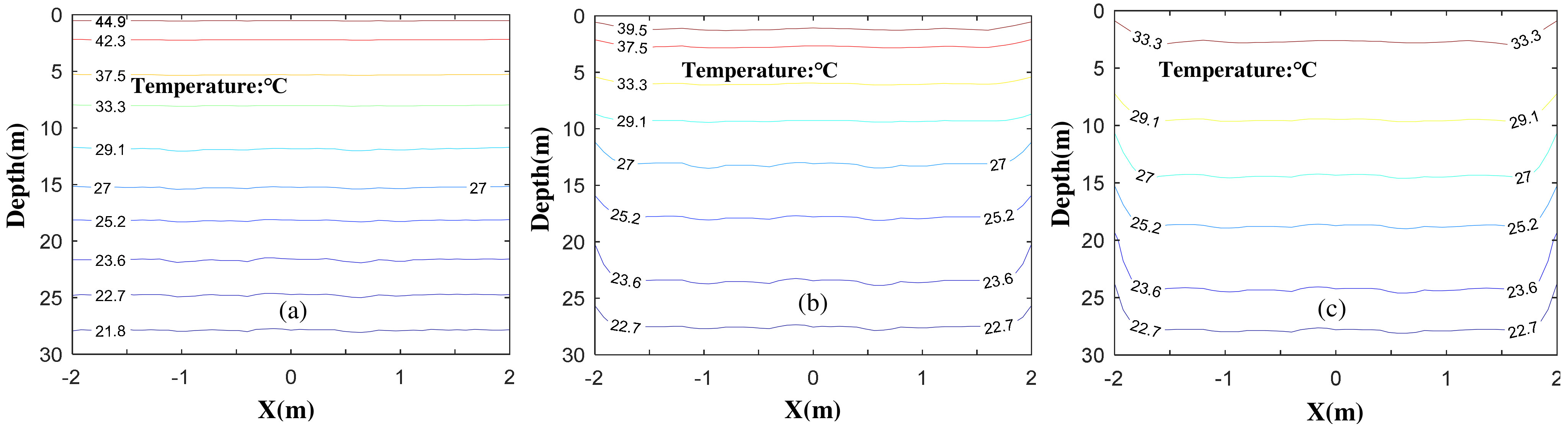
3.2. Effect of Depth of Water Storage Layer on Cooling
3.3. Pavement Spraying Scheme Selection
4. Discussion
5. Conclusions and Prospects
Author Contributions
Funding
Institutional Review Board Statement
Informed Consent Statement
Data Availability Statement
Conflicts of Interest
Nomenclature
| G | Thermal conduction (W/m2) |
| H | Thermal convection (W/m2) |
| L | Long wave radiation (W/m2) |
| E | Evaporation (W/m2) |
| I | Solar radiation (W/m2) |
| Ts | Solid-phase temperature (°C) |
| Tf | Liquid phase temperature (°C) |
| T | Porous substrate temperature (°C) |
| Ta | Air temperature (°C) |
| RH | Ambient relative humidity (%) |
| ER | Surface evaporation rate (kg/(m2·h)) |
| qm | Apparent internal heat source heat production rate |
| qs | Heat per unit volume of internal heat source of solids (W/m3) |
| qf | Heat per unit volume of internal heat source of fluids (W/m3) |
| (ρc)m | Apparent heat capacity (J/(kg·K)) |
| cp | Specific heat capacity of fluids (J/(kg·K)) |
| c | Specific heat capacity of solids (J/(kg·K)) |
| λm | Apparent thermal conductivity (W(m·K)) |
| λs | Thermal conductivity of solids (W(m·K)) |
| λf | Thermal conductivity of fluids (W(m·K)) |
| ϕ | Porous media porosity |
| ε | Emissivity |
| Tsky | Sky temperature (°C) |
| εsky | Sky emission rate (-) |
| hc | Convective heat transfer coefficient (W/(m2·K)) |
| v | Wind speed (m/s) |
| ρ | Reflection |
References
- Li, K.; Chen, Y.; Gao, S. Uncertainty of city-based urban heat island intensity across 1112 global cities: Background reference and cloud coverage. Remote Sens. Environ. 2022, 271, 112898. [Google Scholar] [CrossRef]
- Xie, J.; Qin, Y. Heat Transfer and Bearing Characteristics of Energy Piles. Energies 2021, 14, 6483. [Google Scholar] [CrossRef]
- Stempihar, J.J.; Pourshams-Manzouri, T.; Kaloush, K.E.; Rodezno, M.C. Porous asphalt pavement temperature effects for urban heat island analysis. Transp. Res. Rec. 2012, 2293, 123–130. [Google Scholar] [CrossRef]
- Li, B.; Shi, X.; Wang, H.; Qin, M. Analysis of the relationship between urban landscape patterns and thermal environment: A case study of Zhengzhou City, China. Environ. Monit. Assess 2020, 192, 540. [Google Scholar] [CrossRef] [PubMed]
- Ke, X.; Men, H.; Zhou, T.; Li, Z.; Zhu, F. Variance of the impact of urban green space on the urban heat island effect among different urban functional zones: A case study in Wuhan. Urban For. Urban Green 2021, 62, 127159. [Google Scholar] [CrossRef]
- Santamouris, M.; Synnefa, A.; Karlessi, T. Using advanced cool materials in the urban built environment to mitigate heat islands and improve thermal comfort conditions. Sol. Energy 2011, 85, 3085–3102. [Google Scholar] [CrossRef]
- Santamouris, M. Using cool pavements as a mitigation strategy to fight urban heat island—A review of the actual developments. Renew. Sustain. Energy Rev. 2013, 26, 224–240. [Google Scholar] [CrossRef]
- Jia, S.; Wang, Y. Effect of heat mitigation strategies on thermal environment, thermal comfort, and walkability: A case study in Hong Kong. Build. Environ. 2021, 201, 107988. [Google Scholar] [CrossRef]
- Zhang, H.; Ma, H.; Ma, S. Investigation on indirect evaporative cooling system integrated with liquid dehumidification. Energy Build. 2021, 249, 111179. [Google Scholar] [CrossRef]
- Zhang, L.; Feng, Y.; Meng, Q.; Zhang, Y. Experimental study on the building evaporative cooling by using the Climatic Wind Tunnel. Energy Build. 2015, 104, 360–368. [Google Scholar] [CrossRef]
- García, Á.; Hassn, A.; Chiarelli, A.; Dawson, A. Multivariable analysis of potential evaporation from moist asphalt mixture. Constr. Build. Mater. 2015, 98, 80–88. [Google Scholar] [CrossRef]
- Zhang, R.; Jiang, G.; Liang, J. The Albedo of Pervious Cement Concrete Linearly Decreases with Porosity. Adv. Mater. Sci. Eng. 2015, 2015, 746592. [Google Scholar] [CrossRef] [Green Version]
- Asaeda, T.; Ca, V.T. Characteristics of permeable pavement during hot summer weather and impact on the thermal environment. Build. Environ. 2000, 4, 363–375. [Google Scholar] [CrossRef]
- Qin, Y.; Hiller, J.E. Water availability near the surface dominates the evaporation of pervious concrete. Constr. Build. Mater. 2016, 111, 77–84. [Google Scholar] [CrossRef]
- Wei, J.; He, J. Numerical simulation for analyzing the thermal improving effect of evaporative cooling urban surfaces on the urban built environment. Appl. Therm. Eng. 2013, 51, 144–154. [Google Scholar] [CrossRef]
- Kubilay, A.; Derome, D.; Carmeliet, J. Impact of evaporative cooling due to wetting of urban materials on local thermal comfort in a street canyon. Sustain. Cities Soc. 2019, 49, 101574. [Google Scholar] [CrossRef]
- Lorenzi, A.; Haselbach, L.; Silva Filho, L.C.P.; Pessutto, Â.S.; Bidinotto, G.B. Thermal profiles in pervious concrete during summer rain simulations. Matéria 2018, 23. [Google Scholar] [CrossRef]
- Li, H.; Harvey, J.; Ge, Z. Experimental investigation on evaporation rate for enhancing evaporative cooling effect of permeable pavement materials. Constr. Build. Mater. 2014, 65, 367–375. [Google Scholar] [CrossRef]
- Liu, Y.; Li, T.; Peng, H. A new structure of permeable pavement for mitigating urban heat island. Sci. Total Environ. 2018, 634, 1119–1125. [Google Scholar] [CrossRef]
- Yamagata, H.; Nasu, M.; Yoshizawa, M.; Miyamoto, A.; Minamiyama, M. Heat island mitigation using water retentive pavement sprinkled with reclaimed wastewater. Water Sci. Technol. 2008, 57, 763–771. [Google Scholar] [CrossRef]
- Takebayashi, H.; Moriyama, M. Study on Surface Heat Budget of Various Pavements for Urban Heat Island Mitigation. Adv. Mater. Sci. Eng. 2012, 2012, 523051. [Google Scholar] [CrossRef] [Green Version]
- Qin, Y.; Hiller, J.E. Ways of formulating wind speed in heat convection significantly influencing pavement temperature predic-tion. Heat Mass Transf. 2013, 49, 745–752. [Google Scholar] [CrossRef]
- Kuwahara, F.; Shirota, M.; Nakayama, A. A numerical study of interfacial convective heat transfer coefficient in two-energy equation model for convection in porous media. Int. J. Heat Mass Transf. 2001, 44, 1153–1159. [Google Scholar] [CrossRef]
- Zhang, J.; Qin, H.; Zhai, Y. Analysis of the dynamic change pattern of evaporation strength of permeable paving and the in-fluencing factors. Acta Sci. Nat. Univ. Peking 2019, 55, 934–940. [Google Scholar]
- Jiang, W.; Sha, A.; Xiao, J. Modeling and effectiveness of water storage infiltration in permeable asphalt pavements. J. Tongji Univ. 2013, 41, 72–77. [Google Scholar]
- Li, H. A Comparison of Thermal Performance of Different Pavement Materials. Eco-Efficient Materials for Mitigating Building Cooling Needs; Woodhead Publishing: Sawston, UK, 2015; pp. 63–124. [Google Scholar]
- Wang, J.; Meng, Q.; Tan, K.; Zhang, L.; Zhang, Y. Experimental investigation on the influence of evaporative cooling of permeable pavements on outdoor thermal environment. Build. Environ. 2018, 140, 184–193. [Google Scholar] [CrossRef]
- Zhou, J.Z.; Wei, C.F.; Wei, H.Z. Applicability of line heat source method in measuring thermal parameters of frozen soil. Chin. J. Geotech. Eng. 2016, 38, 681–687. [Google Scholar]
- Zhang, L.; Wang, H.; Ren, Z. Computational Analysis of Thermal Conductivity of Asphalt Mixture Using Virtually Generated Three-Dimensional Microstructure. J. Mater. Civ. Eng. 2017, 29, 04017234. [Google Scholar] [CrossRef]
- Chen, J.; Chu, R.; Wang, H.; Xie, P. Experimental measurement and microstructure-based simulation of thermal conductivity of unbound aggregates. Constr. Build. Mater. 2018, 189, 8–18. [Google Scholar] [CrossRef]
- Chen, J.; Zhang, M.; Wang, H.; Li, L. Evaluation of thermal conductivity of asphalt concrete with heterogeneous microstructure. Appl. Therm. Eng. 2015, 84, 368–374. [Google Scholar] [CrossRef]
- Nemirovsky, E.M.; Welker, A.L.; Lee, R. Quantifying evaporation from pervious concrete systems: Methodology and hydrologic perspective. J. Irrig. Drain. Eng. 2013, 139, 271–277. [Google Scholar] [CrossRef]
- Synnefa, A.; Karlessi, T.; Gaitani, N.; Santamouris, M.; Assimakopoulos, D.; Papakatsikas, C. Experimental testing of cool colored thin layer asphalt and estimation of its potential to improve the urban microclimate. Build. Environ. 2011, 46, 38–44. [Google Scholar] [CrossRef]
- Feng, D.; Hu, W.; Yu, F.; Peng, C.; Xin, Z. Impact of asphalt pavement thermophysical property on temperature field and sensitivity analysis. J. Highw. Transp. Res. Dev. 2011, 11, 12–19. [Google Scholar]
- Chen, J.; Chu, R.; Wang, H.; Zhang, L.; Chen, X.; Du, Y. Alleviating urban heat island effect using high-conductivity permeable concrete pavement. J. Clean. Prod. 2019, 237, 117722. [Google Scholar] [CrossRef]
- Shi, X.; Rew, Y.; Ivers, E.; Shon, C.-S.; Stenger, E.M.; Park, P. Effects of thermally modified asphalt concrete on pavement temperature. Int. J. Pavement Eng. 2019, 20, 669–681. [Google Scholar] [CrossRef]
- Nakayama, T.; Fujita, T. Cooling effect of water-holding pavements made of new materials on water and heat budgets in urban areas. Landsc. Urban Plan. 2010, 96, 57–67. [Google Scholar] [CrossRef]
- Tan, K.; Qin, Y.; Wang, J. Evaluation of the properties and carbon sequestration potential of biochar-modified pervious concrete. Constr. Build. Mater. 2022, 314, 125648. [Google Scholar] [CrossRef]
- Tan, K.; Qin, Y.; Du, T.; Li, L.; Zhang, L.; Wang, J. Biochar from waste biomass as hygroscopic filler for pervious concrete to improve evaporative cooling performance. Constr. Build. Mater. 2021, 287, 123078. [Google Scholar] [CrossRef]
- Qin, Y.; He, Y.; Hiller, J.E.; Mei, G. A new water-retaining paver block for reducing runoff and cooling pavement. J. Clean. Prod. 2018, 199, 948–956. [Google Scholar] [CrossRef]












| Layer Name | Materials | Thickness (cm) | Density (kg/m3) | Heat Capacity (J/(kg·K)) | Thermal Conductivity (W/m·K) | Porosity (%) |
|---|---|---|---|---|---|---|
| Permeable surface layer | Permeable concrete | 6 | 2000 | 880 | 0.68 | 20 |
| Leveling layer | Cement mortar | 15 | 2100 | 800 | 0.9 | — |
| Base layer | Gravel | 40 | 1400 | 900 | 0.55 | — |
| Soil bedding | — | 80 | 1700 | 840 | 1.78 | — |
Publisher’s Note: MDPI stays neutral with regard to jurisdictional claims in published maps and institutional affiliations. |
© 2022 by the authors. Licensee MDPI, Basel, Switzerland. This article is an open access article distributed under the terms and conditions of the Creative Commons Attribution (CC BY) license (https://creativecommons.org/licenses/by/4.0/).
Share and Cite
Xie, J.; Zhou, Z. Numerical Analysis on the Optimization of Evaporative Cooling Performance for Permeable Pavements. Sustainability 2022, 14, 4915. https://doi.org/10.3390/su14094915
Xie J, Zhou Z. Numerical Analysis on the Optimization of Evaporative Cooling Performance for Permeable Pavements. Sustainability. 2022; 14(9):4915. https://doi.org/10.3390/su14094915
Chicago/Turabian StyleXie, Jinli, and Zuheng Zhou. 2022. "Numerical Analysis on the Optimization of Evaporative Cooling Performance for Permeable Pavements" Sustainability 14, no. 9: 4915. https://doi.org/10.3390/su14094915
APA StyleXie, J., & Zhou, Z. (2022). Numerical Analysis on the Optimization of Evaporative Cooling Performance for Permeable Pavements. Sustainability, 14(9), 4915. https://doi.org/10.3390/su14094915
