Abstract
A spatial assessment is important to explore appropriate heating schemes for rural residences in China. Taking rural residences in six typical cities of China as the focus, four heating solutions, namely, coal-fired boiler heating systems (CBHS), wall-hung gas-fired boiler heating systems (GBHS), direct electric heating systems (DEHS), and air source heat pump systems (ASHPS), are compared and analyzed from the perspectives of primary energy consumption, environmental impact and heating costs. The results show that the primary energy consumption and the environmental impact can be significantly reduced by using solutions of GBHS and ASHPS in comparison with CBHS. DEHS has the most significant primary energy consumption and environmental impact and is less economical. The weighted environmental impact of GBHS is reduced by over 94% compared with that of CBHS, the weighted environmental impact of ASHPS is reduced by 8–23%, 35–39%, and 43–44% compared with that of CBHS for severe cold regions, cold regions, and hot-summer and cold-winter regions, respectively. The life cycle cost of GBHS is about 33% higher than that of CBHS for the six typical cities. The life cycle cost of ASHPS is about 33–57% higher than CBHS for severe cold regions, but not much difference or even less than CBHS for cold regions and hot-summer and cold-winter regions.
1. Introduction
Rural residences in northern China, accounting for 46.7% of the whole building area, consume about 24.8% of the total building energy consumption [1]. However, most rural residents still use dispersed coal for space heating, which poses a severe threat to the environment and the health of rural residents, and the resulting pollution has become a pressing environmental problem [2,3,4]. The pollutant emissions of coal-fired boiler heating systems (CBHS) in rural residences are believed to be one of the leading causes of the smog problem during winter in China [5,6]. According to the report, 15–20% of PM2.5 emissions in Beijing are attributed to the use of coal and biomass for individual household heating [7]. A series of policies and regulations in China have been introduced over the years to solve air pollution effectively. In 2017, the Ministry of Environmental Protection issued six coordination projects, including the “2017–2018 Action Plan for Comprehensive Air Pollution control in Autumn and Winter in Beijing-Tianjin-Hebei region”, to reinforce the loopholes in air pollution control in the region [8]. The central government rolled out a policy called “Clean Heating Plan for Northern China in Winter (2017–2021)”, which promotes the substitution of electricity or natural gas for coal in heating systems. It set the goals through to 2021 that the regions using clean heating technologies in Northern China reach 70% of the whole area [9]. Specifically, “coal-to-gas” and “coal-to-electricity” for rural residence heating are the two main alternatives in the bulk coal substitution projects.
To summarize, three main heating solutions, i.e., wall-hung gas-fired boiler heating systems (GBHS), direct electric heating systems (DEHS), and air source heat pump systems (ASHPS) are available for bulk coal substitution in rural residences’ winter heating. Zhang et al. [10] found that ASHPS is the most efficient and economical among the heating solutions of CBHS, GBHS, DEHS, and ASHPS through technical and economic analysis. Nan et al. [11] found that the emission of PM2.5, CO, CO2, NOx, and CH4 is decreased by 99%, 98%, 54%, 99%, and 57%, respectively, through replacing CBHS with GBHS, while these figures changed to 95%, 93%, 90%, 99%, and 99% by replacing CBHS with ASHPS by simulation and field tests. Zhang and Yang [12] discussed the economic benefits of grid enterprises by implementing a “coal to electricity” program, and found that it has poor economic benefits to grid enterprises during its life cycle owing to its high investment, the unreasonable electricity price mechanism, and the significant seasonal difference between peak and valley power demand. Yang [13] analyzes the CO2 emission of different heating solutions for rural areas in Beijing. The results showed that the most significant proportion of CO2 emissions is the operating stage for all the heating systems. DEHS has the highest CO2 emissions, which are 13.8% and 16.5% higher than compared with that of CBHS and ASHPS, respectively. GBHS and ASHPS can decrease the CO2 emissions by about 72% and 50% compared with CBHS, respectively. Zheng [14] analyzed the primary energy consumption (PEC) and pollutant emissions of different heating systems in rural residences of Beijing. It was found that the PEC of the GBHS, ASHPS, and DEHS is 70%, 65%, and 18% lower than that of the CBHS, respectively. In the emission of CO2, SO2, and NOx, GBHS has the lowest emissions. The emission of pollutants by ASHPS is also significantly reduced. Xu [15] evaluated the emission and comprehensive benefit of clean heating in rural areas of northern China, taking the provinces of Shanxi, Shaanxi, and Heilongjiang as the research area. It was found that compared with that CBHS, GBHS, and ASHPS can decrease the emissions of PM2.5, CO2, and SO2 by 90%, the DEHS can lower the emissions of CO2 by 26%. Dai et al. [16] analyzed urban residences in various climate zones in China and concluded that the PEC and pollutant emissions of using GBHS are lower than CBHS. Deng et al. [17] evaluated the environmental impact (EMP) of five heating solutions, including shaped coal boiler heating systems, biomass pellet boiler heating systems, and air-to-air or air-to-water ASHPS. They found that PM2.5 and CO2 emissions produced by biomass pellets are decreased by 87.9% and 98.1%, respectively, in comparison with bulk coal, and concluded that biomass pellet heating systems and air-to-air ASHPS were suggested to be promoted. Yu et al. [18] proposed an ASHPS with latent thermal energy storage for improving the performance of conventional ASHPS operated in cold regions of China, the results of the techno-economic analysis showed that heat pump systems were appropriate for heating owing to the virtues of being energy-efficient and environmentally friendly, but the initial and operating cost of ASHPS was higher than that of traditional heating solutions such as CBHS and GBHS. Saoud et al. [19] investigated the environmental performance of the ASHPS by life cycle assessment (LCA), and found that the CO2 reduction of Lebanese households could attain 1668.45 kg and 16,983.25 kg through installing ASHPSs replacing solar water heaters and electric water heaters, respectively.
Using a cradle-to-grave approach, LCA is the best way to evaluate the environmental impact of the heating systems [20]. The EMP assessment using LCA usually consists of five stages including raw material extraction, processing, transportation, facility operation, and even disposal. The majority of LCA studies confirm that the operation stage of space heating systems accounts for the most significant contribution to the environmental impact, and the other stages have little EMP during their total life cycles [19,21,22,23]; for instance, Vignali and Giuseppe [24] revealed that the operation stage of CBHS accounted for more than 90%.
Different heating systems have their own merits and demerits from technical, economic, and environmental points of view. The option of heating schemes in various geographical locations of China is significantly influenced by spatial parameters, such as local climatic conditions, governmental targets, population distribution, local economic development level, etc. In this circumstance, a timely spatial assessment is important to explore appropriate heating schemes for rural residences in different regions of China through key performance indicators that reflect low PEC, low EMP, and economic affordability [4]. In this paper, taking rural residences in six typical cities of China as the focus, four heating solutions, namely, CBHS, GBHS, DEHS, and ASHPS, are compared and analyzed from the perspectives of PEC, EMP, and heating costs to assess the performance of different heating systems and explore the applicable heating system for rural residences in different regions of China.
2. Assessment Methodology
2.1. Selection of Typical Cities and Heating Load Calculation
There are five climatic regions in China: the severe cold regions, the cold regions, the hot-summer and cold-winter regions, the mild regions, and the hot-summer and warm-winter regions. Of these, heating is hardly used for the mild regions and the hot-summer and warm-winter regions owing to the lower latitude of the regions, while it is necessary for severe cold regions and cold regions owing to the higher latitude of the regions. For hot-summer and cold-winter regions, heating is used to a certain extent in winter due to the improving of living standards. Additionally, the ambient temperature and heating load of various cities in the identical climate zone may differ significantly depending on the specific location of the city. Therefore, Shenyang and Harbin in the severe cold regions, Beijing and Xi’an in the cold regions, and Wuhan and Chongqing in the hot-summer and cold-winter regions are chosen as typical cities for analyzing environmental and economic performance of the heating systems in this paper.
The selected typical climatic conditions were evaluated by considering environmental temperature changes and using the temperature-frequency method. Figure 1 shows the annual ambient temperature distribution of six typical cities, where the relevant data of the ambient temperature in China is determined by the specific year [25]. Table 1 shows the design heating parameters in six typical cities. It can be seen that the designed outdoor temperature increases with the decrease of the city location latitude. For example, Harbin’s outdoor design temperature is as low as −24.2 °C, while Chongqing’s is as high as 4.1 °C. To fulfill the thermal comfort requirements of rural residences, villagers will use heating equipment to heat their houses when the outdoor temperature is lower than 14 °C [17,26].
Figure 1.
Annual ambient temperature distributions of six typical cities in China.
Table 1.
Design heating parameters in typical six cities.
Throughout the heating season, the heating load of rural residences varies with outdoor temperatures. The heating load, qhbin (i), of the rural residence at Tambi (i) and the heating demand, Eh, of the rural residence through the whole winter are determined by Equations (1) and (2) respectively [26]:
where, qhdesi is the designed heating load (W/m2), which is obtained from references [26]; Thle is the heating limit external temperature and taken to be 14 °C; Tambi (i) is the ambient temperature (°C); Tdesi is the outdoor design temperature(°C); Ah is the building’s heating area (m2), which is assumed to be 100 m2; and tbin (i) is the heating time corresponding to the i-th ambient temperature bin (h).
2.2. Primary Energy Consumption
In order to assess the energy consumption of the four heating systems during the heating periods on the identical baseline, the conversion of the consumed coal, natural gas, and electricity into the primary energy consumption (PEC) in each heating season was performed.
For CBHS, the PECCBHS can be determined by:
where, Psc is the energy conversion coefficient of standard coal, which is 1 kgce/kg; ηCBHS is the heating efficiency of the coal-fired boiler, taken as 75% [10]; ηcoaltrans is the transmission efficiency of coal, taken as 80% [27]; and LHVcoal is the lower heating value of coal, taken to be 29,307 kJ/kg [16].
For GBHS, PECGBHS can be determined by:
where, Png is the energy conversion coefficient between natural gas and standard coal, taken as 1.2143 kgce/m³; ηGBHS is the heating efficiency of the GBHS, taken as 90% [10]; and LHVng is the lower heating value of natural gas, taken to be 35,544 kJ/m³ [16].
For DEHS, PECDEHS can be determined by:
where, Pe is the energy conversion coefficient between electricity and standard coal, taken as 0.4 kgce/kWh [16]; ηDEHS is the heating efficiency of the DEHS, taken as 99% [10]; and ηgridtrans is the transmission efficiency of the power grid, taken as 92% [18,27].
For ASHPS, the PECASHPS can be determined by:
where, EASHPS is the energy consumption of the air source heat pump, determined by:
where, COP is the coefficient of heating performance, determined by the fitted correlation through the test data of references [10,28]. The fitted correlation is as follows:
2.3. Environmental Impact Assessment Model
To evaluate the EMP of different heating solutions, the pollutant emissions are calculated, classified, characterized, standardized, and weighted.
2.3.1. Pollutant Emissions Model
Four pollutant emissions, namely, CO2, SO2, NOx, and PM2.5, were used as the indexes to indicate the gaseous and solid particles emissions for various heating systems. The pollutant emissions produced by the CBHS, GBHS, DEHS, and ASHPS can be calculated by:
where, EMCBHS,i, EMGBHS,i, EMDEHS,i, and EMASHPS,i are the i-th pollutant emissions produced by the CBHS, GBHS, DEHS and ASHPS; µem,i is the emission conversion coefficients of i-th pollutants produced by different heating solutions—the values are determined by the recommended data of references [10,16], shown as Table 2. The electricity is supposed to be generated from coal power owing to the fact that coal currently generates 70% of electricity in China.
Table 2.
Pollutant emission conversion coefficient.
2.3.2. Classification and Characterization
Based on the literature review, five impact categories were selected, i.e., global warming potential (GWP), acidification potential (AP), eutrophication potential (EP), photochemical ozone formation potential (POFP), and respiratory inorganics (RI). The characterization of the impacts is performed by the equivalence coefficient principle according to the CLCD database. The equivalence factors of pollutant emission are determined by the recommended data of reference [29], shown as Table 3.
Table 3.
Characterization results of equivalent factors.
2.3.3. Standardization and Weighting
To make global and regional impacts on the equivalent level, the standardization is performed by the standardized human equivalence principle, which is the average EMP per year for each person. The standardized benchmark is determined by [30,31]:
where, EMP(i) represents the potential value of the system to the i-th EMP; EMP(i)j represents the contribution of the j-th pollutant to the i-th EMP; Q(i)j represents the amount of the j-th pollutant to the i-th EMP; EF(i)j represents the equivalence factor of the j-th pollutant to the i-th EMP; NR(i)base year represents the regional per capita EMP in the base year; EMP(i)base year represents the regional total EMP in the base year; and POPbase year represents the regional population in the base year.
The weighting factor is determined by the distance-to-target method based on the related standards [32], including governmental target, emission standard, quality standard, or industry standard in the city from the base year to the target year. The weighting factor for the different types of EMP is calculated by [33]:
where, WF(i) represents the weighting factor of the i-th EMPs; EP(i) target year represents the regional total EMPs in the target year.
2.4. Economic Cost Model
A comprehensive economic analysis including the initial investment (INV) and the operating cost (OC) was performed. The INV can be determined by the sum of the main components of the heating equipment and the additional cost:
where INV represents the initial investment of each heating solution; INVk represents the initial investment of the main components of the heating equipment, set to be a constant value of CNY 11,000, CNY 8000, CNY 6000, and CNY 15,755, respectively, for the CBHS, GBHS, DEHS, and ASHPS [10]; and INVAdd is the additional investment (pipelines, valves, and control systems), set to be 15% of the INVk.
The operating cost of various heating solutions is primarily composed of the fuel or electricity costs (FC), maintenance costs (MC), and ecological costs of emissions (EC). FC is calculated by the product of the fuel unit price (shown in Table 4) to the annual fuel consumption [10]. The annual fuel cost of heating in each heating season is not fixed, the present value of the fuel cost in i-th year PV(i) is determined by [34,35].
where, FC represents the fuel cost based on the current rates (CNY); DR represents the discount rate set to be 4%; and RR represents the fuel or electricity rising rate, which is set to be 0.8% [35].
Table 4.
Ecological cost unit price (CNY/kg).
The annual MC of CBHS is set to be 1.4% of the INV, and the MC of the other three heating systems is set to be 1% of the INV [10,27].
The ecological cost of emissions (EC) refers to the negative impact of pollutant emissions on the environment, i.e., the cost of the treatment of the pollutant emissions. It is assumed that all pollutants discharged are treated and the impact on the environment is zero within the range of earth carrying capacity. It is calculated by:
where, eci is the unit ecological price of i-th pollutant emission, and is determined by the recommended data of reference [36], shown as Table 4.
The life cycle cost (LCC) of different heating equipment is determined by:
where, L is the lifetime of each heating solution.
3. Results and Discussions
3.1. Energy Consumption Analysis
Figure 2 shows the annual primary energy consumption of different heating solutions for rural residences in six typical cities. For these heating solutions, it can be found that PEC values in different cities from high to low are as follows: Harbin, Shenyang, Beijing, Xi’an, Wuhan, and Chongqing, according to the heating time and ambient temperature. It can also be seen that the PEC of DEHS is the highest of the four heating systems. Compared with that of CBHS, the PEC of DEHS is increased by about 115% for the six typical cities. Compared with that of CBHS, the PEC of GBHS and ASHPS is significantly reduced; the PEC of GBHS is decreased by about 33% for the six typical cities; the PEC of ASHPS is decreased by 6% in Harbin, 21% in Shenyang, 33% in Beijing, 38% in Xi’an, and 43% in Wuhan and Chongqing, respectively. Thus, DEHS and CBHS are not recommended to be used for rural residence heating in any region owing to the high PEC value, while GBHS and ASHPS perform better in terms of energy. The COP of ASHPS is relatively lower in the severe cold regions, such as Harbin and Shenyang, owing to the overall low ambient temperature, thus the PEC of ASHPS is slightly higher than that of GBHS. In the hot-summer and cold-winter regions, such as Wuhan and Chongqing, owing to the overall high ambient temperature, the COP of ASHPS is relatively higher, thus the PEC of ASHPS is lower than GBHS. In the cold regions, such as Beijing and Xi’an, there is little difference of the PEC between ASHPS and GBHS.
Figure 2.
Primary energy consumption of different heating solutions.
3.2. Environmental Impact Assessment Results of Heating Solutions
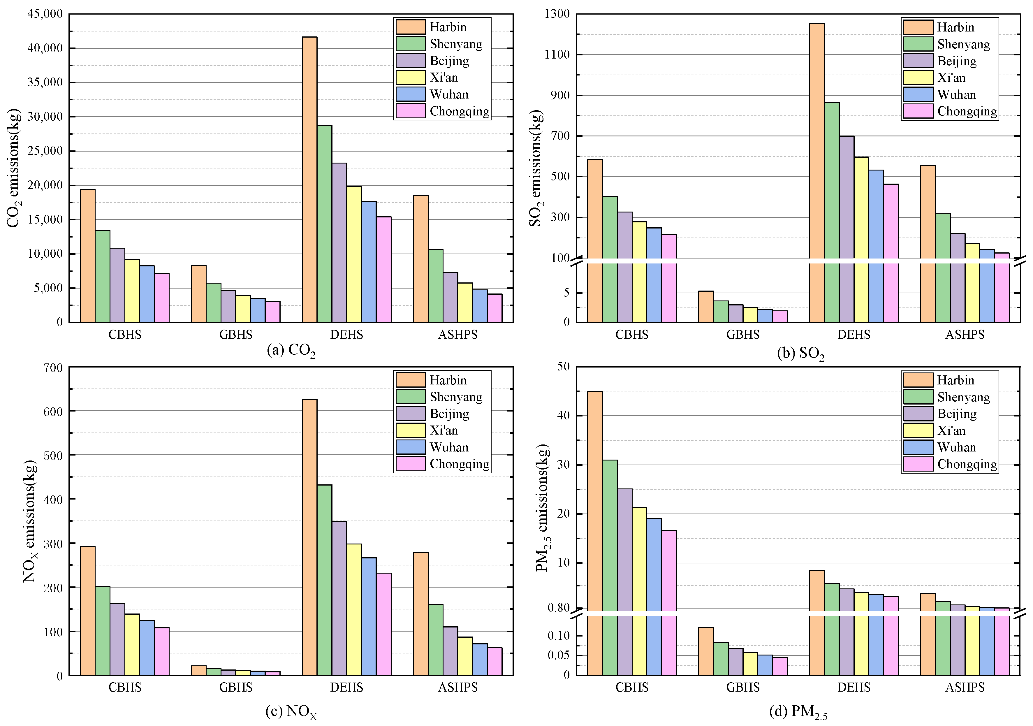
Figure 3 shows the annual pollutants emissions of different heating solutions during the heating season. For identical heating systems, it can be seen that the pollutant emission in various cities from lowest to highest are as follows: Chongqing, Wuhan, Xi’an, Beijing, Shenyang, and Harbin, which is related to PEC value. In these six cities, CO2, SO2, and NOX emissions of the four heating systems from lowest to highest are as follows: GBHS, ASHPS, CBHS, and DEHS. PM2.5 emissions of the four heating systems from lowest to highest are as follows: GBHS, ASHPS, DEHS, and CBHS. For GBHS, very few pollutants are emitted compared to other heating systems. The CO2 emissions are about 45–74% of ASHPS and 43% of CBHS. The SO2 emissions are about 1% of ASHPS and CBHS. The NOx emissions are about 8–13% of ASHPS and 7% of CBHS. The PM2.5 emissions are about 3–5% of ASHPS and 0.3% of CBHS. For ASHPS, the CO2, SO2, and NOX reduction can attain about 5–42%, and the PM2.5 reduction can attain about 94% compared with that of CBHS. It also indicates that the CO2 emission reduction is more significant when the ASHPS is used in warmer climatic regions, owing to the COP increasing with ambient temperatures. For example, CO2 emissions of the ASHPS decrease by 5% for Harbin, 20% for Shenyang, 33% for Beijing, 38% for Xi’an, and 42% for Wuhan and Chongqing, respectively, in comparison with CBHS. However, for DEHS, the gaseous emissions are the highest among the four heating solutions. The CO2, SO2, and NOX emissions of DEHS are about two times that of CBHS, the PM2.5 emission of DEHS is 81% lower than that of CBHS, but obviously higher than that of GBHS and ASHPS. Therefore, the rural residences with DEHS heating should be avoided as far as possible for the reduction of pollutant emissions. The GBHS and ASHPS are practical alternatives to coal-fired heating systems.
Figure 3.
Pollutant emissions of different heating solutions. (a) CO2 emission; (b) SO2 emission; (c) NOx emission; (d) PM2.5 emission.
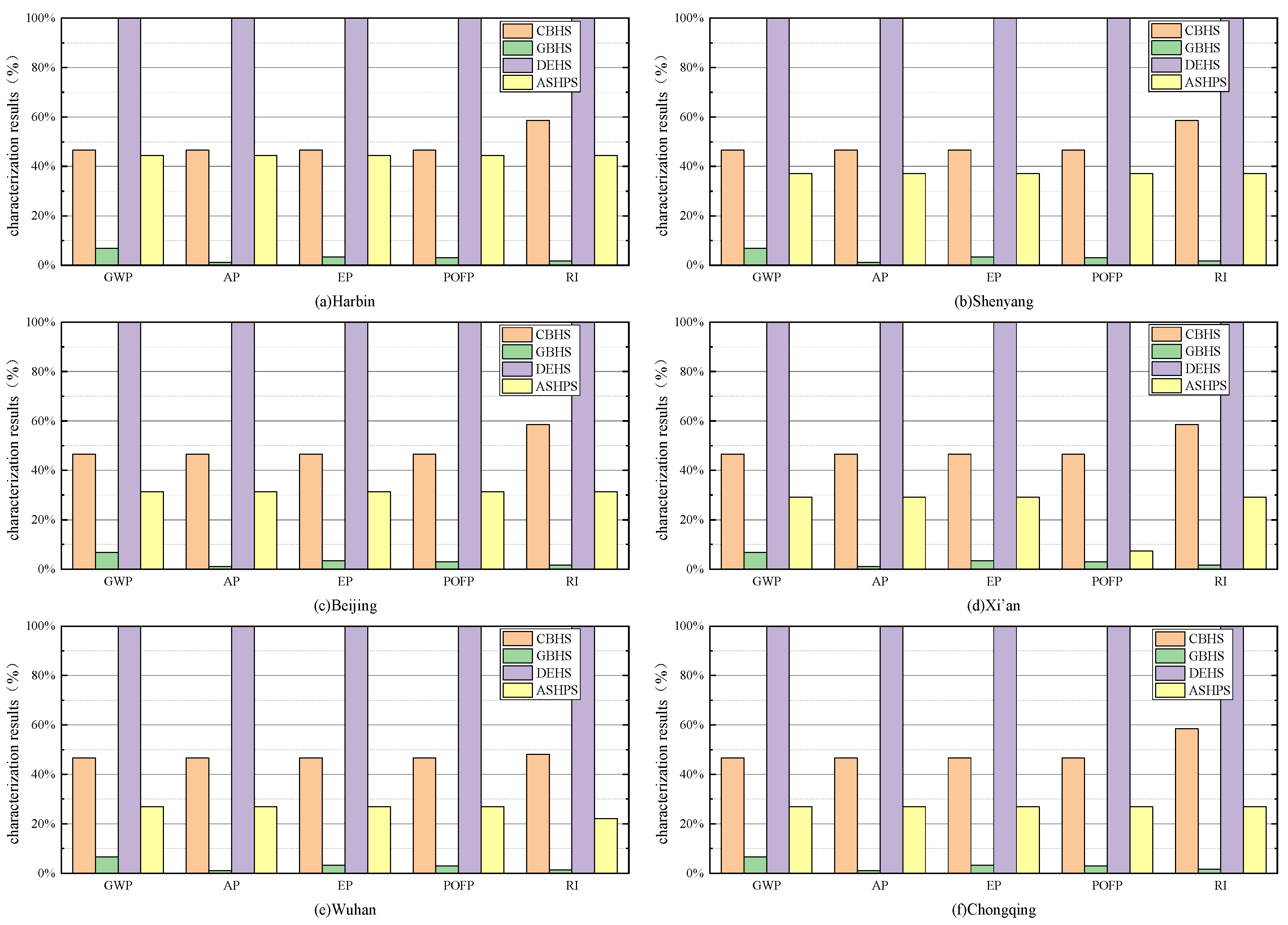
The relative effects of the characterized EMPs for the heating solutions of the six cities are shown in Figure 4. It can be seen that the GBHS shows significantly better environmental performance in all the impact categories for all six typical cities. For GWP, AP, EP, and POFP impact categories, the use of the ASHPS could reduce by about 5–20%, 33–38%, and 42–43% as compared to using the CBHS in the severe cold regions (Harbin and Shenyang), the cold regions (Beijing and Xi’an), and the hot-summer and cold-winter regions (Wuhan and Chongqing), respectively. For the PM2.5 impact category, the use of the ASHPS could reduce by about 24–37%, 46–50%, and 53–54% as compared to using the CBHS in the severe cold regions (Harbin and Shenyang), the cold regions (Beijing and Xi’an), and the hot-summer and cold-winter regions (Wuhan and Chongqing), respectively. The results also suggest that DEHS has the most significant EMP category among the four heating solutions, being about 115% higher than that of CBHS for GWP, AP, EP, and POFP impact categories and 56–74% lower than that of CBHS for PM2.5 impact index.
Figure 4.
Comparison of environmental impact indexes after characterization. (a) Harbin; (b) Shenyang; (c) Beijing; (d) Xi’an; (e) Wuhan; (f) Chongqing.
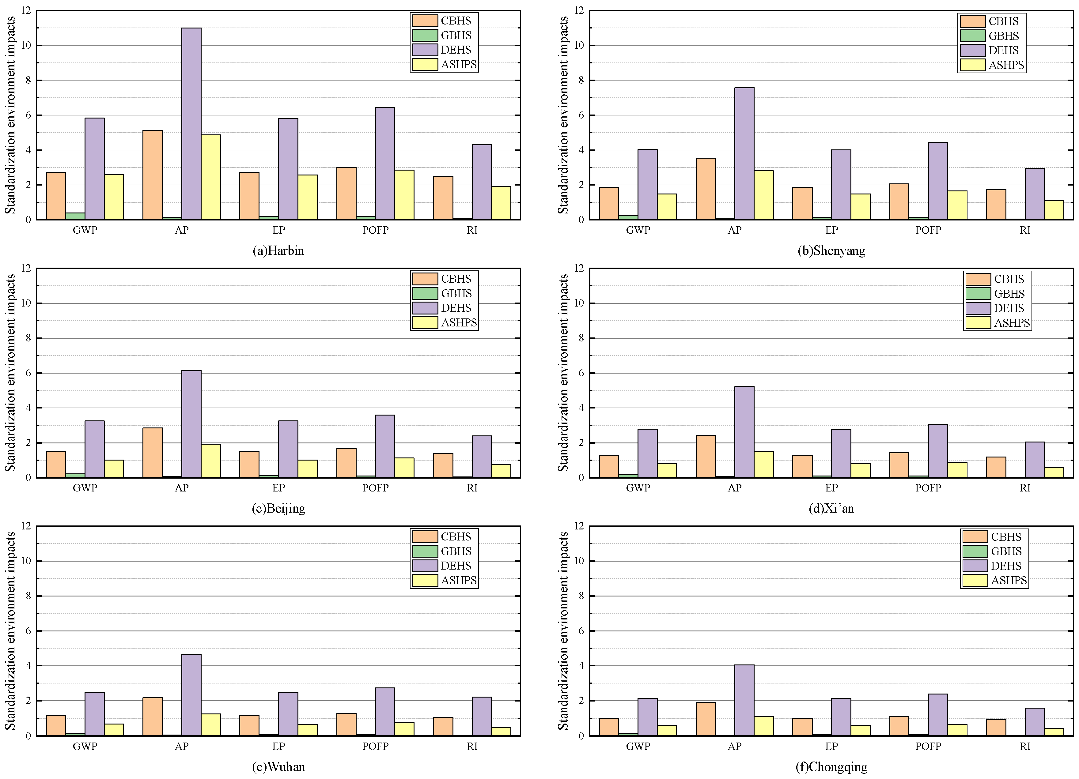
The contribution of the standardized EMP for the heating solutions of the six cities is depicted in Figure 5. It is found that the AP has the most significant environmental impact, while the RI has the lowest environmental impact. The GWP, EP, and POFP have almost equal environmental impacts.
Figure 5.
Comparison of environmental impact indexes after standardization. (a) Harbin; (b) Shenyang; (c) Beijing; (d) Xi’an; (e) Wuhan; (f) Chongqing.
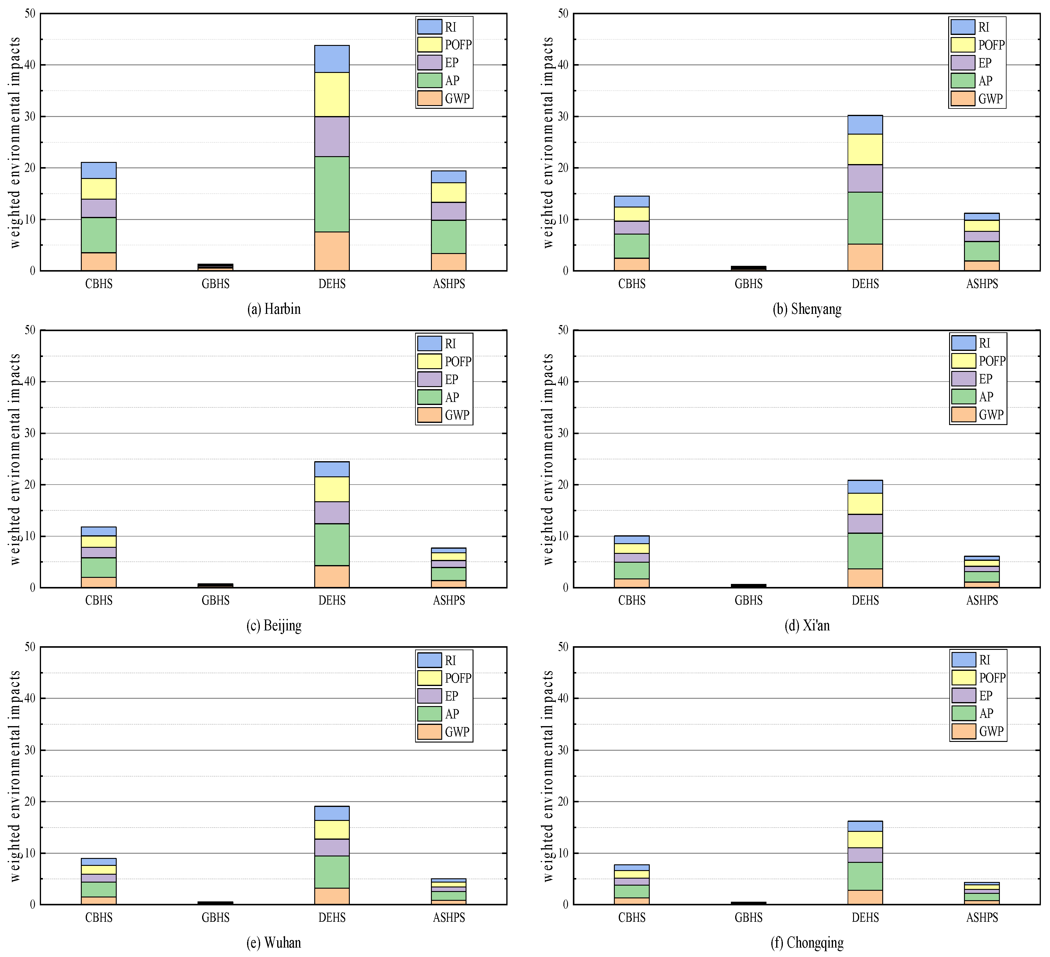
The weighted environmental impacts for the heating solutions of the six cities are shown in Figure 6. For the identical heating system, it is observed that the weighted EMP in the six cities from lowest to highest are as follows: Chongqing, Wuhan, Xi’an, Beijing, Shenyang, and Harbin. If Harbin is selected as the benchmark, the weighted EMP of Shenyang, Beijing, Xi’an, Wuhan, and Chongqing is about 58–69%, 39–56%, 31–48%, 26–44%, and 22–37% of the benchmark for the identical heating solution. The weighted EMP of DEHS is the highest and that of GBHS is the lowest. The weighted EMP of GBHS is about 6% of CBHS for the six typical cities. The weighted EMP of ASHPS is 92%, 77%, 65%, 60%, 56%, and 56% that of CBHS for Harbin, Shenyang, Beijing, Xi’an, Wuhan, and Chongqing, respectively. The weighted EMP of DEHS is about 108% higher than that of CBHS for all six typical cities.
Figure 6.
Weighted environmental impacts between different heating solutions. (a) Harbin; (b) Shenyang; (c) Beijing; (d) Xi’an; (e) Wuhan; (f) Chongqing.
3.3. Economic Cost Analysis of Different Heating Solutions
Figure 7 shows the LCC concerning the initial heating, operating, and ecological cost during the service life of the heating system in the rural residences of the six typical cities when different heating systems are used. The LCC at year 0 represents the INV of the heating system. The service life of different heating equipment is assumed to be 15 years. It can be seen that the LCC of the DEHS is always the highest one from the beginning of use to the end of the life, and the LCC of the CBHS is always the smallest one due to the price of scattered coal being relatively low. With the growth of the years, the heating cost of DEHS is much higher than that of other heating systems. The heating costs of the GBHS and ASHPS are about 16–39% and 4–57% higher than that of the CBHS, respectively. However, it can also be found that as the geographical latitude of rural residence decreases, the LCC of the GBHS and ASHPS are gradually closer to CBHS. After 15 years of operation, the LCC of GBHS system is 39%, 16%, 35%, 33%, 32%, and 31% higher than that of CBHS for Harbin, Shenyang, Beijing, Xi’an, Wuhan, and Chongqing, respectively. The LCC of ASHPS is 57%, 33%, 16%, and 10% higher than CBHS for Harbin, Shenyang, Beijing, and Xi’an, respectively, but 4% and 5% lower than CBHS for Wuhan and Chongqing, respectively. It can also be seen that the cost of GBHS is lower than that of ASHPS in Harbin and Shenyang. In the other four cities, the cost of GBHS is slightly lower than that of ASHPS when it is operated for less than six years, but the cost of ASHPS is lower than that of GHBS when it is utilized for more than six years. After 15 years of operation, the LCC of ASHPS is 14%, 18%, 21%, and 19% lower than that of the GBHS for Beijing, Xi’an, Wuhan, and Chongqing, respectively. It can also be seen that the ecological cost of DEHS is the largest, and the ecological cost of GBHS is the smallest. Compared with that of CBHS, the ecological cost of GBHS is decreased by about 87% for all six typical cities, and the ecological cost of ASHPS is decreased by 13%, 27%, 38%, 43%, 47%, and 47% for Harbin, Shenyang, Beijing, Xi’an, Wuhan, and Chongqing, respectively. However, the ecological cost of DEHS is about 97% higher than that of CBHS for all six typical cities. Through comparison, it can be found that with the decrease of the geographic latitude of rural residences, the use of ASHPS can reduce more ecological costs relative to CBHS in rural areas.
Figure 7.
Costs of different heating solutions in typical rural areas.(a) Harbin; (b) Shenyang; (c) Beijing; (d) Xi’an; (e) Wuhan; (f) Chongqing.
4. Conclusions
The environmental and economic analysis of heating solutions for rural residences was modeled. Based on the rural residences of six typical cities in China, the PEC, EMP and economic costs of four heating solutions, namely, CBHS, GBHS, DEHS, and ASHPS were compared and analyzed. The conclusions are as follows:
- (1)
- The PEC of GBHS and ASHPS is obviously lower than that of CBHS, with a decrease of about 33% and 6–43%, respectively. The PEC of DEHS is higher than that of CBHS, with an increase of about 115%.
- (2)
- Compared with CBHS, GBHS and ASHPS can reduce the emissions of the pollutants effectively, and the emissions, such as CO2, SO2, NOX, and PM2.5, can reduce by about 57–99% by using GBHS for the six typical cities. By using ASHPS, these emissions can reduce by about 5–93%, 33–95%, and 42–95% for the severe cold regions, the cold regions and the hot summer and cold winter regions, respectively. DEHS cannot reduce PM2.5 emission effectively, but increases the emissions of CO2, SO2, and NOX significantly.
- (3)
- The weighted EMP of DEHS is the largest and that of GBHS is the smallest. The weighted EMP of GBHS is about 6% of CBHS for all six typical cities. The weighted EMP of ASHPS is 92%, 77%, 65%, 60%, 56%, and 56% of CBHS for Harbin, Shenyang, Beijing, Xi’an, Wuhan, and Chongqing, respectively. The weighted EMP of DEHS is about 108% higher than that of CBHS for all six typical cities.
- (4)
- The life cycle cost of GBHS is about 33% higher than that of CBHS for the six typical cities. The life cycle cost of ASHPS is about 33–57% higher than CBHS for the severe cold region, but not much different or even less than CBHS for the cold region and hot-summer and cold-winter region. The life cycle cost of DEHS is increased by 194–230% compared with that of CBHS.
The conclusions of the paper are only based on the current composition of electricity generation which takes coal electricity as the primary component. China has committed to developing and utilizing alternative energy sources, and promoting a green and low-carbon transformation of its electricity generation. Non-fossil energy contributed a higher and higher percentage of China’s total energy consumption. The emissions owing to electricity generation have continued to decline significantly. Accordingly, the environmental impact for DEHS and ASHPS will decline in the future. Thus, ASHPS will be increasingly applicable as heating solutions for rural residences in the long-term and GBHS will be increasingly less favorable owing to the fact that gas is a fossil, non-renewable fuel.
Author Contributions
Z.Z., project administration, conceptualization, methodology; J.W., data curation, investigation, writing—original draft; M.Y. (Meiyuan Yang), data curation, format analysis; K.G., review and editing, formal analysis; M.Y. (Mei Yang), supervision, format analysis, visualization. All authors have read and agreed to the published version of the manuscript.
Funding
This research was funded by S&T Program of Hebei (20474501D), Natural Science Foundation of Hebei Province (E2020209121), Hebei Province Construction Science and Technology Research Program (2020-05-01), and Tangshan Science and Technology Innovation Team (21130202D).
Institutional Review Board Statement
Not applicable.
Informed Consent Statement
Not applicable.
Data Availability Statement
The data can be provided on request from corresponding authors.
Acknowledgments
The authors would like to acknowledge the support of North China University of Science and Technology for expert support.
Conflicts of Interest
The authors declare no conflict of interest.
Nomenclature
| A | Area |
| AP | Acidification potential |
| COP | Coefficient of heating performance |
| DR | Discount rate |
| E | Heating demand or energy consumption |
| EC | Ecological cost |
| ec | Unit ecological cost |
| EM | Emissions |
| EMP | Environmental impact |
| EP | Eutrophication potential |
| FC | Fuel cost |
| INV | Initial investment |
| GWP | Global warming potential |
| L | Lifetime |
| LCC | Life cycle cost |
| MC | Maintenance cost |
| OC | Operating cost |
| POFP | Photochemical ozone formation potential |
| PV | Present value |
| RI | Respiratory inorganics |
| q | Heating load |
| RR | Rising rate |
| T | Temperature |
| t | Time |
| η | Efficiency |
| μ | Emission conversion factor |
| Abbreviations | |
| ASHPS | Air source heat pump system |
| CBHS | Coal-fired boiler heating system |
| DEHS | Direct electric heating system |
| GBHS | Wall-hung gas-fired boiler heating system |
| LCA | Life cycle assessment |
| PEC | Primary energy consumption |
| Subscripts | |
| Add | addition |
| ambi | ambient |
| desi | design |
| e | electricity |
| h | heating |
| hle | heating limit external temperature |
| ng | natural gas |
| sc | standard coal |
| trans | transmission |
References
- Evans, M.; Yu, S.; Song, B.; Deng, Q.; Liu, J.; Delgado, A. Building energy efficiency in rural China. Energy Policy 2014, 64, 243–251. [Google Scholar] [CrossRef]
- Wang, R.; Jiang, Z. Energy consumption in China’s rural areas: A study based on the village energy survey. J. Clean. Prod. 2017, 143, 452–461. [Google Scholar] [CrossRef]
- Zhi, G.; Zhang, Y.; Sun, J.; Cheng, M.; Dang, H.; Liu, S.; Yang, J.; Zhang, Y.; Xue, Z.; Li, S.; et al. Village energy survey reveals missing rural raw coal in northern China: Significance in science and policy. Environ. Pollut. 2017, 223, 705–712. [Google Scholar] [CrossRef] [PubMed]
- Su, C.; Madani, H.; Palm, B. Heating solutions for residential buildings in China: Current status and future outlook. Energy Convers. Manag. 2018, 177, 493–510. [Google Scholar] [CrossRef]
- Guo, L.; Guo, X.; Fang, C.; Zhu, S. Observation analysis on characteristics of formation, evolution and transition of a long-lasting severe fog and haze episode in North China. Sci. China Earth Sci. 2015, 58, 329–344. [Google Scholar] [CrossRef]
- Zhao, P.; Fan, D.; Yang, Y.; Di, H.; Liu, H. Characteristics of carbonaceous aerosol in the region of Beijing, Tianjin, and Hebei, China. Atmos. Environ. 2013, 71, 389–398. [Google Scholar] [CrossRef]
- Zhang, R.; Jing, J.; Tao, J.; Hsu, S.C.; Wang, G.; Cao, J.; Lee, C.S.L.; Zhu, L.; Chen, Z.; Zhao, Y. Chemical characterization and source apportionment of PM2.5 in Beijing: Seasonal perspective. Atmos. Chem. Phys. 2014, 13, 7053–7074. [Google Scholar] [CrossRef] [Green Version]
- Dexiang, J.; Jing, H.; Zhang, H. Research on the Development Model of Replacing Coal with Electricity and its Application. Electr. Power 2015, 48, 190–192. [Google Scholar]
- Chen, H.; Chen, W. Potential impact of shifting coal to gas and electricity for building sectors in 28 major northern cities of China. Appl. Energy 2019, 236, 1049–1061. [Google Scholar] [CrossRef]
- Zhang, Q.; Zhang, L.; Nie, J.; Li, Y. Techno-economic analysis of air source heat pump applied for space heating in northern China. Appl. Energy 2017, 207, 533–542. [Google Scholar] [CrossRef]
- Nan, Z.; Zhang, Y.; Li, B.; Hao, J.; Chen, D.; Zhou, Y.; Dong, R. Natural gas and electricity: Two perspective technologies of substituting coal-burning stoves for rural heating and cooking in Hebei Province of China. Energy Sci. Eng. 2018, 7, 120–131. [Google Scholar]
- Zhang, C.; Yang, J. Economic benefits assessments of ‘coal-to-electricity’ project in rural residents heating based on life cycle cost. J. Clean. Prod. 2019, 213, 217–224. [Google Scholar] [CrossRef]
- Yang, Y. Heating carbon emission and system improvement for rural building of Beijing. Master’s Thesis, China Academy of Building Research, Beijing, China, 2019. [Google Scholar]
- Zheng, X. Analysis on the Technological, Economic and Environmental Effects of Coal Transformation in Rural Areas of Beijing. Master’s Thesis, Harbin Institute of Technology, Harbin, China, 2019. [Google Scholar]
- Xu, Y. Pollutant Emission and Comprehensive Benefit Evaluation of Clean Heating In Typical Northern Rural Areas in China. Master’s Thesis, Beijing University of Chemical Technology, Beijing, China, 2020. [Google Scholar]
- Dai, B.; Qi, H.; Dou, W.; Liu, S.; Zhong, D.; Yang, H.; Nian, V.; Hao, Y. Life cycle energy, emissions and cost evaluation of CO2 air source heat pump system to replace traditional heating methods for residential heating in China: System configurations. Energy Convers. Manag. 2020, 218, 112954. [Google Scholar] [CrossRef]
- Deng, M.; Ma, R.; Lu, F.; Nie, Y.; Yang, X. Techno-economic performances of clean heating solutions to replace raw coal for heating in Northern rural China. Energy Build. 2021, 240, 110881. [Google Scholar] [CrossRef]
- Yu, M.; Li, S.; Zhang, X.; Zhao, Y. Techno-economic analysis of air source heat pump combined with latent thermal energy storage applied for space heating in China. Appl. Therm. Eng. 2021, 185, 116434. [Google Scholar] [CrossRef]
- Saoud, A.; Harajli, H.; Manneh, R. Cradle-to-grave life cycle assessment of an air to water heat pump: Case study for the Lebanese context and comparison with solar and conventional electric water heaters for residential application. J. Build. Eng. 2021, 44, 103253. [Google Scholar] [CrossRef]
- Cabeza, L.F.; Rincón, L.; Vilariño, V.; Pérez, G.; Castell, A. Life cycle assessment (LCA) and life cycle energy analysis (LCEA) of buildings and the building sector: A review. Renew. Sustain. Energy Rev. 2014, 29, 394–416. [Google Scholar] [CrossRef]
- Shah, V.P.; Debella, D.C.; Ries, R.J. Life cycle assessment of residential heating and cooling systems in four regions in the United States. Energy Build. 2008, 40, 503–513. [Google Scholar] [CrossRef]
- Raluy, R.G.; Dias, A.C. Domestic hot water systems: Environmental performance from a life cycle assessment perspective. Sustain. Prod. Consum. 2021, 26, 1011–1020. [Google Scholar] [CrossRef]
- Nitkiewicz, A.; Sekret, R. Comparison of LCA results of low temperature heat plant using electric heat pump, absorption heat pump and gas-fired boiler. Energy Convers. Manag. 2014, 87, 647–652. [Google Scholar] [CrossRef]
- Vignali, G. Environmental assessment of domestic boilers: A comparison of condensing and traditional technology using life cycle assessment methodology. J. Clean. Prod. 2016, 2493–2508. [Google Scholar]
- Song, F.; Zhu, Q.; Wu, R.; Yi, J.; Li, Q. Meteorological data set for building thermal environment analysis of china. In Proceedings of the The 10th International Building Performance Simulation Association Conference and Exhibition, Beijing, China, 3–6 September 2007. [Google Scholar]
- Ministry of Housing and Urban-Rural Development of the People’s Republic of China. Design Standard for Energy Efficiency of Rural Residential Buildings; China Building Industry Press: Beijing, China, 2013; Volume GB/T 50804-2013. [Google Scholar]
- Liu, S.; Li, Z.; Dai, B.; Zhong, Z.; Li, H.; Song, M.; Sun, Z. Energetic, economic and environmental analysis of air source transcritical CO2 heat pump system for residential heating in China. Appl. Therm. Eng. 2019, 148, 1425–1439. [Google Scholar] [CrossRef]
- Wei, W.; Ni, L.; Zhou, C.; Yao, Y.; Xu, L.; Yang, Y. Performance analysis of a quasi-two stage compression air source heat pump in severe cold region with a new control strategy. Appl. Therm. Eng. 2020, 174, 115317. [Google Scholar] [CrossRef]
- Wang, C.; Xu, A.; Jiao, S.; Zhou, Z.; Zhang, D.; Liu, J.; Ling, J.; Gao, F.; Rameezdeen, R.; Wang, L.; et al. Environmental impact assessment of office building heating and cooling sources: A life cycle approach. J. Clean. Prod. 2020, 261, 121140. [Google Scholar] [CrossRef]
- De Wolf, C.; Hoxha, E.; Hollberg, A.; Fivet, C.; Ochsendorf, J. Database of Embodied Quantity Outputs: Lowering Material Impacts Through Engineering. J. Archit. Eng. 2020, 26, 04020016. [Google Scholar] [CrossRef]
- Yang, J. Product Life Cycle Assessment Methods and Applications; China Meteorological Press: Beijing, China, 2002. [Google Scholar]
- Lin, M.; Zhang, S.; Chen, Y. Distance-to-Target Weighting in Life Cycle Impact Assessment Based on Chinese Environmental Policy for the Period 1995–2005 (6 pp). Int. J. Life Cycle Assess. 2005, 10, 393–398. [Google Scholar] [CrossRef]
- Hong, T. A close look at the China Design Standard for Energy Efficiency of Public Buildings. Energy Build. 2009, 41, 426–435. [Google Scholar] [CrossRef]
- Ozbay, K.; Parker, N.; Jawad, D.; Hussein, S. Guidelines for Life Cycle Cost Analysis. Econ. Anal. 2003, 41, 426–435. [Google Scholar]
- Hakkaki-Fard, A.; Eslami-Nejad, P.; Aidoun, Z.; Ouzzane, M. A techno-economic comparison of a direct expansion ground-source and an air-source heat pump system in Canadian cold climates. Energy 2015, 87, 49–59. [Google Scholar] [CrossRef]
- Finkbeiner, M.; Inaba, A.; Tan, R.B.H.; Christiansen, K.; Klueppel, H.J. The New International Standards for Life Cycle Assessment: ISO 14040 and ISO 14044. Int. J. Life Cycle Assess. 2006, 11, 80–85. [Google Scholar] [CrossRef]
Publisher’s Note: MDPI stays neutral with regard to jurisdictional claims in published maps and institutional affiliations. |
© 2022 by the authors. Licensee MDPI, Basel, Switzerland. This article is an open access article distributed under the terms and conditions of the Creative Commons Attribution (CC BY) license (https://creativecommons.org/licenses/by/4.0/).






