Abstract
In the current work, the effects of biochar, vermicompost, as well as their combined application on ammonia-oxidizing archaea (AOA) and ammonia-oxidizing bacteria (AOB) in soils contaminated with potentially toxic elements (PTEs) were investigated. In this regard, four treatments were performed; among them, treatment A served as a control without additive, treatment B with vermicompost (2%), treatment C with biochar (2%), and treatment D with biochar (2%) plus vermicompost (2%). In addition, the abundance and structure of the AOA and AOB amoA gene were measured using quantitative PCR and high-throughput sequencing. The relationships between the microbial community, physicochemical parameters, and CaCl2-extractable PTEs were analyzed using the Pearson correlation method. We found that adding biochar and vermicompost promoted the immobilization of PTEs and nitrogen biotransformation. The rational use of biochar and vermicompost is beneficial for the growth of bacterial and fungal communities in soils polluted by PTEs. AOA and AOB amoA genes were stimulated by biochar, vermicompost, and their combination, but their structure was hardly affected.
1. Introduction
Soils with potentially toxic elements (PTEs) have become a leading global concern owing to their non-biodegradability and persistent toxicity under environmental conditions [1]. Anthropogenic activities, including mining, agricultural fertilizers, and sewage irrigation, generate the accumulation of PTEs, mainly in cultivated lands [2]. These hazardous metals in soils may affect soil biodiversity, threaten plants, and decrease agricultural productivity [3]. In addition, they can probably influence human health via bioaccumulation in the food chain. According to Kou et al. [4], about 10% of China’s cultivated land faces PTEs contamination of various types at varying levels, and the area is prone to expansion owing to the intensification of industrial and economic development. As a result, it is essential to take adequate measures to rehabilitate soils contaminated with PTEs and restore their functionality.
Currently, numerous remediation strategies, such as physical, chemical, phytoremediation, and biological remediation [3,5,6,7,8], are applied to resolve PTEs contamination. However, each approach has some disadvantages. In situ remediation techniques applying new chemical agents could cause secondary pollution in soils, while the ex situ remediation method is generally expensive and potentially hazardous for the diversity of soil bio-communities [9]. Phytoremediation is commonly effective against specific PTEs in a long removal cycle and is not suitable for limited cultivable land [10]. At this point, selecting low-cost, environment-friendly, and novel materials is imperative.
Biochar refers to the carbonaceous product generated by the slow pyrolysis of carbon-rich biomass based on hypoxic situations [11]. The physicochemical properties of this carbonaceous material (such as high porosity, high organic carbon content, or large surface area) make it suitable for various environmental applications, including stimulating soil fertility and quality [12], lowering greenhouse gas emissions of soil [13], and repairing contaminated soil [14,15]. In addition, it was discovered that vermicompost is the product of vermicomposting generated (from municipal waste, livestock and poultry manure, crop straw, waste residue, and organic sludge) after earthworms metabolize and excrete soil and organic matter (OM) [16]. Vermicompost is a finely divided, peat-like material characterized by high porosity, air permeability, water retention, high nutrient content, and reduced toxins [17,18]. Vermicompost can passivate PTEs based on two mechanisms. One is to directly use earthworms’ adsorption and enrichment of PTEs to remove them in compost raw materials [19], and another is to use OM and humus components in vermicompost to adsorb PTEs for immobilizing them in soils [20]. Moreover, previous research results demonstrated that vermicompost is an outstanding organic fertilizer, and its rational application significantly promotes soil fertility and crop growth [21].
As essential participants in soil biochemical reactions, soil microorganisms have a significant impact on soil nutrient cycling and conversion [22] and are considered indicators of PTE-contaminated soil as they are highly sensitive to metal-caused stress [23]. Adding biochar and vermicompost affects the physicochemical properties in soils, further modifying the functions of microbial communities. Numerous studies have been performed to determine how biochar and vermicompost addition affects soil’s bacterial and fungal communities [24,25]. However, until now, the impacts on functional microbial communities, such as AOA and AOB, and important factors influencing the behaviors in PTE-contaminated soils remain unknown. The same functional amoA gene is used by AOA and AOB to encode a subunit of ammonia monooxygenase (AMO) enzyme in charge of the first step of nitrification. Additionally, it can be demonstrated that nitrification’s initial and rate-limiting step is the microbial oxidation of ammonia. Thus, we determined the balance of nitrogen transformation between the oxidized and lowered states.
Thus, the present study investigates the functional genes of the nitrogen cycle and the shaping factors in soils with potentially toxic element (PTEs) contamination (arsenic, copper, cadmium, and zinc) with biochar remediation and vermicomposting. Of note, the physicochemical parameters and transformation of nitrogen were detected. The functional gene abundance and structure in AOA and AOB were investigated using quantitative PCR and high-throughput sequencing, respectively. Further, the correlation of gene abundance and structure with physicochemical parameters was measured through regression analysis and multivariate analysis, respectively. We speculate that the combined addition of vermicompost and biochar contributes to the growth of soil microorganisms and the maintenance of soil fertility. Whereby this study is expected to offer theoretical guidance to soil management and promote the understanding of microbial mechanistic pathways for nitrogen loss control, it provides a reference for soil improvement and soil sustainability.
2. Materials and Methods
2.1. Soil, Biochar, and Vermicompost Preparation
The soil samples were acquired in a field contaminated with PTEs in Hunan’s Shimen. In the 100 m × 100 m sampling field, each 10 kg of soil (0–20 cm) was sampled uniformly from each of 4 experimental plots (1 m × 1 m) where the residual plants and visible stones were discarded. After being placed in a PE barrel, the soil samples were dried in the air at ambient temperature until their weights were constant. In the meantime, Pinus halepensis was used to prepare the biochar. Following a 2 d drying at 105 °C, the P. halepensis feedstock was subjected to 1 h pyrolysis at 450 °C using an LT 9/11/SKM muffle furnace (Nabertherm, Lilienthal, Germany) in a closed 10 cm diameter steel container with a height of 12 cm, whose top was perforated for discharging gases. Apart from the exhaust air outlet, the furnace was also provided with an adjustable door-mounted working air inlet. As for the charred material, it was subjected to fast quenching in water and subsequent drying for an entire day at 105 °C. Table 1 details the physicochemical performance indicators for the soil and biochar. After preparing the soil samples plus biochar, we prepared the vermicompost samples. The online-procured cow-manure-derived vermicompost of Eisenia fetida was dried in the air, pulverized, sieved through a sieve (2 mm), and subsequently stored.
Table 1.
Physicochemical characteristics of experimental soil and biochar.
As presented in Table 2, four treatments were conducted with the experimental soil sample barrel containing four plots (plastic bucket, specification 3 L); among them, treatment A served (2 kg sample soil) as a control with no additive, treatment B (2 kg sample soil) with vermicompost (2%, 40 g), treatment C (2 kg sample soil) with biochar (2%, 40 g), and treatment D (2 kg sample soil) with biochar (2%, 40 g) plus vermicompost (2%, 40 g). The soil was turned over to distribute it evenly after adding the amendments. The four treatments were cultured for 100 days in a climatic chamber with a moisture content of 70% as well as a temperature of 25 ± 2 °C.
Table 2.
Treatments of incubation experiments.
2.2. Samples Collection and Parameters Determination
In this study, the subsamples for sample property analysis were collected on days 0, 50, and 100. Subsamples were uniformly taken from soil samples under different treatments and then mixed, and each subsample was repeated 3 times. The samples for DNA extraction and discerning functional genes were pooled, mixed, and preserved at –20 °C prior to use. The samples for physicochemical parameter determination were collected and preserved at 4 °C prior to use. According to our previous study, physicochemical parameters, such as pH, electrical conductivity (EC), humidity, OM, ammonium (NH4+-N), and nitrate (NO3–-N), were decided. Briefly, 3 g of soil were accurately weighed and placed in a 50 mL conical flask, and then 30 mL of 0.01 M CaCl2 solution was added to improve the treated soil. After shaking at 60 rpm (revolution/min) for 24 h, it was centrifuged at 3500 r/min for 20 min, filtered with 0.45 organic filter to obtain the supernatant, mixed with 1~2 drops of 1 moL/L HNO3 solution, and finally the extract was used after determination by ICP-MS.
2.3. Quantitative PCR
From the freeze-dried ~0.5 g of compost samples, triplicate extraction of total genomic DNA was accomplished with PowerSoil Kit (MoBio Laboratories, Carlsbad, CA, USA). To lower the sample variability, we acquired the DNA extracts for each sample, which were subjected to –20 °C cryopreservation before the qPCR (quantitative PCR) process. The amoA gene richness was quantified for AOA and AOB using the amoA-1f/amoA-2r and CrenamoA-23f/CrenamoA-616r primers [26]. In addition, utilizing a thermocycler (iCycler IQ5, Bio-Rad, Benicia, CA, USA), triplicate qPCRs were set up in the 20 µL volume reactions as follows: 2 × SYBR real-time PCR premixture (10 µL; Bioteke, Beijing, China), every 10 µM primer (0.4 µL), sterile water (8.2 µL), and DNA extract (1 µL). This was followed by triplicate qPCR reactions under the conditions shown below: initial 3-min denaturation at 95 °C; 40 cycles at 95 °C for 30 s, at 55 °C for 40 s, and at 72 °C for 40 s. The temperature at which the data were retrieved was 72 °C. Afterward, standard qPCR curves were drawn using the serial dilutions (10-fold) of cloned amoA-containing linearized plasmids. The orders of magnitude for these curves varied between 1.0 × 103–1.0 × 108 copies of the template. A melting curve was used to complete the reactions to test the gene amplification specificity.
2.4. High-Throughput Sequencing
The DNA extracts were mixed and homogenized to analyze AOA and AOB structures. The community structure of different samples was measured with sequencing techniques and general PCR. The previous description showed that PCR procedure and materials showed similarity, except for the 2 × SYBR PCR premixture (Bioteke, Beijing, China). The Toyobo DNA Purification Kit (Osaka, Japan) was used to purify the PCR products. It was revealed that DNA fragment processing and sequencing show similarity [27]. AOA and AOB amoA gene sequences consist of 25 operational taxonomic units (OTUs) by BLAST with 97% similarity between different samplings. In addition, representative nucleotide sequences were positioned in GenBank (accession numbers for OTU 1 to OTU 20 were MH589347.1 to MF324490.1, separately). Furthermore, sequences with more than 97% identity were retrieved from the National Center for Biotechnology Information (NCBI). A phylogenetic tree was constructed using MEGA 6.0 software [28] with 1000 bootstrap replicates for branch support. Based on Evolview (www.evolgenius.info/evolview, accessed on 10 September 2021) along the combination of the neighbor-joining tree, the heatmap for OTUs’ relative abundance was constructed.
2.5. Data Analysis
Three replicate determinations were performed in physicochemical parameter analyses, taking mean values for performing further analyses. Before further analyzing functional genes, the original data of gene abundances were log10-transformed. In addition, a one-way investigation of variance was made on parameters with the application of SPSS (version 11.5) in order to verify if the means were significantly different at the 95% confidence level. In order to determine correlation coefficients between parameters and different functional genes, correlation analysis was performed. Curve estimation of regression analysis was conducted to assess correlations between every related physicochemical parameter and the abundance genes. p < 0.05 indicated statistical significance.
3. Results and Discussion
3.1. Physicochemical Parameters
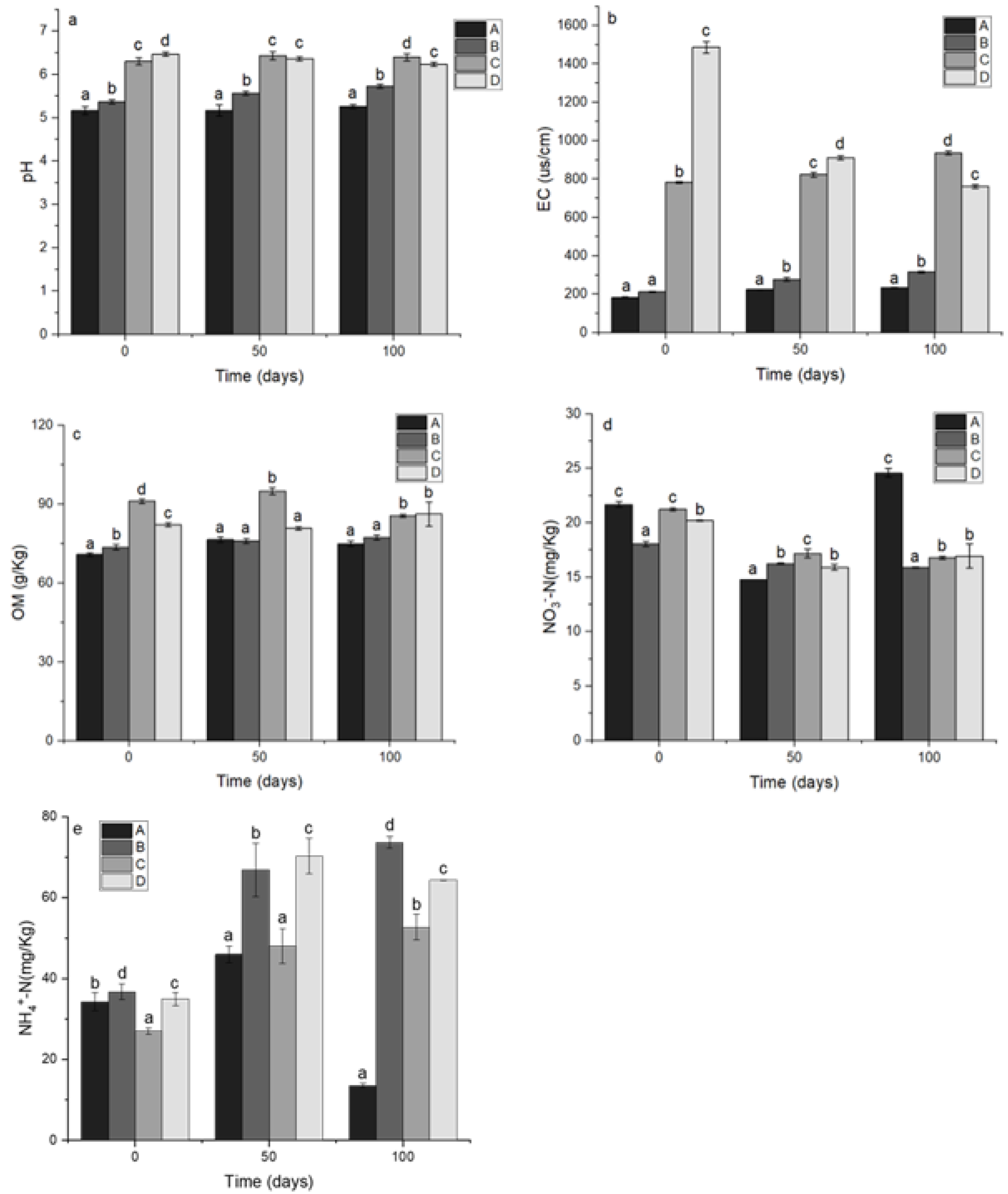
Figure 1 presents the physicochemical parameters of the soils in treatments. Throughout the whole culture process, the soil pH of treatments C and D increased remarkably compared to the unamended control, whereas a slight alteration was found in the soil pH of treatment B (Figure 1a). This could be attributed to the following factors: first, biochar itself exhibits alkaline characteristics owing to the abundant surface functional groups (carboxylic, phenolic, hydroxyl, carbonyl, and quinone groups) [29]; second, previous studies have shown that organic anions (O– and COO–) and inorganic carbonates of biochar could combine with acid ions in the soil, reducing the H+ content in the soil and raising soil pH [30]. Biochar and vermicompost can reduce soil salinity and conductivity through adsorption and ion exchange, which is one of the reasons for the decline in EC.
Figure 1.
Impact of amendments on the soil properties: (a) pH, (b) EC, (c) OM, (d) NO3−-N, (e) NH4+-N. Different letters above bars suggest significant differences between mean values at each sampling occasion (p < 0.05).
The EC value of soil amended with biochar or biochar/vermicompost was dramatically enhanced by 600 and 1303, respectively, while little change was spotted in the soil with the addition of vermicompost alone compared to the control (Figure 1b). On day 1, soil with biochar/vermicompost addition displayed the highest EC amounts among all treatments. According to the results, biochar primarily increased soil EC, and vermicompost contributed to biochar’s effect on soil. This might be interpreted as the biochar’s gradual release of alkali and alkaline-earth metals into the soil [31]. As a result of continuous vermicompost mineralization [32], the soil OM could be decomposed to tremendous humic acids and salts, causing a significant increase in soil EC. Additionally, compared with treatments A, B, and C, a decreased trend was found in the EC of treatment D during the whole experiment. This could be driven by the microbial assimilation of nitrates and sulfates produced by OM decomposition [33].
Biochar amendments showed the best improvement in OM contents in soil (Figure 1c). This figure peaked at day 50 at 94.9 g/kg, a 24.17% increase compared to the control. This might indicate that biochar induced a high respiration rate and fast OM decomposition, which meant high microbiological activity in the soil [34,35]. Moreover, a decreasing trend was found in OM contents in the control soil and biochar-amended soil from day 50 to day 100. Additionally, it was interpreted by the consumption of soil OM of soil microorganisms in their life activities.
Changes in nitrogen-relevant substances were obtained, as shown in Figure 1d,e. The NH4+-N amounts decreased sharply from 46.03 mg/kg to 13.57 mg/kg, while the NO3−-N amounts increased dramatically from 14.76 mg/kg to 24.57 mg/kg in control check (CK) from day 50 to day 100. This suggested the activity of ammonia-oxidizing microbial communities during incubation. In addition, the NH4+-N amounts of treatment B were higher in comparison to CK, suggesting that the addition of vermicompost contributes to the ammonification of organic nitrogen. The obtained results are consistent with Zhang et al. [36]. NO3−-N is one of the important nutrients for plants, and it is easily lost by leaching or denitrification before its utilization by plants and crops, possibly causing some pollution of groundwater and estuaries.
3.2. Impacts on the Form of CaCl2-Extractable PTEs
There are five types of PTEs forms in soil: soluble-exchangeable, carbonate-bound, Fe-Mn-oxide-bound, OM-bound, and residual PTEs. Accordingly, the toxicity presents a reduction, and CaCl2-extractable PTEs indicate the speciation readily available to organisms. By adding vermicompost, the effective speciation of As and Cu in soil reached the highest point of 0.078 mg/kg on day 100 and 0.081 mg/kg on day 50, respectively (Figure 2a,b). Adding biochar or biochar/vermicompost dramatically decreased the efficient forms of Cu, Zn, and Cd, particularly in treatments C and D (Figure 2b–d). On the 100th day, the effective forms of Zn and Cd contents under the C and D treatments decreased by 93.92% and 64.58% and by 90.65% and 63.55% in comparison to CK, respectively. Nevertheless, a slight fluctuation was observed in the effective speciation of soil amended with biochar, vermicompost, or biochar/vermicompost. In addition, the results of the Pearson correlation analysis are shown in Table 3. pH was significantly negatively correlated with Zn and Cd (p < 0.01). It was indicated that the reason for the significantly decreased Zn and Cd in biochar and biochar/vermicompost treatment was caused by the change in pH.
Figure 2.
Impact of amendments on the concentration of CaCl2-extractable PTEs: (a) Cu, (b) As, (c) Zn, (d) Cd in soil. For every sampling scenario, the distinct differences (p < 0.05) between means are indicated by varying letters on top of columns.
Table 3.
Correlations between the functional gene abundance, structure, physicochemical parameters, and CaCl2-extractable PTEs.
As it is known to us, the effective speciation analysis of PTEs in soil can evaluate toxicity of PTEs, and PTEs bioavailability in soil is decided by soil pH values [37]. Our experimental results suggested that adding biochar or biochar/vermicompost possibly increases soil pH, thus promoting the passivation of PTEs in soil. Prior studies have indicated the role of adding biochar in promoting the immobilization rate in PTEs and lowering the bioavailability [38]. Meanwhile, these functional groups on the biochar surface can change soil nature and provide reaction sites for PTEs redox reactions. In addition, the biochar surface has rich hydroxyl, carboxyl, and carbonyl groups that may be integrated with PTEs in the soil through electrostatics, ion exchanges, and complexation [39]. These functional groups on biochar surfaces can also offer active sites for PTEs redox reactions by adsorption [40]. Additionally, the soil pH can be promoted by earthworms because of their vital activity. Obviously, the cutaneous mucus cast in earthworms was alkaline [41,42]. Vermicompost with a low carbon-to-nitrogen ratio and a high proportion of humic substances to TOC might effectively decrease the mobility of PTEs. Moreover, vermicompost shows a huge potential for passivating PTEs in soils as its humic substances possess various functional groups, including alcoholic hydroxyl groups, carboxyl groups, phenolic hydroxyl groups, and methoxyl groups, resulting in high complexation, redox, and adsorption capacity against metal ions [43]. This is similar to our experimental result, in which the addition of vermicompost supports the solidification of PTEs in soil.
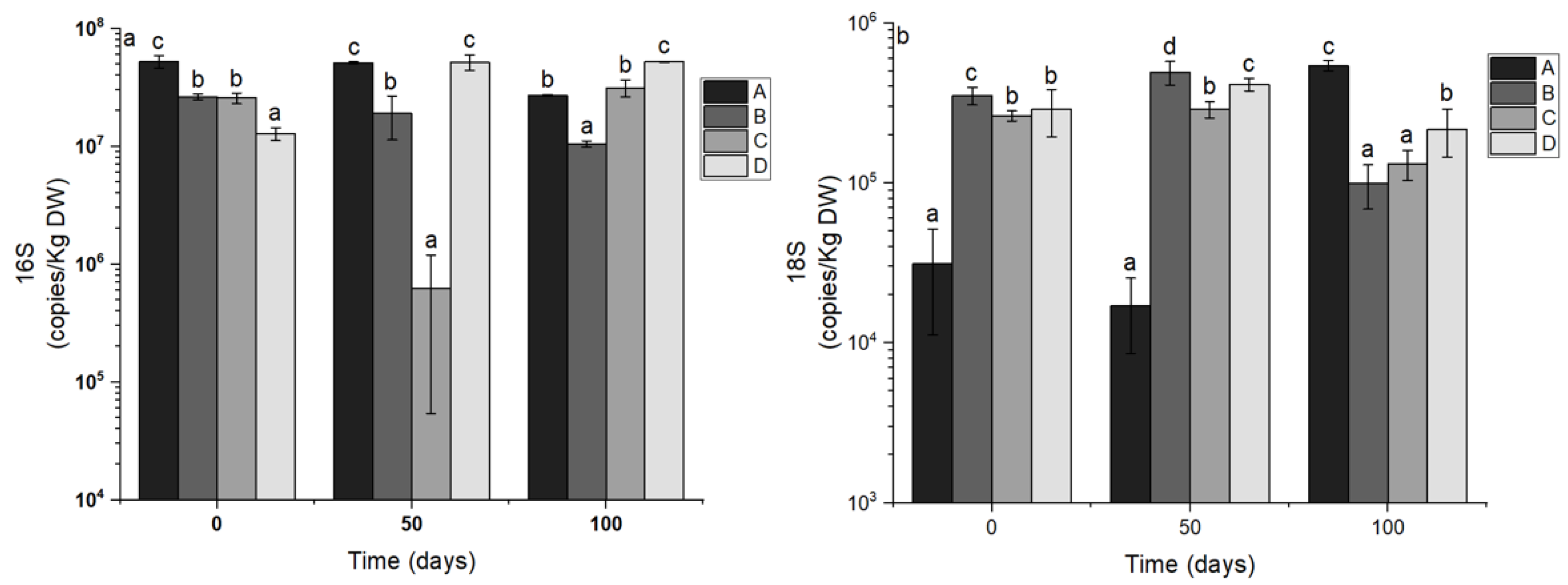
3.3. Abundance of 16S rRNA and 18S rRNA
Employing biochar in soil considerably decreased the bacterial 16S rRNA gene abundance (Figure 3a), while adding vermicompost or biochar plus vermicompost exerted lesser effects on the fall of bacterial community abundance, and the maximum abundance was observed on day 50 after vermicompost amendments. However, the abundance of fungi 18S rRNA in treatment B, C, and D were noticeably higher in contrast to the control soil on day 0 and day 50 (Figure 3b). According to the findings, the rational use of biochar and vermicompost is conducive to the growth of microorganisms in the soil.
Figure 3.
Abundance statistics for the (a) 16S rRNA and (b) 18S rRNA genes. The distinct differences (p < 0.05) for every sampling scenario are indicated by varying letters on top of the columns.
Previous research revealed the correlation between biochar’s beneficial impacts and its concentration. Although low-content biochar application could foster enzyme and microbial activity by offering small amounts of nutrients and promoting soil physicochemical properties, higher biochar levels exert negative effects [44]. There may be some components in vermicompost and biochar that are toxic to some microorganisms or change soil pH or other physical and chemical factors to inhibit the growth of some microorganisms. Previous study indicated that microbial community abundance was positively correlated with biochar amendment content [45]. When bamboo biochar was added to sandy loam soils, microbial community diversity was significantly increased [46]. Yang et al. [47] suggested that biochar could facilitate microbial proliferation by offering fundamental OM associated with water stability in soil aggregated sand. Biochar’s abundant surface area, as well as its absorbent structure, provide proper habitats for microorganisms. In addition, the alteration in soil microbial communities induced by biochar could facilitate soil nutrient cycling, thereby enhancing crops’ nutrient availability [48]. Previous experiments demonstrated that the vermicompost formed by cow excrement treated with earthworm biological bed was abundant in actinomycetes and fungi, with the amount increasing by two orders of magnitude. Earthworms’ secretions were rich in amino acids, polysaccharides, biological enzymes, and other ingredients which constituted the feed of soil microorganisms. This might be because the secretions of earthworms provide sufficient nutrients, water, and energy for microorganisms and influence the reproduction and action of microorganisms [49,50]. In addition, the digestive tract of earthworms was a small activity room for some microorganisms, which led to a sharp increase in microorganisms. Additionally, vermicompost has an abundant surface area allowing many beneficial microorganisms to survive and has a good ability to absorb and retain nutrients [51,52].
3.4. AOA and AOB Gene Abundance and Structure
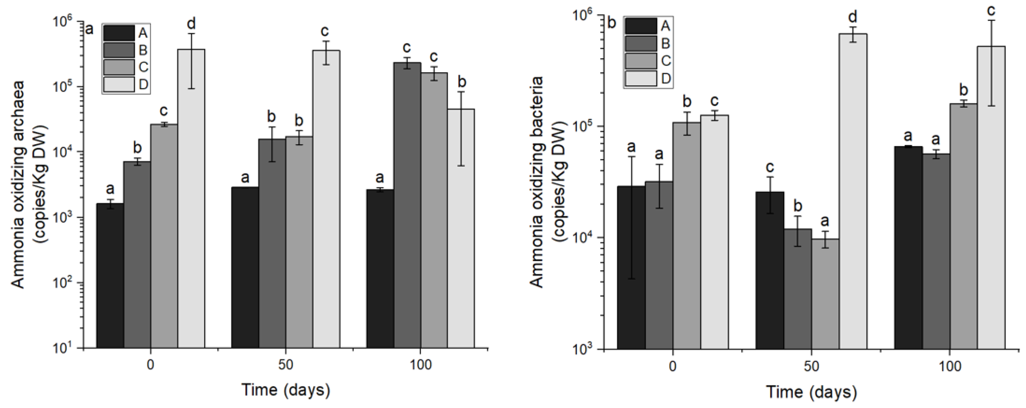
In line with Figure 4, it could be found that AOA and AOB amoA genes were extensively distributed in the culture process. Overall, the gene abundance of AOB exceeded that of AOA on both days 0 and 50. The functional genes of AOB amoA gradually increased after treatment with no amendments (Figure 4b). On the 50th day, the abundance of AOA and AOB amoA in soil under the combined action of biochar and vermicompost presented peaks, which were 3.57× 105 and 6.76 × 105 copies g–1, respectively. Throughout the experimental process, the employment of biochar/vermicompost stimulated AOA and AOB amoA communities (Figure 4), similar to the study by [53]. At times, soil nitrogen losses were appropriately decreased through biochar and vermicompost addition.
Figure 4.
Changes in amoA gene abundance in 4 different treatments: (a) AOA amoA gene and (b) AOB amoA gene. Different letters above bars suggest significant differences between mean values at each sampling occasion (p < 0.05).
The phylogenetic tree (Figure 5a,b) for AOA and AOB amoA gene indicated that the sequences were mostly from the soil/sediment lineage, especially group 1 Nitrososphaera as well as its sister clusters. Based on the relative abundance of operational taxonomic unit (OTU) (Figure 5), the dominant archaea were OTU 1–2 and OTU 21–22, which were present across the complete process, and the relative abundance attained over 63.98 and 90.72% occasionally. Some species of Nitrososphaera were present in smaller numbers, such as OTU 20 and OTU 40, which appeared very rarely (at detectable levels) in 12 different samples. In particular, the relative abundance of OTU 14–20 and OTU 27–40 is less than 0.5% when they appear. Their genetic relationship with the predominant species (OTU 1–2 and OUT 21–22) is insignificant, as shown in the phylogenetic tree (Figure 5).
Figure 5.
Top 20 phylogenetic tree of (a) AOA amoA gene and (b) AOB amoA gene. Grey dots mean the correlation is less than 50%, yellow dots represent correlations between 50 and 80%, and red dots represent correlations between 80 and100%.
Ammonia monooxygenase activity significantly influences the ammoxidation process in soils and is the rate-determining step of the ammonium (NH4+-N) to hydroxylamine (NH2OH) reaction. It was shown that, compared with its AOA counterparts, the ammonia-oxidizing community activities were found to be better portrayed by the AOB gene [54]. In addition, it was possibly because AOB was the main contributor to the aerobic ammonium oxidation process in agricultural soils, nitrogen-rich grassland ecosystems, and mangrove sediments [55]. Results reveal the role of biochar in promoting AOA and AOB abundance by enhancing soil nutrients, which is similar to our study. In addition, soil type can also lead to changes in the structure and abundance of nitrogen-cycling bacteria [56]. The increase in microbial community abundance or functional enzyme activity affected by vermicompost and biochar might likely be induced by the soil substance availability. The higher abundance in AOA and AOB community in soils in combination treatment might be linked to the interaction between vermicompost and biochar. Additionally, soil pH ranks among the crucial elements in AOB communities, which includes the direct effects on AOB and indirect effects on soil activities [57]. In a direct way, pH determines the presence of ammonia in soils. As pH lowers, ammonia (NH3) is transformed to ammonium (NH4+); thus, reducing substrate NH3, and affecting AOB in terms of activity, abundance, and species [58,59,60,61]. Previous indications also showed that the fluctuations and stoichiometric interactions between β-glucosidase, N-acetylglucosaminidase, leucine aminopeptidase, and acid phosphatase were also significantly changed after applying biochar and compost to soils polluted by PTEs [62]. Compost and biochar/compost application alleviated C-limitation in soils containing Cu, As, Cd, Zn, etc. [62].
4. Conclusions
In conclusion, after supplementing biochar, the toxicity level of PTEs (Cd and Zn) in soils changes notably. Biochar addition significantly changes the pH, EC, and OM, and vermicompost facilitates organic nitrogen preservation. Additionally, adding biochar or biochar/vermicompost dramatically decreased the efficient forms of Cu, Zn, and Cd. Biochar/vermicomposting significantly stimulated AOA and AOB amoA communities in PTEs-contaminated soils restored by vermicompost and biochar. This study is of great significance for remediating PTEs in soil and revealing the changes in microbial communities in PTEs.
Author Contributions
Necessary material gathering and thesis preparation were done jointly by Z.H.; W.H. was responsible for manuscript design and reviewing and modifying the manuscript. The published version has been read and confirmed by all authors. All authors have read and agreed to the published version of the manuscript.
Funding
This work was funded under Nos. U20A2086 and 51408219 by the National Natural Science Foundation of China.
Institutional Review Board Statement
Not applicable.
Informed Consent Statement
Not applicable.
Data Availability Statement
The datasets explored and/or generated in the present work can be obtained by reasonable request from the corresponding author.
Acknowledgments
We are grateful for the persistent encouragement and exceptional patience of Lin Luo from Hunan Agricultural University, who helped us considerably by offering necessary materials, precious advice, as well as enlightening ideas. We also thank the anonymous reviewers for their precious comments, which are conducive to upgrading the manuscript quality.
Conflicts of Interest
The authors declare no conflict of interest.
References
- Yuan, X.; Xue, N.; Han, Z. A meta-analysis of heavy metals pollution in farmland and urban soils in China over the past 20 years-ScienceDirect. J. Environ. Sci. 2021, 101, 217–226. [Google Scholar] [CrossRef]
- Hou, D.; Ding, Z.; Li, G.; Wu, L.; Hu, P.; Guo, G.; Wang, X.; Ma, Y.; O’Connor, D.; Wang, X. A sustainability assessment framework for agricultural land remediation in China. Land Degrad. Dev. 2018, 29, 1005–1018. [Google Scholar] [CrossRef]
- Bolan, N.; Kunhikrishnan, A.; Thangarajan, R.; Kumpiene, J.; Park, J.; Makino, T.; Kirkham, M.B.; Scheckel, K. Remediation of heavy metal(loid)s contaminated soils—To mobilize or to immobilize. J. Hazard. Mater. 2014, 266, 141–166. [Google Scholar] [CrossRef] [PubMed]
- Kou, S.; Gilles, V.; Emmanuel, G.; Pitre, F.E.; Michel, L.; Brereton, N. The Response of a 16S Ribosomal RNA Gene Fragment Amplified Community to Lead, Zinc, and Copper Pollution in a Shanghai Field Trial. Front. Microbiol. 2018, 9, 366–376. [Google Scholar] [CrossRef] [PubMed]
- Song, X.; Wang, P.; Zweiten, L.V.; Bolan, N.; Wang, H.; Li, X.; Cheng, K.; Yang, Y.; Wang, M.; Liu, T.; et al. Towards a better understanding of the role of Fe cycling in soil for carbon stabilization and degradation. Carbon Res. 2022, 1, 5. [Google Scholar] [CrossRef]
- Hua, S.; Gong, J.L.; Zeng, G.M.; Yao, F.B.; Guo, M.; Ou, X.M. Remediation of organochlorine pesticides contaminated lake sediment using activated carbon and carbon nanotubes. Chemosphere 2017, 177, 65–76. [Google Scholar] [CrossRef]
- Zhai, X.; Li, Z.; Huang, B.; Luo, N.; Huang, M.; Zhang, Q.; Zeng, G. Remediation of multiple heavy metal-contaminated soil through the combination of soil washing and in situ immobilization. Sci. Total Environ. 2018, 635, 92–99. [Google Scholar] [CrossRef]
- Raklami, A.; Tahiri, A.i.; Bechtaoui, N.; Abdelhay, E.G.; Pajuelo, E.; Baslam, M.; Meddich, A.; Oufdou, K. Restoring the plant productivity of heavy metal-contaminated soil using phosphate sludge, marble waste, and beneficial microorganisms. J. Environ. Sci. 2021, 99, 210–221. [Google Scholar] [CrossRef] [PubMed]
- Kuppusamy, S.; Palanisami, T.; Megharaj, M.; Venkateswarlu, K.; Naidu, R. Ex-situ remediation technologies for environmental pollutants: A critical perspective. Rev. Environ. Contam. Toxi. 2016, 236, 117–192. [Google Scholar]
- Thakur, S.; Singh, L.; Wahid, Z.A.; Siddiqui, M.F.; Atnaw, S.M.; Din, M.F.M. Plant-driven removal of heavy metals from soil: Uptake, translocation, tolerance mechanism, challenges, and future perspectives. Environ. Monit. Assess. 2016, 188, 1–11. [Google Scholar] [CrossRef] [PubMed]
- Zhang, X.; Yang, X.; Yuan, X.; Tian, S.; Wang, X.; Zhang, H.; Han, L. Effect of pyrolysis temperature on composition, carbon fraction and abiotic stability of straw biochars: Correlation and quantitative analysis. Carbon Res. 2022, 1, 17. [Google Scholar] [CrossRef]
- Ding, Y.; Liu, Y.; Liu, S.; Li, Z.; Tan, X.; Huang, X.; Zeng, G.; Zhou, L.; Zheng, B. Biochar to improve soil fertility. A review. Agron. Sustain. Deve. 2016, 36, 36. [Google Scholar] [CrossRef]
- Kammann, C.; Ippolito, J.; Hagemann, N.; Borchard, N.; Cayuela, M.L.; Estavillo, J.M.; Fuertes-Mendizabal, T.; Jeffery, S.; Kern, J.; Novak, J.; et al. Biochar as a tool to reduce the agricultural greenhouse-gas burden–knowns, unknowns and future research needs. J. Environ. Eng. Landsc. Manag. 2017, 25, 114–139. [Google Scholar] [CrossRef]
- Beesley, L.; Moreno-Jiménez, E.; Gomez-Eyles, J.L.; Harris, E.; Robinson, B.; Sizmur, T. A review of biochars’ potential role in the remediation, revegetation and restoration of contaminated soils. Environ. Pollut. 2011, 159, 3269–3282. [Google Scholar] [CrossRef]
- Zhang, W.; Qiu, X.; Wang, C.; Zhong, L.; Fu, F.; Zhu, J.; Zhang, Z.; Qin, Y.; Yang, D.; Xu, C.C. Lignin derived carbon materials: Current status and future trends. Carbon Res. 2022, 1, 14. [Google Scholar] [CrossRef]
- Garg, P.; Gupta, A.; Satya, S. Vermicomposting of different types of waste using Eisenia foetida: A comparative study. Bioresour. Technol. 2006, 97, 391–395. [Google Scholar] [CrossRef]
- Edwards, C.; Burrows, I. The potential of earthworms composts as plant growth media. In Earthworms in Waste and Environmental Management; Edward, C.A., Neuhauser, E.F., Eds.; SPB Academic Publishing: The Hague, The Netherlands, 1988; pp. 211–220. [Google Scholar]
- Ndegwa, P.; Thompson, S. Integrating composting and vermicomposting in the treatment and bioconversion of biosolids. Bioresour. Technol. 2001, 76, 107–112. [Google Scholar] [CrossRef]
- Pereira, M.G.; Arruda, M.A. Vermicompost as a natural adsorbent material: Characterization and potentialities for cadmium adsorption. J. Brazil. Chem. Soc. 2003, 14, 39–47. [Google Scholar] [CrossRef][Green Version]
- Vetrova, O.V.; Konovalov, K.B.; Gavrilenko, M.A. Application of Humic Sorbents for Pb2+, Cu2+ and Hg2+ ions preconcentration from aqueous solutions. Procedia Chem. 2014, 10, 120–126. [Google Scholar] [CrossRef]
- Gutiérrez-Miceli, F.A.; Santiago-Borraz, J.; Molina, J.A.M.; Nafate, C.C.; Abud-Archila, M.; Llaven, M.A.O.; Rincón-Rosales, R.; Dendooven, L. Vermicompost as a soil supplement to improve growth, yield and fruit quality of tomato (Lycopersicum esculentum). Bioresour. Technol. 2007, 98, 2781–2786. [Google Scholar] [CrossRef]
- Gil-Sotres, F.; Trasar-Cepeda, C.; Leirós, M.C.; Seoane, S. Different approaches to evaluating soil quality using biochemical properties. Soil Biol. Biochem. 2004, 37, 877–887. [Google Scholar] [CrossRef]
- Lagomarsino, A.; Moscatelli, M.C.; Tizio, A.D.; Mancinelli, R.; Grego, S.; Marinari, S. Soil biochemical indicators as a tool to assess the short-term impact of agricultural management on changes in organic C in a Mediterranean environment. Ecol. Indic. 2008, 9, 518–527. [Google Scholar] [CrossRef]
- Zhang, C.; Mora, P.; Dai, J.; Chen, X.; Giusti-Miller, S.; Ruiz-Camacho, N.; Velasquez, E.; Lavelle, P. Earthworm and organic amendment effects on microbial activities and metal availability in a contaminated soil from China. Appl. Soil Ecol. 2016, 104, 54–66. [Google Scholar] [CrossRef]
- Lu, H.; Yan, M.; Wong, M.H.; Mo, W.Y.; Wang, Y.; Chen, X.W.; Wang, J.J. Effects of biochar on soil microbial community and functional genes of a landfill cover three years after ecological restoration. Sci. Total Environ. 2020, 717, 137133. [Google Scholar] [CrossRef] [PubMed]
- Zeng, G.; Zhang, J.; Chen, Y.; Yu, Z.; Yu, M.; Li, H.; Liu, Z.; Chen, M.; Lu, L.; Hu, C. Relative contributions of archaea and bacteria to microbial ammonia oxidation differ under different conditions during agricultural waste composting. Bioresour. Technol. 2011, 102, 9026–9032. [Google Scholar] [CrossRef] [PubMed]
- Ren, L.; Cai, C.; Zhang, J.; Yang, Y.; Wu, G.; Luo, L.; Huang, H.; Zhou, Y.; Qin, P.; Yu, M. Key environmental factors to variation of ammonia-oxidizing archaea community and potential ammonia oxidation rate during agricultural waste composting. Bioresour. Technol. 2018, 270, 278–285. [Google Scholar] [CrossRef]
- Tamura, K.; Stecher, G.; Peterson, D.; Filipski, A.; Kumar, S. MEGA6: Molecular evolutionary genetics analysis version 6.0. Mol. Biol. Evol. 2013, 30, 2725–2729. [Google Scholar] [CrossRef] [PubMed]
- Zhang, P.; Sun, H.; Min, L.; Ren, C. Biochars change the sorption and degradation of thiacloprid in soil: Insights into chemical and biological mechanisms. Environ. Pollut. 2018, 236, 158–167. [Google Scholar] [CrossRef]
- Yuan, J.H.; Xu, R.K.; Hong, Z. The forms of alkalis in the biochar produced from crop residues at different temperatures. Bioresour. Technol. 2011, 102, 3488–3497. [Google Scholar] [CrossRef]
- Zheng, R.; Chen, Z.; Cai, C.; Tie, B.; Liu, X.; Reid, B.J.; Huang, Q.; Lei, M.; Sun, G.; Baltrėnaitė, E. Mitigating heavy metal accumulation into rice (Oryza sativa L.) using biochar amendment—A field experiment in Hunan, China. Environ. Sci. Pollut. Res. 2015, 22, 11097–11108. [Google Scholar] [CrossRef] [PubMed]
- Glaser, B.; Wiedner, K.; Seelig, S.; Schmidt, H.P.; Gerber, H. Biochar organic fertilizers from natural resources as substitute for mineral fertilizers. Agron. Sustain. Deve. 2015, 35, 667–678. [Google Scholar] [CrossRef]
- Arif, M.S.; Riaz, M.; Shahzad, S.M.; Yasmeen, T.; Ashraf, M.; Siddique, M.; Mubarik, M.S.; Bragazza, L.; Buttler, A. Fresh and composted industrial sludge restore soil functions in surface soil of degraded agricultural land. Sci. Total Environ. 2018, 619, 517–527. [Google Scholar] [CrossRef] [PubMed]
- Khan, N.; Clark, I.; Sánchez-Monedero, M.; Shea, S.; Meier, S.; Bolan, N. Maturity indices in co-composting of chicken manure and sawdust with biochar. Bioresour. Technol. 2014, 168, 245–251. [Google Scholar] [CrossRef]
- Malińska, K.; Zabochnicka-WiTek, M.; Dach, J. Effects of biochar amendment on ammonia emission during composting of sewage sludge. Ecol. Eng. 2014, 71, 474–478. [Google Scholar] [CrossRef]
- Zhang, L.; Dong, H.; Zhang, J.; Chen, Y.; Zeng, G.; Yuan, Y.; Cao, W.; Fang, W.; Hou, K.; Wang, B. Influence of FeONPs amendment on nitrogen conservation and microbial community succession during composting of agricultural waste: Relative contributions of ammonia-oxidizing bacteria and archaea to nitrogen conservation. Bioresour. Technol. 2019, 287, 121463. [Google Scholar] [CrossRef]
- Sundaray, S.K.; Nayak, B.B.; Lin, S.; Bhatta, D. Geochemical speciation and risk assessment of heavy metals in the river estuarine sediments—A case study: Mahanadi basin, India. J. Hazard. Mater. 2011, 186, 1837–1846. [Google Scholar] [CrossRef] [PubMed]
- Lu, K.; Yang, X.; Gielen, G.; Bolan, N.; Wang, H. Effect of bamboo and rice straw biochars on the mobility and redistribution of heavy metals (Cd, Cu, Pb and Zn) in contaminated soil. J. Environ. Manag. 2017, 186, 285–292. [Google Scholar] [CrossRef] [PubMed]
- Liang, J.; Yang, Z.; Tang, L.; Zeng, G.; Yu, M.; Li, X.; Wu, H.; Qian, Y.; Li, X.; Luo, Y. Changes in heavy metal mobility and availability from contaminated wetland soil remediated with combined biochar-compost. Chemosphere 2017, 181, 281–288. [Google Scholar] [CrossRef]
- Li, D.; Ma, J.; Xu, H.; Xu, X.; Qiu, H.; Cao, X.; Zhao, L. Recycling waste nickel-laden biochar to pseudo-capacitive material by hydrothermal treatment: Roles of nickel-carbon interaction. Carbon Res. 2022, 1, 16. [Google Scholar] [CrossRef]
- Sizmur, T.; Hodson, M.E. Do earthworms impact metal mobility and availability in soil?—A review. Environ. Pollut. 2009, 157, 1981–1989. [Google Scholar] [CrossRef]
- Shan, J.; Wang, Y.F.; Wang, L.H.; Yan, X.Y.; Ji, R. Effects of the geophagous earthworm Metaphire guillelmi on sorption, mineralization, and bound-residue formation of 4-nonylphenol in an agricultural soil. Environ. Pollut. 2014, 189, 202–207. [Google Scholar] [CrossRef]
- Senesi, N. Binding mechanisms of pesticides to soil humic substances. Sci. Total Environ. 1992, 123, 63–76. [Google Scholar] [CrossRef]
- Liang, J.; Tang, S.; Gong, J.; Zeng, G.; Luo, Y. Responses of enzymatic activity and microbial communities to biochar/compost amendment in sulfamethoxazole polluted wetland soil. J. Hazard. Mater. 2019, 385, 121533. [Google Scholar] [CrossRef] [PubMed]
- Xiao, R.; Awasthi, M.K.; Li, R.; Park, J.; Pensky, S.M.; Wang, Q.; Wang, J.J.; Zhang, Z. Recent developments in biochar utilization as an additive in organic solid waste composting: A review. Bioresour. Technol. 2017, 246, 203–213. [Google Scholar] [CrossRef] [PubMed]
- Luo, S.; Wang, S.; Tian, L.; Li, S.; Li, X.; Shen, Y.; Tian, C. Long-term biochar application influences soil microbial community and its potential roles in semiarid farmland. Appl. Soil Ecol. 2017, 117, 10–15. [Google Scholar] [CrossRef]
- Yang, X.; Tsibart, A.; Nam, H.; Hur, J.; El-Naggar, A.; Tack, F.M.; Wang, C.H.; Lee, Y.H.; Tsang, D.C.; Ok, Y.S. Effect of gasification biochar application on soil quality: Trace metal behavior, microbial community, and soil dissolved organic matter. J. Hazard. Mater. 2019, 365, 684–694. [Google Scholar] [CrossRef]
- Novak, J.M.; Busscher, W.J.; Laird, D.L.; Ahmedna, M.; Watts, D.W.; Niandou, M.A. Impact of biochar amendment on fertility of a southeastern coastal plain soil. Soil Sci. 2009, 174, 105–112. [Google Scholar] [CrossRef]
- Haynes, R.J.; Fraser, P.M.; Williams, P.H. Earthworm population size and composition, and microbial biomass: Effect—of pastoral and arable management in Canterbury, New Zealand. In The Significance and Regulation of Soil Biodiversity; Collins, H.P., Robertson, G.P., Klug, M.J., Eds.; Kluwer Academic Publishers: Dordrecht, The Netherlands, 1995; pp. 279–285. [Google Scholar]
- Merino-Trigo, A.; Sampedro, L.; Rodríguez-Berrocal, F.J.; Mato, S.; Cadena, M. Activity and partial characterisation of xylanolytic enzymes in the earthworm Eisenia andrei fed on organic wastes. Soil Biol. Biochem. 1999, 31, 1735–1740. [Google Scholar] [CrossRef]
- Zhang, H.; Li, J.; Zhang, Y.; Huang, K. Quality of vermicompost and microbial community diversity affected by the contrasting temperature during vermicomposting of dewatered sludge. Int. J. Environ. Res. Public Health 2020, 17, 1748. [Google Scholar] [CrossRef]
- Chen, X.; Wang, H.; Fu, X.; Huang, K. Effect of vermicomposting using Eisenia foetida on properties of sewage sludge. Chinese J. Environ. Eng. 2010, 4, 1421–1425. [Google Scholar]
- Harter, J.; Krause, M.H.; Schuettler, S.; Ruser, R.; Fromme, M.; Scholten, T.; Kappler, A.; Behrens, S. Linking N2O emissions from biochar-amended soil to the structure and function of the N-cycling microbial community. ISEM J. 2014, 8, 660–674. [Google Scholar] [CrossRef] [PubMed]
- Zhang, M.Y.; Bai, S.H.; Tang, L.; Zhang, Y.L.; Teng, Y.; Xu, Z.H. Linking potential nitrification rates, nitrogen cycling genes and soil properties after remediating the agricultural soil contaminated with heavy metal and fungicide. Chemosphere 2017, 184, 892. [Google Scholar] [CrossRef]
- Ding, L.J.; An, X.L.; Li, S.; Zhang, G.L.; Zhu, Y.G. Nitrogen loss through anaerobic ammonium oxidation coupled to iron reduction from paddy soils in a chronosequence. Environ. Sci. Technol. 2014, 48, 10641–10647. [Google Scholar] [CrossRef] [PubMed]
- Li, M.; Zhang, J.; Yang, X.; Zhou, Y.; Zhang, L.; Yang, Y.; Luo, L.; Yan, Q. Responses of ammonia-oxidizing microorganisms to biochar and compost amendments of heavy metals-polluted soil. J. Environ. Sci. 2021, 102, 263–272. [Google Scholar] [CrossRef] [PubMed]
- Enwall, K.; Nyberg, K.; Bertilsson, S.; Cederlund, H.; Stenstr, J.; Hallin, S. Long-term impact of fertilization on activity and composition of bacterial communities and metabolic guilds in agricultural soil. Soil Biol. Biochem. 2007, 39, 106–115. [Google Scholar] [CrossRef]
- Stephen, J.R.; Mccaig, A.E.; Smith, Z.; Prosser, J.I.; Embley, T.M. Molecular diversity of soil and marine 16S rRNA gene sequences related to beta-subgroup ammonia-oxidizing bacteria. Appl. Environ. Microbiol. 1996, 62, 4147–4154. [Google Scholar] [CrossRef] [PubMed]
- Phillips, C.J.; Harris, D.; Dollhopf, S.L.; Gross, K.L.; Prosser, J.I.; Paul, E.A. Effects of Agronomic Treatments on Structure and Function of Ammonia-Oxidizing Communities. Appl. Environ. Microbiol. 2001, 66, 5410–5418. [Google Scholar] [CrossRef]
- Mendum, A.T.; Hirsch, P.R. Changes in the population structure of b-group autotrophic ammonia oxidising bacteria in arable soils in response to agricultural practice. Soil Biol. Biochem. 2002, 34, 1479–1485. [Google Scholar] [CrossRef]
- Lu, H.; Xu, C.; Zhang, J.; Du, C.; Wu, G.; Luo, L. The characteristics of alkaline phosphatase activity and phoD gene community in heavy-metal contaminated soil remediated by biochar and compost. Bull. Environ. Contam. Toxicol. 2022, 109, 298–303. [Google Scholar] [CrossRef]
- Zhao, K.; Wang, N.; Jiang, S.; Li, F.; Luo, S.; Chen, A.; Li, H.; Lin, X.; Zhang, J.; Zhang, L.; et al. Potential implications of biochar and compost on the stoichiometry-based assessments of soil enzyme activity in heavy metal-polluted soils. Carbon Res. 2022. [Google Scholar] [CrossRef]
Disclaimer/Publisher’s Note: The statements, opinions and data contained in all publications are solely those of the individual author(s) and contributor(s) and not of MDPI and/or the editor(s). MDPI and/or the editor(s) disclaim responsibility for any injury to people or property resulting from any ideas, methods, instructions or products referred to in the content. |
© 2023 by the authors. Licensee MDPI, Basel, Switzerland. This article is an open access article distributed under the terms and conditions of the Creative Commons Attribution (CC BY) license (https://creativecommons.org/licenses/by/4.0/).




