Next Article in Journal
Digital Integration of Temperature Field of Cable-Stayed Bridge Based on Finite Element Model Updating and Health Monitoring
Previous Article in Journal
Catching Up of Latecomer Economies in ICT for Sustainable Development: An Analysis Based on Technology Life Cycle Using Patent Data
 
 
Font Type:
Arial Georgia Verdana
Font Size:
Aa Aa Aa
Line Spacing:
Column Width:
Background:
Article

Ecoenzymatic Stoichiometry Reveals Microbial Carbon and Phosphorus Limitations under Elevated CO2, Warming and Drought at Different Winter Wheat Growth Stages

1
State Key Laboratory of Soil Erosion and Dryland Farming on the Loess Plateau, Institute of Soil and Water Conservation, Northwest A&F University, Yangling 712100, China
2
Institute of Soil and Water Conservation, Chinese Academy of Sciences and Ministry of Water Resources, Yangling 712100, China
*
Author to whom correspondence should be addressed.
Sustainability 2023, 15(11), 9037; https://doi.org/10.3390/su15119037
Submission received: 14 April 2023 / Revised: 27 May 2023 / Accepted: 30 May 2023 / Published: 2 June 2023

Abstract

The use of microbial metabolic limitation techniques has the potential to provide insights into carbon and nutrient cycling in an ecosystem under the influence of climate change. This study aimed to determine the characteristics and potential mechanisms of microbial metabolic limitation at the different growth stages of winter wheat (Triticum aestivum L.) in response to elevated CO2 concentrations, warming and drought. Winter wheat plants were grown in artificial climate chambers, and a set of treatments were employed, including two levels of CO2 concentration (400 and 800 μmol·mol−1), a temperature regime (the current ambient temperature and a temperature increase of 4 °C) and water conditions (80% and 60% of the field water capacity). The results showed that the soil microbes were mainly limited by C and P. Microbial C limitation significantly decreased by 26.7% and 36.9% at the jointing stage and significantly increased by 47.6% and 42.6% at the grain filling stage in response to elevated CO2 and warming, respectively. The microbial P limitation significantly decreased by 10.9–13.0% under elevated CO2 at the anthesis and grain filling stages, while it was not affected by warming. Both microbial C and P limitations were unaffected by drought. The growth stage, soil dissolved organic carbon (DOC) and available phosphorus (AP) were the key factors affecting microbial C limitation, and microbial P limitation was mainly affected by the soil microbial biomass carbon (MBC), phosphorus (MBP) and microbial C:P ratio. Thus, the soil microbial C and P limitations differed with growth stages and were primarily indirectly affected by the available nutrients in the soil and the properties of the microbial biomass, respectively. These findings are important for understanding the mechanisms underlying microbe-mediated C and nutrient cycles. Overall, this study provides guidance for soil nutrient management in an agroecosystem experiencing climate change.

1. Introduction

Climate change scenarios combine increases in the global atmospheric CO2 concentration and the average ambient temperature with increasingly severe drought for many cropping regions. The present atmospheric CO2 concentration has surpassed 400 μmol·mol−1, and this increase is continuing at an unprecedented rate. It is predicted that the air temperature will increase by 2.6–4.8 °C by the end of the 21st century relative to 1986–2005 in the scenario of high greenhouse gas emissions [1]. Moreover, climatic changes have substantial effects on carbon (C) and nutrient cycles in terrestrial ecosystems [2,3]. Soil microbes control C and nutrient cycling through the mineralization of soil organic matter (SOM). They also affect soil C storage and nutrient availability for plants in all kinds of agricultural ecosystems [4,5]. Soil extracellular enzymes, as metabolic products of plant and microbial cells, are the proximate agents of microbes for the decomposition of soil organic matter [6,7]. Since soil enzymatic activities reflect microbial attempts to meet their metabolic demands in response to soil resource availability [7,8], the ratios of enzymatic activities (ecoenzymatic stoichiometry) can be used to reveal the elemental limitations and microbial metabolism characteristics represented by C, nitrogen (N) or phosphorus (P) [9,10,11]. For example, ecoenzymatic stoichiometry analysis has been used to identify both C and P limitations in desert ecosystems [12] and grassland ecosystems [13], as well as C and N limitations in agroecosystems [14]. It was proposed that the length and angle created by connecting a line between the plot origin and point, a process represented by enzyme C:N vs. C:P acquisition activities, can be used to determine the relative microbial C limitation and P vs. N limitation [15]. Therefore, the patterns and mechanisms underlying microbial resource limitations play vital roles in soil nutrient management in the context of climate change.
Previous studies have shown that soil enzyme activities and their stoichiometry can be affected by biotic and abiotic factors. Potential biotic factors include the soil microbial community structure [16,17], plant biomass [10], microbial biomass and microbial biomass stoichiometry [18], whereas abiotic factors influencing soil enzyme activities and their stoichiometry include the microclimate [19,20,21] and soil properties, such as soil texture [22], soil pH [5,23] and soil nutrients [24,25]. Climate factors such as CO2 concentration, temperature and drought can directly affect soil enzyme production through changes in microbial activity and community composition [26]. Moreover, changes in plant productivity driven by climate factors increase or decrease soil physicochemical properties, the supply of C from plants to the soil and the structure and activities of the microbial community involved in soil C decomposition and nutrient availability [27,28,29]. Although the impacts of biotic and abiotic factors on soil enzyme activities and their stoichiometry have been studied over the preceding several decades, the contributions of these factors to soil microbial stoichiometry are not fully understood, and the mechanisms underlying the factors affecting soil microbial metabolism limitation remain unclear.
Ecoenzymatic stoichiometry and microbial nutrient limitations respond differently to elevated CO2 concentrations, warming and drought. Increases in plant C acquisition and allocation belowground at elevated CO2 will most likely increase soil microbial biomass [30]. Moreover, the positive effects of elevated CO2 on soil microbial activity, community composition and soil enzyme activity due to indirectly higher soil water content and nutrient supply [31] may be related to a higher efficiency of water use at elevated levels of CO2 [32]. Some studies have demonstrated that elevated CO2 has no direct effects on soil mineralization [33,34]. Low soil nutrient availability at elevated CO2 might be related to intensifying competition for nutrients between plants and microbes [35]. Hu et al. [36] concluded that when plant N uptake was enhanced and when subsequent soil available N was obviously reduced, the elevation in CO2 exacerbated microbial N limitations in grassland areas and suppressed the microbial utilization of soil C. Keane et al. [37] found that elevated CO2 reduced the soil microbial C limitation and increased investments in N- and P-cycle enzymes in temperate grassland ecosystems. Therefore, the mechanisms regarding variations in soil microbial metabolism under elevated CO2 must be further addressed.
Climate change-induced direct physiological stress in soil microbes could result in a decrease in soil microbial biomass [38], while the warming effects on soil microbial biomass and enzyme activity often vary with the duration and amplitude of the warming [39,40,41]. In addition, warming increases soil nutrient availability [42] via an increase in mineralization for soil organic matter [43] or suppresses the decomposition rates of organic matter by reducing soil moisture [44]. The indirect effect of global warming on soil moisture likely contributes to the negative responses of soil respiration and microbial biomass [45]. Soil ecoenzymatic stoichiometry analysis has been used to reveal microbial nutrient limitations in response to warming-related issues. Peng and Wang [6] found higher enzymatic C:N and C:P ratios at soil depths of 0–20 cm in temperate soils than the ratios found in tropical soils. Waring et al. [25] observed lower ratios of BG:AP and NAG:AP in tropical soils than those that were discovered in temperate soils, indicating that a high microbial demand for P relative to C and N persists across diverse tropical soils. Zheng et al. [46] found that microbial C limitation decreased with soil warming resulting from an increasing accumulation of soil C in the mineral soil layer, while microbial P limitation increased and the C:P enzyme ratios decreased with soil warming in the organic soil layer in the forest–alpine ecotone. However, few studies have addressed soil microbial metabolism limitations and the combined effects of plants, soil and microbes in response to warming.
It is commonly expected that microbial physiological responses to drought will result in a decline in soil microbial activity [47]. Soil moisture affects the supply of substrates to microbes via dissolution, diffusion and transport; thus, drought conditions impose limitations on enzymatic production [21,48]. Inconsistent with this result and pointing to a decrease in some enzyme activities under drought conditions is the fact that there are different responses to drought displayed by enzyme activities depending on the annual season [49], the extent of the drought [50], the amount of enzyme present or the activities of individual enzyme molecules [48]. Additionally, drought can indirectly affect soil microbial communities and their activities through its influence on plant growth, which results from the sensitivity of photosynthesis, root exudation and litter production to drought [27]. Several studies have focused on the effect of precipitation on soil ecoenzymatic stoichiometry [10,12,51], while the effects of drought are rarely considered. In their research, Yan et al. [52] suggested that activities of the C-acquiring enzyme and enzymatic C:P and N:P ratios increased under extreme levels of drought in peatland environments. Sun et al. [53] found that the stoichiometry of C- and N-acquiring extracellular enzymes decreased under drought, whereas the magnitudes of this response generally increased with drought intensity and drought duration. Therefore, an improved clarification of the impacts of drought on ecoenzymatic stoichiometry and microbial metabolism limitations must be further conducted.
Given the complex interactions among driving factors, previous studies investigated the responses of soil enzymes activities to multiple climate factors. Some researchers demonstrated that soil drying had the potential to mitigate the positive effects of warming on soil enzyme activity [50,54]. Henry et al. [55] suggested that water addition and elevated CO2 had negative but nonadditive effects on the activities of hydrolases. Guenet et al. [21] found that the effects of soil moisture on soil microbial community structure and enzyme activities were not strong enough to affect soil C dynamics under elevated CO2. However, there is still a lack of studies on ecoenzymatic stoichiometry and microbial metabolism limitation in response to the interactions of these factors. Moreover, the competition for nutrients between plants and microbes varies temporally during plant growth as a result of changes in the demand for nutrients [56]. Soil microbial biomass and enzyme activities can be significantly affected by growth stages in agroecosystems [57,58]; however, there is little information on how ecoenzymatic stoichiometry and microbial metabolism limitations vary with growth stage. In addition, variations in soil microbial metabolism represent one of the greatest areas of uncertainty with regard to soil C loss and nutrient cycles and are poorly understood in agricultural ecosystems [59]. Among the most widely cultivated crops in the global temperate climate zone, winter wheat occupies 75% of the world’s cultivated wheat area [60]. The Guanzhong Plain, located in China, is a major area for winter wheat production [61] and is vulnerable to climate change. Hence, it is meaningful to analyze the mechanisms of soil microbial metabolism under the influence of multiple climate factors at different growth stages of winter wheat in order to predict the ecological consequences deriving from the agricultural practices used to cope with climate change.
In the present study, we investigated the responses of soil microbial metabolism to climate factors, such as elevated CO2 concentrations, warming and light drought stress and their interactions at different growth stages of winter wheat. In addition, the connections of soil microbial metabolism with plant biomass, soil physicochemical properties and soil microbial biomass characteristics were further explored. Therefore, the objectives of this study were: (1) to determine the effects of climate factors (elevated CO2, warming, drought and their interactions) and growth stages on soil enzymatic activity; (2) to analyze the responses of microbial C, N and P limitations to climate factors during crop growth; and (3) to explore the potential mechanisms through which plant biomass, soil physicochemical properties and soil microbial biomass properties affect soil microbial metabolic limitations. The research results will assist agroecosystems in predicting soil microbial metabolism requirements and soil nutrient availability under climate change conditions.

2. Materials and Methods

2.1. Plant and Soil Materials

Winter wheat (cv. Xinong 979) was sown on 28 October 2020 in plastic pots (22 cm in inner diameter and 32 cm in height). The soil used for cultivation was collected from the topsoil (0–20 cm) of farmland in Wugong, Shaanxi Province, China. The soil belonged to the Hortic Anthrosol category, according to the WRB classification [62]. The particle composition was 27% clay (<0.002 mm), 37% loam (0.002–0.02 mm), and 35% sand (0.02–2 mm); the soil bulk density was 1.41 g·cm−3; the soil pH was 8.0 (the soil/water ratio was 1:2.5); the field capacity was 24.0%; and the contents of the soil organic matter (SOC), total nitrogen (TN), and total P (TP) were 18.13, 1.07 and 1.40 g·kg−1, respectively. Prior to sowing, the soil was air-dried and passed through a 5 mm sieve. Each pot received a basal application of 0.9 g·pot−1 of N, and fertilizer was mixed with 9 kg of soil before being used to fill the pot in order to guarantee a homogeneous distribution of N throughout the soil. The seeds were planted and thinned to four plants at the three-leaf stage. All wheat plants were watered to 80% field capacity by weighing each pot every day; they were also protected against pests and diseases. Canopies were covered manually on rainy days to prevent the pots from being exposed to rain during the process of plants growing outdoors.

2.2. Experimental Design and Treatments

All pots with winter wheat plants were transferred to artificial climate chambers at the Northwest Agriculture and Forest University on 19 February 2021 at the beginning of the returning green stage. All pots were transferred randomly to four climate chambers and exposed to conditions according to a variety of experimental treatments until harvest. A complete factorial experiment was designed with three experimental factors: CO2 concentration (400 μmol·mol−1 and 800 μmol·mol−1), temperature (the current ambient temperature and a temperature increase of 4 °C) and a water regime (an adequate water supply and light drought stress). A total of 192 plots comprised a combination of two CO2 levels, two temperature regimes, two soil water conditions and four growth stages with six replicates. In summary, all plants received the treatments shown in Table 1.
During the growing period, the current daily average air temperature values were manipulated automatically using climate chambers and corresponded to the long-term daily air temperature at Wugong Station from 1998 to 2018 (Figure 1). Daily temperature variations in the climate chambers were regulated in order to simulate the diurnal pattern of temperature change in the ambient environment. The CO2 concentration was set by using a chamber conditioner to automatically manipulate the amount of injected CO2 gas. Within all climate chambers, the lights were switched on for 12 h per day (8:00–20:00); this provided photosynthetically active radiation of 600 μmol·m−2·s−1 above the canopy of the plants. The relative humidity was regulated and maintained at 60 ± 5% for the whole day. The soil water levels were maintained at 80% FC (the soil mass water content was 19.2%) and 60% FC (the soil mass water content was 14.4%) during plant cultivation in the climate chambers. The irrigation quantities at the anthesis and grain filling stages were corrected according to the fresh weight of the plant samples at the former growth stages. In addition, the pots were rerandomized every week to minimize errors associated with the effects of uneven illumination and temperature and humidity conditions in the climate chambers.

2.3. Collections of Soil and Plant Samples

Plant and soil samples were collected at the beginning of the jointing, anthesis, grain filling and maturity stages for each treatment (Table 2). Plant samples were separated into shoots and roots. The shoots were severed at the soil surface. At the same time, soil was removed from a pot and then sieved lightly through a 2 mm plastic mesh. Roots were carefully picked out and thoroughly washed clean using distilled water. All plant samples were oven-dried at 75 °C until a constant weight was reached. The soil samples were immediately collected and then separated into three subsamples: the first subsample was air-dried in the shade at room temperature and passed through a 0.149 mm sieve to analyze the SOC, TN, TP and available phosphorus (AP); the second subsample was stored at −20 °C and was used to measure the soil dissolved carbon (DOC), ammoniacal nitrogen (NH4+-N) and nitrate nitrogen (NO3-N) immediately. Subsequently, soil microbial biomass was measured after being cultured at 25 °C for 2 weeks; additionally, the third subsample was stored at −80 °C to measure enzymatic activity [63].

2.4. Soil Property Measurements

The SOC and TN were measured via the potassium dichromate oxidation titrimetric method and the semimicro Kjeldahl method, respectively [64]. The soil DOC was extracted with distilled water (1:3 mass/volume soil:water suspension) and centrifuged at 2000 rpm for 8 min after filtration through a Millipore 0.45 μm filter [65]. The NH4+-N and NO3-N were determined using a continuous flow analyzer (AA100 AutoAnalyzer, Germany) after extraction with 1 M KCL (1:5 mass/volume soil:water suspension). After digestion with H2SO4-HClO4 and extraction with 0.5 M NaHCO3 (1:20 mass/volume soil:water suspension), respectively, the TP and AP were measured using the molybdenum blue spectrophotometric method [64]. The soil pH was measured with a pH electrode meter (pH-25, Rex Electric Chemical, China) in a 1:2.5 mass/volume soil:water suspension. The soil microbial biomass carbon (MBC), nitrogen (MBN) and phosphorus (MBP) were determined using the chloroform fumigation extraction method [66,67].
The soil enzyme activities of β-glucosidase (BG), β-N-acetylglucosaminidase (NAG), L-leucine aminopeptidase (LAP) and alkaline phosphatase (ALP) were measured using a method of fluorescence microplate analysis [5,7,54]. Fresh soil samples weighing 3 g were added to 125 mL of Tris-HCl buffer at the approximate pH (PH = 8.0) of the soil samples and stirred homogeneously. Then, the soil slurry (150 μL) and specific substrate (200 umol·L, 50 μL) were transferred into 96-well plates using an 8-channel pipettor. The samples of each assay included a blank control, a negative control and a quench standard. The microplates were then incubated for a specific time (BG and LAP for 4 h; NAG for 2 h; ALP for 0.5 h) in a constant-temperature incubator at 25 °C under conditions of darkness and then centrifuged at 3600 rpm for 5 min. After incubation, 10 μL of 1 M NaOH solution was added to each well to terminate the reactions. The fluorescence value was measured using a multimode reader (Scientific Fluoroskan Ascent FL, Thermo Fisher Scientific, Waltham, MA, USA) at the excitation and emission wavelengths of 365 and 450 nm, respectively. The extracellular enzyme activity units were expressed as nmol·h−1·g−1 dry soil.

2.5. Vector Length and Vector Angle Calculations

Vector lengths and angles were calculated [15] to quantify the microbial nutrient limitations of C, N and P under elevated CO2, warming and drought conditions. The vector lengths (C limitation) and vector angles (N or P limitation) of all treatments were calculated according to the proportions of extracellular enzyme activities, as shown in Equations (1) and (2), where x indicates the relative activity of C- versus P-acquiring enzymes BG/(BG + ALP), and y indicates the relative activity of C- versus N-acquiring enzymes BG/(BG + NAG + LAP). A longer vector length represents a C limitation. A vector angle of less than 45° indicates an N limitation, whereas a vector angle greater than 45° indicates a P limitation.
Vector   Length = SQRT   x 2 + y 2
Vector   Angle   ° = DEGREES   ATAN 2 x ,   y

2.6. Data Analysis

We performed an analysis of variance (ANOVA) to determine differences in the mean values among treatments, after which we applied Duncan’s multiple range test using SPSS 19.0. The relationship between plant biomass and soil properties was determined via Spearman correlation analysis using SPSS 19.0. A four-way ANOVA was performed to assess the effects of elevated CO2, warming, drought, growth stages and their interactions using R 4.0.0 software [68]. The RDA analysis was conducted using the CANOCO 5 software. Partial least-squares path modeling (PLS-PM) was applied to further identify the possible pathways through which various attributes control C and P limitations. The model was constructed using the “plspm” package in R software (R 4.0.0), and the goodness of fit was determined in order to judge the overall fitting degree of the model. The graphs were created in Origin 2020 software.

3. Results

3.1. Plant Biomass and Soil Physicochemical Properties

Elevated CO2 (the CO2 concentration increased from 400 μmol·mol−1 to 800 μmol·mol−1) had no significant influences on aboveground and belowground biomass, nor did it affect soil physicochemical properties, such as soil pH, the contents of SOC, TN, TP, AN, AP or the soil N:P ratio during the growth of winter wheat. However, elevated CO2 had significant negative impacts on the DOC content during the jointing and maturity stages compared with CK, and significant decreases were also found for the soil C:N ratio at the anthesis and maturity stages and the soil C:P ratio during the jointing, anthesis and maturity stages (p < 0.05). Climate warming (temperature rising 4 °C) and drought (light drought, 60% FC) had similar effects on aboveground and belowground biomass, SOC, TN, TP, DOC and the soil C:N and C:P ratios (Table 3 and Table 4). Specifically, compared to CK, the aboveground biomass significantly decreased under both the warming and drought treatment conditions from the anthesis stage to the maturity stage (p < 0.05). There were no significant impacts of warming and drought on the belowground biomass, TN or TP (p > 0.05). The SOC generally showed declining trends in response to both warming and drought at the grain filling and maturity stages, and significant decreases in SOC were observed in response to warming (p < 0.05). The DOC content and soil C:N and C:P ratios decreased by 22.2–38.4%, 28.3–85.4% and 32.9–50.9%, respectively, in response to warming across crop growth stages (p < 0.05); meanwhile, they decreased by 6.2–21.2%, 63.1–88.1% and 20.5–26.5%, respectively, in response to drought from the stages of anthesis to maturity (p < 0.05). The effects of warming and drought on the soil pH, AN, AP and the soil N:P ratio apparently varied (Table 3 and Table 4). Generally, the soil pH showed no significant changes in response to warming, while it tended toward significant decreases in response to drought at both the anthesis and grain filling stages (Table 3). Warming increased the AN and AP contents and the soil N:P ratio by 133.8–415.2%, 7.06–39.4% and 87.0–265.1% compared with CK across growth stages, respectively (p < 0.05). However, drought decreased the AN content and soil N:P ratio by 43.9% and 45.0%, respectively, at the jointing stage (p < 0.05), but it led to increases of 107.6–667.9% and 111.1–503.1% in comparison with CK from the anthesis stage to the maturity stage, respectively (p < 0.05). In general, no significant variations were found for AP content in all growth stages under the drought treatment conditions (Table 4).
The interactions of the elevated CO2 × warming × stages significantly affected the soil pH, the contents of SOC, DOC, AN and the soil C:P and N:P ratios, indicating that the effects of the elevated CO2 × warming interaction differed at different growth stages (Tables S1 and S2). The effects of the elevated CO2 × warming interaction and elevated CO2 × drought interaction significantly influenced the contents of DOC and AP and the soil C:P ratio (Tables S1 and S2). There were no significant differences in the contents of DOC and AP and the C:P ratio between the combination of elevated CO2 and warming (CW treatment) and the warming treatment alone (W treatment). Indeed, the same trends with respect to the DOC and AP contents and the C:P ratio were also observed between the combination of elevated CO2 and drought (C + D treatment) and drought alone (D treatment). These results indicate that the effects of the elevated CO2 × warming interaction and elevated CO2 × drought interaction on the contents of DOC and AP and the soil C:P ratio were mainly caused by warming and drought, respectively (Table 3 and Table 4). The warming × drought interactions significantly affected the AGB, BGB and soil C:N ratio (Tables S1 and S2), and they could primarily be attributed to the warming process (Table 3 and Table 4). In addition, the interactions of elevated CO2 × warming × drought significantly affected the contents of SOC, DOC and AN and the soil C:P and N:P ratios (Tables S1 and S2). The combined effects of elevated CO2, warming and drought (CW + D) on both plant biomass and soil physicochemical properties were generally similar to those of the combination of warming and drought (W + D treatment) (Table 3 and Table 4).

3.2. Soil Microbial Biomass and Stoichiometry

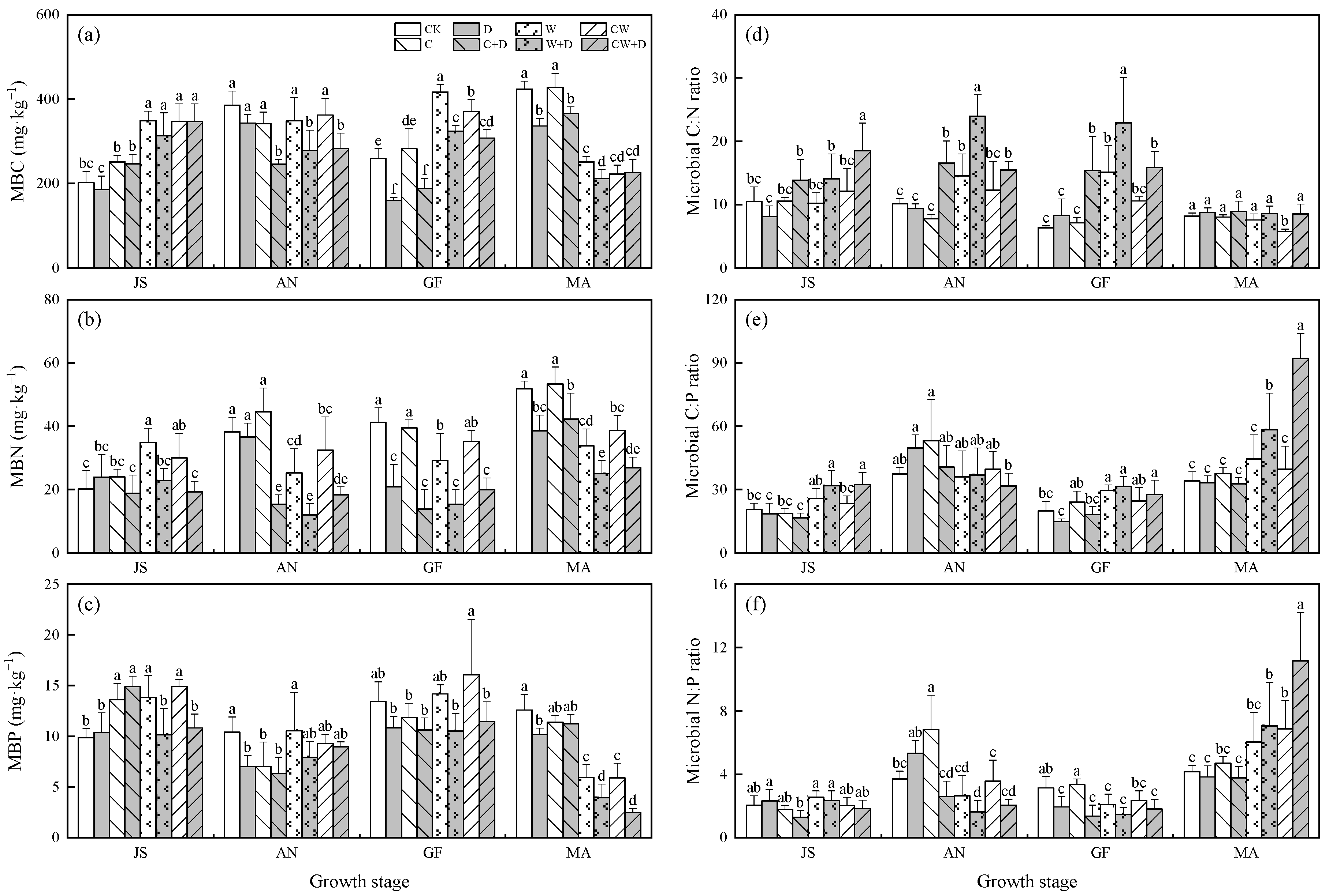
There were no significant impacts of elevated CO2 on the contents of MBC, MBN and microbial C:N, C:P and N:P ratios in all crop growth stages, whereas with elevated CO2, the MBP content significantly increased during the jointing stage and decreased in the anthesis stage, respectively. Compared with CK, the MBC, MBN and MBP contents increased by 73.0%, 73.0% and 40.5% at the jointing stage, respectively (p < 0.05), while they decreased by 40.7%, 34.8% and 53.1% at the maturity stage in response to warming (p < 0.05). Moreover, the MBC content significantly increased at the grain filling stage in response to warming. The MBN content significantly decreased from the anthesis stage to the grain filling stage in response to warming, while warming had no significant effect on the MBP content for the same growth stages. Except for significant increases in the microbial C:N and C:P ratios and significant decreases in the microbial N:P ratio at the grain filling stage, warming generally had no significant influence on the microbial C:N, C:P and N:P ratios during the growth stages. The drought had no significant effects on the MBC and MBN contents at the jointing and anthesis stages, while it decreased the MBC and MBN contents by 20.7–38.2% and 25.6–49.4% from the grain filling stage to the maturity stage, respectively (p < 0.05). Additionally, the MBP content varied irregularly across the growth stages in response to the drought. No significant variations were observed for the microbial C:N, C:P and N:P ratios across the growth stages for the drought treatment (Figure 2).
The interactions of elevated CO2 × warming × stages significantly affected the contents of MBC, MBN and MBP and the microbial C:N ratios The microbial C:N ratio was significantly affected by any two- or three-factor interactions of elevated CO2, warming and drought (Table S3). Elevated CO2 and warming had a synergistic effect on the microbial C:N ratio at the maturity stage, with a significant decrease of 29.5% for the CW treatment compared with CK (p < 0.05). Both elevated CO2 and drought, in addition to warming and drought, had synergistic effects on the microbial C:N ratio from the jointing to grain filling stages, with respective increases of 62.8–143.8% and 136.0–262.6% under the CW and W + D treatments compared to CK (p < 0.05). Moreover, elevated CO2, warming and drought synergistically affected the microbial C:N ratio at the jointing stage and led to an increase of 76.0% for the CW + D treatment compared to CK (p < 0.05) (Figure 2). In general, we observed no significant effects of elevated CO2, warming and drought interactions on soil microbial biomass and stoichiometry except for the microbial C:N ratio (Table S3). There were no significant differences in the contents of MBC, MBN and MBP between the CW and W treatments, and the same trends of MBC, MBN and MBP contents were also observed between the C + D and D treatments. Furthermore, there were no differences between the effects of the CW + D and CW treatments on the MBC, MBN and MBP contents and the microbial C:P and N:P ratios (Figure 2).

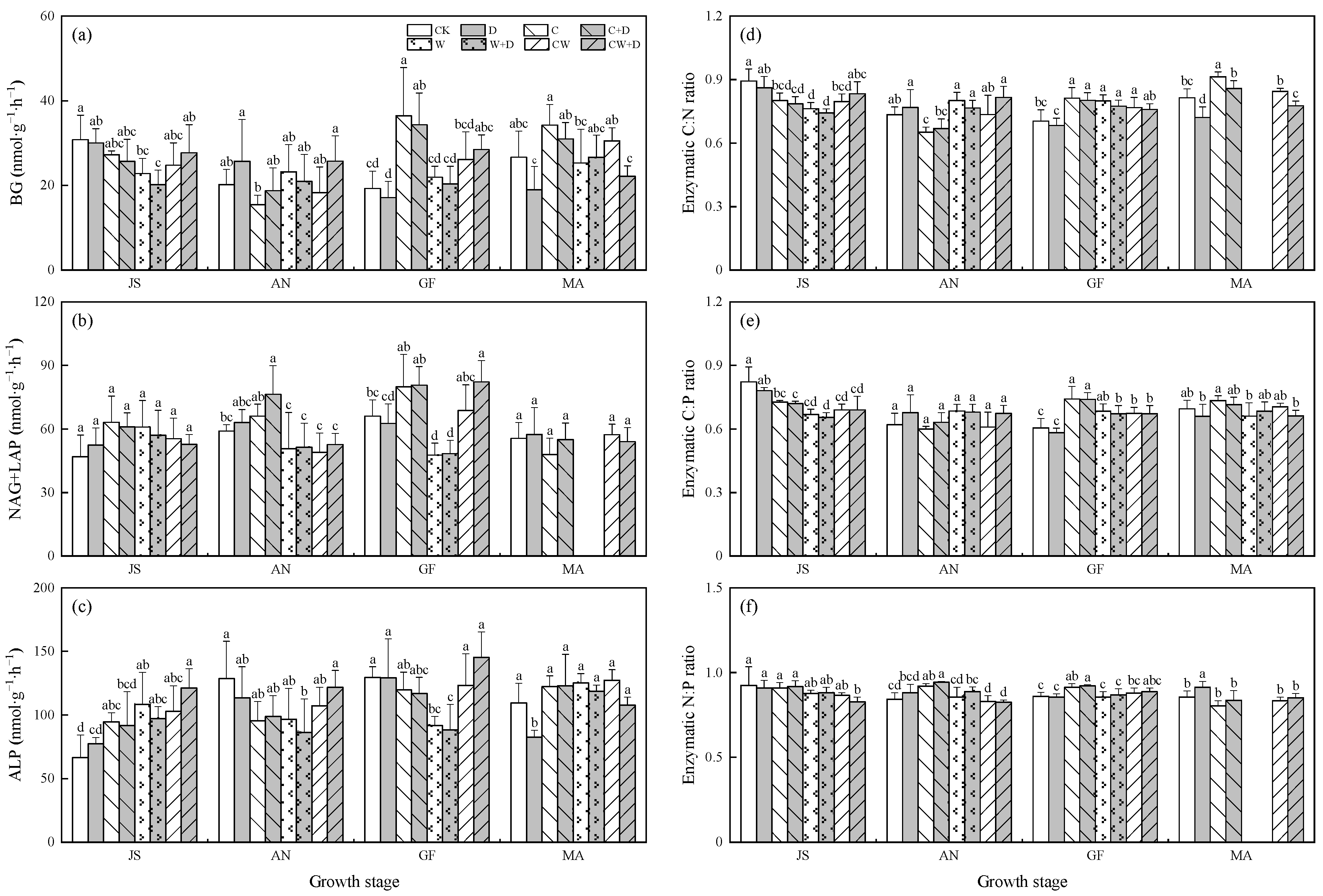
3.3. Soil Enzymatic Activity and Stoichiometry

In general, elevated CO2 had no significant effects on C-, N- and P-acquiring enzyme activities, but it affected ecoenzymatic stoichiometry differently among crop growth stages. Compared with CK, elevated CO2 led to decreases of 10.3–11.3% from the jointing stage to the anthesis stage and increases of 12.4–15.6% from the grain filling stage to the maturity stage (p < 0.05). The enzymatic C:P ratio decreased by 11.6% in response to the drought at the jointing stage and increased by 22.7% at the grain filling stage (p < 0.05). In addition, the enzymatic N:P ratio increased by 9.1% and 6.0% in response to the drought at the anthesis stage and grain filling stage, respectively (p < 0.05). Warming did not affect C-acquiring enzyme activity across the growth stages except for the negative effect it exerted on C-acquiring enzyme activity at the jointing stage. The activities of N- and P-acquiring enzymes were higher under the warming treatment conditions than those of CK at the jointing stage, while both were lower from the anthesis stage to the grain filling stage, with significant respective decreases of 27.9% and 29.2% at the grain filling stage (p < 0.05). The enzymatic C:N and C:P ratios were significantly lower under the warming treatment conditions than those of CK at the jointing stage, while both were higher from the anthesis stage to the grain filling stage, with respective increases of 13.7% and 12.9% at the grain filling stage (p < 0.05). The enzymatic N:P ratio was not affected by warming. Moreover, no significant variations were observed for the soil C-, N- and P-acquiring enzyme activities and their stoichiometry under the drought treatment conditions (Figure 3).
The interactions of elevated CO2 × warming × stages significantly affected the activities of C-, N- and P-acquiring enzymes and the enzymatic C:N and C:P ratios. The elevated CO2 × warming interaction significantly affected the P-acquiring enzyme activity and enzymatic N:P ratio (Table 5). The interactions of elevated CO2 × drought, warming × drought and elevated CO2 × warming × drought had no significant effects on soil enzymatic activity and stoichiometry (Table 5). In general, there were no significant differences in the soil enzymatic activity and stoichiometry between the C + D treatments and the elevated CO2, and the same trends of soil enzymatic activity and stoichiometry were also observed between the W + D treatment and warming (W treatment), as well as between the CW + D treatment and the CW treatment (Figure 3).

3.4. Soil Microbial Metabolic Limitation

The ecoenzymatic stoichiometry characteristics such as the vector lengths and vector angles were found to vary among the different treatments (p < 0.05). All data points were above the 1:1 line, indicating that the soil microorganisms suffered from P limitation in this study (Figure 4a). Compared with CK, the vector lengths (microbial C limitations) were decreased by 26.7% at the jointing stage and increased by 47.6% at the grain filling stage in response to elevated CO2 (p < 0.05). Additionally, the lengths were decreased by 36.9% at the jointing stage and increased by 28.1–42.6% from the anthesis to grain filling stages in response to warming (p < 0.05). The drought exercised no significant effects on vector length during the growth stages (Figure 4b). In addition, the two- and three-factor interactions had no significant effects on microbial C limitations (Table 5). The microbial C limitation caused no significant differences between the CW treatment and warming, and the same trends of microbial C limitation were also observed between the C + D treatment and elevated CO2. Moreover, there were no significant differences in the microbial C limitations between the W + D treatment and warming during growth stages (Figure 4b).
Compared with CK, the vector angles (microbial P limitations) decreased by 13.0% and 10.9% in response to elevated CO2 at the anthesis and grain filling stages, respectively (p < 0.05); however, they did not significantly respond to warming and drought in this study (Figure 4c). The microbial P limitation was only significantly affected by the elevated CO2 × warming interaction (Table 5). The effects of elevated CO2, warming and CW treatment on microbial P limitations were similar for both an adequate water supply and light water stress (Figure 4c).

3.5. Factors Affecting Soil Microbial Metabolic Limitation

The redundancy analysis showed that plant biomass, soil pH, nutrient properties and soil microbial biomass properties involving C and P were significantly correlated with microbial C and P limitations. Additionally, we learned that these correlations differed with growth stages (Figure S2). We used a PLS-PM analysis to further identify the key factors affecting microbial metabolic limitation. The results showed that there were direct and indirect relations between factors and microbial metabolic limitation (Figure 5). In general, elevated CO2, warming and drought indirectly affected microbial C and P limitations by affecting the available nutrients, available nutrients ratios, microbial biomass and microbial biomass ratios, whereas the growth stage had direct and indirect effects on microbial C and P limitations. In particular, warming directly affected plant biomass (0.11), available nutrients (0.40), soil pH (0.27) and microbial biomass (0.65). Drought directly affected plant biomass (0.29), soil pH (0.24) and microbial biomass (0.34). Moreover, the growth stage (−0.53) and soil available nutrients (−0.20) had negative direct effects on microbial C limitations, and microbial biomass (0.27), microbial biomass ratios (−0.18) and microbial C limitation (−0.29) directly affected microbial P limitation (Figure 5a). Overall, microbial C limitation was affected primarily by the nutrients available (−0.13) and the nutrient ratios (−0.31) and differed significantly with growth stages (−0.26). Soil microbial biomass (0.23), microbial biomass ratios (−0.14) and microbial C limitation (−0.29) had the greatest total effects on microbial P limitation (Figure 5b).

4. Discussion

4.1. Soil Microbial Metabolism Limitation under Climate Factors

4.1.1. Elevated CO2

Increased belowground C allocation is a common plant response to elevated CO2 that occurs primarily due to alterations in plant physiological processes [69]. This occurs as more C sources are provided for soil microorganism growth and reproduction through increased rhizodeposition [70], thereby leading to higher soil enzyme activities [71]. However, in contrast to previous studies, in general, no significant changes in enzyme activities were found under the condition of elevated CO2 in this study (Figure 3a–c). This phenomenon occurred because the transportation and distribution of photosynthetic products belowground were not stimulated by elevated CO2 levels in the context of an adequate nutrient supply [72]. As a result, we did not observe any effects of elevated CO2 on the above- and belowground biomass (Table 3). This resulted in no substrates being provided for microorganism metabolism in combination with a lack of changes in enzyme activities under elevated CO2 (Figure 3a–c).
Although we observed no effects of elevated CO2 on the specific activities of individual enzymes, the effects became apparent when the ecoenzymatic stoichiometry was calculated. Microbial nutrient limitation was observed across the growth stages through a vector analysis. A significant reduction in the enzymatic C:P ratio under elevated CO2 at the jointing stage implied that microorganisms decreased the investment in C acquisition (vector length induced) (Figure 3d and Figure 4b). The enzymatic C:N and C:P ratios were significantly correlated with the soil C:N and C:P ratios, respectively (Figure S4a); therefore, the alleviation of the microbial C limitation with elevated CO2 at the jointing stage may have resulted from the significant reduction in the DOC (Table 4). The reason for the decrease in the DOC under the elevated CO2 conditions may have been that elevated CO2 was predicted to allow for greater microbial decomposition and cause less soil retention of organic C [73]. In this study, at the grain filling stage, we found significant increases in the enzymatic C:N and C:P ratios in response to elevated CO2, indicating that the soil microorganisms increased their investment in C acquisition (increased vector length) (Figure 3d,e and Figure 4b). Elevated CO2 increased the availability of P to the plants [74]. The plants absorbed more nutrients from the soil as the growth stage developed, and the same nutrients were acquired by microorganisms that might compete with plants for limiting nutrients. Neither the acquisition of P nor N is independent of the C (energy) supply [75], and the high nutrient demand of the microorganisms increases the microbial energy consumption (C) [76].
Elevated CO2 significantly reduced the enzymatic C:P ratio at the jointing stage, with a significant positive correlation between the enzymatic C:P ratio and the soil C:P ratio, indicating that microorganisms increased their relative investment in acquiring P in order to increase their P acquisition at the jointing stage under the elevated CO2 conditions (Figure 3e, Figure 4c and Figure S4a). This can be explained by the fact that elevated CO2 may have allowed the microorganisms to increase their investment in the acquisition of potentially limiting nutrients [21]. At the anthesis and grain filling stages, we observed increased enzymatic C:P and N:P ratios in this study (Figure 3e,f). The enzymatic N:P ratio had no significant relationship with the soil N:P ratio and the microbial N:P ratio; simultaneously, the enzymatic C:P was not significantly correlated with the soil C:P ratio and the microbial C:P ratio, indicating that the reduction in microbial P limitation under elevated CO2 at the anthesis and grain filling stages could not be explained by the resource limitation hypothesis (Figure S4b,c). The plants consumed excessive organic N and P relative to C and absorbed mineralized products under the conditions of microbial C limitation [77]. Likewise, we found increased microbial C limitation in the case of elevated CO2 in this study (Figure 3d,e and Figure 4b). Therefore, the microorganisms might have competed with the plants for P and been inhibited from incorporating limiting P into their biomass (Figure 2c).
It was concluded that elevated CO2 had no effects on the microbial metabolic limitations at the maturity stage in this study (Figure 3d–f). Soil microbial biomass C:N:P stoichiometry largely depended on the soil nutrient availability and reflected the physiological metabolism of the microbes [78]. Although there were significant decreases in the DOC and soil C:N and C:P ratios, no changes were found in the soil enzymatic C:N:P stoichiometry in response to elevated CO2 at the maturity stage in this study (Table 4, Figure 3d–f). The depletion of substrates caused decreases in biomass and reduced microbial activities [79], as found in this study under elevated CO2 at the maturity stages (Table 4). The DOC had significant positive correlations with the MBC, MBN and MBP (Figure S3d), further confirming the explanation. Consequently, the reason why elevated levels of CO2 had no effect on the microbial metabolic limitations at the maturity stage may have been due to the decreases in microbial activities and the restrictions in microbe growth. This conclusion was applicable for the case of warming at the maturity stage.

4.1.2. Climate Warming

The effects of climate warming on soil enzyme activities varied across the growth stages (Figure 3a–c). Warming decreased both C-acquiring enzyme activity and microbial C limitation at the jointing stage (Figure 3a and Figure 4b), while a significant decrease in the DOC was observed rather than an increase (Table 4), indicating that the decrease in microbial C limitation did not result from the increased DOC and a subsequent decrease in enzyme activity in response to warming. Short-term laboratory warming increased the growth and respiration of soil microorganisms and led to the acceleration of C decomposition [42,80]; the C substrate was simultaneously taken up by the microbial cells and invested in maintenance, growth or storage [81]. In this study, warming significantly increased the MBC and decreased the DOC at the jointing stage, indicating that microorganisms devoted more energy (C) to growth but reduced the investment of energy (C) in C acquisition, leading to a decrease in the microbial C limitation. Previous studies have revealed that decreases in soil nutrients account for the alleviation of the microbial C limitation [13]. As the growth stages prolonged, warming caused declines to occur in the supply of C from the plant by decreasing the biomass of vegetative organs, particularly at the reproductive growth stage [82], thereby leading to a decrease in the SOC. When the substrate pool decreased with warming to a level at which the soil available C may have been lower than the needs of the soil microbial communities, the microorganisms became limited in their C supply [81]. At this point, although C-acquiring enzyme activities remained unchanged, higher enzymatic C:N and C:P ratios were observed in warmer soils at the anthesis and grain filling stages (Figure 3d,e). In addition, soil microorganisms responded to nutrient limitations by altering their biomass C:N:P stoichiometry via changes in their community composition [83]; the microorganisms enhanced their uptake of available C and shifted their energy investments toward C acquisition [81]. These results were confirmed in our study by the increases in the microbial C:N and C:P ratios with warming at the anthesis and grain filling stages (Figure 2d,e).
The vector analysis suggested that warming had no significant effect on soil microbial P (Figure 4c). According to the elemental stoichiometric balance, microorganisms increased their demand for N/P when more C was required [7]. Previous studies proposed that microbes allocated more resources to obtain P by increasing P-acquiring enzyme activity during the early growing season [46]. The mineralization of soil organic matter was promoted under warming conditions [84]. When a rich substrate was provided for the microorganisms, P acquisition increased and caused low P limitation in the soil [9]. In contrast, warming limited microbial growth by increasing the energy cost of maintaining existing biomass [85] and thus reduced the demand for N/P. The increased microbial C:N and C:P ratios with warming at the anthesis and grain filling stages also indicated that warming inhibited the assimilation and uptake of P (Figure 2e). Therefore, the abovementioned opposite evidence for microbial P metabolism may have explained the lack of a response of microbial P limitation to the warming in this study.

4.1.3. Drought

Drought inhibits the primary productivity of plants and microbial growth [86,87], and it further affects soil enzyme activities and their stoichiometry [54,88]. Microorganisms may be resource-limited due to restricted substrate diffusion in dry soil [47]. In this study, soil microorganisms did not show significant responses to drought (Figure 3 and Figure 4); this was likely because the manipulations of drought (an FC difference of 20% between the two water conditions) were not large enough to substantially reduce the soil moisture to its extreme. These results were similar to research conducted in grassland [89]. Moreover, Henry [26] proposed that the magnitude and direction of soil enzymes in response to water manipulation partly depend on the variations in soil moisture among ecosystems.

4.2. Soil Microbial Metabolism Limitation Responses to Interactions of Climate Factors

Previous studies indicated a lack of higher-order interactions in driving microbial biomass and enzyme activities in soil [90,91]. The results of this study suggested that soil microbial biomass and enzyme activities generally had no responses to interactions of elevated CO2, warming and drought (Table S3 and Table 5), which may have explained the phenomenon wherein microbial nutrient limitations were less responsive to the interactive effects of multiple climate factors (Table 5). As shown in Figure 4, the effects of elevated CO2, warming and the CW treatment on vector length and vector angle were similar for both an adequate water supply and during light water stress, the effects of which on enzyme activities and ecoenzymatic stoichiometry were similar (Figure 3). Therefore, the effects of elevated CO2 and warming interactions on soil ecoenzymatic stoichiometry and microbial nutrient metabolism were mainly discussed by altering biotic and abiotic processes.
The interaction of elevated CO2 and warming had a significant effect on the vector angle but no effect on the vector length, indicating that microbial P limitation significantly responded to the interaction of elevated CO2 and warming (Table 5). This result could be explained by the fact that the combined effects of elevated CO2 with warming on enzymatic C:P and N:P ratios were similar to those of warming in this study, which suggested that the effect of the elevated CO2 and warming interaction on enzymatic C:P and N:P ratios was primarily caused by warming. Furthermore, the positive effect of CO2 on soil microbes was related to greater inputs of C into the soils [90], and warming led to greater N mineralization [43] when plant growth and the consequent release of C into the soil were limited not by the CO2 but by the soil N availability, resulting in the limitation of plant growth switching from CO2 to N and P limitations in the soil [92]. Given that the effects of the interactions of climate change drivers on soil organisms can only be realized after a long-term application [20], we suggest that years of experiments should be considered in further studies to better understand the impact of the interactions of climate factors on soil ecoenzymatic stoichiometry and microbial nutrient metabolism.

4.3. Potential Mechanism of the Effects of Climate Factors on Microbial Metabolic Limitation

An analysis of the PLS-PM revealed that the alterations in the soil ecoenzymatic stoichiometry could be attributed to variations in the growth stages, plant biomass, soil physicochemical properties and soil microbial biomass properties (Figure 5). As winter wheat grows, there are two primary mechanisms affecting soil microbial metabolic limitation. In general, the contributions of the properties of soil available nutrients were greater than those of soil pH, plant biomass and microbial biomass properties, and soil microbial C limitation varied significantly with the growth stages. Soil available nutrients and microbes were directly involved in the secretion of enzymes [7,71]. This result was identical to the resource acquisition hypothesis stating that soil microorganisms regulate the secretion of soil ecoenzymes based on the availability of environmental nutrients [93]. In this study, no exogenous C was input into the soil as the winter wheat grew, which resulted in the exhaustion of the soil organic matter. Microorganisms invested greater energy in obtaining the required nutrients and thus became C limited. Moreover, fertilization with N and P may have increased nutrient mineralization by intensifying microbial C limitation, a mechanism that is often observed in agricultural ecosystems [94,95].
Soil microbial biomass contributed most significantly to microbial P limitation. There were significant correlations between MBP and SOC at the growth stages of winter wheat (Figure S3). This suggested that the soil microorganisms could be more limited by soil C. The P required by microbes was mostly derived from the decomposition of soil organic matter [96], and the competition for nutrients between plants and microbes varied during plant growth due to changes in the demand for nutrients [97]. Unlike C metabolism, which was primarily involved in energy production, P metabolism was mainly involved in plant uptake and led to low P availability in soil [35,98]. Furthermore, increased soil microbial C limitation accelerated the decomposition of soil organic matter, thereby releasing more available P for plants and microorganisms to access. Our results confirmed that there was a significantly negative correlation between microbial C and P limitations, a result that had also been found in previous studies [13,99]. Therefore, microbial P limitation was affected directly and indirectly by growth stage, plant biomass and the properties of the soil nutrients and microbial biomass. In summary, our study found that climate change decreased soil microbial C limitation and increased P limitation, while the effects of soil available nutrients and microbial biomass were found to further alleviate microbial C and P limitations during the growth of winter wheat.

5. Conclusions

In this study, we found that soil microorganisms were limited by C and P limitations during the different growth stages of winter wheat. Microbial C limitation significantly decreased at the jointing stage and significantly increased at the grain filling stage in response to both elevated CO2 and warming. Soil microbial P limitation decreased with elevated CO2 at the anthesis and grain filling stages, whereas no significant variation was seen in response to warming. Both microbial C and P limitations were not significantly affected by the drought, and neither were the interactions of elevated CO2, warming and drought. The effects of climate factors on soil microbial C and P limitations were achieved by directly or indirectly affecting plant biomass, soil nutrient availability and microbes at different growth stages of winter wheat. Growth stages, the DOC, AP, MBC and MBP and the microbial C:P ratio were key factors affecting soil microbial C and P metabolic limitations.
In summary, this study presents the first assessment of the effects of elevated CO2, warming, drought and their interactions across different crop growth stages on microbial metabolic limitation through vector analysis, reveals variations in soil C and P cycle enzyme investments under climate factors and provides a new theoretical basis with which to improve the efficiency of nutrients.

Supplementary Materials

The following supporting information can be downloaded at: https://www.mdpi.com/article/10.3390/su15119037/s1, Table S1: Summary of statistics of a four-way ANOVA for the effects of CO2, temperature, drought, growth stage and their interaction on wheat biomass and soil properties. Table S2: Summary of statistics of a four-way ANOVA for the effects of CO2, temperature, drought, growth stage and their interaction on soil available nutrients. Table S3: Summary of statistics of a four-way ANOVA for the effects of CO2, temperature, drought, growth stage and their interaction on soil microbial nutrients. Figure S1: Experiment for winter wheat growth at different growth stages. SS represents the seedling stage; all wheat plants grew outdoors at the seedling stage. JS, AN, GF and MA represent the jointing, anthesis, grain filling and maturity stages, respectively. At the beginning of the returning green stage, all pots with winter wheat plants were transferred randomly to artificial climate chambers and exposed to experimental treatments until harvest. Figure S2: Redundancy analysis (RDA) used to identify the relationships among the microbial metabolic limitations, plant biomass, physicochemical properties, soil nutrient properties, soil microbial biomass and soil enzyme activity C:N:P stoichiometry. (a–d) Represent redundancy analyses at the jointing stage, anthesis stage, grain filling stage and maturity stage, respectively. Vector length and vector angle mean microbial C and P limitations, respectively. AGB: aboveground biomass; BGB: belowground biomass; pH: soil pH; SOC: soil organic carbon content; TN: soil total nitrogen content; TP: soil total phosphorus content; DOC: dissolved organic carbon content; AN: soil mineral nitrogen (NO3-N+NH4+-N); AP: soil available P content; MBC, MBN, and MBP: soil microbial biomass carbon content, soil microbial biomass nitrogen content and soil microbial biomass phosphorus content, respectively; MCN: soil microbial biomass C:N ratio; MCP: soil microbial biomass C:P ratio; MNP: soil microbial biomass N:P ratio. Figure S3: Spearman correlation analysis between plant characteristics, soil physical–chemical properties, soil microbial biomass and enzyme activities. (a) Represents jointing stage, (b) anthesis stage, (c) grain filling stage, and (d) maturity stage, respectively. AGB: aboveground biomass; BGB: belowground biomass; pH: soil pH; SOC: soil organic carbon content; TN: soil total nitrogen content; TP: soil total phosphorus content; DOC: dissolved organic carbon content; AN: soil mineral nitrogen (NO3-N+NH4+-N); AP: soil available P content; MBC, MBN, and MBP: soil microbial biomass carbon content, soil microbial biomass nitrogen content and soil microbial biomass phosphorus content, respectively; BG, NAG, LAP and ALP: β-1,4-glucosidase, β-1,4-N-acetylglucosaminidase, leucine aminopeptidase and alkaline phosphatase, respectively. * indicates the correlation is significant (p < 0.05). Figure S4: Spearman correlation analysis between soil available nutrient C:N:P stoichiometry, soil microbial biomass C:N:P stoichiometry and soil enzyme activity C:N:P stoichiometry. (a) Signifies jointing stage, (b) anthesis stage, (c) grain filling stage and (d) maturity stage. SCN: soil available C:N ratio; SCP: soil available C:P ratio; SNP: soil available N:P ratio; MCN: soil microbial biomass C:N ratio; MCP: soil microbial biomass C:P ratio; MNP: soil microbial biomass N:P ratio; ECN: soil enzymatic C:N ratio; ECP: soil enzymatic C:P ratio; ENP: soil enzymatic N:P ratio, respectively. * indicates the correlation is significant (p < 0.05).

Author Contributions

All authors contributed to our research. The experiments were designed by F.Z., J.W. and X.W. Material preparation, data collection and analysis were performed by J.W., X.W., H.W., M.Z. and J.J. The first draft of the manuscript was written by J.W. and all authors commented on previous versions of the manuscript. All authors have read and agreed to the published version of the manuscript.

Funding

The study was supported by the National Key Research and Development Program of China (No. 2022YFD1500102) and Strategic Priority Research Program of the Chinese Academy of Sciences (No. XDA28010201).

Institutional Review Board Statement

Not applicable.

Informed Consent Statement

Not applicable.

Data Availability Statement

Not applicable.

Acknowledgments

This work was funded by the National Key Research and Development Program of China (No. 2022YFD1500102) and Strategic Priority Research Program of the Chinese Academy of Sciences (No. XDA28010201). We thank Jie Wang of Guizhou University for assistance in data analysis. We also thank anonymous reviewers for helpful comments on this manuscript.

Conflicts of Interest

The authors declare no conflict of interest.

Abbreviations

Soil C:N ratio The ratio of DOC to AN
Soil C:P ratio The ratio of DOC to AP
Soil N:P ratio  The ratio of AN to AP
Microbial C:N ratio The ratio of MBC to MBN
Microbial C:P ratio  The ratio of MBC to MBP
Microbial N:P ratio  The ratio of MBN to MBP
Enzymatic C:N ratio The ratio of ln(BG) to ln(NAG + LAP)
Enzymatic C:P ratio The ratio of ln(BG) to ln(ALP)
Enzymatic N:P ratio The ratio of ln(NAG + LAP) to ln(ALP)

References

  1. IPCC. Climate Change 2014: Synthesis Report. Contribution of Working Groups I, II and III to the Fifth Assessment Report of the Intergovernmental Panel on Climate Change; IPCC: Geneva, Switzerland, 2014. [Google Scholar]
  2. Poulter, B.; Frank, D.; Ciais, P.; Myneni, R.B.; Andela, N.; Bi, J.; Broquet, G.; Canadell, J.G.; Chevallier, F.; Liu, Y.Y.; et al. Contribution of semi-arid ecosystems to interannual variability of the global carbon cycle. Nature 2014, 509, 600–603. [Google Scholar] [CrossRef] [PubMed]
  3. Reichstein, M.; Bahn, M.; Ciais, P.; Frank, D.; Mahecha, M.D.; Seneviratne, S.I.; Zscheischler, J.; Beer, C.; Buchmann, N.; Frank, D.C.; et al. Climate extremes and the carbon cycle. Nature 2013, 500, 287–295. [Google Scholar] [CrossRef] [PubMed]
  4. Haugwitz, M.S.; Bergmark, L.; Prieme, A.; Christensen, S.; Beier, C.; Michelsen, A. Soil microorganisms respond to five years of climate change manipulations and elevated atmospheric CO2 in a temperate heath ecosystem. Plant Soil 2014, 374, 211–222. [Google Scholar] [CrossRef]
  5. Sinsabaugh, R.L.; Lauber, C.L.; Weintraub, M.N.; Ahmed, B.; Allison, S.D.; Crenshaw, C.; Contosta, A.R.; Cusack, D.; Frey, S.; Gallo, M.E.; et al. Stoichiometry of soil enzyme activity at global scale. Ecol. Lett. 2008, 11, 1252–1264. [Google Scholar] [CrossRef] [PubMed]
  6. Peng, X.Q.; Wang, W. Stoichiometry of soil extracellular enzyme activity along a climatic transect in temperate grasslands of northern China. Soil Biol. Biochem. 2016, 98, 74–84. [Google Scholar] [CrossRef]
  7. Sinsabaugh, R.L.; Hill, B.H.; Shah, J.J.F. Ecoenzymatic stoichiometry of microbial organic nutrient acquisition in soil and sediment. Nature 2009, 462, 795–798. [Google Scholar] [CrossRef]
  8. Burns, R.G.; DeForest, J.L.; Marxsen, J.; Sinsabaugh, R.L.; Stromberger, M.E.; Wallenstein, M.D.; Weintraub, M.N.; Zoppini, A. Soil enzymes in a changing environment: Current knowledge and future directions. Soil Biol. Biochem. 2013, 58, 216–234. [Google Scholar] [CrossRef]
  9. Cui, Y.X.; Fang, L.C.; Guo, X.B.; Han, F.; Ju, W.L.; Ye, L.P.; Wang, X.; Tan, W.F.; Zhang, X.C. Natural grassland as the optimal pattern of vegetation restoration in arid and semi-arid regions: Evidence from nutrient limitation of soil microbes. Sci. Total Environ. 2019, 648, 388–397. [Google Scholar] [CrossRef]
  10. Cui, Y.X.; Fang, L.C.; Deng, L.; Guo, X.B.; Han, F.; Ju, W.L.; Wang, X.; Chen, H.S.; Tan, W.F.; Zhang, X.C. Patterns of soil microbial nutrient limitations and their roles in the variation of soil organic carbon across a precipitation gradient in an arid and semi-arid region. Sci. Total Environ. 2019, 658, 1440–1451. [Google Scholar] [CrossRef]
  11. Guo, Z.; Zhang, X.; Green, S.M.; Dungait, J.A.J.; Wen, X.; Quine, T.A. Soil enzyme activity and stoichiometry along a gradient of vegetation restoration at the Karst Critical Zone Observatory in Southwest China. Land Degrad. Dev. 2019, 30, 1916–1927. [Google Scholar] [CrossRef]
  12. Montiel-Gonzalez, C.; Tapia-Torres, Y.; Souza, V.; Garcia-Oliva, F. The response of soil microbial communities to variation in annual precipitation depends on soil nutritional status in an oligotrophic desert. PeerJ 2017, 5, e4007. [Google Scholar] [CrossRef] [PubMed]
  13. Yu, J.L.; Bing, H.J.; Chang, R.Y.; Cui, Y.X.; Shen, G.T.; Wang, X.X.; Zhang, S.P.; Fang, L.C. Microbial metabolic limitation response to experimental warming along an altitudinal gradient in alpine grasslands, eastern Tibetan Plateau. Catena 2022, 214, 106243. [Google Scholar] [CrossRef]
  14. Wang, X.L.; Gong, X.W.; Li, X.Y.; Sun, S.T.; Dang, K.; Feng, B.L. Microbial nutrient limitation in rhizosphere soils of different food crop families: Evidence from ecoenzymatic stoichiometry. Land Degrad. Dev. 2022, 34, 1019–1034. [Google Scholar] [CrossRef]
  15. Moorhead, D.L.; Sinsabaugh, R.L.; Hill, B.H.; Weintraub, M.N. Vector analysis of ecoenzyme activities reveal constraints on coupled C, N and P dynamics. Soil Biol. Biochem. 2016, 93, 1–7. [Google Scholar] [CrossRef]
  16. Dijkstra, F.A.; Cheng, W. Interactions between soil and tree roots accelerate long-term soil carbon decomposition. Ecol. Lett. 2007, 10, 1046–1053. [Google Scholar] [CrossRef]
  17. Stone, M.M.; DeForest, J.L.; Plante, A.F. Changes in extracellular enzyme activity and microbial community structure with soil depth at the Luquillo Critical Zone Observatory. Soil Biol. Biochem. 2014, 75, 237–247. [Google Scholar] [CrossRef]
  18. Cleveland, C.C.; Liptzin, D. C:N:P stoichiometry in soil: Is there a “Redfield ratio” for the microbial biomass? Biogeochemistry 2007, 85, 235–252. [Google Scholar] [CrossRef]
  19. Alarcon-Gutierrez, E.; Floch, C.; Ziarelli, F.; Augur, C.; Criquet, S. Drying-rewetting cycles and gamma-irradiation effects on enzyme activities of distinct layers from a Quercus ilex L. litter. Soil Biol. Biochem. 2010, 42, 283–290. [Google Scholar] [CrossRef]
  20. Thakur, M.P.; Del Real, I.M.; Cesarz, S.; Steinauer, K.; Reich, P.B.; Hobbie, S.; Ciobanu, M.; Rich, R.; Worm, K.; Eisenhauer, N. Soil microbial, nematode, and enzymatic responses to elevated CO2 N fertilization, warming, and reduced precipitation. Soil Biol. Biochem. 2019, 135, 184–193. [Google Scholar] [CrossRef]
  21. Guenet, B.; Lenhart, K.; Leloup, J.; Giusti-Miller, S.; Pouteau, V.; Mora, P.; Nunan, N.; Abbadie, L. The impact of long-term CO2 enrichment and moisture levels on soil microbial community structure and enzyme activities. Geoderma 2012, 170, 331–336. [Google Scholar] [CrossRef]
  22. Alvarez, R.; Lavado, R.S. Climate, organic matter and clay content relationships in the Pampa and Chaco soils, Argentina. Geoderma 1998, 83, 127–141. [Google Scholar] [CrossRef]
  23. Zhang, W.; Xu, Y.D.; Gao, D.X.; Wang, X.; Liu, W.C.; Deng, J.; Han, X.H.; Yang, G.H.; Feng, Y.Z.; Ren, G.X. Ecoenzymatic stoichiometry and nutrient dynamics along a revegetation chronosequence in the soils of abandoned land and Robinia pseudoacacia plantation on the Loess Plateau, China. Soil Biol. Biochem. 2019, 134, 1–14. [Google Scholar] [CrossRef]
  24. Banerjee, S.; Bora, S.; Thrall, P.H.; Richardson, A.E. Soil C and N as causal factors of spatial variation in extracellular enzyme activity across grassland-woodland ecotones. Appl. Soil Ecol. 2016, 105, 1–8. [Google Scholar] [CrossRef]
  25. Waring, B.G.; Weintraub, S.R.; Sinsabaugh, R.L. Ecoenzymatic stoichiometry of microbial nutrient acquisition in tropical soils. Biogeochemistry 2014, 117, 101–113. [Google Scholar] [CrossRef]
  26. Henry, H.A.L. Soil extracellular enzyme dynamics in a changing climate. Soil Biol. Biochem. 2012, 47, 53–59. [Google Scholar] [CrossRef]
  27. Bardgett, R.D.; Freeman, C.; Ostle, N.J. Microbial contributions to climate change through carbon cycle feedbacks. ISME J. 2008, 2, 805–814. [Google Scholar] [CrossRef]
  28. Khan, F.N.; Lukac, M.; Turner, G.; Godbold, D.L. Elevated atmospheric CO2 changes phosphorus fractions in soils under a short rotation poplar plantation (EuroFACE). Soil Biol. Biochem. 2008, 40, 1716–1723. [Google Scholar] [CrossRef]
  29. Williams, M.A. Response of microbial communities to water stress in irrigated and drought-prone tallgrass prairie soils. Soil Biol. Biochem. 2007, 39, 2750–2757. [Google Scholar] [CrossRef]
  30. Adair, E.C.; Reich, P.B.; Trost, J.J.; Hobbie, S.E. Elevated CO2 stimulates grassland soil respiration by increasing carbon inputs rather than by enhancing soil moisture. Glob. Change Biol. 2011, 17, 3546–3563. [Google Scholar] [CrossRef]
  31. Ebersberger, D.; Niklaus, P.A.; Kandeler, E. Long term CO2 enrichment stimulates N-mineralisation and enzyme activities in calcareous grassland. Soil Biol. Biochem. 2003, 35, 965–972. [Google Scholar] [CrossRef]
  32. Wall, G.W.; Garcia, R.L.; Kimball, B.A.; Hunsaker, D.J.; Pinter, P.J.; Long, S.P.; Osborne, C.P.; Hendrix, D.L.; Wechsung, F.; Wechsung, G.; et al. Interactive effects of elevated carbon dioxide and drought on wheat. Agron. J. 2006, 98, 354–381. [Google Scholar] [CrossRef]
  33. Pinay, G.; Barbera, P.; Carreras-Palou, A.; Fromin, N.; Sonie, L.; Couteaux, M.M.; Roy, J.; Philippot, L.; Lensi, R. Impact of atmospheric CO2 and plant life forms on soil microbial activities. Soil Biol. Biochem. 2007, 39, 33–42. [Google Scholar] [CrossRef]
  34. Mueller, C.; Ruetting, T.; Abbasi, M.K.; Laughlin, R.J.; Kammann, C.; Clough, T.J.; Sherlock, R.R.; Kattge, J.; Jaeger, H.-J.; Watson, C.J.; et al. Effect of elevated CO2 on soil N dynamics in a temperate grassland soil. Soil Biol. Biochem. 2009, 41, 1996–2001. [Google Scholar] [CrossRef]
  35. Inselsbacher, E.; Umana, N.H.-N.; Stange, F.C.; Gorfer, M.; Schueller, E.; Ripka, K.; Zechmeister-Boltenstern, S.; Hood-Novotny, R.; Strauss, J.; Wanek, W. Short-term competition between crop plants and soil microbes for inorganic N fertilizer. Soil Biol. Biochem. 2010, 42, 360–372. [Google Scholar] [CrossRef]
  36. Hu, S.; Chapin, F.S.; Firestone, M.K.; Field, C.B.; Chiariello, N.R. Nitrogen limitation of microbial decomposition in a grassland under elevated CO2. Nature 2001, 409, 188–191. [Google Scholar] [CrossRef]
  37. Keane, J.B.; Hoosbeek, M.R.; Taylor, C.R.; Miglietta, F.; Phoenix, G.K.; Hartley, I.P. Soil C, N and P cycling enzyme responses to nutrient limitation under elevated CO2. Biogeochemistry 2020, 151, 221–235. [Google Scholar] [CrossRef]
  38. Bradford, M.A.; Davies, C.A.; Frey, S.D.; Maddox, T.R.; Melillo, J.M.; Mohan, J.E.; Reynolds, J.F.; Treseder, K.K.; Wallenstein, M.D. Thermal adaptation of soil microbial respiration to elevated temperature. Ecol. Lett. 2008, 11, 1316–1327. [Google Scholar] [CrossRef]
  39. Steinweg, J.M.; Dukes, J.S.; Paul, E.A.; Wallenstein, M.D. Microbial responses to multi-factor climate change: Effects on soil enzymes. Front. Microbiol. 2013, 4, 146. [Google Scholar] [CrossRef]
  40. Romero-Olivares, A.L.; Allison, S.D.; Treseder, K.K. Soil microbes and their response to experimental warming over time: A meta-analysis of field studies. Soil Biol. Biochem. 2017, 107, 32–40. [Google Scholar] [CrossRef]
  41. Jing, X.; Wang, Y.; Chung, H.; Mi, Z.; Wang, S.; Zeng, H.; He, J.S. No temperature acclimation of soil extracellular enzymes to experimental warming in an alpine grassland ecosystem on the Tibetan Plateau. Biogeochemistry 2014, 117, 39–54. [Google Scholar] [CrossRef]
  42. Rustad, L.E.; Campbell, J.L.; Marion, G.M.; Norby, R.J.; Mitchell, M.J.; Hartley, A.E.; Cornelissen, J.H.C.; Gurevitch, J.; Gcte, N. A meta-analysis of the response of soil respiration, net nitrogen mineralization, and aboveground plant growth to experimental ecosystem warming. Oecologia 2001, 126, 543–562. [Google Scholar] [CrossRef] [PubMed]
  43. Hobbie, S.E.; Nadelhoffer, K.J.; Hogberg, P. A synthesis: The role of nutrients as constraints on carbon balances in boreal and arctic regions. Plant Soil 2002, 242, 163–170. [Google Scholar] [CrossRef]
  44. Verburg, P.S.J.; Van Loon, W.K.P.; Lukewille, A. The CLIMEX soil-heating experiment: Soil response after 2 years of treatment. Biol. Fertil. Soils 1999, 28, 271–276. [Google Scholar] [CrossRef]
  45. Allison, S.D.; Treseder, K.K. Warming and drying suppress microbial activity and carbon cycling in boreal forest soils. Glob. Change Biol. 2008, 14, 2898–2909. [Google Scholar] [CrossRef]
  46. Zheng, H.F.; Liu, Y.; Chen, Y.M.; Zhang, J.; Li, H.J.; Wang, L.F.; Chen, Q. Short-term warming shifts microbial nutrient limitation without changing the bacterial community structure in an alpine timberline of the eastern Tibetan Plateau. Geoderma 2020, 360, 113985. [Google Scholar] [CrossRef]
  47. Schimel, J.; Balser, T.C.; Wallenstein, M. Microbial stress-response physiology and its implications for ecosystem function. Ecology 2007, 88, 1386–1394. [Google Scholar] [CrossRef] [PubMed]
  48. Schimel, J.P. Life in dry soils: Effects of drought on soil microbial communities and processes. Annu. Rev. Ecol. Evol. Syst. 2018, 49, 409–432. [Google Scholar] [CrossRef]
  49. Sardans, J.; Penuelas, J.; Estiarte, M. Changes in soil enzymes related to C and N cycle and in soil C and N content under prolonged warming and drought in a Mediterranean shrubland. Appl. Soil Ecol. 2008, 39, 223–235. [Google Scholar] [CrossRef]
  50. A’Bear, A.D.; Jones, T.H.; Kandeler, E.; Boddy, L. Interactive effects of temperature and soil moisture on fungal-mediated wood decomposition and extracellular enzyme activity. Soil Biol. Biochem. 2014, 70, 151–158. [Google Scholar] [CrossRef]
  51. Tapia-Torres, Y.; Elser, J.J.; Souza, V.; Garcia-Oliva, F. Ecoenzymatic stoichiometry at the extremes: How microbes cope in an ultra-oligotrophic desert soil. Soil Biol. Biochem. 2015, 87, 34–42. [Google Scholar] [CrossRef]
  52. Yan, Z.Q.; Li, Y.; Wu, H.D.; Zhang, K.R.; Hao, Y.B.; Wang, J.Z.; Zhang, X.D.; Yan, L.; Kang, X.M. Different responses of soil hydrolases and oxidases to extreme drought in an alpine peatland on the Qinghai-Tibet Plateau, China. Eur. J. Soil Biol. 2020, 99, 103195. [Google Scholar] [CrossRef]
  53. Sun, Y.; Liao, J.H.; Zou, X.M.; Xu, X.; Yang, J.Y.; Chen, H.Y.H.; Ruan, H.H. Coherent responses of terrestrial C:N stoichiometry to drought across plants, soil, and microorganisms in forests and grasslands. Agric. For. Meteorol. 2020, 292, 108104. [Google Scholar] [CrossRef]
  54. Steinweg, J.M.; Dukes, J.S.; Wallenstein, M.D. Modeling the effects of temperature and moisture on soil enzyme activity: Linking laboratory assays to continuous field data. Soil Biol. Biochem. 2012, 55, 85–92. [Google Scholar] [CrossRef]
  55. Henry, H.A.L.; Juarez, J.D.; Field, C.B.; Vitousek, P.M. Interactive effects of elevated CO2, N deposition and climate change on extracellular enzyme activity and soil density fractionation in a California annual grassland. Glob. Change Biol. 2005, 11, 1808–1815. [Google Scholar] [CrossRef]
  56. Ma, Z.Z.; Zhang, X.C.; Zheng, B.Y.; Yue, S.C.; Zhang, X.C.; Zhai, B.N.; Wang, Z.H.; Zheng, W.; Li, Z.Y.; Zamanian, K.; et al. Effects of plastic and straw mulching on soil microbial P limitations in maize fields: Dependency on soil organic carbon demonstrated by ecoenzymatic stoichiometry. Geoderma 2021, 388, 114928. [Google Scholar] [CrossRef]
  57. Li, Y.F.; Xiao, M.L.; Yuan, H.C.; Zhu, Z.K.; Wang, J.R.; Li, K.L.; Ge, T.D.; Wu, J.S. Effects of doubled concentration of CO2 on soil hydrolase activities related to turnover of soil C and N in a rice-cropping system. China Environ. Sci. 2018, 38, 3474–3480. (In Chinese) [Google Scholar]
  58. Padhy, S.R.; Nayak, S.; Dash, P.K.; Das, M.; Roy, K.S.; Nayak, A.K.; Neogi, S.; Bhattacharyya, P. Elevated carbon dioxide and temperature imparted intrinsic drought tolerance in aerobic rice system through enhanced exopolysaccharide production and rhizospheric activation. Agric. Ecosyst. Environ. 2018, 268, 52–60. [Google Scholar] [CrossRef]
  59. Cui, Y.X.; Zhang, Y.L.; Duan, C.J.; Wang, X.; Zhang, X.C.; Ju, W.L.; Chen, H.S.; Yue, S.C.; Wang, Y.Q.; Li, S.Q.; et al. Ecoenzymatic stoichiometry reveals microbial phosphorus limitation decreases the nitrogen cycling potential of soils in semi-arid agricultural ecosystems. Soil Tillage Res. 2020, 197, 104463. [Google Scholar] [CrossRef]
  60. Zhao, G.C.; Chang, X.H.; Wang, D.M.; Tao, Z.Q.; Wang, Y.J.; Yang, Y.S.; Zhu, Y.J. General situation and development of wheat production. Crops 2018, 34, 1–7. (In Chinese) [Google Scholar]
  61. Lyu, J.Y.; Jiang, Y.N.; Xu, C.; Liu, Y.J.; Su, Z.H.; Liu, J.C.; He, J.Q. Multi-objective winter wheat irrigation strategies optimization based on coupling AquaCrop-OSPy and NSGA-III: A case study in Yangling, China. Sci. Total Environ. 2022, 843, 157104. [Google Scholar] [CrossRef]
  62. Food and Agriculture Organization of the United Nations (FAO). World Reference Base for Soil Resources 2014 (Updated 2015); World soil resources reports; FAO: Rome, Italy, 2015; p. 106. Available online: https://www.isric.org/explore/wrb (accessed on 16 October 2019).
  63. Lane, J.M.; Delavaux, C.S.; Koppen, L.V.; Lu, P.N.; Cade-Menun, B.J.; Tremblay, J.; Bainard, D. Soil sample storage conditions impact extracellular enzyme activity and bacterial amplicon diversity metrics in a semi-arid ecosystem. Soil Biol. Biochem. 2022, 175, 108858. [Google Scholar] [CrossRef]
  64. Bao, S.D. Soil and Agricultural Chemistry Analysis; China Agricultural Press: Beijing, China, 2000; pp. 29–34, 44–48, 74–76, 81–83. (In Chinese) [Google Scholar]
  65. Jones, D.L.; Willett, V.B. Experimental evaluation of methods to quantify dissolved organic nitrogen (DON) and dissolved organic carbon (DOC) in soil. Soil Biol. Biochem. 2006, 38, 991–999. [Google Scholar] [CrossRef]
  66. Brookes, P.C.; Powlson, D.S.; Jenkinson, D.S. Measurement of microbial biomass phosphorus in soil. Soil Biol. Biochem. 1982, 14, 319–329. [Google Scholar] [CrossRef]
  67. Vance, E.D.; Brookes, P.C.; Jenkinson, D.S. An extraction method for measuring soil microbial biomass C. Soil Biol. Biochem. 1987, 19, 703–707. [Google Scholar] [CrossRef]
  68. R Development Core Team. R: A Language and Environment for Statistical Computing; R Foundation for Statistical Computing: Vienna, Austria, 2020; Available online: https://www.r-project.org (accessed on 20 May 2022).
  69. Heimann, M.; Reichstein, M. Terrestrial ecosystem carbon dynamics and climate feedbacks. Nature 2008, 451, 289–292. [Google Scholar] [CrossRef]
  70. Kuzyakov, Y.; Razavi, B.S. Rhizosphere size and shape: Temporal dynamics and spatial stationarity. Soil Biol. Biochem. 2019, 135, 343–360. [Google Scholar] [CrossRef]
  71. Bowles, T.M.; Acosta-Martinez, V.; Calderon, F.; Jackson, L.E. Soil enzyme activities, microbial communities, and carbon and nitrogen availability in organic agroecosystems across an intensively-managed agricultural landscape. Soil Biol. Biochem. 2014, 68, 252–262. [Google Scholar] [CrossRef]
  72. Norby, R.J. Issues and perspectives for investigating root responses to elevated atmospheric carbon-dioxide. Plant Soil 1994, 165, 9–20. [Google Scholar] [CrossRef]
  73. Sulman, B.N.; Phillips, R.P.; Oishi, A.C.; Shevliakova, E.; Pacala, S.W. Microbe-driven turnover offsets mineral-mediated storage of soil carbon under elevated CO2. Nat. Clim. Change 2014, 4, 1099–1102. [Google Scholar] [CrossRef]
  74. Dijkstra, F.A.; Pendall, E.; Morgan, J.A.; Blumenthal, D.M.; Carrillo, Y.; LeCain, D.R.; Follett, R.F.; Williams, D.G. Climate change alters stoichiometry of phosphorus and nitrogen in a semiarid grassland. New Phytol. 2012, 196, 807–815. [Google Scholar] [CrossRef]
  75. Sinsabaugh, R.L.; Shah, J.J.F. Ecoenzymatic stoichiometry and ecological theory. Annu. Rev. Ecol. Evol. Syst. 2012, 43, 313–343. [Google Scholar] [CrossRef]
  76. Cleveland, C.C.; Reed, S.C.; Townsend, A.R. Nutrient regulation of organic matter decomposition in a tropical rain forest. Ecology 2006, 87, 492–503. [Google Scholar] [CrossRef] [PubMed]
  77. Manzoni, S.; Trofymow, J.A.; Jackson, R.B.; Porporato, A. Stoichiometric controls on carbon, nitrogen, and phosphorus dynamics in decomposing litter. Ecol. Monogr. 2010, 80, 89–106. [Google Scholar] [CrossRef]
  78. Zhao, F.Z.; Ren, C.J.; Han, X.H.; Yang, G.H.; Wang, J.; Doughty, R. Changes of soil microbial and enzyme activities are linked to soil C, N and P stoichiometry in afforested ecosystems. For. Ecol. Manag. 2018, 427, 289–295. [Google Scholar] [CrossRef]
  79. Walker, T.W.N.; Kaiser, C.; Strasser, F.; Herbold, C.W.; Leblans, N.I.W.; Woebken, D.; Janssens, I.A.; Sigurdsson, B.D.; Richter, A. Microbial temperature sensitivity and biomass change explain soil carbon loss with warming. Nat. Clim. Change 2018, 8, 885–889. [Google Scholar] [CrossRef]
  80. Giardina, C.P.; Litton, C.M.; Crow, S.E.; Asner, G.P. Warming-related increases in soil CO2 effux are explained by increased below-ground carbon flux. Nat. Clim. Change 2014, 4, 822–827. [Google Scholar] [CrossRef]
  81. Schindlbacher, A.; Schnecker, J.; Takriti, M.; Borken, W.; Wanek, W. Microbial physiology and soil CO2 efflux after 9 years of soil warming in a temperate forest—No indications for thermal adaptations. Glob. Change Biol. 2015, 21, 4265–4277. [Google Scholar] [CrossRef]
  82. Young, L.W.; Wilen, R.W.; Bonham-Smith, P.C. High temperature stress of Brassica napus during flowering reduces micro- and megagametophyte fertility, induces fruit abortion, and disrupts seed production. J. Exp. Bot. 2004, 55, 485–495. [Google Scholar] [CrossRef]
  83. Jing, Z.W.; Chen, R.R.; Wei, S.P.; Feng, Y.Z.; Zhang, J.B.; Lin, X.G. Response and feedback of C mineralization to P availability driven by soil microorganisms. Soil Biol. Biochem. 2017, 105, 111–120. [Google Scholar] [CrossRef]
  84. Emmett, B.A.; Beier, C.; Estiarte, M.; Tietema, A.; Kristensen, H.L.; Williams, D.; Penuelas, J.; Schmidt, I.; Sowerby, A. The response of soil processes to climate change: Results from manipulation studies of shrublands across an environmental gradient. Ecosystems 2004, 7, 625–637. [Google Scholar] [CrossRef]
  85. Sinsabaugh, R.L.; Manzoni, S.; Moorhead, D.L.; Richter, A. Carbon use efficiency of microbial communities: Stoichiometry, methodology and modelling. Ecol. Lett. 2013, 16, 930–939. [Google Scholar] [CrossRef] [PubMed]
  86. Poll, C.; Ingwersen, J.; Stemmer, M.; Gerzabek, M.H.; Kandeler, E. Mechanisms of solute transport affect small-scale abundance and function of soil microorganisms in the detritusphere. Eur. J. Soil Sci. 2006, 57, 583–595. [Google Scholar] [CrossRef]
  87. Liu, J.L.; Yang, Z.L.; Dang, P.; Zhu, H.L.; Gao, Y.; Vu Ngoc, H.; Zhao, Z. Response of soil microbial community dynamics to Robinia pseudoacacia L. afforestation in the loess plateau: A chronosequence approach. Plant Soil 2018, 423, 327–338. [Google Scholar] [CrossRef]
  88. Allison, S.D.; Vitousek, P.M. Responses of extracellular enzymes to simple and complex nutrient inputs. Soil Biol. Biochem. 2005, 37, 937–944. [Google Scholar] [CrossRef]
  89. Jing, X.; Chen, X.; Xiao, W.; Lin, L.; Wang, C.; He, J.S.; Zhu, B. Soil enzymatic responses to multiple environmental drivers in the Tibetan grasslands: Insights from two manipulative field experiments and a meta-analysis. Pedobiologia 2018, 71, 50–58. [Google Scholar] [CrossRef]
  90. Eisenhauer, N.; Cesarz, S.; Koller, R.; Worm, K.; Reich, P.B. Global change belowground: Impacts of elevated CO2, nitrogen, and summer drought on soil food webs and biodiversity. Glob. Change Biol. 2012, 18, 435–447. [Google Scholar] [CrossRef]
  91. Kardol, P.; Cregger, M.A.; Campany, C.E.; Classen, A.T. Soil ecosystem functioning under climate change: Plant species and community effects. Ecology 2010, 91, 767–781. [Google Scholar] [CrossRef]
  92. Garten, C.T., Jr.; Iversen, C.M.; Norby, R.J. Litterfall N-15 abundance indicates declining soil nitrogen availability in a free-air CO2 enrichment experiment. Ecology 2011, 92, 133–139. [Google Scholar] [CrossRef]
  93. Sinsabaugh, R.L.; Moorhead, D.L. Resource-allocation to extracellular enzyme-production- A model for nitrogen and phosphorus control of litter decomposition. Soil Biol. Biochem. 1994, 26, 1305–1311. [Google Scholar] [CrossRef]
  94. Capek, P.T.; Manzoni, S.; Kastovska, E.; Wild, B.; Diakova, K.; Barta, J.; Schnecker, J.; Blasi, C.; Martikainen, P.J.; Alves, R.J.E.; et al. A plant-microbe interaction framework explaining nutrient effects on primary production. Nat. Ecol. Evol. 2018, 2, 1588–1596. [Google Scholar] [CrossRef]
  95. Spohn, M.; Kuzyakov, Y. Phosphorus mineralization can be driven by microbial need for carbon. Soil Biol. Biochem. 2013, 61, 69–75. [Google Scholar] [CrossRef]
  96. Ru, J.Y.; Zhou, Y.Q.; Hui, D.F.; Zheng, M.M.; Wan, S.Q. Shifts of growing-season precipitation peaks decrease soil respiration in a semiarid grassland. Glob. Change Biol. 2018, 24, 1001–1011. [Google Scholar] [CrossRef] [PubMed]
  97. Razavi, B.S.; Zhang, X.; Bilyera, N.; Guber, A.; Zarebanadkouki, M. Soil zymography: Simple and reliable? Review of current knowledge and optimization of the method. Rhizosphere 2019, 11, 100161. [Google Scholar] [CrossRef]
  98. Zhang, W.; Liu, W.C.; Xu, M.P.; Deng, J.; Han, X.H.; Yang, G.H.; Feng, Y.Z.; Ren, G.X. Response of forest growth to C:N:P stoichiometry in plants and soils during Robinia pseudoacacia afforestation on the Loess Plateau, China. Geoderma 2019, 337, 280–289. [Google Scholar] [CrossRef]
  99. Cui, Y.X.; Wang, X.; Zhang, X.C.; Ju, W.L.; Duan, C.J.; Guo, X.B.; Wang, Y.Q.; Fang, L.C. Soil moisture mediates microbial carbon and phosphorus metabolism during vegetation succession in a semiarid region. Soil Biol. Biochem. 2020, 147, 107814. [Google Scholar] [CrossRef]
Figure 1. Daily average temperature setting of artificial climate chamber during the experiment period. Ⅰ represents annual mean daily temperature at Wugong Station from 1998 to 2018. Ⅱ represents current ambient temperature and was set by simulating annual mean daily temperature at Wugong Station from 1998 to 2018. Ⅲ presents the temperature increasing by 4 °C, which was set at 4 °C warmer than the current ambient temperature. The period from 1 March to 3 June 2021 comprises 120–220 days after sowing.
Figure 1. Daily average temperature setting of artificial climate chamber during the experiment period. Ⅰ represents annual mean daily temperature at Wugong Station from 1998 to 2018. Ⅱ represents current ambient temperature and was set by simulating annual mean daily temperature at Wugong Station from 1998 to 2018. Ⅲ presents the temperature increasing by 4 °C, which was set at 4 °C warmer than the current ambient temperature. The period from 1 March to 3 June 2021 comprises 120–220 days after sowing.
Sustainability 15 09037 g001
Figure 2. Effects of elevated CO2, warming and light drought on soil microbial C, N, P contents and their stoichiometry: (a) MBC, (b) MBN, (c) MBP, (d) microbial C:N ratio: the ratio of MBC to MBN, (e) microbial C:P ratio: the ratio of MBC to MBP and (f) microbial N:P ratio: the ratio of MBN to MBP. The error bars are the standard deviations. Different lowercase letters indicate significant differences at the 0.05 level (p < 0.05) among treatments under the same growth stages.
Figure 2. Effects of elevated CO2, warming and light drought on soil microbial C, N, P contents and their stoichiometry: (a) MBC, (b) MBN, (c) MBP, (d) microbial C:N ratio: the ratio of MBC to MBN, (e) microbial C:P ratio: the ratio of MBC to MBP and (f) microbial N:P ratio: the ratio of MBN to MBP. The error bars are the standard deviations. Different lowercase letters indicate significant differences at the 0.05 level (p < 0.05) among treatments under the same growth stages.
Sustainability 15 09037 g002
Figure 3. Effects of elevated CO2, warming and light drought on soil ecoenzyme activity and their stoichiometry: (a) C-acquiring enzyme: BG, (b) N-acquiring enzyme: NAG + LAP, (c) P-acquiring enzyme: ALP, (d) enzymatic C:N ratio: the ratio of ln(BG) to ln(NAG + LAP), (e) enzymatic C:P ratio: the ratio of ln(BG) to ln(AP) and (f) enzymatic N:P ratio: the ratio of ln(NAG + LAP) to ln(AP). The error bars are the standard deviations. Different lowercase letters indicate significant differences at the 0.05 level (p < 0.05) among treatments under the same growth stages.
Figure 3. Effects of elevated CO2, warming and light drought on soil ecoenzyme activity and their stoichiometry: (a) C-acquiring enzyme: BG, (b) N-acquiring enzyme: NAG + LAP, (c) P-acquiring enzyme: ALP, (d) enzymatic C:N ratio: the ratio of ln(BG) to ln(NAG + LAP), (e) enzymatic C:P ratio: the ratio of ln(BG) to ln(AP) and (f) enzymatic N:P ratio: the ratio of ln(NAG + LAP) to ln(AP). The error bars are the standard deviations. Different lowercase letters indicate significant differences at the 0.05 level (p < 0.05) among treatments under the same growth stages.
Sustainability 15 09037 g003
Figure 4. (a) Extracellular enzyme stoichiometry of the relative proportions of C to N acquisition versus P acquisition. The figure takes data from the jointing stage as an example. (b,c) The variations in vector length and angle in response to elevated CO2, warming and light drought. The error bars are the standard deviations. Different lowercase letters indicate significant differences at the 0.05 level (p < 0.05) among treatments under the same growth stages.
Figure 4. (a) Extracellular enzyme stoichiometry of the relative proportions of C to N acquisition versus P acquisition. The figure takes data from the jointing stage as an example. (b,c) The variations in vector length and angle in response to elevated CO2, warming and light drought. The error bars are the standard deviations. Different lowercase letters indicate significant differences at the 0.05 level (p < 0.05) among treatments under the same growth stages.
Sustainability 15 09037 g004
Figure 5. (a) Analysis of the possible pathways affecting the C and P limitations of microbial metabolism via PLS-PM. Microbial C and P limitations are represented by vector length and vector angle, respectively. The blue and red lines indicate positive and negative effects, respectively. The values on the lines are the standard path coefficients. ECO2 means elevated CO2 concentration, and GS indicates the growth stages. R2 indicates the variance of the model. Values along the lines are the standard path coefficients. * and ** indicate that the standard path coefficients are significant and highly significant, respectively (p < 0.05 and p < 0.001). (b) Analysis of the importance of factors affecting soil microbial C and P metabolic limitations.
Figure 5. (a) Analysis of the possible pathways affecting the C and P limitations of microbial metabolism via PLS-PM. Microbial C and P limitations are represented by vector length and vector angle, respectively. The blue and red lines indicate positive and negative effects, respectively. The values on the lines are the standard path coefficients. ECO2 means elevated CO2 concentration, and GS indicates the growth stages. R2 indicates the variance of the model. Values along the lines are the standard path coefficients. * and ** indicate that the standard path coefficients are significant and highly significant, respectively (p < 0.05 and p < 0.001). (b) Analysis of the importance of factors affecting soil microbial C and P metabolic limitations.
Sustainability 15 09037 g005
Table 1. The experimental treatment design.
Table 1. The experimental treatment design.
Treatment CodesExperimental TreatmentsExperimental Conditions
CO2 Concentration
(μmol·mol−1)
Temperature
(°C)
Soil Moisture Content
(%)
CKControl400T060% FC
DLight droughtT080% FC
WWarming400T0 + 4 °C60% FC
W + DWarming + light droughtT0 + 4 °C80% FC
CElevated CO2 concentration800T060% FC
C + DElevated CO2 concentration + light droughtT080% FC
CWElevated CO2 concentration + warming800T0 + 4 °C60% FC
CW + DElevated CO2 concentration + warming + light droughtT0 + 4 °C80% FC
Note: T0 represents the current ambient temperature, and the setting of T0 is shown in Figure 1; 80% FC represents an adequate water supply, and 60% FC represents light drought stress; FC indicates field capacity. The field capacity of the topsoil collected from farmland was 24.0%.
Table 2. Date of sample collection corresponding to winter wheat growth stages for each treatment.
Table 2. Date of sample collection corresponding to winter wheat growth stages for each treatment.
Treatment CodesGrowth Days at Sampling
Jointing StageAnthesis StageGrain Filling StageMaturity Stage
CK148174192218
D148169187216
C146174191218
C + D146168186216
W144155172198
W + D144153170197
CW142156173198
CW + D142154171197
Table 3. Plant biomass and soil physicochemical properties among different treatments at different growth stages.
Table 3. Plant biomass and soil physicochemical properties among different treatments at different growth stages.
Treatments CodesGrowth StageParameters
AGB (g)BGB (g)pHSOC (g·kg−1)TN (g·kg−1)TP (g·kg−1)
CKJS10.81 ± 0.88 ab1.02 ± 0.06 a7.86 ± 0.12 ab9.08 ± 0.35 b1.08 ± 0.02 a1.41 ± 0.05 a
AN38.8 ± 2.02 a1.87 ± 0.28 a8.35 ± 0.15 a8.94 ± 0.16 abc1.05 ± 0.03 abc1.45 ± 0.02 a
GF63.6 ± 6.12 a2.24 ± 0.13 a8.19 ± 0.03 bc10.24 ± 0.15 a1.03 ± 0.01 cd1.5 ± 0.04 abc
MA79.91 ± 4.39 a1.13 ± 0.2 a8.23 ± 0.04 ab10 ± 0.09 a1.08 ± 0.03 abc1.44 ± 0.02 ab
DJS7.63 ± 1.57 d0.59 ± 0.07 c7.89 ± 0.13 ab8.43 ± 0.32 c1.12 ± 0.02 a1.42 ± 0.06 a
AN22.12 ± 2.55 b1.11 ± 0.16 bc8.1 ± 0.09 b9.14 ± 0.24 ab1.08 ± 0.02 abc1.43 ± 0.03 ab
GF35.2 ± 2.54 bc1.33 ± 0.23 b8.1 ± 0.09 de9.41 ± 0.23 bcd1.07 ± 0.01 abc1.5 ± 0.05 ab
MA52.42 ± 1.43 cd0.88 ± 0.1 b8.11 ± 0.04 b9.91 ± 0.34 ab1.1 ± 0.01 abc1.5 ± 0.03 a
CJS11.41 ± 0.53 ab0.9 ± 0.18 a7.95 ± 0.03 ab9.78 ± 0.08 a1.09 ± 0.01 a1.41 ± 0.01 a
AN39.54 ± 2.96 a2.14 ± 0.25 a8.41 ± 0.04 a9.14 ± 0.35 a1.01 ± 0.07 c1.47 ± 0.05 a
GF62.08 ± 3.68 a2.37 ± 0.13 a8.18 ± 0.01 bcd9.85 ± 0.15 ab1.02 ± 0.04 d1.52 ± 0.01 a
MA78.05 ± 1 a1.18 ± 0.21 a8.16 ± 0.22 b9.84 ± 0.2 abc1.07 ± 0.03 c1.5 ± 0.05 a
C + DJS8.82 ± 1.26 cd0.36 ± 0.03 d7.81 ± 0.03 b9.45 ± 0.09 ab1.11 ± 0.01 a1.41 ± 0.04 a
AN23.09 ± 2.66 b1.31 ± 0.05 b8.17 ± 0.07 b9.2 ± 0.48 a1.11 ± 0.01 a1.43 ± 0.04 ab
GF33.11 ± 4.07 cd1.23 ± 0.1 b8.11 ± 0.04 cde9.78 ± 0.57 bc1.09 ± 0.02 a1.5 ± 0.01 ab
MA51.46 ± 3.97 d0.77 ± 0.14 b8.16 ± 0.07 b10.08 ± 0.14 a1.09 ± 0.04 abc1.43 ± 0.08 b
WJS12.27 ± 1.27 a0.34 ± 0.06 d7.97 ± 0.04 a9.55 ± 0.64 ab1.1 ± 0.04 a1.41 ± 0.03 a
AN23.56 ± 2.49 b1.11 ± 0.26 bc8.13 ± 0.09 b8.62 ± 0.4 bc1.03 ± 0.03 c1.38 ± 0.04 bc
GF39.94 ± 4.05 b1.24 ± 0.05 b8.23 ± 0.04 b9.41 ± 0.09 bcd1.09 ± 0.02 a1.48 ± 0.03 abc
MA56.58 ± 4.11 c0.72 ± 0.14 bc8.21 ± 0.06 ab9.6 ± 0.13 cd1.07 ± 0.01 bc1.48 ± 0.02 ab
W + DJS9.81 ± 1.15 bc0.18 ± 0.04 e7.9 ± 0.04 ab9.45 ± 0.17 ab1.11 ± 0.04 a1.44 ± 0.03 a
AN15.98 ± 1.2 c0.76 ± 0.15 d8.15 ± 0.07 b8.84 ± 0.39 abc1.1 ± 0.04 ab1.46 ± 0.03 a
GF26.7 ± 4.14 d0.79 ± 0.14 c8.09 ± 0.05 e9.36 ± 0.41 cd1.11 ± 0.04 a1.46 ± 0.02 bc
MA34.34 ± 1.86 e0.48 ± 0.02 d8.09 ± 0.04 b9.67 ± 0.17 bcd1.11 ± 0.01 ab1.45 ± 0.04 ab
CWJS10.76 ± 1.34 ab0.74 ± 0.14 b7.93 ± 0.14 ab9.78 ± 0.28 a1.12 ± 0.02 a1.39 ± 0.04 a
AN22.48 ± 2.62 b1.19 ± 0.08 bc8.12 ± 0.07 b8.53 ± 0.23 c1.04 ± 0.05 bc1.41 ± 0.03 ab
GF40.08 ± 4.96 b1.43 ± 0.18 b8.37 ± 0.05 a9.57 ± 0.25 bcd1.04 ± 0.03 bcd1.45 ± 0.03 bc
MA61.35 ± 5.52 b0.86 ± 0.15 b8.31 ± 0.02 a9.54 ± 0.27 cd1.07 ± 0.02 bc1.5 ± 0.03 a
CW + DJS8.55 ± 1.01 cd0.52 ± 0.07 c7.94 ± 0.03 ab9.09 ± 0.22 b1.09 ± 0.02 a1.46 ± 0.09 a
AN17.23 ± 2.19 c0.97 ± 0.17 cd8.16 ± 0.09 b8.6 ± 0.39 bc1.09 ± 0.04 abc1.35 ± 0.02 c
GF29.9 ± 4.75 cd0.99 ± 0.14 c8.03 ± 0.09 e9.22 ± 0.23 d1.08 ± 0.03 ab1.45 ± 0.04 c
MA34.82 ± 1.79 e0.54 ± 0.11 cd8.11 ± 0.02 b9.43 ± 0.13 d1.12 ± 0.04 a1.48 ± 0.03 ab
Note: Values are expressed as the mean ± standard deviation (SD). Different lowercase letters indicate significant differences at the 0.05 level (p < 0.05) among treatments under the same growth stages. AGB: shoot biomass; BGB: root biomass; pH: soil pH; SOC: soil organic carbon content; TN: soil total nitrogen content; TP: soil total phosphorus content.
Table 4. Soil available nutrients and nutrients ratios among different treatments at different growth stages.
Table 4. Soil available nutrients and nutrients ratios among different treatments at different growth stages.
Treatment CodesGrowth StageParameters
DOC
(g·kg−1)
AN
(g·kg−1)
AP
(g·kg−1)
Soil C:N RatioSoil C:P RatioSoil N:P Ratio
CKJS36.72 ± 2.27 cd119.23 ± 8.53 b13.47 ± 0.19 d0.31 ± 0.04 b2.72 ± 0.13 a8.86 ± 0.75 b
AN45.49 ± 1.95 a11.36 ± 2.39 e11.08 ± 1.32 d4.2 ± 1.24 a4.15 ± 0.52 a1.03 ± 0.25 e
GF40.86 ± 3.9 a10.7 ± 1.94 bc11.97 ± 1.07 ab3.94 ± 0.91 b3.42 ± 0.2 a0.91 ± 0.26 bc
MA58.83 ± 2.79 a5.93 ± 1.31 d11.65 ± 0.54 c10.38 ± 2.68 a5.06 ± 0.37 a0.51 ± 0.1 d
DJS38.3 ± 1.01 bc66.87 ± 4.38 d13.79 ± 0.83 cd0.58 ± 0.05 a2.78 ± 0.16 a4.87 ± 0.54 d
AN42.69 ± 6.7 a87.25 ± 14.17 b14.01 ± 0.5 bc0.5 ± 0.12 c3.05 ± 0.51 b6.24 ± 1.09 ab
GF33.5 ± 4.43 bc54.19 ± 19.31 a12.63 ± 1.51 ab0.71 ± 0.35 c2.71 ± 0.66 b4.23 ± 1.2 a
MA46.35 ± 2.36 b12.31 ± 1.73 c11.55 ± 0.66 c3.83 ± 0.6 c4.02 ± 0.3 b1.07 ± 0.2 c
CJS28.67 ± 2.46 f91.39 ± 11.05 c13.91 ± 0.61 cd0.32 ± 0.06 b2.06 ± 0.18 c6.59 ± 0.97 c
AN40.06 ± 3.54 ab12.88 ± 3.98 e12.46 ± 0.2 cd3.24 ± 0.63 b3.22 ± 0.31 b1.03 ± 0.32 e
GF39.26 ± 5.76 ab4.66 ± 1.06 c13.75 ± 0.72 a8.93 ± 3.03 a2.85 ± 0.28 ab0.34 ± 0.1 c
MA45.02 ± 4.35 b5.82 ± 0.99 d12.18 ± 0.33 c7.89 ± 1.27 b3.69 ± 0.29 b0.48 ± 0.08 d
C + DJS42.45 ± 3.61 a156.11 ± 12.89 a14.8 ± 0.13 ab0.27 ± 0.03 bc2.87 ± 0.25 a10.54 ± 0.78 a
AN33.43 ± 2.34 bc68.02 ± 10.16 c13.82 ± 0.59 bc0.5 ± 0.08 c2.42 ± 0.21 c4.94 ± 0.85 bc
GF37.45 ± 1.15 abc25.39 ± 0.5 bc12.87 ± 1.11 ab1.48 ± 0.07 c2.92 ± 0.2 ab1.99 ± 0.23 b
MA50.49 ± 10.54 b18.98 ± 4.34 b12.09 ± 1 c2.72 ± 0.53 cd4.24 ± 1.2 b1.58 ± 0.38 b
WJS26.36 ± 1.16 f121.91 ± 24.24 b14.42 ± 0.3 abc0.22 ± 0.04 cd1.83 ± 0.11 d8.44 ± 1.58 b
AN35.4 ± 5.97 bc58.54 ± 8.88 c15.44 ± 0.92 bc0.61 ± 0.13 c2.29 ± 0.37 cd3.78 ± 0.37 cd
GF39.05 ± 4.45 ab26.49 ± 11.95 bc12.95 ± 0.55 ab1.8 ± 0.98 c3.02 ± 0.32 ab2.05 ± 0.92 b
MA36.24 ± 1.48 c13.87 ± 4.24 c14.57 ± 0.32 ab2.83 ± 0.95 cd2.49 ± 0.1 c0.95 ± 0.29 c
W + DJS31.79 ± 1.27 e159.22 ± 19.3 a14.21 ± 0.58 bcd0.2 ± 0.02 d2.24 ± 0.1 bc11.22 ± 1.47 a
AN30.83 ± 3.94 c107.36 ± 15.96 a18.2 ± 3.39 a0.29 ± 0.04 c1.72 ± 0.28 d6.09 ± 1.6 b
GF34.99 ± 4.22 abc75.89 ± 21.14 a13.33 ± 1.18 ab0.51 ± 0.26 c2.64 ± 0.4 b5.69 ± 1.54 a
MA33.77 ± 2.09 c31.48 ± 3.34 a13.89 ± 0.79 b1.09 ± 0.19 d2.44 ± 0.2 c2.27 ± 0.26 a
CWJS34.79 ± 1.68 d109.6 ± 18.08 bc14.84 ± 0.26 ab0.32 ± 0.06 b2.34 ± 0.11 b7.39 ± 1.22 bc
AN34.77 ± 5.25 bc41.59 ± 5.85 d15.79 ± 1.86 b0.86 ± 0.27 c2.23 ± 0.47 cd2.65 ± 0.37 d
GF36.66 ± 1.5 abc28.83 ± 5.34 b11.72 ± 1 b1.3 ± 0.23 c3.14 ± 0.17 ab2.46 ± 0.37 b
MA37.62 ± 2.38 c11.98 ± 5.47 c16 ± 2.34 a3.53 ± 1.18 c2.38 ± 0.25 c0.74 ± 0.25 cd
CW + DJS41.04 ± 0.59 ab120.69 ± 2.82 b15.12 ± 0.8 a0.34 ± 0.01 b2.72 ± 0.15 a7.99 ± 0.35 bc
AN35.7 ± 3.06 bc105.57 ± 17.47 a14.07 ± 0.21 bc0.35 ± 0.08 c2.54 ± 0.2 bc7.52 ± 1.34 a
GF32.63 ± 2.89 c63.93 ± 27.45 a11.99 ± 1.21 ab0.6 ± 0.28 c2.76 ± 0.5 b5.24 ± 1.9 a
MA30.64 ± 2.99 c31.94 ± 2.68 a15.22 ± 0.94 ab0.97 ± 0.14 d2.03 ± 0.32 c2.11 ± 0.24 a
Note: Values are expressed as the mean ± standard deviation (SD). Different lowercase letters indicate significant differences at the 0.05 level (p < 0.05) among treatments under the same growth stages. DOC: dissolved organic carbon content; AN: soil mineral nitrogen (NO3-N+NH4+-N); AP: soil available P content. Soil C:N ratio: the ratio of DOC to AN; soil C:P ratio: the ratio of DOC to AP; soil N:P ratio: the ratio of AN to AP.
Table 5. Summary of statistics of a four-way ANOVA for the effects of CO2, temperature, drought, growth stage and their interaction on soil enzymatic activity, enzymatic stoichiometry and microbial nutrient limitations.
Table 5. Summary of statistics of a four-way ANOVA for the effects of CO2, temperature, drought, growth stage and their interaction on soil enzymatic activity, enzymatic stoichiometry and microbial nutrient limitations.
Source of VariationParameters
BGNAG + LAPALPEnzymatic C:N RatioEnzymatic C:P RatioEnzymatic N:P RatioVector LengthVector Angle
Stage6.77
(0.002) **
10.46
(<0.001) ***
11.42
(<0.001) ***
21.98
(<0.001) ***
16.20
(<0.001) ***
1.48
(0.234)
21.49
(<0.001) ***
3.90
(0.025) *
CO27.85
(0.007) **
24.97
(<0.001) ***
7.44
(0.008) **
0.30
(0.587)
0.07
(0.787)
2.13
(0.149)
0.06
(0.806)
0.01
(0.934)
Warming2.68
(0.106)
16.59
(<0.001) ***
0.30
(0.585)
4.19
(0.044) *
1.86
(0.177)
23.66
(<0.001) ***
0.36
(0.548)
17.02
(<0.001) ***
Drought0.21
(0.647)
1.38
(0.244)
0.18
(0.676)
0.07
(0.792)
0.06
(0.809)
0.72
(0.398)
0.002
(0.961)
0.02
(0.897)
CO2 × Stage14.27
(<0.001) ***
8.03
(<0.001) ***
1.80
(0.173)
14.91
(<0.001) ***
8.15
(<0.001) ***
4.84
(0.011) *
6.33
(0.003) **
2.48
(0.091)
Warming × Stage2.56
(0.085)
5.43
(0.006) **
8.45
(<0.001) ***
16.11
(<0.001) ***
13.97
(<0.001) ***
2.23
(0.115)
17.84
(<0.001) ***
3.10
(0.051)
Drought × Stage1.19
(0.311)
0.62
(0.542)
0.27
(0.763)
3.08
(0.052)
1.36
(0.265)
1.52
(0.226)
0.65
(0.527)
0.92
(0.404)
CO2 × Warming0.13
(0.723)
1.75
(0.19)
14.38
(<0.001) ***
1.28
(0.261)
2.00
(0.161)
15.23
(<0.001) ***
1.53
(0.220)
14.06
(<0.001) ***
CO2 × Drought1.04
(0.312)
0.68
(0.412)
2.73
(0.103)
1.03
(0.313)
2.43
(0.123)
0.35
(0.558)
1.20
(0.277)
1.03
(0.313)
Warming × Drought0.21
(0.652)
0.01
(0.914)
0.73
(0.394)
0.11
(0.744)
0.49
(0.486)
0.31
(0.581)
0.03
(0.860)
0.77
(0.383)
CO2 × Warming × Stage7.06
(0.002) **
4.58
(0.013) *
7.08
(0.002) **
17.93
(<0.001) ***
20.46
(<0.001) ***
3.03
(0.055)
25.03
(<0.001) ***
3.07
(0.053)
CO2 × Drought × Stage0.05
(0.954)
0.72
(0.489)
0.23
(0.799)
0.03
(0.972)
0.29
(0.75)
0.25
(0.783)
0.67
(0.513)
0.10
(0.910)
Warming × Drought × Stage0.28
(0.759)
1.21
(0.304)
0.21
(0.811)
0.31
(0.737)
0.34
(0.713)
0.34
(0.715)
1.92
(0.155)
0.003
(0.997)
CO2 ×Warming Drought2.64
(0.108)
0.36
(0.550)
2.84
(0.096)
0.36
(0.553)
2.51
(0.117)
1.60
(0.210)
2.82
(0.098)
0.004
(0.948)
CO2 × Warming × Drought × Stage0.26
(0.774)
0.24
(0.790)
0.44
(0.645)
1.04
(0.359)
0.96
(0.389)
0.22
(0.800)
0.81
(0.451)
1.12
(0.331)
Note: The values in the table are F statistics and probability levels, respectively. *, ** and *** indicate that the effects are significant at the levels of 0.05, 0.01 and 0.001, respectively (p < 0.05, p < 0.01 and p < 0.001). BG, NAG, LAP and ALP mean β-1,4-glucosidase, β-1,4-N-acetylglucosaminidase, leucine aminopeptidase and alkaline phosphatase, respectively. Enzymatic C:N ratio: the ratio of ln(BG) to ln(NAG + LAP); enzymatic C:P ratio: the ratio of ln(BG) to ln(AP); enzymatic N:P ratio: the ratio of ln(NAG + LAP) to ln(AP).
Disclaimer/Publisher’s Note: The statements, opinions and data contained in all publications are solely those of the individual author(s) and contributor(s) and not of MDPI and/or the editor(s). MDPI and/or the editor(s) disclaim responsibility for any injury to people or property resulting from any ideas, methods, instructions or products referred to in the content.

Share and Cite

MDPI and ACS Style

Wang, J.; Wang, X.; Zheng, F.; Wei, H.; Zhao, M.; Jiao, J. Ecoenzymatic Stoichiometry Reveals Microbial Carbon and Phosphorus Limitations under Elevated CO2, Warming and Drought at Different Winter Wheat Growth Stages. Sustainability 2023, 15, 9037. https://doi.org/10.3390/su15119037

AMA Style

Wang J, Wang X, Zheng F, Wei H, Zhao M, Jiao J. Ecoenzymatic Stoichiometry Reveals Microbial Carbon and Phosphorus Limitations under Elevated CO2, Warming and Drought at Different Winter Wheat Growth Stages. Sustainability. 2023; 15(11):9037. https://doi.org/10.3390/su15119037

Chicago/Turabian Style

Wang, Jing, Xuesong Wang, Fenli Zheng, Hanmei Wei, Miaomiao Zhao, and Jianyu Jiao. 2023. "Ecoenzymatic Stoichiometry Reveals Microbial Carbon and Phosphorus Limitations under Elevated CO2, Warming and Drought at Different Winter Wheat Growth Stages" Sustainability 15, no. 11: 9037. https://doi.org/10.3390/su15119037

APA Style

Wang, J., Wang, X., Zheng, F., Wei, H., Zhao, M., & Jiao, J. (2023). Ecoenzymatic Stoichiometry Reveals Microbial Carbon and Phosphorus Limitations under Elevated CO2, Warming and Drought at Different Winter Wheat Growth Stages. Sustainability, 15(11), 9037. https://doi.org/10.3390/su15119037

Note that from the first issue of 2016, this journal uses article numbers instead of page numbers. See further details here.

Article Metrics

Back to TopTop