Two-Stage Robust Optimization for Prosumers Considering Uncertainties from Sustainable Energy of Wind Power Generation and Load Demand Based on Nested C&CG Algorithm
Abstract
1. Introduction
2. A TSRO Model for Prosumers Considering Multiple Uncertainties
2.1. Objective Function
2.1.1. Revenue from Electricity Sales
2.1.2. Cost of Electricity Purchase
2.1.3. Cost of ESS
2.2. Constraints
2.2.1. Constraints on Power Balance
2.2.2. Constraints on Purchased/Sold Power
2.2.3. Constraints on the ESS
- (1)
- The constraints on charged and discharged power of the ESS are given as
- (2)
- The constraints on the capacity of the ESS are formulated as
2.3. Uncertainty Sets
3. Solution Methodology Based on a Nested C&CG Algorithm
3.1. Overview of the Proposed Solution Methodology
3.2. C&CG Algorithm
3.2.1. Min Main Problem
3.2.2. Max-Min Subproblem
3.3. Nested C&CG Algorithm
3.3.1. Outer-Level C&CG Procedures
- (1)
- Main Problem of the Original Problem
- (2)
- Subproblem of the Original Problem
3.3.2. Inner-Level C&CG Procedures
- (1)
- Subproblem of the Subproblem
- (2)
- Main Problem of the Subproblem
3.4. The Iteration Procedure of the Introduced Nested C&CG Algorithm
4. Case Study
4.1. Optimal Scheduling Results of Prosumers
4.2. Optimal Scheduling Results of Prosumers under the Previous TSRO Model
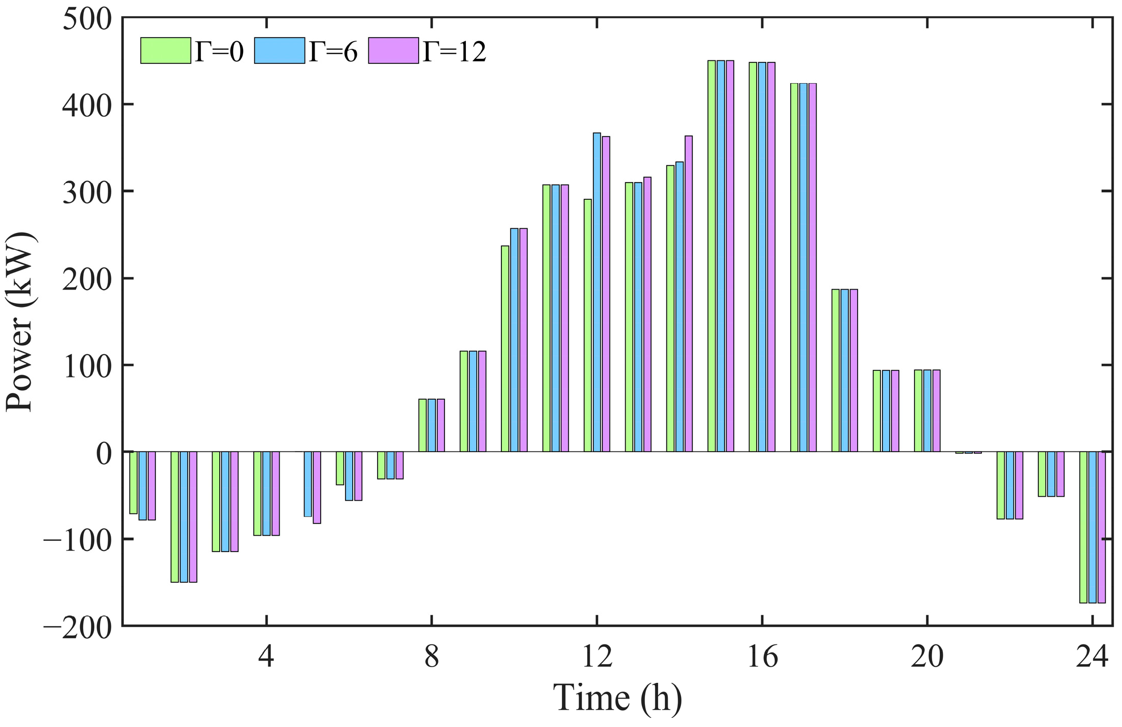
4.3. Influence of the Robust Parameter on the Market Trading Strategy and the Scheduling Results of the ESS
4.4. Performance Analysis of the Nested C&CG Algorithm
4.5. Discussion
5. Conclusions
Author Contributions
Funding
Institutional Review Board Statement
Informed Consent Statement
Data Availability Statement
Conflicts of Interest
Nomenclature
| ESS | Energy storage system |
| PV | Photovoltaic |
| P2P | Peer-to-peer |
| RO/SO/DRO | Robust/stochastic/distributed robust optimization |
| TSRO | Two-stage robust optimization |
| C&CG | Column-and-constraint generation |
| T | Index of hours |
| k/m | Index of outer-level/inner-level iterations |
| T | Set of time intervals |
| Ures/ULoad | Set of wind power generation/load demand uncertainty |
| Parameters | |
| Г | Robust parameter |
| / | Price for selling/purchasing electricity of prosumers at time t |
| cE | Coefficient of the charged and discharged costs of the ESS |
| / | Forecasted data of wind power generation/load demand at time t |
| / | Maximum purchased/sold power of prosumers |
| / | Maximum charged/discharged power of the ESS |
| SOCinit | Initial quantity of electricity stored in the ESS |
| SOCmax/SOCmin | Maximum/minimum value of the ESS capacity |
| ƞEc/ƞEd | Charged/discharged efficiency of the ESS |
| / | Electrical energy sold/purchased by prosumers at time t |
| / | Charged/discharged power of the ESS at time t |
| / | Wind power generation/load demand of prosumers at time t |
| SOCt | Quantity of electricity stored in the ESS at time t |
| / | State of purchasing/selling electricity for prosumers at time t |
| / | State of being charged/discharged of the ESS at time t |
Appendix A
- (1)
- The primal feasible conditions
- (2)
- The first-order stationary conditions
- (3)
- The dual feasible conditions
- (4)
- The complementary slackness conditions
Appendix B
References
- Sen, S.; Ganguly, S. Opportunities, barriers and issues with renewable energy development—A discussion. Renew. Sustain. Energy Rev. 2017, 69, 1170–1181. [Google Scholar] [CrossRef]
- Yang, Y.; Bremner, S.; Menictas, C.; Kay, M. Battery energy storage system size determination in renewable energy systems: A review. Renew. Sustain. Energy Rev. 2018, 91, 109–125. [Google Scholar] [CrossRef]
- Khaboot, N.; Srithapon, C.; Siritaratiwat, A.; Khunkitti, P. Increasing benefits in high PV penetration distribution system by using battery enegy storage and capacitor placement based on Salp swarm algorithm. Energies 2019, 12, 4817. [Google Scholar] [CrossRef]
- Hashemi, S.; Østergaard, J. Methods and strategies for overvoltage prevention in low voltage distribution systems with PV. IET Renew. Power Gener. 2017, 11, 205–214. [Google Scholar] [CrossRef]
- Morstyn, T.; McCulloch, M.D. Multiclass energy management for peer-to-peer energy trading driven by prosumer preferences. IEEE Trans. Power Syst. 2019, 34, 4005–4014. [Google Scholar] [CrossRef]
- Lilla, S.; Orozco, C.; Borghetti, A.; Napolitano, F.; Tossani, F. Day-ahead scheduling of a local energy community: An alternating direction method of multipliers approach. IEEE Trans. Power Syst. 2020, 35, 1132–1142. [Google Scholar] [CrossRef]
- Liu, N.; Yu, X.H.; Wang, C.; Wang, J.J. Energy sharing management for microgrids with PV prosumers: A Stackelberg game approach. IEEE Trans. Ind. Inform. 2017, 13, 1088–1098. [Google Scholar] [CrossRef]
- Ruiz-Cortes, M.; Gonzalez-Romera, E.; Amaral-Lopes, R.; Romero-Cadaval, E.; Martins, J.; Milanes-Montero, M.I.; Barrero-Gonzalez, F. Optimal charge/discharge scheduling of batteries in microgrids of prosumers. IEEE Trans. Energy Convers. 2019, 34, 468–477. [Google Scholar] [CrossRef]
- Parag, Y.; Sovacool, B.K. Electricity market design for the prosumer era. Nat. Energy 2016, 1, 16032. [Google Scholar] [CrossRef]
- Teotia, F.; Mathuria, P.; Bhakar, R. Peer-to-peer local electricity market platform pricing strategies for prosumers. IET Gener. Transm. Distrib. 2020, 14, 4388–4397. [Google Scholar] [CrossRef]
- Paudel, A.; Chaudhari, K.; Long, C.; Gooi, H.B. Peer-to-peer energy trading in a prosumer-based community microgrid: A game-theoretic model. IEEE Trans. Ind. Electron. 2019, 66, 6087–6097. [Google Scholar] [CrossRef]
- Wang, F.; Zhou, L.D.; Ren, H.; Liu, X.L.; Shafie-Khah, M.; Catalao, J.P.S. Multi-objective optimization model of source-load-storage synergetic dispatch for building energy system based on TOU price demand response. In Proceedings of the 4th Annual Meeting of the IEEE-Industry-Applications-Society (IAS), Cincinnati, OH, USA, 29 September–5 October 2017. [Google Scholar] [CrossRef]
- Chen, K.X.; Lin, J.; Song, Y.H. Trading strategy optimization for a prosumer in continuous double auction based peer-to-peer market: A prediction-integration model. Appl. Energy 2019, 242, 1121–1133. [Google Scholar] [CrossRef]
- Alam, M.R.; St-Hilaire, M.; Kunz, T. Peer-to-peer energy trading among smart homes. Appl. Energy 2019, 238, 1434–1443. [Google Scholar] [CrossRef]
- Zhong, W.F.; Xie, K.; Liu, Y.; Yang, C.; Xie, S.L. Multi-resource allocation of shared energy storage: A distributed combinatorial auction approach. IEEE Trans. Smart Grid 2020, 11, 4105–4115. [Google Scholar] [CrossRef]
- Tushar, W.; Saha, T.K.; Yuen, C.; Liddell, P.; Bean, R.; Poor, H.V. Peer-to-peer energy trading with sustainable user participation: A game theoretic approach. IEEE Access 2018, 6, 62932–62943. [Google Scholar] [CrossRef]
- Park, D.H.; Park, J.B.; Lee, K.Y.; Son, S.Y.; Roh, J.H. A bidding-based peer-to-peer energy transaction model considering the green energy preference in virtual energy community. IEEE Access 2021, 9, 87410–87419. [Google Scholar] [CrossRef]
- Chen, S.J.; Liu, C.C. From demand response to transactive energy: State of the art. J. Mod. Power Syst. Clean Energy 2017, 5, 10–19. [Google Scholar] [CrossRef]
- Hu, G.; Chen, X.; Wu, C.; Zhou, Y. Virtual prosumer aggregator in joint energy and auxiliary service market: A robust cooperative game approach. In Proceedings of the 2021 IEEE Sustainable Power and Energy Conference (iSPEC), Nanjing, China, 23–25 December 2021. [Google Scholar] [CrossRef]
- Correa-Florez, C.A.; Michiorri, A.; Kariniotakis, G. Comparative analysis of adjustable robust optimization alternatives for the participation of aggregated residential prosumers in electricity markets. Energies 2019, 12, 1019. [Google Scholar] [CrossRef]
- Yin, S.; Ai, Q.; Li, Z.; Zhang, Y.; Lu, T. Energy management for aggregate prosumers in a virtual power plant: A robust Stackelberg game approach. Int. J. Electr. Power Energy Syst. 2020, 117, 105605. [Google Scholar] [CrossRef]
- Agathokleous, C.; Steen, D. Stochastic operation scheduling model for a Swedish prosumer with PV and BESS in Nordic day-ahead electricity market. In Proceedings of the 2019 IEEE Milan PowerTech, Milan, Italy, 23–27 June 2019. [Google Scholar] [CrossRef]
- Liu, N.A.; Cheng, M.Y.; Yu, X.H.; Zhong, J.X.; Lei, J.Y. Energy-sharing provider for PV prosumer clusters: A hybrid approach using stochastic programming and Stackelberg game. IEEE Trans. Ind. Electron. 2018, 65, 6740–6750. [Google Scholar] [CrossRef]
- Sun, G.; Wang, R.; Chen, S.; Wu, C.; Wei, Z.; Zang, H. Nash–Cournot power market model with a high penetration of prosumers: A distributionally robust optimization approach. J. Clean. Prod. 2022, 353, 131565. [Google Scholar] [CrossRef]
- Li, J.; Khodayar, M.E.; Wang, J.; Zhou, B. Data-driven distributionally robust co-optimization of p2p energy trading and network operation for interconnected microgrids. IEEE Trans. Smart Grid 2021, 12, 5172–5184. [Google Scholar] [CrossRef]
- Zhou, S.; Han, Y.; Yang, P.; Mahmoud, K.; Lehtonen, M.; Darwish, M.M.; Zalhaf, A.S. An optimal network constraint-based joint expansion planning model for modern distribution networks with multi-types intermittent RERS. Renew. Energy 2022, 194, 137–151. [Google Scholar] [CrossRef]
- Zhou, S.; Han, Y.; Chen, S.; Yang, P.; Wang, C.; Zalhaf, A.S. Joint expansion planning of distribution network with uncertainty of demand load and renewable energy. Energy Rep. 2022, 8, 310–319. [Google Scholar] [CrossRef]
- Zhou, S.; Han, Y.; Chen, S.; Yang, P.; Mahmoud, K.; Darwish, M.M.; Matti, L.; Zalhaf, A.S. A multiple uncertainty-based bi-level expansion planning paradigm for distribution networks complying with energy storage system functionalities. Energy 2023, 275, 127511. [Google Scholar] [CrossRef]
- Zhou, S.; Han, Y.; Zalhaf, A.S.; Chen, S.; Zhou, T.; Yang, P.; Elboshy, B. A novel multi-objective scheduling model for grid-connected hydro-wind-PV-battery complementary system under extreme weather: A case study of Sichuan, China. Renew. Energy 2023, 212, 818–833. [Google Scholar] [CrossRef]
- Fu, J.; Han, Y.; Li, W.; Feng, Y.; Zalhaf, A.S.; Zhou, S.; Yang, P.; Wang, C. A novel optimization strategy for line loss reduction in distribution networks with large penetration of distributed generation. Int. J. Electr. Power Energy Syst. 2023, 150, 109112. [Google Scholar] [CrossRef]
- Long, Z.; Bo, Z. An Exact Algorithm for Two-Stage Robust Optimization with Mixed Integer Recourse Problems. Available online: https://optimization-online.org/?p=11876 (accessed on 21 May 2023).
- Leyffer, S.; Menickelly, M.; Munson, T.; Vanaret, C.; Wild, S.M. A survey of nonlinear robust optimization. INFOR Inf. Syst. Oper. Res. 2020, 58, 342–373. [Google Scholar] [CrossRef]
- Shang, K.; Chan, F.T.S.; Karungaru, S.; Terada, K.; Feng, Z.R.; Ke, L.J. Two-stage robust optimization for the orienteering problem with stochastic weights. Complexity 2020, 2020, 5649821. [Google Scholar] [CrossRef]
- Yang, Y.W.; Zhou, R.J.; Ran, X.H. Robust optimization with box set for reactive power optimization in wind power integrated system. In Proceedings of the General Meeting of the IEEE-Power-and-Energy-Society, San Diego, CA, USA, 22–26 July 2012. [Google Scholar] [CrossRef]
- Mongird, K.; Viswanathan, V.; Balducci, P.; Alam, J.; Fotedar, V.; Koritarov, V.; Hadjerioua, B. An evaluation of energy storage cost and performance characteristics. Energies 2020, 13, 3307. [Google Scholar] [CrossRef]
- Liu, Y.; Nair, N.K.C. A two-stage stochastic dynamic economic dispatch model considering wind uncertainty. IEEE Trans. Sustain. Energy 2016, 7, 819–829. [Google Scholar] [CrossRef]
- Xiong, P.; Jirutitijaroen, P.; Singh, C. A distributionally robust optimization model for unit commitment considering uncertain wind power generation. IEEE Trans. Power Syst. 2017, 32, 39–49. [Google Scholar] [CrossRef]
- Yang, J.; Su, C. Robust optimization of microgrid based on renewable distributed power generation and load demand uncertainty. Energy 2021, 223, 120043. [Google Scholar] [CrossRef]
- Yu, Y.; Zhao, N.; Xu, Z.; Li, J.Y.; Wen, X.S. Robust investment for demand response in a distribution network considering wind power and load demand uncertainties. Int. J. Emerg. Electr. Power Syst. 2019, 20, 20180218. [Google Scholar] [CrossRef]
- Xu, Y.; Xie, L.; Singh, C. Optimal scheduling and operation of load aggregators with electric energy storage facing price and demand uncertainties. In Proceedings of the 2011 North American Power Symposium, Boston, MA, USA, 4–6 August 2011. [Google Scholar] [CrossRef]
- Zeng, B.; Zhao, L. Solving two-stage robust optimization problems using a column-and-constraint generation method. Oper. Res. Lett. 2013, 41, 457–461. [Google Scholar] [CrossRef]














| Parameters | Value of Parameters |
|---|---|
| Upper limit of purchased/sold power (kW) | 450/450 |
| Coefficient of charged and discharged cost of the ESS (CNY/kW) | 0.05 |
| Upper limit of charged/discharged power of the ESS (kW) | 100/100 |
| Initial quantity of electricity stored in the ESS (kWh) | 125 |
| Upper/lower limit of the capacity of the ESS (kWh) | 225/25 |
| Charged/discharged efficiency of the ESS | 0.98/0.98 |
| Outer Level | Inner Level | ||||
|---|---|---|---|---|---|
| Iteration Ordinal Number | Lower Bound | Upper Bound | Iteration Ordinal Number | Lower Bound | Upper Bound |
| 1 | 3200.62 | 3201.03 | 1 | 40.0082 | 40.4164 |
| 2 | 40.4164 | 40.4164 | |||
| 2 | 3201.03 | 3201.03 | 1 | 40.4164 | 50.0102 |
| 2 | 50.0102 | 50.0102 | |||
Disclaimer/Publisher’s Note: The statements, opinions and data contained in all publications are solely those of the individual author(s) and contributor(s) and not of MDPI and/or the editor(s). MDPI and/or the editor(s) disclaim responsibility for any injury to people or property resulting from any ideas, methods, instructions or products referred to in the content. |
© 2023 by the authors. Licensee MDPI, Basel, Switzerland. This article is an open access article distributed under the terms and conditions of the Creative Commons Attribution (CC BY) license (https://creativecommons.org/licenses/by/4.0/).
Share and Cite
Zhou, Q.; Zhang, J.; Gao, P.; Zhang, R.; Liu, L.; Wang, S.; Cheng, L.; Wang, W.; Yang, S. Two-Stage Robust Optimization for Prosumers Considering Uncertainties from Sustainable Energy of Wind Power Generation and Load Demand Based on Nested C&CG Algorithm. Sustainability 2023, 15, 9769. https://doi.org/10.3390/su15129769
Zhou Q, Zhang J, Gao P, Zhang R, Liu L, Wang S, Cheng L, Wang W, Yang S. Two-Stage Robust Optimization for Prosumers Considering Uncertainties from Sustainable Energy of Wind Power Generation and Load Demand Based on Nested C&CG Algorithm. Sustainability. 2023; 15(12):9769. https://doi.org/10.3390/su15129769
Chicago/Turabian StyleZhou, Qiang, Jianmei Zhang, Pengfei Gao, Ruixiao Zhang, Lijuan Liu, Sheng Wang, Lin Cheng, Wei Wang, and Shiyou Yang. 2023. "Two-Stage Robust Optimization for Prosumers Considering Uncertainties from Sustainable Energy of Wind Power Generation and Load Demand Based on Nested C&CG Algorithm" Sustainability 15, no. 12: 9769. https://doi.org/10.3390/su15129769
APA StyleZhou, Q., Zhang, J., Gao, P., Zhang, R., Liu, L., Wang, S., Cheng, L., Wang, W., & Yang, S. (2023). Two-Stage Robust Optimization for Prosumers Considering Uncertainties from Sustainable Energy of Wind Power Generation and Load Demand Based on Nested C&CG Algorithm. Sustainability, 15(12), 9769. https://doi.org/10.3390/su15129769

